Abstract
OBJECTIVE
A count of 3 neonatal morbidities (bronchopulmonary dysplasia, brain injury, and severe retinopathy of prematurity) strongly predict the risk of death or neurosensory impairment in extremely low birth weight infants who survive to 36 weeks’ postmenstrual age. Neonatal infection has also been linked with later impairment. We examined whether the addition of infection to the count of 3 neonatal morbidities further improves the prediction of poor outcome.
METHODS
We studied 944 infants who participated in the Trial of Indomethacin Prophylaxis in Preterms and survived to 36 weeks’ postmenstrual age. Culture-proven sepsis, meningitis, and stage II or III necrotizing enterocolitis were recorded prospectively. We investigated the incremental prognostic importance of neonatal infection by adding terms for the different types of infection to a logistic model that already contained terms for the count of bronchopulmonary dysplasia, brain injury, and severe retinopathy. Poor outcome at 18 months of age was death or survival with 1 or more of the following: cerebral palsy, cognitive delay, severe hearing loss, and bilateral blindness.
RESULTS
There were 414 (44%) infants with at least 1 episode of infection or necrotizing enterocolitis. Meningitis and the presence of any type of infection added independent prognostic information to the morbidity-count model. The odds ratio associated with infection or necrotizing enterocolitis in this model was 50% smaller than the odds ratio associated with each count of the other 3 neonatal morbidities. Meningitis was rare and occurred in 22 (2.3%) of 944 infants.
CONCLUSIONS
In this cohort of extremely low birth weight infants who survived to 36 weeks’ postmenstrual age, neonatal infection increased the risk of a late death or survival with neurosensory impairment. However, infection was a weaker predictor of poor outcome than bronchopulmonary dysplasia, brain injury, and severe retinopathy.
Keywords: extremely low birth weight infant, infection, bronchopulmonary dysplasia, brain injury, retinopathy, neurosensory impairment
Advances in perinatal and neonatal intensive care have reduced the mortality rate of extremely low birth weight (ELBW) infants, but ELBW survivors remain at high risk of neurodevelopmental impairments, such as cerebral palsy, cognitive delay, deafness, and blindness.1–3 Parents want to know whether these adverse outcomes are likely to affect their children and prefer clinicians to provide them with reliable medical information on their infants’ prognosis.4 To be able to respond to parental questions and to anticipate special health care needs, clinicians need valid evidence that allows them to estimate the risk of future impairment with reasonable accuracy.
Our ability to predict long-term outcome is limited during the first few days and weeks after birth.5 Because of prolonged hospitalizations, ELBW infants are at ongoing risk for medical morbidities and other adverse events that may greatly influence their prognosis.5–7 A count of 3 common neonatal morbidities (bronchopulmonary dysplasia [BPD], brain injury, and severe retinopathy of prematurity [ROP]) strongly predicts the risk of a late death or neurosensory impairment in ELBW infants who survive to 36 weeks’ postmenstrual age. Compared with children who remain free of these adverse events, having 1 of the 3 morbidities approximately doubles the risk of poor outcome at 18 months of age, while having 2 morbidities approximately triples it.7
Many ELBW infants have at least 1 episode of early or late-onset infection during their initial hospital stay.8,9 Neonatal infections and necrotizing enterocolitis (NEC) have been linked with an increased risk of neurodevelopmental impairment in ELBW survivors.10–15 However, the prognostic importance of infection relative to the other 3 neonatal morbidities remains uncertain. We undertook this study to examine whether adding infection and NEC to the prognostic count of BPD, brain injury, and severe ROP further improves the prediction of poor outcomes in ELBW infants at 18 months’ corrected age.
METHODS
Study Population
Infants with birth weights of 500 to 999 g who were born between January 1996 and March 1998 and participated in the Trial of Indomethacin Prophylaxis in Preterms (TIPP) were included in this analysis.16 The research ethics boards of all 32 clinical centers (located in Canada, the United States, Australia, New Zealand, and Hong Kong) approved the trial protocol. Written informed consent was obtained from a parent or guardian of each infant. Because infants who die early cannot develop BPD or severe ROP, only infants who survived to 36 weeks’ postmenstrual age were eligible for the present study.
