Abstract
Background
Being a caregiver for a spouse with Alzheimer's disease is associated with increased risk for cardiovascular illness, particularly for males. This study examined the effects of caregiver gender and severity of the spouse’s dementia on sleep, coagulation, and inflammation in the caregiver.
Methods
Eighty-one male and female spousal caregivers and 41 non-caregivers participated (mean age of all participants 70.2 years). Full-night polysomnography was recorded in each participants home. Severity of the Alzheimer's disease patient’s dementia was determined by the Clinical Dementia Rating (CDR) scale. The Role Overload scale was completed as an assessment of caregiving stress. Blood was drawn to assess circulating levels of D-dimer and Interleukin-6 (IL-6).
Results
Male caregivers who were caring for a spouse with moderate to severe dementia spent significantly more time awake after sleep onset than female caregivers caring for spouses with moderate to severe dementia (p = 0.011), who spent a similar amount of time awake after sleep onset to caregivers of low dementia spouses and to non-caregivers. Similarly, male caregivers caring for spouses with worse dementia had significantly higher circulating levels of D-dimer (p = .034) than females caring for spouses with worse dementia. In multiple regression analysis (adjusted R2 = .270, p<0.001), elevated D-dimer levels were predicted by a combination of the CDR rating of the patient (p = .047) as well as greater time awake after sleep onset (p = .046).
Discussion
The findings suggest that males caring for spouses with more severe dementia experience more disturbed sleep and have greater coagulation, the latter being associated with the disturbed sleep. These findings may provide insight into why male caregivers of spouses with Alzheimer's disease are at increased risk for illness, particularly cardiovascular disease.
Keywords: Alzheimer's disease, caregiving, gender, sleep, coagulation, inflammation, D-dimer, IL-6
Introduction
Alzheimer's disease afflicts more than five million Americans, with the majority of patients living in private homes where families perform the primary caregiving role (Alzheimer’s Association (2008). Approximately half of all caregivers are spouses, and being a spousal caregiver confers significant risk for physical illnesses and increases the risk for caregiver death (Alzheimer’s Association (2008; Schulz and Beach, 1999; Vitaliano et al., 2002).
Prior studies of male spousal caregivers of patients with Alzheimer's disease, who comprise approximately one-third of Alzheimer's disease spousal caregivers, suggest that as a result of caregiving, males experience greater risk for cardiovascular diseases than female caregivers and non-caregiving males, as well as greater adverse immunological changes (Scanlan et al., 1998; Vitaliano et al., 1995; Vitaliano et al., 2002). For male caregivers, the frequency of their spouse’s behavioral dysfunction predicts their number of physical symptoms, as well as their overall perceptions of stressfulness associated with caregiving (Shanks-McElroy and Strobino, 2001).
For spousal dementia caregivers, disturbed sleep is common place, with approximately two-thirds experiencing some form of sleep disturbance (McCurry et al., 2007; Rowe et al., 2008). Possible causes for the development and maintenance of sleep disturbances in caregivers include the chronic stress of caregiving, caregiver medical morbidity, and irregular caregiver sleep /wake routines in part due to nocturnal behavior of the spouses (McCurry et al., 2007; McCurry et al., 2006). Predictors of degree of disturbed sleep in spousal caregivers include the spouse’s severity of dementia and the caregivers sense of caregiving burden (Creese et al., 2008; McKibbin et al., 2005).
In the literature on sleep and spousal caregivers, few studies have examined possible differences in degree of sleep disruption in male versus female caregivers, and how the severity of the spouse’s dementia may affect sleep differently. Studies have examined sleep in female caregivers (Willette-Murphy et al., 2006), with findings showing that while sleep is poorer for caregiving females compared to non-caregiving females, appraisal of caregiving burden itself is not a predictor of the poorer sleep, but rather a predictor of the caregiver’s mental health (Willette-Murphy et al., 2006). Other studies have either not specifically examined possible gender differences of sleep in caregivers, or not reported such findings (Kochar et al., 2007; McCurry et al., 2007).
Disruptions of sleep are associated with increased risk for cardiovascular diseases, including risk for stroke (Elwood et al., 2006; Phillips and Mannino, 2007). Ongoing sleep disruptions can have adverse health consequences for spousal caregivers as well (Creese et al., 2008). Disruptions of sleep are associated with elevations in circulating levels of hypercoagulability and inflammatory biomarkers of cardiovascular disease, including the coagulation marker D-dimer and the inflammatory cytokine IL-6 (Mills et al., 2007; Vgontzas et al., 2004; von Kanel et al., 2007). For instance, in otherwise healthy individuals, poorer sleep quality, as indexed by increased arousals from sleep or poor sleep efficiency, is associated with elevations of D-dimer and IL-6 (Friedman et al., 2005; von Kanel et al., 2007).
