Abstract
The aim of the present research work was to develop release modulated beads of losartan potassium complexed with anion exchange resin, Duolite AP143 (cholestyramine). Chitosan was selected as a hydrophilic polymer for the formation of beads which could sustain the release of the drug up to 12 h, along with drug resin complex (DRC). Chitosan beads were prepared using an in-liquid curing method by ionotropic cross-linking or interpolymer linkage with sodium tripolyphosphate (TPP). The formulation of the beads was optimized for entrapment efficiency and drug release using 32 full factorial design. The independent variables selected were DRC/chitosan and percent of TPP. The optimization model was validated for its performance characteristics. Studies revealed that as the concentration of chitosan and TPP was increased, entrapment efficiency and the drug release were found to increase and decrease, respectively. The swelling capacity of chitosan–TPP beads decreased with increasing concentration of TPP. The effect of chitosan concentration and percentage of TPP solution used for cross-linking on entrapment efficiency and drug release rate was extensively investigated. Optimized beads were subjected to in vivo studies in Wistar albino rats to determine the mean arterial blood pressure and compared with marketed formulation. The pharmacodynamic study demonstrates steady blood pressure control for optimized formulation as compared to fluctuated blood pressure for the marketed formulation.
Key words: chitosan–TPP beads, Duolite AP143, losartan potassium, optimization, pharmacodynamic studies, sustained release
INTRODUCTION
Losartan potassium (LP) is a potent, highly specific angiotensin II type 1 receptor antagonist with antihypertensive activity. It is readily absorbed from the gastrointestinal tract with oral bioavailability of about 33% and a plasma elimination half-life ranging from 1.5 to 2.5 h (1). Administration of LP in a sustained release dosage form for a period of 12 h would be more desirable as these characteristics would allow protracted antihypertensive effects by maintaining the plasma concentrations of the drug well above the therapeutic concentration (2,3).
Duolite AP143 (cholestyramine) was selected from a wide range of strong anionic exchange resins, which has chloride (Cl−) as an exchangeable ion.
The active ingredients, if they are ionized, can be complexed with counter ions of ion-exchange resins (4,5). The advantages of utilizing ion-exchange resins include simple preparation method, and no uncontrolled burst effect in the drug resin complex (DRC) even at high drug loading (6). The only limiting factor for drug loading is the limited exchanging capacity of the resin (7). When active ingredient/resin complexes are administered orally, the active ingredient can be released by the ion-exchange reaction with counter ions present in the GI tract (7). The ion-exchange resin complexes are often incorporated in the matrix of the polymer for better control of drug release (8). The drug release rate can be controlled by one or a combination of diffusion resistance of the core (resin complex), diffusion resistance of the matrix, and ion-exchange reaction rate, depending on the properties of the ion-exchange resins.
Chitosan, a natural, biodegradable, biocompatible, and bioadhesive polymer is gaining attention in the pharmaceutical field for a wide range of drug delivery. Chitosan is a copolymer of glucosamine and N-acetyl glucosamine linked by β 1-4 glucosidic bonds obtained by N-deacetylation of chitin. The molecular weight and degree of deacetylation can be modified during its preparation to obtain tailor-made properties. Also, chitosan has free amine as well as hydroxyl groups, which can be modified to obtain different chitosan derivatives (9,10). In order to prepare stabilized chitosan, microspheres by cross-linking agents such as formaldehyde and glutaraldehyde have been used as stabilizing agents (11). However, these chemical cross-linking agents have the possibility of inducing undesirable effects. For example, glutaraldehyde can cause irritation to mucosal membranes because of its toxicity (12,13).
To overcome this disadvantage of chemical cross-linking, ionic cross-linking interaction has been applied to emulsion and syringe method. For example, chitosan micro- or nanoparticles were produced by ionic cross-linking with tripolyphosphate (TPP) using either the emulsion or syringe method (14–16).
The objective of the present study was to prepare and optimize the DRC-loaded TPP cross-linked chitosan beads by ionic cross-linking method and characterize thus-prepared chitosan–TPP beads for their surface morphology, swelling behavior, physical state of the drug in the chitosan–TPP matrix, entrapment efficiency, and drug release profile using various appropriate evaluative and pharmacodynamic studies in rats.