BPD, Brain Injury, and Severe ROP
BPD, brain injury, and severe ROP were prespecified secondary outcomes in the TIPP study. BPD was defined as the need for supplemental oxygen at 36 weeks’ postmenstrual age. Brain injury was defined by the presence of at least 1 of the following findings on cranial ultrasound scans: echodense intraparenchymal lesions, periventricular leukomalacia, porencephalic cysts, and ventriculomegaly with or without intraventricular hemorrhage.7,16 ROP was diagnosed according to the international classification at the time of TIPP enrollment.17,18 Unilateral or bilateral ROP of stages 4 and 5 was considered severe, as was ROP in infants who received cryotherapy or laser therapy in at least 1 eye.
Sepsis, Meningitis, and NEC
In the TIPP study, we recorded prospectively all episodes of neonatal sepsis and meningitis that were confirmed by the finding of a blood and/or cerebrospinal fluid culture growing bacteria, fungi, or viruses. The decision to obtain blood or cerebrospinal fluid for culture was at the discretion of the local clinicians. NEC was a prespecified secondary outcome and diagnosed during surgery, at autopsy, or by a finding of pneumatosis intestinalis, hepatobiliary gas, or free intraperitoneal air on radiography.
Outcomes at 18 Months’ Corrected Age
The primary outcome in the TIPP study was death before 18 months’ corrected age or the presence in survivors of 1 or more of the following: cerebral palsy, cognitive delay, hearing loss requiring amplification and bilateral blindness.16 The same long-term composite outcome and its components were used in this study. All 18-month assessments were performed prospectively according to a standardized protocol. Cerebral palsy was diagnosed if the child had nonprogressive motor impairment characterized by abnormal muscle tone and decreased range or control of movements. Cognitive delay was defined as a Mental Development Index score below 70 on the Bayley Scales of Infant Development II.19 The score was assumed to be <70 if the child could not be tested because of severe developmental delay. Audiometry was performed to determine the presence or absence of hearing loss. A central adjudication committee that was unaware of the group assignments reviewed the results of audiologic tests for all infants with potential deafness whose hearing had not been amplified. Blindness was defined as a corrected visual acuity of <20/200. Follow-up was targeted for 18 months’ corrected age, but the protocol allowed a window of 18 to 21 months (12–21 months for audiometry). Efforts to conduct assessments continued beyond a corrected age of 21 months to maximize ascertainment of the long-term outcome.
Statistical Analysis
The univariate relationships between the various types of infections and poor 18-month outcome were expressed as odds ratios (ORs), with P values derived from the Fisher’s exact test. We used a previously constructed logistic model that was developed to improve the prediction of poor outcome at 18 months in ELBW infants.7 This model contains terms for the count of 3 neonatal morbidities (BPD, brain injury, and severe ROP).7 In addition, we investigated the incremental prognostic importance of neonatal infection by adding terms for sepsis, meningitis with or without sepsis, NEC, and neonatal infection (sepsis and/or meningitis) or NEC to this logistic model. The P value associated with the additional prognostic factor was based on the Wald χ2.
RESULTS
Study Population
Of the 1202 infants who were enrolled in the TIPP study, 199 died before 36 weeks’ postmenstrual age. Adequate data for analysis of the 18-month composite outcome were available for 944 (96.4%) of the 1003 eligible infants. A total of 910 infants had complete data for the prognostic count of BPD, brain injury, and severe ROP.7 Their mean gestational age (SD) was 26.2 weeks (1.8) and mean (SD) birth weight was 793 g. (127) 7 Fifty percent of the infants were girls (n = 456), and 82% (n = 745) were exposed to antenatal corticosteroids.7 Additional maternal and infant baseline characteristics of this analysis cohort were reported previously.7
Univariate Relationships Between Neonatal Infections and Outcome at 18 Months
During their stay in the NICU, 414 (44%) of 944 infants who survived to 36 weeks’ postmenstrual age had at least 1 episode of sepsis, meningitis, and/or NEC: 378 (40%) had culture proven sepsis, 22 (2.3%) had culture proven meningitis, and 83 (8.8%) developed NEC of Bell stages II or III. Neonatal sepsis, meningitis, and NEC were all associated with a poor 18-month outcome (Table 1). Meningitis with or without sepsis showed the strongest association with the 18-month outcome but was a relatively rare finding. Sepsis was the most prevalent type of infection but less predictive of poor long-term outcome than meningitis or NEC.
