Abstract
Progressive renal function decline begins in one third of patients with microalbuminuria and type 1 diabetes. This study examined whether this decline is associated with elevated excretion of inflammatory markers in urine. Five inflammatory markers (IL-6, IL-8, monocyte chemoattractant protein-1, interferon-gamma-inducible protein (IP-10), and macrophage inflammatory protein-1δ) were measured in urine samples from the First Joslin Study of the Natural History of Microalbuminuria in Type 1 Diabetes, a cohort recruited in 1991. Samples were obtained from 43 participants with microalbuminuria and stable renal function (nondecliners), from 28 with microalbuminuria and early progressive renal function decline (decliners), and from 74 with normoalbuminuria and stable renal function (reference). Urinary concentrations of all five inflammatory markers were significantly higher in decliners than in nondecliners, who were similar to the reference group. Multivariate analysis revealed that those with more than two markers elevated were more than five times as likely to have early progressive decline of renal function. In contrast, serum concentrations of C-reactive protein, IL-8, and macrophage inflammatory protein-1δ did not differ between decliners and nondecliners. These results support the hypothesis that inflammatory processes in the kidney contribute to the progression of nephropathy in patients with type 1 diabetes.
Diabetic nephropathy (DN) is a severe late complication of type 1 diabetes that frequently requires renal replacement therapy.1 Until recently, the prevailing thinking was that DN is a unidirectional disease process that progresses from microalbuminuria to overt proteinuria, followed by renal function decline that leads to ESRD.2 Perkins et al.3 documented diverse outcomes for patients with type 1 diabetes and microalbuminuria. First, a large proportion of them revert to normoalbuminuria. Second, one third of them begin losing renal function during the microalbuminuria stage, many years before progression to proteinuria.4 These studies have replaced the previous paradigm of DN in type 1 diabetes, in which microalbuminuria was a committed first stage, with a new one in which only a subset of patients with microalbuminuria develop “progressive early renal function decline” that leads to ESRD.4 This shift in paradigm highlights our lack of knowledge about the nature of the disease process underlying early progressive renal function decline, a process that takes place while renal function is still in the normal or even elevated range.
Glomerulopathy is recognized as a major contributor to the pathogenesis of DN5,6; however, a growing body of evidence suggests that tubulointerstitial injury mediated through an inflammation process may also contribute significantly to the development of DN and its progression.7 In 1991, Bohle et al.8 were the first to draw attention to the presence of tubulointerstitial injury in the human diabetic kidney and its role in the progression of renal failure. On the basis of a large collection of renal biopsies from humans with DN, they demonstrated the presence of infiltrates of monocytes, macrophages, and T cells in the interstitium similar to those seen in chronic glomerulonephritides. Several subsequent kidney biopsy studies showed associations between presence of specific inflammatory markers and severity of DN.9–12
Analysis of urinary or serum concentrations of inflammatory markers is a useful, noninvasive approach to investigate the association between DN and inflammation processes13–15; however, most of the studies have not distinguished associations with urinary albumin excretion from associations with declining renal function. It wasn’t until 2001 that urinary cytokines were proposed to be useful markers of renal disease progression, especially for distinguishing between fast and slow progressors.16 So far, no published study has examined the association between urinary markers of inflammation and renal function decline in patients with microalbuminuria and type 1 diabetes.
RESULTS
Detectability of Inflammatory Markers in Urine
For the purpose of determining which specific inflammatory markers can be detected in urine, we carried out a pilot study. We assayed 22 cytokines/chemokines using a suspension array multiplex kit and a Luminex 100 platform. Results of assays run on urine samples from 30 individuals without and 30 with diabetes are summarized in Table 1. Chemokines IL-8, monocyte chemoattractant protein-1 (MCP-1), and interferon-gamma-inducible protein (IP-10) were detected in the majority of urine samples, regardless of diabetes status. Among the proinflammatory cytokines, two were present in half of the urine samples (IL-1α and IL-6) and three (IL-1β, IFN-γ, and TNF-α) were detected less frequently. The other 10 cytokines were detected infrequently in urine specimens using the Beadlyte 22-plex assay.
Table 1.
Detection of cytokines and chemokines by Beadlyte 22-plex assay in urine from individuals with and without diabetes and recovery of a known quantity of each analyte added to the urine of the patients with diabetesa
| Analyte (pg/ml) | Detection Limitb | Detection Frequency Diabetes (%)
|
Recovery (%; Mean ± SD; n = 30)c | |
|---|---|---|---|---|
| No (n = 30) | Yes (n = 30) | |||
| Chemokines | ||||
| IL-8/CXCL8 | 0.1 | 77 | 93 | 82 ± 10 |
| MCP-1/CCL2 | 7.1 | 70 | 90 | 71 ± 24 |
| IP-10/CXCL10 | 4.6 | 57 | 93 | 109 ± 11 |
| Proinflammatory cytokines | ||||
| IL-6 | 0.1 | 47 | 57 | 92 ± 7 |
| IL-1α | 1.3 | 43 | 60 | 60 ± 24 |
| IL-1β | 0.2 | 40 | 30 | 95 ± 8 |
| IFN-γ | 0.8 | 33 | 17 | 75 ± 25 |
| TNF-α | 0.5 | 20 | 17 | 71 ± 18 |
| Other cytokines | ||||
| IL-2 | 0.3 | 20 | 20 | 95 ± 8 |
| IL-3 | 1.3 | 23 | 3 | 95 ± 10 |
| IL-4 | 1.4 | 10 | 0 | 92 ± 16 |
| IL-5 | 0.1 | 40 | 10 | 100 ± 5 |
| IL-7 | 2.4 | 20 | 33 | 93 ± 9 |
| IL-10 | 0.1 | 53 | 33 | 91 ± 8 |
| IL-12p70 | 0.9 | 33 | 20 | 94 ± 9 |
| IL-13 | 0.2 | 30 | 37 | 83 ± 12 |
| IL-15 | 0.1 | 50 | 53 | 89 ± 9 |
| GM-CSF | 1.0 | 30 | 30 | 94 ± 12 |
Four markers (RANTES/CCL5, MIP-1α/CCL3, Eotaxin/CCL26, and IL-12p40) were omitted because of unsatisfactory standard curves, as described in the Concise Methods sections.
