Abstract
It is has been shown that the majority of T. cruzi strains isolated from Mexico belong to the T. cruzi I (TCI). The immune response produced in response to Mexican T. cruzi I strains has not been well characterized. In this study, two Mexican T. cruzi I strains were used to infect Balb/c mice. The Queretaro (TBAR/MX/0000/Queretaro)(Qro) strain resulted in 100% mortality. In contrast, no mortality was observed in mice infected with the Ninoa (MHOM/MX/1994/Ninoa) strain. Both strains produced extended lymphocyte infiltrates in cardiac tissue. Ninoa infection induced a diverse humoral response with a higher variety of immunoglobulin isotypes than were found in Qro-infected mice. Also, a stronger inflammatory TH1 response, represented by IL-12p40, IFNγ, RANTES, MIG, MIP-1β, and MCP-1 production was observed in Qro-infected mice when compared with Ninoa-infected mice. We propose that an exacerbated TH1 immune response is a likely cause of pathological damage observed in cardiac tissue and the primary cause of death in Qro-infected mice.
1. Introduction
Chagas' disease is a major endemic disease caused by the protozoan Trypanosoma cruzi. This parasitic disease is widely distributed throughout Latin America, affecting 18 million people [1]. In the past, it was believed that Chagas' disease was very rare in the northern part of America, including Mexico, as few human disease cases were reported. More recently, however, it has been estimated that there are as many as two million infected individuals and more than 72 000 cases in Mexico and Central America [2]. Even though these figures are only estimates, other field studies support the notion that the prevalence of T. cruzi infection might be higher in some regions of the country than previously thought [3–5]. T. cruzi has also been repeatedly found infecting insects and mammals in Mexico and the United States of America [6–8].
T. cruzi strains have been divided into six discrete typing units (DTUs) according to their genetic background. These groups are designed the T. cruzi I to VI [9]. The geographical distribution of these groups indicate that T. cruzi II to VI are the main causal agent of Chagas' disease in the southern parts of South America, with T. cruzi I only present in the sylvatic cycle [9–11]. In contrast, T. cruzi I has been reported as the primary parasite present in human cases in Colombia, Venezuela, and Central America [12–14]. In Mexico, most of the T. cruzi strains that have been genetically analyzed to date belong to the T. cruzi I group [15–17]. We have reported that this Mexican T. cruzi I strain possesses different biological characteristics such as growth rates, metaciclogenesis, and infectivity in vitro [15]. However, the pathology and immune response that these strains can induce has largely gone unstudied.
Knowledge of the pathology and immune response to T. cruzi infection has been beneficiated by data obtained from murine models. These models have shown that the innate and adaptive immune responses play an important role in parasite control, depending on the combined action of various cellular types including NK, CD4+ and CD8+ as well as on the production of antibodies by B cells [18, 19]. Resistance to T. cruzi infection has been associated with the production of the pro-inflammatory cytokines IL-12 and IFN-γ and with the local production of RANTES, MIP-1α, MIP-1β and MCP-1. These cytokines activate the production of nitric oxide by macrophages, which is responsible for elimination of the parasite [20–23]. TNF-α has also been associated with macrophage activation as a secondary signal for nitric oxide production [24]. In contrast, the Th2 cytokines IL-10, IL-4 and TGF-β are associated with parasite susceptibility [25, 26].
Since the majority of published data has been obtained from studying T. cruzi II-VI-infected mice and the genetic differences between T. cruzi II-VI and T. cruzi I strains are large, the pathology and immune response to Mexican T. cruzi I Qro and Ninoa strains were evaluated in a murine model. Even though these two strains were genetically indistinguishable using the genetic markers available until recently [16, unpublished data], differences in pathology and immune responses were found in mice infected with both strains.
2. Materials and Methods
Parasites. Mexican T. cruzi I Qro (TBAR/MX/0000/Queretaro) and Ninoa (MHOM/MX/1994/Ninoa) strains were used in this study [15, 16]. The Qro strain was isolated from the Triatoma barberi vector from the Queretaro State in Central Mexico. The Ninoa strain was obtained from a human case in Oaxaca State in the southern Pacific coast of Mexico. Both strains were maintained by serial passage in Balb/c mice.
Mice. Six–eight-week-old female Balb/c mice were obtained from the Animal House of the Instituto de Investigaciones Biomedicas (UNAM, Mexico City, Mexico) and maintained under standard conditions. Groups of 9 to 12 mice were injected intraperitoneally with 1 × 104 or 1 × 105 blood-form trypomastigotes (BT). Parasitemia was determined every third day by blood microscopy observation. Groups of 28 mice were used for daily monitored of survival. All animal research followed the Instituto de Investigaciones Biomedicas ethical committee's guidelines.
Histopathological Evaluation. Groups of four Ninoa- or Qro-infected mice were sacrificed under anesthesia on day 21 post infection (pi). Groups of three age-matched control mice were sacrificed at the same time point. The myocardium was fixed in neutral 4% paraformaldehyde and embedded in paraffin. Serial 5-μm sections were prepared and stained with hematoxylin and eosin (H-E) and examined using light microscopy on an Optiphot-2 microscope (Nikon).
The inflammatory infiltrates were subdivided into focal and diffuse infiltrates, depending on how closely the inflammatory cells were associated [27].
