Abstract
Accumulating evidence suggests that cyclooxygenase-2 (COX-2) and prostaglandin E2 (PGE2) may play an important role in colon carcinogenesis. Thus, blockage of this pathway may be a suitable strategy for colon cancer chemoprevention. Recent clinical studies suggest that COX-2 inhibitors cause adverse cardiovascular effects due to prostacyclin (PGI2) inhibition. To test our hypothesis that inhibition of PGE2 signaling through E-prostanoid (EP) receptors may offer a safer cardiovascular profile than COX-2 inhibition, we analyzed expression of 6-keto PGF1α, a hydrated form of PGI2 and PGI2 synthase, which was stimulated with cytokines in human umbilical vein endothelial cells (HUVECs) treated with the EP1 receptor antagonist ONO-8711 or the COX-2 inhibitor celecoxib. ONO-8711 did not inhibit both 6-keto PGF1α production and PGIS expression, whereas celecoxib did in HUVECs. ONO-8711 also inhibited cytokine-induced tissue factor expression in HUVECs. These results suggest that ONO-8711 may be a safer chemopreventive agent with respect to cardiovascular events.
Keywords: EP1 receptor antagonist, PGE2, COX-2, colon cancer chemoprevention, PGIS, PGI2, tissue factor, HUVECs
1. Introduction
Cancer continues to be a major health concern in developed nations despite aggressive screening guidelines for early detection and detailed knowledge of critical events underlying cancer pathogenesis. Colorectal cancer is the 2nd leading cause of all cancer-related deaths, annually causing ~56,000 deaths in the US alone [1]. Cancer chemoprevention—pharmacological intervention to arrest or reverse cancer development—is considered one of the most effective and economic strategies to reduce colorectal cancer prevalence and mortality [2]. The arachidonic acid cascade, especially cyclooxygenases (COXs), which are rate-limiting enzymes of prostaglandin (PG) synthesis, and PGE2, a major cascade metabolite, have been identified as potential targets for colorectal cancer chemoprevention [3]. Inhibition of the inducible form of COX, COX-2, reduces colon carcinogenesis [4] and exogenous PGE2 enhances colon carcinogenesis [5]. However, recent studies suggest that selective COX-2 inhibitors may increase the risk of myocardial infarction and atherothrombotic events [6, 7].
PGE2 exerts physiological functions by binding to its E-prostanoid (EP) receptor subtypes 1-4 in target organs. Our recent results demonstrate the following: a) EP1 receptor knockout (KO) mice have significantly fewer azoxymethane (AOM)-induced preneoplastic lesions, aberrant crypt foci (ACF) [8], and colon cancer development [9]; and b) ONO-8711, a selective EP1 receptor antagonist, significantly reduces AOM-induced ACF formation and intestinal polyp formation in ApcMin (Min) mice [8]. These results lead us to hypothesize that ONO-8711 may be a promising colon cancer chemopreventive agent.
In addition to the colon, ONO-8711 inhibits tumor development in several other sites. For example, ONO-8711 inhibits breast cancer induced by 2-amino-1-methyl-6-phenylimidazo[4,5-b]pyridine in female rats [10] and tongue cancer induced by 4-nitroquinoline 1-oxide in male rats [11]. Han et al. also reported that ONO-8711 effectively inhibits PGE2-induced epidermal growth factor receptor (EGFR) phosphorylation followed by enhanced invasiveness of human hepatocellular carcinoma cells [12]. These findings suggest that an EP1 receptor antagonist may be an excellent chemopreventive agent for multiple organs.