The detection limit of an assay is defined by the manufacturer as 2 SD above the mean reading of 20 replicates of the zero standard. A marker is regarded as detected when duplicate measurements both are above the detection limit.
Percentage recovery is the concentration estimated by the assay divided by the known concentration spiked in the urine (556 pg/ml).
To determine whether the low concentrations of cytokines might be due to poor recovery, we performed spiking experiments. The percentage recovery of each of the cytokines is presented in Table 1. The recovery was excellent (between 90 and 110%) for one of three chemokines (IP-10) and 10 of 15 cytokines. It was acceptable (>70%) for two other chemokines (IL-8 and MCP-1) and four other cytokines. Recovery was unacceptably low for IL-1α. Addition of serum diluent to the reaction matrix instead of assay buffer improved recovery. For IL-8 and MCP-1, recovery improved to 95 and 88%, respectively. Of the five cytokines with <90% recovery in assay buffer, four had slightly improved recovery (IL-13, IL-15, IFN-γ, and TNF-α), but the low recovery for IL-1α did not change. Overall, the recovery results could not account for the low concentrations of the majority of examined cytokines in urine specimens obtained from patients with diabetes.
Study Groups and Their Characteristics
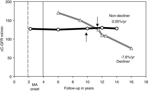
For the main study patients were selected from among participants in the 1st Joslin Study of the Natural History of Microalbuminuria in Type 1 Diabetes, a follow-up cohort recruited in 1991 and followed until 20053,4,17. Three groups were studied: 74 patients with normoalbuminuria and stable renal function (reference group), 43 patients with microalbuminuria and stable renal function (nondecliners), and 28 patients with microalbuminuria and early progressive renal function decline (decliners). For illustration, data for a decliner and nondecliner are show in Figure 1.
Figure 1.
Slopes of renal function determined by serum concentration of cystatin C in two patients with new-onset microalbuminuria included in this study. The nondecliner with slope of 0.05% per yr had microalbuminuria diagnosed between the second and fourth years of follow-up and was followed for the subsequent 10 yr. The decliner with slope −7.6% per yr had microalbuminuria diagnosed between the second and fourth years of follow-up and was followed for the subsequent 12 yr. Arrows indicate examinations from which urine and serum samples were used in this study.
Clinical characteristics of patients in the three study groups are summarized in Table 2. All patients were white and had similar distributions of sex, age, and duration of diabetes. At the time of enrollment patients with microalbuminuria (nondecliners and decliners) were more frequently smokers and had higher hemoglobin A1c (HbA1c) than patients with normoalbuminuria.17 Also by design, patients with microalbuminuria had higher urinary albumin excretion than patients with normoalbuminuria. Importantly, however, mean cC-GFR was similar in all study groups.
Table 2.
Clinical characteristics according to study group
| Characteristic | Individuals with Normoalbuminuria, Reference Group(n = 74) | Individuals with Microalbuminuria
|
|
|---|---|---|---|
| Nondecliners(n = 43) | Decliners(n = 28) | ||
| At enrollment into the Joslin Study or onset of microalbuminuria | |||
| age (yr; median [25th, 75th percentiles]) | 30 (25, 34) | 32 (25, 37) | 34 (30, 42) |
| duration of diabetes (yr; median [25th, 75th percentiles]) | 15 (8, 22) | 18 (11, 26) | 17 (12, 25) |
| ever smokers (%) | 31 | 51 | 63 |
| HbA1c (%; median [25th, 75th percentiles]) | 8.2 (7.4, 8.8) | 8.9 (7.9, 9.8) | 9.0 (8.6, 10.7) |
| cC-GFR (ml/min; median [25th, 75th percentiles]) | 156 (142, 166) | 145 (133, 158) | 161 (138, 172) |
| At examination to evaluate serum and urinary markers of inflammation | |||
| duration of microalbuminuria (median [25th, 75th percentiles] | 0 | 7.0 (6.0, 8.0) | 6.5 (5.5, 8.0) |
| HbA1c (%; median [25th, 75th percentiles]) | 7.5 (6.9, 8.2) | 8.0 (7.2, 8.7) | 9.1 (7.5, 9.9) |
| systolic BP (mmHg; median [25th, 75th percentiles]) | 115 (110, 124) | 120 (112, 135) | 127 (114, 137) |
| diastolic BP (mmHg; median [25th, 75th percentiles]) | 70 (68, 76) | 77 (69, 81) | 73 (69, 78) |
| AER (μ g/min; median [25th, 75th percentiles]) | 17 (12, 24) | 57 (37, 85) | 67 (47, 129) |
| use of ACEI (%) | 4 | 60 | 75 |
| use of statins (%) | 23 | 21 | 36 |
| cC-GFR (ml/min; median [25th, 75th percentiles]) | 142 (130, 151) | 126 (112, 136) | 106 (84, 122) |
| Annual rate of decline of cC-GFR during 8 to 12 yr of follow-up | |||
| cC-GFR slope (%/yr; median [25th, 75th percentiles] | −1.03 (−1.2, −0.7) | −1.6 (−2.6, −0.4) | −5.6 (−7.5, −4.2) |
Urine and serum specimens were obtained between 2000 and 2004, 7 yr (on average) after onset of microalbuminuria. At that time, their HbA1c values were slightly lower than at enrollment, but the glycemic control in the three groups retained the same ranking. Systolic blood pressure manifested a similar pattern change. Also at this examination, few in the reference group were treated with ACE inhibitors, whereas 60% of nondecliners and 75% of decliners were treated with ACE inhibitors. AER was normal in the reference group and was elevated to the same degree in nondecliners and decliners. cC-GFR was highest in the reference group, lower in nondecliners and lowest in decliners. Importantly, cC-GFR was not below 60 ml/min in any patient. As a consequence of separating nondecliners and decliners according to the slope fitted to their estimates of cC-GFR during follow-up, renal function loss in nondecliners (median slope −1.6% per yr) was similar to that in the reference group (median slope −1.03% per yr) but was substantial in decliners (median slope −5.6% per yr).
