Abstract
Hyperuricemia develops as early as 10 wk of gestation in women who later develop preeclampsia. At this time the invasive trophoblast cells are actively remodeling the uterine spiral arterioles, integrating into and finally replacing the vascular endothelial lining. In the nonpregnant population uric acid has several pathogenic effects on vascular endothelium. We therefore sought to examine the effects of uric acid (0–7 mg/dl) on trophoblast cell invasion through an extracellular matrix using an in vitro Matrigel invasion assay. We also assessed trophoblast integration into a uterine microvascular endothelial cell monolayer in a trophoblast-endothelial cell coculture model. Additionally, we addressed the importance of redox signaling and trophoblast-induced endothelial cell apoptosis. Uric acid elicited a concentration-dependent attenuation of trophoblast invasion and integration into a uterine microvascular endothelial cell monolayer. The attenuated trophoblast integration appeared to be the result of reduced trophoblast-induced endothelial cell apoptosis, likely through the intracellular antioxidant actions of uric acid. In a test of relevance, pooled serum (5% vol/vol) from preeclamptic women attenuated the ability of trophoblast cells to integrate into the endothelial cell monolayers compared with pooled serum from healthy pregnant controls, and this response was partially rescued when endogenous uric acid was previously removed with uricase. Taken together these data support the hypothesis that elevations in circulating uric acid in preeclamptic women contribute to the pathogenesis of the disorder, in part, through attenuation of normal trophoblast invasion and spiral artery vascular remodeling.
Keywords: HTR-8/SVneo cells, vascular endothelium, placenta, spiral artery, preeclampsia
preeclampsia, a multisystemic syndrome of pregnancy, affects 3–5% of all pregnancies and is a leading cause of fetal and maternal morbidity. Several pathological events in early placental development and function have been identified as key components of the pathophysiology of preeclampsia. In healthy pregnancies a subset of placental trophoblast cells, the extravillous cytotrophoblasts, invade through the uterine decidua and initiate vascular remodeling of the uterine spiral arterioles, a process termed physiological remodeling (6). The extravillous cytotrophoblast cells take on an endovascular phenotype, integrating with and eventually replacing the vascular endothelium (24, 44). Additionally, these cells orchestrate the removal of the underlying vascular smooth muscle cells, thereby transforming the spiral arterioles into large diameter, flaccid, vasomotor agonist-unresponsive conduits capable of optimized blood flow into the placental intervillous space (6, 24). Placental bed biopsies from preeclamptic women demonstrate shallow trophoblast invasion and incomplete, and often absent, spiral artery remodeling (32). This inappropriate invasion and failed vascular remodeling by the extravillous trophoblast cells in preeclampsia is thought to result in reduced, and possibly oscillating, blood flow to the developing placenta, inducing oxidative stress and placental damage (7, 16). The factors that restrict trophoblast invasion in women who develop preeclampsia are poorly understood. Deportation of placental debris and other placentally derived factors into the maternal circulation is proposed to subsequently contribute to the heightened maternal inflammatory response and endothelial dysfunction characteristic of preeclampsia (23, 35, 39).
Hyperuricemia occurs in ∼75% of preeclamptic pregnancies (37). Elevated uric acid in preeclamptic women, first described nearly a century ago (40), has primarily been ascribed to reduced renal function in these women. However, adjusting for differences in glomerular filtration by serum creatinine accounts for part, but not all, of the increase in serum uric acid among women with preeclampsia, suggesting that hyperuricemia is not entirely due to decreased glomerular filtration and that changes in tubular urate handling and/or uric acid production may play a role (33). Furthermore, elevations in circulating uric acid are observed as early as 10 wk gestation in women who later develop preeclampsia before measurable alterations in renal function or blood volume (33). Whereas the clinical utility of hyperuricemia as a predictive tool for preeclampsia is debated, it is clearly associated with severity and adverse pregnancy outcomes in preeclampsia, including increased preterm delivery, fetal growth restriction, and fetal death (34, 37, 42).
Uric acid has been proposed as an independent risk factor for hypertension, cardiovascular, and renal disease in the nonpregnant population (19). Experimental evidence has highlighted the cell signaling potential of uric acid. Uric acid is capable of initiating inflammatory cascades through increased production of monocyte chemoattractant protein-1, IL-1β, IL-6, and tumor necrosis factor (TNF)-α (19, 20). Elevated uric acid concentrations are capable of altering endothelial function, health, and repair (31). Several studies indicate that uric acid impairs nitric oxide (NO) production in vascular endothelial cells, the latter a key pathogenic event preceding the development of cardiovascular disease (13, 22, 43). Whereas uric acid has long been identified as an antioxidant, the ability of uric acid to act as a pro-oxidant capable of initiating intracellular redox signaling and inactivating NO has been described in the context of compromised antioxidant status (1, 13). Of direct relevance to the current study, uric acid can interfere with key processes involved in normal vascular remodeling, specifically endothelial cell and vascular smooth muscle cell proliferation and migration (22).
Epidemiological and experimental evidence suggests that uric acid may be more than a marker of disease severity in preeclampsia and may contribute to the pathological processes responsible for the establishment and progression of this disorder (4, 21). We hypothesized that the increased concentration of uric acid in preeclamptic women may directly contribute to the observed attenuation of trophoblast invasion and spiral artery vascular remodeling. The objectives of the current study were first to examine the concentration-dependent effects of uric acid on trophoblast invasion through a reconstituted extracellular matrix, and second to examine the concentration-dependent effects of uric acid on the ability of trophoblast cells to integrate into an uterine microvascular endothelial cell monolayer. We further sought to determine mechanisms through which uric acid reduces the ability of trophoblasts to integrate into endothelial monolayers, specifically addressing the importance of redox signaling and trophoblast-induced endothelial cell apoptosis.
METHODS
Cell culture materials.
Culture media, media additives, and fetal bovine serum were purchased from Lonza (Walkersville, MD). Cell tracker fluorescent dyes (CMFDA, green; CMTPX, red) were purchased from Molecular Probes, Invitrogen (Eugene, OR). All other chemical reagents and materials, unless otherwise stated, were purchased from Sigma-Aldrich (St. Louis, MO).
Cell lines.
Human uterine myometrial microvascular endothelial cells (UtMVEC, passage 3) were purchased from Lonza and maintained in endothelial basal medium-2 (Lonza) supplemented with supplier-recommended concentrations of human recombinant epidermal growth factor, fibroblast growth factor, vascular endothelial growth factor, ascorbic acid (vitamin C), hydrocortisone, recombinant insulin-like growth factor, gentamicin, penicillin-streptomycin (100 IU/ml), and 5% fetal bovine serum (endothelial cell growth media, EGM). These cells were used between passages 4 and 8.