TABLE 1.
Univariate Relationships Between Types of Neonatal Infections and Outcomes at 18 Months
| Type of Infection |
Poor 18-mo Outcome: Death or Neurosensory Impairment |
Components of Poor 18-mo Outcome: Death and Individual Impairments, n/N (%) | ||||||
|---|---|---|---|---|---|---|---|---|
| n/N (%) | OR (95% CI) | P | Death | CP | MDI<70 | Deaf | Blind | |
| Sepsis | ||||||||
| Present | 161/378 (43) | 1.7 (1.3–2.2) | <.0001 | 23/394 (5.8) | 56/369 (15) | 106/351 (30) | 12/359 (3.3) | 10/368 (2.7) |
| Absent | 172/566 (30) | 14/596 (2.3) | 57/575 (10) | 129/550 (23) | 8/563 (1.4) | 6/569 (1.1) | ||
| Meningitis | ||||||||
| Present | 16/22 (73) | 5.1 (2.0–13.1) | .0008 | 2/24 (8.3) | 4/21 (19) | 12/19 (63) | 1/21 (4.8) | 1/21 (4.8) |
| Absent | 317/922 (34) | 35/966 (3.6) | 109/923 (12) | 223/882 (25) | 19/901 (2.1) | 15/916 (1.6) | ||
| NEC | ||||||||
| Present | 43/83 (52) | 2.1 (1.4–3.3) | .0012 | 9/86 (10) | 11/77 (13) | 30/74 (41) | 2/73 (2.7) | 0/77 (0.0) |
| Absent | 290/861 (34) | 28/904 (3.1) | 102/867 (12) | 205/827 (25) | 18/849 (2.1) | 16/860 (1.9) | ||
| Any infection | ||||||||
| Present | 177/414 (43) | 1.8 (1.4–2.4) | <.0001 | 24/432 (5.6) | 59/405 (15) | 121/386 (31) | 12/393 (3.1) | 10/404 (2.5) |
| Absent | 156/530 (29) | 13/558 (2.3) | 54/539 (10) | 114/515 (22) | 8/529 (1.5) | 6/533 (1.1) | ||
CP indicates cerebral palsy; MDI, Mental Development Index.
Table 1 shows the associations between different types of infection, the composite outcome of death after 36 weeks or impairment at 18 months, and the individual components that make up this composite outcome.
Prediction of Poor 18-Month Outcome According to Morbidity Count: The Added Role of Neonatal Infection
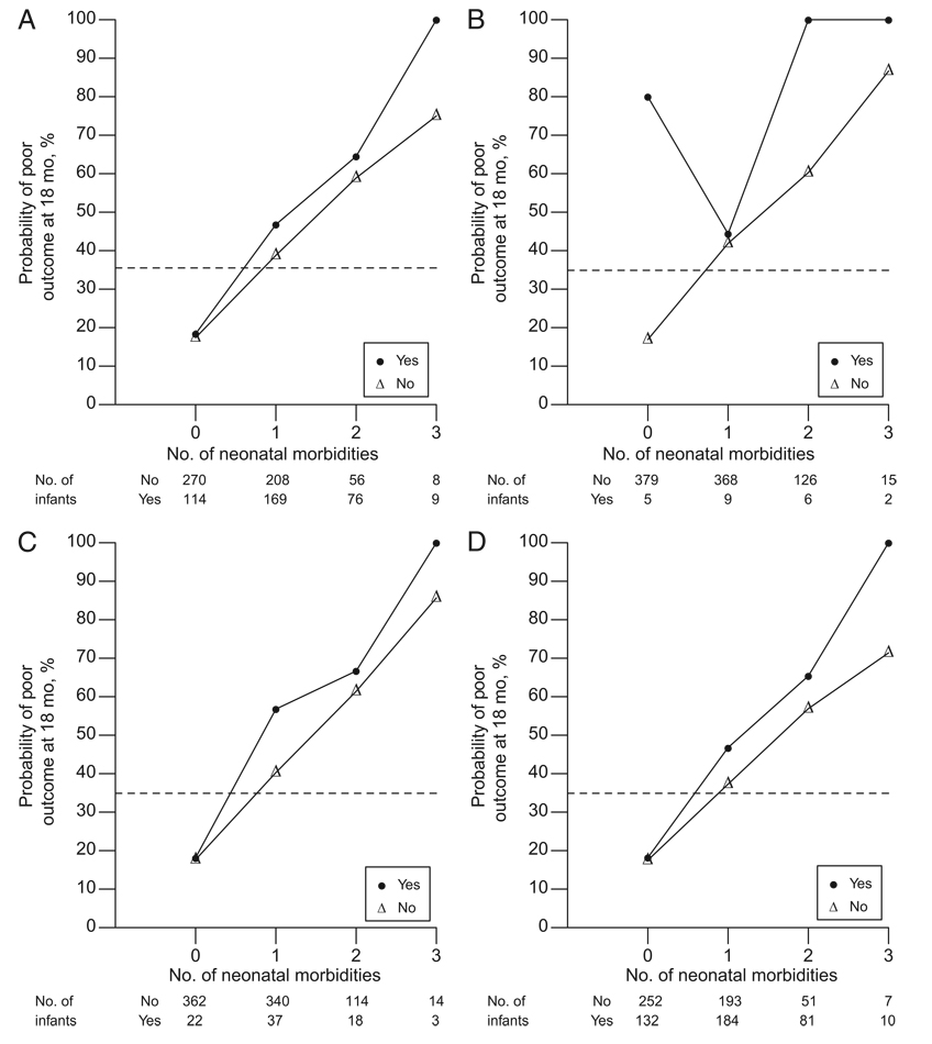
Figure 1 shows the observed probabilities of a late death or impairment at 18 months by morbidity count, for infants with and without different types of infection. The overall probability of a poor 18-month outcome in the study cohort before the application of the morbidity-count model was 35%. The risk of a poor 18-month outcome increased steadily with the number of neonatal morbidities, both in the absence and presence of infection. Infants with infection had slightly higher rates of poor outcome than infants who did not acquire infections during their stay in the NICU.