Characterization of Specific Antibodies and Antigens. Specific T. cruzi antibodies were detected by an indirect ELISA using an epimastigote extract as previously described [28]. The antibody isotypes and antigens recognized by the specific antibodies were determined at days 0, 4, 8, 12, 16, 20, 25, 30, 35, 40, 50, 60 70, 80, 90, 100, and 150 post-infection by western blot. Briefly, proteins from the total extract from both strains were separated by sodium dodecyl sulfate-polyacrylamide gel electrophoresis and transferred to nitrocellulose membranes. After overnight saturation in PBS containing 10% skim milk at 4°C with constant shaking, the nitrocellulose membrane was cut into strips that were individually incubated (2 hrs at 37°C) with 1 ml of mouse serum diluted 1 : 500 in PBS/10% skim milk. Each strip was washed three times with PBS-0.1% Tween 20 and incubated with goat antimouse IgG1, IgG2a, IgG2b, IgG3, IgA and IgM (diluted 1 : 2,000) for 2 hrs at room temperature. Then the strips were washed as above and a peroxidase-conjugated antigoat antibody was added. After washing, the reaction was developed with 0.5 μg/mL of diaminobenzidine in PBS containing 0.02% H2O2. The reaction was stopped with water. Positive (chronically infected mice) and negative control (non infected mice) sera were included in each experiment.
T Cell Proliferation Assay. Spleens were removed aseptically from anesthetized Balb/c mice at 15, 21 and 98 days post-infection and spleen cell suspensions were prepared. Cultures of spleen cell suspensions (1 × 105 in RPMI medium containing 10% heat inactivated serum, 100 U/mL penicillin, 100 μg/mL streptomycin and, 100 U/mL gentamicin) were set up in triplicate in microculture plates. Then cells were stimulated with 1 μg/mL of concanavalin A (Con A) or 20 μg/mL of epimastigote total extract. After culturing for 48 hours at 37°C with 5% CO2, 1.0 μCi of (3H) thymidine per well was added. Twenty hours later, cells were harvested onto filters, dried and placed in scintillation fluid and counted in a scintillation counter. The stimulation index (SI) was obtained by dividing the infected cells' counts per minute between the control group's counts [29].
CD4+ and CD8+ Cells. FACS analysis was used to quantify CD4+ and CD8+ lymphocytes. Briefly, spleen cell suspensions (1 × 106) were obtained from infected and control mice and were stained with 1 μg of FITC-labeled antibodies against CD4 or PE-labeled antibodies against CD8. Cells were analyzed by FACS (Becton and Dickinson) [29].
Cuantification of Murine Cytokines. Levels of IFN-γ, IL-12p40, IL-4 and IL-10 cytokines in sera (diluted 1 : 10) were assayed in a two-site ELISA following the manufacturer's instructions (ENDOGEN, Cambridge). Cytokine levels were calculated by reference to a standard curve constructed with recombinant cytokines included in the commercial kit.
RT-PCR Assay for Measuring Expression of Chemokine mRNA. RNA was isolated from cardiac muscle of infected mice and controls by TRIZOL (Invitrogen). Before RT-PCR, RNA was incubated with amplification grade DNasas I (Invitrogen). Levels of MIG (CXCL9), MCP-1(CCL2), MIP-1β (CCL4), RANTES (CCL5), and β-actin (as control) mRNA were determined by SuperScript One-step RT-PCR with Taq Platinum (Invitrogen). The primer (sense and antisense) sequences, the number of cycles, and expected product sizes have been published previously [21, 30]. For all primer pairs, a negative control (without template) was run in parallel. Reactions were performed using a PTC-100 thermal cycler (MJ Research. INC). PCR products and molecular weight marker were run on 2% agarose gels and stained with Ethidium bromide.
PCR products were quantified with a densitometer (Fluor-S MultiImager, Bio-Rad) using the Quantity One version 4.4.1 (Bio-Rad) program. Densitometry values were corrected using the mouse β-actin value for the same sample.
Statistical analysis. Data regarding parasitemia, percentage of survival, SI, percentage of CD4+ and CD8+ cells and cytokine/chemokine quantification represent the values derived from three independent experiments containing at least 3 mice per group. Arithmetic means and standard deviations of the means were calculated. Student's t-test was used to analyze the statistical significance of the differences observed in RT-PCR analysis. Differences were considered statistically significant when P ≤ .05. To analyze data regarding parasitemia, cytokine levels, SI values, and percentage of CD4+/CD8+ cells, ANOVA and X2 Test were used, with significance assigned for values of P ≤ .05 [31].
3. Results
Parasite infectivity was determined by blood microscopy observation. When 1 × 104 T. cruzi BT were used, the parasites were observed at day 3 post-infection for Qro-infected mice and at day 7 post-infection for Ninoa infected mice. A rapid and continuous increase in parasitemia for both strains was observed, with blood stream parasites reaching a peak at day 28–31 post-infection (Figure 1(a)). Mice infected with Qro tripomastigotes showed significantly higher levels of blood parasitemia (2.9 ± 0.327 million blood tripomastigotes/mL) than the mice infected with the Ninoa strain (1.6 ± 0.306 million blood tripomastigotes/mL) at the peak of blood parasitemia. Nevertheless, no significant differences were found throughout the rest of the blood parasitemia curve. Based on this result, the acute phase was defined as ranging from the initial infection until three months post-infection, with the chronic phase following immediately after. Similar results were found when 1 × 105 parasites were used (data not shown).
Figure 1.
Parasitemia and Survival curve in mice infected with T. cruzi BT. Mice were inoculated ip with 1 × 104 BT Ninoa (▴) or Qro (∆) strains. (a) Parasite number in blood was determined by counting in a Neubauer chamber using an optic microscopy. Statistical differences in blood parasite number are indicated (*P < .05) at 25 y 29 days post infection. (b) Survival of mice infected with T. cruzi strains was evaluated using groups of 28 mice infected with T. cruzi strains. Daily direct observation was done and dead mice were recorded.
