Abstract
The application of a zinc carbenoid-mediated chain extension reaction to a functionalized peptide isostere is reported. The cleavage site of human CVM protease was utilized as a target for testing the synthetic methodology. The utility of this chain extension reaction is demonstrated in the preparation of an amino acid-derived α-unsubstituted γ-keto ester, which is incorporated into a framework that mimics a tetrapeptide. The identification of a suitable protecting group strategy facilitated the application of a tandem reaction for the incorporation of an α-side chain, and the use of an oxazolidinone auxiliary provided excellent diastereocontrol in a tandem chain extension-aldol reaction. Stereoselectivity of the tandem chain extension-aldol reaction was determined through application of a CAN-mediated oxidative cleavage reaction.
Introduction
A variety of functional groups have been used to mimic the peptide bond, including (E)-alkenes,1 silanols,2 and dihydroxyethylene.3 The ketomethylene group (2) has been utilized successfully as a peptide isostere in a variety of contexts,4 and the isolation5 from nature of a ketomethylene-containing dipeptide mimic provides further support for its utility in protease inhibition. The ketomethylene isostere is also a suitable precursor to the hydroxyethylene isostere, another peptide isostere that has been explored extensively.6 The inhibition of protease targets with peptide isosteres is a widely utilized strategy in medicinal chemistry. Aspartic acid protease targets like HIV-protease and renin7 and cysteine proteases8 have been inhibited by ketomethylene and hydroxyethylene isosteres. The successful utilization of isosteric replacements with serine9 proteases has also been reported. However, preparation of ketomethylene peptide mimics has often relied upon lengthy and resource intensive synthetic sequences.10 The availability of a simple, efficient reaction that facilitates the preparation of functionalized, amino acid-derived γ-keto esters/amides would find utility in the preparation of these isosteres, regardless of the inhibition target.
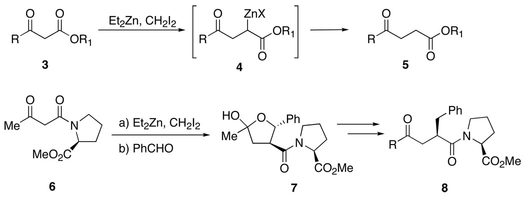
The aim of our study was the continued development of a one-pot, zinc-mediated chain extension reaction method, as it applies to the formation of ketomethylene isosteres. This simple and efficient conversion of β-keto esters (3),11 amides,12 and phosphonates13 to their γ-keto homologs (5) (Scheme 1) through treatment with the electrophilic Furukawa zinc carbenoid has provided access to amino acid-derived dipeptide isosteres. Previous studies in our group have demonstrated that a variety of amino acids, with diverse side chains, can be converted to β-keto esters or amides, which are good substrates for the chain extension reaction.14 Many different protecting groups are tolerated during the chain extension, and no epimerization is observed, even with easily epimerizable amino acids like phenylglycine.
Scheme 1.
Tandem reactions, which rely upon the nucleophilic character of the organometallic intermediate (4), can be performed to incorporate side chains at the position α-to the ester or amide.15 For example, when compound 6 is exposed to the chain extension reaction conditions and trapped with benzaldehyde in a tandem chain extension aldol reaction, good diastereocontrol is realized in the formation of 7. Side chains incorporated during a tandem chain extension aldol reaction have been manipulated to provide hydrocarbon side chains equivalent to those found in natural amino acids.
Yet our studies on the stereoselective incorporation of the α-side chain mimic have been limited to substrates, i.e. 6, in which no N-terminus is present. Furthermore, since control of stereochemistry was influenced through proline-based auxiliaries, hydrolysis of an amide bond for the release of the carboxyl group would be required. This process requires harsh reaction conditions that are not suitable with easily epimerizable amino acid-derived products. The application of this chain extension method to the synthesis of diverse ketomethylene systems requires that both N and C termini be available for further modification, and that the α-side chain be stereoselectively incorporated.
As a target for the methodology development, a potential inhibitor for human cytomegalovirus (HCMV) protease was proposed. Human cytomegalovirus is a ubiquitous pathogen that presents a significant health risk to neonates and immunocompromised patients.16 Since replication and assembly of HCMV is dependent upon a self-processing HCMV protease,17 the targeted inhibition of this serine protease is an attractive strategy for disruption of this virus’ life cycle. This self-processing protease contains three active cleavage sites, although the m-site (maturation site: Ala 643-Ser 644) is cleaved thirty times more quickly than the other two sites. The common feature of all three cleavage sites is the involvement of an alanine-serine (Ala-Ser) bond, with the P2 site being occupied by asparagine, glutamine, or lysine, although the most efficient cleavage takes place with asparagine.18
We report herein investigations into the application of a zinc carbenoid-mediated chain extension reaction for the generation of a ketomethylene-based peptide-mimic of the HCMV protease cleavage site. One potential target (10) is illustrated in Figure 2. Since modestly acidic NH-amide protons would quench the intermediate enolate and thereby prevent application of tandem reaction strategies, a related target compound (11) was designed to contain an N,N-dimethyl asparagine unit at the N-terminus. N,N-Dimethylasparagine had been incorporated at this P-2 position within active peptide isosteres in a complementary investigation to HCMV protease inhibition.19 A synthetic approach was eventually utilized in which the N,N-dimethyl asparagine was incorporated subsequent to the tandem chain extension reaction, which made the use of dimethylasparagine inconsequential with respect to quenching the proposed organometallic intermediate (4). The strategy that was eventually utilized would be broadly applicable to the vast majority of amino acids, even those that contain acidic protons.