D-dimer demonstrates important associations with inflammatory pathways. In response to stress, the magnitude of the increase in D-dimer and IL-are correlated (von Kanel et al., 2005). In a large scale population-based study of elderly men, IL-6 levels were positively correlated with D-dimer levels independent of age and obesity (Wannamethee et al., 2007). In patients hospitalized for the treatment of diabetes, changes in plasma D-dimer during hospitalization are positively correlated with changes in plasma IL-6 (Aso et al., 2003). Such associations between IL-6 and D-dimer concur with mechanistic research showing that IL-6 stimulates hemostasis and vice versa. Specifically, IL-6 up-regulates fibrinogen and FVIII production by the liver as well as tissue factor activation such that IL-6 seems to be an important mediator of the development of a stable fibrin clot (Kerr et al., 2001). Conversely, D-dimer enhances IL-6 release from monocytes (Robson et al., 1994). Clinically, D-dimer and IL-6 provide independent additive associations with outcomes, including incidence of heart disease (Lowe et al., 2001; Woodward et al., 2007) and mortality in heart failure (Marcucci et al., 2006).
The purpose of this study was to examine potential differences in sleep quality and markers of coagulation and inflammation between male and female spousal caregivers of Alzheimer’s disease patients. Given the known effects of the dementia severity of the spouse on the quality of the caregiver’s sleep (Shanks-McElroy and Strobino, 2001), we examined the potential effects and interactions of the patient’s dementia ratings.
Methods
Participants
Participants were 81 male and female caregivers and 41 non-caregivers participating in a longitudinal study of caregivers of Alzheimer’s disease patients. Caregivers were spouses who were living at home with their dementia spouse. Both caregivers and non-caregivers were recruited from the UCSD Alzheimer Disease Research Center or local community support groups. The control group consisted of community-dwelling elderly males and females not providing care to a household member but also living with their spouse. Controls were recruited in the same proportion of gender as caregivers. Participants had to be ≥ 55 years of age and not taking anticoagulant medication. The University of California, San Diego Institutional Review Board approved the protocol. All participants gave written informed consent.
During an initial home visit, a research nurse met with participants to review the study protocol and obtain written consent. During this visit, a semi-structured interview was conducted to gather demographic information, to assess the spouse’s problem behaviors and the extent of their dementia with the Clinical Dementia Rating (CDR) scale, and assess the caregivers sense of caregiving overload. Resting blood pressure of each participant was assessed using an automated blood pressure monitor (Critikon Dinamap 8100).
To assess problem behaviors of the spouse, we used the Neuropsychiatric Inventory (Cummings, 1997; Kaufer et al., 1998), which assesses 12 neuropsychiatric disturbances common in patients with dementia (e.g., delusions, anxiety, irritability). Caregivers were asked to describe the frequency with which each behavior occurred during the past month, with response options ranging from 0 = Absent to 4 = Very Frequently, once or more per day. For behaviors endorsed, a follow-up question was asked regarding how emotionally distressing the caregiver found the behavior. Responses ranged from 0 = Not at all, to 5 = very severely or extremely. A final subscale assessed the severity of the symptom, with response options of 1 = mild, 2 = moderate, and 3 = marked.
The CDR provides a global rating of dementia by integrating six behavioral and cognitive domains: Memory, Orientation, Judgment and Problem Solving, Community Affairs, Home and Hobbies, and Personal Care (Hughes et al., 1982). Each domain is rated along 5 levels of impairment: no dementia, questionable dementia, mild dementia, moderate dementia, and severe dementia. Patients with CDR diagnoses of questionable dementia are distinct from those with no dementia (Hughes et al., 1982). CDR assessments were obtained by two trained research nurses in the semi-structured interviews conducted in the participants’ homes. Previous studies demonstrate high inter-rater reliability for health professionals, including clinical nurse specialists (McCulla et al., 1989).
For caregiver stress, we used the Pearlin Role Overload scale, a self-report instrument which provides a global assessment of stress, capturing multiple stressors experienced by caregivers (Pearlin et al., 1990). The overload scale consists of four items (i.e. 'you are exhausted when you go to bed at night'; 'you have more things to do than you can handle'; 'you don't have time just for yourself'; 'you work hard as a caregiver but never seem to make any progress'). Responses are rated on a 4-point Likert scale ranging from 1= not at all to 4 = completely. Items are summed to create an overall stress score (range = 4 to 16). Chronbach's alpha for this scale is 0.71.
Sleep Monitoring
All participants had one full-night unattended polysomnography (PSG) recorded in their home with the Embla model A10 recording system (Flaga/Medcare, Reykjavik, Iceland) (McKibbin et al., 2005). A certified sleep technician went to the participant’s home in the evening to prepare the participant for the sleep recording. Electroencephalography (EEG), electrooculography (EOG), chin electromyography (EMG), and thoracic and abdominal respiration were recorded. Oxyhemoglobin saturation (SpO2) was monitored using a pulse oximeter (Biox 3740, Ohmeda, Louisville, CO). In the morning, the sleep technician returned to the caregiver’s home to remove the equipment and return it to the laboratory, where the records were down loaded and scored. Records were scored with the Rechtshaffen and Kales (Rechtshaffen and Kales, 1968) criteria by technicians with inter-rater reliabilities > 90%. We choose a panel of standard sleep parameters to quantify sleep architecture and sleep efficiency. Percent time spent in sleep stages 1 and stage 2, slow wave sleep (SWS) (stages 3 and 4 combined), and REM sleep were assessed to describe sleep architecture. Sleep efficiency (ratio of total sleep time to time spent in bed multiplied by 100), and wake after sleep onset (WASO) were computed to describe sleep efficiency. Although it was not expected that caregiving would influence rates of sleep disordered breathing, we took the opportunity to also assess the apnea hypopnea index (AHI; total number of apneas plus hypopneas per hour of sleep) and mean percent O2 saturation (SpO2). An apnea was defined as a decrement in airflow ≥90% from baseline for ≥10 seconds. A hypopnea was defined as a decrement in airflow ≥50% but <90% from baseline for ≥10 seconds.