The human HTR-8/SVneo trophoblast cell line (HTR8) was a gift from Dr. Charles Graham (Queen's University, Kingston, ON, Canada). This cell line was established from explant cultures of first trimester (weeks 8–10) chorionic villi. The cells were immortalized through transfection with cDNA encoding the simian virus-40 large T antigen (14). HTR-8/SVneo cells were grown in RPMI 1640 medium (GIBCO-BRL, Grand Island, NY) supplemented with 5% fetal bovine serum and 100 IU/ml penicillin-streptomycin (trophoblast cell growth media, TGM). The cells were used at passages 70–85.
Effects of uric acid on trophoblast invasion.
We examined the effects of uric acid on trophoblast invasion in a matrigel-based invasion assay (36). Trophoblast cells were seeded (50,000 cells/well) in the top of transwell inserts (6.5-mm diameter polycarbonate membrane, 8-μm pore; Corning Costar, Lowell, MA) that had been precoated with 100 μl Matrigel (1 mg/ml; BD Biosciences, San Jose, CA) and housed in a 24-well plate. The cells were allowed to invade through the reconstituted extracellular matrix for 24 h in the presence or absence of increasing concentrations of uric acid (0, 3, 5, and 7 mg/dl) dissolved in TGM (n = 6). Trophoblast cells located on the undersurface of the transwell membrane were fixed with ice-cold methanol and stained with hematoxylin, and brightfield images were obtained with an upright Zeiss Axioskop 40 microscope. All invaded cells per membrane were counted using Image J freeware (National Institutes of Health). To correct for interassay variation, cell counts were expressed as fold change in invasion relative to untreated controls.
Trophoblast integration into endothelial cell monolayers.
To model the ability of trophoblast to integrate into and replace the uterine vascular endothelium, we employed an in vitro trophoblast-endothelial cell monolayer coculture system as previously described with slight modifications (8, 12). Endothelial cells were seeded into gelatin-coated wells of a 6-well plate (200,000 cells/well), grown to confluence in EGM, and labeled with green fluorescent cell tracker CMFDA (10 μM) for 30 min, as per manufacturer's instructions. The endothelial cell monolayers were pretreated with experimental agents described below for 2 h after which HTR8 trophoblast cells in suspension, initially labeled with red fluorescent cell tracker CMTPX (10 μM, 30 min), were seeded (400,000 cells/well) onto the endothelial cell monolayers. The combined cells were coincubated in a 1:1 mixture of EGM and TGM for 24 h (37°C, 21% O2-5% CO2) in the continued presence of the experimental agents described below. A mixed monolayer of trophoblast and endothelial cells was thus generated over the 24-h coincubation, with varying degrees of trophoblast integration. The resulting mixed monolayer was then washed twice with PBS and fixed with 4% paraformaldehyde for 1 h at room temperature, and mounting media was added to each well. We examined each well using a Zeiss Axiovert 40 CFL inverted fluorescent microscope, capturing 4 fields/well at 5× magnification using Zeiss Axiovision software. A grid system was used to ensure that the four captured fields were in similar locations for all wells imaged. Trophoblast integration into endothelial cell monolayers was quantified as a percentage of total field area occupied by trophoblast cell islands (red label) using locally developed software. The effect of treatment was expressed as a fold change of trophoblast integration area relative to untreated coculture controls from the same experiment.
Effects of uric acid on trophoblast integration into endothelial cell monolayers.
We examined the effects of uric acid on the degree of trophoblast cells integration into uterine microvascular endothelial cell monolayers. UtMVEC monolayers were pretreated with uric acid (0, 0.5, 3, 5, or 7 mg/dl) for 2 h and then coincubated with trophoblast cells for 24 h in the presence of the same concentrations of uric acid (n = 6). The uric acid concentration range was based upon concentrations in the circulation of women at 15 wk gestation who go on to have healthy pregnancies [2.7–3.1 mg/dl (33)] and preeclamptic pregnancies [3.5–4.4 mg/dl (33)] and concentrations typical of women with clinically evident preeclampsia [>5.5 mg/dl at term, with an upper limit ∼10 mg/dl (33)].
To test whether cellular uptake is necessary for the effects of uric acid, we also treated the cocultures with the highest concentration of uric acid (7 mg/dl, as above) in the presence or absence of probenecid (100 μM), an organic anion transporter inhibitor (n = 6). Matched coculture wells were treated with probenecid alone.
Effects of antioxidants on trophoblast integration into endothelial cell monolayers.
To examine the role of redox signaling in uric acid-induced alterations to trophoblast integration into endothelial cell monolayers, endothelial monolayers were pretreated for 2 h with or without dehydroascorbic acid (DHA, 75 μM) or a combination of catalase (17 mU/ml)-superoxide dismutase (SOD, 33 mU/ml), or the intracellular antioxidant N-acetyl cysteine (NAC, 75 μM, Sigma-Aldrich), or the NADPH oxidase inhibitor apocynin (100 μM, Sigma-Aldrich) in the presence (DHA + uric acid, n = 5; catalase/SOD + uric acid, n = 5; NAC + uric acid, n = 5; apocynin + uric acid, n = 5) and absence (DHA, n = 5; catalase-SOD, n = 5; NAC, n = 5; apocynin, n = 10) of uric acid (7 mg/dl). DHA, intracellularly reduced to ascorbic acid, was used to limit redox cycling of ascorbic acid with adventitious transition metals in culture media. Trophoblast cells (400,000/well) were then added and coincubation was maintained for 24 h in 1:1 EGM/TGM containing the same concentrations of test reagents.
Trophoblast integration into endothelial cell monolayers: role of apoptosis.
We examined the effect of uric acid on apoptosis in the coculture model. Total apoptotic cell death was assayed in the presence or absence of uric acid (7 mg/dl; n = 5) or the antioxidants DHA (n = 4) or catalase-SOD (n = 4). After 24 h, the mixed monolayer and overlying media were combined and spun down (200 g for 10 min at room temperature), and the resulting cell pellet was isolated and fragmented DNA-histone complexes measured by ELISA (Cell Death Detection ELISA, Roche Applied Science, Indianapolis, IN). This same protocol was performed on endothelial cells alone or trophoblast cells alone in monolayer in the absence and presence of uric acid (24 h incubation, 7 mg/dl).
To determine the proportion of each cell type undergoing apoptosis, we performed fluorescent transferase-mediated dUTP nick-end labeling (TUNEL) staining (In Situ Cell Death Detection Kit, Roche Applied Science) on mixed monolayers grown in the absence or presence of uric acid (24 h incubation, 7 mg/dl, n = 4). As the TUNEL probe fluoresces red, the coculture protocol was modified to label only the endothelial cells (CMFDA, green). We used filters to selectively view the rhodamine and fluorescein spectrums, capturing 10 fields/well at 20× magnification using Axiovision software. A grid system was employed to ensure that the 10 captured fields were in similar locations for all mixed monolayers imaged. Analysis of immunofluoresent TUNEL staining included cell counts of all apoptotic cells, proportion of endothelial cells versus trophoblast cells undergoing apoptosis and percentage of all endothelial or trophoblast cells undergoing apoptosis. This analysis was conducted using Image J freeware, with the operator blinded as to treatment.
