Abstract
Background
Elevated cortisol may be a risk factor for cognitive decline in aging. Genetic factors may influence individual vulnerability to the adverse effects of stress on cognitive function in aging.
Methods
We investigated whether gene-environment interaction by apolipoprotein E genotype and cortisol predicted cognitive performance in an urban population of older adults. A cross-sectional analysis of data was conducted from a population-based sample of 50–70 year old men and women. Cognitive performance, salivary cortisol levels, and APOE genotype was assessed in 967 subjects. Performance on 20 standard cognitive tests was assessed and combined to form seven summary domain scores (language, processing speed, eye-hand coordination, executive functioning, verbal memory and learning, visual memory and learning, visuoconstruction).
Results
In adjusted models, while higher levels of cortisol were associated with worse cognitive scores, the slopes of the adverse relations were steeper in persons with at least one ε4 allele. Effect sizes were large: for example, the effect of having one ε4 allele and cortisol area under curve > 75th percentile was equivalent to a decrease in language score expected from an increase in 8.0 (95% CI: 1.7, 14.4) years of age, while having two ε4 alleles and cortisol area under curve > 75th percentile was equivalent to an increase of 33.4 (14.8, 52.0) years of age.
Conclusion
These data indicate that APOE genotype may modify relations of cortisol with cognitive functioning, and suggest that the ε4 allele increases vulnerability of the aging brain to the adverse effects of stress.
INTRODUCTION
Chronic psychosocial stress has been implicated as a contributing factor to cognitive aging. Animal studies suggest that repeated exposure to psychosocial hazards such as restraint stress or subordinate hierarchical status can cause neuroanatomical changes (1), including inhibition of adult neurogenesis in the dentate gyrus (2) and dendritic atrophy in the hippocampus (3) and medial prefrontal cortex (4). This damage is partially attributable to HPA axis dysregulation characterized by excesses in glucocorticoid production and changes in the diurnal pattern of secretion (5, 6). Observational studies in older humans indicate that elevations in cortisol (the principal human glucocorticoid) are associated with smaller hippocampal volumes (7) and are a risk factor for greater cognitive decline in global cognition, verbal memory, and executive functioning (8–10).
It is reasonable to expect that genetic factors may influence individual vulnerability to the adverse effects of stress, and one candidate of immediate interest is apolipoprotein E. Three alleles of APOE (ε2, ε3, ε4) code for three protein isoforms which have substantial involvement in lipid metabolism and neurobiology (11). The ε4 allele has a gene-dose effect with increased risk for late onset familial and sporadic Alzheimer disease (AD) (12, 13). The ε4 genotype may influence some domains of cognitive performance in non-demented adults, although effects appear small. A meta-analysis of 38 studies found modest associations of APOE-ε4 with decrements in global cognition, episodic memory, and executive functioning (14). A large, recent study observed greater longitudinal decline for ε4 carriers in verbal memory and processing speed; however the differences in decline were relatively small (15). Aged healthy ε4 carriers have greater risk of hippocampal atrophy (16) as well as reduced white matter integrity in the hippocampus, medial temporal lobe, and corpus callosum (17). Importantly, epidemiologic evidence suggests that the ε4 allele also amplifies the effects of multiple risk factors for cognitive dysfunction, including head injury, lead exposure, diabetes, peripheral vascular disease, atherosclerosis, hypercholesterolemia, elevated homocysteine, and low vitamin B12 levels (15, 18–22).
We have reported that higher salivary cortisol levels over a study visit were associated with worse cognitive performance in a cross-sectional analysis of data from 967 adults aged 50 to 70 years (23). We now consider whether APOE genotype modifies the associations of cortisol with cognitive performance in the same study population.
METHODS
Participant selection and recruitment
Sampling and recruitment for the Baltimore Memory Study have been described elsewhere (24). A total of 1,140 persons were enrolled from the eligible population of 50–70-year-old residents of Baltimore neighborhoods who had lived within the greater Baltimore area for at least the previous five years. Study participants completed three visits an average of 14 months apart. The Committee for Human Research of the Johns Hopkins Bloomberg School of Public Health approved the study. Participants provided written, informed consent prior to entering the study and were paid $50 for completion of each visit.
Data collection
All data collection occurred onsite at the study clinic in Baltimore. Trained research assistants collected data in the following order: cognitive testing, blood pressure, height, weight, spot urine collection, structured interview, and venipuncture. The interview captured self-reported information on demographics and medical history including chronic conditions, current and past medications, and alcohol and tobacco use. Participant race/ethnicity was collected through self-report using the 2000 US Census method. Depressive symptoms were measured using the CES-D scale (25). Recent exposure to stressful events was assessed using a questionnaire that asked whether each of 25 events had occurred in the previous seven days.
Saliva sampling and cortisol measurement
Sampling and measurement methods have been previously described (23). We used the cognitive battery to elicit an HPA axis response during the study visit. Although cognitive performance was assessed at three yearly study visits, cortisol samples were obtained at only one visit, at either the second or third visit. Four salivary cortisol samples using the Salivette system (Sarstedt Inc., Newton, North Carolina) were collected for each of the 992 participants during the study visit (before, during, and after cognitive testing, and at visit completion). The mean (SD) duration from first to fourth cortisol sample was 159 (25) minutes. Visits were scheduled throughout the day to accommodate the large sample size: 373 (37.6%) submitted a first saliva sample from 08:00 – 09:45-h, 501 (50.5%) from 09:46 – 14:30-h and 118 (11.9%) from 14:31 – 18:30-h. Self-reported assessments of subjective distress at the times of each of the saliva collections were obtained using a visual analogue scale.
Laboratory methods
Salivary cortisol was assayed by the General Clinical Research Center Core Laboratory at the Johns Hopkins Bayview Medical Center campus (Baltimore) using a standard radioimmunoassay (Diagnostic Systems Laboratories, Inc.). A trained phlebotomist obtained a 10-mL blood sample through venipuncture which was clotted, centrifuged, and stored at −20° C within one hour. Samples were then transferred to and stored at −70° C at the Johns Hopkins Bloomberg School of Public Health. The Malaria Research Institute Gene Array Core Facility at the Bloomberg School of Public Health performed APOE genotyping from frozen whole blood according to methods published elsewhere (21).