MATERIALS AND METHODS
Materials
Losartan potassium was a generous gift from Blue Cross Pharmaceuticals, Nashik (India), and Duolite AP143 was a gift from Rohm and Haas, France. Chitosan was supplied by Bliss GVS Pharma Ltd., Mumbai, India. All other reagents and solvents used were of analytical grade and used as received.
Preparation of Drug Resin Complex
DRC was prepared by a single batch process. The purified ion-exchange resin particles were dispersed in a drug solution with a net weight ratio of 1:1 in the pH range of 6–7 and stirred for 4 h, room temperature. The samples were filtered and analyzed by UV spectroscopic analysis. The DRC was separated by filtration and dried in a hot air oven at 50°C.
Experimental Design
A 32 full factorial design was used for optimization of chitosan–TPP beads. Three levels of independent variables (i.e., DRC/chitosan ratio and percentage of TPP solution) were selected. Dependent variables selected were in vitro drug release and entrapment efficiency. Composition of beads is shown in Table I.
Table I.
Levels and Their Actual Values for the 32 Full Factorial Design
| Coded factor | Level | Factor 1 | Factor 2 |
|---|---|---|---|
| DRC/chitosan | TPP (%) | ||
| −1 | Low | 1a:0.5 | 3 |
| 0 | Intermediate | 1:1 | 6 |
| 1 | High | 1:1.5 | 9 |
DRC drug resin complex, TPP tripolyphosphate
a200.76 mg
Formulation of Chitosan–TPP-Sustained Release Beads
Drug-loaded beads were prepared by droplet extrusion/ionic cross-linking of the chitosan solution containing DRC into sodium TPP aqueous solution. The method employed is with slight modification of the method employed by Bodmeier et al. (17). Chitosan solution of 2% w/v was prepared by dissolving chitosan in acetic acid (2% v/v), then DRC was dispersed uniformly in this solution with gentle stirring. The bubbles in the mixed system were eliminated by sonication. Then, it was dropped using a 22-gauge needle into a gently stirred aqueous solution of TPP at a flow rate 1 ml/min. Beads were formed instantaneously due to the electrostatic attraction between NH+3 on chitosan and PO−4 on TPP. The solidified beads were filtered and rinsed thoroughly with distilled water to remove traces of TPP and dried.
Evaluation of Drug Resin Complex
Differential Scanning Calorimeter Studies
A Mettler Toledo differential scanning calorimeter (DSC) 821 (Mettler Toledo, Greifensee, Switzerland) equipped with an intracooler and a refrigerated cooling system was used to analyze the thermal behavior of losartan potassium, resin, and DRC, in hermetically sealed flat aluminum crucibles, with temperature ranging from 30°C to 300°C. Heating/cooling rate was 10°C/min. Indium standard was used to calibrate the DSC temperature. Nitrogen was purged at 40 and 100 ml/min through a cooling unit.
Determination of Drug Content
Drug content in DRC was determined by stirring 100 mg of DRC in 1 N HCl for 4 h, and the filtrate was analyzed UV spectrophotometrically at 227 nm.
In Vitro Drug Release from Drug Resin Complex
Drug release studies from the DRC (n = 3) were conducted in 0.1 N HCl (900 ml) at 100 rpm and 37 ± 0.5°C employing the USP II paddle method. Ten-milliliter aliquots of the sample were removed at every 1 h.
Evaluation of Chitosan Beads
Measurement of Particle Size
The particle size was determined by microscopy, using a biological microscope (Magnus MLX-DX, India).
Swelling Study
The dynamic swelling properties of the chitosan–TPP dry beads were conducted. The studies were carried out in simulated gastric fluid (pH 1.2). A known weight (200 mg) of various chitosan gel beads was placed in the media for the required period of time. The wet weight of the swollen beads was determined by first blotting the beads with filter paper to remove adsorbed water on the surface and then weighed immediately on an electronic balance. The percentage swelling of chitosan gel beads in the media was then calculated from the formula:
![]() |
Where, ESW is the percent swelling of gel beads at equilibrium. We denotes the weight of the gel beads at equilibrium swelling, and Wo is the initial weight of the gel beads. Each swelling experiment was repeated three times and the average value was taken as the percentage swelling value.