In terms of vascular function and thrombosis, the most relevant PGs are prostacyclin (PGI2) and thromboxane A2 (TxA2). Unwanted vascular side effects caused by COX-2 inhibitors are due to a reduction in antithrombotic product, PGI2, which is not accompanied by changes in the prothrombotic product, TxA2. PGE2 signaling through the EP1 receptor is ideally independent to PGI2 synthesis. Therefore, we hypothesize that inhibition of PGE2 signaling through the EP1 receptor may not affect PGI2 production in endothelial cells. To test our hypothesis, we analyzed effects of ONO-8711 on production of 6-keto PGF1α, a hydrated form of PGI2, and PGI2 synthase (PGIS) expression and compared these results to the effects of the selective COX-2 inhibitor, celecoxib, in human umbilical vein endothelial cells (HUVECs). We also analyzed whether PGE2 signaling through the EP1 receptor is involved in expression of tissue factor (TF), a primary regulator of blood coagulation. Our description of the antithrombotic function of an EP1 antagonist may represent a safer chemopreventive agent regarding cardiovascular events.
2. Materials and methods
2.1. Cells culture and materials
HUVECs were purchased from the American Type Culture Collection (ATCC, Manassas, VA) and maintained in an endothelial media system (EGM-2, Cambrex, East Rutherford, NJ) at 37 ° in a 5% CO2 incubator. Human recombinant tumor necrosis factor-α (TNF) and interleukin-1β (IL-1) were purchased from PeproTech (Rocky Hill, NJ). ONO-8711, 6-[(2S, 3S)-3-(4-chloro-2-methylphenylsulfonyl-amnomethyl)-bicyclo(2.2.2.)octan-2-yl]-5Z-hexenoic acid was chemically synthesized at Ono Pharmaceutical Co. (Osaka, Japan). Celecoxib is purchased from LKT Laboratories (St. Paul, MN). Peroxisome proliferator-activated receptor (PPAR) response element (PPRE)3-tk-luciferase reporter vector in which luciferase gene expression is driven by three tandem repeats of the PPRE from the acyl-CoA oxidase gene was kindly provided from Dr. Raymond N. DuBois, UT, MD Anderson Cancer Center [13].
2.2. EP receptors expression
Expression of EP receptors in HUVECs was analyzed by reverse transcription-polymerase chain reaction (RT-PCR). RNA was extracted from cell lysates using Trizol reagent (Invitrogen, Carlsbad, CA) per the manufacturer's instructions. cDNA was synthesized from these RNA using M-MLV reverse transcriptase (Promega, Madison, WI) and oligo d(T)12-16. Primers for β-actin and EP receptor genes are listed in the previous study [14]. PCR was carried out with PCR Master mix (Promega), according to the manufacturer's instructions. PCR amplifications were performed in a thermocycler GeneAmp PCR System 9700; Perkin-Elmer Applied Biosystems, Foster City, CA) with 40 cycles of 95 °C for 30 seconds, 60 °C for 30 seconds, and 72 °C for one minute using specific primer sets. PCR products were then analyzed by electrophoresis on 1.5% agarose gel.
2.3. PPAR transcriptional activity
HUVECs were transiently co-transfected with 0.3 μg PPRE3-tk-luciferase reporter vector and pSV-β-galactosidase control vector as an internal control using Lipofectamine 2000 (Invitrogen) for 24 h. Then cells were incubated with PGE2 and ONO-8711 at different concentrations for 4 h. The lysates were assayed for luciferase and β-galactosidase activities with the Bright-Glo luciferase assay system (Promega) and the All-in-One β-Galactosidase Assay Reagent (Pierce Biotechnology, Inc., Philadelphia, PA) using a luminometer and a spectrophotometer, respectively. Luciferase activity was normalized according to β-galactosidase activity, and the results are expressed as relative luciferase activity.
2.4. 6-keto PGF1α and PGE2 measurements
Because PGI2 is non-enzymatically hydrated to 6-keto PGF1α (t1/2=2–3 min), PGI2 was measured with a 6-keto PGF1α enzyme immunoassay (EIA) kit (Cayman Chemical Co., Ann Arbor, MI). PGE2 was also measured by PGE2 EIA kit (Cayman Chemical Co.). The culture supernatants of HUVECs were collected after they were incubated with vehicle, TNF (5 nM), or IL-1 (2.5 ng/ml) and celecoxib or ONO-8711 at the indicated doses in growth media for the indicated time points and assayed for 6-keto PGF1α and PGE2 production using a 6-keto PGF1α EIA kit and PGE2 EIA kit, respectively, according to the manufacturer's instructions. The results are expressed as picograms per milliliter, calculated according to the 6-keto PGF1α and PGE2 standard curve. All assays were performed in triplicate.