Urinary Concentrations of Inflammatory Markers and Early Progressive Renal Function Decline
We measured five markers in urine samples from the three study groups. IL-8, IP-10, and MCP-1 were measured using the Luminex 100 platform. Because the assay for IL-6 on Luminex was not sensitive enough and the macrophage inflammatory protein-1δ (MIP-1δ) assay on Luminex was not available, we measured both using ELISA. The results for urinary concentration of each of these markers with and without adjustment for urinary creatinine levels are shown in Table 2.
Overall, urinary concentrations of these markers were very similar in the reference group and nondecliners but significantly higher in decliners (Table 2). These differences changed slightly after adjustment of marker concentrations for urinary creatinine concentrations to account for differences in hydration (Table 2). After this adjustment, the concentrations of four of five markers were significantly associated with renal function loss, and the fifth (IL-6) approached significance (P = 0.08). In subsequent analyses, we used values adjusted for urinary creatinine.
In patients with microalbuminuria, urinary concentrations of the five markers were not independent. All of the pairwise Spearman correlations were statistically significant (data not shown), indicating considerable overlap of the information carried by them. No single marker was sufficient to represent the whole panel. In fact, elevation of a single marker was very common in both the reference group and the nondecliners, but it was infrequent in decliners. Thus, a multiplicity of elevated markers, rather than a particular cytokine or chemokine, distinguished decliners from nondecliners and the reference group. Furthermore, no specific subset of markers dominated the profile; therefore, we created a simple index of inflammation that was positive when two or more markers exceeded the 75th percentile in the reference group and negative when only one or none did. The distribution of decliners and nondecliners according to value of inflammation index is shown in Table 3.
Table 3.
Urinary concentrations of chemokines and cytokines according to study groupa
| Markers | Individuals with Normoalbuminuria, Reference Group (n = 74) | Individuals with Microalbuminuria
|
Pb | |
|---|---|---|---|---|
| Nondecliners(n = 43) | Decliners(n = 28) | |||
| Measured concentrations (pg/ml) | ||||
| IL-6 | 0.7 (0.4, 1.4) | 0.5 (0.4, 1.2) | 1.2 (0.4, 12.0) | 0.0304 |
| IL-8 | 0.9 (0.2, 7.3) | 0.8 (0.1, 3.9) | 13.0 (2.7, 87.0) | 0.0001 |
| IP-10 | 4.9 (2.0, 48.0) | 4.6 (2.2, 37.0) | 47.0 (6.8, 217.0) | 0.0009 |
| MCP-1 | 39.0 (18.0, 70.0) | 51.0 (18.0, 78.0) | 76.0 (53.0, 168.0) | 0.0029 |
| MIP-1δ | 42.0 (12.0, 65.0) | 38.0 (13.0, 71.0) | 64.0 (47.0, 122.0) | 0.0014 |
| Concentrations adjusted for urinary creatinine (pg/mg creatinine) | ||||
| IL-6 | 0.9 (0.3, 2.0) | 1.1 (0.4, 1.8) | 1.6 (0.6, 15.0) | 0.0780 |
| IL-8 | 1.0 (0.3, 4.9) | 0.8 (0.1, 3.9) | 15.0 (3.1, 79.0) | 0.0001 |
| IP-10 | 5.1 (3.1, 60.0) | 5.3 (2.6, 66.0) | 49.0 (6.9, 228.0) | 0.0021 |
| MCP-1 | 49.0 (25.0, 90.0) | 59.0 (32.0, 89.0) | 95.0 (55.0, 198.0) | 0.0054 |
| MIP-1δ | 50.0 (16.0, 97.0) | 48.0 (10.0, 91.0) | 80.0 (48.0, 155.0) | 0.0215 |
Data are median (25th, 75th percentiles).
Kruskal-Wallis test of the null hypothesis that all three groups are from the same distribution.
Glycemic control (glycosylated hemoglobin [HbA1c]), gender, and albumin excretion ratio (AER) are potential confounders of this association. None of these variables was statistically significant in their association with decline; however, the associations of AER and gender with decline approached significance (P = 0.067 and P = 0.054, respectively). When the logistic model included gender, HbA1c, AER, age, diabetes duration, and angiotensin-converting enzyme inhibitor (ACEI) and statin treatment, the odds ratio for the inflammation index remained similar to that in univariate analysis 5.7 (95% confidence interval 1.4 to 23).
Serum Concentrations of Inflammatory Markers and Early Progressive Renal Function Decline
We measured serum concentrations of two markers (IL-8 and MIP-1δ) and C-reactive protein (CRP) to investigate whether the differences in urinary concentrations between decliners and nondecliners stemmed from leakage of these markers from the systemic circulation. If so, then their presence in urine would reflect systemic rather than local inflammation. The concentrations of these three markers in serum did not differ among study groups (data not shown). Furthermore, Spearman correlation between serum and urine concentrations for IL-8 was 0.06 (P = 0.60) and for MIP-1δ was 0.05 (P = 0.72).