FIGURE 1.
Probability of death after 36 weeks’ postmenstrual age or survival with neurodevelopmental impairment at 18 months by morbidity count, stratified according to the presence or absence of sepsis (A), meningitis (B), NEC (C), and infection or NEC (D). The dotted lines indicate the overall probability of a poor 18-month outcome (35%).
Table 2 summarizes the incremental contribution of different types of infection to the prognostic count of BPD, brain injury, and severe ROP. A history of culture-proven sepsis, meningitis, or NEC provided independent and significant prognostic information when added to the morbidity-count model. However, the OR associated with infection or NEC was only 1.4 (95% confidence interval [CI]: 1.0 –1.8; P = .04). In contrast, the OR associated with each count of the 3 morbidities in this model was 2.8 (95% CI: 2.3–3.4).
TABLE 2.
Prediction of Poor Outcome at 18 Months: Additional Contribution of Neonatal Infections to the Prognostic Count of BPD, Brain Injury, and Severe ROP
| Type of Infection |
n/N (%) | OR (95%CI) | P |
|---|---|---|---|
| Sepsis | 368/910 (40) | 1.3 (1.0–1.8)a | .07 |
| Meningitis | 22/910 (2.4) | 4.0 (1.4–11.0)b | .008 |
| NEC | 80/910 (8.8) | 1.6 (1.0–2.6)c | .08 |
| Any infection | 407/910 (45) | 1.4 (1.0–1.8)d | .04 |
In this model, the OR (95% CI) associated with each count of the 3 neonatal morbidities was 2.8 (2.3–3.4).
In this model, the OR (95% CI) associated with each count of the 3 neonatal morbidities was 2.9 (2.3–3.5).
In this model, the OR (95% CI) associated with each count of the 3 neonatal morbidities was 2.9 (2.3–3.5).
In this model, the OR (95% CI) associated with each count of the 3 neonatal morbidities was 2.8 (2.3–3.4).
DISCUSSION
This study confirms previous reports that neonatal sepsis, meningitis, and NEC increase the risk of a poor neurodevelopmental outcome in ELBW infants.10–15 However, with the exception of meningitis, neonatal infections were weaker predictors of a late death or of survival with impairment than 3 other common neonatal morbidities (BPD, brain injury, and severe ROP).
