Abstract
The kendomycin skeleton was prepared by a highly convergent strategy in which the benzofuran fragment and the acyclic iodide fragment were prepared by standard methods and joined using a Suzuki coupling. The distinctive reaction in our approach was an intramolecular Prins cyclization that assembles the macrocyclic ring in good yield. Modeling studies demonstrate that the acyclic chain is predisposed for macrocycle formation. Ultimately the product was correlated with one of Lee's advanced intermediates for a formal total synthesis of kendomycin.
Introduction
(−)-Kendomycin (1, Figure 1) has a diverse and fascinating pharmacological profile. It was isolated in 1996 from various Streptomyces bacteria and exhibits potent antagonism of the endothelin receptor, as well as antiosteoporotic properties from calcitonin receptor agonism.1 Potent cytotoxicity (GI50 < 100 nM) toward carcinoma cell lines has been observed, in addition to broad-spectrum antibacterial activity, even against MRSA and VRSA strains.1b A recent report has also described kendomycin’s utility in probing the biological processes of the mammalian proteasome in vitro.1c Along with its fascinating biological profile, kendomycin’s distinctive architecture has made it a popular target for synthetic chemists. Both the Lee2 and Smith3 groups have reported total syntheses of kendomycin. A number of other groups, including our own,4 have described the synthesis of complex fragments.5 The varied approaches to kendomycin arise from the synthetic challenges found in its structure, notably the p-quinone methide, the all-carbon macrocyclic polyketide, and the fully substituted tetrahydropyran (THP) ring. Herein we report a formal total synthesis of kendomycin that addresses these structural challenges using a Prins cyclization to assemble the macrocycle.
Figure 1.
Synthetic analysis of kendomycin (1), featuring a Prins-mediated macrocyclization (3 → 2) as the key step.
The initial synthetic disconnection that our group and several others applied to kendomycin envisioned a late-stage ring-closing metathesis reaction to assemble the macrocycle at the C13-C14 alkene. Mulzer,5a Smith,3 and Arimoto5b clearly demonstrated that disconnection at the trisubstituted alkene was problematic both in generating the macrocycle and in controlling the alkene geometry. The current project began with the supposition that a Prins cyclization6,7 might facilitate formation of the macrocycle. At the time we began this project, there was little precedent for the formation of macrocycles using a Prins reaction,8 but in the last six months several very impressive reports have described the successful application of such a strategy. Both Scheidt9 and Lee10 used a Prins macrocyclization to prepare neopeltolide, and Wender recently reported a similar strategy in the preparation of a bryostatin analogue.11 The successful assembly of the kendomycin macrocycle by a ring-closing Prins cyclization is described below.
A retrosynthetic analysis of kendomycin is outlined in Figure 1. Lee demonstrated that the p-quinone methide of kendomycin could be prepared by oxidation of hydroxybenzofuran 2.2 The key Prins cyclization would generate the THP ring, three new stereogenic centers, and the macrocycle simultaneously from the unsaturated hydroxy aldehyde 3. Trisubstituted alkene 3 should be available from the two major fragments 4 and 5, which would be joined using a Suzuki-Miyaura coupling.12 Syntheses of precursors 4 and 5 have ample precedent from previous synthetic approaches to kendomycin.2–5 Importantly, this strategy allows for the merger of equally complex fragments with complete stereocontrol of the trisubstituted alkene.
Our enthusiasm for the Prins macrocyclization strategy was derived in part from the previous Prins cyclization approach to kendomycin that we had developed. The Prins reaction between unsaturated alcohol 6 and substituted benzaldehyde 7 efficiently produced tetrahydropyrans 8 and 9 as single diastereomers (Eq 1).4 We reasoned that tethering these components with kendomycin’s polyketide chain could harness the power of the Prins reaction in tetrahydropyran construction and provide a driving force for the difficult macrocyclization, while avoiding intermediates prone to C5–C4a atropisomerism.2,3,5 This strategy had the potential to greatly simplify the construction of kendomycin.
![]() |
(1) |
Results and Discussion
The construction of the cross-coupling partners to assemble Prins-macrocyclization precursor 3 began with the synthesis of vinyl iodide 4 (Scheme 1). Toward this end, the one-pot treatment of Lee’s alkyne 102 with freshly prepared Schwartz’s reagent,13 followed by treatment with iodine afforded E-vinyl iodide 11 as a single regioisomer in 89% yield. Deprotection of silyl ether 11 and Parikh-Doering oxidation14 gave aldehyde 12, which upon treatment with Hoffmann’s dimethallyl borane 13,15,4 produced the E-homoallylic alcohol 4 as a single diastereomer in excellent yield. The unprotected vinyl iodide 4 was available from alkyne 10 in 63% yield over four steps.
Scheme 1.
Synthesis of homoallylic alcohol 4
Reagents & conditions: (a) Cp2Zr(H)Cl, PhH, 50°C, then I2, CH2Cl2, −30°C, 89%; (b) TBAF, THF, 93%; (c) pyr·SO3, DMSO, CH2Cl2, 0°C, 85%; (d) hexane, 0°C, 90%.