Biomarkers IL-6 and D-dimer
At the participant’s home, and between the hours of 9:00 a.m. and 11:00 a.m., venous blood was drawn from fasting participants through a 22-gauge forearm catheter following a 20 minute rest. Blood for the IL-6 assay was dispensed into tubes containing EDTA, put on ice, and spun within 3 hours at 2500 rpm for 10 minutes at 4°C. The plasma was immediately frozen at −80°C until analyzed. For the D-dimer assay the first 5 ml of venous blood were discarded to prevent biasing of D-dimer measurements by artificial coagulation activation through the process of blood drawing. Blood for the D-dimer assay was then dispensed into polypropylene tubes containing 3.8% sodium citrate and spun within 3 hours at 1,600 revolutions per minute (rpm) for 10 minutes at room temperature. Plasma IL-6 levels were measured using high-sensitive ELISA (Quantikine, R & D Systems, Minneapolis, MN) and plasma D-dimer levels were measured using ELISA (Asserachrom Stago, Asnières, France). For D-dimer and IL-6 respectively, intra-assay coefficients of variation were 4.7% and 2.2%; inter-assay coefficients of variation were 6.3% and 4.4%, respectively.
Data Analysis
Caregivers were grouped according to those caring for high versus low dementia patients. The high dementia group (High CDR) was comprised of moderate to severe dementia patients (scores of 2 or 3 on the CDR) while the Low CDR group was comprised of questionable to mild dementia patients (scores of 0.5 or 1 on the CDR). Non-caregiver’s spouses were coded as no dementia. Data were analyzed using two-way (gender by CDR group) analysis of covariance (ANCOVA and multivariate analysis of covariance (MANCOVA) (covariates in these analyses were age and body mass index (BMI)) (SPSS 15.0 for Windows (SPSS Inc., Chicago, IL). Data are presented as mean ± SD in tables and mean ± SEM in figures. The level of statistical significance was set at p ≤ .05 (two-tailed). Borderline significance (p ≤ .10) is also presented to show trends that may help to better illustrate effects and relationships.
Results
Demographics
Males were older than females (F1,122. = 13.6, p < 0.001), and caregivers were older than non-caregivers (F1,122 = 4.71, p = 0.01). Males had higher diastolic blood pressure compared (F1,122 = 13.0, p < 0.001). There were no significant group differences in BMI. The majority of participants were Caucasian (88.5%) (Table 1).
Table 1.
Characteristics of Caregivers and Non-Caregivers
| Males | Females | |||||
|---|---|---|---|---|---|---|
| (mean ± SD) | Caregivers High CDR |
Caregivers Low CDR |
Non- Caregivers |
Caregivers High CDR |
Caregivers Low CDR |
Non- Caregivers |
| N | 13 | 10 | 11 | 27 | 31 | 30 |
| Age (years) a | 75.6 (9.1) | 77.8 (3.5) | 70.5 (8.9) | 71.3 (9.3) | 68.5 (8.2) | 65.7 (6.2) |
| Ethnicity (N) | ||||||
| Caucasian | 11 | 9 | 10 | 23 | 29 | 26 |
| African-American | 0 | 0 | 0 | 0 | 1 | 0 |
| Asian | 1 | 0 | 0 | 0 | 0 | 1 |
| Hispanic | 1 | 1 | 1 | 3 | 1 | 3 |
| BMI (kg/m2) | 25.2 (4.1) | 24.0 (4.2) | 27.3 (4.5) | 25.2 (5.1) | 26.5 (4.9) | 25.2 (5.3) |
| Systolic BP (mmHg) | 133.7 (13) | 135.0 (22) | 127.2 (15) | 130.3 (15) | 132.7 (19) | 121.3 (15) |
| Diastolic BP (mmHg) b | 72.1 (13) | 71.2 (13) | 69.3 (8.4) | 63.6 (10) | 64.7 (11) | 61.2 (11) |
| Alzheimer’s patient CDR Rating c |
3.38 (.51) | 1.70 (.48) | 0 (0) | 3.37 (.49) | 1.87 (.34) | 0 (0) |
| Role Overload d | 8.54 (2.3) | 7.43 (3.1) | 5.72 (1.6) | 10.7 (3.3) | 9.64 (3.2) | 6.18 (2.2) |
| Behavior problems frequency e, f |
12.4 (7.3) | 8.4 (6.7) | .36 (.67) | 17.9 (8.8) | 9.7 (7.1) | .31 (1.1) |
| Behavior problems severity e, f |
23.7 (15) | 15.4 (13) | .64 (1.1) | 36.5 (23) | 14.2 (11) | .52 (1.7) |
| Behavior problems distress e, f |
10.8 (8.6) | 8.2 (7.4) | .82 (1.4) | 15.8 (11) | 9.1 (6.7) | .56 (2.3) |
males older (p<0.05) and caregivers older (p<0.05)
females lower (p<0.001)
CDR (Clinical Dementia Rating): Mean of a 5 point scale; 0= no dementia, 0.5 = questionable, 1 = mild, 2 = moderate, 3 = severe
Higher in females (p<0.01); higher in High CDR caregivers versus non-caregivers (p<0.01)
Higher in High CDR and Low CDR caregivers versus non-caregivers (p<0.001)
Higher in High CDR versus Low CDR caregivers (p<0.05)
Problem Behaviors and Role Overload
As would be expected, a main effect for CDR group indicated that caregivers caring for spouses with Alzheimer’s disease reported greater frequency (F2,122 = 44.7, p < .001), severity (F2,122 = 38.2, p < .001), and distress (F2,122 = 26.5, p < .001) of problem behaviors compared to non-caregivers. Post hoc analysis indicated that caregivers caring for spouses with moderate to severe dementia (High CDR) reported greater frequency (p < .01), severity (p < .01) and distress (p < .05) of problem behaviors compared to caregivers caring for spouses with questionable to mild dementia (Low CDR).