It was suggested that neonatal infections may predispose very preterm infants to the development of BPD, brain injury, and ROP and hence may determine long-term outcome via these intermediate morbidities.20–22 This hypothesis was partially supported by our data because the univariate associations of infection with long-term outcome were slightly stronger than their corresponding associations in the model that also contained the morbidity count. However, most of the prognostic value of infection could not be explained by a greater risk of BPD, brain injury, and severe ROP in infants with infection compared with infants who remained free of infection. Furthermore, the addition of infection to the model containing the morbidity count did not affect the strength of the relationship between the morbidity count and neurodevelopmental outcome. This implies that the modest incremental prognostic information derived from the presence or absence of infection was independent from the prognostic contribution of the morbidity count.
The long-term prognosis of extremely preterm infants changes with postnatal age and the development of morbidities during the primary hospitalization.6
Even the smallest and most immature infants have a favorable long-term prognosis if they survive the NICU stay without serious adverse events and morbidities, such as BPD or severe ROP.6,7 Unfortunately, many ELBW infants develop multiple morbidities if they survive long enough to reach 36 weeks’ postmenstrual age. A simple count of BPD, brain injury, and severe ROP is a powerful predictor in such infants of a late death or survival with neurodevelopmental impairment.7 Although neonatal infection or NEC was a weaker predictor of long-term outcome than the 3 other neonatal morbidities in the present study, rates of poor outcome were higher among infants with infection than without infection. Therefore, a strong incentive remains to prevent as many nosocomial infections as possible during the primary hospitalization of ELBW infants.
The strengths of our study include the size and international scope of our cohort. In addition, all data were collected prospectively according to a standardized protocol, and the follow-up rate at 18 months was very high. An obvious limitation is the fact that the study participants were enrolled in a randomized clinical trial.16 Consequently, the study population may not be representative of all ELBW infants who are admitted to a NICU. However, the baseline characteristics, the rates of BPD, brain injury, severe ROP, and the rates of impairments at 18 months were comparable to regional cohorts that were not derived from a clinical trial population.2,23,24 In addition, the rates of sepsis, meningitis, and NEC in this study were also comparable with other recent studies that examined the role of neonatal infection in survivors to 18 months’ corrected age.11,13 We recognize that the prevalence of meningitis may have been underestimated in those recent studies and in ours.25
Like every posthoc analysis, our study generates hypotheses that should be confirmed by other investigators. The morbidity-count model has already been validated in 2 separate regional cohorts of ELBW infants.23,24 In the current study, we planned a priori to examine only the additional prognostic effects of neonatal sepsis, meningitis, and NEC. No other variables were added to the morbidity-count model. Therefore, the risk of a type I error arising from multiple hypothesis tests was fairly low.
CONCLUSIONS
Neonatal infection or NEC adds to the prediction of a late death or survival with neurosensory impairment in ELBW survivors. However, with the exception of meningitis, infections are weaker predictors of poor long-term outcome than BPD, brain injury, and severe ROP.
What’s Known on This Subject
A count of BPD, brain injury, and severe ROP improves the prediction of long-term outcome in ELBW infants. Infection during the initial hospitalization has also been linked with adverse neurodevelopmental outcome.
What This Study Adds
Infection increases the risk of poor outcome. However, infection is a weaker predictor of outcome than BPD, brain injury, and ROP.
ACKNOWLEDGMENTS
This work was funded by Medical Research Council of Canada grant MT-13288. US centers were supported in part by Eunice Kennedy Shriver National Institute of Child Health and Human Development grants U10 HD21364, U10 HD27851, U10 HD21373, U10 HD27881; M01 RR 00997, U10 HD27880, M01 RR 00070, U10 HD21385, U10 HD27904, and U10 HD34216. Indocid PDA was donated by Merck Frosst.
Abbreviations
- ELBW
extremely low birth weight
- BPD
bronchopulmonary dysplasia
- ROP
retinopathy of prematurity
- NEC
necrotizing enterocolitis
- TIPP
Trial of Indomethacin Prophylaxis in Preterms
- OR
odds ratio
- CI
confidence interval
Footnotes
The authors have indicated they have no financial relationships relevant to this article to disclose.