Entrapment Efficiency
One hundred milligrams of beads was crushed in a glass mortar and pestle, and the powdered beads were suspended in 100 ml of 0.1 N HCl and stirred on a magnetic stirrer for 4 h. Then, they were filtered and the filtrate was analyzed spectrophotometrically (Jasco V530) for drug content. The drug entrapment efficiency was calculated using the following formula:
![]() |
In Vitro Drug Release Studies
In vitro release of losartan potassium from chitosan–TPP beads was determined by using USP 24 type II dissolution apparatus (37 ± 0.5°C, 900 ml, 100 rpm) in 0.1 N HCl for a period of 12 h. Aliquots of the samples (10 ml) were withdrawn through a sampling syringe attached with a 0.22-mm membrane filter at 1 h time interval, and the same volume (10 ml) of dissolution medium was replaced. Collected samples were then analyzed for losartan potassium content by measuring the absorbance at 227 nm.
Data Analysis
The data obtained from dissolution kinetic studies were analyzed using PCP disso software (Poona College of Pharmacy, Pune, India). The computed values of kinetic constant (k) and diffusional release exponent (n) were calculated using logarithmic transformation of the relationship proposed by Korsmeyer et al. (18) as in Eq. 1.
![]() |
1 |
Where
is the fraction of drug released at time t. Entrapment efficiency was also determined for all formulations.
Various computations for the current optimization study using RSM were carried out, employing software, State Ease Design Expert Version 7. Statistical second-order model including interaction and polynomial terms were generated for all the response variables.
The general form of the model is represented as in Eq. 2.
![]() |
2 |
Where β0, the intercept, is the arithmetic average of all quantitative outcomes of nine runs, β1 to β8 are the coefficient computed from the observed experimental values of Y, and X1 and X2 are the coded levels of the independent variable(s). The terms X1X2 and
are the interaction and polynomial terms, respectively. The statistical validity of the polynomials was established on the basis of Yates’ ANOVA. Subsequently, feasibility as well as grid search was performed to locate the composition of optimum formulations. Also, three-dimensional response surface graphs and contour plots were generated by the State Ease Design Expert Version 7 software.
Validation of Optimization Model
Five optimum formulations were selected by intensive search, performed over the entire experimental domain, to validate the chosen experimental design and polynomial equations. The criterion for selection of optimum was primarily based on the highest possible values of the two response parameters namely percent drug released in 12 h and entrapment efficiency. The formulations corresponding to this optimum were prepared and evaluated for response properties. The resultant experimental data of response properties were subsequently quantitatively compared with predicted values. Also, linear regression plots between observed and predicted using MS-Excel, forcing the line through the origin.
Evaluation of Optimized Formulation
Surface Morphology of Chitosan–TPP Beads
The surface morphology of the dried chitosan–TPP beads loaded with the drug was examined by means of a JEOL JSM-6360A (Japan) analytical scanning electron microscope (SEM). The powders were previously fixed on a brass stub using double-sided adhesive tape and then were made electrically conductive by coating, in a vacuum, with a thin layer of platinum (approximately 3–5 nm), for 100 s and at 30 W. Photographs were taken at an excitation voltage of 15 kV.
Differential Scanning Calorimeter Studies
The thermal behavior of losartan potassium, chitosan, and beads was analyzed in temperature ranging from 30°C to 300°C. Heating/cooling rate was 10°C/min. Nitrogen was purged at 40 and 100 ml/min through cooling unit.
In Vivo Studies
Wistar albino rats of either sex (200–250 g) were housed in a clean environment at a temperature of 25 ± 1°C and relative humidity of 45% to 55%, under a 12/12-h light/dark cycle. The animals had free access to pelletized food and water. The research protocol was approved by the Institutional Animal Ethics Committee (IAEC) of AISSMS College of Pharmacy, Pune, India.