2.5. Real-time RT-PCR
RNA was extracted from cell lysates and cDNA was synthesized from RNA by the methods described above. Real-time PCR was performed on an iCycler iQ Multicolor real-time PCR Detection System (Bio-Rad Laboratories, Inc., Hercules, CA). The standard real-time PCR reaction volume was 25 μl, including 12.5 μl iQ SYBR Green Supermix (BioRad), 1 μl forward primer and 1 μl reverse primer, and 1 μl cDNA. The primers for PGIS are following: forward primer, 5′-AGGAGAAGCACGGTGACATC-3′; reverse primer, 5′-GCAGCGCCTCAATTCCGTAA-3′ and the primers for actin are listed in the previous study [14]. The primers for tissue factor (TF) are following: forward primer, 5′-GTGATTCCCTCCCGAACAGTT-3′; reverse primer, 5′-CTGGCCCATACACTCTACCG-3′ [15]. Cycles (n=40) consisted of a 10-sec melt at 95 °C, followed by 1 min annealing/extension at 60 °C. The final step was 1 min incubation at 72 °C. All reactions were performed in triplicate. Threshold cycle (CT) analysis for all samples was set at 0.15 relative fluorescence units. The data were analyzed using Q-Gene software [16] and expressed as mean normalized expression (MNE). MNE is directly promotional to the amount of RNA of the target gene (PGIS or TF) relative to the amount of RNA of the reference gene actin.
2.4. Data analysis
Data represent the mean ± SD. Results of 6-keto PGF1α and PGE2 productions were analyzed by one-way ANOVA, and Dunnett's test was applied for multiple-comparison testing to compare to control. Results of PPAR transcriptional activity (relative luciferase activity), PGIS and TF MNE were analyzed by one-way ANOVA and Bonferroni's multiple comparison test among groups. Differences were considered statistically significant at p<0.05.
3. Results
3.1. Effects of cytokines on PG production in HUVECs (Fig 1)
Fig. 1.
Levels of 6-keto PGF1α and PGE2 induced by TNF (A & C) and IL-1 (B & D) in HUVECs, respectively (*p<0.05 and **p<0.01 vs. 0 h). PCR results (E) show EP1 and EP4 expression in HUVECs.
We first confirmed that cytokines stimulated HUVECs to release PGs, 6-keto PGF1α and PGE2. HUVECs were incubated with TNF at 5 nM or IL-1 at 2.5 ng/ml for 4, 12, and 24 h and their media were analyzed for PG production with the EIA method. Figure 1 summarizes the results of 6-keto PGF1α and PGE2 stimulated by cytokines in HUVECs. Data show that 6-keto PGF1α was significantly increased in HUVECs incubated with TNF for 12 and 24 h (p<0.05 and p<0.01, respectively) in Fig. 1A. Fig. 1B summarizes 6-keto PGF1α production in HUVECs incubated with IL-1. Levels of 6-keto PGF1α were significantly increased in HUVECs incubated with IL-1 for 4, 12, and 24 h (p<0.01). Figs. 1C and D summarize PGE2 production in HUVECs incubated with cytokines, which can activate HUVECs to release PGE2. Incubation of HUVECs for more than 12 h with cytokines significantly induces PGE2 production in media. With TNF stimulation, levels of PGE2 were significantly increased in HUVECs for 12 and 24 h (p<0.05 and p<0.01, respectively) in Fig. 1C. With IL-1 stimulation, levels of PGE2 were increased in HUVECs for 12 and 24 h (p<0.01) in Fig. 1D. These results confirm that cytokines stimulate HUVECs to release PGE2 and 6-keto PGF1α. Next, we confirmed expression of EP receptors in HUVECs using PCR. EP1 and EP4 receptors are clearly expressed in HUVECs (Fig. 1E).
