Abstract
Cells aggressively defend adenosine nucleotide homeostasis; intracellular biosensors detect variations in energetic status and communicate with other cellular networks to initiate adaptive responses. Here, we demonstrate some new elements of this communication process, and we show that this networking is compromised by off-target, bioenergetic effects of some popular pharmacological tools. Treatment of cells with 5-aminoimidazole-4-carboxamide ribonucleoside (AICAR), so as to simulate elevated AMP levels, reduced the synthesis of bis-diphosphoinositol tetrakisphosphate ([PP]2-InsP4), an intracellular signal that phosphorylates proteins in a kinase-independent reaction. This was a selective effect; levels of other inositol phosphates were unaffected by AICAR. By genetically manipulating cellular AMP-activated protein kinase activity, we showed that it did not mediate these effects of AICAR. Instead, we conclude that the simulation of deteriorating adenosine nucleotide balance itself inhibited [PP]2-InsP4 synthesis. This conclusion is consistent with our demonstrating that oligomycin elevated cellular [AMP] and selectively inhibited [PP]2-InsP4 synthesis without affecting other inositol phosphates. In addition, we report that the short-term increases in [PP]2-InsP4 levels normally seen during hyperosmotic stress were attenuated by 2-(2-chloro-4-iodophenylamino)-N-cyclopropylmethoxy-3,4-difluoro-benzamide (PD184352). The latter is typically considered an exquisitely specific mitogen-activated protein kinase kinase (MEK) inhibitor, but small interfering RNA against MEK or extracellular signal-regulated kinase revealed that this mitogen-activated protein kinase pathway was not involved. Instead, we demonstrate that [PP]2-InsP4 synthesis was inhibited by PD184352 through its nonspecific effects on cellular energy balance. Two other MEK inhibitors, 1,4-diamino-2,3-dicyano-1,4-bis(methylthio)butadiene (U0126) and 2′-amino-3′-methoxyflavone (PD98059), had similar off-target effects. We conclude that the levels and hence the signaling strength of [PP]2-InsP4 is supervised by cellular adenosine nucleotide balance, signifying a new link between signaling and bioenergetic networks.
The inositol pyrophosphates [e.g., PP-InsP5 (“InsP7”) and [PP]2-InsP4 (“InsP8”)] are a specialized subgroup of the inositol phosphate signaling family. The inositol pyrophosphates regulate a diverse range of physiological processes, including apoptosis, vesicle trafficking, transcription, and DNA repair (Bennett et al., 2006). Recent evidence indicates that their “high-energy” pyrophosphate groups are deployed to directly phosphorylate a selected group of proteins through a mechanism that is independent of protein kinase activity (Saiardi et al., 2004; Bhandari et al., 2007). The degree of phosphorylation of these target proteins is proportional to the concentration of the inositol pyrophosphates (Saiardi et al., 2004). Thus, there is now a general anticipation that stimulus-dependent fluctuations in the cellular levels of inositol pyrophosphates might act as a signaling mechanism that directly controls protein function by altering the extent to which it is phosphorylated (Nagata et al., 2005; Lee et al., 2008). As a result, there is great interest in understanding the intracellular and extracellular factors that determine the cellular levels of inositol pyrophosphates. Our laboratory has made progress in this area by demonstrating that the [PP]2-InsP4 concentration in mammalian cells is strongly elevated by either a thermal challenge or hyperosmotic stress (Pesesse et al., 2004; Choi et al., 2005, 2007). We have attributed this phenomenon to stress-dependent activation of the kinases (PPIP5K) (Choi et al., 2007) that phosphorylate PP-InsP5 to [PP]2-InsP4; we (Choi et al., 2007) and others (Fridy et al., 2007) recently cloned these proteins.
In earlier studies (Pesesse et al., 2004; Choi et al., 2005), we demonstrated that this enhanced synthesis of [PP]2-InsP4 during hyperosmotic or thermal stress was attenuated when cells were treated with either of the two MEK inhibitors, PD98059 or U0126. These results led us to propose that PPIP5K activity is stimulated by the MEK/ERK kinase cascade (Pesesse et al., 2004; Choi et al., 2005). However, it has emerged that PD98059 and U0126, at concentrations used by us and by other laboratories, have an unexpected “off-target” effect upon adenosine nucleotide homeostasis (Yung et al., 2004; Dokladda et al., 2005). These two MEK inhibitors elicit approximately a 2-to 3-fold increase in the cellular [AMP]/[ATP] ratio in HEK cells (Dokladda et al., 2005). Cells have bioenergetic sensing modules that are quite sensitive to such changes in cellular adenosine nucleotide levels (Hardie and Hawley, 2001). The most ubiquitous and well characterized of these entities is the AMP-activated protein kinase (AMPK), a heterotrimeric protein complex containing a catalytic α-subunit and regulatory β- and γ-subunits (Hardie and Hawley, 2001). An increase in the [AMP]/[ATP] ratio activates AMPK directly and initiates a conformational change in AMPK that permits it to be phosphorylated and further activated by the tumor-suppressing serine/threonine kinase LKB1 (Hardie and Hawley, 2001). Dokladda et al. (2005) have reported that the bioenergetic stress brought about by PD98059 and U0126 causes a 2-fold increase in the degree of AMPK phosphorylation. This can influence cellular biochemistry and physiology in a number of ways. When activated, AMPK inhibits ATP-consuming anabolic processes (protein synthesis, gluconeogenesis, and fatty acid synthesis) and activates ATP-generating, catabolic pathways (glycolysis and fatty acid oxidation) (Hardie and Hawley, 2001). AMPK achieves these effects by both direct phosphorylation of target proteins and regulating gene expression (Hardie and Hawley, 2001).
In view of the nonspecific effects of PD98059 and U0126 on AMPK (see above), we used a molecular approach to reinvestigate the mechanism by which MEK inhibitors affect cellular [PP]2-InsP4 synthesis. We show here that this particular action of the inhibitors is independent of MEK. Yet we were surprised to find that inhibition of [PP]2-InsP4 synthesis by the MEK inhibitors is also independent of the concurrent activation of AMPK. We therefore investigated whether alterations in cellular adenosine nucleotide balance by itself can regulate [PP]2-InsP4 synthesis. Our data provide evidence of a novel link between an intracellular signal and the cellular energy-sensing apparatus.