Effects of uric acid on trophoblast and endothelial cell migration, cell number, and cell viability.
We tested the effects of uric acid on cell migration, cell number, and viability for each cell type individually. Cell migration was assessed using a “scratch wound healing” assay (26). Confluent monolayers of either cell type were scratched with a sterile P200 pipette tip. The ability of the cells to migrate into the wound in the presence or absence of uric acid (7 mg/dl; n = 6 for trophoblast cells, n = 6 for endothelial cells) in growth media was observed over a 6-h time period and analyzed using Image J software. For determination of changes in cell number each cell type was grown to 70% confluence in 6-well plates. After 12 h in serum-free media, cells were treated with growth media alone or containing uric acid (7 mg/dl) for 24 h. Cells were counted at 0 and 24 h (n = 5 for trophoblast cells, n = 5 for endothelial cells). Lactate dehydrogenase (In vitro toxicology LDH assay kit, Sigma-Aldrich) was measured in the media of cells treated for 24 h with either growth media alone or with uric acid (7 mg/dl; n = 6 for trophoblast cells, n = 6 for endothelial cells).
Effects of preeclampsia and normal pregnancy serum on trophoblast integration into endothelial cell monolayers.
Pregnant subjects were recruited at the time of delivery as part of an ongoing study of preeclampsia pathogenesis as approved by the University of Pittsburgh/Magee-Womens Hospital Institutional Review Board. All subjects provided written informed consent. Eight women had preeclampsia defined as hypertension and proteinuria arising de novo after the 20th week of gestation, and hyperuricemia, with reversal of hypertension and proteinuria after delivery (9). Gestational hypertension was defined as systolic blood pressure >140 mmHg or diastolic blood pressure >90 mmHg arising after 20 wk gestation in a previously normotensive woman. Proteinuria was defined as >300 mg of protein in a 24-h urine collection, or 1+ or greater protein on dipstick of a catheterized urine sample, or 2+ or greater urine protein on dipstick of a voided urine sample, or a random urine protein-to-creatinine ratio >0.3. Hyperuricemia was defined as >1 standard deviation above normal for the index gestational age [at term >5.5 mg/dl (3.3 mM)]. Controls (n = 8) had uncomplicated, normotensive pregnancies and were delivered at term with healthy babies of appropriate weight for gestational age. Patients with chronic hypertension, diabetes, renal disease, or other significant preexisting metabolic disorders, or with a recent history of cigarette smoking or illicit drug use, or with multi-fetal gestation were excluded. Clinical characteristics of cases and controls are listed in Table 1.
Table 1.
Clinical characteristics of pregnant patients used for serum pools
| Clinical Characteristic | Healthy Pregnant Controls | Preeclampsia | Mann-Whitney P Value |
|---|---|---|---|
| Maternal age, y | 20.7±1.5 | 26.3±9.3 | 0.38 |
| Maternal smoking, % | 37.5% | 25% | 0.65 |
| Maternal race | 5 Caucasian, 3 Black | 4 Caucasian, 4 Black | N/A |
| Prepregnancy BMI, kg/m2 | 21.6±4.0 | 22.4±3.6 | 0.25 |
| Early pregnancy blood pressure, <20 wk | |||
| Systolic, mmHg | 109.1±6.3 | 110.1±10.3 | 0.96 |
| Diastolic, mmHg | 65.8±3.4 | 69.6±7.2 | 0.34 |
| Blood pressure at delivery | |||
| Systolic, mmHg | 117.3±9.0 | 149.6±9.5 | <0.01 |
| Diastolic, mmHg | 67.1±6.8 | 85.8±7.7 | <0.01 |
| Weeks gestation at delivery | 38.6±0.1 | 38.4±0.3 | 0.31 |
| Serum uric acid at delivery, mg/dl | 4.7±1.5 | 9.3±1.3 | 0.03 |
| Infant birth weight, g | 3,080±221.4 | 2,960±258.1 | 0.28 |
| Gravida | 1.5±0.5 | 1.9±1.4 | 0.86 |
Values are means ± SD; n = 8 of patients for both groups. BMI, body mass index; N/A, not available.
Aliquots of each patients' serum were stored at −70°C without thaw until used. Two pools of serum were created from equal volumes from either the eight preeclampsia or the eight uncomplicated pregnancy patients. Some of the aliquots of each pool were pretreated with uricase (17 mU/ml, 30 min at 37°C) to remove endogenous uric acid, the removal confirmed by colorimetric uric acid assay (Pointe Scientific; Canton, MI).
To compare the effects of normal pregnancy versus preeclampsia serum (native or uric acid deficient) on trophoblast cell integration into preformed endothelial monolayers, the endothelial cell monolayers were incubated in EGM with 5% vol/vol pooled serum for 2 h, and this exposure was continued for 24 h during the formation of trophoblast/endothelial mixed monolayers (5% vol/vol pooled serum in 1:1 EGM-TGM; n = 5).
Statistical analysis.
Patient demographic data are represented as means ± SD. We reviewed the experimental data by plotting histograms and found a skewed distribution. Appropriate nonparametric tests were used due to the nonnormality coupled with the small sample sizes. All experimental results are presented as median with interquartile range. Concentration-dependent effects of uric acid on trophoblast invasion and trophoblast integration were analyzed using the nonparametric Kruskal-Wallis one-way analysis of variance with Dunn's post hoc analysis and Cuzick's test of trend. The asymptotic relative efficiency of the Kruskal-Wallis Test to the usual parametric F test is never less than 0.864 if, as we found, the distribution functions have identical shapes and differ only in the location parameter (15). Effects of individual experimental treatments (uric acid, probenecid, antioxidants) were compared with untreated controls using a Wilcoxon signed-rank test. Effects of individual experimental treatments in combination with uric acid (probenecid + uric acid, antioxidants + uric acid) were compared with uric acid alone using the Mann-Whitney U test. Differences were considered statistically significant if P < 0.05. With the use of a 5% level of significance and the given sample sizes, the power of the test of hypotheses by post hoc analysis was greater than 0.92 in most instances. Exceptions included the comparisons of control versus catalase-SOD + uric acid (0.87) and control versus catalase-SOD (0.60) in testing the effects of antioxidants on trophoblast integration into endothelial monolayers.
RESULTS
Effects of uric acid on trophoblast invasion.
Uric acid attenuated trophoblast invasion through a reconstituted extracellular matrix in a concentration-dependent fashion with reductions of 51.1% (38.9–65.3%) and 72.9% (66.8–74.5%) when compared with untreated controls with 5 and 7 mg/dl uric acid, respectively (Fig. 1, P < 0.05).
Fig. 1.