Importantly, significant differences in mortality percentages were observed when mice infected with different strains were compared. In the majority of the experiments, all mice infected with 1 × 104 Qro BT were killed by day 57 postinfection. In other experiments, the mortality rate was 60% (data not shown). In contrast, no mortality was observed in Ninoa-infected mice (Figure 1(b)). Macroscopic enlarged spleen was observed in infected mice, with a significant difference in weight and size when comparing Qro and Ninoa infected mice (Figure 2).
Figure 2.
Spleen changes of mice infected with T. cruzi strains. Groups of three mice were inoculated with PBS (grey bar) or 1 × 105 T. cruzi BT of Ninoa (white bar) or Qro (black bar) strains and spleens were obtained at acute phase of infection. (a) Growth of spleen from mice infected with Ninoa (center) and Qro (right) strains compared with control non infected mice (left). Size (b) and Weight (c) of spleen from mice infected. Media value and standard deviation are shown. Statistical differences (P < .001) were determined between control and infected mice (*) and between Ninoa and Qro strains (**) by ANOVA Bonferroni post-test.
Both strains were cardiotrophic, as a number of amastigote nests were observed in this organ. Lymphocyte infiltrates were observed in H&E stained cardiac tissue. At day 21 post-infection, visible lymphocyte infiltrates were observed in the cardiac tissue of mice infected with both strains. Some regions also displayed visible edema. Both diffuse and focal lymphocyte infiltrates were observed (Figure 3).
Figure 3.
Cardiac tissue histology of mice infected whit T. cruzi strains. Mice infected with 1 × 104 parasites were sacrificed at day 21 post infection and heart was recovered. Tissue was fixed in 4% paraformaldehyde and embedded in paraffin. Five μm sections were Hemotoxilin-Eosin stained and observed at 20× in optical microscope. (a) Control noninfected mice, (b) Mice infected with Ninoa strain, and (c) Mice infected with Qro strain.
Pooled sera from 3 to 6 Ninoa- or Qro-infected mice were tested by ELISA. Infected mice showed an increase in specific IgG isotypes during the acute phase of infection, reaching similar OD values by day 29 post-infection. In Ninoa-infected mice, antibodies were detected until the early chronic phase of the infection (80 days post-infection) (Figure 4).
Figure 4.
Immunoglobulin profile in serum of mice infected with T. cruzi I strains. Mice were inoculated ip with 1 × 104 T. cruzi BT of Ninoa (▴) or Qro (∆) strains. IgG antobodies were determined by ELISA as described in materials and methods and are showed as media value ± SD.
Interestingly, when antibody isotypes were determined, a clear difference was observed. Ninoa-infected mice produced IgM and IgG2a during the early phase of infection. Later in the course of infection, (day 35–40 post-infection) IgG1, IGg2b, IgG3, and IgA were produced. In contrast, Qro-infected mice displayed a notable reduction in specific isotype production. IgM (25 days post-infection) and IgG2a (40 days post-infection) were the only isotypes detected in the sera of these mice (Table 1). In western blots of sera from Ninoa-infected mice, three main antigens (70, 45–50, and 30 kDa) were recognized by the majority of isotypes being produced by day 20 post-infection. A fourth major antigen (100 kDa) was recognized later in the course of the infection by IgG1 and Ig2a isotypes. Sera from Qro-infected mice recognized antigens of 70, 40, and 35 kDa (Table 1).
Table 1.
Immunoglobulin isotype and kinetics of antigen recognized in mice infected with T. cruzi I strains.
| Strain | Isotype | Antigens recognized (kDa) | Days post-infection | |||||||||||
|---|---|---|---|---|---|---|---|---|---|---|---|---|---|---|
| 20 | 25 | 30 | 35 | 40 | 50 | 60 | 70 | 80 | 90 | 100 | 150 | |||
| Ninoa | IgG1 | 45–50 | X | X | X | X | X | X | X | X | X | |||
| 70 | X | X | X | X | X | X | X | X | X | |||||
| 100 | X | X | X | X | X | |||||||||
| IgG2a | 45–50 | X | X | X | X | X | X | X | X | X | X | X | ||
| 70 | X | X | X | X | X | X | X | X | X | X | ||||
| 100 | X | X | X | X | X | X | ||||||||
| IgG2b | 45–50 | X | X | X | X | X | X | X | X | X | ||||
| 70 | X | X | X | X | X | X | X | X | ||||||
| 100 | X | X | ||||||||||||
| IgG3 | 45–50 | X | X | X | X | X | X | X | X | |||||
| 70 | X | X | X | X | X | X | X | X | ||||||
| IgM | 30 | X | X | X | X | X | X | X | X | X | X | X | X | |
| 45–50 | X | X | X | X | X | X | X | X | X | X | X | |||
| 70 | X | X | X | X | X | X | X | X | X | X | X | |||
| IgA | 45–50 | X | X | X | X | X | X | X | X | |||||
| 70 | X | X | X | X | X | X | X | |||||||
| Qro | IgG2a | 70 | X | X | ||||||||||
| IgM | 40 | X | X | X | X | X | ||||||||
| 35 | X | X | X | X | X | |||||||||
Isotype of IgG and molecular weight of antigens recognized during infection course (X) are showed in days post-infection.
When spleen cells from acute phase mice were obtained and stimulated with parasite antigens (20 μg/mL), a significant increase in proliferative response to these antigens was observed in both groups of infected mice. No significant differences were found between the SI of spleen cells from Ninoa- or Qro-infected mice (2.9 ± 0.05 versus 2.2 ± 1, resp.). During the chronic phase of infection, which was only reached by Ninoa-infected mice, no differences were observed compared to noninfected mice. When Con A was used for stimulation, no differences were found between infected and control mice (data not shown).