Cognitive battery and cognitive domains
The cognitive battery and creation of cognitive domain scores has been described in detail (24, 26). Each subject completed 20 standard tests classified in seven cognitive domains: language (Boston naming test; letter fluency; category fluency), processing speed (simple reaction time), eye-hand coordination (Purdue pegboard dominant hand, non-dominant hand, both hands; Trail-making test A), executive functioning (difference scores: Purdue pegboard assembly minus both hands; Stroop C form minus A form; Trail-making test B minus A), verbal memory and learning (Rey auditory verbal learning test immediate recall, delayed recall, recognition), visual memory (Rey complex figure delayed recall; symbol digit), and visuoconstruction (Rey complex figure copy). Domain scores were created by averaging z-scores for the individual tests within domains. Tests were standardized for direction so that a negative regression coefficient indicates worse performance. The seven domain scores were the primary study outcomes.
Cortisol metrics
The creation of the metrics from the four cortisol measurements across the study visit has been described elsewhere (23). Due to skewing, the four cortisol sample values were natural-log transformed before creation of the metrics. We previously noted associations of three cortisol metrics with cognitive performance (23) and therefore limited the present analysis of cortisol-APOE interaction to the same three metrics: Pretest (the first sample value); Mean (mean of all four sample values); and Area Under Curve with respect to zero (AUC). The metrics are hypothesized to represent different aspects of HPA axis activity, with Pretest indicating non-challenge cortisol levels, and Mean and AUC providing metrics of overall cortisol dose across the study visit. AUC is a standard pharmacological metric representing total hormonal output over a period of time (27). Unlike other summary measures such as Mean, AUC captures both the cortisol level at the times of sampling as well as changes over time. Pretest, Mean, and AUC were highly correlated, with Spearman rank correlation coefficients ranging from 0.77 (Pretest and AUC) to 0.90 (Mean and AUC).
Statistical analysis
The objective of the present analysis was to evaluate whether the associations of the three cortisol metrics and seven cognitive domain scores (23) were modified by APOE genotype. Adjusted analyses included a maximum of 962 participants who had complete cortisol, genotyping, and cognitive test data.
Multiple linear regression was used to evaluate the relations of the cortisol metrics, APOE, and cognitive domain scores. For each model specification, separate regressions were conducted for each of the three metrics. Model 1 evaluated main effect associations for cortisol (continuous) and APOE genotype (two indicators terms: one ε4 allele vs. none, and two ε4 alleles vs. none). Model 2 evaluated effect modification by APOE genotype of the cortisol associations by including cross-products of the two APOE indicator terms with each cortisol metric. The following covariates were included in Models 1 and 2, based on a priori knowledge of independent associations with the outcome or if they changed the relation of cortisol with the outcome: age (years), sex, race/ethnicity (African-American, African-American/mixed race, and other, with whites as the reference group), household wealth (natural-log transformed sum of household income and household assets), educational status (nine levels), study visit (second vs. third), testing technician, and time of day of cortisol sampling (linear and squared terms, to adjust for non-linearity). Model 3 included Model 1 and 2 covariates, plus self-reported recent stressful events (five levels), history (yes vs. no) of stroke, diabetes, cardiovascular disease, hypercholesterolemia, and hypertension, depressive symptoms (CES-D score, continuous), and use of anti-depressant and anxiety medications. Statistical interaction was evaluated through likelihood ratio tests and Wald tests. Final models were evaluated for normality, influential points, homoscedasticity, and model fit using standard diagnostic procedures. Regression analyses were performed using the R statistical package version 2.2.1.
To interpret the magnitude of estimates, we examined adjusted mean cognitive performance by APOE genotype and by AUC cortisol level (dichotomized at the 75th percentile [AUC: 374.40 nmol min/L] to indicate presence or absence of high cortisol). Between-group differences in mean cognitive performance were estimated adjusting for Model 1 and 2 covariates. The effects of having higher cortisol and one or two ε4 alleles were then compared with the estimated effect of an increase in one year of age at baseline among the study participants. Cognitive performance differences and 95% CI were calculated using Stata version 8.0.
RESULTS
Description of study participants
The characteristics of study participants have been reported (23) and are now summarized by genotype (Table 1). Genotype frequencies did not differ from Hardy-Weinberg equilibrium (X2(3) = 4.39, p > 0.05). Approximately 30% of the sample had at least one ε4 allele, with differences in prevalence by race; 35.0% of non-whites, predominantly African-Americans, had at least one ε4 allele as compared with 25.8% of whites. Prevalences of hypercholesterolemia and elevated depressive symptoms (CES-D ≥ 16) were higher in persons with one ε4 allele (p < 0.05) although these differences were not detected in persons with two ε4 alleles (Table 1). There were no differences in time of sample measurement or levels of the cortisol metrics by ε4 genotype.
Table 1.
Descriptive statistics of study participants by number of apolipoprotein E ε4 alleles, Baltimore Memory Study, 2001–05. a
| Total | 0 ε4 alleles | 1 ε4 allele | 2 ε4 alleles | |
|---|---|---|---|---|
| (N = 962) | (N = 674) | (N = 263) | (N = 25) | |
| Variable | Value | Value | Value | Value |
| Age, years, mean (SD) | 61.1 (6.0) | 61.2 (6.0) | 60.6 (5.9) | 60.9 (6.6) |
| Female, N (%) | 638 (66.3) | 455 (67.5) | 167 (63.5) | 16 (64.0) |
| Race/ethnicity, N (%) | ||||
| Non-Hispanic White | 534 (55.5) | 396 (58.8) | 130 (49.4)* | 8 (32.0)* |
| Non-Hispanic African-American | 387 (40.2) | 244 (36.2) | 126 (47.9)* | 17 (68.0)* |
| African-American mixed | 26 (2.7) | 20 (3.0) | 6 (2.3) | 0 (0.0) |
| Other | 15 (1.6) | 14 (2.1) | 1 (0.4) | 0 (0.0) |
| Chronic conditions,b N (%) | ||||
| Diabetes | 186 (19.3) | 124 (18.4) | 57 (21.7) | 5 (20.0) |
| Hypercholesterolemia | 496 (51.6) | 327 (48.5) | 156 (59.3)* | 13 (52.0) |
| Hypertension | 503 (52.3) | 356 (52.8) | 135 (51.3) | 12 (48.0) |
| Stroke | 32 (3.3) | 23 (3.4) | 9 (3.4) | 0 (0.0) |
| CES-Dc score ≥ 16, N (%) | 137 (14.2) | 86 (12.8) | 48 (18.3)* | 3 (12.0) |
| Cortisol metrics,d mean (SD) | ||||
| Pretest (nmol/L) | 2.21 (0.76) | 2.21 (0.75) | 2.22 (0.78) | 2.13 (0.68) |
| Mean (nmol/L) | 1.99 (0.67) | 2.00 (0.67) | 1.99 (0.67) | 1.83 (0.57) |
| Area Under Curve (nmol·min/L) | 310.42 (117.84) | 310.54 (117.19) | 310.38 (117.67) | 307.84 (140.72) |
| Time of sample measurement, N (%) | ||||
| 08:00 – 09:45-h | 358 (37.2) | 256 (38.0) | 95 (36.1) | 7 (28.0) |
| 09:46 – 14:30-h | 488 (50.7) | 335 (49.7) | 138 (52.5) | 15 (60.0) |
| 14:31 – 18:30-h | 116 (12.1) | 83 (12.3) | 30 (11.4) | 3 (12.0) |
indicates p-value < 0.05. p-values indicate whether variable distributions (categorical variables) or means (continuous variables) differ between persons with 1 or 2 ε4 alleles and persons with 0 ε4 alleles, and were calculated by two-sample tests of proportions or two-sample t-tests with unequal variances.