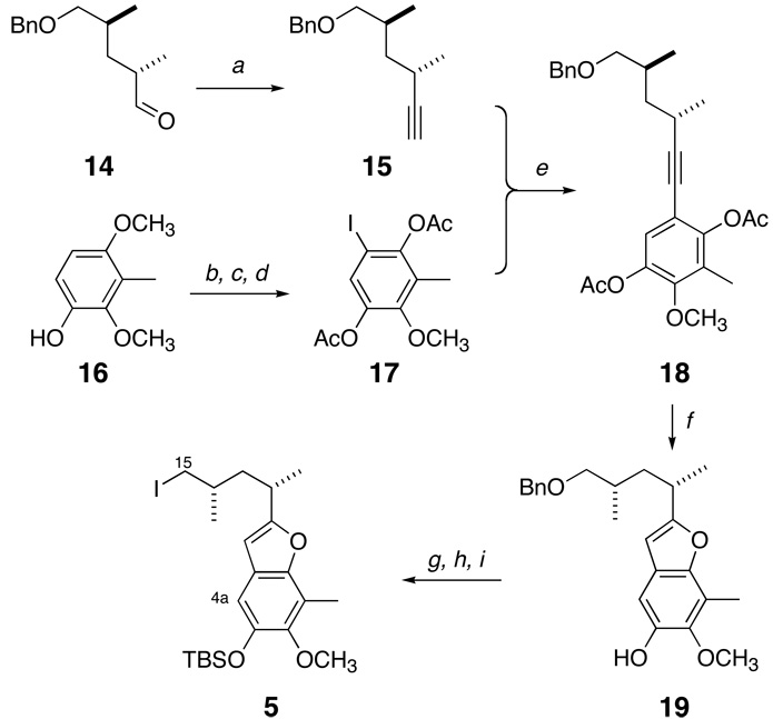
Lee had used benzofuran iodide 5 in his synthesis of kendomycin.2 Scheme 2 outlines an improved route to iodide 5 that is based on a Sonogashira coupling16 and base-induced 5-endo-dig cyclization to assemble the benzofuran domain.17 The addition of aldehyde 145c to a cold solution of lithium trimethylsilyl diazomethane in Et2O and subsequent Colvin rearrangement18 generated terminal alkyne 15 in 72% yield. Its coupling partner, aryl iodide 17, was available from phenol 1619,4 using a three-step sequence, in which oxidation/reduction to form a hydroquinone, bis-acetylation, and H2SO4-catalyzed iodination steps were performed without intermediate purifications to afford crystalline iodide 17 in 71% overall yield from phenol 16. Sonogashira coupling16,17 of alkyne 15 (1.1 equiv) and aryl iodide 17 using catalytic PdCl2(PPh3)2 and CuI in DMF-Et3N delivered aryl alkyne 18 in 94% yield. Interestingly, the efficiency of this coupling, especially in a gram-scale reaction, strongly depended on the order of addition of reagents. Control experiments showed that adding the amine base last was critical to producing high yields. Treatment of aryl alkyne 18 with aqueous CsOH in EtOH at 80°C deprotected the phenols and induced a 5-endo-dig cyclization onto the alkyne to generate hydroxybenzofuran 19.17 Other metal hydroxides (Li, Na, K) and higher boiling alcohol solvents effected the cyclization; CsOH was preferred because it consistently promoted the highest yields under mild conditions. Finally, silylation of phenol 19, benzyl deprotection, and iodination afforded the Suzuki-Miyaura coupling precursor 52 in 73% yield over 5 steps from alkyne 15.
Scheme 2.
Synthesis of benzofuran 5, featuring a Sonogashira coupling and alkaline 5-endo-dig cyclization
Reagents & conditions: (a) LiC(N2)TMS, Et2O, −78°C, 72%; (b) CAN, MeCN-H2O, then aq. Na2S2O4; (c) Ac2O, pyr., 75% over 2 steps; (d) NIS, HOAc, cat.H2SO4, 95%; (e) PdCl2(PPh3)2, CuI, NEt3, DMF, 94%; (f) aq. CsOH, EtOH, 80°C, 89%; (g) TBSCl, imidazole, CH2Cl2, 94%; (h) Pd(OH)2/C, H2, THF, 99%; (i) I2, PPh3, imid., CH2Cl2, 94%.
With convenient access to iodides 4 and 5, we shifted our attention to the Suzuki-Miyaura coupling12 of these fragments (Scheme 3). Following the protocols of Lee2 and Marshall,12 an alkyllithium boronate complex was prepared from iodide 5 and combined with a premixed solution of aqueous K3PO4, vinyl iodide 4, and PdCl2(dppf) in DMF.12c The trisubstituted E-alkene 20 was isolated in 90% yield. The final carbon atom to be installed was the C5 aldehyde. Treatment of 20 with TBAF removed the phenol-protecting group, and a modified Duff ortho-formylation introduced the C5 aldehyde. The Duff protocol,20 which installs C5 at the correct oxidation state for the Prins reaction, employed hexamethylenetetramine (HMTA, 5 equiv) in HOAc at 100°C, along with H2O (5 equiv) as a crucial additive, to provide aldehyde 21 as a single regioisomer in 76% yield. The omission of H2O was detrimental, resulting in variable and lower yields (19–55%). Extensive optimization also showed that reproducibly high yields of 21 strongly depended on reaction times: the formylation required 120–150 min for completion, and longer reaction times led to acylation of the C9 carbinol.21 Aldehyde 21 contains all 29 carbon atoms of the kendomycin skeleton.
Scheme 3.
Suzuki-Miyaura coupling of fragments 4 and 5 and fashioning of the Prins cyclization precursor 3
Reagents & conditions: (a) 5, t-BuLi, Et2O, 9-(MeO)-BBN, −78°C, then 4, DMF, aq. K3PO4, PdCl2(dppf), rt, 90%; (b) TBAF, THF, 93%; (c) HMTA (5 equiv.), H2O (5 equiv.), HOAc, 100°C, 76%; (d) PhSO2Cl, i-PrNEt2, CH2Cl2, 0°C, 85%.