Materials and Methods
Cell Culture
DDT1-MF2 hamster vas deferens smooth muscle cells and HEK cells were cultured in high-glucose (25 mM) medium (Invitrogen, Carlsbad, CA). Mouse embryo fibroblasts (MEFs) were kindly provided by Dr. Leif Ellisen (Harvard Medical School, Boston, MA). These cells were seeded in either 100-mm dishes (5 × 105 cells/dish) or 60-mm dishes (2.5 × 105 cells/dish) and cultured at 37°C in Dulbecco’s modified Eagle’s medium with 25 mM glucose supplemented with 10% fetal bovine serum (Hyclone, Logan, UT),100 U/ml penicillin, and 100 mg/ml streptomycin (GIBCO). Where indicated, cells were radiolabeled with [3H]inositol (PerkinElmer Life and Analytical Sciences, Waltham, MA) as described previously (Choi et al., 2005).
Measurements of Cellular Levels of Inositol Phosphates and Adenosine Nucleotides
Cellular levels of individual [3H]-inositol phosphates were determined by HPLC separation of perchloric acid-quenched cell extracts as described previously (Choi et al., 2005). The HPLC eluate was divided into 1-ml fractions that were individually mixed with scintillant and counted using a PerkinElmer liquid scintillation counter. For assays of adenosine nucleotides, perchloric acid-quenched extracts (Choi et al., 2005) were resolved by HPLC using a 0.46 × 25 cm Vydac 3021C HPLC column (Grace-Vydac, Hesperia, CA) (Zakaria and Brown, 1981). The [ATP] was directly measured from the absorbance at 260 nm. The region of the chromatogram containing AMP was saved, and [AMP] was quantified from the decrease in absorbance at 264 nm upon its metabolism to inosine after the addition of 5-nucleotidase plus adenosine deaminase (Sigma) (Belfield and Goldberg, 1969).
Molecular Constructs and Transfections
The cDNAs encoding dominant-negative (DN) hemagglutinin-tagged, full-length forms of AMPK-α1 and -α2 were kindly provided by Dr. K.-L. Guan (University of Michigan, Dearborn, MI). The vectors were as described previously (Inoki et al., 2003). Transfection of the cells were performed with 2 μg of constructs mixed with FuGene6 (Roche, Indianapolis, IN) in antibiotic-free, 10% Dulbecco’s modified Eagle’s medium for 16 h. For the controls, four micrograms of pcDNA3 was used. Cells were typically analyzed 24 h after transfection. The cDNA for green fluorescent protein was used to determine transfection efficiency (70-80%). The siRNA control (siCTL-Nontargeting Pool) and the siRNA oligonucleotides to knockdown human AMPK-α1, AMPK-α2, ERK1, ERK2, MEK1, and MEK2 were all purchased from Dharmacon RNA Technologies (Lafayette, CO). Cells were transfected at 30% confluence using 10 to 20 nM concentrations of each construct over a 16-h period using Lipofectamine 2000 (Invitrogen, Carlsbad, CA). Transfection efficiency (70%) was determined using BLOCK-iT fluorescent Oligo (Invitrogen). Finally, cells were serum-starved for 16 h before the initiation of the experiment.
Enzyme Assays
PPIP5K activity was purified from rat brain as described previously (Pesesse et al., 2004). Recombinant PPIP5K types 1 and 2 were prepared as described previously (Choi et al., 2007). Enzyme activity was assayed for 20 min at 37°C in 100 μl of buffer containing 20 mM HEPES, pH 7.2, 10 mM NaF, 4 mM ATP, 6 mM MgSO4, 1 mM EDTA, 1 mM dithiothreitol, 0.25 mg/ml bovine serum albumin, and 2 μM PP-[3H]InsP5 (3000 dpm). The PP-InsP5 was prepared as described previously (Choi et al., 2007). Reactions were quenched with perchloric acid and then neutralized and analyzed by HPLC as described previously (Choi et al., 2007).
Western Analysis
Anti-GAPDH (mouse monoclonal) antibodies were purchased from Ambion (Austin, TX). Other antibodies were purchased from Cell Signaling (Danvers, MA). The dilution factor was 1:1000 to 1:2000 for the primary antibodies (in Tris-buffered saline containing 0.05% Tween 20 and 5% nonfat dry milk) and 1:5000 for the horseradish peroxidase-linked secondary antibodies (in Tris-buffered saline containing 10 μg/ml bovine serum albumin). Cells were lysed with Mammalian Protein Extraction Reagent (Pierce, Rockford, IL) supplemented with protease inhibitor cocktail (Roche Diagnostics) and phosphatase inhibitor mixture (Sigma, St. Louis, MO). Lysates were cleared by centrifugation, and protein concentration was quantified by using the Bio-Rad protein assay (Bio-Rad Laboratories, Hercules, CA). Equal amounts of protein (40 μg) were applied to each lane of a NuPAGE 4 to 12% Bis-Tris precast gel (Invitrogen). After transfer to polyvinylidene difluoride membranes, samples were processed and visualized with ECL Western blotting reagents (GE Healthcare, Chalfont St. Giles, Buckinghamshire, UK) as described previously (Choi et al., 2005). All of the Western data shown in this study are representative of at least three independent experiments. For some experiments, Western blots were scanned (HP Scanjet 4470C, using Precisionscan Pro 3.1; Hewlett Packard, Palo Alto, CA), converted to tagged-image file format files, and then band intensities were quantified with Image-Quant (version 5.1; GE Healthcare).
Other Materials
Oligomycin, PD98059, and AICAR were purchased from Calbiochem (San Diego, CA). The U0126 was supplied by Sigma. PD184352 was kindly provided by Dr. P. Cohen at the University of Dundee (Scotland, UK).
Results
The Effects of Hyperosmotic Stress and PD184352 on Inositol Pyrophosphate Synthesis
In our earlier experiments (Pesesse et al., 2004; Choi et al., 2005) in which we used PD98059 and U0126 to inhibit MEK, we concluded that the MEK/ERK pathway activates PPIP5K activity after thermal or hyperosmotic stress. However, we have now revisited this conclusion, because these MEK inhibitors have been reported to have an additional off-target effect that places cells under some bioenergetic stress (Dokladda et al., 2005). There is an alternate MEK inhibitor, PD184352, that reportedly does not have this nonspecific effect, at least in HEK cells (Dokladda et al., 2005). We have now studied the effects of PD184352 on inositol pyrophosphate turnover in DDT1-MF2 cells.
The levels of inositol pyrophosphates were recorded by anion exchange HPLC analysis of cells labeled with [3H]-inositol through four cell generations (e.g., Fig. 1A). The levels of [PP]2-[3H]InsP4 in control cells (○, Fig. 1A) were relatively low compared with the levels of the PP-[3H]InsP5 and [3H]InsP6 precursors. On the other hand, the estimated cellular concentration of [PP]2-InsP4 (0.2 to 0.3 μM) (Safrany et al., 1998) is similar to that of another inositol phosphate signal, namely Ins(1,4,5)P3 (Irvine and Schell, 2001).