Percentages of CD4+ T lymphocytes were significantly lower in infected mice than in noninfected controls in the acute phase, regardless of strain. Additionally, no differences were found when CD8+ cells were analyzed in the acute phase (Table 2). In the chronic phase of Ninoa infection, the levels of CD4+ cells were reestablished, reaching levels similar to noninfected controls. Furthermore, a significant percentage of CD8+ T cells were observed in Ninoa-infected mice during the chronic phase. These phenomena were observed independently of the initial parasite inoculums used (Table 2).
Table 2.
Percentage of CD4+ and CD8+ lymphocytes in mice infected with T. cruzi I strains.
| Strain (infection phase) | Parasites | CD4+ | CD8+ |
|---|---|---|---|
| Ninoa (acute) | PBS | 28.8 ± 1 | 11.8 ± 0.1 |
| 1 × 104 | 15.1 ± 2.6* | 11.8 ± 2.6 | |
| 1 × 105 | 18 ± 2.5* | 16.3 ± 1.9 | |
| Ninoa (chronic) | PBS | 25.8 ± 8 | 9.9 ± 4.1 |
| 1 × 104 | 30.3 ± 11.6 | 23.2 ± 7.8* | |
| 1 × 105 | 25.3 ± 7.4 | 18 ± 8.7* | |
| Qro (acute) | PBS | 24 ± 3.3 | 10.5 ± 4.6 |
| 1 × 104 | 17 ± 3.3* | 11.7 ± 4.3 | |
| 1 × 105 | 14 ± 2.5* | 10 ± 6 | |
Mean ± standard deviation of three independent assays. Statistical differences between parasited and control mice are indicated (*P < .05). Control mice were inoculated with phosphate buffer saline (PBS).
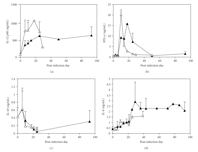
The concentration of TH1 IL-12p40 was higher in the blood of Qro-infected mice than in Ninoa-infected mice. Significant differences were observed even in the first days of infection. The expression of IL-12 correlated with the expression of IFNγ, which increased significantly within 10 days post-infection in Qro-infected mice. In Ninoa-infected mice, IFNγ production was dampened, reaching a maximum concentration eight days after Qro-infected mice (Figure 5). With respect to the TH2 cytokines, the concentration of IL4 increased slowly, reaching a maximum concentration by day 29 post-infection in Ninoa-infected mice. A similar pattern was observed in Qro-infected mice. With respect to IL10, we observed a slight increase in the first day of infection followed by a decline in overall levels, with no significant differences observed between strains.
Figure 5.
Serum cytokine concentration in mice infected with T. cruzi I strains. Groups of nine mice were inoculated with 1 × 104 BT Qro (∆) or Ninoa BT (▴). Serum was obtained from ocular plexus each 3rd day and pooled. Cytokines were measured by ELISA and presented as average of two experiments with standard deviation. (a) IL-12 p40, (b) IFNγ, (c) IL-10, and (d) IL-4. Statistical differences between mice infected with either strain are indicated (*P < .05).
Because the heart is the primary site of parasite infection, it was important to measure the concentration of the major chemokines associated with T. cruzi infection. MCP-1, MIP-1β, RANTES, and MIG mRNA expression in cardiac tissue were measured during the acute phase (21 days post-infection). In all cases, a significant increase in chemokine mRNA expression was observed in mice infected with either strain. A significant increase in the expression of MCP-1, MIP-1β, and MIG mRNA was found in the cardiac tissue of mice infected with Qro compared with Ninoa-infected mice. In contrast, no differences in RANTES expression were observed in mice infected with either strain (Figure 6).
Figure 6.
mRNA expression of MIG (CXCL9), MCP-1 (CCL2), MIP-1β (CCL4), and Rantes (CCL5) in cardiac tissue of Balb/c mice infected with 1 × 105 BT of T. cruzi. Total RNA was obtained at day 21 post infection and chemokines expression was determined by RT-PCR as described in material and methods. PCR products were analyzed in 2% agarose gels stained with ethidium bromide. Semicuantitative analysis was done. Values are average of 4 mice from 3 independent assays. Grey bar control, black bar Ninoa strain and White bar Qro strain. In the case of MIG and MIP-1β no detectable levels of chemokines were found in the control tissues. Significant differences (*P < .05) in chemokine expression were found in cardiac tissue of control versus infected mice. Differences between T. cruzi strains were also founded (⋆P < .05).
4. Discussion
The human parasite T. cruzi contains many strains and clones that show a great deal of genetic heterogeneity [32]. It is now accepted that T. cruzi strains can be divided into six DTUs, T. cruzi I to VI [9]. As mentioned earlier, the geographic distribution of these genetic types is different and has important epidemiological implications [32, 33]. Our group has demonstrated the existence of T. cruzi I parasites in the domestic cycle as well as a few TCII strains in the sylvatic cycle in Mexico [15, 16]. Furthermore, differences in growth, metaciclogenesis and in vitro infectivity have been demonstrated for these strains [15].
It has also been found that different T. cruzi populations correlate with differences in pathology observed in patients [34]. Also, the fact that genetically similar parasite strains can be obtained from patients with distinct clinical forms of the disease suggests that the host immune response may represent an important factor in determining the outcome of infection [34, 35].
In the present study, we have shown that two genetically similar T. cruzi I strains can possess notable differences in their in vivo infectivity and pathogenesis as well as in the immune response induced in a susceptible murine model.