This trial has been registered at www.clinicaltrials.gov (identifier NCT00009646).
The TIPP Investigators include the following individuals: Canada: British Columbia Children’s Hospital, Vancouver: A. Solimano, M. Whitfield, F. Germain, J. Tomlinson; Royal Alexandra Hospital, Edmonton: A. Peliowski, P. Etches, B. Young; Glenrose Rehabilitation Hospital, Edmonton: C. M. T. Robertson; Foothills Hospital and Alberta Children’s Hospital, Calgary: D. McMillan, R. Sauve, L. Bourcier, H. Christianson; Royal University Hospital, Saskatoon: K. Sankaran, B. Andreychuk; Health Sciences Centre, Winnipeg:, M. Seshia, O. Casiro, V. Debooy, V. Cook; St Boniface Hospital, Winnipeg: C. M. G. Cronin, D. Moddemann, N. Granke; Salvation Army Grace Hospital, Windsor: C. Nwaesei, L. St Aubin; St Joseph’s Health Centre, London: D. Reid, D. Lee, C. Kenyon, L. Whitty, J. Farrell; Hamilton Health Sciences Corporation, Hamilton: B. Schmidt, S. Saigal, P. Gillie, J. Dix, B. Zhang; Women’s College Hospital, Toronto: A. Ohlsson, E. Asztalos, L. Wiley; Hospital for Sick Children, Toronto: A. James; Kingston General Hospital, Kingston: K. F. W. Young Tai, M. Clarke; IWK Grace Health Centre, Halifax: M. Vincer, S. Stone. Australia: King Edward Memorial Hospital for Women, Perth: R. Kohan, N. French, H. Benninger; Women’s and Children’s Hospital, Adelaide: C. Barnett, R. Haslam, J. Ramsay; Royal Women’s Hospital, Melbourne: P. Davis, L. Doyle, B. Faber, K. Callanan; Mercy Hospital for Women, Melbourne: S. Fraser; Westmead Hospital, Westmead, NSW: K. Lui, M. Rochefort, E. McAvoy; Royal Women’s Hospital, Brisbane: P. Colditz, M. Pritchard; Mater Mothers’ Hospital, Brisbane: P. Steer, D. I. Tudehope, V. Flenady, J. Hegarty. New Zealand: National Women’s Hospital and Middlemore Hospital, Auckland: L. Mildenhall, W. Smith, L. McCarthy. Hong Kong: Prince of Wales Hospital, Shatin: T. F. Fok. NICHD Neonatal Research Network, United States: Stanford University Medical Center, Palo Alto: D. K. Stevenson, B. Fleisher, B. Ball; University of New Mexico School of Medicine, Albuquerque: L. A. Papile, G. Laadt, C. Backstrom; University of Texas Southwestern Medical Center at Dallas, TX: J. E. Tyson, S. Broyles, S. Madison; University of Alabama, Birmingham: W. A. Carlo, K. Nelson, M. Collins, S. Johnson; Children’s Hospital Michigan, Detroit: S. Shankaran, V. Delaney-Black, G. Muran, D. Driscoll; Emory University, Atlanta, GA: B. J. Stoll, N. Simon, E. Hale; Case Western Reserve University, Cleveland: A. A. Fanaroff, D. Wilson, M. Hack, N. Newman; University of Miami, Miami: C. R. Bauer, A. M. Worth, W. Griffin; Brown University, Providence: W. Oh, B. R. Vohr, A. Hensman. Steering Committee: B. Schmidt (Chair), P. Davis, D. Moddemann, A. Ohlsson, R. S. Roberts, S. Saigal, A. Solimano, M. Vincer, L. Wright. External Safety Monitoring Committee: M. Gent, W. Fraser, M. Perlman. BSID II Certification: R. Adkins. Audiology Central Adjudication Committee: L. Elden, C. M. T. Robertson, B. R. Vohr. Consultant Pharmacist: S. Gray. Coordinating and Methods Center: Biostatisticians: R. S. Roberts, K. Thorpe; Trial Coordinator: N. LaPierre.