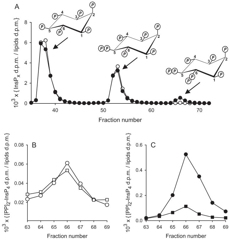
Fig. 1.
The effects of hyperosmotic stress and PD184352 on [PP]2-InsP4 levels in DDT1-MF2 cells. A, [3H]inositol-labeled DDT1-MF2 cells were incubated for 30 min with either vehicle (open symbols) or 0.2 M sorbitol (closed symbols). [3H]Inositol phosphates were then extracted and analyzed by HPLC and the chromatogram shows the elution of InsP6, PP-InsP5, and [PP]2-InsP4 (see Materials and Methods). The structures of these compounds are depicted above each peak. Note that the placement of the 6-diphosphate group in [PP]2-InsP4 is only tentative, based on an analysis of this material in Dictyostelium spp. (Laussmann et al., 1997); the structure of [PP]2-InsP4 has yet to be defined in mammalian cells. B, control cells were pretreated for 30 min with either vehicle (○) or 2 μM PD184352 (□) and only the elution of [PP]2-InsP4 is shown. C, cells were incubated with either vehicle (●) or 2 μM PD184352 (■) for 30 min before the addition of sorbitol for a further 30 min. Only the elution of [PP]2-InsP4 is shown.
We (Pesesse et al., 2004; Choi et al., 2007) demonstrated previously that the rate of synthesis of [PP]2-InsP4 in mammalian cells is accelerated after the simulation of hyperosmotic stress by the addition of 0.2 M sorbitol for 30 min. Similar effects were observed in the current study: levels of [PP]2-InsP4 increased severalfold without significantly affecting levels of the InsP6 and PP-InsP5 precursors (Fig. 1A). In our laboratory’s earlier experiments (Pesesse et al., 2004), we demonstrated that the sorbitol-dependent increases in [PP]2-InsP4 levels were attenuated by the addition of either 10 μM U0126 or 50 μM PD98059. In the current study, we found that 2 μM PD184352 also antagonized the effect of sorbitol upon [PP]2-InsP4 levels (Fig. 1C). None of these three MEK inhibitors affected the cellular levels of any of the other inositol phosphates (data not shown; Pesesse et al., 2004).
Pharmacological Inhibition of MEK Activates AMPK in DDT1-MF2 Cells
In an earlier study, Dokladda et al. (2005) treated HEK cells with U0126 and PD98059 at concentrations (20 μM and 50 μM, respectively) that are typically used by other groups to inhibit MEK. Dokladda et al. (2005) reported that these two MEK inhibitors had a nonspecific effect upon cellular bioenergetic status that led to activation of AMPK. We have now investigated whether the same phenomenon occurs in DDT1-MF2 smooth muscle cells. An increase in phosphorylation of AMPK at Thr-172 is considered to reflect an increase in AMPK activity (Hardie and Hawley, 2001). We found that 10 μM U0126 or 50 μM PD98059 each increased the degree of AMPK phosphorylation by 3- to 4-fold (Fig. 2). We additionally studied the phosphorylation status of acetyl-CoA carboxylase, a downstream targets of AMPK (Hardie and Hawley, 2001). We found that U0126 and PD98059 brought about a severalfold increase in the degree of acetyl-CoA carboxylase phosphorylation (Fig. 2).
Fig. 2.

MEK inhibitors activate AMPK. DDT1-MF2 cells were treated for 60 min with either 2 μM PD184352, 10 μM U0126, 50 μM PD98059, or with vehicle, and then samples were prepared for Western analysis of phosphorylated AMPK (P-AMPK), phosphorylated acetyl-CoA carboxylase (P-ACC), or total AMPK, as described under Materials and Methods. Densitometric analysis of three independent experiments revealed the following -fold increases in the degree of AMPK phosphorylation: 4.3 ± 1 by PD184352, 2.9 ± 0.8 by U0126, and 3.8 ± 0.6 by PD98059.
Dokladda et al. (2005) further reported that a third MEK inhibitor, PD184352, when used at a concentration of 2 to 4 μM, did not have these nonspecific effects upon the AMPK signaling cascade in HEK cells. In fact, PD184352 has undergone clinical trials as an anticancer agent, and there is a general view that it is an exquisitely specific MEK inhibitor (Bain et al., 2007). In contrast to this consensus of opinion, we have found that as little as 2 μM PD184352 can increase the degree of phosphorylation of both AMPK and acetyl-CoA carboxylase in DDT1-MF2 cells (Fig. 2). It is remarkable that three structurally distinct MEK inhibitors all have the same effect on AMPK (Fig. 2).
Knockdown of the MEK/ERK Pathway by RNAi Does Not Affect [PP]2-InsP4 Synthesis
We sought to determine whether the effect of the MEK inhibitors on stress-dependent stimulation of [PP]2-InsP4 synthesis by PPIP5K (Fig. 1C) is caused by inhibition of MEK or by their activation of AMPK (Fig. 2) (Dokladda et al., 2005). First, we used siRNA to “knock down” ERK1/2 expression by 80 to 90% in HEK cells (Fig. 3A). Despite the success of this knockdown, there was no impact on the sorbitol-dependent increase in [PP]2-InsP4 levels (Fig. 3D). We also used siRNA to reduce MEK1/2 expression by more than 70% (Fig. 3B), which was sufficient to prevent osmotic stress from enhancing the degree of phosphorylation of ERK (Fig. 3C). Nevertheless, this knockdown of MEK1/2 also had no impact on the ability of osmotic stress to increase cellular levels of [PP]2-InsP4 (Fig. 3E). We therefore conclude that the MEK/ERK pathway does not regulate [PP]2-InsP4 synthesis by PPIP5K. This is an important conclusion, because we now have to look to other signaling systems to explain how [PP]2-InsP4 synthesis is acutely activated by either hyperosmotic stress or by thermal challenges (Fig. 3) (Pesesse et al., 2004; Choi et al., 2005, 2007). It should be noted that there was no direct effect of MEK inhibitors on PPIP5K itself (Pesesse et al., 2004) (Table 1).
Fig. 3.
Knockdown of MEK or ERK does not prevent hyperosmotic stress from stimulating [PP]2-InsP4 synthesis in HEK cells. HEK cells were transfected with either control siRNA, or siRNA against MEK1/2, or siRNA against ERK1/2 as described under Materials and Methods. A and B, immunoblots of cell lysates using anti-ERK and anti-MEK antibodies. Densitometric analysis (see Materials and Methods) of three experiments indicated that the degree of knockdown of ERK ranged from 80 to 90%, whereas MEK knockdown exceeded 70%. C, immunoblot of anti-phospho-ERK in cells transfected with either control siRNA or siRNA against MEK. These cells were treated with either vehicle (labeled as “control”), 50 μM PD98059 for 60 min, or 0.2 M sorbitol for 30 min (labeled as “Sor”), or both PD98059 plus sorbitol. [PP]2-InsP4 levels in [3H]inositol-labeled cells were also analyzed in either control cells (■) or in cells transfected with siRNA against either ERK1/2 (C) or MEK1/2 (D), all of which were treated with 0.2 M sorbitol for 30 min.