3.2. ONO-8711 does not inhibit PGE2 production induced by cytokines (Fig. 2)
Fig. 2.
Effects of celecoxib (A& B) and ONO-8711 (C & D) on PGE2 production induced by TNF (A & C) and IL-1 (B & D) in HUVECs (*p<0.05, **p<0.01, and ***P<0.001 vs. 0 h)
We first confirmed that celecoxib reduced PGE2 production induced by cytokines in HUVECs. We measured PGE2 production in HUVECs incubated with TNF (Fig. 2A) at 5 nM or IL-1 (Fig. 2B) at 2.5 ng/ml and celecoxib at different concentrations (1 nM–10 μM) for 24 h. As expected, celecoxib (10 nM or greater) significantly reduced PGE2 production induced by TNF and IL-1 in HUVECs. We next investigated the effects of ONO-8711 on PGE2 production induced by cytokines in HUVECs (Figs. 2C & D). Levels of PGE2 production induced by TNF (Fig. 2C) or IL-1 (Fig. 2D) in HUVECs incubated with ONO-8711 (1 nM–10 μM) for 24 h were analyzed. ONO-8711 did not reduce PGE2 production induced by cytokines in HUVECs. Interestingly, incubation with ONO-8711 significantly increased PGE2 production at 10 μM with TNF treatment (p<0.05). These results confirm that celecoxib significantly reduces cytokine-stimulated PGE2 production in HUVECs. As expected, ONO-8711 does not reduce cytokine-stimulated PGE2 production.
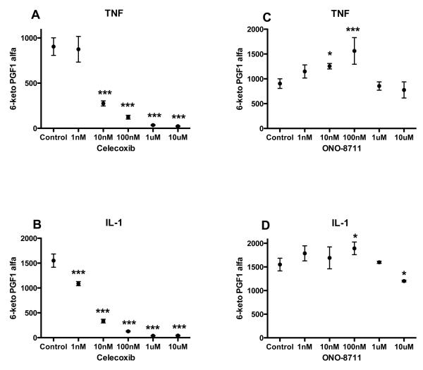
3.3. ONO-8711 does not inhibit 6-keto PGF1α production (Fig. 3)
Fig. 3.
Effects of celecoxib (A & B) and ONO-8711 (C & D) on 6-keto PGF1α production induced by TNF (A & C) and IL-1 (B & D) in HUVECs (*p<0.05 and ***p<0.001 vs. control)
We investigated the effect of ONO-8711 or celecoxib on 6-keto PGF1α production induced by cytokines in HUVECs. As shown in Fig. 3, incubation with celecoxib for 24 h at concentrations greater than 10 nM significantly reduced 6-keto PGF1α production induced by TNF (Fig. 3A, p<0.01). IL-1-induced 6-keto PGF1α production was also significantly reduced by incubation with celecoxib for 24 h at concentrations greater than 1 nM (Fig. 3B, p<0.01). Incubation with ONO-8711 did not reduce 6-keto PGF1α production except at concentrations of 10 μM with IL-1 stimulation (Fig. 3C & D). Interestingly, incubation with ONO-8711 (10 or 100 nM) significantly upregulated 6-keto PGF1α production induced by TNF stimulation (p<0.05 and p<0.01, respectively) in Fig. 3C and incubation with ONO-8711 at 100 nM significantly increased 6-keto PGF1α production induced by IL-1 stimulation (p<0.01) in Fig. 3D. These results clearly suggest that ONO-8711 does not reduce 6-keto PGF1α production in HUVECs, but that celecoxib does significantly reduce 6-keto PGF1α production.
3.4. ONO-8711 does not affect PGI synthase (PGIS) mRNA levels (Fig. 4)
Fig. 4.
Levels of PGIS expression in HUVEC incubation with cytokines (TNF at 5 nM and IL-1 at 2.5 ng/ml) and celecoxib or ONO-8711 at 100 nM for 24 h using real-time RT-PCR (*p<0.001 and **p<0.01).