Uric acid attenuates trophoblast invasion in vitro. Using a Matrigel invasion assay, a concentration-dependent inhibition of trophoblast invasion through a reconstituted extracellular matrix was observed with increased uric acid concentration (3–7 mg/dl; n = 6). **P < 0.05 Kruskal-Wallis one-way analysis of variance; *P < 0.05 compared with untreated control, Dunn's post hoc analysis.
Effects of uric acid on trophoblast integration into endothelial cell monolayers.
Uric acid reduced the ability of trophoblast cells to displace endothelial cells from monolayers in a concentration-dependent fashion. In untreated control wells trophoblast cell islands comprised more than 60% of the monolayer following 24 h of coincubation (Fig. 2, A an B). Pretreatment of the endothelial cell monolayer and concurrent treatment during the 24-h incubation with uric acid attenuated trophoblast integration into the monolayer (Fig. 2, C and D). This inhibitory effect of uric acid on trophoblast integration into microvascular endothelial cell monolayers increased with increasing uric acid concentrations (P < 0.05; Fig. 2E).
Fig. 2.
Uric acid inhibits trophoblast integration into uterine microvascular endothelial cell monolayers. Integration of immortalized first-trimester invasive cytotrophoblast cells (red) into preformed confluent endothelial cell (green) monolayers occurs during 24 h coincubation under control conditions (A, brightfield; B, darkfield). Pretreatment of endothelial cell monolayers and continued treatment during the 24-h coincubation with uric acid (7 mg/dl) results in reduction of trophoblast integration into the endothelial monolayer (C, brightfield; D, darkfield). Scale bar = 200 μm. This inhibitory effect of uric acid on trophoblast integration into microvascular endothelial cell monolayers increased with increasing uric acid concentrations (0.5–7 mg/dl, E; n = 6). **P < 0.05 Kruskal-Wallis one-way analysis of variance and Cuzick's test of trend; *P < 0.05 compared with untreated control, Dunn's post hoc analysis.
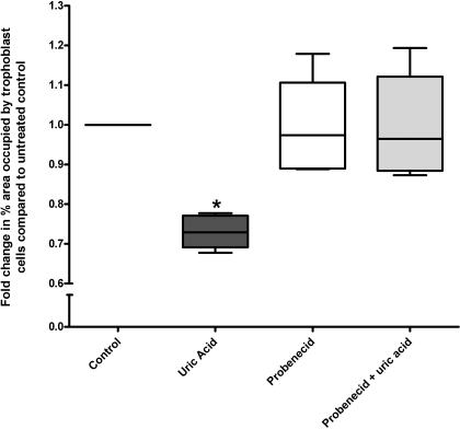
Probenecid, an inhibitor of cellular uric acid uptake, abrogated the inhibitory effects of uric acid on the ability of trophoblast cells to integrate into the endothelial cell monolayers (Fig. 3). Probenecid alone had no effect on trophoblast integration.
Fig. 3.
Uric acid attenuation of trophoblast integration into uterine microvascular endothelial cell monolayers occurs through intracellular signaling. Inhibition of cellular uptake of uric acid (7 mg/dl) with probenecid, an organic anion transporter inhibitor, restores the ability of trophoblast to integrate into the endothelial cell monolayer (n = 6). Probenecid alone has no effect on trophoblast integration (n = 6). *P < 0.05 compared with untreated control, Wilcoxon signed-rank test.
Effects of antioxidants on trophoblast integration into endothelial cell monolayers.
The potential role of redox signaling in uric acid-induced effects was examined by testing the effect of antioxidants (DHA, catalase-SOD, NAC, apocynin) alone and in combination with uric acid (7 mg/dl). Each antioxidant attenuated trophoblast integration into uterine microvascular endothelial cell monolayers compared with untreated controls (DHA, catalase-SOD, NAC: P < 0.05; apocynin: P < 0.01) (Fig. 4A; supplemental data, Figs. S1 and S2), in a fashion similar to uric acid treatment alone (P = 0.49 for DHA vs. uric acid; P = 0.89 for catalase-SOD vs. uric acid; P = 0.92 for NAC vs. uric acid; P = 0.71 for apocynin vs. uric acid). Treatment with the combination of antioxidants and uric acid had no further attenuating effects (P = 0.55 for DHA + uric acid vs. uric acid alone; P = 0.42 for catalase-SOD + uric acid vs. uric acid alone; P = 0.35 for NAC + uric acid vs. uric acid alone; P = 0.18 for apocynin + uric acid vs. uric acid alone; Fig. 4B; supplemental data, Figs. S1 and S2).
Fig. 4.
The inhibitory effects of uric acid on trophoblast integration into uterine microvascular endothelial cell monolayers may be due to antioxidant effects. Pretreatment of the endothelial cell monolayers and concurrent treatment throughout the 24 h coincubation with the antioxidants dehydroascorbic acid (DHA, n = 5) or a combination of catalase-superoxide dismutase (SOD, n = 5) reduced trophoblast integration into uterine microvascular endothelial cell monolayers similarly to treatment with uric acid (7 mg/dl, A, n = 5). No further changes in trophoblast integration were observed with a combination of antioxidants and uric acid (7 mg/dl, B, n = 5). *P < 0.05 compared with untreated control, Wilcoxon signed-rank test.
Trophoblast integration into endothelial cell monolayers: role of apoptosis.
Total apoptotic cell death in the mixed trophoblast-endothelial monolayers was lower in the presence of uric acid (P < 0.05; Fig. 5A). The antioxidants DHA or catalase-SOD similarly reduced apoptosis (P < 0.05; Fig. 5A). Interestingly, uric acid did not reduce apoptotic cell death in monloayers of only trophoblast or only endothelial cells in culture (trophoblast cells, P = 0.31; Fig. 5B) (endothelial cells, P = 0.44; Fig. 5C).
Fig. 5.
The inhibitory effects of uric acid on apoptotic cell death in mixed monolayers may be due to antioxidant effects of uric acid. Pretreatment of the endothelial cell monolayers and concurrent treatment throughout the 24-h coincubation with the antioxidants DHA (n = 4) or a combination of catalase-SOD (n = 4) reduced apoptotic cell death to a similar degree as treatment with uric acid (7 mg/dl, A, n = 5). Apoptotic cell death was unchanged in monolayers of only trophoblast cells (B, n = 4) or only uterine microvascular endothelial cells (C, n = 4) after a 24-h incubation with uric acid (7 mg/dl). *P < 0.05 compared with untreated control, Wilcoxon signed-rank test.
Immunofluorescent TUNEL staining indicated that 6.6% (6.5–7.6%) (Fig. 6E) of all cells in untreated mixed monolayers were undergoing apoptosis. Endothelial cells made up 80.2% (79.6–85.7%) of the apoptotic cell population (Fig. 6E). The majority of endothelial cells undergoing apoptosis were along the leading edge of trophoblast cell islands (green fluorescent endothelial cells situated above unlabeled trophoblast cells in representative Fig. 6, A–D). Uric acid treatment reduced the overall number of TUNEL-positive cells to 3.6% (3.4–4.5%, P = 0.02) (Fig. 6E). The reduction of cells undergoing apoptosis was due almost entirely to decreases in endothelial cells undergoing apoptosis: 13.2% (12.1–15.6%) in control vs. 5.8% (4.8–9.3%) with uric acid treatment, P = 0.04 (Fig. 6F).