Tracking of Concentrations of Inflammatory Markers in Urine over Time
To examine tracking of the markers over time, we measured the concentrations of IL-8, MCP-1, and IP-10 in urine samples that had been obtained earlier from 31 of the patients with microalbuminuria. This group included 13 decliners and 18 nondecliners, and the median interval between the earlier study (first) and the main study (second) was 3.4 yr. The median urinary concentration of each of these three markers during the first study was similar as that during the second study in nondecliners and decliners (Table 4). The median values did not change significantly over time, although there was significant reduction of cC-GFR during the 3.5-yr period in the decliners.
Table 4.
Distribution of the index of inflammation according to study groupa
| Index of Inflammationb | Patients with Microalbuminuria (n [%])
|
OR (95% CI) | |
|---|---|---|---|
| Nondecliners(n = 43) | Decliners(n = 28) | ||
| Negative | 27 (64) | 7 (25) | |
| Positive | 15 (36) | 21 (75) | 5.4 (1.9 to 15.6) |
CI, confidence interval; OR, odds ratio.
Index of inflammation was positive when two or more markers exceeded the 75th percentile in the reference group and negative when only one or none did.
It is important to point out that during both the first and second studies, the urinary concentrations of IL-8 and MCP-1 were higher in the decliners than in the nondecliners (Table 4). Urinary concentrations of IP-10 were not different between the two groups (Figure 1).
DISCUSSION
In a previous study, we demonstrated that the process of progressive renal function decline in type 1 diabetes begins during the microalbuminuria stage, at which time renal function is normal or elevated.4,18 The ability to detect such decline in serial measurement of serum cystatin C provides motivation for research on the mechanisms underlying early progressive decline in renal function. Toward this end, we looked for and found an association between such renal function decline and elevated urinary concentrations of four proinflammatory chemokines (IL-8, IP-10, MCP-1, and MIP-1δ) and one proinflammatory cytokine (IL-6). Our results are consistent with previous work in experimental models and observational studies in humans that implicated inflammation in the development and progression of renal injury in diabetes19–21; however, we refine the characterization of its role in humans with type 1 diabetes by demonstrating that elevated levels of markers of low-level inflammation in urine are not associated with microalbuminuria per se but are specific for early progressive renal function decline.
Among the proinflammatory chemokines that are important in attracting leukocytes into areas of tissue damage, MCP-1 has been the most extensively studied in the context of DN13,22; however, the previous human studies frequently did not distinguish abnormalities in urinary albumin excretion from declining renal function. It is interesting that on the basis of in situ studies of human kidney specimens from a small number of patients with type 2 diabetes and DN, expression of MCP-1 was upregulated mainly in tubular cells and infiltrating mononuclear cells in the interstitium.10,23
IL-8, a potent chemotactic factor for neutrophils, T lymphocytes, and monocytes, plays a role in renal interstitial inflammation. IL-8 staining is detectable in tubular cells of kidney in humans with diabetes24 and co-localizes with CD44+ leukocytes infiltrating the interstitium.24 As found in our study, previous publications showed elevated urinary IL-8 concentrations in diabetic kidney disease.10,22
IP-10, a potent chemotactic factor for T lymphocytes, is selectively expressed by tubular endothelial cells and co-localizes with infiltrating lymphocytes in an animal model of renal endothelial microvascular injury.25 Expression profiling in human renal biopsies revealed that many genes of the NF-κB pathway (particularly IP-10 and RANTES) are upregulated in the tubulointerstitium of patients with diabetes and histologic evidence of tubulointerstitial injury in comparison with patients with nonprogressive DN or minimal-change glomerulonephritis or in healthy control subjects.11 Our study suggests that elevation of IP-10 in the urine of patients with DN is specific to those with early renal function decline and is not associated with any microalbuminuria.
The family of MIP-1 consists of several chemokines (MIP-1α, β, and δ) that are important in recruiting macrophages, T cells, dendritic cells, and NK cells to sites of inflammation.26 They are implicated in many inflammatory disorders, including glomerulonephritis,27 but have not been explored in DN. We measured MIP-1δ and found that it is elevated in patients with early progressive renal function decline. MIP-1δ acts mainly via the chemokine receptor CCR1,26 which is implicated in the fibrotic processes in a murine model of Adriamycin-induced kidney injury.28
IL-6 is one of the most extensively studied of the proinflammatory cytokines.9,29 Cortical mRNA expression of IL-6 is increased in diabetic rat kidney in comparison with normal rodents and is positively associated with elevated urinary concentrations of albumin.30 Similarly, interstitial expression of IL-6 mRNA in human renal tissue from individuals with diabetes correlates with histologic features of interstitial injury.9 Moreover, high serum and urinary concentrations of IL-6 are associated with greater albuminuria in patients with DN; however, serum and urinary levels do not correlate with each other.14,30 Finally, high urinary levels of IL-6 portend worse renal function (increase in serum creatinine) after 1 yr of follow-up.31 Our study, however, indicates that urinary concentrations of IL-6 are only moderately associated with declining renal function and are not related to microalbuminuria.
Other inflammatory cytokines implicated in the development of DN, renal function decline, or chronic inflammation include TNF-α, TNF-β, IL-1, IL-2, TGF-β, RANTES, MIP-1α, and IFN-γ.7,16,19–21,30–32 Among these, the evidence for TNF-α as a pathogenic factor in the very early stages of DN in the experimental models of type 1 diabetes suggests that it has potential as a marker of kidney injury, as reviewed recently by Navarro et al.32 These authors also provided clinical data showing that urinary TNF-α was significantly and independently associated with both glomerular and tubulointerstitial lesions in type 2 diabetes33; however, in our study, urinary TNF-α was not detectable in the majority of patients.