To elucidate the underlying mechanism by which celecoxib inhibits 6-keto PGF1α production induced by cytokines in HUVECs, we analyzed PGIS expression levels in cell lysates using real-time RT-PCR. Cells were incubated with celecoxib or ONO-8711 at 0 or 100 nM in the presence or absence of cytokines (TNF at 5 nM and IL-1 at 2.5 ng/ml) for 24 h. The results are summarized in Fig. 4. Cytokines including TNF or IL-1 significantly induced PGIS expression in HUVECs (p<0.001). As expected, celecoxib treatment significantly reduced PGIS expression induced by cytokines in HUVECs (P<0.001). Interestingly, ONO-8711 treatment did not inhibit PGIS expression induced by cytokines in HUVECs. Levels of PGIS in cells treated with ONO-8711 induced by cytokines are significantly higher than those treated with celecoxib (p<0.01 for TNF and p<0.001 for IL-1 treatment). These results suggest that ONO-8711 does not affect PGIS expression in HUVECs whereas celecoxib inhibits cytokine-induced PGIS expression.
3.5. ONO-8711 reduces PGE2-activated PPRE (Fig. 5)
Fig. 5.
PGE2 activates PPRE in HUVECs (A). ONO-8711 blocks PGE2-activated PPRE in HUVECs (B).
It has been reported that PPAR plays a role in PGIS activation, resulting to PGI production in endothelial cells [15]. We first analyzed that PGE2 activates PPRE (Fig. 5A). PGE2 activated PPRE in a dose-dependent manner in HUVECs. Interestingly, ONO-8711 at 100 nM inhibited PGE2-induced PPRE activity in a dose-dependent manner (Fig. 5B). These results suggest that PGE2 activates PPAR expression through the EP1 receptor in HUVECs, and that ONO-8711 has inhibitory effects on PGE2-activated PPAR expression in HUVECs.
3.6. ONO-8711 reduces cytokine-stimulated TF (Fig. 6)
Fig. 6.
Effects of celecoxib and ONO-8711 at 100 nM for 24 h incubation on TF expression induced by cytokines (TNF at 5 nM and IL-1 at 2.5 ng/ml) in HUVECs (**P<0.01 and ***P<0.001 vs. control). ONO-8711 treatment significantly reduced IL-1-induced TF expression (***P<0.001).
Cytokines (TNF and IL-1) induced TF expression in HUVECs about 5- and 11-fold compared to basal levels, respectively (Fig. 6). TF expression levels with celecoxib treatment are higher than cytokine treatment alone, but this difference was not significant. ONO-8711 treatment (100 nM) reduced TNF-induced TF expression by 45% compared with stimulation with TNF alone. It is noteworthy that ONO-8711 significantly decreased IL-1-induced TF expression by 92% (P<0.001). These results suggest that the EP1 receptor pathway may be involved in thrombotic function by TF expression in HUVECs.
4. Discussion
The present study shows that ONO-8711 has no effects on PGI2 production and PGIS expression, whereas celecoxib reduces PGI2 production through a decrease in PGIS expression induced by cytokines in HUVECs. We also show that ONO-8711 decreases cytokine-induced TF expression in HUVECs.
