Abstract
HA 14-1, a small-molecule antagonist against anti-apoptotic Bcl-2 proteins, was demonstrated to induce selective cytotoxicity toward malignant cells and to overcome drug resistance. Due to its poor stability and the reactive oxygen species (ROS) generated by its decomposition, chemical modification of HA 14-1 is needed for its future development. We have synthesized a stabilized analog of HA 14-1 – sHA 14-1, which did not induce the formation of ROS. As expected for a putative antagonist against anti-apoptotic Bcl-2 proteins like HA 14-1, sHA 14-1 disrupted the binding interaction of a Bak BH3 peptide with Bcl-2 or Bcl-XL protein, inhibited the growth of tumor cells through the induction of apoptosis, and circumvented the drug resistance induced by the over-expression of anti-apoptotic Bcl-2 and Bcl-XL proteins. Interestingly, the impairment of extrinsic apoptotic pathway induced moderate resistance to sHA 14-1. The moderate resistance suggested that sHA 14-1 generated part of its apoptotic stress through the intrinsic pathway, possibly through its antagonism against anti-apoptotic Bcl-2 proteins. The resistance indicated that sHA 14-1 generated apoptotic stress through the extrinsic apoptotic pathway as well. The ability of sHA 14-1 to induce apoptotic stress through both pathways was further supported by the synergism of sHA 14-1 towards the cytotoxicities of Fas ligand and dexamethasone in Jurkat cells. Taken together, these findings suggest that sHA 14-1 may represent a promising candidate for the treatment of drug-resistant cancers either as a monotherapy or in combination with current cancer therapies.
Keywords: sHA 14-1, stability, Bcl-2, apoptosis, drug resistance, synergism
1. Introduction
Over-expressing anti-apoptotic Bcl-2 (B-cell leukemia/lymphoma 2) family proteins is one mechanism for tumors to acquire resistance to cancer therapies.[1,2] Intense efforts, therefore, have been devoted to identify small-molecule antagonists against these proteins with the hope that such antagonists would resensitize drug-resistant malignancies to standard anticancer treatment.[3–12] HA 14-1, one of the earliest small-molecule antagonists against Bcl-2 protein, has been established to synergize the anticancer activities of cancer therapies with diverse mechanism of action, including dexamethasone, TRAIL ligand, bortezomib, doxorubicin, to name a few.[13–25] These results demonstrated the potential of HA 14-1 in combination therapy for cancer treatment. Mechanistically, several studies suggested that reactive oxygen species (ROS) may be generated in vitro upon HA 14-1 antagonism against anti-apoptotic Bcl-2 proteins and such ROS may induce the synergism of HA 14-1 with other anticancer drugs.[13,14,26] Furthermore, HA 14-1 selectively killed malignant cells that are drug-resistant through over-expression of Bcl-2 protein, indicating that HA 14-1 may be a selective therapy against drug-resistant malignancies.[16,17,27]
We recently observed, however, that HA 14-1 was not stable – it rapidly decomposed to inactive species with a half-life of 15 min in cell culture medium.[28] More importantly, the decomposition of HA 14-1 directly generated ROS that were the major species responsible for the observed in vitro cytotoxicity. The stability of HA 14-1, therefore, needs to be improved for its development into anticancer agents. The concomitant generation of ROS also raised the question whether the observed synergism from HA 14-1 to various cancer therapies were derived from its antagonism of anti-apoptotic Bcl-2 proteins or from its decomposition-generated ROS.
Based on the decomposition study about HA 14-1, we developed a stable analog of HA 14-1 – sHA 14-1. This study describes our biochemical and biological evaluation of sHA 14-1. We showed that sHA 14-1 was stable in cell culture medium with a half-life of over 24 hours, and had improved the binding interaction with the anti-apoptotic Bcl-2 proteins compared to HA 14-1. We further demonstrated that sHA 14-1 displayed a similar in vitro cytotoxicity as HA 14-1. Notably, sHA 14-1 did not generate ROS in cell culture medium and in vitro, which eliminates the potential contribution to cytotoxicity from ROS. Multiple assays established that sHA 14-1 inhibited tumor cell growth through the induction of apoptosis. Like HA 14-1, sHA 14-1 nullified drug resistance developed through the over-expression of anti-apoptotic Bcl-2 proteins. Moreover, sHA 14-1 induced apoptotic stress through both the intrinsic and the extrinsic apoptotic pathways and synergized the in vitro cytotoxicity of various anticancer agents in Jurkat cells, including Fas ligand and dexamethasone. Since HA 14-1 has attractive properties in cancer therapy and sHA 14-1 is a significantly more stable and more potent antagonist against anti-apoptotic Bcl-2 proteins, and intrinsically ROS free, sHA 14-1 is a promising candidate for future anticancer agent development.
2. Materials and methods
2.1. Chemicals
HA 14-1 [Ethyl-2-amino-6-bromo-4-(1-cyano-2-ethoxy-2-oxoethyl)-4H-chromene-3-carboxylate][29] and sHA 14-1 [Ethyl-2-amino-6-phenyl-4-(2-ethoxy-2-oxoethyl)-4H-chromene-3-carboxylate] (manuscript about the synthesis and SAR is in preparation and information can be provided upon reviewer’s request) were synthesized in house. Both compounds were characterized by NMR and mass spectrometry for identity and purity. CellTiter Blue Assay Kit and Apo-ONE® Homogeneous Caspase-3/-7 Assay Kit were purchased from Promega (Madison, WI). H2DCFDA (2′,7′-Dichlorodihydrofluorescein diacetate, a cell-permeable indicator for reactive oxygen species) was purchased from Molecular Probes (Eugene, OR). Cell Lysis Buffer, 2 × Reaction Buffer, dithiothreitol (DTT), and Apoptotic DNA Ladder Extraction Kit were purchased from Biovision (Mountain View, CA). Anti-cytochrome C and anti-FADD were purchased from BD Biosciences (San Jose, CA). Anti-beta-Actin, anti-rabbit IgG peroxidase conjugate, anti-mouse-peroxidase conjugate, and anti-goat IgG peroxidase conjugate were purchased from Sigma Aldrich (Saint Louis, MO). Anti-caspase-2, anti-caspase-8, and anti-caspase-9 were purchased from Santa Cruz Biotechnology (Santa Cruz, CA).