Pharmacodynamic Studies
Measurement of Mean Arterial Pressure in Rats
Ten-milligram per kilogram dose of marketed formulation and optimized beads was administered to rats. Rats were anesthetized by using urethane (100 mg/kg, i.p.). Anesthetized rats were injected with heparin (100 IU/ml, i.p.) for preventing the coagulation of blood in the catheter. The left carotid artery was cannulated with the catheter PE-50 (polyethylene-50) and filled with heparinized 0.85% NaCl solution for the measurement of the mean arterial pressure of the rats. The catheter (PE-50) was connected to the blood pressure transducer and the transducer was connected to the Four Channel Data Acquisition System (BIOPAC System Inc, MP35). After half an hour of cannulation, when the arterial blood pressure reached a stabilized condition (equilibrium), mean arterial blood pressure was noted down.
RESULTS
The DRC was prepared by batch method. Drug content was found to be 49.58%.
Differential Scanning Calorimeter Studies of Drug Resin Complex
Figure 1 shows the thermal behavior of the pure drug showing endotherm at 187°C corresponding to the melting point of the pure drug. Duolite AP143 shows endotherm at 103.40°C and 270°C. The thermal behavior of DRC shows endotherm at 78.61°C and a small gradual endotherm at 210°C indicating onset (endothermic-exothermic inversion) and gradual decomposition of the optimized complex.
Fig. 1.
DSC curve of A losartan potassium, B Duolite AP-143, and C DRC
Evaluation of In Vitro Drug Release Profile from Drug Resin Complex
An initial burst was observed as shown in Fig. 2 in drug release from resinate. The DRC shows retardation of release for up to 4 h. The best fit model was Matrix, with release exponent of 0.3009, which signifies Fickian pattern, while kinetic constant (k) was 61.725.
Fig. 2.
In vitro dissolution profile of DRC
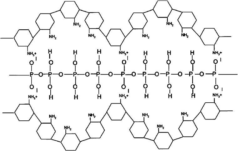
Formulation of Chitosan–TPP Beads
Chitosan–TPP beads were prepared by using ionic gelation method. The ionic interactions between the positively charged amino groups and negatively charged counterion tripolyphosphate were used to prepare chitosan beads. The anionic counterion TPP can form either intermolecular or intramolecular linkages: this is responsible for the successful formation of the beads (Fig. 3).
Fig. 3.
Ionic cross-linking of chitosan–TPP complex beads
Measurement of Particle Size
Macroscopic observation shows that beads had a spherical surface. Generally, the diameter of the wet beads was about 1–1.5 mm. After drying, the beads had a firm texture and its diameter was reduced to 600–900 μm. Table II shows particle size range of nine formulations.
Table II.
Evaluation of Chitosan–TPP-Sustained Release Beads Prepared as per 32 Full Factorial Design
| Formulation code | Coded factor level | Percent entrapment efficiency (n = 3) | Particle size (μm; n = 100) | Release at 12 h (n = 3) | Release exponent (n) | Kinetic constant (k) | |
|---|---|---|---|---|---|---|---|
| Factor 1 | Factor 2 | ||||||
| B1 | −1 | −1 | 79.37 ± 0.36 | 689.7 ± 0.43 | 95.036 ± 0.26 | 6.8278 | 0.7071 |
| B2 | −1 | 0 | 80.82 ± 0.73 | 698.02 ± 0.89 | 92.644 ± 0.42 | 5.8127 | 0.7567 |
| B3 | −1 | 1 | 82.59 ± 0.53 | 659.82 ± 0.50 | 93.21 ± 0.45 | 5.3744 | 0.7836 |
| B4 | 0 | −1 | 85.12 ± 0.74 | 762.9 ± 0.24 | 91.288 ± 0.63 | 5.479 | 0.7122 |
| B5 | 0 | 0 | 86.36 ± 0.33 | 739.54 ± 0.56 | 94.611 ± 0.26 | 5.4385 | 0.7185 |
| B6 | 0 | 1 | 87.77 ± 0.26 | 709.91 ± 0.51 | 93.295 ± 0.84 | 4.2077 | 0.7415 |
| B7 | 1 | −1 | 91.23 ± 0.21 | 889.22 ± 0.45 | 89.727 ± 0.27 | 4.8265 | 0.7624 |
| B8 | 1 | 0 | 91.59 ± 0.34 | 768.27 ± 0.98 | 85.976 ± 0.53 | 4.6484 | 0.7595 |
| B9 | 1 | 1 | 92.81 ± 0.43 | 749.91 ± 0.17 | 79.718 ± 0.33 | 2.3836 | 0.767 |
TPP tripolyphosphate
Mean ± SD
Swelling Study
Swelling studies were performed and maximum 410% swelling was seen at equilibrium (Fig. 4). Further, it was observed that percentage of swelling decreased as the concentration of TPP was increased. The results were in agreement with previous studies (19,20).