Urinary concentrations of the five chemokines/cytokines associated in this study with renal function decline are correlated, and they do give complementary information. Thus, a multiplicity of elevated markers discriminates between nondecliners and decliners better than any single marker. Our index of inflammation is a crude device that captures the information that more than a single marker is elevated. Additional studies will be required to develop a more precise criterion for detecting the inflammatory process. Evidence of systemic inflammation was not different between decliners and nondecliners insofar as it is reflected in serum concentrations of these inflammatory markers and CRP. This suggests that the urinary excretion of these markers reflects the inflammatory processes in the kidneys. Moreover, that process is protracted, as indicated by similar levels of urinary concentrations of IL-8 and MCP-1 in samples obtained several years apart.
None of the covariates available in this study, such as age, duration of diabetes, glycemic control, urinary albumin excretion, and treatment with ACEI, accounted for the association of the index of inflammation with early renal function decline. Therefore, the nature of the factors determining the elevated concentrations of urinary proinflammatory chemokines and cytokine remains unknown.
Several limitations of our study need to be acknowledged. First, we examined only 23 cytokines in urine of more than 200 known so far.34 Five were detected in the majority of urine specimens obtained from patients with diabetes and could be examined for association with declining renal function. The other 14 could not be examined for association because of a low frequency of detection and four because of unsatisfactory performance of the assay.
Second, for all patients, we examined one urine sample obtained 6 to 8 yr after the onset of microalbuminuria, when decliners already had lower cC-GFR than nondecliners; therefore, our findings can be interpreted in two different ways. One is that the elevated chemokines may be a consequence of the declining GFR; however, the latter possibility was not supported by our study of urine samples obtained 3.5 yr earlier in a subset of examined patients when the decliners and nondecliners had similar cC-GFR. Thus, the alternative interpretation of our findings is that elevated chemokines causally contribute to the inflammatory process in the kidneys (in glomeruli or tubular cells) and early progressive renal function decline. If so, then modulation of these chemokines may slow the rate of decline, as has been demonstrated in some animal studies.28,35,36 Further research is required to establish unequivocally the causal relationship between inflammation processes in kidney and early progressive renal function decline in patients with microalbuminuria and type 1 diabetes.
CONCISE METHODS
The Committee on Human Studies of the Joslin Diabetes Center approved the protocols and informed consent procedures for both studies.
Pilot Study
We collected random urine samples from 30 patients with diabetes: 10 from patients with normoalbuminuria, 10 with microalbuminuria, and 10 with proteinuria. Random urine specimens were also obtained from 30 individuals without diabetes. In the last specimens, the albumin-to-creatinine ratio was determined to be within the normal range in all but one sample. No other medical or demographic information was sought from volunteers with and without diabetes.
All urine specimens from both the pilot and main studies were handled in the same way. Specimens were collected from patients into sterile cups (Vacutainer Urine Collection Cup; Cardinal Health, Dublin, OH) during the daytime and then after storage up to a few hours at 4°C aliquotted in a smaller amount, 1.5 ml, into sterile, nontoxic, nonpyrogenic cryogenic tubes (CryoTubes CryoLine System; NUNC Serving Life Science, Rochester, NY), and frozen at −80°C until further analysis.
Selection of Patients for the Main Study
Three groups of patients were selected for this study from among participants in the First Joslin Study of the Natural History of Microalbuminuria in Type 1 Diabetes, a follow-up cohort recruited in 1991.3,4,17,37,38 From among the 267 patients who had persistent normoalbuminuria during the interval 1991 and 2004, we randomly selected 74 as a reference group. From the 86 patients who developed new-onset microalbuminuria between 1992 and 1996, we identified 71 patients for whom we had obtained urine and serum specimens during one of the biennial examinations carried out between 2000 and 2004. These 71 patients were divided into case patients and control subjects according to the protocol described next.
Assessment of Renal Function Changes Expressed as Slopes of Renal Function over Time
The protocol used for assessment of early progressive renal function decline has been described in detail previously.4,38 In brief, renal function was assessed by serum cystatin C. Cystatin C–based formula for GFR estimation was shown to be a valuable method in the renal function assessment in the population of DN in several reports.4,38,39 GFR in ml/min was approximated numerically by the reciprocal of cystatin C (in mg/L) multiplied by 100 (cC-GFR).38 A regression slope fitted to serial measurements of cC-GFR over several years accurately tracks the trend in renal function during that time.4,38 Patients from the normoalbuminuria and microalbuminuria groups had, on average, 3.4 and 4.8 cC-GFR estimates, respectively.
The 71 patients with microalbuminuria were divided into case patients and control subjects according to the regression slope fitted to their follow-up estimates of GFR based on serum cystatin C (cC-GFR). Case patients were the 28 patients with renal function loss of ≥3.3% per year (slopes ranging from −3.3 to −13.7% per year), hereafter referred to as decliners.4 Control subjects were the remaining 43 patients with stable renal function or minimal renal function loss (slopes ranging from 1.0 to −3.2% per year), hereafter referred to as nondecliners.4
Characteristics of Patients Selected for this Study
Protocols for the determination and definition of patient characteristics were described previously.3,4,37 The initial characteristics for patients with normoalbuminuria were obtained during the 2-yr interval at enrollment into the First Joslin Study, whereas, for decliners and nondecliners, these characteristics were obtained during the interval when new onset of microalbuminuria was diagnosed. The same characteristics were assessed in all three groups again at the time of sampling the urine and serum specimens for this study.
Measurements of Inflammation Markers
We used a recently developed Luminex 100–based approach to allow us to measure concentration of a large number of cytokines in the samples. This protein array technology is a multiplex sandwich-type liquid-phase immunoassay with modified flow cytometer incorporated in the detection system.40
To examine urinary concentrations of cytokines and chemokines, we used a Beadlyte Human 22-plex Cytokine Detection Panel (Upstate USA, Lake Placid, NY) and Luminex 100 (Luminex Corp., Austin, TX). The sensitivity of each cytokine or chemokine assay was already determined by the manufacturer. To validate this assay system in urine and to determine the profile of detectable cytokines in the population of our interest, we conducted a pilot study in urine samples from 30 individuals with and 30 individuals without diabetes.