2.2. Cell cultures
Normal, FADD dominant-negative, and caspase-8 dominant-negative Jurkat cells were purchased from ATCC (Manassas, VA). Bcl-2 over-expressing and Bcl-XL over-expressing Jurkat cells were provided by Dr. Claus Belka at University of Tuebingen and Dr. Daniel Johnson at the University of Pittsburgh respectively and characterized as previously described.[29] All these Jurkat cells were cultured in RPMI medium supplemented with10 mM HEPES, 1mM sodium pyruvate, 4.5 g/L glucose, 1.5 g/L sodium bicarbonate, 10 % fetal bovine serum at 37 °C with 5 % CO2 in air atmosphere.
2.3. Binding interaction assay
The binding interactions of sHA 14-1 toward recombinant Bcl-2 and Bcl-XL proteins were evaluated according to our established procedures.[29] Briefly, recombinant Bcl-2 protein (1 μM) or Bcl-XL protein (130 nM) was incubated with a Flu-Bak peptide (10 nM) for 1 hour at room temperature to form the protein-peptide complex. Such a complex was then mixed with varying concentrations of sHA 14-1 or HA 14-1. Fluorescence polarization (FP) of the solution was then determined by using a Tecan GENios Pro multi-well plate reader. The binding of sHA 14-1 or HA 14-1 to the recombinant proteins would release the Flu-Bak peptide from the protein-peptide complex, resulting in the decrease of FP. A more potent small-molecule binder would result in greater decrease of FP.
2.4. Cell viability measurement
The in vitro cytotoxicity of various candidates was assayed by determining their effect to inhibit the growth of the tumor cells. In brief, the tumor cells were plated in a 96 - well plate (the density of 1 × 104 cells/well). A series of the test compounds of varied concentrations with 1 % DMSO in the final cell medium was used for the cell treatment (cells treated with medium containing 1 % DMSO served as a control). For stability studies, an identical set of the test compounds were incubated at 37 °C for the specified time period and then were used along with freshly prepared samples to treat the cells. With a 24-hour treatment, the relative cell viability in each well was determined by using CellTiter-Blue Cell Viability Assay kit or through viable cell count with trypan blue staining. The IC50 of each candidate was determined by fitting the relative viability of the cells to the drug concentration by using a dose-response model in Prism program from GraphPad Software, Inc. (San Diego, CA).
Synergistic interactions between sHA 14-1 and test agents (Fas ligand or Dexamethasone) were examined by using median dose-effect analysis as described by Chou and Talalay.[30] Briefly, tumor cells were treated with serial dilutions of each agent individually and in combination with sHA 14-1 simultaneously at a fixed dose ratio for 24 hours. The cytotoxic effect of the treatment was measured by evaluating the cell viability using the cell viability assay and the long term colony. Fractional effect was calculated as fraction of cells killed by the individual agent or the combination, in treated versus untreated cells. Median dose effect analysis was performed using CompuSyn program from ComboSyn, Inc. (Paramus, NJ). The software computes combination index (CI) values based on the following equation: CI = (D)1/(Dx)1 + (D)2/(Dx)2 + (D)1(D)2/{(Dx)1(Dx)2}, where (D)1 and (D)2 are the doses of drug 1 and drug 2 that have x effect when used in combination and (Dx)1 and (Dx)2 are the doses of drugs 1 and 2 that have the same x effect when used alone. The CI values indicate synergism (< 1), additivity (1), or antagonism (> 1). The CIs of 0.1–0.3, 0.3–0.7 and 0.7–0.85 are considered to indicate strong synergism, synergism, and moderate synergism, respectively.
2.5. Assay of ROS generation
In cell-free system, dichlorodihydro-fluorescein, which can be oxidized by ROS to dichlorofluorescein, was prepared from H2DCFDA by alkaline hydrolysis, according to the methods of Cathcart et al.[31] Briefly, 6.4 μl of 25 mM H2DCFDA in DMSO was added to 32 μl of aqueous NaOH (100 mM), which was allowed to stand at room temperature for 30 min. The hydrolyte was then neutralized with 4 ml PBS and kept on ice before use. Within 3 hours of its preparation, 50 μl of the de-acetylated probe was transferred to each well in a 96-well plate, 50 μl of the compound of interest in PBS with 2% DMSO was then added to each well. The formation of ROS was measured kinetically with excitation at 485 nm and emission at 530 nm. ROS intensity in each well was normalized to the vehicle-treated control. HA 14-1 was used as a positive control that generates ROS.
In a systems with cells, Jurkat cells were adjusted to a cell density of 8 × 105/ml in PBS and 5 ml of the cell suspension (5 ml) was transferred to a 5-cm round Petri dish. To one cell sample, 4 μl 25 mM H2DCFDA dye in DMSO was added. To another cell sample, 4 μl DMSO was added, which served as control. These cell samples were incubated at 37 °C for 30 min to allow intracellular de-esterification of H2DCFDA to dichlorodihydro-fluorescein. Such cell samples were collected by centrifugation, washed twice with PBS, re-suspended in PBS (3 ml). These cell samples (0.25 ml) were mixed with the compound of interest in PBS with 2 % DMSO (0.25 ml). ROS generation was followed kinetically with excitation at 485 nm and emission at 530 nm in a 96-well plate with 100 μl sample in each well. ROS intensity in each well was normalized to the vehicle-treated control. HA 14-1 also was used as a positive control that generates ROS.
2.6. Apoptosis analyses using flow cytometry
Apoptotic cells were stained by annexin V using Annexin V-FITC Apoptosis Detection Kit and identified by flow cytometry. Briefly, Jurkat cells were treated with various concentrations of sHA 14-1 for 24 hours, harvested, washed twice with cold PBS. Upon suspension at a density of 1 × 106 cells/ml, 100 μl of the cell suspension was transferred to a 5-ml culture tube and 5 μl of Annexin V-FITC was added. After gentle mixing, the cells were incubated for 15 min at room temperature in the dark. Such cell samples were analyzed by flow cytometry within one hour and annexin V positive events were identified as apoptotic cells.
2.7. Caspase-3/-7 activation assay
Apo-ONE® Homogeneous Caspase-3/-7 Assay kit was used to measure the caspase-3/-7 activity according to the manufacturer’s instructions. Briefly, Apo-ONE® Caspase-3/-7 reagent (50 μl) was added to each well containing 50 μl treated cell suspension (4 × 104 cells) in a 96-well plate. The suspension in the wells were mixed gently and incubated at 37 °C for 30 – 60 min. The fluorescence intensity of the sample in each well was measured with excitation at 485 nm and emission at 530 nm. Caspase-3/-7 activity in each well was normalized to the vehicle-treated control.