TABLE 1.
Reagents deployed in the current study that do not directly affect PPIP5K activity in vitro
All four reagents were tested using native PPIP5K (Pesesse et al., 2004) purified from rat brain, and recombinant PPIP5K types 1 and 2 (Choi et al., 2007), each incubated in 100 μl of buffer as described under Materials and Methods. Reactions were quenched, neutralized, and analyzed by HPLC as described under Materials and Methods. Each experiment was performed two to three times, and the kinase activity under the indicated test condition was less than 5% different from the corresponding control assays. The incubations that contained AMP were supplemented with 100 μM Ap5A, an inhibitor of adenylate kinase
| Compound | Concentration |
|---|---|
| AMP | 0.5, 1, and 2 mM |
| AICAR | 2 and 4 mM |
| PD184352 | 2 μM |
| Oligomycin | 5 μM |
[PP]2-InsP4 Synthesis Is Inhibited by Treating Cells with AICAR
We next investigated whether the inhibition of stress-dependent [PP]2-InsP4 synthesis by MEK inhibitors might bear some relationship to their off-target effects on AMPK (Fig. 2). For these experiments we used AICAR. Upon its uptake into cells, AICAR is metabolized to ZMP, an AMP-mimetic that causes AMPK activation (Hardie and Hawley, 2001). Others have shown that this AICAR treatment does not itself alter cellular levels of ATP or AMP (Merrill et al., 1997; Fryer et al., 2002; Luiken et al., 2003). In agreement with those earlier experiments, AICAR did not alter levels of either [ATP] (Fig. 4A) or [AMP] (Fig. 4B) in DDT1-MF2 cells incubated in iso-osmotic conditions.
Fig. 4.
The effects of AICAR and osmotic stress on inositol pyrophosphate turnover. [3H]Inositol-labeled DDT1-MF2 cells were treated for 60 min with either 2 mM AICAR or vehicle before the addition of 0.2 M sorbitol or vehicle (for a further 30 min). In parallel experiments, cells were quenched, neutralized, and analyzed either for ATP (A) or AMP (B). C, representative anti-phospho-AMPK immunoblot. Densitometric analysis of four experiments indicated the following -fold increases in AMPK phosphorylation: AICAR alone, 3.6 ± 0.7; sorbitol + AICAR, 2.7 ± 0.3. Sorbitol by itself activated AMPK within 2-5 min (data not shown), but this response was transient; in five of eight experiments, the degree of AMPK phosphorylation gradually returned to baseline, usually by the 30 min time point. Shown is one of three experiments in which the phospho-AMPK signal was still 2-fold elevated at the 30-min time point. Also shown are the levels of [PP]2-InsP4 (D) and PP-InsP5 (E). The latter data were obtained from four to seven experiments (means ± S.E.). Asterisks depict the effects of AICAR that are statistically significant (*, p < 0.05; **, p < 0.01).
The treatment of DDT1-MF2 cells with AICAR elicited a 3.6 ± 0.7-fold (n = 4) increase in the degree of AMPK phosphorylation at Thr-172 (Fig. 4C provides a representative example). This AICAR treatment also reduced steady-state [PP]2-InsP4 levels by approximately 30% (p < 0.01; Fig. 4D). No other inositol phosphates showed this response, including PP-InsP5 (Fig. 4E and data not shown). Thus, [PP]2-InsP4 synthesis is specifically inhibited after AICAR treatment. This is a novel effect of AICAR that has important ramifications concerning how we interpret previous work with this compound. In control experiments, we found that AICAR did not have a direct effect on PPIP5K (Table 1).
We further found that AICAR treatment strongly attenuated the elevation in [PP]2-InsP4 levels that occurs in response to hyperosmotic stress (Fig. 4D). We attribute this effect to the AICAR treatment simulating an increase in cellular [AMP]. There was no effect of AICAR on actual AMP levels in sorbitol-treated cells (Fig. 4B). AICAR did cause ATP levels to increase in the sorbitol-treated cells (Fig. 4A). However, an increase in cellular [ATP] is not indicative of a general deterioration of adenosine nucleotide balance.
The inhibitory effect of AICAR upon [PP]2-InsP4 synthesis (Fig. 4) is not restricted to DDT1-MF2 cells. We have observed similar effects of AICAR in a human keratinocyte cell line, HaCaT (data not shown), the U2-OS osteosarcoma (data not shown), and MEFs (see below), although the degree to which AICAR inhibited [PP]2-InsP4 synthesis varied between these different cell types. However, in HEK cells, AICAR is not phosphorylated to ZMP, and therefore, AMPK is not activated (data not shown; Marsin et al., 2000). It was therefore a useful control experiment to verify that [PP]2-InsP4 levels in HEK cells were also not affected by AICAR treatment (measured as 103 × dpm/dpm lipid) in either nonstressed cells (no AICAR = 0.02 ± 0.003; + AICAR = 0.017 ± 0.003; p > 0.1) or in cells subjected to osmotic stress (no AICAR = 0.28 ± 0.02; + AICAR = 0.39 ± 0.08; p > 0.1). These data reinforce our proposal that it is not AICAR itself but its metabolism to the AMP-mimetic, ZMP, that regulates [PP]2-InsP4 synthesis.
Down-Regulation of Cellular AMPK Activity Does Not Prevent AICAR from Inhibiting [PP]2-InsP4 Synthesis
We next used a genetic approach to determine whether AMPK regulates [PP]2-InsP4 synthesis in mammalian cells. The catalytic core of AMPK is its α-subunit; two α isoforms are expressed in mammalian cells (Hardie and Hawley, 2001). Therefore, we transiently overexpressed hemagglutinin-tagged, full-length, dominant-negative constructs of both α1 (D159A; Inoki et al., 2003) and α2 (D157A; Inoki et al., 2003) subunits of AMPK in DDT1-MF2 cells. Immunoblotting with antihemagglutinin antibodies confirmed that these proteins were expressed (Fig. 5A). The constructs were also determined to be functional because they reduced the ability of AICAR to phosphorylate AMPK (Fig. 5A), and they attenuated the AMPK-dependent increase in acetyl-CoA carboxylase phosphorylation (Fig. 5C).
Fig. 5.