Our previous work with 2-hydroxybenzaldehydes as Prins substrates demonstrated that the use of electron withdrawing groups on such phenols is essential for efficient Prins cyclizations.6a,22 Studies with a 2-hydroxybenzaldehyde model system indicated that acetyl, mesyl, benzenesulfonyl, and trifluoromethanesulfonyl groups could fulfill this prerequisite.21 Only the benzenesulfonyl group, however, could be installed directly into benzofuran 21. Selective sulfonylation of the phenol with PhSO2Cl and Hunig’s base provided sulfonate 3 in 85% yield. Apparently, steric hindrance around the C9 carbinol and the modest reactivity of the sulfonylation reagent limited deleterious side reactions. All attempts to attach the other electron withdrawing groups to phenol 21 failed, either returning starting materials or, in the case of triflate, leading to decomposition. The A1–3 strain found between the C5 carbonyl moiety and the adjacent protected phenol of compound 3 and its analogues twists the carbonyl group out of the plane, raising the energy and rendering the protecting groups very susceptible to hydrolysis. Hydrolysis would relieve the steric strain, restore full conjugation between the aldehyde and the ring, and restore the stabilizing hydrogen bond found in hydroxybenzofuran 21. The relatively inert benzenesulfonate increases the kinetic stability of aldehyde 3, making it well suited intermediate for the Prins cyclization.
The key Prins cyclization was investigated using two common acidic conditions for the reaction, TFA and a combination of BF3·OEt2 and acetic acid.7g,h Treatment with TFA in CH2Cl2 led to decomposition, but treatment of aldehyde 3 with BF3·OEt2 and HOAc in CH2Cl2 at high dilution (15 mM) generated a mixture of the acetate 22 and fluoride 23 in 33% and 48% yield, respectively. Ethanolysis of macrocycle 22 afforded Lee’s kendomycin intermediate 2.2 The corresponding fluoride analogue 24 was also available by hydrolysis of cyclization product 23. Lee demonstrated that a three-step protocol, featuring an IBX oxidation, could be used to convert diol 2 to kendomycin.2 Thus synthesis of diol 2 constitutes a formal total synthesis of kendomycin.23
The macrocyclization of aldehyde 3 is surprisingly effective. In practice, the yield of cyclized product is split between the fluoride and the acetate, which reduces the synthetic efficiency. Fluoride trapping is occasionally observed in Prins cyclizations, but it usually can be minimized be using alternative acid catalyst systems.24 In this case attempted cyclization with TFA or in the presence of TMSOAc were unsuccessful. We will continue to investigate alternative catalyst systems to avoid this problem. The combined yield, however, is a remarkable 81%. To understand why the Prins macrocyclization is so efficient, we investigated the conformation of the hydroxy aldehyde 3. Compound 3 was modeled using Spartan's conformational search routine and the MMFF force field. The lowest energy conformation is presented in Figure 2. The molecule is well disposed to cyclize, with the aldehyde and alcohol only 3.12 Å apart. The first twelve low-energy conformations all show aldehyde-alcohol bond distances of less than 3.3 Å. In a general sense this conformational preference is understandable.25 In order to avoid a syn-pentane interaction, C16 and C18 methyl groups force a kink in the chain. The geometry of the trisubstituted alkene introduces a second turn in the chain around the C12–C14 region to avoid unfavorable A1–3 interactions. These two features, combined with the preferred extended conformation of the rest of the chain and the rigidity of the benzofuran, reduce the degrees of freedom in hydroxyl aldehyde 3. Molecular modeling identifies a hydrogen bond between the sulfonate and the C9 alcohol that brings the reactive ends of the molecule together and sets up the remarkably efficient macrocyclization event. The kendomycin skeleton is ideally suited to a Prins macrocyclization approach.
Figure 2.
Preferred conformation of unsaturated aldehyde 3, the Prins macrocyclization precursor, by molecular modeling using the MMFF force field.
Conclusions
The Prins cyclization is an effective method to form the macrocyclic ring in kendomycin. The cyclization precursor was assembled from two fragments of similar complexity using a Suzuki- Miyaura coupling. The final carbon atom was introduced using a Duff ortho-formylation reaction. The Prins macrocycle formation is undoubtedly aided by the conformational preference of the hydroxy aldehyde precursor 3. The work constitutes a formal total synthesis of kendomycin, and demonstrates the potential of the Prins cyclization to form tetrahydropyran-containing macrocyclic rings.