Figure 2.
HCMV protease cleavage site and proposed ketomethylene mimics
Results and Discussion
The key step in the assembly of the isostere is a zinc carbenoid-mediated chain extension reaction that proceeds through a putative donor-acceptor cyclopropane to provide an intermediate zinc organometallic intermediate (4). The assembly of a tetrapeptide mimic could proceed via one of two strategies. The first would involve the formation of a dipeptide isostere, followed by sequential derivitization of the two termini. This approach would offer the possibility of library assembly, perhaps through application of a solid-phase mediated approach.20 A second, complementary approach could involve the formation of a dipeptide, followed by chain extension of the C-terminus and peptide coupling on the C-terminus. Both approaches were utilized in the study and offer opportunities for rapid assembly of the peptide isostere.
Rapid formation of a tetrapeptide mimic is described in Scheme 2. The coupling between Boc-asparagine (12) and benzyl-protected alanine (13) proceeded cleanly. Deprotection of the carboxy terminus via hydrogenolysis provided the carboxylic acid 15, which was converted to the β-keto ester 16 via a mixed Claisen variation reported initially by Masamune.21 Treatment of the β-keto ester with five equivalents of the Furukawa reagent provided the chain extension product 17. The use of excess Furukawa reagent was necessary due to the presence of the acidic NH protons. Compound 17 could be easily converted to the carboxylic acid 18 by hydrogenolysis. Peptide coupling with the alanine methyl ester 19 provided the tetrapeptide mimic 20 as a single diastereoisomer. While the assembly of this tetrapeptide mimic is quite efficient, the absence of a substitutent that could serve as a mimic of the amino acid’s α-side chain limits the desirability of this direct approach.
Scheme 2.
Application of the tandem reaction strategies15 that have been developed in our research program for the incorporation of the α-substitutent would be difficult, if not impossible, due to the presence of the modestly acidic N-H protons that would quench the organometallic intermediate. The use of a protecting group was deemed necessary for removal of the NH-protons. In order to minimize the number of functional groups that required protection, a strategy was developed in which the dipeptide isostere would be prepared. Derivitization of the dipeptide by coupling at the two termini would then complete preparation of a tetrapeptide mimic.
Protection of an alanine’s amine functionality to remove its nucleophilic character (due to the use of the electrophilic carbenoid and aldehyde), basic character, and NH-acidity was required. The phthalimide protecting group offered the added attraction of removing rotameric forms within the protected tertiary amine (Scheme 3). In order to test the viability of the phthalimide protecting group, valine was converted to 21 by a literature procedure.22 Formation of the β-keto ester 22 was accomplished through the modified Claisen reaction described by Masamune.21 Exposure of 22 to the zinc carbenoid-mediated chain extension reaction conditions resulted in the formation of tricycle 24 in 58% by spontaneous cyclization of the organozinc intermediate (23) onto the phthalimide. Stereochemical assignments were made by X-ray structural analysis. The electrophilic character of the imide functionality was, therefore, incompatible with the reaction conditions. An alternate protecting group strategy that utilized two different protecting groups was mandated, even though double protection of the amino acid was expected to complicate NMR analysis through the appearance of rotameric forms.
Scheme 3.
Alanine was derivatized with a p-methoxybenzyl (Pmb) group through a reductive alkylation reaction to provide 25,23 onto which a Cbz group was added (Scheme 4). Using the method developed by Masamune, conversion of the double-protected amino acid 26 to a β-keto ester 27 was accomplished by use of carbonyl diimidazole and the magnesium salt of the monoallyl ester of malonic acid.24. A tandem chain extension aldol reaction, using formaldehyde as the electrophile, was performed on 27, which generated a mixture of diastereoisomers (28) in approximately a 1:1 ratio.25 Not surprisingly, the remote stereocenter of the alanine was not effective in controlling facial selectively on the intermediate enolate. It was clear that an alternate stereodirecting group would need to be incorporated.
Scheme 4.
The successful use of an oxazolidinone functionality in a stereocontrolled tandem chain extension aldol reaction26 suggested that an amino acid-derived β-keto imide could be a useful substrate for generation of the desired functionalized ketomethylene group. Extensive experimentation led to the identification of a reproducible mixed Claisen reaction between 25 and 2927 for the formation of β-keto imide 30 (Scheme 5). The typical reaction protocol for a tandem chain extension aldol reaction involves exposure of the β-keto carbonyl to the chain extension reaction conditions, followed by addition of the aldehyde. When compound 30 was chain extended and paraformaldehyde was added after thirty minutes, the chain extended cyclopropane 32 was generated as a single diastereoisomer, presumably through chain extension, formation of an intermediate homoenolate 31 by capture of excess carbenoid, and cyclization. The capture of the excess carbenoid, which resulted in the formation of homoenolate 31, occurred so quickly that no chain-extended enolate was present to capture formaldehyde. The stereochemical assignment of the putative homoenolate 31 and of the cyclopropane 32 has not been made. Previous studies on diastereoselective homoenolate formation through the chain extension protocol has revealed a similar enolate-facial selectivity to that observed in the chain extension aldol reaction;15 therefore, the stereochemistry at the α-carbon of 31 is tentatively assigned as S on the basis of the aldol stereochemistry, which was determined as described below. The carbinol center of 32 is not assigned.