In preliminary studies, we found that recovery of spiked undiluted urine samples was poor (data not shown). To control the potential interference of urinary matrix, we diluted urine samples 1:1 in assay buffer (PBS [pH 7.4], 1% BSA, and 0.05% Tween 20). All samples were run in duplicate, and median fluorescence intensity was measured (bead count per well 50) and then converted to nominal values by interpolation to the five parametric logistic standard curve. Four analytes (eotaxin, IL-12p40, MIP-1α, and RANTES) were excluded at this phase because of unreliable performance of standard curve. Recovery of cytokines in urine diluted in the assay buffer was studied in the 30 samples from patients with diabetes. For selected cytokines and chemokines, we repeated the recovery studies with Beadlyte Serum Standard Diluent (formulation of animal protein and sera provided by the manufacturer) instead. Performance of assay when urine samples were buffered with the assay buffer was superior among all and was chosen for the case-control study with the intra-assay coefficient of variation 10.5, 7.7, and 8.43% for IL-8, IP-10, and MCP-1, respectively.
Stability of urinary chemokine concentrations during storage at −80°C was excellent, because Spearman correlations between the chemokine concentrations in the same samples, measured >2 yr apart, were 0.93 for IL-8, 0.85 for MCP-1, and 0.87 for IP-10.
Measurement of Concentrations of Inflammation Markers in Urine Specimens in the Case-Control Study
In the case control study, we used Beadlyte Human Cytokine Detection Panel (Upstate USA) and Luminex 100 (Luminex Corp.) to measure urinary concentrations of three chemokines: IL-8, MCP-1, and IP-10. In addition, we measured urinary concentrations of IL-6 using an HS Quantikine ELISA (R&D Systems, Minneapolis, MN) that detected this cytokine in 90% of urine specimens and as a more sensitive method than Beadlyte IL-6. We used previously validated ELISA assay for MIP-1δ (R&D), which was sensitive enough to detect this chemokine in 85% of urine specimens.
Measurements of Concentration of Inflammation Markers in Serum
We measured the serum concentrations of two markers, IL-8 and MIP-1δ, and concentration of CRP as the index of general inflammation. Concentrations of the first two markers were measured using the same methods as described for urine specimens. Serum levels of CRP were measured with the Human CVD Biomarker Panel 2 (Linco, St. Charles, MO) on the Luminex platform.
Evaluation of Tracking of Urinary Concentration of Chemokines over Time
For 31 patients with microalbuminuria (13 decliners and 18 nondecliners), we were able to identify an earlier urine sample, and the median interval between the earlier urine sample and the sample examined for this study was 3.4 yr. These samples were stored in the same condition as the samples for the main study. In these samples, three chemokines, IL-8, MCP-1, and IP-10, were measured using the Luminex-based protocol described.
Statistical Analyses
We used nonparametric Kruskal-Wallis test for comparisons among three groups and Wilcoxon test for comparisons between two groups to compare the continuous variables and χ2 test to compare categorical variables between the studied groups. Logistic regression was used to study the association of urinary cytokines and chemokines with renal function loss. Spearman correlation coefficient was used to determine correlation among the values of the study variables.
DISCLOSURES
None.
Table 5.
Comparison of cC-GFR and concentrations of selected chemokines in urine specimens obtained on two separate examinations 3.5 yr apart in 31 patients with type 1 diabetes and microalbuminuria according to renal function decline statusa
| Examinations | Nondecliners(n = 18) | Decliners(n = 13) | Pb |
|---|---|---|---|
| cC-GFR (ml/min) | |||
| first | 133 | 136 | NS |
| second | 126 | 103 | 0.010 |
| IL-8 (pg/mg creatinine) | |||
| first | 5.1 | 48 | 0.007 |
| second | 0.9 | 23 | 0.003 |
| MCP-1 (pg/mg creatinine) | |||
| first | 61 | 88 | 0.080 |
| second | 58 | 85 | 0.090 |
| IP-10 (pg/mg creatinine) | |||
| first | 17 | 26 | NS |
| second | 21 | 38 | NS |
Data are medians. Spearman correlation coefficients between the first and second examinations for urinary concentrations for IL-8 = 0.73 (P < 0.001), MCP-1 = 0.59 (P < 0.005), and IP-10 = 0.02 (NS).
Wilcoxon test was used.
Acknowledgments
This study was supported by grants R01-DK41526 and R01-DK67638 from the National Institutes of Health. P.P.W. and M.A.N. were supported by American Diabetes Association mentor-based fellowship 7-03-MN-28.
We thank Laurie L. Stephen, Kirsten Jubin, and Dominic P. Eisinger from Upstate USA (Lake Placid, NY) for help in setting up the Luminex-based protocols and implementing our pilot study.
Published online ahead of print. Publication date available at www.jasn.org.
P.P.W. and M.A.N. contributed equally to this research.