We show that ONO-8711, an EP1 receptor antagonist, reduced neither PGI2 production nor PGIS expression in HUVECs and we also confirm that celecoxib, a selective COX-2 inhibitor, significantly reduced PGI2 production as well as PGE2 production induced by cytokines in HUVECs. The main providers of PGs in the cardiovascular system are platelets, which express only COX-1 and endothelial cells, which express both COX-1 and COX-2. TXA2 and PGI2 are functionally antagonistic prostanoids that are generated by the sequential metabolism of arachidonic acid by COX and specific synthases, TXA2 synthase and PGIS. The data in this study are consistent with previous results indicating that celecoxib significantly reduced PGI2 production through decreased PGIS expression in HUVECs. TXA2 is generated predominantly by platelets and stimulates platelet aggregation and vasoconstriction, whereas PGI2 is produced predominantly by the endothelium and inhibits platelet aggregation and vasoconstriction [17]. Thus, COX-2 inhibitors selectively affect endothelial cells to suppress PGI2 production resulting in the predominance of TXA2 in the vascular system [18], which may give rise to thrombogenic events. We show that incubation with ONO-8711 inhibited neither PGI2 production nor PGIS expression in HUVECs. Also, we used RT-PCR and PGE2-activated-PPRE luciferase activity to show that EP1 receptor expression in HUVECs was blocked by ONO-8711, confirming that ONO-8711 blocks PGE2 signaling through the EP1 receptor in HUVECs. These results suggest that PGE2 signaling through the EP1 receptor is not involved in PGIS expression. Interestingly, with TNF stimulation, ONO-8711 (10 μM) enhanced PGE2 production (Fig. 4A). This may be caused by a feedback activation of COX enzymes for reduction of functional PGE2 in the cells. Also, ONO-8711 enhanced PGI2 production by increasing PGIS expression induced by cytokines in HUVECs. These results suggest that EP1 receptor antagonists including ONO-8711 are safer than COX-2 inhibitors with respect to cardiovascular risks.
We show that ONO-8711 reduced cytokine-induced TF expression in HUVECs whereas celecoxib did not alter TF expression. TF, the key enzyme for initiation of the coagulation cascade, plays a pivotal role in thrombus formation and atherosclerotic vascular diseases [19]. Two reports have been published regarding the effects of TF expression in celecoxib treatment. One study indicated that celecoxib inhibited TNF-induced TF expression through inhibition of c-Jun terminal NH2 kinase (JNK) in human aortic endothelial cells [20]. In contrast, neither rofecoxib nor NS-398 altered TNF-induced TF expression. The other study indicated that celecoxib enhanced lipopolysaccharide (LPS)-induced TF expression in HUVECs through the PPARδ pathway [15]. These two reports employed different cell systems with differing stimulation, such as human aortic endothelial cells vs. HUVECs and TNF and LPS. In the current study, we employed TNF stimulation in HUVECs. TNF is a potent inducer of TF expression and both are expressed in atherosclerotic plaques [19, 21-23]. In our experiments, celecoxib did not alter TF expression induced by TNF in HUVECs. Interestingly, celecoxib enhanced IL-1-induced TF expression in HUVECs, but this did not reach significance. Therefore, our results are consistent with the previous study using HUVECs. We also confirmed that ONO-8711 inhibited PGE2-activated PPRE in HUVECs, suggesting that PGE2 signaling through the EP1 receptor is involved in TF expression in HUVECs. In addition, ONO-8711 can block not only the EP1 receptor at 1.7 nM (Ki) but also the TP receptor (receptor of TxA2) at 7.6 nM (Ki), indicating that ONO-8711 may block the TP receptor to prevent platelet aggregation, explaining the safer cardiovascular profile. Certainly, in vivo animal models to investigate the role of EP1 receptor antagonists on cardiovascular function are still warranted as arterial thrombosis is dependent on a ratio between the COX-1-dependent generation of TXA2 in platelets and the COX-2-dependent generation of PGI2 in the endothelium [24].
In conclusion, the present study shows that ONO-8711 did not inhibit PGE2 and 6-keto PGF1α production but that celecoxib did. In addition, ONO-8711 inhibited cytokine-induced TF expression in HUVECs. These results suggest that ONO-8711 may be a promising candidate for cancer chemoprevention because of its safer cardiovascular profile.
Acknowledgements
This study was supported by grants from the NIH (R01CA124687) and a seed grant from the Hollings Cancer Center (HCC), MUSC. We thank the Animal Pathobiology Core of the SC COBRE in Lipidomics and Pathobiology (P20RR17677) and Animal Carcinogenesis Core in the HCC, MUSC.