We demonstrated that the two T. cruzi I strains analyzed here result in different levels of blood parasitemia, with Qro-infected mice having double the number of parasites observed in Ninoa-infected mice at the peak of blood parasitemia. However, no difference in blood parasitemia was found during other stages of infection. This phenomenon was observed with two different initial inoculums. Both strains were cardiotrophic, showing intense lymphocyte infiltration in the cardiac tissue along with diffuse infiltration over large areas in the heart. It is worth mentioning that the physical aspects of Qro-infected mice were different from Ninoa; the former presented bristly hair and paralysis of the posterior legs. Also a significant increase of the weight and size of the infected mice spleen was observed.
More important were the differences in mortality rates that were induced by the two strains. Qro infection resulted in 60% to 100% mortality (depending on the initial inoculum). In contrast, Ninoa infection did not produce significant mortality, regardless of initial inoculum. These results indicate an enormous difference in virulence between these two strains. To find a possible explanation for this observation, the host immune response was analyzed.
In the acute phase, SI data indicated an increase in the number of spleen cells activated by parasite antigens. Surprisingly, in our model, no increase in CD4+ T cell activation was observed. On the contrary, a significant decrease was found following infection with either strain, conflicting with other previously published murine models using T. cruzi I and T. cruzi II-VI strains [36, 37]. It is possible that macrophages, NK, and CD8 cells are responsible for the increased levels of TH1 cytokines observed in this study, which would agree with other murine models [21, 30, 38, 39]. In the chronic phase of Ninoa infection, recovery of CD4+ T cells was observed, reaching similar levels to uninfected controls. CD8+ T cell levels remained unchanged in the acute phase and showed a significant increase in the chronic phase of Ninoa infection, in agreement with their timing for expansion and contraction phases in T. cruzi infection [40]. Furthermore, as has been recently postulated T cruzi-specific CD8+ T cells develop in the absence of CD4+ T cells and display similar effector functions but fail to control parasite load [41, 42].
The TH1 response was characterized by high levels of IL-12p40 and IFNγ. Interestingly, higher concentration and early appearance of these cytokines was only observed in Qro-infected mice. Levels of the regulatory cytokine IL-10 were low and levels of IL-4 peaked later, around 30 days post-infection. Also, chemokine profiles in the acute phase were different, with high levels of RANTES found in mice infected either both strains, but with higher levels of cardiac MIG, MCP-1, and MIP-1β being observed only in Qro-infected mice. These chemokines are known to induce production of nitric oxide in infected macrophages [21, 43, 44]. They are also known to induce attraction of immune cells to cardiac tissue, as has been demonstrated with the Colombiana strain [45].
Interestingly, an enormous difference was observed when antibody isotypes where analyzed. The Ninoa strain induced IgM and IgG2a in the early acute phase and IgG1, IgG2b, IgG3, and IgA after 30 days post-infection. In contrast, the Qro strain induced only IgM and IgG2a in the early acute phase, with a notable difference in recognized antigens. The presence of a higher number of isotypes in Ninoa-infected mice could be one of the factors responsible for improved control of parasitemia, as IgG antibodies have been related to parasite resistance in murine models [46, 47]. Interestingly, it has been reported that genetic diversity between T. cruzi I and T. cruzi II-VI strains influences the immunoglobulin profile elicited during murine infection, but no differences between T. cruzi I strains were found [48].
In the T. cruzi I infection model presented here, a vigorous humoral response accompanied by a significant but moderate TH1 cellular response resulted in control of parasitemia and limited pathology, allowing the recovery and survival of Ninoa-infected mice. In contrast, a weak humoral response with a potent THI proinflammatory profile produced an uncontrolled inflammatory reaction. The decrease of CD4+ cells together with high in vitro secretion of TNFα by Qro-infected J774 cells (unpublish data) suggest that this T. cruzi strain could induce a phenomenon similar to the toxemic state observed in severe infections, between other pathological mechanisms that could explain the death of Qro-infected mice [49, 50]. Studies looking for apoptotic death of T lymphocytes and TNF and Fas ligand measurements must be carry on with this model in order to clarify this point.
As in our model, a TH1 response has been reported in active Chiclero's ulcer produced by Leishmania mexicana [51], indicating that the TH1/TH2 paradigm is not always present in these complex host-parasite relationships.
In conclusion, intense cardiomyopathy in the acute phase with vigorous humoral immune response, followed by the reestablishment of CD4+ and CD8+ cells and associated animal survival observed in Ninoa infection represents a useful model for the study of immune mechanisms that allow the host to overcome parasite infection. On the other hand, the highly virulent T. cruzi I Qro strain provides a useful model to study virulence factors that result in the death of infected mice. Additional studies should be conducted on the T. cruzi I strains from the northern part of the American Continent, as they are responsible for most cases of Chagas' disease in this area.
Acknowledgment
This work was supported by Grant 47822-Q from CONACyT, México, and DGAPA IN229209 PAPIIT, UNAM (to B. E.).