REFERENCES
- 1.Krolewski M, Egger PW, Warram JH: Magnitude of end-stage renal disease in IDDM: A 35 year follow-up study. Kidney Int 50: 2041–2046, 1996 [DOI] [PubMed] [Google Scholar]
- 2.Parving HH, Mauer M, Ritz E: Diabetic nephropathy. In: Brenner and Rector's The Kidney, 7th Ed., edited by Brenner BM, Elsevier, 2004, pp 1777–1818
- 3.Perkins BA, Ficociello LH, Silva KH, Finkelstein DM, Warram JH, Krolewski AS: Regression of microalbuminuria in type 1 diabetes. N Engl J Med 348: 2285–2293, 2003 [DOI] [PubMed] [Google Scholar]
- 4.Perkins BA, Ficociello LH, Ostrander BE, Silva KH, Weinberg J, Warram JH, Krolewski AS: Microalbuminuria and the risk for early progressive renal function decline in type 1 diabetes. J Am Soc Nephrol 18: 1353–1361, 2007 [DOI] [PubMed] [Google Scholar]
- 5.Mauer SM, Steffes MW, Ellis EN, Sutherland DE, Brown DM, Goetz FC: Structural-functional relationships in diabetic nephropathy. J Clin Invest 74: 1143–1155, 1984 [DOI] [PMC free article] [PubMed] [Google Scholar]
- 6.White KE, Bilous RW: Type 2 diabetic patients with nephropathy show structural-functional relationships that are similar to type 1 disease. J Am Soc Nephrol 11: 1667–1673, 2000 [DOI] [PubMed] [Google Scholar]
- 7.Gilbert RE, Cooper ME: The tubulointerstitium in progressive diabetic kidney disease: More than an aftermath of glomerular injury? Kidney Int 56: 1627–1637, 1999 [DOI] [PubMed] [Google Scholar]
- 8.Bohle A, Wehrmann M, Bogenschutz O, Batz C, Muller CA, Muller GA: The pathogenesis of chronic renal failure in diabetic nephropathy: Investigation of 488 cases of diabetic glomerulosclerosis. Pathol Res Pract 187: 251–259, 1991 [DOI] [PubMed] [Google Scholar]
- 9.Suzuki D, Miyazaki M, Naka R, Koji T, Yagame M, Jinde K, Endoh M, Nomoto Y, Sakai H: In situ hybridization of interleukin 6 in diabetic nephropathy. Diabetes 44: 1233–1238, 1995 [DOI] [PubMed] [Google Scholar]
- 10.Wada T, Furuichi K, Sakai N, Iwata Y, Yoshimoto K, Shimizu M, Takeda SI, Takasawa K, Yoshimura M, Kida H, Kobayashi KI, Mukaida N, Naito T, Matsushima K, Yokoyama H: Up-regulation of monocyte chemoattractant protein-1 in tubulointerstitial lesions of human diabetic nephropathy. Kidney Int 58: 1492–1499, 2000 [DOI] [PubMed] [Google Scholar]
- 11.Schmid H, Boucherot A, Yasuda Y, Henger A, Brunner B, Eichinger F, Nitsche A, Kiss E, Bleich M, Grone HJ, Nelson PJ, Schlondorff D, Cohen CD, Kretzler M: European Renal cDNA Bank (ERCB) Consortium: Modular activation of nuclear factor-kappaB transcriptional programs in human diabetic nephropathy. Diabetes 55: 2993–3003, 2006 [DOI] [PubMed] [Google Scholar]
- 12.Morcos M, Sayed AA, Bierhaus A, Yard B, Waldherr R, Merz W, Kloeting I, Schleicher E, Mentz S, Abd el Baki RF, Tritschler H, Kasper M, Schwenger V, Hamann A, Dugi KA, Schmidt AM, Stern D, Ziegler R, Haering HU, Andrassy M, van der Woude F, Nawroth PP: Activation of tubular epithelial cells in diabetic nephropathy. Diabetes 51: 3532–3544, 2002 [DOI] [PubMed] [Google Scholar]
- 13.Saitoh A, Sekizuka K, Hayashi T, Kaneko S, Suzuki Y, Tomino Y: Detection of urinary MCP-1 in patients with diabetic nephropathy. Nephron 80: 99, 1998 [DOI] [PubMed] [Google Scholar]
- 14.Shikano M, Sobajima H, Yoshikawa H, Toba T, Kushimoto H, Katsumata H, Tomita M, Kawashima S: Usefulness of a highly sensitive urinary and serum IL-6 assay in patients with diabetic nephropathy. Nephron 85: 81–85, 2000 [DOI] [PubMed] [Google Scholar]
- 15.Banba N, Nakamura T, Matsumura M, Kuroda H, Hattori Y, Kasai K: Possible relationship of monocyte chemoattractant protein-1 with diabetic nephropathy. Kidney Int 58: 684–690, 2000 [DOI] [PubMed] [Google Scholar]
- 16.Wong W, Singh AK: Urinary cytokines: Clinically useful markers of chronic renal disease progression? Curr Opin Nephrol Hypertens 10: 807–811, 2001 [DOI] [PubMed] [Google Scholar]
- 17.Scott LJ, Warram JH, Hanna LS, Laffel LM, Ryan L, Krolewski AS: A nonlinear effect of hyperglycemia and current cigarette smoking are major determinants of the onset of microalbuminuria in type 1 diabetes. Diabetes 50: 842–849, 2001 [DOI] [PubMed] [Google Scholar]
- 18.de Boer IH, Steffes MW: Glomerular filtration rate and albuminuria: Twin manifestations of nephropathy in diabetes. J Am Soc Nephrol 18: 1036–1037, 2007 [DOI] [PubMed] [Google Scholar]
- 19.Segerer S, Nelson PJ, Schlondorff D: Chemokines, chemokine receptors, and renal disease: From basic science to pathophysiologic and therapeutic studies. J Am Soc Nephrol 11: 152–176, 2000 [DOI] [PubMed] [Google Scholar]
- 20.Rodriguez-Iturbe B, Pons H, Herrera-Acosta J, Johnson RJ: Role of immunocompetent cells in nonimmune renal diseases. Kidney Int 59: 1626–1640, 2001 [DOI] [PubMed] [Google Scholar]
- 21.Anders HJ, Vielhauer V, Schlondorff D: Chemokines and chemokine receptors are involved in the resolution or progression of renal disease. Kidney Int 63: 401–415, 2003 [DOI] [PubMed] [Google Scholar]