Fig. 6.
Uric acid limits trophoblast-induced endothelial cell apoptosis. Apoptosis, as indicated by transferase-mediated dUTP nick-end labeling (TUNEL)-positive staining (red; C and D) in endothelial cells (green fluorescent cells; A, B, D) was primarily noted along the leading edges of trophoblast cell islands (unlabeled cells, A, D). Scale bars = 50 μm. Overall, ∼6.5% of all cells in a mixed monolayer were undergoing apoptosis, with endothelial cells making up the majority of these apoptotic cells (E, n = 4). The overall number of apoptotic cells was reduced by 24 h uric acid treatment, primarily through reductions in the numbers of endothelial cells undergoing apoptosis (F, n = 4). E: *P < 0.05 compared with the percentage of apoptotic cells that were trophoblast cells, Mann-Whitney U test. F: *P < 0.05 compared with the percentage of endothelial cells undergoing apoptosis in the untreated control group, Mann-Whitney U test.
Effects of uric acid on trophoblast and endothelial cell number and migration.
To further address the mechanism by which uric acid might be altering integration, we tested the effects of uric acid on cellular behavior of either the trophoblast cells or endothelial cells alone in culture. The highest concentration of uric acid (7 mg/dl) caused a slight increase in trophoblast cell number after 24 h incubation (P < 0.05; Fig. 7A), with no measurable differences in cell viability as measured by LDH release (P = 0.44; Fig. 7C). The ability of trophoblast cells to migrate in the scratch wound assay system was unchanged by uric acid treatment (P = 0.70; Fig. 7E). Uric acid treatment had no significant effect on endothelial cell number following a 24-h incubation (P = 0.13; Fig. 7B), although there appeared to be a trend toward lower cell numbers. Twenty-four hour treatment with uric acid did not affect endothelial cell viability (P = 0.88; Fig. 7D) or migratory properties (P = 1.00; Fig. 7F).
Fig. 7.
Effects of uric acid on the cellular behavior of trophoblast cells and uterine microvascular endothelial cells alone in culture. Uric acid (7 mg/dl) promoted a small increase in trophoblast cell number over 24 h (A, n = 5) but had no effect of the cell number of endothelial cells (B, n = 5). Uric acid (7 mg/dl) had no effect on cell viability, as measured by LDH release into the culture media during a 24-h incubation in either trophoblast cells (C, n = 6) or endothelial cells (D, n = 6). Cellular migration, as measured by the ability of either trophoblast cells (E, n = 6) or endothelial cells (F, n = 6) to migrate into a scratch wound over 6 h, was unchanged for both cell types with uric acid treatment (7 mg/dl). *P < 0.05 compared with untreated control, Wilcoxon signed-rank test.
Effects of preeclampsia and normal pregnancy serum on trophoblast integration into endothelial cell monolayers.
To attempt to test the relevance of the uric acid effect, we compared the ability of pooled serum from preeclamptic women with hyperuricemia and pooled serum from normal pregnant controls to reduce the integration of trophoblast cells into endothelial cell monolayers. Patient demographic data are presented in Table 1. The uric acid concentration was 9.3 mg/dl in the preeclampsia pool and 4.7 mg/dl in the control pool.
Trophoblast integration was attenuated by 5% vol/vol preeclampsia serum more than by the same dilution of serum from healthy pregnant controls: 44.3% (28.5–47.3%) vs. 62.2% (55.3–68.6%) trophoblast integration, respectively (P < 0.05; Fig. 8). Prior removal of endogenous uric acid with uricase did not change the effect of serum from controls but eliminated the effect of the preeclampsia serum pool such that integration (61.3%; 46.7–65.8%) was similar to healthy pregnant controls (P > 0.05; Fig. 8).
Fig. 8.
Preeclampsia serum inhibits trophoblast integration into endothelial cell monolayers. Pooled serum (5%) from 8 preeclamptic women (PE Serum) significantly inhibited integration of HTR-8 cells into endothelial cell monolayers compared with pooled serum (5%) from 8 healthy pregnant women (N Serum, n = 5). This inhibitory effect of preeclampsia serum was prevented when the serum was initially pretreated with uricase (n = 5). *P < 0.05 compared with treatment with healthy pregnancy serum, Mann-Whitney U test. **P < 0.05 compared with treatment with preeclampsia serum, Mann-Whitney U test.
DISCUSSION
The primary findings of this study were concentration-dependent decreases in trophoblast invasion through a reconstituted extracellular matrix and decreases in trophoblast integration into uterine microvascular endothelial cell monolayers with increasing uric acid concentrations. These findings support the hypothesis that hyperuricemia contributes to the pathogenesis of preeclampsia, perhaps in part through attenuation of normal trophoblast invasion and spiral artery vascular remodeling.
Using a well-established in vitro invasion assay, we demonstrated a concentration-dependent decrease in trophoblast invasion through a reconstituted extracellular matrix. Importantly, the concentrations of uric acid that significantly attenuated trophoblast invasion are similar to those measured in the circulation of preeclamptic women between 9 and 15 wk gestation (33), a time when the extravillous cytotrophoblast cells are actively invading the decidua. It is therefore biologically plausible that the elevated uric acid concentrations measured in preeclamptic women early in gestation may have detrimental effects on early placental development, in part contributing to the shallow trophoblast invasion characteristic of preeclampsia (32). The study of trophoblast invasion alone, while intriguing, is not sufficient to our understanding of poor placental perfusion in preeclampsia. For this, we sought to better understand how trophoblast cells interact with, integrate into, and eventually replace the uterine microvascular cells of the spiral arteries to optimize placental perfusion throughout gestation and how different signals and/or effector agents (i.e., uric acid) may alter these events. We studied the ability of a first-trimester extravillous cytotrophoblast cell line to form “islands,” thus integrating as clusters of trophoblast cells into a preestablished uterine microvascular endothelial cell monolayer. The coculture model employed was used previously to demonstrate that the area of endothelial cells displaced by JAR (trophoblast-derived choriocarcinoma) cells was reduced by prior exposure of the endothelial cells to inflammatory cytokines or necrotic JAR cell bodies (8). We demonstrated a concentration-dependent attenuation of trophoblast integration into the endothelial cell monolayer in the presence of uric acid, highlighting the potential pathological relevance of elevated uric acid to inadequate uterine artery vascular remodeling. Such an effect could in part explain the increased incidence of poor fetal outcomes (preterm birth, fetal growth restriction, fetal death) with increasing uric acid concentrations (34, 37, 42). We used uric acid at concentrations measured in pregnant women (upper limit ∼10 mg/dl) (27, 33).