The effect of DN-AMPK on [PP]2-InsP4 levels in DDT1-MF2 cells. DDT1-MF2 cells were transfected for 48 h with DN hemagglutinin-tagged, AMPK-α1 plus DN AMPK-α2 constructs, or vector alone, as described under Materials and Methods. Then the cells were treated with vehicle, 0.2 M sorbitol for 30 min, or 2 mM AICAR for 60 min followed by 30 min with 0.2 M sorbitol. A, cell lysates were analyzed for expression of the DN constructs (using antihemagglutinin antibody) and phosphorylation of Thr-172 of AMPK, as described under Materials and Methods. In parallel (B), the level of [PP]2-InsP4 in [3H]inositol-labeled DDT1-MF2 cells was measured by HPLC (vector, black bars; DN constructs, grey bars). Data are from three independent experiments. C, the degree of phosphorylation of acetyl-CoA carboxylase.
If AMPK had been responsible for mediating the AICAR-dependent decrease in [PP]2-InsP4 levels, then the dominant-negative constructs should have reversed this effect of AICAR. No such effect was observed, either in cells subjected to osmotic shock or in vehicle-treated controls (Fig. 5B). These data indicate that it is not AMPK that mediates the effects of AICAR upon [PP]2-InsP4 signaling. Note that the slight decrease in the levels of [PP]2-InsP4 after transfection with the dominant-negative constructs (Fig. 5B) was not a statistically significant effect.
Finally, we examined the effects of AICAR upon [PP]2-InsP4 synthesis in cells in which AMPK was knocked down by RNAi. For these experiments, we required a cell line that could satisfy three criteria: first, the sequences of the AMPK genes must be known; second, the endogenous AMPK had to be susceptible to activation by AICAR treatment; and third, the [PP]2-InsP4 pool had to be readily radiolabeled using [3H]inositol. We found that MEF cells met all of these requirements. We transfected MEF cells with siRNA against both AMPK-α1 and AMPK-α2, thereby reducing total AMPK levels by 65% (Fig. 6A). This genetic maneuver substantially compromised the AMPK cascade, eliminating the phosphorylation of acetyl-CoA carboxylase normally observed in cells treated with AICAR (Fig. 6B). Controls showed that total acetyl-CoA carboxylase protein was not affected (Fig. 6B).
Fig. 6.
Knockdown of AMPK by siRNA does not affect the reduction in [PP]2-InsP4 levels brought about by treatment with AICAR. MEF cells were pretreated for 1 h with 2 mM AICAR followed by 30-min treatment with either vehicle or 0.2 M sorbitol as indicated. Cells were also transfected with 20 nM concentration of either siCTL nontargeting pool or siRNA against AMPK-α1 plus AMPK-α2, as indicated. A, Western analysis of total AMPK in cells. B, Western analysis of phosphorylation of acetyl-CoA carboxylase (ACC); total ACC and GAPDH serve as loading controls. C and D, cellular levels of [PP]2-InsP4.
When MEF cells were osmotically stressed with 0.2 M sorbitol, levels of [PP]2-InsP4 were elevated approximately 16-fold (Fig. 6C). The degree of this effect was not affected by knockdown of AMPK (Fig. 6, C and D). Treatment of these cells with AICAR attenuated the sorbitol-dependent increase in [PP]2-InsP4 levels by 40 to 50% (Fig. 6, C and D). The degree of this effect of AICAR was not reduced when AMPK expression was down-regulated (Fig. 6, C and D). In summary, these experiments with RNAi and our use of dominant-negative constructs (see above) lead us to conclude that AICAR reduces [PP]2-InsP4 synthesis by a novel mechanism that is independent of AMPK.
[PP]2-InsP4 Synthesis Is Sensitive to Oligomycin Treatment
We have shown that AICAR and the MEK inhibitors, which are two classes of completely different drugs, nevertheless have in common the ability to inhibit [PP]2-InsP4 synthesis (see above). It is also notable that MEK inhibitors increase the degree of AMPK phosphorylation (Fig. 2), which is a phenomenon also elicited by AICAR treatment (Fig. 4). Because AMPK itself does not regulate [PP]2-InsP4 metabolism, it is our hypothesis that the cell’s adenosine nucleotide balance supervises the degree of [PP]2-InsP4 synthesis. We have now used a third independent protocol to test this conclusion. We incubated DDT1-MF2 cells with the mitochondrial poison oligomycin (5 μM for 60 min) in media containing high (25 mM) glucose so as to facilitate glycolytic ATP production. Under these conditions, AMP levels were elevated approximately 4-fold (Fig. 7B), confirming that the cells were subjected to bioenergetic stress after oligomycin treatment, even though ATP levels were not significantly reduced (Fig. 7A).
Fig. 7.
The effect of oligomycin on the synthesis of inositol pyrophosphates in DDT1-MF2 cells. Nonradiolabeled (A and B) or [3H]inositol-labeled (C, D, and E) DDT1-MF2 cells were treated for 1 h with either vehicle or 0.2 M sorbitol or 5 μM oligomycin before extraction and analysis of levels of either ATP (A), AMP (B), [3H]InsP6 (C), PP-[3H]InsP5 (D), or [PP]2-[3H]InsP4 (E). Data are means ± S.E. from four to five experiments. Asterisks depict the effects of oligomycin that are statistically significant (**, p < 0.01).
Cellular levels of InsP5, InsP6, and PP-InsP5 were not significantly affected by our oligomycin protocol (Fig. 7, C and D; data not shown). However, there was a dramatic and specific decrease in [PP]2-InsP4 levels after oligomycin treatment (Fig. 7E). Note that oligomycin did not itself directly inhibit PPIP5K (Table 1). We also demonstrated that oligomycin imitated the ability of AICAR to attenuate sorbitol-dependent increases in [PP]2-InsP4 levels (Fig. 7E). These data confirm the selective sensitivity of [PP]2-InsP4 synthesis to bioenergetic stress.
Discussion
There are several new conclusions in this study. First, we demonstrated that PD184352, previously considered an exquisitely specific MEK inhibitor (Bain et al., 2007), in fact, has a significant off-target action that it shares with U0126 and PD98059: the ability to activate AMPK. Second, using a molecular approach, we have shown that U0126, PD98059, and PD184352 have an additional nonspecific effect, namely, to reverse stress-dependent activation of PPIP5K activity. This leads us to retract our earlier conclusion (Pesesse et al., 2004; Choi et al., 2005) that the ERK/MEK pathway regulates PPIP5K. Third, we have discovered that [PP]2-InsP4 synthesis is inhibited by an AICAR, a drug that is frequently deployed in the belief that it selectively activates AMPK. Moreover, we demonstrate that this particular effect of AICAR upon [PP]2-InsP4 synthesis is not mediated by its canonical target, AMPK. Finally, by using RNA interference and three independent pharmacological tools—oligomycin, AICAR, and MEK inhibitors—we have demonstrated that cellular levels of [PP]2-InsP4 are closely linked to cellular energy homeostasis. These data point to a novel means by which cellular energy homeostasis communicates with a cell signaling cascade. This is a phenomenon that is highly specific to [PP]2-InsP4; the other higher inositol phosphates inside cells, namely, PP-InsP5, InsP6 and InsP5, do not show this response.