References
- 1.WHO. Tech. Rep. 905. Geneva, Switzerland: WHO ; 2002. Control of chagas disease, second report of WHO expert committee; p. p. 109. [Google Scholar]
- 2.Schofield CJ, Dujardin J-P. Chagas disease vector control in Central America. Parasitology Today. 1997;13(4):141–144. doi: 10.1016/s0169-4758(97)89811-0. [DOI] [PubMed] [Google Scholar]
- 3.Trujillo Contreras F, Lozano Kasten F, Soto Gutiérrez MM, Hernández Gutiérrez R. Prevalencia de infección a Trypanosoma cruzi en donadores de sangre en el Estado de Jalisco, México. Revista da Sociedade Brasileira de Medicina Tropical. 1993;26(2):89–92. doi: 10.1590/s0037-86821993000200004. [DOI] [PubMed] [Google Scholar]
- 4.Rangel-Flores H, Sánchez B, Mendoza-Duarte J, et al. Serologic and parasitologic demonstration of Trypanosoma cruzi infections in an urban area of central Mexico: correlation with electrocardiographic alterations. American Journal of Tropical Medicine and Hygiene. 2001;65(6):887–895. doi: 10.4269/ajtmh.2001.65.887. [DOI] [PubMed] [Google Scholar]
- 5.Villagrán ME, Sánchez-Moreno M, Marín C, Uribe M, de la Cruz JJ, de Diego JA. Seroprevalence to Trypanosoma cruzi in rural communities of the state of Querétaro (Mexico). Statistical evaluation of tests. Clinical Biochemistry. 2009;42(1-2):12–16. doi: 10.1016/j.clinbiochem.2008.09.122. [DOI] [PubMed] [Google Scholar]
- 6.Martínez FH, Villalobos GC, Cevallos AM, et al. Taxonomic study of the Phyllosoma complex and other triatomine (Insecta: Hemiptera: Reduviidae) species of epidemiological importance in the transmission of Chagas disease: using ITS-2 and mtCytB sequences. Molecular Phylogenetics and Evolution. 2006;41(2):279–287. doi: 10.1016/j.ympev.2006.05.002. [DOI] [PubMed] [Google Scholar]
- 7.Kjos SA, Snowden KF, Craig TM, Lewis B, Ronald N, Olson JK. Distribution and characterization of canine Chagas disease in Texas. Veterinary Parasitology. 2008;152(3-4):249–256. doi: 10.1016/j.vetpar.2007.12.021. [DOI] [PubMed] [Google Scholar]
- 8.Click Lambert R, Kolivras KN, Resler LM, Brewster CC, Paulson SL. The potential for emergence of Chagas disease in the United States. Geospatial Health. 2008;2(2):227–239. doi: 10.4081/gh.2008.246. [DOI] [PubMed] [Google Scholar]
- 9.Zingales B, Andrade SG, Machado MR, et al. A new consensus for Trypanosoma cruzi intraspecific nomenclature: second revision meeting recommends T. cruzi I to TcVI. Mem Inst Oswaldo Cruz. 2009;104(7):1051–1054. doi: 10.1590/s0074-02762009000700021. [DOI] [PubMed] [Google Scholar]
- 10.Di Noia JM, Buscaglia CA, De Marchi CR, Almeida IC, Frasch ACC. A Trypanosoma cruzi small surface molecule provides the first immunological evidence that Chagas’ disease is due to a single parasite lineage. Journal of Experimental Medicine. 2002;195(4):401–413. doi: 10.1084/jem.20011433. [DOI] [PMC free article] [PubMed] [Google Scholar]
- 11.Fernandes O, Mangia RH, Lisboa CV, et al. The complexity of the sylvatic cycle of Trypanosoma cruzi in Rio de Janeiro state (Brazil) revealed by the non-transcribed spacer of the mini-exon gene. Parasitology. 1999;118(2):161–166. doi: 10.1017/s0031182098003709. [DOI] [PubMed] [Google Scholar]
- 12.Añez N, Crisante G, Da Silva FM, et al. Predominance of lineage I among Trypanosoma cruzi isolates from Venezuelan patients with different clinical profiles of acute Chagas’ disease. Tropical Medicine and International Health. 2004;9(12):1319–1326. doi: 10.1111/j.1365-3156.2004.01333.x. [DOI] [PubMed] [Google Scholar]
- 13.Black CL, Ocaña S, Riner D, et al. Household risk factors for Trypanosoma cruzi seropositivity in two geographic regions of Ecuador. Journal of Parasitology. 2007;93(1):12–16. doi: 10.1645/GE-899R.1. [DOI] [PubMed] [Google Scholar]
- 14.Mejía-Jaramillo AM, Peña VH, Triana-Chávez O. Trypanosoma cruzi: biological characterization of lineages I and II supports the predominance of lineage I in Colombia. Experimental Parasitology. 2009;121(1):83–91. doi: 10.1016/j.exppara.2008.10.002. [DOI] [PubMed] [Google Scholar]
- 15.López-Olmos V, Pérez-Nasser N, Piñero D, Ortega E, Hernandez R, Espinoza B. Biological characterization and genetic diversity of Mexican isolates of Trypanosoma cruzi. Acta Tropica. 1998;69(3):239–254. doi: 10.1016/s0001-706x(97)00131-9. [DOI] [PubMed] [Google Scholar]
- 16.Bosseno M-F, Barnabé C, Gastélum EM, et al. Predominance of Trypanosoma cruzi lineage I in Mexico. Journal of Clinical Microbiology. 2002;40(2):627–632. doi: 10.1128/JCM.40.2.627-632.2002. [DOI] [PMC free article] [PubMed] [Google Scholar]
- 17.Ruíz-Sánchez R, de León MP, Matta V, et al. Trypanosoma cruzi isolates from Mexican and Guatemalan acute and chronic chagasic cardiopathy patients belong to Trypanosoma cruzi I. Memorias do Instituto Oswaldo Cruz. 2005;100(3):281–283. doi: 10.1590/s0074-02762005000300012. [DOI] [PubMed] [Google Scholar]