We previously found a dramatic increase in xanthine oxidase enzyme concentration and activity in the extravillous invasive trophoblast cells from preeclamptic pregnancies when compared with that of healthy controls (29). Xanthine oxidase is responsible for endogenous uric acid production and therefore it is likely that localized tissue concentrations of uric acid are above that measured in the maternal circulation. As such, even the highest dose of uric acid used in this study (7 mg/dl), similar to circulating concentrations of uric acid in term preeclamptic pregnancies [∼5.5–10 mg/dl (27, 33)], might be comparable to localized tissue concentrations of uric acid within the first-trimester preeclamptic decidua.
TUNEL staining of untreated mixed monolayers following 24 h of coculture identified a distinct pattern of apoptotic endothelial cells bordering the trophoblast cell islands. This, along with data demonstrating minimal apoptosis in endothelial cell monolayers alone over the same period of incubation, leads us to conclude that the trophoblast cells are capable of inducing apoptosis in the endothelial cells, a process that may facilitate trophoblast integration into the endothelial cell monolayer. This conclusion is supported by work of others; Ashton et al. (3) demonstrated extravillous trophoblast induction of endothelial cell apoptosis in isolated unmodified spiral arterioles perfused with first-trimester trophoblast cells, mediated through Fas/Fas ligand cell signaling. This same group has further described a similar mechanism for interstitial trophoblast-induced apoptosis of the vascular smooth muscle cells of the spiral arteries (3).
In addition to TUNEL staining, we also employed an ELISA to examine apoptotic cell death in mixed monolayers formed in the absence or presence of uric acid. Uric acid treatment reduced overall rates of apoptosis, driven entirely by reduced numbers of endothelial cells undergoing apoptotic cell death. Apoptotic cell death rates were unchanged in either cell type cultured alone in the presence of uric acid, however, suggesting an ability of uric acid to specifically interrupt trophoblast-induced endothelial cell apoptosis. This effect of uric acid appears to be reliant upon cellular uptake of uric acid, as concurrent treatment of the cocultures with probenecid and uric acid resulted in no measurable changes in trophoblast integration into endothelial cell monolayers compared with untreated controls.
Uric acid has long been considered a biologically relevant antioxidant and is readily oxidized in the presence of free radicals (30). In an antioxidant-depleted environment, however, uric acid can behave as a pro-oxidant contributing to cellular oxidative damage (1, 13). In our study, uric acid appears to be acting intracellularly as an antioxidant to decrease the displacement of endothelial cells by trophoblast cells, as similar attenuations occurred in the presence of several different antioxidants. The effects of uric acid and other antioxidants were not additive. In contrast, we recently showed that uric acid inhibits System A-mediated transport of neutral amino acids in primary placental villous tissue in explant culture, in a fashion partially reversed by NADPH oxidase inhibition and completely reversed by the antioxidants ascorbate, NAC, or the combination of catalase and SOD (5). In that setting, therefore, uric acid may function as a pro-oxidant.
Taken together these findings suggest a process whereby, under normal conditions, endovascular trophoblast cells induce uterine microvascular endothelial cell apoptosis through cell-cell redox signaling allowing for integration and eventually complete replacement of the vascular endothelial cell layer by the trophoblast cells. With elevations in circulating or locally produced uric acid, as in preeclampsia, the ability of trophoblast to adequately complete this process is hindered due to the intracellular antioxidant capacity of uric acid. It is intriguing to consider that moderate and tightly controlled trophoblast-induced oxidative stress may be a vital component of early placental development and establishment of an adequate blood supply.
Our data suggest that the effects of uric acid were upon cell-cell signaling pathways between trophoblast and endothelial cells together in culture, given that 24 h treatment with the highest dose of uric acid (7 mg/dl) had no effect on migration, apoptosis, or viability of either cell type alone in culture. The possibility that uric acid may promote a more proliferative and less invasive trophoblast phenotype was not pursued in the current study but appears warranted. Of note, Johnson et al. (22) reported that uric acid decreased proliferation rates and migratory capabilities of endothelial cells in culture; however, they used a higher range of uric acid concentrations (6–12 mg/dl), reaching concentrations that can result in uric acid crystal formation, which may have profound effects on cellular behavior. Additionally, their study used human umbilical vein endothelial cells (HUVECs), whereas we used endothelial cells from the human uterine myometrial microvasculature, those found lining the spiral arterioles and whose cellular properties may be quite different than the fetal umbilical vascular cells.
We characterized the human uterine myometrial microvascular cells as positive for endothelial cell characteristics: von Willebrand (factor VIII) antigen, Ulex europaeus agglutinin I (lectin) cell surface staining, cytoplasmic accumulation of acetylated low-density lipoprotein (LDL), and microtubule formation in Matrigel assay (data not shown). The cells had also been characterized as endothelial by positive immunoreactivity to CD-31, presence of progesterone receptors and endothelial lipase, and lack of immunoreactivity to α-smooth muscle actin (11, 18, 28). The endothelial cells have been used to demonstrate that endothelium regulates the character and directionality of macaque trophoblast migration in response to physiological shear stress/flow (41). On this basis we judged the uterine endothelial cells to be a reasonable surrogate for fresh (noncultured) endothelial cells from human spiral arteries.
We used a transformed cell line, HTR-8/SVneo trophoblast, derived from first-trimester trophoblast rather than primary first-trimester trophoblasts. Whereas these cells are transformed, they possess numerous properties of invasive extravillous cytotrophoblasts including the expression of cytokeratins 7, 8, and 18; placental-type alkaline phosphatase; insulin-like growth factor 2 (IGF2); urokinase-type plasminogen activator receptor (PLAUR); human leukocyte antigen (HLA) framework antigen W6/32; as well as an integrin profile characteristic of invasive cytotrophoblasts (14, 17, 25). The cells are proliferative and invasive in vitro and show transforming growth factor-β-induced attenuation of proliferation and invasion but are not tumorigenic when injected into nude mice, characteristics that are also observed in invasive extravillous cytotrophoblasts as previously described (14, 17, 25). Cytotrophoblast cells that convert to an invasive phenotype in vivo undergo a switch in expression of integrin subunits such that α1β1 predominates in extravillous cytotrophoblast (44). When cultured in vitro, both cytotrophoblast cells isolated from first-trimester placentas and HTR-8/SVneo trophoblast can be induced to switch their complement of integrins in this manner upon exposure to Matrigel basement membrane (25). Furthermore, HTR8/SVneo cells were previously shown to behave identically to first-trimester trophoblast cells with regard to replacement of endothelial cells in a three-dimensional Matrigel model of trophoblast invasion (2).
