1. Introduction
Carbohydrates constitute the most abundant group of organic compounds found in nature. Oxygenic photosynthesis, the process energizing carbon dioxide fixation in the biosphere, is estimated to 1011 tons of dry weight biomass per year, most of it being carbohydrate.(1) For human consumption, the abundance of starch and the possibility to carry out large-scale purification, derivatization and processing provide unique and straightforward options to design starch crops harboring new valuable functionalities offering diversified uses in the food and nonfood sectors.2,3 These include raw materials for the design of advanced and healthy foods to combat obesity and other lifestyle-related diseases(4) or to replace gelatin.(5) Today, starch constitutes a major raw material in the bioethanol production6,7 and in the future starch is expected to play an important role in providing resources for the increasing demand for CO2-neutral energy. The global annual starch production by man approximates 3000 million tons and the industrial production of pure, refined starch now exceeds 60 million tons.(8)
The simple and compact structure of starch and its human analogue glycogen has proven to be very successful for providing energy to living organisms and as energy storage reservoirs in biological systems. The metabolism and architecture of these two polymers are highly dependent on the presence of water. Understanding of the detailed structure and molecular models of complex α-glucans in an aqueous environment would be useful tools in the attempt to provide science-based recommendations in our efforts to build a bio-based society where starches play a major role as bulk polymers. Advances within these areas are dependent on the availability of complex α-glucans of defined chemical structures that mimic the key features of starch and other complex α-glucans and thus offer the opportunity to gain detailed knowledge of the molecular structure of hydrated starch and α-glucan systems. This review provides an overview of this rapidly expanding and challenging field of research with main focus on starch structure and hydration.
Starch9−11 and glycogen12−14 are synthesized by sets of specific enzyme activities that directly determine their molecular structures and physical properties. The extent of crystallinity, aggregation and hydration is of fundamental importance for starch and its human analogue glycogen. Starch is deposited in the plant as a stable form in highly organized, semicrystalline granules15,16 (Figure 1) having specific crystalline polymorphs (Figure 2) as determined by powder X-ray crystallography.(17) Glycogen is not crystalline, but the importance of correctly structured glycogen granules12−14 can be exemplified by the occurrence of specific Mendelian inherited glycogen-dependent disorders,(18) such as the epileptic Lafora disease(19) or the Cori disease.(20) These two diseases are characterized by deposition of aberrant “starch-like” glycogen structures resulting in the inability to properly store and mobilize deposited glycogen.
Figure 1.
Principle of the “top-down” strategy of starch analysis. (A) A cross section of a wheat starch granule (Confocal microscopic image by Mikkel A. Glaring). (B) A schematic drawing of the layered structure of amylopectin. Alternating amorphous and crystalline lamellae are repeated with 9 nm spacing. (C) A cross section of the parallel helices pack to form either hexagonal (A-type or B-type) or pseudo hexagonal packing. Alternating amorphous and crystalline lamellae are repeated with 9 nm spacing. (D) State-of-the art modeling concern tiny double helical structure and nanocrystallite packing. (E) Structure of chemically synthesized branched pentasaccharide mimicking the branch point in starch and glycogen.
Figure 2.
Hexagonal packing of A-type (A) and B-type (B) starch crystalline polymorphs. (A) The dense structure of the A-type only allows few structured water molecules (red dots). (B) The more open B-type makes space for more structured water molecules. Reprinted with permission from ref (32). Copyright 1988 John Wiley & Sons, Inc.
Different scientific routes have been pursued to gain insight into the molecular structure of complex carbohydrates like starch. The classical “top-down” analytical strategy (Figure 1) is based on “peeling off layers of the starch granule” to gain a better understanding of the core structure of the building units. Another approach, the “bottom-up” strategy (Figure 3), is based on chemical synthesis steadily synthesizing larger saccharides which approach starch-like motifs. Both strategies have their advantages and disadvantages which will be discussed in the following. The top-down analytical strategy relies on carbohydrate analytical technology that during recent decades has developed to a level where it can provide very detailed structural and dynamic data. It includes highly developed chromatographic,21−24 microscopic,24,25 spectroscopic,26−29 and X-ray scattering techniques,15,17,30−37 often combined with enzyme treatment.38,39 These technology platforms permit screening of carbohydrate structures in combinatorial systems and offer the possibility to explore subtle α-glucan structural alterations in situ in living organisms including plant mutants and medical patients. Combined analytical systems28,29 and hybrid imaging systems40,41 permit high-throughput approaches. This review will mainly focus on the bottom-up approach.