Experimental Section
Alkene 20
Following the Suzuki-Miyaura cross-coupling procedures of Lee,2 Marshall,12b and Novartis chemists,12c alkyl iodide 526 (284 mg, 565 µmol, 1.3 equiv) was dissolved in 2 mL of Et2O and cooled to −78°C. To this solution was added t-BuLi (0.81 mL, 1.40 M in pentane, 2.6 equiv) as a stream. After 3 min of stirring, a solution of 9-BBN (1.30 mL, 1.0 M in hexane, 3.0 equiv) was added, followed by 2 mL of THF. The reaction mixture was held at −78°C for 30 min then allowed to warm to rt over 2 h. In a separate flask, vinyl iodide 426 (140 mg, 434 µmmol) was dissolved in 2.5 mL of DMF and mixed with 3.0 M aq. K3PO4 (0.72 mL, 5.0 equiv). After a homogeneous mixture was obtained, this vinyl iodide solution was added dropwise to the boronate solution at rt. Upon the addition of PdCl2(dppf)·CH2Cl2 (18mg, 5 mol%), the reaction flask was sealed from light with foil and stirred for 15 h. The reaction mixture was partitioned between Et2O and H2O. The organic layer was washed with brine and dried over Na2SO4. Flash chromatography afforded alkene 20 as a pale oil (223 mg, 90%): [α]24 D +19.6 (c 1.00, CHCl3); 1H NMR (500 MHz, CDCl3) δ 6.77 (s, 1H), 6.21 (s, 1H), 5.47 (dq, J = 15.2, 6.5, 1H), 5.33 (dd, J = 15.2, 7.5, 1H), 4.87 (d, J = 9.3, 1H), 3.77 (s, 3H), 3.44–3.37 (m, 1H), 2.99 (sext, J = 7.0, 1H), 2.41 (s, 3H), 2.39–2.31 (m, 1H), 2.23–2.15 (m, 1H), 2.08 (dd, J = 12.8, 5.3, 1H), 1.81–1.69 (m, 2H), 1.68–1.64 (m, 1H), 1.65 (d, J = 6.3, 3H), 1.59 (dd, J = 13.9, 6.8, 1H), 1.55 (s, 3H), 1.52–1.45 (m, 1H), 1.44–1.28 (m, 4H), 1.27 (d, J = 6.9, 3H), 1.03 (s, 9H), 0.96 (d, J = 7.0, 3H), 0.94 (d, J = 6.9, 3H), 0.83 (d, J = 6.2, 3H), 0.18 (s, 6H); 13C NMR (125 MHz, CDCl3) δ 164.7, 148.9, 146.7, 145.2, 133.7, 133.3, 132.6, 126.1, 123.7, 115.1, 108.1, 100.4, 75.2, 60.7, 48.3, 43.3, 42.7, 34.1, 32.5, 31.9, 31.4, 28.4, 26.0, 21.8, 19.6, 19.3, 18.5, 18.3, 16.3, 15.1, 9.4, −4.5; IR (NaCl) 3433(br), 2958, 2929, 2860, 1442, 1352, 1255, 1215, 1119, 1078, 1034, 1005, 893, 835, 783, 735 cm−1; HRMS (EI) m / z calcd for C35H58NaO4Si (M + Na)+ 593.4002, found 593.3998.
Phenol precursor to aldehyde 21
To a solution of TBS ether 20 (59 mg, 103 µmol) in 1 mL of THF at −78°C was added TBAF (113 µL, 1.0 M in THF, 1.1 equiv). The reaction mixture was stirred for 30 min then partitioned between Et2O and aq. NH4Cl. The organic layer was washed with brine and dried over Na2SO4. Flash chromatography provided the expected phenol (44 mg, 93%) as a pale oil: [α]24 D+23.4 (c 1.00, CHCl3); 1H NMR (500 MHz, CDCl3) δ 6.87 (s, 1H), 6.23 (s, 1H), 5.57 (s, 1H), 5.51–5.43 (m, 1H), 5.33 (ddd, J = 15.3, 7.6, 1.2, 1H), 4.87 (d, J = 9.3, 1H), 3.82 (s, 3H), 3.43–3.37 (m, 1H), 3.04– 2.95 (m, 1H), 2.45 (s, 3H), 2.39–2.30 (m, 1H), 2.24–2.16 (m, 1H), 2.08 (dd, J = 12.6, 4.9, 1H), 1.74 (dd, J = 12.6, 8.6, 1H), 1.69–1.64 (m, 1H), 1.65 (d, J = 6.3, 3H), 1.58 (dd, J = 13.8, 6.9, 1H), 1.54 (s, 3H), 1.51–1.45 (m, 1H), 1.44–1.26 (m, 5H), 1.27 (d, J = 7.0, 3H), 0.96 (d, J = 6.9, 3H), 0.93 (d, J = 6.5, 3H), 0.82 (d, J = 6.3, 3H); 13C NMR (125 MHz, CDCl3) δ 165.0, 148.0, 145.3, 142.6, 133.7, 133.3, 132.5, 126.1, 124.3, 114.1, 102.2, 100.5, 75.2, 61.6, 48.3, 43.3, 42.7, 34.1, 32.5, 31.9, 31.5, 28.4, 21.7, 19.6, 19.3, 18.3, 16.3, 15.0, 9.6; IR (NaCl) 3413(br), 2960, 2927, 1454, 1419, 1217, 1109, 991, 735 cm−1; HRMS (EI) m / z calcd for C29H44NaO4 (M + Na)+ 479.3137, found 479.3136.