Scheme 5.
Two equivalents of the carbenoid are, in theory, required for enolate formation and chain extension. Attempts to perform the chain extension of 30 with only two equivalents of carbenoid, thereby removing the excess carbenoid responsible for homoenolate (31) formation, resulted in successful chain extension and capture of the aldehyde, although significant amounts of unreacted starting material (30) remained in the reaction mixture. Therefore, the procedure was modified to incorporate the source of formaldehyde prior to exposure of the β-keto imide to the carbenoid in an effort to ensure that the organometallic intermediate captured an aldehyde instead of excess carbenoid. Under these modified conditions only the aldol product 33 was formed. The stereochemistry of the α-position was assigned through formation of the (R)-γ-lactone 3428 by application of a CAN-mediated oxidative cleavage reaction we reported previously.25 Efforts to determine the diastereoslectivity of the aldol reaction were hindered by the presence of hemiacetal and rotameric forms. A single γ-lactone stereoisomer was observed by NMR after the CAN-oxidation, which suggests the diastereoslectivity of the aldol reaction to be >9:1.
While the strategy described above provided excellent diastereocontrol and complete regiocontrol in the assembly of a substituted peptide isostere, the hydroxymethyl group of 33 possessed the opposite stereochemistry required to mimic an L-amino acid. In an effort to mimic the L-amino acid stereochemistry within the peptide isostere, the enantiomeric acetylated oxazolidinone was reacted with compound 25 to provide diastereomeric β-keto imide 35 (Scheme 6). Exposure to the chain extension aldol reaction conditions provided 36 in a good yield. The aldol stereocenter was assigned on the basis of a CAN-mediated oxidative cleavage and hydrolysis to provide the known (S)-lactone 34. This result provided further confirmation that stereocontrol was predominantly influenced by the oxazolidine and not by the remote alanine stereocenter.
Scheme 6.
Protection of the alcohol functionality of 36 with TBDPSCl provided a substrate 38 (Scheme 7) that was then treated with lithium hydroperoxide in an effort to remove the oxazolidinone. Cleavage of the oxazolidinone was not successful, most likely due to a competitive Bayer-Villiger reaction. While cleavage of the oxazolidinone through a hydroxide-mediated process was contemplated, the Pmb-group was first removed in order to simplify NMR analysis. Removal of a Pmb group from an amide nitrogen can be accomplished through treatment with ceric ammonium nitrate (CAN).29 The p-methoxybenzyl (Pmb) group was excised cleanly by treatment of 38 with CAN, providing support for the required intermediacy of a hemiacetal in the oxidative cleavage reactions leading to γ-lactones 34 and 37. It is worth noting that removal of the Pmb group from 38 is performed in an acidic, aqueous environment, yet no oxidative cleavage through the intermediacy of a ketone hydrate is observed during the CAN treatment. The oxazolidinone was removed from 39 through exposure to LiOH. Careful control of time, temperature and stoichiometry was necessary to avoid formation of diastereomers, most likely through the epimerization of the alanine stereocenter. The Cbz-protected dipeptide isostere 40 provided a substrate that presented opportunities to functionalize both the C and N termini. This was accomplished through a sequence involving EDC coupling, hydrogenolysis in the presence of acid (to prevent diketopiperizine formation), and a second EDC coupling step with 43 to generate the tetrapeptide mimic 44. Removal of the silyl group with tetrabutylammonium provided the final compound 11, which exists predominantly in the hemiacetal form.
Scheme 7.
The predominance of the tetrahedral hemiacetal form due to the presence of the α-hydroxylmethylene group (serine-mimic) may make this isostere less desirable for serine protease inhibition, although small a concentration of the ketone functionality may be all that is needed for inhibition.30 The cyclic nature of the final compound (11) also suggests that the synthetic chemistry described above could be useful for the development of a nonhydrolyzable, conformationally-rigid, transition state mimic based upon the tetrahydrofuranyl substructure.4a Nevertheless, the predominance of a tetrahedral hemiacetal form is not a dead end for potential application to ketomethylene peptide isostere formation. We have reported previously that the hemiacetal products generated in the tandem chain extension-aldol reactions of amino acid systems can be deoxygenated to provide aliphatic side chains; therefore, access to ketomethylene groups without hemiacetal contamination is also possible using the chain extension methodology.15 More recent studies in our lab have demonstrated the utility of a tandem chain extension-iodomethylation reaction for the incorporation of functionalized side chains.31 This series of studies has established that tandem chain extension reactions, when applied to amino acid systems, are capable of providing stereocontrolled access to a wide variety of peptide isosteres. Furthermore, the dipeptide isosteres formed through the strategy illustrated above are easily derivatized from either the C or N terminus, which makes the methodology available for library generation and/or solid phase peptide synthesis.