Figure 3.
Principle of the “bottom-up” strategy of starch analysis. In the bottom-up strategy, larger and more complex α-glucans are gradually being chemically synthesized.
2. Strategies toward Modeling Starch Features: The Bottom-up Approach
The complex mixture of branched and linear glucan polymers obtained following amylolytic treatment of starch or generated by enzymatic synthesis from monomers is not suitable for detailed structural studies because of their polydispersity. The demand for structurally well-defined saccharides being either linear α-(1→4)-d-glucans with a defined degree of polymerization or α-(1→4)-d-glucans containing one or more α-(1→6)-branch points have prompted the development of chemical approaches toward their synthesis. Comprehensively characterized saccharides with such features steadily increase both with respect to number and complexity (the bottom-up approach).
In this section, general considerations and experiences with respect to synthesis of saccharides with starch and glycogen features will be described. The focus will be on oligo- and polysaccharides of d-glucopyranose and the possibilities to obtain α-(1→4) and α-(1→6) linkages, because these are the common features of starch, glycogen and α-glucans. d-Glucose is the fundamental building block of α-d-glucans. This warrants an introduction and insight into the nature of d-glucose.
2.1. Glucose: The Fundamental Building Block
Starch and glycogen are polymers built up from a single monomer, d-glucopyranose, or for short, d-glucose. d-Glucose consists of 12 hydrogen atoms, 6 carbon atoms, and 6 oxygen atoms covalently linked, as shown in the structure in Figure 4.
Figure 4.
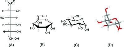
Structures of α-d-glucopyranose (glucose) shown using different projections: (A) Fisher, (B) Haworth, (C) in 4C1 conformation, and (D) a 3D-model of glucose in the 4C1 conformation.
d-Glucose is the most abundant monosaccharide found in nature and it has been studied in more detail than any other member of the carbohydrate family. The name, glucose, derives from the word glykys (γλUKÚς), which means “sweet”, plus the suffix “-ose” which denotes a carbohydrate. d-Glucopyranose is the single building block of both starch and glycogen. There are two different kinds of glucosidic linkages in starch and glycogen, namely, a glucose moiety linked via its 1-position to either the 4- or 6-position of another glucose moiety, creating an α-(1→4) or α-(1→6) linkage, respectively. From a chemical point of view and compared with most other carbohydrate polymers, the building block and linkage type composition is extraordinarily simple. However, it nevertheless offers a lot of variability with not two starch or glycogen molecules being identical! The bond structure of starch and glycogen has provided the prime molecular principle for efficient energy storage in Nature. The success is based on the hyper-efficient molecular packing of the glucose. When degraded in the organism to provide energy and when used in various technical applications, starch has some built-in features directed by its repeated and clustered α-(1→6) glucosidic bonds. All these features emanate from the unique chemistry of the glucose unit.
2.1.1. Glucose Conformations
In 1894, Emil Hermann Fischer reached an outstanding accomplishment in the history of chemistry. Fischer was the first to synthesize glucose(42) and he identified the 16 possible stereoisomers for the aldohexoses of which the most prominent member is d-glucose.(43) Fischer presented the glucose molecule as a linear structure. Subsequently, it was shown that glucose in solution as well as a solid has a molecular structure which may take up a large number of shapes, so-called conformations.
Cyclic structures for the glucose molecule had been suggested by Adolf Baeyer in 1870 and by Tollens(44) in 1883. In 1924, Walter Norman Haworth(45) suggested the 6-membered ring being represented as a hexagon. Odd Hassel(46) showed by use of electron diffraction studies in gas phase that the cyclohexane ring had a nonplanar conformation, named chair (C). Based on this finding, Hassel predicted that the conformation of a pyranose ring would also be nonplanar. Today, it is known that 26 different conformations of the pyranose ring exist, namely, 2 chairs (C), 6 boats (B), 12 half-chairs (H), and 6 skews (S). Derek Harold Richard Barton(47) realized the importance of bonds being either equatorial- or axial-orientated and he used this information to explain the conformation and reactivity in various molecules. The α-d-glucopyranose ring structure is most stable in the chair conformation denoted 4C1, which means that C4 is situated at the top of the chair and the C-1 at the lower point compared to the plane defined by O-5 → C-2 → C-3 → C-5 (see Figure 4). The 4C1 conformation of glucose is remarkable by having all the hydroxyl groups in equatorial positions and all the ring (CH) hydrogens axially providing a small hydrophobic surface. It is the by far the predominant ring structure of glucose found in solid state as well as in aqueous solutions.