Aldehyde 21
The phenol from the previous step (40 mg, 88 µmol) was dissolved in 1.5 mL of HOAc and heated to 100°C. A single portion of HMTA (61 mg, 5.0 equiv) was added, followed by the addition of H2O (8 µL, 5 equiv), and the reaction mixture was stirred for 2.5 h. After cooling to rt, the mixture was partitioned between Et2O and H2O. The organic layer was washed with aq. NaHCO3 and brine and dried over Na2SO4. Flash chromatography afforded aldehyde 21 (32 mg, 76%): [α]24 D +25.0 (c 1.00, CHCl3); 1H NMR (500 MHz, CDCl3) δ 11.40 (s, 1H), 10.21 (s, 1H), 6.64 (s, 1H), 5.48 (dq, J = 15.3, 6.3, 1H), 5.34 (dd, J = 15.3, 7.6, 1H), 4.88 (d, J = 9.3, 1H), 3.90 (s, 3H), 3.43–3.37 (m, 1H), 3.07 (sext, J = 7.0, 1H), 2.48 (s, 3H), 2.39–2.31 (m, 1H), 2.23–2.15 (m, 1H), 2.08 (dd, J = 12.9, 5.3, 1H), 1.77 (dd, J = 12.9, 8.5, 1H), 1.71–1.64 (m, 1H), 1.65 (d, J = 6.3, 3H), 1.63–1.59 (m, 3H), 1.57–1.50 (m, 1H), 1.46–1.30 (m, 3H), 1.55 (s, 3H), 1.32 (d, J = 6.9, 3H), 0.96 (d, J = 7.0, 3H), 0.94 (d, J = 6.5, 3H), 0.84 (d, J = 6.4, 3H); 13C NMR (125 MHz, CDCl3) δ 192.9, 167.7, 153.3, 147.2, 142.7, 133.7, 133.5, 132.3, 126.2, 125.8, 125.2, 110.0, 97.4, 75.2, 61.0, 48.3, 43.2, 42.7, 34.2, 32.6, 31.9, 31.7, 28.4, 21.7, 19.6, 19.2, 18.3, 16.3, 15.0, 10.3; IR (NaCl) 3460(br), 2960, 2927, 1643, 1452, 1294, 1134, 951 cm−1; HRMS (EI) m / z calcd for C30H44NaO5 (M + Na)+ 507.3087, found 507.3086. The corresponding C9 acetate was also produced in up to 18% yield depending upon reaction times.21,26
Sulfonate 3
To a solution of aldehyde 21 (76 mg, 157 µmol) and PhSO2Cl (24 µL, 1.2 equiv) in 1.5 mL of DCM at 0°C was added Hunig’s base (82 µL, 3.0 equiv). The reaction mixture was allowed to reach rt and stirred for 24 h. The mixture was partitioned between Et2O and H2O, and the aqueous layer was slowly acidified with 3N HCl. The organic layer was separated, washed with brine, and dried over Na2SO4. Flash chromatography afforded sulfonate 3 as a yellow oil (83 mg, 85%): [α]24 D +21.9 (c 1.00, CHCl3); 1H NMR (500 MHz, CDCl3) δ 10.07 (s, 1H), 7.97 (d, J = 7.7, 2H), 7.73 (t, J = 7.5, 1H), 7.59 (t, J = 7.7, 2H), 7.14 (s, 1H), 5.48 (dq, J = 15.2, 6.5, 1H), 5.34 (dd, J = 15.2, 7.5, 1H), 4.88 (d, J = 9.3, 1H), 3.64 (s, 3H), 3.43–3.38 (m, 1H), 3.07 (app.sext, J = 7.0, 1H), 2.46 (s, 3H), 2.38–2.30 (m, 1H), 2.23–2.15 (m, 1H), 2.07 (dd, J = 12.8, 5.3, 1H), 1.76 (dd, J = 12.8, 8.6, 1H), 1.72–1.64 (m, 1H), 1.66 (d, J =6.5, 3H), 1.63–1.48 (m, 3H), 1.55 (d, J = 6.8, 3H), 1.44–1.25 (m, 4H), 1.30 (d, J = 6.9, 3H), 0.96 (d, J = 6.9, 3H), 0.94 (d, J = 6.7, 3H), 0.83 (d, J = 6.3, 3H); 13C NMR (125 MHz, CDCl3) δ 188.6, 169.4, 152.0, 147.5, 142.5, 135.9, 134.7, 133.7, 133.5, 132.3, 129.5, 128.7, 126.1, 123.8, 123.6, 119.8, 101.9, 75.2, 61.4, 48.3, 43.1, 42.7, 34.1, 32.5, 31.9, 31.7, 28.4, 21.7, 19.6, 19.1, 18.3, 16.3, 15.0, 10.2; IR (NaCl) 3434(br), 2927, 1685, 1581, 1450, 1383, 1190, 1117, 968, 783, 750 cm−1; HRMS (EI) m / z calcd for C36H48NaO7S (M + Na)+ 647.3018, found 647.3018.
Prins-Macrocyclization: Acetate 22 and Fluoride 23
Sulfonate 3 (25 mg, 40 µmol) was dissolved in 3.0 mL of DCM to afford a 0.01 M solution. After cooling to 0°C, to the solution were added dry AcOH (34 µL, 15.0 equiv) and freshly distilled BF3·OEt2 (15 µL, 3.0 equiv). The intensely yellow, homogeneous reaction mixture was stirred at 0°C for 2 h, prior to the addition of Et2O and aq. NaHCO3. The organic layer was washed with brine and dried over Na2SO4. Flash chromatography provided macrocycles 22 (9 mg, 33%) and 23 (12 mg, 48%) as pale films: Acetate 22. [α]24 D +13.1 (c 0.10, CHCl3); 1H NMR (500 MHz, CDCl3) δ 8.02 (d, J = 7.7, 2H), 7.74 (app.t, J = 7.5, 1H), 7.65–7.58 (m, 2H), 6.54 (s, 1H), 4.58 (d, J = 9.7, 1H), 4.33 (dd, J = 11.0, 4.7, 1H), 3.80 (d, J = 10.3, 1H), 3.69 (s, 3H), 3.12–3.02 (m, 1H), 2.91 (d, J = 10.8, 1H), 2.45 (s, 3H), 2.42–2.32 (m, 2H), 2.25–2.18 (m, 3H), 2.12–2.01 (m, 1H), 2.03 (s, 3H), 1.95–1.87 (m, 1H), 1.85–1.78 (m, 1H), 1.57 (s, 3H), 1.52–1.39 (m, 4H), 1.38 (d, J = 6.9, 3H), 0.91 (d, J = 7.0, 3H), 0.87 (d, J = 6.7, 3H), 0.80 (d, J = 6.4, 3H), 0.61 (d, J = 6.5, 3H); 13C NMR (125 MHz, CDCl3) δ 170.7, 161.0, 152.7, 147.4, 138.6, 136.0, 134.1, 131.9, 129.9, 129.6, 128.2, 125.7, 123.7, 122.3, 115.3, 104.9, 79.1, 78.5, 61.2, 43.8, 42.0, 36.6, 35.9, 34.4, 33.8, 32.7, 31.8, 27.6, 22.1, 21.3, 21.1, 19.8, 18.8, 12.9, 9.6, 7.4; IR (NaCl) 2952, 2927, 1728, 1450, 1381, 1240, 1190, 1099, 754 cm−1; HRMS (EI) m / z calcd for C38H50NaO8S (M + Na)+ 689.3124, found 689.3130.