Compared to females, males reported lower amounts of role overload stress (F2,122 = 6.14, p < 0.01). As would be expected, caregivers reported more role overload stress than non-caregivers (p < 0.01); there were no significant differences in role overload stress between High CDR and Low CDR caregivers (Table 1).
Sleep
Sleep characteristics are presented in Table 2. A MANCOVA of all the sleep variables, with grouping according to gender and CDR group, and controlling for age and BMI showed a significant main effect for age (F = 2.56; p = .007), a significant main effect for gender (F = 1.92; p = .045), a marginally significant effect for CDR group (F = 1.58, p = 0.059), and a significant gender by CDR group interaction (F = 2.2; p = .021). Post-hoc univariate analyses of the gender by CDR interaction showed a significant gender by CDR group interaction for WASO (F1,122 = 4.7; p = .011) (Figure 1) and a borderline significance interaction for sleep efficiency (F1,122 = 2.4, p=0.09). For WASO, males caring for spouses with worse dementia (High CDR) spent significantly more time awake after sleep onset than females caring for spouses with worse dementia. Similarly, for sleep efficiency, males caring for spouses with worse dementia (High CDR) had poorer sleep efficiency than females caring for spouses with worse dementia, although this effect did not reach statistical significance. Post-hoc analysis also showed a main effect for gender for AHI [with males having worse sleep apnea than females (F1,122 = 10.2, p = 0.002)] and slow wave sleep [with females having more slow wave sleep than males (F1,122 = 10.8, p = 0.001)] (Table 2).
Table 2.
Sleep Characteristics of Caregivers and Non-Caregivers
| Males | Females | |||||
|---|---|---|---|---|---|---|
| (mean ± SD) | Caregivers High CDR |
Caregivers Low CDR |
Non- Caregivers |
Caregivers High CDR |
Caregivers Low CDR |
Non- Caregivers |
| Sleep Architecture | ||||||
| Stage 1 sleep (%) | 12.4 (7.9) | 12.4 (6.2) | 13.5 (4.1) | 9.43 (5.4) | 10.8 (7.7) | 10.9 (5.2) |
| Stage 2 sleep (%) | 66.5 (8.0) | 72.3 (8.6) | 64.5 (5.3) | 67.3 (8.1) | 66.4 (9.0) | 64.4 (6.6) |
| Slow wave sleep(%) a | .378 (.63) | .823 (1.3) | 1.09 (2.7) | 4.01 (6.8) | 3.66 (5.5) | 4.54 (4.6) |
| REM (%) | 20.7 (7.9) | 15.6 (7.7) | 20.4 (3.2) | 19.1 (7.2) | 18.4 (6.2) | 20.2 (7.0) |
| Sleep Efficiency | ||||||
| Sleep efficiency(%) b | .729 (.14) | .783 (.12) | .801 (.10) | .829 (.09) | .782 (.09) | .838 (.08) |
| Sleep onset latency (minutes) |
16.2 (16) | 7.6 (5.8) | 11.5 (10.4) | 24.9 (41) | 16.4 (22) | 17.2 (25) |
| Wake after Sleep Onset (minutes) c |
131.5 (64) | 89.1 (47) | 92.3 (48) | 77.4 (48) | 98.4 (45) | 76.3 (42) |
|
Sleep Disordered Breathing |
||||||
| AHI a | 15.6 (15) | 15.9 (13) | 15.2 (14) | 5.6 (5.2) | 8.5 (11) | 6.2 (5.6) |
| Mean O2 saturation (%) |
94.0 (2.0) | 94.5 (1.2) | 93.5 (2.0) | 94.3 (2.1) | 94.5 (1.6) | 94.8 (2.1) |
gender effect (p<0.01)
gender X CDR group interaction (p<0.10)
gender X CDR group interaction (p<0.02)
Figure 1.