Self-reported as “has a doctor ever told you that you have …”
Center for Epidemiologic Studies Depression Scale
Cortisol sample values are natural-log-transformed prior to creation of metrics.
Cortisol metrics, APOE genotype, and cognitive function
In adjusted analysis of APOE main effects with the Pretest metric as a covariate, the presence of one ε4 allele (vs. none) was not associated with lower cognitive domain scores (Table 2 Model 1; results for Mean and AUC are similar and are not shown). In contrast, the presence of two ε4 alleles was associated with worse performance in the domains of processing speed, executive functioning, and verbal memory and learning (each p < 0.05)
Table 2.
Adjusted linear regression coefficients and standard errors for the pretest cortisol metric, APOE genotype, and the cortisol-APOE interaction as predictors of cognitive domain scores, Baltimore Memory Study, 2001–05.a
| LANG | PROC | EHC | EXEC | VML | VMEM | VISU | |
|---|---|---|---|---|---|---|---|
| MODEL 1: Pretest | |||||||
| Cortisol (Pretest: nmol/dL) | −0.04 (0.03) | −0.11 (0.05)** | −0.09 (0.03)** | −0.08 (0.03)** | −0.02 (0.04) | −0.03 (0.04) | 0.00 (0.04) |
| 1 ε4 allele vs none | −0.03 (0.05) | −0.10 (0.07) | −0.05 (0.05) | −0.05 (0.05) | 0.01 (0.06) | 0.00 (0.05) | −0.01 (0.05) |
| 2 ε4 alleles vs none | 0.00 (0.13) | −0.35 (0.18)* | −0.20 (0.14) | −0.37 (0.13)*** | −0.33 (0.16)** | −0.14 (0.15) | -0.14 (0.15) |
|
| |||||||
| MODEL 2: Pretest | |||||||
| Cortisol (Pretest: nmol/dL) | −0.01 (0.04) | −0.06 (0.05) | −0.04 (0.04) | −0.08 (0.04)** | −0.02 (0.05) | −0.03 (0.04) | −0.02 (0.04) |
| 1 ε4 allele vs none | −0.03 (0.05) | −0.12 (0.06) | −0.06 (0.05) | −0.05 (0.05) | 0.01 (0.06) | 0.00 (0.05) | −0.01 (0.05) |
| 2 ε4 alleles vs none | −0.03 (0.13) | −0.39 (0.17) | −0.22 (0.14) | −0.38 (0.13) | −0.39 (0.16) | −0.17 (0.15) | −0.18 (0.15) |
| Cortisol x 1 ε4 allele | −0.06 (0.06) | −0.09 (0.08) | −0.19 (0.06)*** | 0.01 (0.06) | 0.05 (0.07) | 0.01 (0.07) | 0.09 (0.07) |
| Cortisol x 2 ε4 alleles | −0.44 (0.19)** | −0.20 (0.24) | −0.30 (0.20) | −0.22 (0.19) | −0.68 (0.24)*** | −0.38 (0.22)* | −0.49 (0.22)** |
|
| |||||||
| χ2 test for interactionb | 6.38 (p = 0.041) | 1.18 (p = 0.555) | 10.61 (p = 0.005) | 1.43 (p = 0.490) | 9.35 (p = 0.009) | 3.08 (p = 0.214) | 7.27 (p = 0.026) |
Models 1 and 2: adjusted for age, race/ethnicity, sex, education, household wealth, technician, visit, and time of day. Cognitive domains are language (LANG), processing speed (PROC), eye-hand coordination (EHC), executive functioning (EXEC), verbal memory and learning (VML), visual memory (VMEM), and visuoconstruction (VISU). Cortisol values are natural-log transformed prior to metrics creation. The cortisol term is centered by the group mean level of the metric.
p < 0.01
p < 0.05
p < 0.10
Chi-square values are based on likelihood ratio testing from nested models with and without two cortisol-APOE interaction terms (Models 2a vs. Model 1). P-values (in parentheses) are derived from a χ2 test with 2 degrees of freedom.
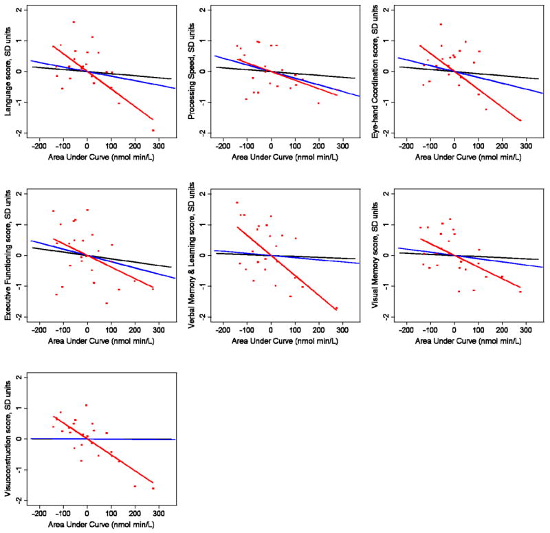
APOE genotype modified relations of cortisol with cognitive performance. Inclusion of cortisol-APOE interaction terms significantly improved fit (p < 0.05) over nested models in 14 of 21 models. Cortisol-APOE interactions for Pretest, Mean, and AUC were observed in the domains of language, eye-hand coordination, verbal memory and learning, and visuoconstruction (Table 2: Model 2 and Table 3; results for Mean are similar to those of Pretest and AUC and are not shown). Adjusted associations for AUC (from Model 2) stratified by ε4 genotype are graphically displayed in Figure 1. Interaction was most evident with the ε4/4 genotype. For the cross-product of cortisol with two ε4 alleles, beta coefficients were negative in all 21 models, with 13 Wald test p-values < 0.05. Additional adjustment for psychosocial and cardiovascular health and medication use in Model 3 did not substantially change these patterns of associations (results not shown).