Fluoride 23
[α]24 D +16.6 (c 0.10, CHCl3); 1H NMR (500 MHz, CDCl3) δ 8.04 (d, J = 7.8, 2H), 7.71 (app.t, J = 7.4, 1H), 7.59 (app.t, J = 7.8, 2H), 6.53 (s, 1H), 4.58 (d, J = 9.5, 1H), 3.98 (ddd, J F,H = 49.5, J H,H = 10.5, 5.0, 1H), 3.79 (dd, J = 10.1, 1.2, 1H), 3.64 (s, 3H), 3.08 (ddd, J = 11.7, 6.8, 4.2, 1H), 2.89 (d, J = 9.5, 1H), 2.44 (s, 3H), 2.26–2.18 (m, 1H), 2.02–1.93 (m, 1H), 1.92–1.84 (m, 3H), 1.62 (s, 3H), 1.48–1.38 (m, 3H), 1.38 (d, J = 6.8, 3H), 1.35–1.21 (m, 4H), 0.98 (d, J = 6.8, 3H), 0.87 (d, J = 6.6, 3H), 0.80 (d, J = 6.3, 3H), 0.77 (d, J = 6.5, 3H); 13C NMR (125 MHz, CDCl3) δ 161.1, 152.7, 147.3, 138.7, 137.3, 133.9, 131.9, 129.5, 128.9, 128.3, 125.7, 122.4, 115.4, 104.9, 97.7 (d, J C-F = 183.7), 77.8 (d, J C-F = 9.2), 76.8 (d, J C-F = 8.8), 61.1, 43.8, 41.9, 38.1 (d, J = 16.2), 37.1 (d, J = 16.6), 33.8, 32.7, 31.7, 30.8, 27.5, 22.1, 21.2, 19.8, 18.7, 12.7, 9.6, 6.9; IR (NaCl) 2925, 2870, 1450, 1383, 1329, 1190, 1099, 999, 968, 924, 754 cm−1; HRMS (EI) m / z calcd for C36H47FNaO6S (M + Na)+ 649.2975, found 649.2969.
Alcohol 2.27
To a solution of macrocycle 22 (8.0 mg, 12.0 µmol) in 2 mL of argon-sparged 50% aq. EtOH was added KOH (10 mg, 15 equiv). The reaction mixture was heated to 78°C for 4 h. Upon reaching ambient temperature, the reaction was partitioned between Et2O and H2O, and the aqueous layer was slowly acidified with 3N HCl. The organic layer was separated, and the aqueous layer was back-extracted with Et2O. The combined organic layers were washed with brine and dried over Na2SO4. Flash chromatography provided alcohol macrocycle 2 as a film (5.5 mg, 95%): [α]24 D +16.8 (c 0.10, CHCl3); 1H NMR (500 MHz, CDCl3) δ 6.55 (s, 1H), 5.53 (s, 1H), 4.60 (d, J = 9.4, 1H), 4.54 (d, J = 10.1, 1H), 3.83 (s, 3H), 3.68–3.62 (m, 1H), 3.44 (dd, J = 10.4, 1.2, 1H), 3.12–3.03 (m, 1H), 2.47–2.42 (m, 1H), 2.45 (s, 3H), 2.26–2.18 (m, 1H), 1.93–1.89 (m, 1H), 1.84–1.77 (m, 1H), 1.62 (s, 3H), 1.59– 1.50 (m, 2H), 1.47–1.40 (m, 2H), 1.38 (d, J = 6.8, 3H), 1.35–1.25 (m, 5H), 1.04 (d, J = 6.9, 3H), 0.90 (d, J = 6.6, 3H), 0.81 (d, J = 6.6, 3H), 0.76 (d, J = 6.4, 3H); 13C NMR (125 MHz, CDCl3) δ 160.0, 148.8, 141.9, 141.8, 131.7, 129.2, 122.4, 116.0, 112.7, 105.0, 78.0, 77.6, 77.5, 61.7, 44.0, 42.0, 39.9, 38.9, 33.9, 32.8, 31.7, 31.4, 27.7, 22.0, 21.2, 19.8, 18.9, 13.0, 9.7, 6.8; IR (NaCl) 3533, 2927, 2856, 1456, 1385, 1325, 1215, 1107, 999, 760 cm−1; HRMS (EI) m / z calcd for C30H44NaO5 (M + Na)+ 507.3087, found 507.3086.