Minutes spent awake after sleep onset (WASO) in spousal caregivers of Alzheimer’s disease patients with high (High CDR) and low (Low CDR) clinical dementia ratings (CDR) and non-caregiver controls. High CDR caregivers were those caring for moderate and severe dementia patients while Low CDR caregivers were those caring for questionable and mild dementia patients. Male caregivers caring for spouses with moderate and severe dementia (High CDR) spent more time awake after sleep onset than females caring for spouses with more severe dementia, and males caring for low dementia spouses and non-caregiving males (p<0.02).
Coagulation and Inflammation
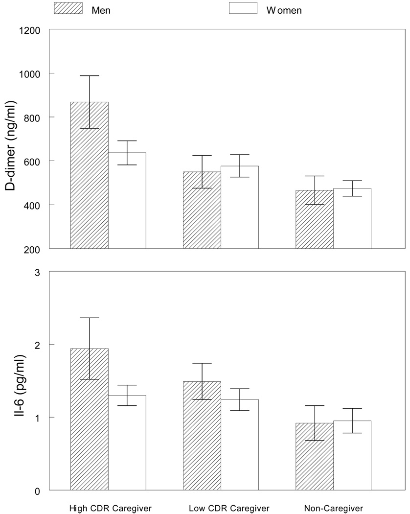
Separate gender by CDR group ANCOVA’s were conducted for D-dimer and IL-6 while controlling for age and BMI. A significant gender by CDR group interaction for D-dimer (F2,118 = 3.52; p = .034) indicated that male caregivers caring for spouses with worse dementia (High CDR) had higher D-dimer levels than females caring for spouses with worse dementia, who had D-dimer levels similar to caregivers of less dementia and to non-caregivers (Figure 2). A similar profile was seen for IL-6 levels, i.e., higher levels in male caregivers caring for spouses with worse dementia (High CDR), although the gender by CDR group interaction did not reach statistical significance (p = 0.14) (Figure 2). Post hoc analysis indicated that IL-6 levels were higher in male and female spouses caring for patients with worse dementia (High CDR) versus levels seen in non-caregiving controls (p<0.05).
Figure 2.
Circulating levels of D-dimer and IL-6 in spousal caregivers of Alzheimer’s disease patients with high (High CDR) and low (Low CDR) clinical dementia ratings (CDR) and non-caregiver controls. High CDR caregivers were those caring for moderate and severe dementia spouses while Low CDR caregivers were those caring for questionable and mild dementia spouses. D-dimer levels were elevated (p<0.04) in male caregivers caring for spouses with worse dementia (High CDR) than in females caring for spouses with worse dementia. IL-6 levels were elevated (p<0.05) in caregivers caring for spouses with more moderate to severe Alzheimer’s disease (High CDR) compared to non-caregivers.
Sleep and Coagulation
Given the significant CDR group by gender interaction for D-dimer, we examined the potential association of D-dimer with WASO. A multiple linear regression analysis with D-dimer as the dependent variable and age, BMI, gender, CDR, and WASO as the independent variables was significant (adjusted R2 = .270, p<0.001), with CDR rating (β= .441, p = .047) and WASO (β= .167, p = .046) independently predicting D-dimer levels.
Discussion
Males caring for a spouse with moderate to severe Alzheimer’s disease were awake approximately 54 minutes longer during the night than females caring for a spouse with moderate to severe Alzheimer’s disease, and 40 minutes longer than male caregivers for spouses with questionable to mild dementia and non-caregiving males. In addition, these same male caregivers showed 27% higher D-dimer levels than their female caregiving counterparts and approximately 42% higher levels than male caregivers for spouses with questionable to mild dementia and non-caregiving males. IL-6 levels were elevated 28% to 38% in the males caring for moderate to severe Alzheimer’s disease spouses compared to other caregivers, although these differences did not reach statistical significance. Consistent with the literature (Ancoli-Israel and Cooke, 2005), and within the participants’ age range of 55 to 88 years, we observed a significant main effect of age in our multivariate analysis of sleep variables. Our observation of poorer sleep in the male caregivers with worse dementia spouses was independent of the fact that the caregivers were approximately 6 years older than non-caregivers.
We have previously shown that as a group, older male and female caregivers have elevated circulating levels of D-dimer and IL-6 as compared to older males and females who are not caregivers, suggesting the possibility that older caregivers could be at risk for a more rapid transition to the frailty syndrome and its associated cardiovascular diseases (von Kanel et al., 2006). Our current findings provide more detail on these prior observations by suggesting that among older caregivers, males caring for spouses with more severe dementia are at greater risk for increased thrombosis and inflammation associated with cardiovascular diseases, and that this could be the result of having more disrupted sleep. Our multiple regression findings are consistent with this notion, showing an association of the disrupted sleep to elevated D-dimer levels. As described in the Introduction, elevations in D-dimer are associated with risk of incident and future heart disease (Lowe et al., 2001; Woodward et al., 2007). Other consequences of disturbed sleep in these male caregivers might include poorer functioning. Prior studies in elderly women show that increasing time spent awake after sleep onset is associated with worse physical functioning and impaired cognitive functioning (Blackwell et al., 2006; Goldman et al., 2007).