- 22.Tashiro K, Koyanagi I, Saitoh A, Shimizu A, Shike T, Ishiguro C, Koizumi M, Funabiki K, Horikoshi S, Shirato I, Tomino Y: Urinary levels of monocyte chemoattractant protein-1 (MCP-1) and interleukin-8 (IL-8), and renal injuries in patients with type 2 diabetic nephropathy. J Clin Lab Anal 16: 1–4, 2002 [DOI] [PMC free article] [PubMed] [Google Scholar]
- 23.Mezzano S, Aros C, Droguett A, Burgos ME, Ardiles L, Flores C, Schneider H, Ruiz-Ortega M, Egido J: NF-kappaB activation and overexpression of regulated genes in human diabetic nephropathy. Nephrol Dial Transplant 19: 2505–2512, 2004 [DOI] [PubMed] [Google Scholar]
- 24.Tang S, Leung JC, Abe K, Chan KW, Chan LY, Chan TM, Lai KN: Albumin stimulates interleukin-8 expression in proximal tubular epithelial cells in vitro and in vivo. J Clin Invest 111: 515–527, 2003 [DOI] [PMC free article] [PubMed] [Google Scholar]
- 25.Panzer U, Steinmetz OM, Reinking RR, Meyer TN, Fehr S, Schneider A, Zahner G, Wolf G, Helmchen U, Schaerli P, Stahl RA, Thaiss F: Compartment-specific expression and function of the chemokine IP-10/CXCL10 in a model of renal endothelial microvascular injury. J Am Soc Nephrol 17: 454–464, 2006 [DOI] [PubMed] [Google Scholar]
- 26.Maurer M, von Stebut E: Macrophage inflammatory protein-1. Int J Biochem Cell Biol 36: 1882–1886, 2004 [DOI] [PubMed] [Google Scholar]
- 27.Natori Y, Sekiguchi M, Ou Z, Natori Y: Gene expression of CC chemokines in experimental crescentic glomerulonephritis (CGN). Clin Exp Immunol 109: 143–148, 1997 [DOI] [PMC free article] [PubMed] [Google Scholar]
- 28.Vielhauer V, Berning E, Eis V, Kretzler M, Segerer S, Strutz F, Horuk R, Grone HJ, Schlondorff D, Anders HJ: CCR1 blockade reduces interstitial inflammation and fibrosis in mice with glomerulosclerosis and nephrotic syndrome. Kidney Int 66: 2264–2278, 2004 [DOI] [PubMed] [Google Scholar]
- 29.Van Snick J: Interleukin-6: An overview. Annu Rev Immunol 8: 253–278, 1990 [DOI] [PubMed] [Google Scholar]
- 30.Navarro JF, Milena FJ, Mora C, Leon C, Garcia J: Renal pro-inflammatory cytokine gene expression in diabetic nephropathy: Effect of angiotensin-converting enzyme inhibition and pentoxifylline administration. Am J Nephrol 26: 562–570, 2006 [DOI] [PubMed] [Google Scholar]
- 31.Senatorski G, Paczek L, Kropiewnicka E, Bartlomiejczyk I: Cytokines in noninvasive diagnostics of diabetic nephropathy progression [in Polish]. Pol Merkur Lekarski 13: 28–32, 2002 [PubMed] [Google Scholar]
- 32.Navarro JF, Mora-Fernandez C: The role of TNF-alpha in diabetic nephropathy: Pathogenic and therapeutic implications. Cytokine Growth Factor Rev 17: 441–450, 2006 [DOI] [PubMed] [Google Scholar]
- 33.Navarro JF, Mora C, Muros M, García J: Urinary tumour necrosis factor: Excretion independently correlates with clinical markers of glomerular and tubulointerstitial injury in type 2 diabetic patients. Nephrol Dial Transplant 21: 3428–3434, 2006 [DOI] [PubMed] [Google Scholar]
- 34.Vilcek J: The cytokines overview. In: The Cytokine Handbook, 4th Ed., edited by Thomson AW, Lotze MT, London, Elsevier, Academic Press, 2003, pp 3–18
- 35.Chow FY, Nikolic-Paterson DJ, Ozols E, Atkins RC, Rollin BJ, Tesch GH: Monocyte chemoattractant protein-1 promotes the development of diabetic renal injury in streptozotocin-treated mice. Kidney Int 69: 73–80, 2006 [DOI] [PubMed] [Google Scholar]
- 36.Chow FY, Nikolic-Paterson DJ, Ma FY, Ozols E, Rollins BJ, Tesch GH: Monocyte chemoattractant protein-1-induced tissue inflammation is critical for the development of renal injury but not type 2 diabetes in obese db/db mice. Diabetologia 50: 471–480, 2007 [DOI] [PubMed] [Google Scholar]
- 37.Krolewski AS, Laffel LMB, Krolewski M, Quinn M, Warram JH: Glycosylated hemoglobin and the risk of microalbuminuria in patients with insulin-dependent diabetes mellitus. N Engl J Med 332: 1251–1255, 1995 [DOI] [PubMed] [Google Scholar]
- 38.Perkins BA, Nelson RG, Ostrander BE, Blouch KL, Krolewski AS, Myers BD, Warram JH: Detection of renal function decline in patients with diabetes and normal or elevated GFR by serial measurements of serum cystatin C concentration: Results of a 4-year follow-up study. J Am Soc Nephrol 16: 1404–1412, 2005 [DOI] [PMC free article] [PubMed] [Google Scholar]
- 39.Macisaac RJ, Tsalamandris C, Thomas MC, Premaratne E, Panagiotopoulos S, Smith TJ, Poon A, Jenkins MA, Ratnaike SI, Power DA, Jerums G: The accuracy of cystatin C and commonly used creatinine-based methods for detecting moderate and mild chronic kidney disease in diabetes. Diabet Med 24: 443–448, 2007 [DOI] [PubMed] [Google Scholar]
- 40.Vignali DA: Multiplexed particle-based flow cytometric assays. J Immunol Methods 243: 243–255, 2000 [DOI] [PubMed] [Google Scholar]