2.8. DNA fragmentation assay
DNA fragmentation was assessed by Apoptotic DNA Ladder Extraction Kit from Biovision. Briefly, Jurkat cells were treated by sHA 14-1 for 24 hours. 2.0 × 106 cells were harvested, washed with PBS, and pelleted by centrifugation for 5 min at 500 × g. The supernatant was removed and the cell pellet was suspended in 50 μl DNA Ladder Extraction Buffer. After incubation at 23 °C for 10 seconds with gentle pipetting, the mixture was centrifuged for 5 min at 1600 × g. The supernatant was transferred to a fresh tube. The cell pellet was extracted again with DNA Ladder Extraction Buffer (50 μl). The supernatants were combined and 5 μl Enzyme A solution was added into the supernatant. The solution was mixed by gentle vortex and incubated at 37 °C for 10 min. Enzyme B solution (5 μl) was then added into the mixture and further incubated overnight at 50 °C. Ammonium Acetate Solution (5 μl) was added to the sample and mixed well. Isopropanol (100 μl) was added and the solution was mixed well and kept at −20 °C for 20 min. DNA pellet was obtained by centrifugation at 13,000 × g for 10 min. The pellet was washed twice with cold 75% ethanol. The pellet was dried and re-suspended in 20 μl DNA Suspension Buffer. Samples were loaded on to a 1.2% agarose gel containing 0.5 μg/ml Ethidium bromide in both gel and running buffer. Electrophoresis was run at 50 V for 1 hour. DNA was visualized with UV light and photographed.
2.9. Fractionation of Jurkat cells into mitochondrial and cytosolic fractions (adapted from Korsmeyer et al.[32])
All the procedures of fractionation were performed at 4 °C. Briefly, the cells were collected by centrifugation at 100 × g for 5 min and washed twice with cold PBS. The pellets were re-suspended in 500 μl fractionation buffer A (1 mM HEPES-KOH, 0.1 mM EDTA, 1 mM EGTA, 250 mM sucrose, pH 7.4,) supplemented with protease inhibitor cocktail from Sigma (Saint Louis, MO). Cell disruption was performed by passing the cells through a 23-gauge needle 15 times. The lysate was centrifuged at 800 × g for 10 min at 4 °C to remove nuclei and unbroken cells. The supernatant was centrifuged at 10,000 × g for 10 min at 4 °C to pellet the mitochondrial fraction and the supernatant was the cytosolic fraction. The mitochondrial fraction was further washed with fractionation buffer B (500 μl, 10 mM HEPES-KOH, 5 mM KH2PO4, 5 mM succinate, 250 mM sucrose, pH 7.4) and suspended in fractionation buffer B (100 μl).
2.10 Western blot characterization of FADD and caspase-8 dominant-negative Jurkat cells
Cultured cells were harvested and washed with ice-cold phosphate-buffered saline (PBS). Cells pellets were suspended in RIPA buffer supplemented with protease inhibitor from Sigma. The cell suspension was incubated on ice for 30 min and centrifuged at 12000 × g for 10 min. The supernatant was collected and the protein concentration in the supernatant was quantified by Bradford method with BSA as the standard. Samples were separated at 150 V through electrophoresis for 1 hour on 12% SDS-PAGE. The proteins were blotted to PVDF membrane from Millipore (Boston, MA) and probed using the antibodies described under Materials and Methods. Bound antibodies were detected using appropriate peroxidase-coupled secondary antibodies followed by detection using the Supersignal chemiluminescence system from Pierce (Rockford, IL).
2.11. Statistical analysis
All biological experiments, including the binding assays, the in vitro cytotoxicity assays, caspase-3/-7 assays, ROS assays, and synergistic assays were performed at least twice with triplicates in each experiment. DNA fragmentation, cytochrome c release, and western blot analyses were performed at least twice. Representative results are depicted in this report. Data were analyzed and presented using the Prism program. Student’s t-test was applied for comparison between groups using the Prism program. Significance was set at P < 0.05.
3. Results and discussion
3.1. Interaction of sHA 14-1 to Bcl-2 and Bcl-XL
Mechanistically, anti-apoptotic Bcl-2 proteins and pro-apoptotic Bcl-2 proteins have been proposed to antagonize each other through heterodimerization in the apoptotic regulation.[33] Small-molecule antagonists against anti-apoptotic Bcl-2 proteins are expected to mimic the pro-apoptotic BH3-only proteins to bind the anti-apoptotic Bcl-2 proteins and release the pro-apoptotic Bax and Bak proteins for apoptosis initiation, thereby, antagonizing the anti-apoptotic Bcl-2 proteins.[8,9] As a potential antagonist against anti-apoptotic Bcl-2 protein based on HA 14-1, sHA 14-1 was first assayed for its ability to disrupt the binding interaction of a Bak BH3 domain peptide with Bcl-2 and Bcl-XL proteins respectively, a well-accepted model system for the heterodimer of anti-apoptotic and pro-apoptotic Bcl-2 proteins.[34] As shown in Fig. 1, compared to HA 14-1, sHA 14-1 demonstrated increased potency to disrupt the binding interaction of the Bak peptide with Bcl-2 and Bcl-XL proteins, suggesting that sHA 14-1 is a potentially more potent antagonist against anti-apoptotic Bcl-2 proteins than HA 14-1.
Fig. 1.
Competitive binding of HA 14-1 or sHA 14-1 and a fluorescent Bak BH3 peptide with anti-apoptotic Bcl-2 proteins monitored by the decrease of fluorescence polarization (FP, the more decrease indicates stronger binding). Each data point is the means ± S.D. of data obtained from two independent experiments (**: P < 0.01; ***: P < 0.001).
3.2. The stability, cytotoxicity, and ROS generation of sHA 14-1
We next evaluated whether sHA 14-1, compared to HA 14-1, has improved stability and does not generate ROS intrinsically. In order to quickly determine whether sHA 14-1 was stable, we assayed the change of cytotoxicity of sHA 14-1 after it was incubated in cell culture medium. The rationale was that if sHA 14-1 was stable in cell culture medium, the incubated sHA 14-1 solution should have the same cytotoxicity as the freshly prepared solution. Briefly, we prepared a series of sHA 14-1 solutions of different concentrations in cell culture medium and incubated these solutions at 37 °C for 0 or 24 hours. These sHA 14-1 solutions were then evaluated for their in vitro cytotoxicity against Jurkat cells. As shown in Fig. 2, a 24-hour incubation of HA 14-1 in RPMI cell culture medium resulted in the total loss of its cytotoxicity (IC50 increased ~ 60 fold, t1/2 = 15 min) while such an incubation resulted in minimal decrease of the cytotoxicity of sHA 14-1 (IC50 increased 1.7 folds, t1/2 > 1 day), suggesting that sHA 14-1 has much better stability over HA 14-1. The stability of sHA 14-1 was further confirmed by HPLC analysis of a 24-hour incubated solution of sHA 14-1 in RPMI medium that resulted in no detectable decomposition product(s) (data not shown). Under the 24-hour treatment conditions, sHA 14-1 (IC50 = 27.2 μM) had comparable cytotoxicity as HA 14-1 (IC50 = 12.6 μM) toward Jurkat cells.