Fig. 4.
Percent swelling for beads prepared as per 32 factorial design
Entrapment Efficiency
Table II shows the percentage entrapment efficiency of formulations. The entrapment efficiencies of chitosan–TPP beads ranged from 79% to 92%. The results of the present study demonstrated that the encapsulation efficiency of chitosan–TPP beads was affected by the volume of chitosan. For instance, the entrapment efficiency of the chitosan–TPP beads increased (from 79% to 82.59%) with the increasing amount of chitosan. This may be explained on the basis that an increase in viscosity of the chitosan solution with increase in concentration prevents DRC from leaving the droplet.
In Vitro Drug Release Studies
Figure 5 shows percentage cumulative drug released from formulations prepared by using 32 factorial design. The best fit model was found to be Peppas model with n value ranging from 0.7071 to 0.76 and k values ranging from 2.38 to 6.8278 (Table II). The n values indicate non-Fickian diffusion and are decreasing with increasing concentration of chitosan and TPP.
Fig. 5.
In vitro dissolution profiles for formulations prepared by using 32 full factorial design
Optimization Results
The mathematical relationships constructed for the studied response variables are expressed as Eqs. 3 and 4. All the polynomial equations were found to be highly statistically significant (ρ < 0.01), as determined by ANOVA,
![]() |
3 |
![]() |
4 |
Response surfaces for Rel12 h show a decrease in the value of percent drug released after 12 h with an increase in concentration of DRC/chitosan and cross-linking agent. The influence of level of DRC/chitosan on cumulative percent drug released is much more pronounced (Fig. 6).
Fig. 6.
Response surface plot showing the influence of DRC/chitosan ratio and percent TPP on the value of Rel12 h of sustained release beads of losartan potassium
Response surface for percent entrapment efficiency (EE) reveals an increase in percent entrapment efficiency with an increase in concentration of DRC/chitosan and TPP (Fig. 7).
Fig. 7.
A Response surface plot and B contour plot, showing the influence of DRC/chitosan ratio and percent TPP on the value of percentage of entrapment of sustained release beads of losartan potassium
Table III shows dissolution parameters for all five optimum formulations. The n value ranges from 0.722 to 0.7346, indicating non-Fickian diffusion with the best fit model Peppas.
Table III.
Values of Release Parameters, Cumulative Percent Drug Released After 12 h, and Entrapment Efficiency for All Optimized Beads of Losartan Potassium Prepared Using Different Amounts of Resinate/Chitosan and Percent TPP
| Formulation code | Formulation composition | Percent TPP | Release exponent (n) | Kinetic constant (k) | Percent entrapment | Release till 12 h hours (Rel12 h) |
|---|---|---|---|---|---|---|
| M1 | 240.51 | 3.6 | 0.7346 | 4.120 | 87.5 | 91.13 |
| M2 | 238.52 | 4.68 | 0.7234 | 3.7115 | 87.52 | 90.43 |
| M3 | 236.54 | 4.56 | 0.7221 | 4.071 | 87.59 | 90.47 |
| M4 | 280.314 | 3.06 | 0.7220 | 4.1058 | 89.2 | 90.0 |
| M5 | 272.36 | 3.48 | 0.7314 | 5.939 | 89.53 | 90.2 |
TPP tripolyphosphate
Validation of Optimization Model
Table IV records the values of observed and predicted responses using factorial design along with the percentage predicted errors for these five optimum formulations. The predicted error for the response variables ranged between −0.014% and 0.0009% for Rel12 h, while it ranged from −0.033 and 0.0088 with the mean ± standard deviation of the percentage error being 0.0043 ± 0.002553.