2.1.2. Mutarotation of Glucose
In solution, glucose can be present as a mixture of isomers. All of these forms are in dynamic equilibrium and the process is called mutarotation (Figure 5). The linear forms of glucose are energetically unfavorable relative to the cyclic hemiacetal forms. The ring formation gives rise to a new asymmetric carbon atom at C-1, the anomeric center, thereby giving rise to the diastereoisomeric hemiacetals, α- and β-anomers. Cyclization involving O-4 rather than O-5 results in establishment of a five-membered ring, which structurally is alike furan and is therefore designated as a furanose. Accordingly, the six-membered pyran-like monosaccharide ring is termed pyranose. In starch and glycogen, only the α-d-glucopyranose occurs with the reducing end glucose moieties as the rare exception.
Figure 5.
Different isoforms of glucose as obtained by mutarotation.
The isomeric composition of d-glucose at equilibrium in aqueous solution is given as nearly 100% pyranose form (α/β ratio; 38:62), less than 0.3% furanose form (α/β ratio; 0.1:0.2) and about 0.001% open chains.47−49
2.1.3. Glucose Chemistry
Each of the hydroxyl groups in the glucose molecule possesses different reactivity. This is essential to consider in attempts to design chemical synthesis of a specific α-glucan.
In an aldohexopyranose, where all hydroxyl groups attached to C-2, C-3, C-4, and C-6 have an equatorial orientation, the general order of reactivity of the OH groups is 6-OH (primary) ≫ 3-OH (secondary) > 2-OH (secondary) > 4-OH (secondary). The anomeric OH (i.e., 1-OH), which is attached to anomeric carbon (C-1), is the most reactive, whether having an equatorial or axial orientation. Furthermore, the typical order of nucleophilicity is: primary OH > equatorial secondary OH > axial secondary OH and OH in ether protected sugars > OH in ester protected sugars. These data as well as other chemical and physical properties for glucose are listed in Table 1.
Table 1. Chemical and Physical Data of d-Glucose.
| chemical name (IUPAC) | 6-(hydroxymethyl)oxane-2,3,4,5-tetrol |
| synonym | dextrose |
| varieties | α-d-glucose; β-d-glucose |
| appearance | colorless crystals or white crystalline powder |
| abbreviation | Glc |
| chemical formula | C6H12O6 |
| molecular mass | 180.16 g/mol |
| melting point | α-d-glucose: 146 °C |
| β-d-glucose: 150 °C | |
| α-d-glucose·monohydrate: 86 °C | |
| specific rotation, (α)20D (water) | α-d-glucose: +112.2° (c = 4) |
| β-d-glucose: +17.5° (c = 4) | |
| α-d-glucose·monohydrate: +102° | |
| density | 1.54 g/cm3 |
| solubility (in water) | 0.909 g/mL (25 °C) |
| CAS number | 50-99-7 |
| PubChem | 5793 |
| reactivity of hydroxyl groups | 1 ≫ 6 > 2,3 > 4 |
| NMR data (D2O) | |||||
|---|---|---|---|---|---|
| α-d-glucopyranose |
β-d-glucopyranose |
||||
| 1H δ (ppm) | J (Hz) | 13C δ (ppm) | 1H δ (ppm) | J (Hz) | 13C δ (ppm) |
| 5.22 | 3.5 | 93.6, 92.9d | 4.63 | 7.9 | 97.4, 96.7d |
| In α-glucan chains | |||||
| reducing end | |||||
| −(1,4)-α-d-Glc | −(1,6)-α-d-Glc | ||||
| 5.22b | 3.7b | 92.9a | 5.00e | 92.0a | |
| internal | |||||
| −α-d-Glc-α-d-Glc-(1,4)-α-d-Glc− | −α-d-Glc-α-d-Glc-(1,6)-α-d-Glc− | ||||
| 5.31−5.40b | 3.7b | 100.6a,100.2−100.9b | 4.96b | 3.7b | 98.6a, 99.3b |
| nonreducing end | |||||
| α-d-Glc-(1,4)− | α-d-Glc-(1,6)− | ||||
| 5.35c | 3.8c | 100.8a | 4.89e | 98.5a | |
Fischer glycosidation (or Fischer glycosylation) refers to the formation of a glycoside by the reaction of an aldose or ketose with an alcohol in the presence of an acid catalyst. The reaction is performed using a solution or suspension of the carbohydrate using alcohol as solvent. The carbohydrate is usually completely unprotected. The Fischer glycosidation reaction is an equilibrium process and can lead to a mixture of ring size isomers and anomers, plus in some cases, small amounts of acyclic forms. With hexoses, short reaction times usually lead to furanose ring forms, and longer reaction times lead to pyranose forms. Long reaction times generate the most thermodynamically stable product, which is usually the α-anomer because of the anomeric effect.