Table 3.
Adjusted linear regression coefficients and standard errors for the area under curve (AUC) cortisol metric, APOE genotype, and cortisol-APOE interaction as predictors of cognitive domain scores, Baltimore Memory Study, 2001–05.
| LANG | PROC | EHC | EXEC | VML | VMEM | VISU | |
|---|---|---|---|---|---|---|---|
| MODEL 2: AUC | |||||||
| Cortisol (AUC: nmol* min/dL) | −0.07 (0.02)*** | −0.08 (0.03)*** | −0.06 (0.02)*** | −0.1 (0.02)*** | −0.02 (0.03) | −0.05 (0.03)* | −0.02 (0.03) |
| 1 ε4 allele vs none | -3.32 (4.43) | −12.49 (5.81)** | −6.31 (4.84) | −5.4 (4.59) | 1.43 (5.64) | 0.36 (5.33) | −1.37 (5.35) |
| 2 ε4 alleles vs none | −1.15 (12.37) | −37.93 (16.2)** | −20.66 (13.52) | −37.22 (12.81)*** | −35.11 (15.77)** | −14.53 (14.88) | −14.72 (14.97) |
| Cortisol x 1 ε4 allele | −0.05 (0.04) | −0.12 (0.05) | −0.14 (0.04)** | −0.04 (0.04)*** | −0.02 (0.05) | −0.01 (0.05) | 0.03 (0.05) |
| Cortisol x 2 ε4 alleles | −0.42 (0.09)*** | −0.13 (0.12) | −0.45 (0.1)*** | −0.27 (0.09)*** | −0.59 (0.11)*** | −0.35 (0.11)*** | −0.39 (0.11)*** |
|
| |||||||
| χ2 test for interaction | 23.56 (p < 0.0001) | 3.09 (p = 0.214) | 29.54 (p < 0.0001) | 8.83 (p = 0.012) | 26.92 (p < 0.0001) | 11.18 (p = 0.004) | 13.95 (p = 0.001) |
Model 2: adjusted for age, race/ethnicity, sex, education, household wealth, technician, visit, and time of day. Cognitive domains are language (LANG), processing speed (PROC), eye-hand coordination (EHC), executive functioning (EXEC), verbal memory and learning (VML), visual memory (VMEM), and visuoconstruction (VISU). Cortisol values are natural-log transformed prior to metrics creation. The cortisol term is centered by the group mean level of the metric. For ease of presentation, β coefficients and standard errors are multiplied by 100.
p < 0.01
p < 0.05
p < 0.10
Chi-square values are based on likelihood ratio testing from nested models with and without two cortisol-APOE interaction terms. P-values (in parentheses) are derived from a χ2 test with 2 degrees of freedom.
Figure 1.

Adjusted variables plots of cortisol area under curve with cognitive domain scores stratified by apolipoprotein ε4 genotype in 962 participants in the Baltimore Memory Study, 2001–05. Associations are adjusted for age, sex, technician, visit, household wealth, education, race/ethnicity, and time of day. The predicted linear fits are plotted for persons with no ε4 alleles (black); persons with one ε4 allele (blue); and persons with two ε4 alleles (red). Points are plotted for persons with ε4/4 genotype only (n = 25). Cognitive domain scores are plotted in standard deviation units. Cortisol values are natural-log transformed prior to metrics creation (see Methods). To ensure comparability, data for persons with no or one ε4 allele are restricted to the range of values of cortisol metrics for persons with two ε4 alleles.
Evaluation of the magnitude of the effect modification
Compared with persons with lower AUC cortisol (≤ 75th percentile) and no ε4 alleles (reference group), persons with higher cortisol (> 75th percentile) and no ε4 alleles performed significantly worse in language, processing speed, eye-hand coordination, and executive functioning (Table 4). Persons with one or two ε4 alleles but not higher cortisol did not perform significantly different from the reference group in any domain. However, persons with higher cortisol and one ε4 allele performed significantly worse in language, processing speed, eye-hand coordination, and executive functioning. Persons with higher cortisol and two ε4 alleles performed significantly worse in all domains, with estimates ranging from −0.84 SD (visuoconstruction) to −1.71 SD (verbal memory and learning). Additional analyses with the 75th percentile split applied to Pretest and Mean, and at additional cut-points (e.g., 70th and 80th percentiles) yielded similar conclusions.
Table 4.