Experimental Section
Benzyl (4S)-4-{[N–2–(tert-butoxycarbonyl)-L-asparaginyl]amino}-3-oxopentanoate (16)
Into a 10-mL round-bottomed flask was weighed 148 mg (0.48 mmol) N–2–(tert-butoxycarbonyl)-L-asparaginyl-L-alanine 15 and the solid dissolved in 2 mL anhydrous DMF. Carbonyl diimidazole (CDI) 80 mg (0.48 mmol) was added and the solution stirred until gas evolution ceased (approximately 15 min). In a separate 25-mL round-bottomed flask which contained a solution of monobenzyl malonate (284 mg, 1.44 mmol) in 10 mL of anhydrous THF was added 284 µL (0.72 mmol) of a 1M hexane solution of dibutylmagnesium at 0 °C. The clear, colorless solution was allowed to warm to room temperature. The acyl imidazole solution was transferred to the flask that contained the magnesium salt and the reaction was monitored by TLC. The solution was allowed to stir for 8 h and quenched by the addition of 20 mL sat. aq. NH4Cl solution. The solution was extracted three times with 20 mL EtOAc. The combined organics were washed with sat. NaHCO3, water, and brine before being dried with MgSO4 and concentrated. The colorless oil was placed on a high vacuum for 2 h and then crystallization of the material was induced by the addition of a small amount of THF. The crystalline material was dried under vacuum to yield 172 mg (81%) of benzyl (4S)-4-{[N-2-(tert-butoxycarbonyl)-L-asparaginyl]amino}-3-oxopentanoate 16 as a white solid. mp = 173 – 175 (decomp.) °C 1H NMR (360 MHz, DMSO-D6) δ 8.30 (m, 1H), 7.40-7.30 (m, 5H), 7.26 (m, 1H), 6.93-6.90 (m, 2H), 5.10 (s, 2H), 4.26-4.20 (m, 2H), 3.65 (s, 2H), 2.43-2.32 (m, 2H), 1.35 (s, 9H), 1.17 (d, 3H, J = 6.9 Hz); 13C NMR (90 MHz, DMSO-D6) δ 203.2, 171.7, 171.4, 167.2, 155.2, 135.8, 128.4, 128.0, 127.9, 78.2, 65.9, 54.1, 51.2, 45.1, 36.9, 28.1, 15.3. HRMS (FAB+) m/z: calcd. For C21H30N3O7 [M+H] 436.2084; found [M+H] 436.2072.
Benzyl (5S)-5-{[N–2–(tert-butoxycarbonyl)-L-asparaginyl]amino}-4-oxohexanoate (17)
A 25-mL round-bottomed flask was charged with 12 mL anhydrous CH2Cl2 and 150 µL (1.82 mmol) of methylene iodide added. The solution was cooled to 0 °C and 1.20 mL (1.20 mmol) of a 1M solution of diethylzinc in hexanes was added slowly. The ice bath was removed and a white precipitate formed rapidly. After stirring for two min, 106 mg (0.24 mmol) of solid benzyl (4S)-4-{[N-2-(tert-butoxycarbonyl)-L-asparaginyl]amino}-3-oxopentanoate 16 was added in one portion and the reaction stirred 2 min. The reaction was diluted with 20 mL CH2Cl2 and quenched with 25 mL sat. aq. NH4Cl solution. The organic portion was dried with MgSO4, filtered, and evaporated under reduced pressure. Column chromatography on silica using 10% MeOH/CH2Cl2 yielded 70 mg (64%) benzyl (5S)-5-{[N-2-(tert-butoxycarbonyl)-L-asparaginyl]amino}-4-oxohexanoate 17 as a colorless oil. 1H NMR (360 MHz, CDCl3) δ 7.38-7.28 (m, 5H), 6.11 (m, 1H), 5.74 (m, 1H), 5.10 (s, 2H), 4.54-4.49 (m, 2H), 2.91-2.55 (m, 6H), 1.45 (s, 9H), 1.34 (d, 3H, J = 7.2 Hz); 13C NMR (90 MHz, CDCl3) δ 207.1, 173.4, 172.3, 171.1, 155.7, 135.7, 128.5, 128.3, 128.2, 80.3, 66.5, 54.2, 51.0, 36.9, 33.6, 28.3, 27.7, 16.9. HRMS (FAB+) m/z: calcd. For C22H32N3O7 [M+H] 450.2240; found [M+H] 450.2249.
(1R,4S,10bS)-Benzyl 10b-hydroxy-4-isopropyl-3,6-dioxo-1,2,3,4,6,10b-hexahydropyrido[2,1-a]isoindole-1-carboxylate (24)
A 10-mL oven-dried, round-bottomed flask, equipped with a septum with a flow of nitrogen through a needle and a stir bar, was charged with methylene chloride (4 mL) and diethyl zinc (1.0 M in hexanes, 0.5 mL, 0.5 mmol). The solution was cooled to 0 °C and methylene iodide (0.04 mL, 0.5 mmol) was added slowly by syringe. After stirring for 10 min, compound 22 (38 mg, 0.1 mmol, in 0.5 mL of methylene chloride) was added by syringe to the resulting white suspension. The mixture was stirred for 30 min. After TLC analysis (hexanes:ethyl acetate = 10:1, Rf = 0.20) indicated that the starting material was consumed, the solution was quenched by cautious addition of saturated aqueous ammonium chloride (5 mL). The mixture was extracted with diethyl ether (2 × 5 mL), washed with brine (10 mL), and dried over anhydrous sodium sulfate. The resulting liquid was filtered and concentrated under reduced pressure. The residue was chromatographed on silica (hexanes:ethyl acetate = 5:1, Rf = 0.10) to yield 22 mg (58%) of 24 as a white solid. mp = 134–136 °C; 1H NMR (400 MHz, CDCl3) δ 7.80 (d, J = 5.3 Hz, 1H), 7.52-7.34 (m, 7H), 7.21 (d, J = 5.3 Hz, 1H), 5.34-5.22 (m, 2H), 4.94 (s, 1H), 4.39 (d, J = 11.0 Hz), 3.27 (dd, J = 11.8, 12.5 Hz, 1H), 2.99 (dd, J = 3.5, 12.5 Hz, 1H), 2.64 (dd, J = 3.5, 11.8 Hz, 1H), 2.47 (m, 1H), 1.05 (d, J = 6.8 Hz, 3H), 1.00 (d, J = 6.8 Hz, 3H); 13C NMR (100 MHz, CDCl3) δ 203.1, 172.9, 166.2, 145.8, 134.4, 133.0, 130.3, 129.0, 128.9, 124.3, 121.9, 86.1, 68.3, 66.2, 49.4, 36.8, 31.7, 19.9, 19.7. HRMS (FAB+) m/z: calcd. for C23H22O4N [M−OH] 376.1549; found [M−OH] 376.1534.