Supplementary Material
Preparation and characterization of all compounds are described and the complete ref. 12c is included. This material is available free of charge via the Internet at http://pubs.acs.org.
Scheme 4.
Key Prins-mediated macrocyclization in the preparation of the kendomycin skeleton
Reagents and conditions: a) AcOH, BF3·OEt2, CH2Cl2; (b) KOH, EtOH, 80°C.
Acknowledgment
This work was supported by the National Cancer Institute (CA-081635) and by a generous donation from the Schering Plough Research Institute. Lael L. Cheung carried out several experiments in support of this project.
References
- 1.(a) Funahashi Y, Kawamura N, Ishimaru T. 08231551 [A2960910] Japan Patent. 1996; (b) Bode HB, Zeeck A. J. Chem. Soc., Perkin Trans. 2000;I:2665–2670. [Google Scholar]; (c) Elnakady YA, Rohde M, Sasse F, Backes C, Keller A, Lenhof H-P, Weissman KJ, Müller R. ChemBioChem. 2007;8:1261–1272. doi: 10.1002/cbic.200700050. [DOI] [PubMed] [Google Scholar]
- 2.Yuan Y, Men H, Lee C. J. Am. Chem. Soc. 2004;126:14720–14721. doi: 10.1021/ja0447154. [DOI] [PMC free article] [PubMed] [Google Scholar]
- 3.Smith AB, III, Mesaros EF, Meyer EA. J. Am. Chem. Soc. 2006;128:5292–5929. doi: 10.1021/ja060369+. [DOI] [PubMed] [Google Scholar]
- 4.Bahnck KB, Rychnovsky SD. Chem. Commun. 2006:2388–2390. doi: 10.1039/b602937j. [DOI] [PubMed] [Google Scholar]
- 5.(a) Mulzer J, Pichlmair S, Green MP, Marques MMB, Martin HJ. Proc. Natl. Acad. Sci. U.S.A. 2004;101:11980–11985. doi: 10.1073/pnas.0401503101. [DOI] [PMC free article] [PubMed] [Google Scholar]; (b) Sengoku T, Uemura D, Arimoto H. Chem. Lett. 2007;36:726–727. [Google Scholar]; (c) White JD, Smits H. Org. Lett. 2005;7:235–238. doi: 10.1021/ol047779s. [DOI] [PubMed] [Google Scholar]; (d) Lowe JT, Panek JS. Org. Lett. 2005;7:1529–1532. doi: 10.1021/ol0501875. [DOI] [PubMed] [Google Scholar]; (e) Williams DR, Shamim K. Org. Lett. 2005;7:4161–4164. doi: 10.1021/ol051512r. [DOI] [PubMed] [Google Scholar]
- 6.Reviews on the Prins cyclization: Pastor IM, Yus M. Curr. Org. Chem. 2007;11:925–957. Adams DR, Bhatnagar SP. Synthesis. 1977:661–672.
- 7.For leading references on the Prins cyclization, see: Elsworth JD, Willis CL. Chem. Commun. 2008:1587–1589. doi: 10.1039/b717078e. Barry CS, Bushby JR, Harding JR, Hughes RA, Parker GD, Roe R, Willis CL. Chem. Commun. 2005:3727–3729. doi: 10.1039/b504562b. Crosby SR, Harding JR, King CD, Parker GD, Willis CL. Org. Lett. 2002;4:3407–3410. doi: 10.1021/ol020127o. Li H, Loh T-P. J. Am. Chem. Soc. 2008;130:7194–7195. doi: 10.1021/ja801488z. Chan K-P, Ling YH, Loh T-P. Chem. Commun. 2007:939–941. doi: 10.1039/b616558c. Jasti R, Rychnovsky SD. J. Am. Chem. Soc. 2006;128:13640–13648. doi: 10.1021/ja064783l. Marumoto S, Jaber JJ, Vitale JP, Rychnovsky SD. Org. Lett. 2002;4:3919–3922. doi: 10.1021/ol026751i. Jaber JJ, Mitsui K, Rychnovsky SD. J. Org. Chem. 2001;66:4679–4686. doi: 10.1021/jo010232w. Yadav VK, Kumar NV. J. Am. Chem. Soc. 2004;126:8652–8653. doi: 10.1021/ja048000c. Yadav JS, Reddy BVS, Kumar GGKSN, Aravind S. Synthesis. 2008:395–400. Kozmin SA. Org. Lett. 2001;3:755–758. doi: 10.1021/ol015514x. Hart DJ, Bennett CE. Org. Lett. 2003;5:1499–1502. doi: 10.1021/ol0342756. Cossey KN, Funk RL. J. Am. Chem. Soc. 2004;126:12216–12217. doi: 10.1021/ja046940r.
