Abstract
Evaluation of the efficacy of 3 nonviable blood-stage antigens—schizont Ag, merozoite Ag, and ”French press” Ag—of Plasmodium knowlesi, emulsified in Freund's complete adjuvant (FCA), was carried out in a study involving 32 rhesus monkeys. After 2 immunizations, administered 6 weeks apart, monkeys were challenged with a variant of P. knowlesi different from that used for immunization. All 8 control monkeys that received either PBS or FCA developed a severe parasitaemia and died of the infection within 12 days after parasite challenge. In the group that received the freeze-thawed schizont Ag, 5 of the 8 monkeys died at the same time as the controls, 1 died a day later, and 2 survived the infection (maximum parasitaemia: 0.7%; 3.2%). In the freeze-thawed merozoite Ag group, 1 monkey died at the same time as the controls, 5 monkeys died between 14 and 17 days after challenge, and 2 monkeys survived the infection (maximum parasitaemia: <0.01%; 2.7%). In the lyophilized French press Ag group, 2 monkeys died at the same time as the controls, 2 died between 12 and 15 days after challenge, and 4 survived the infection (maximum parasitaemia: 1.2%; 0.4%; 0.9%; 0.07%).
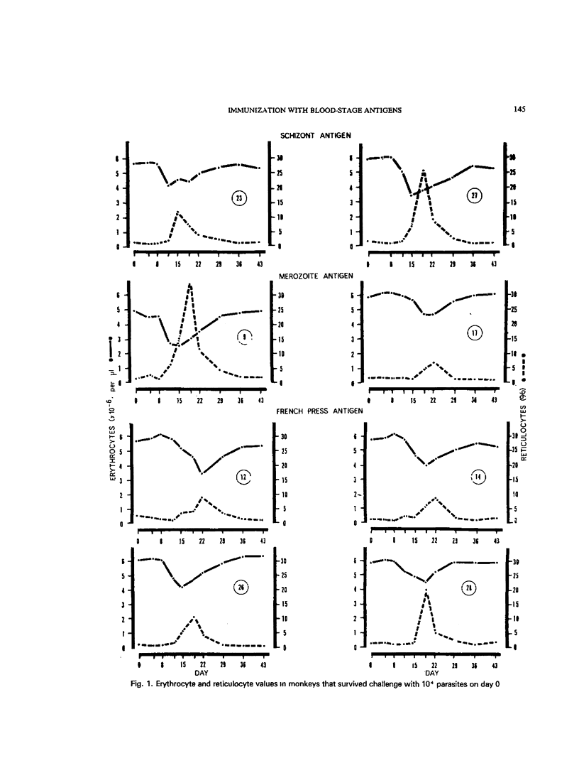
Immunized monkeys failed to gain weight during the period of immunization and abscess formation at injection sites was comparable in monkeys of the 3 Ag groups. Reticulocytosis and anaemia developed in all monkeys that survived longer than 12 days after challenge, even in monkeys with very low-grade levels of parasitaemia.
Various tests were performed to assess humoral or cell-mediated immune responses during the period of immunization and after challenge. No clear-cut relationship could be established between the results of any of these tests and the survival of immunized monkeys after parasite challenge. Some of the results, however, suggest that there might be some relationship between cell-mediated responses and the survival of immunized monkeys beyond the survival time of control monkeys.
Full text
PDF












Selected References
These references are in PubMed. This may not be the complete list of references from this article.