Benzyl (S)-5-((R)-4-benzyl-2-oxooxazolidin-3-yl)-3,5-dioxopentan-2-yl(4- methoxybenzyl)carbamate (35)
An oven-dried 100-mL round-bottomed flask was equipped with a stir bar, septum, and placed under an inert atmosphere using nitrogen flow through the septum. The round-bottomed flask was charged with THF (30 mL) and diisopropylamine (0.44 mL, 3.1 mmol). The reaction flask was cooled to 0 °C using an ice bath and n-BuLi (2.5 M in hexanes, 1.2 mL, 3.0 mmol) was added and LDA was allowed to form for fifteen minutes while maintaining the ice bath. The reaction flask was then cooled to −78 °C using a dry-ice/acetone bath. (R)-3-Acetyl-4-benzyloxazolidin-2-one27 (0.665 g, 3.0 mmol, in 15 mL THF) was added dropwise using a syringe pump over the course of 1.5 h. An hour into the addition an oven-dried 15-mL round-bottomed flask was equipped with a stir bar, septum, and a nitrogen atmosphere and charged with (S)-2-((benzyloxycarbonyl)(4-methoxybenzyl)amino)propanoic acid (0.275 g, 0.81 mmol, in 5 mL THF) and carbonyldiimidazole (0.143g, 0.88 mmol) in the indicated order. The solution was allowed to stir for the remainder of the acyl oxazolidinone addition. The acyl imidazole mixture was transferred to the enolate solution using a cannula. The reaction mixture was allowed to stir for 1.5 h maintaining the dry-ice/acetone bath and was quenched with HCl (10 mL, 1M solution). The product was extracted with diethylether (3 × 50 mL) and washed with HCl (25 mL, 1M), saturated sodium bicarbonate (50 mL), and brine (50 mL). The combined organic layers were dried over anhydrous sodium sulfate, filetered by gravity and concentrated in vacuo. The product was purified by flash chromatography on silica (hexanes:ethyl acetate = 3:1; Rf = 0.1) to yield 0.164 g (38%) of 35 as a colorless oil and a mixture of rotomers (1:1). 1H NMR (500 MHz, CDCl3) δ 7.38-7.12 (m, 12H), 6.89-6.75 (m, 2H), 5.27-5.11 (m, 2H), 4.75-4.55 (m, 2H), 4.45-4.25 (m, 1.5H), 4.20-4.00 (m, 3H), 3.89 (d, 0.5H, J = 15.8 Hz), 3.80-3.65 (m, 3.5H), 3.56 (d, 0.5H, J = 16.3 Hz), 3.36 (t, 1H, J = 15 Hz), 2.73 (t, 1H, J = 11.6 Hz), 1.35-1.19 (m, 3H). 13C NMR (125.67 MHz, CDCl3) δ 201.3, 166.8, 166.6, 159.3, 159.1, 155.9, 155.8, 153.7, 153.6, 136.3, 135.8, 135.3, 135.3, 130.1, 129.5, 129.3, 129.0, 128.6, 128.5, 128.3, 128.2, 127.3, 114.1, 114.1, 68.0, 67.9, 67.8, 66.4, 64.4, 62.0, 62.0, 60.4, 55.3, 55.2, 55.1, 51.6, 50.4, 47.4, 47.3, 37.5, 37.4, 30.7, 29.7, 21.1, 21.0, 19.2, 14.3, 14.0, 13.8, 13.3. [α]25D = − 47.6 (c = 0.03 g/mL, CH2Cl2); HRMS (FAB+) m/z: calcd. for C31H33N2O7 [M+H+] 545.2288; found [M+H+] 545.2291.