2.1.4. Maltose and Isomaltose Chemistry
In α-glucans, only two possible dimers exist: the α-(1→4) linked maltose and the α-(1→6) linked isomaltose (see Figure 6). The reactivity of their hydroxyl groups is slightly different from those of glucose. For maltose: 1-OH ≫ 6,6′-OH > 2,3′-OH > 4′-OH > 2′,3-OH. For isomaltose: 1-OH ≫ 6′-OH > 2,3′-OH > 4,4′-OH > 2′,3-OH. The reactivity differences are primarily a result of interactions between the two glucose rings, where 3-OH and 2′-OH interact and show reduced reactivity. The reactivity of the 4-OH of the disaccharides are significantly lower compared to the 4-OH of glucose. In general, the larger a molecule becomes, the lower the reactivity is at the 4-postion of the nonreducing glucose moiety. This is a very important factor to consider and typically gives problems for synthesis of larger oligosaccharides and definitely poses a limiting factor in polysaccharide synthesis. Chemical and physical properties of maltose and isomaltose are listed in Tables 2 and 3, respectively.
Figure 6.
Structure of (A) maltose and (B) isomaltose shown in the 4C1 conformation.
Table 2. Chemical and Physical Data of Maltose.
| chemical name (IUPAC) | (2R,3S,4S,5R,6R)-2-(hydroxymethyl)-6-[(2R,3S,4R,5R,6R)-4,5,6-trihydroxy-2-(hydroxymethyl) oxan-3-yl]oxyoxane-3,4,5-triol |
| synonyms | 4-O-α-d-glucopyranosyl-d-glucose, maltobiose |
| appearance | colorless crystals |
| abbreviation | Glc-(1−4)Glc |
| chemical formula | C12H22O11 |
| molecular mass | 342.296 g/mol |
| melting point | α-anomer: 160−165 °C |
| β-anomer·monohydrate: 102−103 °C | |
| specific rotation, (α)20D (water) | α-anomer: +140.7° (c = 10) |
| β-anomer·monohydrate: +111.7° (c = 4) | |
| density | 1.54 g/cm3 |
| solubility (in water) | 1.080 g/mL (20 °C) |
| CAS number | 69-79-4 |
| PubChem | 6255 |
| reactivity of hydroxyl groups | 1 ≫ 6,6′ > 2′,3 > 4′ > 2,3′ |
| Anomeric NMR data (D2O) | ||
|---|---|---|
| 1H δ (ppm) | J (Hz) | 13C δ (ppm) |
| α-d-Glc(1,4)− | ||
| 5.40 | 3.6 | 100.7a |
| α-d-Glc | ||
| 5.22 | 3.6 | 92.8a |
| α-d-Glc(1,4)− | ||
| 5.40 | 3.6 | 100.7a |
| β-d-Glc | ||
| 4.64 | 8.0 | 96.8a |
Ref (306).
Table 3. Chemical and Physical Data of Isomaltose.
| chemical name (IUPAC) | (2R,3R,4S,5R,6R)-6-[(2S,3R,4S,5R,6R)-3,4,5-trihydroxy-6-(hydroxymethyl)-oxan-2-yl]oxymethyl] oxane-2,3,4,5-tetrol |
| synonym | 6-O-α-glucopyranosyl-d-glucose |
| appearance | colorless crystals |
| abbreviation | Glc-(1−6)Glc |
| chemical formula | C12H22O11 |
| molecular mass | 342.296 g/mol |
| melting point | α-anomer: 120 °C |
| specific rotation, (α)20D (water) | α-anomer: +120° |
| predicted solubility (in water) | 339.5 mg/mL |
| CAS number | 499-40-1 |
| PubChem | 153634 |
| reactivity of hydroxyl groups | 1 ≫ 6′ > 2′,3 > 4,4′ > 2,3′ |
2.2. Chemical Strategies toward Chemical Synthesis of Oligosaccharides with Starch Features
The chemical synthesis of oligosaccharides is much more complicated than the synthesis of other biopolymers, such as nucleic acids and peptides, for which automation can be readily applied. The difficulties and challenges in the preparation of complex carbohydrates originate from the polyfunctionality of carbohydrate oligomers, which necessitates the use of elaborate strategies with respect to the use of protective groups and the demand for the stereoselective introduction of the glycosidic linkages. To date, there are no generally applicable strategies for oligosaccharide synthesis and new combinations of methods must typically be adapted for each structure to be synthesized.