There are other limitations to extrapolating our in vitro findings to the interactions of normal invasive extravillous cytotrophoblasts with intact spiral arteriolar endothelium in women during early pregnancy. Uric acid was tested without other active agents that might potentiate or inhibit its effect in vivo. The possibility of potentiation is illustrated by our studies of the effect of serum from women with preeclampsia. Preeclampsia serum significantly attenuated trophoblast integration into endothelial cell monolayers, an effect reversed by uricase treatment. Of importance, the serum pools used in experimentation were diluted to 5% of total volume with tissue culture media resulting in uric acid concentration in the media from the pooled preeclampsia serum of 0.5 mg/dl, a concentration ineffective when uric acid was used in buffer. Also, roughly 25% of women with preeclampsia do not manifest hyperuricemia (37), suggesting that factors other than uric acid may be involved. Candidate circulating factors include placenta-derived antiangiogenic proteins, hyperlipidemia, and autoantibodies to the angiotensin II AT-1 receptor (10, 23, 38). The effects of such factors on trophoblast invasion might be additive, or synergistic, with the effects of uric acid.
The inhibitory effects of uric acid on the ability of extravillous first-trimester trophoblast cells to invade an extracellular matrix and properly integrate into an uterine microvascular endothelial cell monolayer are consistent with uric acid as a potential pathogenic agent within the developing placenta. Furthermore, this work suggests possible mechanisms underlying the association of increased uric acid and adverse fetal outcomes in preeclampsia.
GRANTS
This study was supported by National Institutes of Health Grants R21-HD-049453, P01-HD-303967, and MO1-RR000056 and by the Magee-Womens Research Institute Fellowship Program. This project was also funded, in part, under a grant with the Pennsylvania Department of Health (State of Pennsylvania Health Research Formula Fund).
Acknowledgments
The Pennsylvania Department of Health specifically disclaims responsibility for any analyses, interpretations, or conclusions.
Current addresses: F. von Versen-Höynck, Dept. of Obstetrics and Gynecology, Hannover Medical School, Hannover, Germany; S. A. Bainbridge, Dept. of Obstetrics and Gynecology, Samuel Luenfeld Research Institute, Mount Sinai Hospital, Toronto, Ontario, Canada.
REFERENCES
- 1.Abuja PM Ascorbate prevents prooxidant effects of urate in oxidation of human low density lipoprotein. FEBS Lett 446: 305–308, 1999. [DOI] [PubMed] [Google Scholar]
- 2.Aldo PB, Krikun G, Visintin I, Lockwood C, Romero R, Mor G. A novel three-dimensional in vitro system to study trophoblast-endothelium cell interactions. Am J Reprod Immunol 58: 98–110, 2007. [DOI] [PMC free article] [PubMed] [Google Scholar]
- 3.Ashton SV, Whitley GS, Dash PR, Wareing M, Crocker IP, Baker PN, Cartwright JE. Uterine spiral artery remodeling involves endothelial apoptosis induced by extravillous trophoblasts through Fas/FasL interactions. Arterioscler Thromb Vasc Biol 25: 102–108, 2005. [DOI] [PMC free article] [PubMed] [Google Scholar]
- 4.Bainbridge SA, Roberts JM. Uric acid as a pathogenic factor in preeclampsia. Placenta 22: S67–S72, 2008. [DOI] [PMC free article] [PubMed] [Google Scholar]
- 5.Bainbridge SA, von Versen-Hoynck F, and Roberts JM. Uric acid inhibits placental system A amino acid uptake. Placenta 30: 195–200, 2009. [DOI] [PMC free article] [PubMed] [Google Scholar]
- 6.Benischke K, Kaufmann P. Pathology of the Human Placenta. New York: Springer-Verlag, 2000.
- 7.Burton GJ, Jauniaux E. Placental oxidative stress: from miscarriage to preeclampsia. J Soc Gynecol Invest 11: 342, 2004. [DOI] [PubMed] [Google Scholar]
- 8.Chen Q, Stone PR, McCowan LM, Chamley LW. Activated endothelial cells resist displacement by trophoblast in vitro. Placenta 28: 743–747, 2007. [DOI] [PubMed] [Google Scholar]
- 9.Chesley LC Diagnosis of preeclampsia. Obstet Gynecol 65: 423–425, 1985. [PubMed] [Google Scholar]
- 10.Dechend R, Luft FC, Lindheimer M. Agonistic autoantibody-mediated disease In: Chesley's Hypertensive Disorders in Pregnancy (3rd Ed.), edited by Lindheimer MD, Amsterdam: Elsevier, 2009, p. 287–296.
- 11.Edlund M, Andersson E, Fried G. Progesterone withdrawal causes endothelin release from cultured human uterine microvascular endothelial cells. Hum Reprod 19: 1272–1280, 2004. [DOI] [PubMed] [Google Scholar]
- 12.Gallery ED, Campbell S, Ilkovski B, Sinosich MJ, Jackson C. A novel in vitro co-culture system for the study of maternal decidual endothelial cell-trophoblast interactions in human pregnancy. Br J Obstet Gynaecol 108: 651–653, 2001. [DOI] [PubMed] [Google Scholar]
- 13.Gersch C, Palii SP, Kim KM, Angerhofer A, Johnson RJ, Henderson GN. Inactivation of nitric oxide by uric acid. Nucleosides Nucleotides Nucleic Acids 27: 967–978, 2008. [DOI] [PMC free article] [PubMed] [Google Scholar]
- 14.Graham CH, Hawley TS, Hawley RG, MacDougall JR, Kerbel RS, Khoo N, Lala PK. Establishment and characterization of first trimester human trophoblast cells with extended lifespan. Exp Cell Res 206: 204–211, 1993. [DOI] [PubMed] [Google Scholar]
- 15.Hodges JL The efficiency of some nonparametric competitors of the t-Test. Ann Math Statist 27: 324–335, 1956. [Google Scholar]
- 16.Hung TH, Skepper JN, Charnock-Jones DS, Burton GJ. Hypoxia-reoxygenation: a potent inducer of apoptotic changes in the human placenta and possible etiological factor in preeclampsia. Circ Res 90: 1274, 2002. [DOI] [PubMed] [Google Scholar]
- 17.Irving JA, Lala PK. Functional role of cell surface integrins on human trophoblast cell migration: regulation by TGF-beta, IGF-II, and IGFBP-1. Exp Cell Res 217: 419–427, 1995. [DOI] [PubMed] [Google Scholar]