Benzyl (2S,5S)-6-((R)-4-benzyl-2-oxooxazolidin-3-yl)-5-(hydroxymethyl)-3,6-dioxohexan-2-yl(4-methoxybenzyl)carbamate (36)
A 25-mL oven-dried, round-bottomed flask, equipped with a septum with a flow of nitrogen through a needle and a stir bar, was charged with dichloromethane (4 mL) and diethyl zinc (1.0 M in hexanes, 2.0 mL, 2.0 mmol). The solution was cooled to 0 °C in the ice bath and diiodomethane (0.16 mL, 2.0 mmol) was added dropwise. After stirring for 10 min, paraformaldehyde (0.5 g, 6 mmol) and benzyl (S)-5-((R)-4-benzyl-2-oxooxazolidin-3-yl)-3,5-dioxopentan-2-yl(4-methoxybenzyl)carbamate 35 (0.40 mmol, in 0.5 mL of dichloromethane) were added to the resulting white suspension in order. The mixture was stirred for 1 h. After TLC analysis (hexanes:ethyl acetate = 3:1; Rf = 0.20) indicated that the starting material was consumed, the solution was quenched by cautious addition of saturated aqueous ammonium chloride (4 mL) and the mixture extracted with diethyl ether (3 × 5 mL). The combined organic layers were washed with brine (5 mL), and dried over anhydrous sodium sulfate. The resulting liquid was filtered and concentrated under reduced pressure. The residue was chromatographed on silica (hexanes:ethyl acetate = 1:1; Rf = 0.20) to yield 0.16 g (68%) of 36 as a colorless oily mixture of two rotamers with a ratio of 1:1. [α]25D = − 48.0 (c = 0.006 g/mL, CHCl3). IR (neat) cm−1 3350 (b), 3028, 2960, 1735, 1675. 1H NMR (400 MHz, CDCl3) δ 7.38-7.14 (m, 12H), 6.88-6.79 (m, 2H), 5.29-4.89 (m, 2H), 4.69-4.02 (m, 6H), 3.85-3.37 (m, 5H), 3.22 (m, 1H), 2.89-2.03 (m, 5H), 1.26-1.19 (2d, 3H, J = 6.9, 6.9 Hz); 13C NMR (100 MHz, CDCl3) δ 201.2, 166.8, 159.4, 159.3, 159.1, 155.8, 153.6, 135.3, 130.1, 129.5, 129.3, 129.0, 128.6, 128.5, 128.2, 127.3, 114.1, 114.0, 67.9, 67.8, 66.3, 62.0, 55.3, 55.1, 51.6, 50.3, 47.4, 42.2, 37.5, 13.9, 13.5, 13.2. HRMS (FAB+) m/z : calcd. for C25H26N2O6 [M−OH] 450.1791; found [M−OH] 450.1784.
(R)-4-Benzyl-3-((S)-5-oxotetrahydrofuran-3-carbonyl)oxazolidin-2-one (37)
A 25-mL round-bottomed flask was equipped with a stir bar and charged with THF (10 mL), water (2.5 mL), and compound 36 (0.35 g, 0.6 mmol). To this solution was added ceric ammonium nitrate (1.3 g, 2.4 mmol) and the mixture was allowed to stir for 30 min at room temperature. The solution was added water (5.0 mL), then extracted with Et2O (3 × 10 mL). The combined organic extracts were dried carefully over anhydrous sodium sulfate and concentrated in vacuo. The residue was chromatographed on silica (hexanes:ethyl acetate = 3:1; Rf = 0.20) yielded 0.13 g (75%) of (R)-4-Benzyl-3-((S)-5-oxotetrahydrofuran-3-carbonyl)oxazolidin-2-one (37) as a viscous colorless oil. [α]25D = − 5.8 (c = 0.002 g/mL, CHCl3). IR (neat) cm−1 3075, 2997, 1748, 1670. 1H NMR (500 MHz, CDCl3) δ 7.36-7.17 (m, 5H), 4.71 (m, 1H), 4.62 (t, 3H, J = 7.9 Hz), 4.42-4.26 (m, 4H), 3.24 (dd, 1H, J = 3.3, 13.6 Hz), 3.03 (dd, 1H, J = 5.1, 17.7 Hz), 2.88 (dd, 1H, J = 9.1, 13.5 Hz), 2.72 (dd, 1H, J = 9.1, 17.9 Hz); 13C NMR (125 MHz, CDCl3) δ 175.4, 170.7, 153.3, 134.6, 129.4, 129.1, 127.7, 69.3, 67.0, 55.2, 40.1, 37.8, 30.1. HRMS (FAB+) m/z : calcd. for C15H16NO5 [M+H+] 290.1028; found [M+H+] 290.1028.
Supplementary Material
Experimental procedures are available for the preparation of compounds 14, 15, 18, 20, 22, 26, 27, 28, 30, 32, 33, 34, 38, 39, 40, 41, 42, 43, 44, and 11. 1H and 13C NMR Spectra are available for 14, 15, 16, 17, 18, 20, 22, 24, 26, 27, 28, 30, 32, 33, 34, 35, 36, 37, 38, 39, 40, 41, 42, 43, 44, and 11. This material is available free of charge via the Internet at http://pubs.acs.org.
Figure 1.
Peptide backbone and ketomethylene isosteric peptide mimic
Acknowledgements
We thank the National Institutes of Health (R15 GM060967-02), Merck Pharmaceutical Research, and the University of New Hampshire for their financial support.