Why might males caring for a spouse with moderate to severe Alzheimer’s disease have more disrupted sleep than other caregivers? We examined several possibilities as explanations, including the caregiver’s sense of caregiving overload (i.e., chronic stress), as well as quantifying several aspects of relevant problem behaviors of the spouse with Alzheimer’s disease. Although we observed expected main effects of dementia severity and caregiver status on these measures, we did not observe interaction effects of caregiver gender and dementia status that might help explain our primary findings. That is, the males in this study caring for a spouse with worse dementia did not report disproportionately more stress overload or problem behaviors than any of the other caregiver groups. While as a group, and consistent with the literature (Matthews et al., 2004), males had lower role overload scores compared to females, male caregivers caring for spouses with worse dementia had somewhat lower role overload scores than female caregivers caring for spouses with worse dementia, although this difference was not statistically different. In addition, participants did not report any differences in taking sleep medication (data not shown). One possible explanation could be incongruence in expectations among male caregivers of their traditional caregiving roles, although we were not able to explore this possibility directly. A recent review of the literature supports the need for more and better quality research addressing gender differences in strain and coping responses of spousal dementia caregivers (Baker and Robertson, 2008).
A limitation of our study is that we obtained only one blood sample which is not ideal for some circulating inflammatory factors, including IL-6, which displays diurnal variability (Kanabrocki et al., 1999). All samples were, however, obtained within a reasonably small time window. Another potential limitation is that the sample size of our male caregivers, which reflected the roughly two-thirds fewer male than female caregivers, was relatively modest compared to our number of female caregivers. Reduced power as a result of this smaller sample size could have adversely affected some of our statistical analyses, including our ability to demonstrate statistical differences in the amount of slow wave sleep and IL-6 levels, which showed smaller and larger values respectively, in the males caring for spouses with more severe dementia.
In summary, these findings indicate that a spouse’s increasing severity of Alzheimer’s dementia has a greater adverse effect on the sleep of male caregivers than female caregivers, and that this more disturbed sleep might have consequences for increasing coagulability. In the elderly, less efficient sleep has been associated with worse physical functioning and impaired cognitive functioning. Disturbed sleep and hypercoagulability are risk factors for cardiovascular disease and other illnesses.
Acknowledgments
The authors are grateful to Susan Calleran, M.A., Carolyn Swenerton, R.N., and Sharyn Wilenski, R.N.
Funding/Support: Supported by awards 15301, 08415, 05131, and 23989 from the National Institute on Aging, HL57265, and award M01 RR00827 from the National Center for Research Resources.
Footnotes
The authors report no conflicts of interest.
References
- 2008 Alzheimer's disease facts and figures. Alzheimers Dement. 2008;4:110–133. doi: 10.1016/j.jalz.2008.02.005. [DOI] [PubMed] [Google Scholar]
- Ancoli-Israel S, Cooke JR. Prevalence and comorbidity of insomnia and effect on functioning in elderly populations. Journal of the American Geriatrics Society. 2005;53:S264–S271. doi: 10.1111/j.1532-5415.2005.53392.x. [DOI] [PubMed] [Google Scholar]
- Aso Y, Okumura K, Yoshida N, Tayama K, Kanda T, Kobayashi I, Takemura Y, Inukai T. Plasma interleukin-6 is associated with coagulation in poorly controlled patients with Type 2 diabetes. Diabet Med. 2003;20:930–934. doi: 10.1046/j.1464-5491.2003.01058.x. [DOI] [PubMed] [Google Scholar]
- Baker KL, Robertson N. Coping with caring for someone with dementia: Reviewing the literature about men. Aging & mental health. 2008;12:413–422. doi: 10.1080/13607860802224250. [DOI] [PubMed] [Google Scholar]
- Blackwell T, Yaffe K, Ancoli-Israel S, Schneider JL, Cauley JA, Hillier TA, Fink HA, Stone KL. Poor sleep is associated with impaired cognitive function in older women: the study of osteoporotic fractures. The journals of gerontology. 2006;61:405–410. doi: 10.1093/gerona/61.4.405. [DOI] [PubMed] [Google Scholar]