Abbreviations
- EP
prostanoid E receptor
- cyclooxygenase
COX
- prostaglandin
PG
- prostacyclin
PGI2
- HUVECs
human umbilical vein endothelial cells
- PGIS
PGI>2 synthase
- ACF
aberrant crypt foci
- AOM
azoxymethane
- TxA2
thromboxane A2
- TNF
tumor necrosis factor-α
- IL-1
interleukin-1β
- EIA
enzyme immunoassay
- RT-PCR
reverse transcription-polymerase chain reaction
- MNE
mean normalized expression.
Footnotes
Publisher's Disclaimer: This is a PDF file of an unedited manuscript that has been accepted for publication. As a service to our customers we are providing this early version of the manuscript. The manuscript will undergo copyediting, typesetting, and review of the resulting proof before it is published in its final citable form. Please note that during the production process errors may be discovered which could affect the content, and all legal disclaimers that apply to the journal pertain.
References
- 1.Jemal A, Siegel R, Ward E, et al. Cancer statistics, 2006. CA: a cancer journal for clinicians. 2006;56(2):106–30. doi: 10.3322/canjclin.56.2.106. [DOI] [PubMed] [Google Scholar]
- 2.Prevention of cancer in the next millennium: Report of the Chemoprevention Working Group to the American Association for Cancer Research. Cancer research. 1999;59(19):4743–58. [PubMed] [Google Scholar]
- 3.Gupta RA, Dubois RN. Colorectal cancer prevention and treatment by inhibition of cyclooxygenase-2. Nature reviews. 2001;1(1):11–21. doi: 10.1038/35094017. [DOI] [PubMed] [Google Scholar]
- 4.Kawamori T, Rao CV, Seibert K, Reddy BS. Chemopreventive activity of celecoxib, a specific cyclooxygenase-2 inhibitor, against colon carcinogenesis. Cancer research. 1998;58(3):409–12. [PubMed] [Google Scholar]
- 5.Kawamori T, Uchiya N, Sugimura T, Wakabayashi K. Enhancement of colon carcinogenesis by prostaglandin E2 administration. Carcinogenesis. 2003;24(5):985–90. doi: 10.1093/carcin/bgg033. [DOI] [PubMed] [Google Scholar]
- 6.Solomon SD, McMurray JJ, Pfeffer MA, et al. Cardiovascular risk associated with celecoxib in a clinical trial for colorectal adenoma prevention. The New England journal of medicine. 2005;352(11):1071–80. doi: 10.1056/NEJMoa050405. [DOI] [PubMed] [Google Scholar]
- 7.Bresalier RS, Sandler RS, Quan H, et al. Cardiovascular events associated with rofecoxib in a colorectal adenoma chemoprevention trial. The New England journal of medicine. 2005;352(11):1092–102. doi: 10.1056/NEJMoa050493. [DOI] [PubMed] [Google Scholar]
- 8.Watanabe K, Kawamori T, Nakatsugi S, et al. Role of the prostaglandin E receptor subtype EP1 in colon carcinogenesis. Cancer research. 1999;59(20):5093–6. [PubMed] [Google Scholar]
- 9.Kawamori T, Kitamura T, Watanabe K, et al. Prostaglandin E receptor subtype EP(1) deficiency inhibits colon cancer development. Carcinogenesis. 2005;26(2):353–7. doi: 10.1093/carcin/bgh322. [DOI] [PubMed] [Google Scholar]
- 10.Kawamori T, Uchiya N, Nakatsugi S, et al. Chemopreventive effects of ONO-8711, a selective prostaglandin E receptor EP(1) antagonist, on breast cancer development. Carcinogenesis. 2001;22(12):2001–4. doi: 10.1093/carcin/22.12.2001. [DOI] [PubMed] [Google Scholar]