[PP]2-InsP4 belongs to the pyrophosphorylated subgroup of the inositol phosphate signaling family; these inositol pyrophosphates regulate apoptosis, vesicle trafficking, transcription, and DNA repair (Bennett et al., 2006). To achieve these effects, inositol pyrophosphates competitively antagonize the functionally significant binding of inositol lipids to certain target proteins (Ali et al., 1995; Luo et al., 2003). Inositol pyrophosphates may also act as allosteric regulators of protein function (Lee et al., 2008). In addition, inositol pyrophosphates can directly phosphorylate proteins (Saiardi et al., 2004; Bhandari et al., 2007). In all of these cases, the signaling intensity of the inositol pyrophosphates is dictated by their intracellular concentrations (Ali et al., 1995; Luo et al., 2003; Saiardi et al., 2004). However, limited knowledge of the mechanisms that control cellular levels of the inositol pyrophosphates is hindering our insight into their roles as intracellular signals. This is why it is so important to understand how inositol pyrophosphate turnover is regulated. Some insight into this issue has come from previous work from this laboratory, which demonstrated that the rate of [PP]2-InsP4 synthesis is accelerated by either hyperosmotic stress (Pesesse et al., 2004) or by a thermal challenge (Choi et al., 2005). The work in the current study adds to our understanding of the biological regulation of inositol pyrophosphate turnover by showing that bioenergetic stress can inhibit [PP] 2-InsP4 synthesis. This work also reveals new aspects of functional hierarchy (Figs. 4 and 7); the inhibition of [PP]2-InsP4 synthesis by bioenergetic stress (either caused by oligomycin or simulated by AICAR) is dominant over the enhanced synthesis of [PP]2-InsP4 that normally follows hyperosmotic stress (simulated by sorbitol).
What is the biological significance of [PP]2-InsP4 synthesis being sensitive to the bioenergetic health of the cell? ATP is consumed to sustain the ongoing metabolic flux through the kinase/phosphatase cycles that direct inositol pyrophosphate synthesis and degradation (Menniti et al., 1993). Thus, a decreased rate of synthesis of [PP]2-InsP4 in response to bioenergetic stress might help to conserve cellular ATP reserves. In addition, several of the cellular processes that are stimulated by inositol pyrophosphates are themselves substantial energy consumers, including vesicle trafficking DNA repair and transcription. It may become expedient to reduce the energy investment in these processes, when the cell’s energetic status is under stress. It is also tempting to speculate that decreases in [PP]2-InsP4 levels may, like AMPK, have additional cell-signaling effects, which aid bioenergetic homeostasis; this might be a profitable direction for future research.
Another biologically important situation to which our data may be relevant is an earlier observation that receptor-dependent elevations in cAMP inhibits the cellular synthesis of [PP]2-InsP4 (Safrany and Shears, 1998). The mechanism behind this effect has never been established, although we have excluded both protein kinase A (Safrany and Shears, 1998) and exchange protein directly activated by cAMP (data not shown) from being involved. It is therefore of interest that receptor-dependent increases in cAMP have been reported to activate AMPK in adipocytes (Yin et al., 2003; Daval et al., 2005). We have found a similar effect to occur in DDT1-MF2 cells (data not shown). However, cAMP is known not to activate AMPK directly (Carling et al., 1989; Henin et al., 1996). Others (Epperson et al., 2005) have speculated that, in some cell types, receptor-dependent cAMP turnover might generate sufficient AMP to activate AMPK. In addition, the current study reveals that [PP]2-InsP4 synthesis is inhibited when cellular energy status is perturbed. Maybe this explains why increases in cellular [cAMP] are associated with reduced levels of [PP]2-InsP4.
We have shown that the synthesis of [PP]2-InsP4 by PPIP5K is inhibited by an elevation in cellular [AMP], which we simulated by using AICAR (Hardie and Hawley, 2001). The AMPK (Hardie and Hawley, 2001) is typically credited with being the major cellular sensor of an elevated cellular AMP levels. However, we have found that AMPK does not mediate this effect of AICAR treatment upon PPIP5K activity. We therefore propose that, in vivo, PPIP5K is regulated by another protein that senses changes in AMP levels. There are at least 12 AMPK-related protein kinases that might be considered as candidates, were it not for the fact that all of these proteins have been reported to be insensitive to AMP, and none of them share the AMP-binding domain of AMPK (Al-Hakim et al., 2005). However, the AMP-binding cystathionine-β-synthase module that is present in AMPK also occurs in a large range of diverse proteins, including ATP-binding cassette transporters, voltagegated chloride channels and transporters, a variety of other transporter families, and a number of enzymes (Biemans-Oldehinkel et al., 2006). It is possible that one of these proteins might mediate an AMP-dependent attenuation of PP-InsP5 kinase activity. Our study indicates that future work to delineate this regulatory pathway could be an important new direction in inositide research. As a result of the current study, we should also consider that perturbation of [PP]2-InsP4 turnover in cells treated with AICAR might explain some of the biological effects of this widely used pharmacological tool.
It is well established that a fundamental necessity for cell survival is the maintenance of tight energy homeostasis. This requires the presence of appropriate biosensors that first detect variations in energy balance and subsequently communicate this information to other cellular networks, which then initiate adaptive responses. AMPK has been the primary focus of much of the attention that has been given to understanding how cells recognize and adapt to adenosine nucleotide imbalance. The current study offers [PP]2-InsP4 as providing a new means by which a signaling system can interface with cellular bioenergetic status. This new development can be significant because cellular energy-sensing machinery is potentially an exploitable target for cancer therapy (Sofer et al., 2005; Swinnen et al., 2005). Finally, our data raise the possibility of a new phenomenon associated with aging: attenuation of inositol pyrophosphate signaling, because of its hypersensitivity to the slight but progressive decrease in cellular adenosine nucleotide homeostasis that others have noted in fibroblasts derived from aging individuals (Miyoshi et al., 2006). Pharmacological or genetic intervention in the pathways of inositol pyrophosphate signaling may therefore ultimately prove to be of benefit to human health.
Acknowledgments
This research was supported by the Intramural Research Program of the National Institutes of Health/ National Institute of Environmental Health Sciences.