Fig. 2.
Changes of cytotoxicities of HA 14-1 and sHA 14-1 upon their incubation in RPMI cell culture medium. The cells were treated for 24 hours. Viability was normalized to that of the cells treated by 1% DMSO alone.
Upon establishing the improved stability of sHA 14-1, we next explored whether sHA 14-1 can induce ROS generation as HA 14-1 does. The potential generation of ROS was evaluated both in cell-free system and in the presence of Jurkat cells by following established procedures.[28]. Under both conditions, the sHA 14-1 treated samples did not induce significant increase of ROS as compared to background (Fig. 3). These results suggest that sHA 14-1 does not generate ROS even upon its interaction with cells. The lack of ROS from sHA 14-1 treatment further strengthens the argument that the ROS observed in HA 14-1 treatment is likely to derive solely from HA 14-1 decomposition, not through its antagonism against anti-apoptotic Bcl-2 proteins.
Fig. 3.
Induction of ROS generation by HA 14-1 or sHA 14-1. A: ROS generation by HA 14-1 (20 μM) and sHA 14-1 (5 – 40 μM) in PBS without Jurkat cells; B: ROS generation by HA 14-1 (20 μM) and sHA 14-1 (5 – 40 μM) in PBS with Jurkat cells. (Under both conditions, HA 14-1 induced significantly more ROS generation than the solvent control did, P < 0.001; sHA 14-1 did not induce ROS generation more than the solvent control did.)
3.3. Apoptotic activity of sHA 14-1
Various Bcl-2 antagonists, including HA 14-1, have been demonstrated to induce apoptosis.[21,26,35] sHA 14-1 was therefore investigated for its ability to induce apoptosis as well, which was characterized in Jurkat cells with four assays that reflect different aspects of apoptosis. In all these assays, Jurkat cells were treated with sHA 14-1 for 24 hours over a range of concentrations. In the first assay, apoptosis was evaluated by flow cytometry for annexin-V FITC positive events. As shown in Fig. 4A, the percentage of annexin-V FITC positive events increased as the concentration of sHA 14-1 increased, suggesting that sHA 14-1 induced apoptosis in a dose-dependent manner. The induction of apoptosis by sHA 14-1 in Jurkat cells were further characterized by caspase-3/-7 activation, DNA fragmentation assays, and mitochondrial cytochrome c release. As shown in Fig. 4B, C, and D , sHA 14-1 induced caspase-3/-7 activation, DNA fragmentation, and the mitochondrial cytochrome c release, all in a concentration-dependent manner over the same range of sHA 14-1 concentrations. Taken together, these results clearly demonstrated that sHA 14-1 induced apoptosis in Jurkat cells.
Fig. 4.
Dose-dependent induction of apoptosis in Jurkat cells by 24-hour sHA 14-1 treatment. A. Flow cytometry analysis of Jurkat cells stained with Annexin-V FITC (P < 0.01 for [sHA 14-1] > 10 μM). Apoptotic cells were quantified as the Annexin-V FITC positive events. B. The activities of caspase-3/-7 that are normalized to the activity in the sample treated with 1% DMSO alone (P < 0.01 for [sHA 14-1] > 20 μM). C. The extent of DNA fragmentation. D. Western blot of cytochrome c in the mitochondrial and cytosolic fractions (actin was immunoblotted to ensure that equal amount of total cell lysate was analyzed for each treatment, not shown).
3.4. Over-expression of Bcl-2 or Bcl-XL induced no resistance to sHA 14-1
Our previous studies established that over-expression of Bcl-2 or Bcl-XL in Jurkat cells could effectively induce such cells resistant to various standard cancer therapies (IC50s increase > 5 folds, Fig. 5A – D).[29] In this study, we established that such over-expression rendered Jurkat cells resistant to cytotoxicity induced by Fas ligand as well (Fig. 5E). This is expected, as Jurkat cells undergo Type II extrinsic apoptotic regulation, which will activate caspase-8 to cleave Bid to tBid upon extrinsic apoptotic stress.[36] tBid will then induce the activation of caspase-3 through the mitochondrial intrinsic pathway, in which the anti-apoptotic Bcl-2 proteins are the key regulators to prevent apoptosis. Over-expression of the anti-apoptotic Bcl-2 proteins therefore can confer resistance to Jurkat cells against Fas ligand. In our previous study, we demonstrated that such over-expression in Jurkat cells, however, failed to induce resistance to HA 14-1.[29]
Fig. 5.
The sensitivities of the three Jurkat cell lines to sHA 14-1 and various anticancer agents (Inserts are the IC50s of the individual agents against the corresponding Jurkat cells, no IC50s for taxol and Fas ligand because the concentration range tested did not allow dose-response curve fitting to obtain the IC50s). The cells were treated for 48 hours. The viability of the cells was then measured and normalized to that from the cells treated with 1% DMSO alone. P < 0.001 for the comparisons of the cytotoxicities of cisplatin, doxorubicin, thioguanine, taxol, and Fas between the normal Jurkat cell and each of the over-expressing ones at all the concentrations tested.
As an antagonist derived from HA 14-1, sHA 14-1 was assayed to determine whether it may nullify the drug resistance derived from the over-expression of anti-apoptotic Bcl-2 proteins as well. As shown in Fig. 5F, the Jurkat cell lines over-expressing Bcl-2 or Bcl-XL showed very similar sensitivity to sHA 14-1 compared to the normal one. This result established that though the over-expression of Bcl-2 or Bcl-XL can induce resistance to cancer therapies with varied mechanism of actions, it failed to induce resistance to sHA 14-1, further supporting that sHA 14-1 functions as an antagonist against anti-apoptotic Bcl-2 proteins. The ability of sHA 14-1 to abolish the drug resistance from over-expressing anti-apoptotic Bcl-2 proteins suggests that sHA 14-1 may be useful to treat cancers that are drug resistant through the elevation of those anti-apoptotic proteins.