References
- 1.(a) Wipf P, Henninger TC, Geib SJ. J. Org. Chem. 1998;63:6088–6089. doi: 10.1021/jo981057v. [DOI] [PubMed] [Google Scholar]; (b) Oishi S, Kamano T, Niida A, Odagaki Y, Hamanaka N, Yamamoto M, Ajito K, Tamamura H, Otaka A, Fujii N. J. Org. Chem. 2002;67:6162–6173. doi: 10.1021/jo025923m. [DOI] [PubMed] [Google Scholar]; (c) Jingbo X, Weisblum B, Wipf P. J. Am. Chem. Soc. 2005;127:5742–5743. doi: 10.1021/ja051002s. [DOI] [PubMed] [Google Scholar]
- 2.(a) Kim J, Sieburth SM. J. Org. Chem. 2004;69:3008–3014. doi: 10.1021/jo049929i. [DOI] [PubMed] [Google Scholar]; (b) Kim J, Glekas A, Sieburth SM. Bioorg. Med. Chem. Lett. 2002;12:3625–3627. doi: 10.1016/s0960-894x(02)00804-1. [DOI] [PubMed] [Google Scholar]; (c) Organ MG, Buon C, Decicco CP, Combs AP. Org. Lett. 2002;4:2683–2685. doi: 10.1021/ol026195s. [DOI] [PubMed] [Google Scholar]
- 3.(a) Benedetti F, Magnan M, Miertus S, Norbedo S, Parat D, Tossi A. Bioorg. Med. Chem. Lett. 1999;9:3027–3030. doi: 10.1016/s0960-894x(99)00529-6. [DOI] [PubMed] [Google Scholar]; (b) Atsuumi S, Ikeura C, Honma T, Morishima H. Chem. Pharm. Bull. 1994;42:2164–2166. [Google Scholar]; (c) Scott A, Conway BG, Mark A K. Meth. Mol. Med. 1999;23:437–452. doi: 10.1385/0-89603-517-4:437. [DOI] [PubMed] [Google Scholar]
- 4.(a) Mittag T, Christensen KL, Lindsay KB, Nielsen NC, Skrydstrup T. J. Org. Chem. 2008;73:1088–1092. doi: 10.1021/jo702286b. [DOI] [PubMed] [Google Scholar]; (b) Vaabeno J, Nielsen Carsten U, Ingebrigtsen T, Lejon T, Steffansen B, Luthman K. J. Med. Chem. 2004;47:4755–4765. doi: 10.1021/jm040780c. [DOI] [PubMed] [Google Scholar]
- 5.(a) Ohuchi S, Suda H, Naganawa H, Takita T, Aoyagi T, Umezawa H, Nakamura H, Iitaka Y. J. Antibiot. 1983;36:1576–1580. doi: 10.7164/antibiotics.36.1576. [DOI] [PubMed] [Google Scholar]; (b) Umezawa H, Aoyagi T, Ohuchi S, Okuyama A, Suda H, Takita T, Hamada M, Takeuchi T. J. Antibiot. 1983;36:1572–1575. doi: 10.7164/antibiotics.36.1572. [DOI] [PubMed] [Google Scholar]
- 6.(a) Benedetti F, Berti F, Norbedo S. J. Org. Chem. 2002;67:8635–8643. doi: 10.1021/jo025616g. [DOI] [PubMed] [Google Scholar]; (b) Kath JC, DiRico AP, Gladue RP, Martin WH, McElroy EB, Stock IA, Tylaska LA, Zheng D. Bioorg. Med. Chem. Lett. 2004;9:2163–2167. doi: 10.1016/j.bmcl.2004.02.020. [DOI] [PubMed] [Google Scholar]; (c) Tao J, Hoffman RV. J. Org. Chem. 1997;62:6240–6244. doi: 10.1021/jo961836g. [DOI] [PubMed] [Google Scholar]
- 7.(a) Dondoni A, Perrone D. Tetrahedron Lett. 1992;33:7259–7262. [Google Scholar]; (b) Young SD, Payne LS, Thompson WJ, Gaffin N, Lyle TA, Brichter SF, Graham SL, Schulz TH, Deana AA, Darke PL, Zugay J, Schlerf WA, Quntero JC, Emini EA, Anderson PA, Huff JR. J. Med. Chem. 1992;35:1702–1709. doi: 10.1021/jm00088a004. [DOI] [PubMed] [Google Scholar]; (c) Thompson WJ, Fitzgerald PMD, Holloway MK, Emini EA, Darke PL, McKeever BM, Schleif WA, Quintero JC, Zugay JA, Tucker TJ, Scherring JE, Homnick CF, Nunberg J, Springer JP, Huff JR. J. Med. Chem. 1992;35:1685–1701. doi: 10.1021/jm00088a003. [DOI] [PubMed] [Google Scholar]; (d) Askin D, Wallace MA, Vacca JP, Reamer RA, Volante RP, Shinkai I. J. Org. Chem. 1992;57:2771–2773. [Google Scholar]
- 8.Dragovich PS, Prins TJ, Zhou R, Webber SE, Marakovits JT, Fuhrman SA, Patick AK, Matthews DA, Lee CA, Ford CE, Burke BJ, Rejto PA, Hendrickson TF, Tuntland T, Brown EL, Meador JW, III, Ferre RA, Harr JEV, Kosa MB, Worland ST. J. Med. Chem. 1999;42:1213–1224. doi: 10.1021/jm9805384. [DOI] [PubMed] [Google Scholar]
- 9.Garrett GS, Emge TJ, Lee SC, Fischer EM, Dyehouse K, McIver JM. J. Org. Chem. 1991;56:4823–4826. [Google Scholar]
- 10.Hoffman RV, Kim HO. Tetrahedron Lett. 1992;33:3579–3582. [Google Scholar]
- 11.Brogan JB, Zercher CK. J. Org. Chem. 1997;62:6444–6446. [Google Scholar]
- 12.Hilgenkamp R, Zercher CK. Tetrahedron. 2001;57:8793–8800. [Google Scholar]
- 13.Verbicky CA, Zercher CK. J. Org. Chem. 2000;65:5615–5622. doi: 10.1021/jo000343f. [DOI] [PubMed] [Google Scholar]