Information about ordering reprints can be found online: http://www.pediatrics.org/misc/reprints.shtml
REFERENCES
- 1.Vohr BR, Wright LL, Poole WK, McDonald SA. Neurodevelopmental outcomes of extremely low birth weight infants < 32 weeks’ gestation between 1993 and 1998. Pediatrics. 2005;116(3):635–643. doi: 10.1542/peds.2004-2247. [DOI] [PubMed] [Google Scholar]
- 2.Wood NS, Marlow N, Costeloe K, Gibson AT, Wilkinson AR EPICure Study Group. Neurologic and developmental disability after extremely preterm birth. N Engl J Med. 2000;343(6):378–384. doi: 10.1056/NEJM200008103430601. [DOI] [PubMed] [Google Scholar]
- 3.The Victorian Infant Collaborative Study Group. Improved outcome into the 1990s for infants weighing 500–999 g at birth. Arch Dis Child Fetal Neonatal Ed. 1997;77(2):F91–F94. [PMC free article] [PubMed] [Google Scholar]
- 4.Partridge JC, Martinez AM, Nishida H, et al. International comparison of care for very low birth weight infants: parents’ perceptions of counseling and decision-making. Pediatrics. 2005;116(2) doi: 10.1542/peds.2004-2274. Available at: www.pediatrics.org/cgi/content/full/116/2/e263. [DOI] [PubMed]
- 5.Ambalavanan N, Baibergenova A, Carlo WA, et al. Early prediction of poor outcome in extremely low birth weight infants by classification tree analysis. J Pediatr. 2006;148(4):438–444. doi: 10.1016/j.jpeds.2005.11.042. [DOI] [PubMed] [Google Scholar]
- 6.Doyle LW Victorian Infant Collaborative Study Group. Out-come at 5 years of age of children 23 to 27 weeks’ gestation: refining the prognosis. Pediatrics. 2001;108(1):134–141. doi: 10.1542/peds.108.1.134. [DOI] [PubMed] [Google Scholar]
- 7.Schmidt B, Asztalos EV, Roberts RS, Robertson CMT, Sauve RS, Whitfield MF. Trial of Indomethacin Prophylaxis in Pre-terms (TIPP) Investigators. Impact of bronchopulmonary dysplasia, brain injury, and severe retinopathy on the outcome of extremely low-birth-weight infants at 18 months: results from the trial of indomethacin prophylaxis in preterms. JAMA. 2003;289(9):1124–1129. doi: 10.1001/jama.289.9.1124. [DOI] [PubMed] [Google Scholar]
- 8.Stoll BJ, Hansen N, Fanaroff AA, et al. Changes in pathogens causing early-onset sepsis in very-low-birth-weight infants. N Engl J Med. 2002;347(4):240–247. doi: 10.1056/NEJMoa012657. [DOI] [PubMed] [Google Scholar]
- 9.Stoll BJ, Hansen N, Fanaroff AA, et al. Late-onset sepsis in very low birth weight neonates: the experience of the NICHD Neonatal Research Network. Pediatrics. 2002;110(2 pt 1):285–291. doi: 10.1542/peds.110.2.285. [DOI] [PubMed] [Google Scholar]
- 10.Wheater M, Rennie JM. Perinatal infection is an important risk factor for cerebral palsy in very-low-birthweight infants. Dev Med Child Neurol. 2000;42(6):364–367. doi: 10.1017/s0012162200000670. [DOI] [PubMed] [Google Scholar]
- 11.Stoll BJ, Hansen NI, Adams-Chapman I, et al. National Institute of Child Health and Human Development Neonatal Research Network. Neurodevelopmental and growth impairment among extremely low-birth-weight infants with neonatal infection. JAMA. 2004;292(19):2357–2365. doi: 10.1001/jama.292.19.2357. [DOI] [PubMed] [Google Scholar]
- 12.Benjamin DK, Jr, Stoll BJ, Fanaroff AA, et al. Neonatal candidiasis among extremely low birth weight infants: risk factors, mortality rates, and neurodevelopmental outcomes at 18 to 22 months. Pediatrics. 2006;117(1):84–92. doi: 10.1542/peds.2004-2292. [DOI] [PubMed] [Google Scholar]