Table IV.
Comparison of Values for Predicted and Experimental Responses for All Optimized Formulations
| Formulation code | Composition | Response | Predicted value | Experimental value | Percentage error |
|---|---|---|---|---|---|
| M1 | 240.51 | % Release | 91.13 | 91.00 | −0.0014 |
| 3.6 | % Entrapment efficiency | 87.5 | 87.05 | 0.0061 | |
| M2 | 238.52 | % Release | 90.47 | 90.56 | 0.0009 |
| 4.68 | % Entrapment efficiency | 87.75 | 88.04 | −0.0033 | |
| M3 | 236.54 | % Release | 90.43 | 90.55 | 0.0014 |
| 4.56 | % Entrapment efficiency | 87.52 | 86.98 | −0.006 | |
| M4 | 280.314 | % Release | 90.2 | 90.46 | 0.0028 |
| 3.06 | % Entrapment efficiency | 89.53 | 89.97 | −0.0056 | |
| M5 | 272.36 | % Release | 90 | 90.06 | 0.0006 |
| 3.48 | % Entrapment efficiency | 89.2 | 89.21 | 0.0088 |
Mean (±SEM) of percentage error 0.0043 ± 0.002553
Surface Morphology of Chitosan–TPP Beads
Figure 8 shows the SEM photos showing typical surface morphology of drug-loaded chitosan–TPP beads. Topography shows spherical beads with roughness on the surface. To examine the surface characteristics of chitosan–TPP beads after their dissolution study (12 h), the beads were dried at 60°C and SEM pictures were taken in a similar manner as described for other beads. The SEM pictures of chitosan–TPP beads after 12 h of the dissolution study are shown in Fig. 9. The beads could not retain their shape, indicating disruption of the chitosan–TPP matrix.
Fig. 8.

SEM photograph of chitosan–TPP beads before dissolution test
Fig. 9.

SEM photograph of chitosan–TPP beads after dissolution test
Differential Scanning Calorimeter Study
The thermogram of chitosan showed endotherm at 112°C (Fig. 10), which indicates the water-holding capacity. The decomposition temperature for chitosan was observed at about 294°C for the non-cross-linked sample and at about 279°C for the cross-linked sample.
Fig. 10.
DSC curves of A losartan potassium, B chitosan, C chitosan–TPP beads
In Vivo Studies
Pharmacodynamic studies were conducted in rats.
Measurement of Mean Arterial Pressure in Rats
Figure 11 shows the graph of mean arterial blood pressure vs. time after administration of losartan potassium (10 mg/kg), marketed product, and formulated beads. The conventional tablet shows more fluctuations in mean arterial blood pressure whereas bead formulation M3 gives steady control on blood pressure.
Fig. 11.
Effects of marketed product and beads on mean arterial blood pressure of normotensive rats
DISCUSSION
DSC studies confirm the complexation of losartan potassium with Duolite AP143, as each chemical entity shows its characteristic DSC curve.
Burst release in dissolution studies may be due to the difference in the particle size of resinate or it may be due to the presence of some unbound drug present in DRC. It shows retardation of drug release for up to 4 h. Thus, for further retardation of drug release, DRC was incorporated into chitosan–TPP beads. A DSC study of beads confirms the cross-linking of chitosan with TPP.
SEM studies demonstrate the morphology of beads. Beads were spherical with roughness on the surface. DRC was insoluble in the chitosan solution and it was dispersed throughout the matrix. Therefore, some of the DRC were always present on the surface of chitosan–TPP beads that imparted roughness to surface.