- 14.Theberge CR, Zercher CK. Tetrahedron. 2003;59:1521–1527. [Google Scholar]
- 15.(a) Lin W, Tryder N, Su F, Zercher CK, Jasinski JP, Butcher RJ. J. Org. Chem. 2006;71:8140–8145. doi: 10.1021/jo061184o. [DOI] [PubMed] [Google Scholar]; (b) Hilgenkamp R, Zercher CK. Org. Lett. 2001;3:3037–3040. doi: 10.1021/ol016485t. [DOI] [PubMed] [Google Scholar]
- 16.de Jong MD, Galasso GJ, Gazzard B, Griffiths PD, Jabs DA, Kern ER, Spector SA. Antiviral Research. 1998;39:141–162. doi: 10.1016/s0166-3542(98)00044-8. [DOI] [PubMed] [Google Scholar]
- 17.Matusick-Kumar L, McCann PJ, III, Robertson BJ, Newcomb WW, Brown JC, Gao M. J. Virology. 1995;69:7113–7121. doi: 10.1128/jvi.69.11.7113-7121.1995. [DOI] [PMC free article] [PubMed] [Google Scholar]
- 18.Bonneau PR, Plauffe C, Pellatier A, Wernic D, Poupart M-A. Anal. Biochem. 1997;155:59–65. doi: 10.1006/abio.1997.2445. [DOI] [PubMed] [Google Scholar]
- 19.Ogilvie W, Bailey M, Poupart M-A, Abraham A, Bhavsar A, Bonneau P, Bordeleau J, Bousquet Y, Chabot C, Duceppe J-S, Fazal G, Goulet S, Grand-Maitre C, Guse I, Halmos T, Lavallee P, Leach M, Malenfant E, O'Meara J, Plante R, Plouffe M, Poirier M, Soucy F, Yoakim C, Deziel R. J. Med. Chem. 1997;40:4113–4135. doi: 10.1021/jm970104t. [DOI] [PubMed] [Google Scholar]
- 20.Almquist RG, Chao W-R, Judd AK, Mitoma C, Rossi DJ, Panesovich RE, Matthews RJ. J. Med. Chem. 1988;31:561–567. doi: 10.1021/jm00398a012. [DOI] [PubMed] [Google Scholar]
- 21.Brooks DW, Lu LD-D, Masamune S. Angew. Chem., Int. Ed. Eng. 1979;18:72–73. [Google Scholar]
- 22.Casimir JR, Guichard G, Briand JP. J. Org. Chem. 2002;67:3764–3768. doi: 10.1021/jo016347h. [DOI] [PubMed] [Google Scholar]
- 23.Quitt P, Hellerbach J, Vogler K. Helv. Chim. Acta. 1963;46:327–333. [Google Scholar]
- 24.Padwa A, Dean DC, Fairfax DJ, Xu SL. J. Org. Chem. 1993;58:4646. [Google Scholar]
- 25.The assignment of the diastereomeric ratio was not possible at this point, due to the combined appearance of rotameric and hemiacetal forms. Protection of the hydroxyl group and removal of the Pmb-protecting group by treatment with CAN provided the support for the assigned diastereoselectivity. Jacobine AM, Lin W, Walls B, Zercher CK. J. Org. Chem. 2008;73:7409–7412. doi: 10.1021/jo801258h..
- 26.Lai S-J, Zercher CK, Jasinski JP, Reid SN, Staples RJ. Org. Lett. 2001;3:4169–4171. doi: 10.1021/ol016788n. [DOI] [PubMed] [Google Scholar]
- 27.Furuno H, Inoue T, Abiko A. Tetrahedron Lett. 2002;43:8297. [Google Scholar]
- 28.Comini A, Forzato C, Nitti P, Pitacco G, Valentin E. Tetrahedron: Asymm. 2004;15:617–625. [Google Scholar]
- 29.Yamaura M, Suzuki T, Hashimoto H, Yoshimura J, Okamoto T, Shin C. Bull. Chem. Soc. Jpn. 1985;58:1413–1420. [Google Scholar]
- 30.We would like to thank a referee, who brought the following references to our attention. Semple JE, Rowley DC, Brunck TK, Ha-Uong T, Minami NK, Owens TD, Tamura SY, Goldman EA, Siev DV, Ardecky RJ, Carpenter SH, GE Y, Richard BM, Nolan TG, Håkanson K, Tulinsky A, Nutt RF, Ripka WC. J. Med. Chem. 1996;39:4531–4536. doi: 10.1021/jm960572n. Schultz RM, Varma-Nelson P, Ortiz R, Kozlowski KA, Orawski AT, Pagast P, Frankfater A. J. Biol. Chem. 1989;264:1497–507..
- 31.Pu Q, Wilson E, Zercher CK. Tetrahedron. 2008;64:8045–8051. doi: 10.1016/j.tet.2008.06.063. [DOI] [PMC free article] [PubMed] [Google Scholar]
Associated Data
This section collects any data citations, data availability statements, or supplementary materials included in this article.
Supplementary Materials
Experimental procedures are available for the preparation of compounds 14, 15, 18, 20, 22, 26, 27, 28, 30, 32, 33, 34, 38, 39, 40, 41, 42, 43, 44, and 11. 1H and 13C NMR Spectra are available for 14, 15, 16, 17, 18, 20, 22, 24, 26, 27, 28, 30, 32, 33, 34, 35, 36, 37, 38, 39, 40, 41, 42, 43, 44, and 11. This material is available free of charge via the Internet at http://pubs.acs.org.