- Creese J, Bedard M, Brazil K, Chambers L. Sleep disturbances in spousal caregivers of individuals with Alzheimer's disease. International psychogeriatrics / IPA. 2008;20:149–161. doi: 10.1017/S1041610207005339. [DOI] [PubMed] [Google Scholar]
- Cummings JL. The Neuropsychiatric Inventory: assessing psychopathology in dementia patients. Neurology. 1997;48:S10–S16. doi: 10.1212/wnl.48.5_suppl_6.10s. [DOI] [PubMed] [Google Scholar]
- Elwood P, Hack M, Pickering J, Hughes J, Gallacher J. Sleep disturbance, stroke, and heart disease events: evidence from the Caerphilly cohort. Journal of epidemiology and community health. 2006;60:69–73. doi: 10.1136/jech.2005.039057. [DOI] [PMC free article] [PubMed] [Google Scholar]
- Friedman EM, Hayney MS, Love GD, Urry HL, Rosenkranz MA, Davidson RJ, Singer BH, Ryff CD. Social relationships, sleep quality, and interleukin-6 in aging women. Proceedings of the National Academy of Sciences of the United States of America. 2005;102:18757–18762. doi: 10.1073/pnas.0509281102. [DOI] [PMC free article] [PubMed] [Google Scholar]
- Goldman SE, Stone KL, Ancoli-Israel S, Blackwell T, Ewing SK, Boudreau R, Cauley JA, Hall M, Matthews KA, Newman AB. Poor sleep is associated with poorer physical performance and greater functional limitations in older women. Sleep. 2007;30:1317–1324. doi: 10.1093/sleep/30.10.1317. [DOI] [PMC free article] [PubMed] [Google Scholar]
- Hughes CP, Berg L, Danziger WL, Coben LA, Martin RL. A new clinical scale for the staging of dementia. Br J Psychiatry. 1982;140:566–572. doi: 10.1192/bjp.140.6.566. [DOI] [PubMed] [Google Scholar]
- Kanabrocki EL, Sothern RB, Messmore HL, Roitman-Johnson B, McCormick JB, Dawson S, Bremner FW, Third JL, Nemchausky BA, Shirazi P, Scheving LE. Circadian interrelationships among levels of plasma fibrinogen, blood platelets, and serum interleukin-6. Clin Appl Thromb Hemost. 1999;5:37–42. doi: 10.1177/107602969900500108. [DOI] [PubMed] [Google Scholar]
- Kaufer DI, Cummings JL, Christine D, Bray T, Castellon S, Masterman D, MacMillan A, Ketchel P, DeKosky ST. Assessing the impact of neuropsychiatric symptoms in Alzheimer's disease: the Neuropsychiatric Inventory Caregiver Distress Scale. Journal of the American Geriatrics Society. 1998;46:210–215. doi: 10.1111/j.1532-5415.1998.tb02542.x. [DOI] [PubMed] [Google Scholar]
- Kerr R, Stirling D, Ludlam CA. Interleukin 6 and haemostasis. British journal of haematology. 2001;115:3–12. doi: 10.1046/j.1365-2141.2001.03061.x. [DOI] [PubMed] [Google Scholar]
- Kochar J, Fredman L, Stone KL, Cauley JA. Sleep problems in elderly women caregivers depend on the level of depressive symptoms: results of the Caregiver--Study of Osteoporotic Fractures. Journal of the American Geriatrics Society. 2007;55:2003–2009. doi: 10.1111/j.1532-5415.2007.01434.x. [DOI] [PubMed] [Google Scholar]
- Lowe GD, Rumley A, Sweetnam PM, Yarnell JW, Rumley J. Fibrin D-dimer, markers of coagulation activation and the risk of major ischaemic heart disease in the caerphilly study. Thrombosis and haemostasis. 2001;86:822–827. [PubMed] [Google Scholar]
- Marcucci R, Gori AM, Giannotti F, Baldi M, Verdiani V, Del Pace S, Nozzoli C, Abbate R. Markers of hypercoagulability and inflammation predict mortality in patients with heart failure. J Thromb Haemost. 2006;4:1017–1022. doi: 10.1111/j.1538-7836.2006.01916.x. [DOI] [PubMed] [Google Scholar]
- Matthews JT, Dunbar-Jacob J, Sereika S, Schulz R, McDowell BJ. Preventive health practices: comparison of family caregivers 50 and older. Journal of gerontological nursing. 2004;30:46–54. doi: 10.3928/0098-9134-20040201-09. [DOI] [PubMed] [Google Scholar]
- McCulla MM, Coats M, Van Fleet N, Duchek J, Grant E, Morris JC. Reliability of clinical nurse specialists in the staging of dementia. Archives of neurology. 1989;46:1210–1211. doi: 10.1001/archneur.1989.00520470070029. [DOI] [PubMed] [Google Scholar]
- McCurry SM, Logsdon RG, Teri L, Vitiello MV. Sleep disturbances in caregivers of persons with dementia: contributing factors and treatment implications. Sleep medicine reviews. 2007;11:143–153. doi: 10.1016/j.smrv.2006.09.002. [DOI] [PMC free article] [PubMed] [Google Scholar]
- McCurry SM, Vitiello MV, Gibbons LE, Logsdon RG, Teri L. Factors associated with caregiver reports of sleep disturbances in persons with dementia. Am J Geriatr Psychiatry. 2006;14:112–120. doi: 10.1097/01.JGP.0000192499.25940.da. [DOI] [PubMed] [Google Scholar]
- McKibbin CL, Ancoli-Israel S, Dimsdale J, Archuleta C, von Kanel R, Mills P, Patterson TL, Grant I. Sleep in spousal caregivers of people with Alzheimer's disease. Sleep. 2005;28:1245–1250. doi: 10.1093/sleep/28.10.1245. [DOI] [PubMed] [Google Scholar]