- Brown K. N. Antibody induced variation in malaria parasites. Nature. 1973 Mar 2;242(5392):49–50. doi: 10.1038/242049a0. [DOI] [PubMed] [Google Scholar]
- Brown K. N., Brown I. N., Hills L. A. Immunity to malaria. I. Protection against Plasmodium knowlesi shown by monkeys sensitized with drug-suppressed infections or by dead parasites in Freund's adjuvant. Exp Parasitol. 1970 Oct;28(2):304–317. doi: 10.1016/0014-4894(70)90101-3. [DOI] [PubMed] [Google Scholar]
- Butcher G. A., Mitchell G. H., Cohen S. Antibody mediated mechanisms of immunity to malaria induced by vaccination with Plasmodium knowlesi merozoites. Immunology. 1978 Jan;34(1):77–86. [PMC free article] [PubMed] [Google Scholar]
- Cohen S., Butcher G. A., Crandall R. B. Action of malarial antibody in vitro. Nature. 1969 Jul 26;223(5204):368–371. doi: 10.1038/223368a0. [DOI] [PubMed] [Google Scholar]
- Cohen S., Butcher G. A. Properties of protective malarial antibody. Immunology. 1970 Aug;19(2):369–383. [PMC free article] [PubMed] [Google Scholar]
- Collins W. E., Skinner J. C. The indirect fluorescent antibody test for malaria. Am J Trop Med Hyg. 1972 Sep;21(5):690–695. doi: 10.4269/ajtmh.1972.21.690. [DOI] [PubMed] [Google Scholar]
- FAHEY J. L., MCKELVEY E. M. QUANTITATIVE DETERMINATION OF SERUM IMMUNOGLOBULINS IN ANTIBODY-AGAR PLATES. J Immunol. 1965 Jan;94:84–90. [PubMed] [Google Scholar]
- Miller L. H. Current prospects and problems for a malaria vaccine. J Infect Dis. 1977 May;135(5):855–864. doi: 10.1093/infdis/135.5.855. [DOI] [PubMed] [Google Scholar]
- Mitchell G. H., Butcher G. A., Cohen S. A merozoite vaccine effective against Plasmodium knowlesi malaria. Nature. 1974 Nov 22;252(5481):311–313. doi: 10.1038/252311a0. [DOI] [PubMed] [Google Scholar]
- Mitchell G. H., Butcher G. A., Cohen S. Merozoite vaccination against Plasmodium knowlesi malaria. Immunology. 1975 Aug;29(2):397–407. [PMC free article] [PubMed] [Google Scholar]
- Phillips R. S., Wolstencroft R. A., Brown I. N., Brown K. N., Dumonde D. C. Immunity to malaria. 3. Possible occurrence of a cell-mediated immunity to Plasmodium knowlesi in chronically infected and Freund's complete adjuvant-sensitized monkeys. Exp Parasitol. 1970 Oct;28(2):339–355. doi: 10.1016/0014-4894(70)90103-7. [DOI] [PubMed] [Google Scholar]
- Schenkel R. H., Simpson G. L., Silverman P. H. Vaccination of Rhesus monkeys (Macaca mulatta) against Plasmodium knowlesi by the use of nonviable antigen. Bull World Health Organ. 1973 May;48(5):597–604. [PMC free article] [PubMed] [Google Scholar]
- Siddiqui W. A. An effective immunization of experimental monkeys against a human malaria parasite, Plasmodium falciparum. Science. 1977 Jul 22;197(4301):388–389. doi: 10.1126/science.406671. [DOI] [PubMed] [Google Scholar]
- Simpson G. L., Schenkel R. H., Silverman P. H. Vaccination of rhesus monkeys against malaria by use of sucrose density gradient fractions of Plasmodium knowlesi antigens. Nature. 1974 Feb 1;247(5439):304–305. doi: 10.1038/247304a0. [DOI] [PubMed] [Google Scholar]
- Targett G. A., Fulton J. D. Immunization of rhesus monkeys against Plasmodium knowlesi malaria. Exp Parasitol. 1965 Oct;17(2):180–193. doi: 10.1016/0014-4894(65)90020-2. [DOI] [PubMed] [Google Scholar]
- Wyler D. J. Peripheral lymphocyte subpopulations in human falciparum malaria. Clin Exp Immunol. 1976 Mar;23(3):471–476. [PMC free article] [PubMed] [Google Scholar]
- Zuckerman A. Recent studies on factors involved in malarial anemia. Mil Med. 1966 Sep;131(9 Suppl):1201–1216. [PubMed] [Google Scholar]