- 18.Brener Z, Gazzinelli RT. Immunological control of Trypanosoma cruzi infection and pathogenesis of Chagas’ disease. International Archives of Allergy and Immunology. 1997;114(2):103–110. doi: 10.1159/000237653. [DOI] [PubMed] [Google Scholar]
- 19.DosReis GA. Cell-mediated immunity in experimental Trypanosoma cruzi infection. Parasitology Today. 1997;13(9):335–342. doi: 10.1016/s0169-4758(97)01073-9. [DOI] [PubMed] [Google Scholar]
- 20.Aliberti JCS, Cardoso MAG, Martins GA, Gazzinelli RT, Vieira LQ, Silva JS. Interleukin-12 mediates resistance to Trypanosoma cruzi in mice and is produced by murine macrophages in response to live trypomastigotes. Infection and Immunity. 1996;64(6):1961–1967. doi: 10.1128/iai.64.6.1961-1967.1996. [DOI] [PMC free article] [PubMed] [Google Scholar]
- 21.Aliberti JCS, Machado FS, Souto JT, et al. β-Chemokines enhance parasite uptake and promote nitric oxide-dependent microbiostatic activity in murine inflammatory macrophages infected with Trypanosoma cruzi. Infection and Immunity. 1999;67(9):4819–4826. doi: 10.1128/iai.67.9.4819-4826.1999. [DOI] [PMC free article] [PubMed] [Google Scholar]
- 22.Antúnez MI, Cardoni RL. IL-12 and IFN-γ production, and NK cell activity, in acute and chronic experimental Trypanosoma cruzi infections. Immunology Letters. 2000;71(2):103–109. doi: 10.1016/s0165-2478(99)00172-8. [DOI] [PubMed] [Google Scholar]
- 23.Talvani A, Ribeiro CS, Aliberti JCS, et al. Kinetics of cytokine gene expression in experimental chagasic cardiomyopathy: tissue parasitism and endogenous IFN-γ as important determinants of chemokine mRNA expression during infection with Trypanosoma cruzi. Microbes and Infection. 2000;2(8):851–866. doi: 10.1016/s1286-4579(00)00388-9. [DOI] [PubMed] [Google Scholar]
- 24.Abrahamsohn IA, Coffman RL. Trypanosoma cruzi: IL-10, TNF, IFN-γ and IL-12 regulate innate and acquired immunity to infection. Experimental Parasitology. 1996;84(2):231–244. doi: 10.1006/expr.1996.0109. [DOI] [PubMed] [Google Scholar]
- 25.Rodrigues MM, Ribeirão M, Boscardin SB. CD4 Th1 but not Th2 clones efficiently activate macrophages to eliminate Trypanosoma cruzi through a nitric oxide dependent mechanism. Immunology Letters. 2000;73(1):43–50. doi: 10.1016/s0165-2478(00)00205-4. [DOI] [PubMed] [Google Scholar]
- 26.Hiyama K, Hamano S, Nakamura T, Nomoto K, Tada I. IL-4 reduces resistance of mice to Trypanosoma cruzi infection. Parasitology Research. 2001;87(4):269–274. doi: 10.1007/pl00008577. [DOI] [PubMed] [Google Scholar]
- 27.Sun J, Tarleton RL. Predominance of CD8+ T lymphocytes in the inflammatory lesions of mice with acute Trypanosoma cruzi infection. American Journal of Tropical Medicine and Hygiene. 1993;48(2):161–169. doi: 10.4269/ajtmh.1993.48.161. [DOI] [PubMed] [Google Scholar]
- 28.Sánchez B, Monteón V, Reyes PA, Espinoza B. Standardization of Micro-Enzyme-Linked Immunosorbent Assay (ELISA) and Western blot for detection of Trypanosoma cruzi antibodies using extracts from Mexican strains as Antigens. Archives of Medical Research. 2001;32(5):382–388. doi: 10.1016/s0188-4409(01)00303-4. [DOI] [PubMed] [Google Scholar]
- 29.Coligan JE, Kruisbeek AM, Margulies DH, et al. Current Protocols in Immunology. Someerset, NJ, USA: John Wiley & Sons; 2009. [Google Scholar]
- 30.Machado FS, Martins GA, Aliberti JCS, Mestriner FLAC, Cunha FQ, Silva JS. Trypanosoma cruzi-infected cardiomyocytes produce chemokines and cytokines that trigger potent nitric oxide-dependent trypanocidal activity. Circulation. 2000;102(24):3003–3008. doi: 10.1161/01.cir.102.24.3003. [DOI] [PubMed] [Google Scholar]
- 31.Hays WL. Statistics. New York, NY, USA: The Dryden Press; 1998. [Google Scholar]
- 32.Tibayrenc M. Genetic subdivisions within Trypanosoma cruzi (Discrete Typing Units) and their relevance for molecular epidemiology and experimental evolution. Kinetoplastid Biology and Disease. 2003;2 doi: 10.1186/1475-9292-2-12. [DOI] [PMC free article] [PubMed] [Google Scholar]
- 33.Yeo M, Acosta N, Llewellyn M, et al. Origins of Chagas disease: didelphis species are natural hosts of Trypanosoma cruzi I and armadillos hosts of Trypanosoma cruzi II, including hybrids. International Journal for Parasitology. 2005;35(2):225–233. doi: 10.1016/j.ijpara.2004.10.024. [DOI] [PubMed] [Google Scholar]
- 34.Vago AR, Andrade LO, Leite AA, et al. Genetic characterization of Trypanosoma cruzi directly from tissues of patients with chronic chagas disease: differential distribution of genetic types into diverse organs. American Journal of Pathology. 2000;156(5):1805–1809. doi: 10.1016/s0002-9440(10)65052-3. [DOI] [PMC free article] [PubMed] [Google Scholar]