Adjusted mean differences (95% CI) in cognitive domain scores by cortisol (CRT) levels and apolipoprotein ε4 genotype and comparisons with age in the Baltimore Memory Study.a
| LANG | PROC | EHC | EXEC | VML | VMEM | VISU | |
|---|---|---|---|---|---|---|---|
| Lower CRT/ε4=0 (53%)b | (reference) | (ref.) | (ref.) | (ref.) | (ref.) | (ref.) | (ref.) |
| Lower CRT/ε4=1 (21%) | -0.04 (-0.14, 0.06) | -0.05 (-0.19, 0.10) | 0.01 (-0.10, 0.12) | -0.01 (-0.12, 0.09) | 0.00 (-0.13, 0.13) | 0.01 (-0.11, 0.13) | -0.01 (-0.13, 0.11) |
| Lower CRT/ε4=2 (2%) | 0.29 (0.00, 0.58) | -0.21 (-0.62, 0.21) | 0.13 (-0.18, 0.45) | -0.07 (-0.36, 0.22) | 0.17 (-0.19, 0.54) | 0.18 (-0.16, 0.52) | 0.11 (-0.23, 0.46) |
| Higher CRT/ε4=0 (17%) | -0.20 (-0.31, -0.08) | -0.28 (-0.45, -0.12) | -0.18 (-0.30, -0.05) | -0.19 (-0.31, -0.08) | -0.07 (-0.21, 0.08) | -0.09 (-0.23, 0.04) | -0.07 (-0.20, 0.07) |
| Higher CRT/ε4=1 (6%) | -0.22 (-0.38, -0.06) | -0.57 (-0.81, -0.34) | -0.50 (-0.67, -0.32) | -0.39 (-0.56, -0.22) | -0.01 (-0.22, 0.19) | -0.11 (-0.31, 0.08) | -0.10 (-0.30, 0.10) |
| Higher CRT/ε4=2 (1%) | -0.92 (-1.38, -0.46) | -0.97 (-1.64, -0.31) | -1.20 (-1.70, -0.71) | -1.30 (-1.77, -0.83) | -1.71 (-2.30, -1.13) | -1.04 (-1.59, -0.49) | -0.84 (-1.39, -0.29) |
|
| |||||||
| Age (one year)c | -0.03 (-0.03, -0.02) | -0.01 (-0.02, 0.00) | -0.04 (-0.05, -0.03) | -0.04 (-0.04, -0.03) | -0.02 (-0.03, -0.01) | -0.03 (-0.04, -0.02) | -0.02 (-0.03, -0.01) |
| Equivalent years of aged | |||||||
| Higher CRT/ε4=1 | 8.0 (1.7, 14.4) | 82.1 (-39.7, 204.0) | 12.7 (7.5, 18.0) | 10.6 (5.5, 15.8) | 0.6 (-8.7, 9.8) | 3.5 (-2.8, 9.9) | 5.4 (-5.5, 16.3) |
| Higher CRT/ε4=2 | 33.4 (14.8, 52.0) | 139.8 (-80.3, 360.0) | 30.9 (16.7, 45.1) | 35.5 (20.9, 50.2) | 76.4 (37.0, 115.8) | 33.1 (13.6, 52.7) | 44.9 (9.2, 80.6) |
Mean differences in cognitive domain scores (in standard deviation units) are estimated by a linear regression model adjusted for race/ethnicity, age, gender, household wealth, education, testing technician, study visit, and time of day of study visit. Higher CRT is defined as having AUC > 75th percentile; lower CRT is defined as having AUC 75th percentile; ε4=1 is defined as having ε2/4 or ε3/4 genotypes; ε4=2 is defined as having the ε4/4 genotype; ε4=0 defined as ε2/2, ε2/3, and ε3/3 genotypes. Reference category is Higher CRT/ε4=0. Cognitive domains are language (LANG), processing speed (PROC), eye-hand coordination (EHC), executive functioning (EXEC), verbal memory and learning (VML), visual memory (VMEM), and visuoconstruction (VISU).
Percentage of sample in each category.
Mean differences in cognitive domain scores associated with one year of aging.
The effect of having both higher CRT and one ε4 allele is expressed in terms of the number of years of aging required to yield an equivalent effect.
The magnitude of the cortisol-APOE interaction was next compared to the magnitude of the association of a one year increase of age at baseline. Possession of higher cortisol and one ε4 allele was equivalent to an increase ranging from 8.0 (95% CI: 1.7, 14.4) to 12.7 (7.5, 18.0) years of age at baseline for the domains of language, eye-hand coordination, and executive functioning. Estimates for the higher cortisol and two ε4 alleles group were considerably larger; for example, decrements in language scores for this group were equivalent to 33.4 years (14.8 to 52.0) of increased age.
DISCUSSION
Previously, we found that higher levels of the cortisol metrics Pretest, Mean, and AUC were associated with worse cognitive performance in a population of community-dwelling older adults. The present findings from the same study population suggest that APOE-ε4 genotype modifies the relation between cortisol and cognitive function such that the slopes of the adverse relations were steeper in the presence of the ε4 allele.
We observed cortisol-APOE interactions in a broad range of domains, including language, eye-hand coordination, executive functioning, verbal memory and learning, visual memory, and visuoconstruction. While memory-related associations with cortisol have been well-documented, there are few prior studies of non-memory associations. Therefore, we cannot speculate about the significance of domain-specific associations. However, since glucocorticoid receptors are well-distributed throughout the brain and APOE genotype influences multiple aspects of brain physiology, we believe that the observed interaction in multiple cognitive domains is biologically plausible. The strongest interactions were observed with the AUC metric with statistically significant interactions observed in six of seven domains. This may be because AUC, in contrast with Pretest and Mean, reflects both non-challenge and challenge cortisol levels as a more comprehensive indicator of HPA axis activity.
Interestingly, there were more significant associations, and the magnitudes of the associations were larger, for the cortisol-APOE-ε4 interactions than for ε4 alone. There were several associations of APOE genotype with cognitive decrements, especially among persons with two ε4 alleles, and these findings were generally consistent with prior evidence (14, 15). However, the data suggest that, among our study subjects, the independent influence of APOE-ε4 genotype on cognitive function may be less important than the combined roles of the genotype and environmental exposures such as stress (as measured by the cortisol metrics), an example of gene-environment interaction.
Our findings are supported by a recent study which found that persons with high self-reported stress levels and APOE-ε4 genotype performed worse on several memory tasks (28). Because the relation of self-reported chronic stress with the underlying biology of the HPA axis is somewhat unclear, the assessment of HPA axis functioning in the present study provides additional insight into possible biological mechanisms, discussed below. We also extend these findings through use of a broader cognitive battery and a larger and younger population-based sample in which cognitive decline may not be as readily evident.
Population stratification is a possibility, given the strong representation of African-Americans in our study population and the higher proportion of African-American individuals with an ε4 allele. We addressed this concern by conducting stratified analyses separately for whites and African-Americans. We analyzed a model with an indicator for ε4 allele and its cross-product with cortisol along with Model 1 covariates and compared results between the two race/ethnicity groups. While patterns of statistical significance changed due to decreased sample size in each stratum, the magnitudes and signs of coefficients for cross-product terms were qualitatively similar by race/ethnicity. This suggests that population stratification is unlikely to account for our findings.