- Mills PJ, von Kanel R, Norman D, Natarajan L, Ziegler MG, Dimsdale JE. Inflammation and sleep in healthy individuals. Sleep. 2007;30:729–735. doi: 10.1093/sleep/30.6.729. [DOI] [PMC free article] [PubMed] [Google Scholar]
- Pearlin LI, Mullan JT, Semple SJ, Skaff MM. Caregiving and the stress process: an overview of concepts and their measures. The Gerontologist. 1990;30:583–594. doi: 10.1093/geront/30.5.583. [DOI] [PubMed] [Google Scholar]
- Phillips B, Mannino DM. Do insomnia complaints cause hypertension or cardiovascular disease? J Clin Sleep Med. 2007;3:489–494. [PMC free article] [PubMed] [Google Scholar]
- Rechtshaffen A, Kales A. A manual of standardized terminology, techniques, and scoring system for sleep stages of human subjects. Washington, DC: US Government Printing Office; 1968. Publication No. 204. [Google Scholar]
- Robson SC, Shephard EG, Kirsch RE. Fibrin degradation product D-dimer induces the synthesis and release of biologically active IL-1 beta, IL-6 and plasminogen activator inhibitors from monocytes in vitro. British journal of haematology. 1994;86:322–326. doi: 10.1111/j.1365-2141.1994.tb04733.x. [DOI] [PubMed] [Google Scholar]
- Rowe MA, McCrae CS, Campbell JM, Benito AP, Cheng J. Sleep pattern differences between older adult dementia caregivers and older adult noncaregivers using objective and subjective measures. J Clin Sleep Med. 2008;4:362–369. [PMC free article] [PubMed] [Google Scholar]
- Scanlan JM, Vitaliano PP, Ochs H, Savage MV, Borson S. CD4 and CD8 counts are associated with interactions of gender and psychosocial stress. Psychosomatic medicine. 1998;60:644–653. doi: 10.1097/00006842-199809000-00023. [DOI] [PubMed] [Google Scholar]
- Schulz R, Beach SR. Caregiving as a risk factor for mortality: the Caregiver Health Effects Study. Jama. 1999;282:2215–2219. doi: 10.1001/jama.282.23.2215. [DOI] [PubMed] [Google Scholar]
- Shanks-McElroy HA, Strobino J. Male caregivers of spouses with Alzheimer's disease: risk factors and health status. American journal of Alzheimer's disease and other dementias. 2001;16:167–175. doi: 10.1177/153331750101600308. [DOI] [PMC free article] [PubMed] [Google Scholar]
- Vgontzas AN, Zoumakis E, Bixler EO, Lin HM, Follett H, Kales A, Chrousos GP. Adverse effects of modest sleep restriction on sleepiness, performance, and inflammatory cytokines. The Journal of clinical endocrinology and metabolism. 2004;89:2119–2126. doi: 10.1210/jc.2003-031562. [DOI] [PubMed] [Google Scholar]
- Vitaliano PP, Russo J, Niaura R. Plasma lipids and their relationships with psychosocial factors in older adults. The journals of gerontology. 1995;50:P18–P24. doi: 10.1093/geronb/50b.1.p18. [DOI] [PubMed] [Google Scholar]
- Vitaliano PP, Scanlan JM, Zhang J, Savage MV, Hirsch IB, Siegler IC. A path model of chronic stress, the metabolic syndrome, and coronary heart disease. Psychosomatic medicine. 2002;64:418–435. doi: 10.1097/00006842-200205000-00006. [DOI] [PubMed] [Google Scholar]
- von Kanel R, Dimsdale JE, Mills PJ, Ancoli-Israel S, Patterson TL, Mausbach BT, Grant I. Effect of Alzheimer caregiving stress and age on frailty markers interleukin-6, C-reactive protein, and D-dimer. The journals of gerontology. 2006;61:963–969. doi: 10.1093/gerona/61.9.963. [DOI] [PubMed] [Google Scholar]
- von Kanel R, Kudielka BM, Hanebuth D, Preckel D, Fischer JE. Different contribution of interleukin-6 and cortisol activity to total plasma fibrin concentration and to acute mental stress-induced fibrin formation. Clin Sci (Lond) 2005;109:61–67. doi: 10.1042/CS20040359. [DOI] [PubMed] [Google Scholar]
- von Kanel R, Loredo JS, Ancoli-Israel S, Mills PJ, Natarajan L, Dimsdale JE. Association between polysomnographic measures of disrupted sleep and prothrombotic factors. Chest. 2007;131:733–739. doi: 10.1378/chest.06-2006. [DOI] [PubMed] [Google Scholar]
- Wannamethee SG, Whincup PH, Rumley A, Lowe GD. Inter-relationships of interleukin-6, cardiovascular risk factors and the metabolic syndrome among older men. J Thromb Haemost. 2007;5:1637–1643. doi: 10.1111/j.1538-7836.2007.02643.x. [DOI] [PubMed] [Google Scholar]
- Willette-Murphy K, Todero C, Yeaworth R. Mental health and sleep of older wife caregivers for spouses with Alzheimer's disease and related disorders. Issues in mental health nursing. 2006;27:837–852. doi: 10.1080/01612840600840711. [DOI] [PubMed] [Google Scholar]
- Woodward M, Rumley A, Welsh P, MacMahon S, Lowe G. A comparison of the associations between seven hemostatic or inflammatory variables and coronary heart disease. J Thromb Haemost. 2007;5:1795–1800. doi: 10.1111/j.1538-7836.2007.02677.x. [DOI] [PubMed] [Google Scholar]