- 35.Macedo AM, Machado CR, Oliveira RP, Pena SDJ. Trypanosoma cruzi: genetic structure of populations and relevance of genetic variability to the pathogenesis of chagas disease. Memorias do Instituto Oswaldo Cruz. 2004;99(1):1–12. doi: 10.1590/s0074-02762004000100001. [DOI] [PubMed] [Google Scholar]
- 36.Hoft DF, Schnapp AR, Eickhoff CS, Roodman ST. Involvement of CD4+ Th1 cells in systemic immunity protective against primary and secondary challenges with Trypanosoma cruzi. Infection and Immunity. 2000;68(1):197–204. doi: 10.1128/iai.68.1.197-204.2000. [DOI] [PMC free article] [PubMed] [Google Scholar]
- 37.Garzon E, Genna F, Bosseno MF, et al. Differential infectivity and immunopathology in murine experimental infections by two natural clones belonging to the Trypanosoma cruzi I lineage. Parasitology. 2005;131(1):109–119. doi: 10.1017/s003118200400722x. [DOI] [PubMed] [Google Scholar]
- 38.dos Santos PVA, Roffê E, Santiago HC, et al. Prevalence of CD8+αβ T cells in Trypanosoma cruzi-elicited myocarditis is associated with acquisition of CD62LLowLFA-1HighVLA-4High activation phenotype and expression of IFN-γ-inducible adhesion and chemoattractant molecules. Microbes and Infection. 2001;3(12):971–984. doi: 10.1016/s1286-4579(01)01461-7. [DOI] [PubMed] [Google Scholar]
- 39.Teixeira MM, Gazzinelli RT, Silva JS. Chemokines, inflammation and Trypanosoma cruzi infection. Trends in Parasitology. 2002;18(6):262–265. doi: 10.1016/s1471-4922(02)02283-3. [DOI] [PubMed] [Google Scholar]
- 40.Tzelepis F, Persechini PM, Rodrigues MM. Modulation of CD4+ T cell-dependent specific cytotoxic CD8+ T cells differentiation and proliferation by the timing of increase in the pathogen load. PLoS ONE. 2007;2(4, article e393) doi: 10.1371/journal.pone.0000393. [DOI] [PMC free article] [PubMed] [Google Scholar]
- 41.Padilla A, Xu D, Martin D, Tarleton R. Limited role for CD4+ T-cell help in the initial priming of Trypanosoma cruzi-specific CD8+ T cells. Infection and Immunity. 2007;75(1):231–235. doi: 10.1128/IAI.01245-06. [DOI] [PMC free article] [PubMed] [Google Scholar]
- 42.Padilla AM, Bustamante JM, Tarleton RL. CD8+ T cells in Trypanosoma cruzi infection. Current Opinion in Immunology. 2009;21(4):385–390. doi: 10.1016/j.coi.2009.07.006. [DOI] [PMC free article] [PubMed] [Google Scholar]
- 43.Villalta F, Zhang Y, Bibb KE, Kappes JC, Lima MF. The cysteine-cysteine family of chemokines RANTES, MIP-1α, and MIP-1β induce trypanocidal activity in human macrophages via nitric oxide. Infection and Immunity. 1998;66(10):4690–4695. doi: 10.1128/iai.66.10.4690-4695.1998. [DOI] [PMC free article] [PubMed] [Google Scholar]
- 44.Aliberti JCS, Souto JT, Marino APMP, et al. Modulation of chemokine production and inflammatory responses in interferon-γ- and tumor necrosis factor-R1-deficient mice during Trypanosoma cruzi infection. American Journal of Pathology. 2001;158(4):1433–1440. doi: 10.1016/s0002-9440(10)64094-1. [DOI] [PMC free article] [PubMed] [Google Scholar]
- 45.Talvani A, Ribeiro CS, Aliberti JCS, et al. Kinetics of cytokine gene expression in experimental chagasic cardiomyopathy: tissue parasitism and endogenous IFN-γ as important determinants of chemokine mRNA expression during infection with Trypanosoma cruzi. Microbes and Infection. 2000;2(8):851–866. doi: 10.1016/s1286-4579(00)00388-9. [DOI] [PubMed] [Google Scholar]
- 46.Takehara HA, Perini A, da Silva MH, Mota I. Trypanosoma cruzi: role of different antibody classes in protection against infection in the mouse. Experimental Parasitology. 1981;52(1):137–146. doi: 10.1016/0014-4894(81)90069-2. [DOI] [PubMed] [Google Scholar]
- 47.Powell MR, Wassom DL. Host genetics and resistance to acute Trypanosoma cruzi infection in mice. I. Antibody isotype profiles. Parasite Immunology. 1993;15(4):215–221. doi: 10.1111/j.1365-3024.1993.tb00603.x. [DOI] [PubMed] [Google Scholar]
- 48.dos Santos DM, Talvani A, da Mata Guedes PM, Machado-Coelho GLL, de Lana M, Bahia MT. Trypanosoma cruzi: genetic diversity influences the profile of immunoglobulins during experimental infection. Experimental Parasitology. 2009;121(1):8–14. doi: 10.1016/j.exppara.2008.09.012. [DOI] [PubMed] [Google Scholar]
- 49.Parrino J, Hotchkiss RS, Bray M. Prevention of immune cell apoptosis as potential therapeutic strategy for severe infections. Emerging Infectious Diseases. 2007;13(2):191–198. doi: 10.3201/eid1302.060963. [DOI] [PMC free article] [PubMed] [Google Scholar]
- 50.van Schaik SM, Abbas AK. Role of T cells in a murine model of Escherichia coli sepsis. European Journal of Immunology. 2007;37(11):3101–3110. doi: 10.1002/eji.200737295. [DOI] [PubMed] [Google Scholar]
- 51.Lezama-Davila CM, Isaac-Marquez AP. Systemic cytokine response in humans with chiclero’s ulcers. Parasitology Research. 2006;99(5):546–553. doi: 10.1007/s00436-006-0203-2. [DOI] [PubMed] [Google Scholar]