- 8.Schulte-Elte KH, Hauser A, Ohloff G. Helv. Chim. Acta. 1979;62:2673–2680. [Google Scholar]
- 9.Custar DW, Zabawa TP, Scheidt KA. J. Am. Chem. Soc. 2008;130:804–805. doi: 10.1021/ja710080q. [DOI] [PubMed] [Google Scholar]
- 10.Woo SK, Kwon MS, Lee E. Angew. Chem. Int. Ed. 2008;47:3242–3244. doi: 10.1002/anie.200800386. [DOI] [PubMed] [Google Scholar]
- 11.Wender PA, DeChristopher BA, Schrier AJ. J. Am. Chem. Soc. 2008;130:6658–6659. doi: 10.1021/ja8015632. [DOI] [PMC free article] [PubMed] [Google Scholar]
- 12.(a) Miyaura N, Suzuki A. Chem. Rev. 1995;95:2457–2483. [Google Scholar]; (b) Marshall JA, Johns BA. J. Org. Chem. 1998;63:7885–7892. doi: 10.1021/jo971900+. [DOI] [PubMed] [Google Scholar]; (c) Mickel SJ, et al. Org. Process Res. Dev. 2004;8:113–121. [Google Scholar]
- 13.(a) Fürstner A, Kattnig E, Lepage O. J. Am. Chem. Soc. 2006;128:9194–9204. doi: 10.1021/ja061918e. [DOI] [PubMed] [Google Scholar]; (b) Hart DW, Schwartz J. J. Am. Chem. Soc. 1974;96:8115–8116. [Google Scholar]
- 14.The Parikh-Doering conditions gave the best yields after screening a host of standard methods: Parikh JR, Doering W. von E. J. Am. Chem. Soc. 1967;89:5505–5507.
- 15. Hoffmann RW, Ditrich K, Köster G. Chem. Ber. 1989;122:1783–1789. For recent applications of Hoffmann’s powerful boronate 13 in natural product synthesis, see: Rychnovsky SD, Thomas CR. Org. Lett. 2000;2:1217–1219. doi: 10.1021/ol005646a. Smith TE, Kuo W-H, Balskus EP, Bock VD, Roizen JL, Theberge AB, Carroll KA, Kurihara T, Wessler JD. J. Org. Chem. 2008;73:142–150. doi: 10.1021/jo7018015.
- 16. Sonogashira K, Tohda Y, Hagihara N. Tetrahedron Lett. 1975;16:4467–4470. Takahashi K, Kuroyama Y, Sonogashira K, Hagihara N. Synthesis. 1980:627–630.. For a recent review, see: Negishi E-I, Anastasia L. Chem. Rev. 2003;103:1979–2017. doi: 10.1021/cr020377i.
- 17.(a) Hughes CC, Trauner D. Tetrahedron. 2004;60:9675–9686. [Google Scholar]; (b) Inoue M, Carson MW, Frontier AJ, Danishefsky SJ. J. Am. Chem. Soc. 2001;123:1878–1889. doi: 10.1021/ja0021060. [DOI] [PubMed] [Google Scholar]
- 18. Miwa K, Aoyama T, Shioiri T. Synlett. 1994:107–108. Colvin EW, Hamill BJ. J. Chem. Soc., Perkin Trans. 1977;1:869–874.. For examples in total synthesis, see: Liu P, Jacobsen EN. J. Am. Chem. Soc. 2001;123:10772–10773. doi: 10.1021/ja016893s. Miyakoshi N, Aburano D, Mukai C. J. Org. Chem. 2005;70:6045–6052. doi: 10.1021/jo050822k.
- 19.(a) Zhou B, Guo J, Danishefsky SJ. Org. Lett. 2002;4:43–46. doi: 10.1021/ol016844k. [DOI] [PubMed] [Google Scholar]; (b) Godfrey IM, Sargent MV, Elix JA. J. Chem. Soc., Perkin Trans. 1974;1:1353–1354. [Google Scholar]
- 20.(a) Duff JC, Bills EJ. J. Chem. Soc. 1932:1987. [Google Scholar]; (b) Duff JC, Bills EJ. J. Chem. Soc. 1934:1305–1308. [Google Scholar]; (c) Larrow JF, Jacobsen EN. Org. Syn. 1998;75:1–11. [Google Scholar]; (d) Kubo A, Kitahara Y, Nakahara S, Numata R. Chem. Pharm. Bull. 1985;33:2122–2128. doi: 10.1248/cpb.36.4355. [DOI] [PubMed] [Google Scholar]
- 21.Bahnck KB. Ph.D. Dissertation. Irvine, CA: University of California; 2008. [Google Scholar]
- 22.(a) Tian X, Rychnovsky SD. Org. Lett. 2007;9:4955–4958. doi: 10.1021/ol702200t. [DOI] [PMC free article] [PubMed] [Google Scholar]; (b) Tian X, Jaber JJ, Rychnovsky SD. J. Org. Chem. 2006;71:3176–3183. doi: 10.1021/jo060094g. [DOI] [PubMed] [Google Scholar]
- 23.Two attempts to reproduce Lee's oxidation of diol 2 were unsuccessful in our hands. We are convinced that Lee's oxidation, and the similar oxidation reported by Smith, are valid. However, these transformations proceed through reactive ortho-quinone intermediates and are difficult to conduct.
- 24.Hu Y, Skalitzky DJ, Rychnovsky SD. Tetrahedron Lett. 1996;37:8679–8682. [Google Scholar]
- 25.(a) Hoffmann RW. Angew. Chem., Int. Ed. Engl. 1992;31:1124–1134. [Google Scholar]; (b) Hoffmann RW. Angew. Chem., Int. Ed. 2000;39:2054–2070. [PubMed] [Google Scholar]
- 26.See Supporting Information for experimental details.
- 27.The spectroscopic data for macrocycle 2 matched those reported by Lee and coworkers; the correlation constitutes a formal synthesis of (−)-kendomycin.
Associated Data
This section collects any data citations, data availability statements, or supplementary materials included in this article.
Supplementary Materials
Preparation and characterization of all compounds are described and the complete ref. 12c is included. This material is available free of charge via the Internet at http://pubs.acs.org.