Our results have several limitations. First, subjects were not clinically assessed for dementia. Estimates place the prevalence of dementia from ages 60–64 at < 1% and from 65–69 at < 2% (29). In our relatively young community-dwelling and population-based sample, it is unlikely that the prevalence of dementia would be high enough to influence our results. In addition, subjects were not excluded from the study based on drug or medication use that could have altered cognition. However, our previous analysis showed that adjustment for alcohol, tobacco, recreational drug use, and medication use (anti-depressants, anxiety medications, and hormone replacement therapy) did not substantially alter the main effect associations of the cortisol metrics with cognitive performance (23). Another limitation is the collection of cortisol across an approximately 10-hour time range. However, prior studies suggest that comparable HPA axis responses to psychosocial challenges can be reliably measured in the morning and afternoon (30). Furthermore, our analysis of cortisol main effects showed no indication that results varied whether participants were sampled in the morning or afternoon (23) and time of sampling did not vary by genotype. We therefore do not believe that sampling at different times of the day accounts for our results.
Because our analysis was cross-sectional, we cannot be certain about the temporal relations of our measurements of cortisol and cognitive function. However, several lines of evidence allow us to infer that the HPA axis dysregulation we believe the cortisol metrics measure can be placed before the measured cognitive function. Although cortisol was assessed at the same time as cognitive testing, we previously found that: 1) adjustment for perceived distress at time of sampling did not alter the associations of cortisol and cognitive performance; and, 2) the metric slope12, the rate of change in cortisol from the pretest to the second measurement shortly after the peak difficulty in cognitive testing, was not associated with cognitive performance (23). These observations indicate that associations between cortisol and cognitive function likely were not due to acute, short-latency effects but rather longer-term effects of cortisol that preceded the study visit. This is in accordance with longitudinal studies (8–10) that provide evidence for the chronic effects of excess glucocorticoids on cognitive decline. Because temporality in the case of a genetic polymorphism is not a concern, we believe that elevated cortisol and APOE genotype-specific effects both temporally precede any decrements in cognitive function in older age.
While the roles of both APOE and cortisol in the pathogenesis of cognitive dysfunction are still not well-understood, several plausible biologic mechanisms can be proposed for the cortisol-APOE interaction. APOE genotype may modify the physiological consequences of HPA axis activity. For instance, the effects of environmental stressors (31) and administered corticosterone (32) on cognitive performance are conditional on APOE genotype in mice. In addition, APOE genotype may lower the neuronal threshold required for cortisol or neurotoxicants to produce neurodegenerative changes. Experimental stress conditions such as restraint or corticosterone injection produces dendritic atrophy of the hippocampus in rats, which is reversible with either termination of stress-inducing conditions or pharmacological treatment (33, 34). Apolipoprotein E has isoform-specific effects on neurite remodeling and its significant involvement with proliferation, repair, and remyelination can affect recovery from neurotoxic insults (11). Thus, the ability to recover from potentially reversible detrimental effects of cortisol, especially in the aging brain, may differ by APOE genotype.
It is also possible that cortisol may increase susceptibility of the brain to adverse events, such as the structural and functional changes mediated by apolipoprotein E. Corticosterone has been shown to exacerbate damage to hippocampal cell cultures by glutamate, FeSO4, and amyloid beta toxicities (35). In addition, elevated cortisol reduces hippocampal glucose metabolism in elderly persons (36). Given that older, non-demented ε4 carriers exhibit cerebral glucose hypometabolism in parietal, temporal, and posterior cingulate cortices (37), one possible mechanism for the interaction of APOE and cortisol takes place through coincident energetics disruption and the resulting impairment of neuronal calcium regulation (38).
Until this study’s findings are replicated, discussion of relevant clinical implications may be premature. Nevertheless, it is intriguing that both glucocorticoids and APOE have been implicated as playing a central role in the disease process of AD. Experiments in a mouse model have shown that stress-level glucocorticoid administration increases production of Aβ and accumulation of tau pathology (39), suggesting that the higher cortisol levels often found in AD patients are not merely a consequence of the disease. Additionally, higher plasma cortisol levels in persons with AD are associated with accelerated progression of dementia symptoms and more rapidly decreasing cognitive performance (40). It is possible that the HPA axis and APOE genotype may have joint effects in the disease process of AD.
In summary, the results from this study indicate that APOE-ε4 genotype may influence vulnerability to the effects of HPA axis dysregulation on cognitive function. Given that the cortisol metrics may capture HPA axis dysregulation and that such dysregulation could result from chronic stress, it is plausible that the results here are evidence of a gene-environment interaction concerning the adverse effects of the environment and its psychosocial hazards on the cognitive function of older persons.
Acknowledgments
We wish to thank Anne Jedlicka for assistance with genotyping.
This work was supported by research grants from the National Institutes of Health (R01 AG19604) and the Johns Hopkins Bayview Medical Center General Clinical Research Center (MO1 RR02719).
Footnotes
Disclosure: The authors have reported no conflicts of interest.
Presented at the 59th Annual Scientific Meeting of The Gerontological Society of America, Dallas, Texas, 19 November 2006.