ABBREVIATIONS
- InsP7, PP-InsP5
diphosphoinositol pentakisphosphate
- [PP]2-InsP4, InsP8
bis-diphosphoinositol tetrakisphosphate
- InsP5
inositol pentakisphosphate
- InsP6
inositol hexakisphosphate
- AICAR
5-aminoimidazole-4-carboxamide ribonucleoside
- DN
dominant negative
- AMPK
AMP-activated protein kinase
- GAPDH
glyceraldehyde 3-phosphate dehydrogenase
- HEK
human embryonic kidney
- MEF
mouse embryonic fibroblast
- PP-InsP4
diphosphoinositol tetrakisphosphate
- PPIP5K
PP-InsP5 kinase (E.C. 2.7.4.24), ZMP, 5-amino-4-imidazolecarboxamide riboside monophosphate
- PD184352
2-(2-chloro-4-iodo-phenylamino)-N-cyclopropylmethoxy-3,4-difluoro-benzamide
- MEK
mitogen-activated protein kinase kinase
- siRNA
small interfering RNA
- ERK
extracellular signal-regulated kinase
- HPLC
high-performance liquid chromatography
- U0126
1,4-diamino-2,3-dicyano-1,4-bis(methylthio)butadiene
- PD98059
2′-amino-3′-methoxyflavone
References
- Al-Hakim AK, Goransson O, Deak M, Toth R, Campbell DG, Morrice NA, Prescott AR, Alessi DR. 14-3-3 cooperates with LKB1 to regulate the activity and localization of QSK and SIK. J Cell Sci. 2005;118:5661–5673. doi: 10.1242/jcs.02670. [DOI] [PubMed] [Google Scholar]
- Ali N, Duden R, Bembenek ME, Shears SB. The interaction of coatomer with inositol polyphosphates is conserved in Saccharomyces cerevisiae. Biochem J. 1995;310:279–284. doi: 10.1042/bj3100279. [DOI] [PMC free article] [PubMed] [Google Scholar]
- Bain J, Plater L, Elliott M, Shpiro N, Hastie J, McLauchlan H, Klevernic I, Arthur S, Alessi D, Cohen P. The selectivity of protein kinase inhibitors: a further update. Biochem J. 2007;408:297–315. doi: 10.1042/BJ20070797. [DOI] [PMC free article] [PubMed] [Google Scholar]
- Belfield A, Goldberg DM. Application of a continuous spectrophotometric assay for 5′nucleotidase activity in normal subjects and patients with liver and bone disease. Clin Chem. 1969;15:931–939. [PubMed] [Google Scholar]
- Bennett M, Onnebo SM, Azevedo C, Saiardi A. Inositol pyrophosphates: metabolism and signaling. Cell Mol Life Sci. 2006;63:552–564. doi: 10.1007/s00018-005-5446-z. [DOI] [PMC free article] [PubMed] [Google Scholar]
- Bhandari R, Saiardi A, Ahmadibeni Y, Snowman AM, Resnick AC, Kristiansen TZ, Molina H, Pandey A, Werner JK, Jr, Juluri KR, et al. Protein pyrophosphorylation by inositol pyrophosphates is a posttranslational event. Proc Natl Acad Sci U S A. 2007;104:15305–15310. doi: 10.1073/pnas.0707338104. [DOI] [PMC free article] [PubMed] [Google Scholar]
- Biemans-Oldehinkel E, Mahmood NA, Poolman B. A sensor for intracellular ionic strength. Proc Natl Acad Sci U S A. 2006;103:10624–10629. doi: 10.1073/pnas.0603871103. [DOI] [PMC free article] [PubMed] [Google Scholar]
- Carling D, Clarke PR, Zammit V, Hardie DG. Purification and characterization of the AMP-activated protein kinase. Copurification of acetyl-CoA carboxylase kinase and 3-hydroxy-3-methylglutaryl-CoA reductase kinase activities. Eur J Biochem. 1989;186:129–136. doi: 10.1111/j.1432-1033.1989.tb15186.x. [DOI] [PubMed] [Google Scholar]
- Choi JH, Williams J, Cho J, Falck JR, Shears SB. Purification, sequencing, and molecular identification of a mammalian PP-InsP5 kinase that is activated when cells are exposed to hyperosmotic stress. J Biol Chem. 2007;282:30763–30775. doi: 10.1074/jbc.M704655200. [DOI] [PMC free article] [PubMed] [Google Scholar]
- Choi K, Mollapour E, Shears SB. Signal transduction during environmental stress: InsP8 operates within highly restricted contexts. Cell Signal. 2005;17:1533–1541. doi: 10.1016/j.cellsig.2005.03.021. [DOI] [PubMed] [Google Scholar]
- Daval M, Diot-Dupuy F, Bazin R, Hainault I, Viollet B, Vaulont S, Hajduch E, Ferre P, Foufelle F. Anti-lipolytic action of AMP-activated protein kinase in rodent adipocytes. J Biol Chem. 2005;280:25250–25257. doi: 10.1074/jbc.M414222200. [DOI] [PubMed] [Google Scholar]
- Dokladda K, Green KA, Pan DA, Hardie DG. PD98059 and U0126 activate AMP-activated protein kinase by increasing the cellular AMP:ATP ratio and not via inhibition of the MAP kinase pathway. FEBS Lett. 2005;579:236–240. doi: 10.1016/j.febslet.2004.11.084. [DOI] [PubMed] [Google Scholar]
- Epperson S, Gustafsson A, Gonzalez A, Villegas S, Meszaros J, Brunton L. Interstitial Fibrosis in Heart Failure. Springer; New York: 2005. Pharmacology of G-protein-linked signaling in cardiac fibroblasts; pp. 83–97. [Google Scholar]
- Fridy PC, Otto JC, York JD. Cloning and characterization of two human VIP1-like inositol hexakisphosphate and diphosphoinositol pentakisphosphate kinases. J Biol Chem. 2007;282:30754–30762. doi: 10.1074/jbc.M704656200. [DOI] [PubMed] [Google Scholar]
- Fryer LG, Parbu-Patel A, Carling D. The anti-diabetic drugs rosiglitazone and metformin stimulate AMP-activated protein kinase through distinct signaling pathways. J Biol Chem. 2002;277:25226–25232. doi: 10.1074/jbc.M202489200. [DOI] [PubMed] [Google Scholar]
- Hardie DG, Hawley SA. AMP-activated protein kinase: the energy charge hypothesis revisited. Bioessays. 2001;23:1112–1119. doi: 10.1002/bies.10009. [DOI] [PubMed] [Google Scholar]
- Henin N, Vincent MF, Van den BG. Stimulation of rat liver AMP-activated protein kinase by AMP analogues. Biochim Biophys Acta. 1996;1290:197–203. doi: 10.1016/0304-4165(96)00021-9. [DOI] [PubMed] [Google Scholar]