3.5. Characterization of extrinsic apoptotic pathway deficient Jurkat cell lines and the sensitivity of these cell lines to sHA 14-1
HA 14-1 has been reported to synergize the anticancer activity of TRAIL – an extrinsic apoptotic stimulus,[14,18] implying that HA 14-1 may induce apoptotic stress through the extrinsic pathway, which would be valuable as a cancer therapy. Such synergism may also be mediated by the ROS generated through HA 14-1 decomposition.[37,38] We, therefore, evaluated whether the ROS-free sHA 14-1 was able to induce cell death through the extrinsic apoptotic pathway as well. We tested this by evaluating the sensitivity of two Jurkat cells with their extrinsic apoptotic pathway impaired – a FADD dominant-negative Jurkat cell and a caspase-8 dominant-negative Jurkat cell to sHA 14-1.[39,40] As caspase-8 could be activated by caspase-2 or caspase-3/-7 that are mediated through the intrinsic apoptotic pathway,[41-43] the caspase-8 dominant-negative Jurkat cells may be resistant to intrinsic apoptotic stimuli as well while the FADD dominant-negative Jurkat cells should be resistant only to extrinsic apoptotic stimuli. We hypothesized that if sHA 14-1 induced apoptosis independent of the extrinsic pathway, these two dominant-negative Jurkat cell lines, especially the FADD dominant-negative one, should have the same sensitivity to sHA 14-1 as the normal Jurkat cell line.
These two cell lines were first characterized for their expression of FADD and caspase-8. As shown in Fig. 6, western blot characterization confirmed that the FADD dominant-negative Jurkat cells are devoid of FADD and the caspase-8 dominant-negative Jurkat cells are devoid of caspase-8. These two Jurkat cell lines express similar levels of caspase-2 and caspase-9 compared to the normal Jurkat cells, suggesting that these two dominant negative Jurkat cell lines differ from the normal Jurkat cell line only with respect to FADD and caspase-8 respectively.
Fig. 6.

Western blot characterization of Jurkat cell lines with antibodies indicated. Lanes from left to right: normal, caspase-8 dominant negative, and FADD dominant negative Jurkat cells.
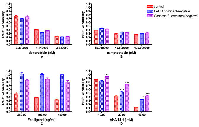
Next we evaluated the sensitivity of Fas ligand to these two Jurkat cells to establish whether the function of the extrinsic apoptotic pathway is impaired. We also evaluated the sensitivity of doxorubicin and camptothecin to these two Jurkat cells to establish that the function of the intrinsic apoptotic pathway is intact as the control Jurkat cells. It was found that these three Jurkat cells showed the same sensitivity to doxorubicin and camptothecin (Fig. 7A and B). However, with all the concentrations tested, Fas ligand failed to induce any cytotoxicity to FADD dominant-negative Jurkat cells and induced much less toxicity to caspase-8 dominant negative Jurkat cells compared to the normal Jurkat cells (Fig. 7C ). These functional studies further confirmed that the extrinsic apoptotic pathways are impaired in these two dominant negative Jurkat cell lines while they still retain normal intrinsic apoptotic pathway. The sensitivity of these two Jurkat cells to sHA 14-1 was then evaluated (Fig. 7D). Unlike Fas ligand, sHA 14-1 still induced obvious growth inhibition in both of these two Jurkat cells, suggesting that impairment of the extrinsic apoptotic pathway cannot fully block the in vitro cytotoxicity of sHA 14-1. This indirectly suggests that sHA 14-1 induces apoptotic stress through the intrinsic pathway, which is consistent with its antagonism against anti-apoptotic Bcl-2 proteins. However, both cells were less sensitive to sHA 14-1 compared to the normal Jurkat cells. The moderate resistance of these two dominant negative Jurkat cells, especially the FADD dominant-negative one, toward sHA 14-1 suggests that sHA 14-1 partially induces its cytotoxicity through the extrinsic pathway as well.
Fig. 7.
In vitro cytotoxicity of doxorubicin (A), camptothecin (B), Fas ligand (C, P < 0.001 for the comparisons between the control Jurkat cell and each of the dominant negative ones at all the concentrations tested), and sHA 14-1 (D, **: P < 0.01; ***: P < 0.001, for the comparisons between the control Jurkat cell and each of the dominant negative ones) to various Jurkat cell lines. The cells were treated for 24 hours. The viability of the cells was then measured and normalized to that from the cells treated with 1% DMSO alone.
The above results suggest sHA 14-1 can target both the intrinsic and the extrinsic apoptotic pathways. Therefore, impairment of either pathway would fail to induce complete resistance to sHA 14-1, as demonstrated in the Jurkat cells with the over-expression of anti-apoptotic Bcl-2/Bcl-XL or the removal of FADD/caspase-8.
3.6. Synergism of sHA 14-1
Since sHA 14-1 can induce apoptotic stress through the intrinsic and the extrinsic apoptotic pathways and HA 14-1 has been demonstrated to synergize apoptotic stimuli through both pathways, we speculated that sHA 14-1 may be able to synergize the anticancer activity of both intrinsic and extrinsic apoptotic stimuli. We, therefore, evaluated the synergistic potential of sHA 14-1 towards two different cytotoxic agents: dexamethasone (intrinsic apoptotic stimulus) and Fas ligand (extrinsic apoptotic stimulus). As shown in Table 1, sHA 14-1 synergized the anticancer activity of both candidates under all the concentration combinations tested. Comparatively, sHA 14-1 induced stronger synergism to Fas ligand than to dexamethasone.
Table 1.
The combination indexes (CI) for each cytotoxic agent combined with sHA14-1 in Jurkat cell line.
| Treatment | CI | |
|---|---|---|
| Fas | IC50 |
0.05 ± 0.02 |
| 0.75 × IC50 |
0.24 ± 0.10 | |
| 0.5 × IC50 | 0.44 ± 0.13 | |
|
| ||
| Dex | IC50 | 0.78 ± 0.03 |
| 0.75 × IC50 | 0.71 ± 0.02 | |
| 0.5 × IC50 | 0.89 ± 0.04 | |
Dexamethasone (Dex) and Fas ligand (Fas) were combined with sHA 14-1 (sHA) at a fixed dose ratio (molar ratio of sHA 14-1: Dex = 1:10,000 and ratio of sHA 14-1: Fas = 20,000 M:1 g/ml respectively) to treat the cells and cell viability was assessed by Cell-Titer Blue Viability Assay or long-term survival colony assay. Data were analyzed as described. Data shown are means ± S.D. of the CI values obtained at the IC50, 0.75 × IC50, and 0.5 × IC50.