WORKS CITED
- 1.Uno H, Tarara R, Else JG, Suleman MA, Sapolsky RM. Hippocampal damage associated with prolonged and fatal stress in primates. J Neurosci. 1989;9:1705–1711. doi: 10.1523/JNEUROSCI.09-05-01705.1989. [DOI] [PMC free article] [PubMed] [Google Scholar]
- 2.Gould E, Tanapat P, McEwen BS, Flugge G, Fuchs E. Proliferation of granule cell precursors in the dentate gyrus of adult monkeys is diminished by stress. Proc Natl Acad Sci U S A. 1998;95:3168–3171. doi: 10.1073/pnas.95.6.3168. [DOI] [PMC free article] [PubMed] [Google Scholar]
- 3.Magarinos AM, Verdugo JM, McEwen BS. Chronic stress alters synaptic terminal structure in hippocampus. Proc Natl Acad Sci U S A. 1997;94:14002–14008. doi: 10.1073/pnas.94.25.14002. [DOI] [PMC free article] [PubMed] [Google Scholar]
- 4.Radley JJ, Rocher AB, Miller M, Janssen WG, Liston C, Hof PR, McEwen BS, Morrison JH. Repeated stress induces dendritic spine loss in the rat medial prefrontal cortex. Cereb Cortex. 2006;16:313–320. doi: 10.1093/cercor/bhi104. [DOI] [PubMed] [Google Scholar]
- 5.McEwen BS. The neurobiology of stress: from serendipity to clinical relevance. Brain Res. 2000;886:172–189. doi: 10.1016/s0006-8993(00)02950-4. [DOI] [PubMed] [Google Scholar]
- 6.Sapolsky RM. Glucocorticoids, stress, and their adverse neurological effects: relevance to aging. Exp Gerontol. 1999;34:721–732. doi: 10.1016/s0531-5565(99)00047-9. [DOI] [PubMed] [Google Scholar]
- 7.Lupien SJ, de Leon M, de Santi S, Convit A, Tarshish C, Nair NP, Thakur M, McEwen BS, Hauger RL, Meaney MJ. Cortisol levels during human aging predict hippocampal atrophy and memory deficits. Nat Neurosci. 1998;1:69–73. doi: 10.1038/271. [DOI] [PubMed] [Google Scholar]
- 8.Karlamangla AS, Singer BH, Chodosh J, McEwen BS, Seeman TE. Urinary cortisol excretion as a predictor of incident cognitive impairment. Neurobiol Aging. 2005;26(Suppl 1):80–84. doi: 10.1016/j.neurobiolaging.2005.09.037. [DOI] [PubMed] [Google Scholar]
- 9.Li G, Cherrier MM, Tsuang DW, Petrie EC, Colasurdo EA, Craft S, Schellenberg GD, Peskind ER, Raskind MA, Wilkinson CW. Salivary cortisol and memory function in human aging. Neurobiol Aging. 2005 doi: 10.1016/j.neurobiolaging.2005.09.031. [DOI] [PubMed] [Google Scholar]
- 10.Seeman TE, McEwen BS, Singer BH, Albert MS, Rowe JW. Increase in urinary cortisol excretion and memory declines: MacArthur studies of successful aging. J Clin Endocrinol Metab. 1997;82:2458–2465. doi: 10.1210/jcem.82.8.4173. [DOI] [PubMed] [Google Scholar]
- 11.Huang Y. Apolipoprotein E and Alzheimer disease. Neurology. 2006;66:S79–85. doi: 10.1212/01.wnl.0000192102.41141.9e. [DOI] [PubMed] [Google Scholar]
- 12.Corder EH, Saunders AM, Strittmatter WJ, Schmechel DE, Gaskell PC, Small GW, Roses AD, Haines JL, Pericak-Vance MA. Gene dose of apolipoprotein E type 4 allele and the risk of Alzheimer’s disease in late onset families. Science. 1993;261:921–923. doi: 10.1126/science.8346443. [DOI] [PubMed] [Google Scholar]
- 13.Saunders AM, Strittmatter WJ, Schmechel D, George-Hyslop PH, Pericak-Vance MA, Joo SH, Rosi BL, Gusella JF, Crapper-MacLachlan DR, Alberts MJ, et al. Association of apolipoprotein E allele epsilon 4 with late-onset familial and sporadic Alzheimer’s disease. Neurology. 1993;43:1467–1472. doi: 10.1212/wnl.43.8.1467. [DOI] [PubMed] [Google Scholar]
- 14.Small BJ, Rosnick CB, Fratiglioni L, Backman L. Apolipoprotein E and cognitive performance: a meta-analysis. Psychol Aging. 2004;19:592–600. doi: 10.1037/0882-7974.19.4.592. [DOI] [PubMed] [Google Scholar]
- 15.Blair CK, Folsom AR, Knopman DS, Bray MS, Mosley TH, Boerwinkle E. APOE genotype and cognitive decline in a middle-aged cohort. Neurology. 2005;64:268–276. doi: 10.1212/01.WNL.0000149643.91367.8A. [DOI] [PubMed] [Google Scholar]
- 16.Moffat SD, Szekely CA, Zonderman AB, Kabani NJ, Resnick SM. Longitudinal change in hippocampal volume as a function of apolipoprotein E genotype. Neurology. 2000;55:134–136. doi: 10.1212/wnl.55.1.134. [DOI] [PubMed] [Google Scholar]
- 17.Persson J, Lind J, Larsson A, Ingvar M, Cruts M, Van Broeckhoven C, Adolfsson R, Nilsson LG, Nyberg L. Altered brain white matter integrity in healthy carriers of the APOE epsilon4 allele: a risk for AD? Neurology. 2006;66:1029–1033. doi: 10.1212/01.wnl.0000204180.25361.48. [DOI] [PubMed] [Google Scholar]
- 18.Teasdale GM, Murray GD, Nicoll JA. The association between APOE epsilon4, age and outcome after head injury: a prospective cohort study. Brain. 2005;128:2556–2561. doi: 10.1093/brain/awh595. [DOI] [PubMed] [Google Scholar]
- 19.Stewart WF, Schwartz BS, Simon D, Kelsey K, Todd AC. ApoE genotype, past adult lead exposure, and neurobehavioral function. Environ Health Perspect. 2002;110:501–505. doi: 10.1289/ehp.02110501. [DOI] [PMC free article] [PubMed] [Google Scholar]
- 20.Bunce D, Kivipelto M, Wahlin A. Apolipoprotein E, B vitamins, and cognitive function in older adults. J Gerontol B Psychol Sci Soc Sci. 2005;60:P41–48. doi: 10.1093/geronb/60.1.p41. [DOI] [PubMed] [Google Scholar]
- 21.Schafer JH, Glass TA, Bolla KI, Mintz M, Jedlicka AE, Schwartz BS. Homocysteine and cognitive function in a population-based study of older adults. J Am Geriatr Soc. 2005;53:381–388. doi: 10.1111/j.1532-5415.2005.53153.x. [DOI] [PubMed] [Google Scholar]
- 22.Haan MN, Shemanski L, Jagust WJ, Manolio TA, Kuller L. The role of APOE epsilon4 in modulating effects of other risk factors for cognitive decline in elderly persons. Jama. 1999;282:40–46. doi: 10.1001/jama.282.1.40. [DOI] [PubMed] [Google Scholar]