- 13.Hintz SR, Kendrick DE, Stoll BJ, et al. Neurodevelopmental and growth outcomes of extremely low birth weight infants after necrotizing enterocolitis. Pediatrics. 2005;115(3):696–703. doi: 10.1542/peds.2004-0569. [DOI] [PubMed] [Google Scholar]
- 14.Soraisham AS, Amin HJ, Al-Hindi MY, Singhal N, Sauve RS. Does necrotising enterocolitis impact the neurodevelopmental and growth outcomes in preterm infants with birthweight ≤1250 g? J Paediatr Child Health. 2006;42(9):499–504. doi: 10.1111/j.1440-1754.2006.00910.x. [DOI] [PubMed] [Google Scholar]
- 15.Schulzke SM, Deshpande GC, Patole SK. Neurodevelopmental outcomes of very-low-birth-weight infants with necrotizing enterocolitis: a systematic review of observational studies. Arch Pediatr Adolesc Med. 2007;161(6):583–590. doi: 10.1001/archpedi.161.6.583. [DOI] [PubMed] [Google Scholar]
- 16.Schmidt B, Davis P, Moddemann D, et al. Long-term effects of indomethacin prophylaxis in extremely-low-birth-weight infants. N Engl J Med. 2001;344(26):1966–1972. doi: 10.1056/NEJM200106283442602. [DOI] [PubMed] [Google Scholar]
- 17.An international classification of retinopathy of prematurity. Pediatrics. 1984;74(1):127–133. [PubMed] [Google Scholar]
- 18.An international classification of retinopathy of prematurity. II. The classification of retinal detachment. The International Committee for the Classification of the Late Stages of Retinopathy of Prematurity [published correction appeared in Arch Ophthalmol. 1987;105(11):1498] Arch Ophthalmol. 1987;105(7):906–912. [PubMed] [Google Scholar]
- 19.Bayley N. Manual for the Bayley Scales of Infant Development. 2nd ed. San Antonio, TX: Psychological Corporation; 1993. [Google Scholar]
- 20.Wood NS, Costeloe K, Gibson AT, Hennessy EM, Marlow N, Wilkinson AR EPICure Study Group. The EPICure study: associations and antecedents of neurological and developmental disability at 30 months of age following extremely preterm birth. Arch Dis Child Fetal Neonatal Ed. 2005;90(2):F134–F140. doi: 10.1136/adc.2004.052407. [DOI] [PMC free article] [PubMed] [Google Scholar]
- 21.Kallapur SG, Jobe AH. Contribution of inflammation to lung injury and development. Arch Dis Child Fetal Neonatal Ed. 2006;91(2):F132–F135. doi: 10.1136/adc.2004.068544. [DOI] [PMC free article] [PubMed] [Google Scholar]
- 22.Adams-Chapman I, Stoll BJ. Neonatal infection and long-term neurodevelopmental outcome in the preterm infant. Curr Opin Infect Dis. 2006;19(3):290–297. doi: 10.1097/01.qco.0000224825.57976.87. [DOI] [PubMed] [Google Scholar]
- 23.Bharwani SK, Dhanireddy R. Systemic fungal infection is associated with the development of retinopathy of prematurity in very low birth weight infants: a meta-review. J Perinatol. 2007;28(10):61–66. doi: 10.1038/sj.jp.7211878. [DOI] [PubMed] [Google Scholar]
- 24.Andersson Y, Chiu A, Debooy V, Granke N, Moddemann D, Casiro O. Prognostic value of bronchopulmonary dysplasia, brain injury and severe retinopathy in determining neurodevelopmental outcome in extremely low birth weight infants. [Accessed November 6, 2008];E-PAS. 2004 2113. Available at: www.Abstracts2ViewTM.com/PAS.
- 25.Heath JA, Christianson H, Crawford S, Creighton D, Dewey D, Sauve R. Predictive value of BPD, brain injury, and severe ROP for neurodevelopmental outcomes in ELBW infants at 5 years. [Accessed November 6, 2008];E-PAS. 2005 57 2129. Available at: www.Abstracts2ViewTM.com/PAS.
- 26.Stoll BJ, Hansen N, Fanaroff AA, et al. To tap or not to tap: high likelihood of meningitis without sepsis among very low birth weight infants. Pediatrics. 2004;113(5):1181–1186. doi: 10.1542/peds.113.5.1181. [DOI] [PubMed] [Google Scholar]