- Inoki K, Zhu T, Guan KL. TSC2 mediates cellular energy response to control cell growth and survival. Cell. 2003;115:577–590. doi: 10.1016/s0092-8674(03)00929-2. [DOI] [PubMed] [Google Scholar]
- Irvine RF, Schell M. Back in the water: the return of the inositol phosphates. Nat Rev Mol Cell Biol. 2001;2:327–338. doi: 10.1038/35073015. [DOI] [PubMed] [Google Scholar]
- Laussmann T, Reddy KM, Reddy KK, Falck JR, Vogel G. Diphopho-myo-inositol phosphates from Dictyostelium identified as D-6-diphospho-myo-inositol pentakisphosphate and D-5,6-bisdiphospho-myo-inositol tetrakisphosphate. Biochem J. 1997;322:31–33. doi: 10.1042/bj3220031. [DOI] [PMC free article] [PubMed] [Google Scholar]
- Lee YS, Mulugu S, York JD, O’Shea EK. Regulation of a cyclin-CDK-CDK inhibitor complex by inositol pyrophosphates. Science. 2007;316:109–112. doi: 10.1126/science.1139080. [DOI] [PMC free article] [PubMed] [Google Scholar]
- Luiken JJ, Coort SL, Willems J, Coumans WA, Bonen A, van der Vusse GJ, Glatz JF. Contraction-induced fatty acid translocase/CD36 translocation in rat cardiac myocytes is mediated through AMP-activated protein kinase signaling. Diabetes. 2003;52:1627–1634. doi: 10.2337/diabetes.52.7.1627. [DOI] [PubMed] [Google Scholar]
- Luo HR, Huang YE, Chen JC, Sairardi A, Iijima M, Ye K, Huang Y, Nagata E, Devreotes P, Snyder SH. Inositol pyrophosphates mediate chemotaxis in Dictyostelium via pleckstrin homology domain-PtdIns(3,4,5)P3 interactions. Cell. 2003;114:559–572. doi: 10.1016/s0092-8674(03)00640-8. [DOI] [PubMed] [Google Scholar]
- Marsin AS, Bertrand L, Rider MH, Deprez J, Beauloye C, Vincent MF, Van den BG, Carling D, Hue L. Phosphorylation and activation of heart PFK-2 by AMPK has a role in the stimulation of glycolysis during ischaemia. Curr Biol. 2000;10:1247–1255. doi: 10.1016/s0960-9822(00)00742-9. [DOI] [PubMed] [Google Scholar]
- Menniti FS, Miller RN, Putney JW, Jr, Shears SB. Turnover of inositol polyphosphate pyrophosphates in pancreatoma cells. J Biol Chem. 1993;268:3850–3856. [PubMed] [Google Scholar]
- Merrill GF, Kurth EJ, Hardie DG, Winder WW. AICA riboside increases AMP-activated protein kinase, fatty acid oxidation, and glucose uptake in rat muscle. Am J Physiol. 1997;273:E1107–E1112. doi: 10.1152/ajpendo.1997.273.6.E1107. [DOI] [PubMed] [Google Scholar]
- Miyoshi N, Oubrahim H, Chock PB, Stadtman ER. Age-dependent cell death and the role of ATP in hydrogen peroxide-induced apoptosis and necrosis. Proc Natl Acad Sci U S A. 2006;103:1727–1731. doi: 10.1073/pnas.0510346103. [DOI] [PMC free article] [PubMed] [Google Scholar]
- Nagata E, Luo HR, Saiardi A, Bae BI, Suzuki N, Snyder SH. Inositol hexakisphosphate kinase-2, a physiologic mediator of cell death. J Biol Chem. 2005;280:1634–1640. doi: 10.1074/jbc.M409416200. [DOI] [PubMed] [Google Scholar]
- Pesesse X, Choi K, Zhang T, Shears SB. Signalling by higher inositol polyphosphates: synthesis of bis-diphosphoinositol tetrakisphosphate (“InsP8”) is selectively activated by hyperosmotic stress. J Biol Chem. 2004;279:43378–43381. doi: 10.1074/jbc.C400286200. [DOI] [PubMed] [Google Scholar]
- Safrany ST, Caffrey JJ, Yang X, Bembenek ME, Moyer MB, Burkhart WA, Shears SB. A novel context for the “MutT” module, a guardian of cell integrity, in a diphosphoinositol polyphosphate phosphohydrolase. EMBO J. 1998;17:6599–6607. doi: 10.1093/emboj/17.22.6599. [DOI] [PMC free article] [PubMed] [Google Scholar]
- Safrany ST, Shears SB. Turnover of bis-diphosphoinositol tetrakisphosphate in a smooth muscle cell line is regulated by B2-adrenergic receptors through a cAMP-mediated, A-kinase-independent mechanism. EMBO J. 1998;17:1710–1716. doi: 10.1093/emboj/17.6.1710. [DOI] [PMC free article] [PubMed] [Google Scholar]
- Saiardi A, Bhandari A, Resnick R, Cain A, Snowman AM, Snyder SH. Inositol pyrophosphate: physiologic phosphorylation of proteins. Science. 2004;306:2101–2105. doi: 10.1126/science.1103344. [DOI] [PubMed] [Google Scholar]
- Sofer A, Lei K, Johannessen CM, Ellisen LW. Regulation of MTOR and cell growth in response to energy stress by REDD1. Mol Cell Biol. 2005;25:5834–5845. doi: 10.1128/MCB.25.14.5834-5845.2005. [DOI] [PMC free article] [PubMed] [Google Scholar]
- Swinnen JV, Beckers A, Brusselmans K, Organe S, Segers J, Timmermans L, Vanderhoydonc F, Deboel L, Derua R, Waelkens E, et al. Mimicry of a cellular low energy status blocks tumor cell anabolism and suppresses the malignant phenotype. Cancer Res. 2005;65:2441–2448. doi: 10.1158/0008-5472.CAN-04-3025. [DOI] [PubMed] [Google Scholar]
- Yin W, Mu J, Birnbaum MJ. Role of AMP-activated protein kinase in cyclic AMP-dependent lipolysis In 3T3-L1 adipocytes. J Biol Chem. 2003;278:43074–43080. doi: 10.1074/jbc.M308484200. [DOI] [PubMed] [Google Scholar]
- Yung HW, Wyttenbach A, Tolkovsky AM. Aggravation of necrotic death of glucose-deprived cells by the MEK1 inhibitors U0126 and PD184161 through depletion of ATP. Biochem Pharmacol. 2004;68:351–360. doi: 10.1016/j.bcp.2004.03.030. [DOI] [PubMed] [Google Scholar]
- Zakaria M, Brown PR. High-performance liquid chromatography of nucleotides, nucleosides and bases. J Chromatogr. 1981;226:267–290. doi: 10.1016/s0378-4347(00)86062-4. [DOI] [PubMed] [Google Scholar]