4. Conclusion
HA 14-1, a small-molecule antagonist against anti-apoptotic Bcl-2 proteins, has been demonstrated to have exciting properties as a potential anticancer agent. Because of its instability and decomposition-associated generation of ROS, HA 14-1 is not an appropriate candidate for therapeutic development and biological application. We have developed a modified analog of HA 14-1 – sHA 14-1. The present study demonstrated that sHA 14-1 was much more stable than HA 14-1 (t1/2 increases > 96 folds) and did not induce ROS generation. sHA 14-1 also demonstrated improved binding interaction with anti-apoptotic Bcl-2 proteins compared to HA 14-1, and displayed a similar in vitro cytotoxicity as HA 14-1. Given the fact that most of the cytotoxicity of HA 14-1 derives from ROS [28], sHA 14-1 has improved cytotoxicity derived from the antagonism against anti-apoptotic Bcl-2 proteins. As expected, sHA 14-1 effectively induces apoptosis in Jurkat cells, supported by Annexin V staining, caspase-3/-7 activation, DNA fragmentation, and mitochondrial cytochrome c release.
Drug resistance is one of the major obstacles to the successful treatment of malignancies. The mechanisms accounting for the drug resistance phenotype may be mediated through the over-expression of anti-apoptotic Bcl-2 proteins.[44] As an antagonist against anti-apoptotic Bcl-2 proteins, sHA 14-1 is insensitive to the drug resistance induced by the over-expression of the anti-apoptotic Bcl-2 proteins. Furthermore, knockout of the extrinsic apoptotic pathway only induces moderate resistance to sHA 14-1. These studies suggest that sHA 14-1 induces apoptotic stress through both pathways and cancers may be unlikely to acquire significant drug resistance to sHA 14-1. sHA 14-1 also synergized the anticancer activities of both intrinsic and extrinsic apoptotic stimuli, further underscoring the potential of sHA 14-1 in cancer therapy.
Because of its improved stability, its ability to overcome drug resistance, and its synergistic property, we propose that sHA 14-1 is a promising anticancer candidate. Evaluation of its anticancer properties in vivo is undergoing.
Acknowledgments
This research was supported in part by the AACP New Investigator Program sponsored by the American Foundation for Pharmaceutical Education (D. T., S. D., J. D., C. X.) and NIH-R01GM062964 (J. P., J. L.).
Footnotes
Publisher's Disclaimer: This is a PDF file of an unedited manuscript that has been accepted for publication. As a service to our customers we are providing this early version of the manuscript. The manuscript will undergo copyediting, typesetting, and review of the resulting proof before it is published in its final citable form. Please note that during the production process errors may be discovered which could affect the content, and all legal disclaimers that apply to the journal pertain.
References
- 1.Bouillet P, Cory S, Zhang LC, Strasser A, Adams JM. Degenerative disorders caused by Bcl-2 deficiency prevented by loss of its BH3-only antagonist Bim. Dev Cell. 2001;1:645–653. doi: 10.1016/s1534-5807(01)00083-1. [DOI] [PubMed] [Google Scholar]
- 2.Cory S, Huang DC, Adams JM. The Bcl-2 family: roles in cell survival and oncogenesis. Oncogene. 2003;22:8590–8607. doi: 10.1038/sj.onc.1207102. [DOI] [PubMed] [Google Scholar]
- 3.Wang J, Liu D, Zhang Z, Shan S, Han X, Srinivasula SM, et al. Structure-based discovery of an organic compound that binds Bcl-2 protein and induces apoptosis of tumor cells. Proc Natl Acad Sci. 2000;97:7124–7129. doi: 10.1073/pnas.97.13.7124. [DOI] [PMC free article] [PubMed] [Google Scholar]
- 4.Lugovskoy AA, Degterev AI, Fahmy AF, Zhou P, Gross JD, Yuan J, et al. A Novel Approach for Characterizing Protein Ligand Complexes: Molecular Basis for Specificity of Small-Molecule Bcl-2 Inhibitors. J Am Chem Soc. 2002;124:1234–1240. doi: 10.1021/ja011239y. [DOI] [PubMed] [Google Scholar]
- 5.Tzung S, Kim KM, Basa ez G, Giedt CD, Simon J, Zimmerberg J, et al. Antimycin A mimics a cell-death-inducing Bcl-2 homology domain 3. Nat Cell Biol. 2001;3:183–191. doi: 10.1038/35055095. [DOI] [PubMed] [Google Scholar]
- 6.Enyedy IJ, Ling Y, Nacro K, Tomita Y, Wu X, Cao Y, et al. Discovery of Small-Molecule Inhibitors of Bcl-2 through Structure-Based Computer Screening. J Med Chem. 2001;44:4313–4324. doi: 10.1021/jm010016f. [DOI] [PubMed] [Google Scholar]
- 7.Becattini B, Kitada S, Leone M, Monosov E, Chandler S, Zhai D, et al. Rational Design and Real Time, In-Cell Detection of the Proapoptotic Activity of a Novel Compound Targeting Bcl-XL. Chem Biol. 2004;11:389–395. doi: 10.1016/j.chembiol.2004.02.020. [DOI] [PubMed] [Google Scholar]
- 8.Kitada S, Leone M, Sareth S, Zhai D, Reed JC, Pellecchia M. Discovery, Characterization, and Structure-Activity Relationships Studies of Proapoptotic Polyphenols Targeting B-Cell Lymphocyte/Leukemia-2 Proteins. J Med Chem. 2003;46:4259–4264. doi: 10.1021/jm030190z. [DOI] [PubMed] [Google Scholar]