- 18.Jin W, Sun GS, Marchadier D, Octtaviani E, Glick JM, Rader DJ. Endothelial cells secrete triglyceride lipase and phospholipase activities in response to cytokines as a result of endothelial lipase. Circ Res 92: 644–650, 2003. [DOI] [PubMed] [Google Scholar]
- 19.Johnson RJ, Kang DH, Feig D, Kivlighn S, Kanellis J, Watanabe S, Tuttle KR, Rodriguez-Iturbe B, Herrera-Acosta J, Mazzali M. Is there a pathogenetic role for uric acid in hypertension and cardiovascular and renal disease? Hypertension 41: 1183–1190, 2003. [DOI] [PubMed] [Google Scholar]
- 20.Kanellis J, Watanabe S, Li JH, Kang DH, Li P, Nakagawa T, Wamsley A, Sheikh-Hamad D, Lan HY, Feng L, Johnson RJ. Uric acid stimulates monocyte chemoattractant protein-1 production in vascular smooth muscle cells via mitogen-activated protein kinase and cyclooxygenase-2. Hypertension 41: 1287–1293, 2003. [DOI] [PubMed] [Google Scholar]
- 21.Kang DH, Finch J, Nakagawa T, Karumanchi SA, Kanellis J, Granger J, Johnson RJ. Uric acid, endothelial dysfunction and pre-eclampsia: searching for a pathogenetic link. J Hypertens 22: 229–235, 2004. [DOI] [PubMed] [Google Scholar]
- 22.Kang DH, Park SK, Lee IK, Johnson RJ. Uric acid-induced C-reactive protein expression: implication on cell proliferation and nitric oxide production of human vascular cells. J Am Soc Nephrol 16: 3553–3562, 2005. [DOI] [PubMed] [Google Scholar]
- 23.Karumanchi SA, Lindheimer MD. Preeclampsia pathogenesis: “triple a rating”-autoantibodies and antiangiogenic factors. Hypertension 51: 991–992, 2008. [DOI] [PubMed] [Google Scholar]
- 24.Kaufmann P, Black S, Huppertz B. Endovascular trophoblast invasion: implications for the pathogenesis of intrauterine growth retardation and preeclampsia. Biol Reprod 69: 1–7, 2003. [DOI] [PubMed] [Google Scholar]
- 25.Kilburn BA, Wang J, Duniec-Dmuchowski ZM, Leach RE, Romero R, Armant DR. Extracellular matrix composition and hypoxia regulate the expression of HLA-G and integrins in a human trophoblast cell line. Biol Reprod 62: 739–747, 2000. [DOI] [PubMed] [Google Scholar]
- 26.Liang CC, Park AY, Guan JL. In vitro scratch assay: a convenient and inexpensive method for analysis of cell migration in vitro. Nat Protoc 2: 329–333, 2007. [DOI] [PubMed] [Google Scholar]
- 27.Lind T, Godfrey KA, Otun H, Philips PR. Changes in serum uric acid concentrations during normal pregnancy. Br J Obstet Gynaecol 91: 128–132, 1984. [DOI] [PubMed] [Google Scholar]
- 28.Maidji E, Percivalle E, Gerna G, Fisher S, Pereira L. Transmission of human cytomegalovirus from infected uterine microvascular endothelial cells to differentiating/invasive placental cytotrophoblasts. Virology 304: 53–69, 2002. [DOI] [PubMed] [Google Scholar]
- 29.Many A, Hubel CA, Fisher SJ, Roberts JM, Zhou Y. Invasive cytotrophoblasts manifest evidence of oxidative stress in preeclampsia. Am J Pathol 156: 321–331, 2000. [DOI] [PMC free article] [PubMed] [Google Scholar]
- 30.Maples KR, Mason RP. Free radical metabolite of uric acid. J Biol Chem 263: 1709–1712, 1988. [PubMed] [Google Scholar]
- 31.Patschan D, Patschan S, Gobe GG, Chintala S, Goligorsky MS. Uric acid heralds ischemic tissue injury to mobilize endothelial progenitor cells. J Am Soc Nephrol 18: 1516–1524, 2007. [DOI] [PubMed] [Google Scholar]
- 32.Pijnenborg R, Anthony J, Davey DA, Rees A, Tiltman A, Vercruysse L, van Assche A. Placental bed spiral arteries in the hypertensive disorders of pregnancy. Br J Obstet Gynaecol 98: 648, 1991. [DOI] [PubMed] [Google Scholar]
- 33.Powers RW, Bodnar LM, Ness RB, Cooper KM, Gallaher MJ, Frank MP, Daftary AR, Roberts JM. Uric acid concentrations in early pregnancy among preeclamptic women with gestational hyperuricemia at delivery. Am J Obstet Gynecol 194: 160, 2006. [DOI] [PubMed] [Google Scholar]
- 34.Redman CW, Beilin LJ, Bonnar J, Wilkinson RH. Plasma-urate measurements in predicting fetal death in hypertensive pregnancy. Lancet 1: 1370–1373, 1976. [DOI] [PubMed] [Google Scholar]
- 35.Redman CW, Sargent IL. Circulating microparticles in normal pregnancy and pre-eclampsia. Placenta 29 Suppl A: S73–S77, 2008. [DOI] [PubMed]
- 36.Renaud SJ, Postovit LM, Macdonald-Goodfellow SK, McDonald GT, Caldwell JD, Graham CH. Activated macrophages inhibit human cytotrophoblast invasiveness in vitro. Biol Reprod 73: 237–243, 2005. [DOI] [PubMed] [Google Scholar]
- 37.Roberts JM, Bodnar LM, Lain KY, Hubel CA, Markovic N, Ness RB, Powers RW. Uric acid is as important as proteinuria in identifying fetal risk in women with gestational hypertension. Hypertension 46: 1263–1269, 2005. [DOI] [PubMed] [Google Scholar]
- 38.Roberts JM, Hubel CA. The two stage model of preeclampsia: variations on the theme. Placenta 23: S32–S37, 2009. [DOI] [PMC free article] [PubMed] [Google Scholar]
- 39.Roberts JM, Lain KY. Recent Insights into the Pathogenesis of Pre-eclampsia. Placenta 23: 359, 2002. [DOI] [PubMed] [Google Scholar]
- 40.Slemmons JM, LJB. The uric acid content of maternal and fetal blood. J Biol Chem 32: 63–69, 1917. [Google Scholar]
- 41.Soghomonians A, Barakat AI, Thirkill TL, Douglas GC. Trophoblast migration under flow is regulated by endothelial cells. Biol Reprod 73: 14–19, 2005. [DOI] [PubMed] [Google Scholar]
- 42.Voto LS, Illia R, Darbon-Grosso HA, Imaz FU, Margulies M. Uric acid levels: a useful index of the severity of preeclampsia and perinatal prognosis. J Perinat Med 16: 123–126, 1988. [DOI] [PubMed] [Google Scholar]
- 43.Zharikov SI, Krotova K, Hu H, Baylis C, Johnson RJ, Block ER, Patel JM. Uric acid decreases no production and increases arginase activity in cultured pulmonary artery endothelial cells. Am J Physiol Cell Physiol 295: C1183–C1190, 2008. [DOI] [PMC free article] [PubMed] [Google Scholar]
- 44.Zhou Y, Fisher SJ, Janatpour M, Genbacev O, Dejana E, Wheelock M, Damsky CH. Human cytotrophoblasts adopt a vascular phenotype as they differentiate. A strategy for successful endovascular invasion? J Clin Invest 99: 2139–2151, 1997. [DOI] [PMC free article] [PubMed] [Google Scholar]