The degree of swelling is a significant characteristic of cross-linked beads that control the loading and release profile of the drug. The hydrophobicity in microspheres and concentration of cross-linking agent control the degree of swelling.
The swelling ability of ionic cross-linked gel is strongly dependent on the pH value of the swelling medium. The chitosan–TPP beads show high swelling degree at low pH. The higher swelling degree is attributed to the strong protonization of amino groups on chitosan, which bring strong electrostatic repulsion among intrachain and interchain of chitosan, resulting in the relaxation of the polymer network.
The swelling capacity of chitosan–TPP beads, cross-linked with different concentrations of TPP solution, increased with time. However, as the volume of the TPP solution added increases, the swelling capacity of the chitosan–TPP beads decreased considerably. These results support that the more tightly cross-linked chitosan matrix does not swell (lower water uptake) as much as the loosely cross-linked chitosan matrix. At lower concentration of TPP (e.g., lower cross-link density), the chitosan network is loose and has a high hydrodynamic free volume to accommodate more solvent molecules, thereby inducing chitosan–TPP matrix swelling. The water uptake in hydrogels depends upon the extent of hydrodynamic free volume and availability of hydrophilic functional groups for the water to establish hydrogen bonds. Higher water uptake values at lower levels of cross-linking agent and vice versa observed in the present study confirm the formation of rigid chitosan–TPP networks through the employed preparation process.
The entrapment efficiency of the chitosan–TPP beads increased (from 79% to 82.59%) with the increasing amount of chitosan. This may be explained on the basis that an increase in viscosity of the chitosan solution with increase in concentration prevents DRC from leaving the droplet. A study carried out by Nishioka et al. (21) also revealed that the cisplatin content increased with increasing chitosan concentration. Furthermore, Nishioka et al. also proved that the incorporation of chitin in the carrier matrix increased the drug content. Pharmacodynamic studies conducted in rats using Biopac shows steady blood pressure control, when studied with an optimized formulation.
CONCLUSION
Chitosan–TPP beads of DRC were prepared by ionic cross-linking method. RSM is a useful tool for optimization, which shows goodness of fit. Pharmacodynamic studies demonstrate steady blood pressure control in rats for optimized formulation. Hence, the formulated chitosan–TPP beads of the DRC could be very helpful in controlling the blood pressure.
References
- 1.Johnston C. Angiotensin receptor antagonists: focus on losartan. AAPS PharmSciTech. 1995;346:1403–1407. doi: 10.1016/s0140-6736(95)92411-6. [DOI] [PubMed] [Google Scholar]
- 2.Ferrero C, Munoz RA, Jimenez CMR. Fronts movement as a useful tool for hydrophilic matrix release mechanism elucidation. Int J Pharm. 2000;202:21–28. doi: 10.1016/S0378-5173(00)00407-5. [DOI] [PubMed] [Google Scholar]
- 3.Hogan J. Hydroxypropyl methylcellulose sustained release technology. Drug Dev Ind Pharm. 1989;15:975–999. doi: 10.3109/03639048909043660. [DOI] [Google Scholar]
- 4.Motycka S, Nairn JG. Influence of wax coatings on release rate of anions from ion exchange resin beads. J Pharm Sci. 1978;67:500–503. doi: 10.1002/jps.2600670416. [DOI] [PubMed] [Google Scholar]