- 23.Lee BK, Glass TA, McAtee MJ, Wand GS, Bandeen-Roche K, Bolla KI, Schwartz BS. Associations of salivary cortisol with cognitive function in the Baltimore memory study. Arch Gen Psychiatry. 2007;64:810–818. doi: 10.1001/archpsyc.64.7.810. [DOI] [PubMed] [Google Scholar]
- 24.Schwartz BS, Glass TA, Bolla KI, Stewart WF, Glass G, Rasmussen M, Bressler J, Shi W, Bandeen-Roche K. Disparities in cognitive functioning by race/ethnicity in the Baltimore Memory Study. Environ Health Perspect. 2004;112:314–320. doi: 10.1289/ehp.6727. [DOI] [PMC free article] [PubMed] [Google Scholar]
- 25.Radloff L. The CES-D Scale: a self-report depression scale for research in the general population. Applied Psychological Measurement. 1977;1:385–401. [Google Scholar]
- 26.Shih RA, Glass TA, Bandeen-Roche K, Carlson MC, Bolla KI, Todd AC, Schwartz BS. Environmental lead exposure and cognitive function in community-dwelling older adults. Neurology. 2006;67:1556–1562. doi: 10.1212/01.wnl.0000239836.26142.c5. [DOI] [PubMed] [Google Scholar]
- 27.Pruessner JC, Kirschbaum C, Meinlschmid G, Hellhammer DH. Two formulas for computation of the area under the curve represent measures of total hormone concentration versus time-dependent change. Psychoneuroendocrinology. 2003;28:916–931. doi: 10.1016/s0306-4530(02)00108-7. [DOI] [PubMed] [Google Scholar]
- 28.Peavy GM, Lange KL, Salmon DP, Patterson TL, Goldman S, Gamst AC, Mills PJ, Khandrika S, Galasko D. The Effects of Prolonged Stress and APOE Genotype on Memory and Cortisol in Older Adults. Biol Psychiatry. 2007 doi: 10.1016/j.biopsych.2007.03.013. [DOI] [PMC free article] [PubMed] [Google Scholar]
- 29.Ferri CP, Prince M, Brayne C, Brodaty H, Fratiglioni L, Ganguli M, Hall K, Hasegawa K, Hendrie H, Huang Y, Jorm A, Mathers C, Menezes PR, Rimmer E, Scazufca M. Global prevalence of dementia: a Delphi consensus study. Lancet. 2005;366:2112–2117. doi: 10.1016/S0140-6736(05)67889-0. [DOI] [PMC free article] [PubMed] [Google Scholar]
- 30.Maheu FS, Collicutt P, Kornik R, Moszkowski R, Lupien SJ. The perfect time to be stressed: a differential modulation of human memory by stress applied in the morning or in the afternoon. Prog Neuropsychopharmacol Biol Psychiatry. 2005;29:1281–1288. doi: 10.1016/j.pnpbp.2005.08.012. [DOI] [PubMed] [Google Scholar]
- 31.Grootendorst J, de Kloet ER, Vossen C, Dalm S, Oitzl MS. Repeated exposure to rats has persistent genotype-dependent effects on learning and locomotor activity of apolipoprotein E knockout and C57Bl/6 mice. Behav Brain Res. 2001;125:249–259. doi: 10.1016/s0166-4328(01)00294-7. [DOI] [PubMed] [Google Scholar]
- 32.Grootendorst J, Kempes MM, Lucassen PJ, Dalm S, de Kloet ER, Oitzl MS. Differential effect of corticosterone on spatial learning abilities in apolipoprotein E knockout and C57BL/6J mice. Brain Res. 2002;953:281–285. doi: 10.1016/s0006-8993(02)03399-1. [DOI] [PubMed] [Google Scholar]
- 33.Conrad CD, LeDoux JE, Magarinos AM, McEwen BS. Repeated restraint stress facilitates fear conditioning independently of causing hippocampal CA3 dendritic atrophy. Behav Neurosci. 1999;113:902–913. doi: 10.1037//0735-7044.113.5.902. [DOI] [PubMed] [Google Scholar]
- 34.Sousa N, Lukoyanov NV, Madeira MD, Almeida OF, Paula-Barbosa MM. Reorganization of the morphology of hippocampal neurites and synapses after stress-induced damage correlates with behavioral improvement. Neuroscience. 2000;97:253–266. doi: 10.1016/s0306-4522(00)00050-6. [DOI] [PubMed] [Google Scholar]
- 35.Goodman Y, Bruce AJ, Cheng B, Mattson MP. Estrogens attenuate and corticosterone exacerbates excitotoxicity, oxidative injury, and amyloid beta-peptide toxicity in hippocampal neurons. J Neurochem. 1996;66:1836–1844. doi: 10.1046/j.1471-4159.1996.66051836.x. [DOI] [PubMed] [Google Scholar]
- 36.de Leon MJ, McRae T, Rusinek H, Convit A, De Santi S, Tarshish C, Golomb J, Volkow N, Daisley K, Orentreich N, McEwen B. Cortisol reduces hippocampal glucose metabolism in normal elderly, but not in Alzheimer’s disease. The Journal of clinical endocrinology and metabolism. 1997;82:3251–3259. doi: 10.1210/jcem.82.10.4305. [DOI] [PubMed] [Google Scholar]
- 37.Reiman EM, Caselli RJ, Yun LS, Chen K, Bandy D, Minoshima S, Thibodeau SN, Osborne D. Preclinical evidence of Alzheimer’s disease in persons homozygous for the epsilon 4 allele for apolipoprotein E. N Engl J Med. 1996;334:752–758. doi: 10.1056/NEJM199603213341202. [DOI] [PubMed] [Google Scholar]
- 38.Yusim A, Ajilore O, Bliss T, Sapolsky R. Glucocorticoids exacerbate insult-induced declines in metabolism in selectively vulnerable hippocampal cell fields. Brain Res. 2000;870:109–117. doi: 10.1016/s0006-8993(00)02407-0. [DOI] [PubMed] [Google Scholar]
- 39.Green KN, Billings LM, Roozendaal B, McGaugh JL, LaFerla FM. Glucocorticoids increase amyloid-beta and tau pathology in a mouse model of Alzheimer’s disease. J Neurosci. 2006;26:9047–9056. doi: 10.1523/JNEUROSCI.2797-06.2006. [DOI] [PMC free article] [PubMed] [Google Scholar]
- 40.Csernansky JG, Dong H, Fagan AM, Wang L, Xiong C, Holtzman DM, Morris JC. Plasma cortisol and progression of dementia in subjects with Alzheimer-type dementia. Am J Psychiatry. 2006;163:2164–2169. doi: 10.1176/appi.ajp.163.12.2164. [DOI] [PMC free article] [PubMed] [Google Scholar]