- 9.Oltersdorf T, Elmore SW, Shoemaker AR, Armstrong RC, Augeri DJ, Belli BA, et al. An inhibitor of Bcl-2 family proteins induces regression of solid tumours. Nature. 2005;435:677–681. doi: 10.1038/nature03579. [DOI] [PubMed] [Google Scholar]
- 10.Petros AM, Dinges J, Augeri DJ, Baumeister SA, Betebenner DA, Bures MG, et al. Discovery of a Potent Inhibitor of the Antiapoptotic Protein Bcl-xL from NMR and Parallel Synthesis. J Med Chem. 2006;49:656–663. doi: 10.1021/jm0507532. [DOI] [PubMed] [Google Scholar]
- 11.Tang G, Yang CY, Nikolovska-Coleska Z, Guo J, Qiu S, Wang R, et al. Pyrogallol-based molecules as potent inhibitors of the antiapoptotic Bcl-2 proteins. J Med Chem. 2007;50:1723–1726. doi: 10.1021/jm061400l. [DOI] [PMC free article] [PubMed] [Google Scholar]
- 12.Verhaegen M, Bauer JA, Martin de la Vega C, Wang G, Wolter KG, Brenner JC, et al. A novel BH3 mimetic reveals a mitogen-activated protein kinase-dependent mechanism of melanoma cell death controlled by p53 and reactive oxygen species. Cancer Res. 2006;66:11348–11359. doi: 10.1158/0008-5472.CAN-06-1748. [DOI] [PubMed] [Google Scholar]
- 13.Pei X, Dai Y, Grant S. The proteasome inhibitor bortezomib promotes mitochondrial injury and apoptosis induced by the small molecule Bcl-2 inhibitor HA14-1 in multiple myeloma cells. Leukemia. 2003;17:2036–2045. doi: 10.1038/sj.leu.2403109. [DOI] [PubMed] [Google Scholar]
- 14.Hao J, Yu M, Liu F, Newland AC, Jia L. Bcl-2 Inhibitors Sensitize Tumor Necrosis Factor-Related Apoptosis-Inducing Ligand-Induced Apoptosis by Uncoupling of Mitochondrial Respiration in Human Leukemic CEM Cells. Cancer Res. 2004;64:3607–3616. doi: 10.1158/0008-5472.CAN-03-3648. [DOI] [PubMed] [Google Scholar]
- 15.An J, Chervin AS, Nie A, Ducoff HS, Huang Z. Overcoming the radioresistance of prostate cancer cells with a novel Bcl-2 inhibitor. Oncogene. 2007;26:652–661. doi: 10.1038/sj.onc.1209830. [DOI] [PubMed] [Google Scholar]
- 16.Dai Y, Rahmani M, Corey SJ, Dent P, Grant S. A Bcr/Abl-independent, Lyn-dependent Form of Imatinib Mesylate (STI-571) Resistance Is Associated with Altered Expression of Bcl-2. J Biol Chem. 2004;279:34227–34239. doi: 10.1074/jbc.M402290200. [DOI] [PubMed] [Google Scholar]
- 17.Lickliter JD, Wood NJ, Johnson L, McHugh G, Tan J, Wood F, et al. HA14-1 selectively induces apoptosis in Bcl-2-overexpressing leukemia/lymphoma cells, and enhances cytarabine-induced cell death. Leukemia. 2003;17:2074–2080. doi: 10.1038/sj.leu.2403102. [DOI] [PubMed] [Google Scholar]
- 18.Sinicrope FA, Penington RC, Tang XM. Tumor Necrosis Factor-Related Apoptosis-Inducing Ligand-Induced Apoptosis Is Inhibited by Bcl-2 but Restored by the Small Molecule Bcl-2 Inhibitor, HA 14-1, in Human Colon Cancer Cells. Clin Cancer Res. 2004;10:8284–8292. doi: 10.1158/1078-0432.CCR-04-1289. [DOI] [PubMed] [Google Scholar]
- 19.Nimmanapalli R, O’Bryan E, Kuhn D, Yamaguchi H, Wang H, Bhalla KN. Regulation of 17-AAG--induced apoptosis: role of Bcl-2, Bcl-xL, and Bax downstream of 17-AAG--mediated down-regulation of Akt, Raf-1, and Src kinases. Blood. 2003;102:269–275. doi: 10.1182/blood-2002-12-3718. [DOI] [PubMed] [Google Scholar]
- 20.Pei X, Dai Y, Grant S. The small-molecule Bcl-2 inhibitor HA14-1 interacts synergistically with flavopiridol to induce mitochondrial injury and apoptosis in human myeloma cells through a free radical-dependent and Jun NH2-terminal kinase-dependent mechanism. Mol Cancer Ther. 2004;3:1513–1524. [PubMed] [Google Scholar]
- 21.Skommer J, Wlodkowic D, Mättö M, Eray M, Pelkonen J. HA14-1, a small molecule Bcl-2 antagonist, induces apoptosis and modulates action of selected anticancer drugs in follicular lymphoma B cells. Leukemia Res. 2006;20:322–331. doi: 10.1016/j.leukres.2005.08.022. [DOI] [PubMed] [Google Scholar]
- 22.Manero F, Gautier F, Gallenne T, Cauquil N, Grée D, Cartron PF, et al. The Small Organic Compound HA14-1 Prevents Bcl-2 Interaction with Bax to Sensitize Malignant Glioma Cells to Induction of Cell Death. Cancer Res. 2006;66:2757–2764. doi: 10.1158/0008-5472.CAN-05-2097. [DOI] [PubMed] [Google Scholar]
- 23.Niizuma H, Nakamura Y, Ozaki T, Nakanishi H, Ohira M, Isogai E, et al. Bcl-2 is a key regulator for the retinoic acid-induced apoptotic cell death in neuroblastoma. Oncogene. 2006;25:5046–5055. doi: 10.1038/sj.onc.1209515. [DOI] [PubMed] [Google Scholar]
- 24.Sutter AP, Maaser K, Grabowski P, Bradacs G, Vormbrock K, Höpfner M, et al. Peripheral benzodiazepine receptor ligands induce apoptosis and cell cycle arrest in human hepatocellular carcinoma cells and enhance chemosensitivity to paclitaxel, docetaxel, doxorubicin and the Bcl-2 inhibitor HA14-1. J Hepatol. 2004;41:799–807. doi: 10.1016/j.jhep.2004.07.015. [DOI] [PubMed] [Google Scholar]
- 25.Milella M, Estrov Z, Kornblau SM, Carter BZ, Konopleva M, Tari A, et al. Synergistic induction of apoptosis by simultaneous disruption of the Bcl-2 and MEK/MAPK pathways in acute myelogenous leukemia. Blood. 2002;99:3461–3464. doi: 10.1182/blood.v99.9.3461. [DOI] [PubMed] [Google Scholar]
- 26.An J, Chen Y, Huang Z. Critical Upstream Signals of Cytochrome c Release Induced by a Novel Bcl-2 Inhibitor. J Biol Chem. 2004;279:19133–19140. doi: 10.1074/jbc.M400295200. [DOI] [PubMed] [Google Scholar]