- 11.Makita H, Mutoh M, Maruyama T, et al. A prostaglandin E2 receptor subtype EP1-selective antagonist, ONO-8711, suppresses 4-nitroquinoline 1-oxide-induced rat tongue carcinogenesis. Carcinogenesis. 2007;28(3):677–84. doi: 10.1093/carcin/bgl178. [DOI] [PubMed] [Google Scholar]
- 12.Han C, Michalopoulos GK, Wu T. Prostaglandin E2 receptor EP1 transactivates EGFR/MET receptor tyrosine kinases and enhances invasiveness in human hepatocellular carcinoma cells. Journal of cellular physiology. 2006;207(1):261–70. doi: 10.1002/jcp.20560. [DOI] [PubMed] [Google Scholar]
- 13.Wang D, Wang H, Shi Q, et al. Prostaglandin E(2) promotes colorectal adenoma growth via transactivation of the nuclear peroxisome proliferator-activated receptor delta. Cancer Cell. 2004;6(3):285–95. doi: 10.1016/j.ccr.2004.08.011. [DOI] [PubMed] [Google Scholar]
- 14.Shoji Y, Takahashi M, Kitamura T, et al. Downregulation of prostaglandin E receptor subtype EP3 during colon cancer development. Gut. 2004;53(8):1151–8. doi: 10.1136/gut.2003.028787. [DOI] [PMC free article] [PubMed] [Google Scholar]
- 15.Ghosh M, Wang H, Ai Y, et al. COX-2 suppresses tissue factor expression via endocannabinoid-directed PPARdelta activation. J Exp Med. 2007;204(9):2053–61. doi: 10.1084/jem.20070828. [DOI] [PMC free article] [PubMed] [Google Scholar]
- 16.Muller PY, Janovjak H, Miserez AR, Dobbie Z. Processing of gene expression data generated by quantitative real-time RT-PCR. BioTechniques. 2002;32(6):1372–4, 6, 8-9. [PubMed] [Google Scholar]
- 17.Mitchell JA, Warner TD. COX isoforms in the cardiovascular system: understanding the activities of non-steroidal anti-inflammatory drugs. Nat Rev Drug Discov. 2006;5(1):75–86. doi: 10.1038/nrd1929. [DOI] [PubMed] [Google Scholar]
- 18.Grosser T, Fries S, FitzGerald GA. Biological basis for the cardiovascular consequences of COX-2 inhibition: therapeutic challenges and opportunities. J Clin Invest. 2006;116(1):4–15. doi: 10.1172/JCI27291. [DOI] [PMC free article] [PubMed] [Google Scholar]
- 19.Moons AH, Levi M, Peters RJ. Tissue factor and coronary artery disease. Cardiovasc Res. 2002;53(2):313–25. doi: 10.1016/s0008-6363(01)00452-7. [DOI] [PubMed] [Google Scholar]
- 20.Steffel J, Hermann M, Greutert H, et al. Celecoxib decreases endothelial tissue factor expression through inhibition of c-Jun terminal NH2 kinase phosphorylation. Circulation. 2005;111(13):1685–9. doi: 10.1161/01.CIR.0000160358.63804.C9. [DOI] [PubMed] [Google Scholar]
- 21.Liu Y, Pelekanakis K, Woolkalis MJ. Thrombin and tumor necrosis factor alpha synergistically stimulate tissue factor expression in human endothelial cells: regulation through c-Fos and c-Jun. J Biol Chem. 2004;279(34):36142–7. doi: 10.1074/jbc.M405039200. [DOI] [PubMed] [Google Scholar]
- 22.Mechtcheriakova D, Schabbauer G, Lucerna M, et al. Specificity, diversity, and convergence in VEGF and TNF-alpha signaling events leading to tissue factor up-regulation via EGR-1 in endothelial cells. FASEB J. 2001;15(1):230–42. doi: 10.1096/fj.00-0247com. [DOI] [PubMed] [Google Scholar]
- 23.Libby P. Inflammation in atherosclerosis. Nature. 2002;420(6917):868–74. doi: 10.1038/nature01323. [DOI] [PubMed] [Google Scholar]
- 24.Fitzgerald GA. Coxibs and cardiovascular disease. The New England journal of medicine. 2004;351(17):1709–11. doi: 10.1056/NEJMp048288. [DOI] [PubMed] [Google Scholar]