- 5.Raghunathan Y, et al. Sustained-release drug delivery system I coated ion exchange resin system for phenylpropranolamine and other drugs. J Pharm Sci. 1981;370:9. doi: 10.1002/jps.2600700409. [DOI] [PubMed] [Google Scholar]
- 6.Jeong SH, Park K. Development of sustained release fast-disintegrating tablets using various polymer-coated ion-exchange resin complexes. Int J Pharm. 2008;353:195–204. doi: 10.1016/j.ijpharm.2007.11.033. [DOI] [PubMed] [Google Scholar]
- 7.Kim CJ. Ion exchange resin drug delivery systems. Book, ion exchange resin drug delivery systems. Lancaster, PA: Technomic; (2000. [Google Scholar]
- 8.Sriwongjanya M, Bodmeier R. Effect of ion exchange resin on the drug release from matrix tablets. Eur J Pharm Biopharm. 1998;46:321–327. doi: 10.1016/S0939-6411(98)00056-3. [DOI] [PubMed] [Google Scholar]
- 9.Ilium L. Chitosan and its use as a pharmaceutical excipient. Pharm Res. 1998;15:1326–1331. doi: 10.1023/A:1011929016601. [DOI] [PubMed] [Google Scholar]
- 10.Felt O, Buri P, Gurny R. Chitosan: a unique polysaccharide for drug delivery. Drug Dev Ind Pharm. 1998;24:979–993. doi: 10.3109/03639049809089942. [DOI] [PubMed] [Google Scholar]
- 11.He P, Davis SS, Illum L. Chitosan microspheres prepared by spray drying. Int J Pharm. 1999;187:53–65. doi: 10.1016/S0378-5173(99)00125-8. [DOI] [PubMed] [Google Scholar]
- 12.Lim LY, Wan LSC, Thai PY. Chitosan microspheres prepared by emulsification and ionotropic gelation. Drug Dev Ind Pharm. 1997;23:981–985. doi: 10.3109/03639049709149150. [DOI] [Google Scholar]
- 13.Mi FL, Wong TB, Shyu SS, Chang SF. Chitosan microspheres: modification of polymeric chem-physical properties of spray dried microspheres to control the release of antibiotic drug. J Appl Polm Sci. 1999;71:747–759. doi: 10.1002/(SICI)1097-4628(19990131)71:5<747::AID-APP9>3.0.CO;2-6. [DOI] [Google Scholar]
- 14.Mi FL, Sung HW, Shyu SS, Su CC, Peng CK. Synthesis and characterization of biodegradable TPP/genepin crosslinked chitosan gel beads. Polymer. 2003;44:6521–6530. doi: 10.1016/S0032-3861(03)00620-7. [DOI] [Google Scholar]
- 15.Ko JA, Park HJ, Hwang SJ, Park JB, Lee JS. Preparation and characterization of chitosan microparticles intended for controlled drug delivery. Int J Pharm. 2002;249:165–174. doi: 10.1016/S0378-5173(02)00487-8. [DOI] [PubMed] [Google Scholar]
- 16.Shu XZ, Zhu KJ. A novel approach to prepare tripolyphosphate/chitosan complex beads for controlled drug delivery. Int J Pharm. 2000;201:51–58. doi: 10.1016/S0378-5173(00)00403-8. [DOI] [PubMed] [Google Scholar]
- 17.Bodmeier R, Paeratakul O. Spherical agglomerates of water-insoluble drugs. J Pharm Sci. 1989;78:964–967. doi: 10.1002/jps.2600781117. [DOI] [PubMed] [Google Scholar]
- 18.Paulo C, Lobo JMS. Modeling and comparison of dissolution profiles. Eur J Pharm Sci. 2001;13:123–133. doi: 10.1016/S0928-0987(01)00095-1. [DOI] [PubMed] [Google Scholar]
- 19.Xu Y, Du Y. Effect of molecular structure of chitosan on protein delivery properties of chitosan nanoparticles. Int J Pharm. 2003;250:215–226. doi: 10.1016/S0378-5173(02)00548-3. [DOI] [PubMed] [Google Scholar]
- 20.Desai KGH, Park HJ. Preparation and characterization of drug-loaded chitosan–tripolyphosphate microspheres by spray drying. Drug Dev Res. 2005;64:114–128. doi: 10.1002/ddr.10416. [DOI] [Google Scholar]
- 21.Nishioka Y, Kyotani S, Okamura M, Miyazaki M, Okazaki K, Ohnishi S, Yamamoto Y, Ito K. Release characteristics of cisplatin chitosan microspheres and effect of containing chitin. Chem Pharm Bull. 1990;38:2871–2873. doi: 10.1248/cpb.38.2871. [DOI] [PubMed] [Google Scholar]