- 27.Su Y, Zhang X, Sinko PJ. Exploration of drug-induced Bcl-2 overexpression for restoring normal apoptosis function: A promising new approach to the treatment of multidrug resistant cancer. Cancer Lett. 2007;253:115–123. doi: 10.1016/j.canlet.2007.01.018. [DOI] [PubMed] [Google Scholar]
- 28.Doshi JM, Tian D, Xing C. Ethyl-2-amino-6-bromo-4-(1-cyano-2-ethoxy-2-oxoethyl)-4H-chromene-3-carboxylate (HA 14-1), a prototype small-molecule antagonist against anti-apoptotic Bcl-2 proteins, decomposes to generate reactive oxygen species (ROS) that induce apoptosis. Mol Pharm. 2007 doi: 10.1021/mp7000846. Accepted. [DOI] [PubMed] [Google Scholar]
- 29.Doshi JM, Tian D, Xing C. Structure-activity relationship studies of ethyl 2-amino-6-bromo-4-(1-cyano-2-ethoxy-2-oxoethyl)-4H-chromene-3-carboxylate (HA 14-1), an antagonist for antiapoptotic Bcl-2 proteins to overcome drug resistance in cancer. J Med Chem. 2006;49:7731–7739. doi: 10.1021/jm060968r. [DOI] [PubMed] [Google Scholar]
- 30.Chou TC, Talalay P. Quantitative analysis of dose-effect relationships: the combined effects of multiple drugs or enzyme inhibitors. Adv Enzyme Regul. 1984;22:27–55. doi: 10.1016/0065-2571(84)90007-4. [DOI] [PubMed] [Google Scholar]
- 31.Cathcart R, Schwiers E, Ames BN. Detection of picomole levels of hydroperoxides using a fluorescent dichlorofluorescein assay. Anal Biochem. 1983;134:111–116. doi: 10.1016/0003-2697(83)90270-1. [DOI] [PubMed] [Google Scholar]
- 32.Gross A, Jockel J, Wei MC, Korsmeyer SJ. Enforced dimerization of BAX results in its translocation, mitochondrial dysfunction and apoptosis. EMBO Journal. 1998;17:3878–3885. doi: 10.1093/emboj/17.14.3878. [DOI] [PMC free article] [PubMed] [Google Scholar]
- 33.Adams JM, Cory S. The Bcl-2 Protein Family: Arbiters of Cell Survival. Science. 1998;281:1322–1326. doi: 10.1126/science.281.5381.1322. [DOI] [PubMed] [Google Scholar]
- 34.Sattler M, Liang H, Nettesheim DN, Meadows RP, Harlan JE, Eberstadt M, et al. Structure of Bcl-xL-Bak Peptide Complex: Recognition Between Regulators of Apoptosis. Science. 1997;275:983–986. doi: 10.1126/science.275.5302.983. [DOI] [PubMed] [Google Scholar]
- 35.Chen S, Dai Y, Harada H, Dent P, Grant S. Mcl-1 down-regulation potentiates ABT-737 lethality by cooperatively inducing Bak activation and Bax translocation. Cancer Res. 2007;67:782–791. doi: 10.1158/0008-5472.CAN-06-3964. [DOI] [PubMed] [Google Scholar]
- 36.Scaffidi C, Fulda S, Srinivasan A, Friesen C, Li F, Tomaselli KJ, et al. Two CD95 (Apo-1/Fas) signaling pathways. EMBO J. 1998;17:1675–1687. doi: 10.1093/emboj/17.6.1675. [DOI] [PMC free article] [PubMed] [Google Scholar]
- 37.Liu Y, Borchert GL, Surazynski A, Hu CA, Phang JM. Proline oxidase activates both intrinsic and extrinsic pathways for apoptosis: the role of ROS/superoxides, NFAT and MEK/ERK signaling. Oncogene. 2006;25:5640–5647. doi: 10.1038/sj.onc.1209564. [DOI] [PubMed] [Google Scholar]
- 38.Kalivendi SV, Konorev EA, Cunningham S, Vanamala SK, Kaji EH, Joseph J, et al. Doxorubicin activates nuclear factor of activated T-lymphocytes and Fas ligand transcription: role of mitochondrial reactive oxygen species and calcium. Biochem J. 2005;389:527–539. doi: 10.1042/BJ20050285. [DOI] [PMC free article] [PubMed] [Google Scholar]
- 39.Juo P, Kuo CJ, Yuan J, Blenis J. Essential requirement for caspase-8/FLICE in the initiation of the Fas-induced apoptotic cascade. Curr Biol. 1998;8:1001–1008. doi: 10.1016/s0960-9822(07)00420-4. [DOI] [PubMed] [Google Scholar]
- 40.Juo P, Woo MS, Kuo CJ, Signorelli P, Biemann HP, Hannun YA, et al. FADD is required for multiple signaling events downstream of the receptor Fas. Cell Growth Differ. 1999;10:797–804. [PubMed] [Google Scholar]
- 41.Lin CF, Chen CL, Chang WT, Jan MS, Hsu LJ, Wu RH, et al. Sequential caspase-2 and caspase-8 activation upstream of mitochondria during ceramideand etoposide-induced apoptosis. J Biol Chem. 2004;279:40755–40761. doi: 10.1074/jbc.M404726200. [DOI] [PubMed] [Google Scholar]
- 42.Perchellet EM, Wang Y, Weber RL, Sperfslage BJ, Lou K, Crossland J, et al. Synthetic 1,4-anthracenedione analogs induce cytochrome c release, caspase-9, -3, and -8 activities, poly(ADP-ribose) polymerase-1 cleavage and internucleosomal DNA fragmentation in HL-60 cells by a mechanism which involves caspase-2 activation but not Fas signaling. Biochem Pharmacol. 2004;67:523–537. doi: 10.1016/j.bcp.2003.09.012. [DOI] [PubMed] [Google Scholar]
- 43.de Vries JF, Wammes LJ, Jedema I, van Dreunen L, Nijmeijer BA, Heemskerk MH, et al. Involvement of caspase-8 in chemotherapy-induced apoptosis of patient derived leukemia cell lines independent of the death receptor pathway and downstream from mitochondria. Apoptosis. 2007;12:181–193. doi: 10.1007/s10495-006-0526-6. [DOI] [PubMed] [Google Scholar]
- 44.Kiechle FL, Zhang X. Apoptosis: biochemical aspects and clinical implications. Clin Chim Acta. 2002;326:27–45. doi: 10.1016/s0009-8981(02)00297-8. [DOI] [PubMed] [Google Scholar]