2.2.1. Glycosylation Reaction and Methods of Glycosylation
The general principle for the synthesis of the O-glycoside involves the reaction of a glycosyl donor with a free hydroxyl group in a glycosyl acceptor in the presence of a promoter to afford a glycoside linkage (Figure 7).
Figure 7.
General glycosylation reaction. The protecting groups (designated R) present in the glycosyl donor may be identical or may include several different protecting groups. The acceptor typically carries a single free OH group, whereas the others are protected.
More than 90% of the reported glycosylation reactions follow the general mechanistic pathways for glycosidic bond formation,(51) as delineated in Figure 8.
Figure 8.
General mechanistic pathways for glycosidic bond formation.
Recent advances in the formation of O-glycoside bonds and the general principles for their formation, with emphasis placed on developments in the last ten years, have been recently reviewed.(52) For efficient synthesis of oligosaccharides the strategy chosen must address and provide a solution to the following five general challenges: (1) the synthesis of a glycosyl donor, (2) the synthesis of a partially protected glycosyl acceptor, (3) the formation of a glycosidic linkage between donor and acceptor, (4) the isolation of the protected oligosaccharide, and (5) the removal of all (or selected) protecting groups.
For each glycosylation step a suitable glycosyl donor and a glycosyl acceptor must be synthesized, and protecting groups incorporated within the donor and acceptor molecules have to remain intact until deprotection is required. Specific reagents are employed to activate the donor molecule, and the reactive species thus formed are subsequently intercepted by a free hydroxyl group of the acceptor molecule forming a glycosidic linkage. Subsequently, the protected oligosaccharide formed must be isolated. Finally, all (or selected) protecting groups are removed.
2.2.2. Reactivity of the Glycosyl Donor
The donor used in oligosaccharide synthesis depends on the compatibility of its anomeric leaving group with the reaction conditions to which it will be exposed during the synthesis, as well as the compatibility of the remaining protecting groups on the donor and acceptor toward the activating agent required for formation of the carbonium ion.
The reactivity of a substituent incorporated at the anomeric center is influenced by several factors, including the type and location of protecting groups present in the molecule. Especially electron-withdrawing groups, such as an acetoxy group, tend to decrease reactivity because formation of a partial or full positive charge at the anomeric center is rendered more difficult by inductive electron withdrawal from the ring. In contrast, the reactivity is increased by electron-donating groups such as a benzyl group, which inductively donate electrons to the ring, thereby assisting the departure of a leaving group by stabilizing a developing positive charge.
Commonly used glycosyl donors are shown in Figure 9.53−55 Among the listed glycosyl donors, the anomeric fluorides, thioglycosides, and trichloracetimidates are the most widely used in complex oligosaccharide synthesis. The advantages of using these anomeric leaving groups are the mild conditions for their introduction, their stability during purification and storage possibility for a considerable period of time. Furthermore, glycosylation can be obtained under mild conditions and by selecting the appropriate reaction conditions, high yields, and good α/β-ratios can often be obtained. In the following, a description of the procedures for preparation of anomeric halides, thioglycosides, and trichloroacetimidates and their modes of action is given.
Figure 9.
Selection of the most commonly used glycosyl donors used in glycosylation reactions.
2.2.3. Glycosyl Halides (The Koenigs−Knorr Method)
The historical synthesis of glycosides from glycosyl bromides or glycosyl chlorides and alcohols using Ag2CO3 as promoter was reported by Koenigs and Knorr in 1901(56) and later modified by Helferich using Ag2O.(57) In this method, the activation of the anomeric center is achieved by decomposition of the glycosyl halide in presence of heavy metals (usually silver or mercury). Glycosyl bromides are more reactive but also more labile than glycosyl chlorides. Glycosyl iodides are generally too labile to be used in glycosylation reactions. Glycosyl halides are often formed from glycosyl acetates or from thioglycosides via treatment with a source of the required halide ion. Today, the most commonly used method to prepare glycosyl bromides from glycosyl acetates is treatment with a solution of HBr in acetic acid.(58) Glycosyl chlorides from glycosyl acetates can be obtained by treatment with AlCl3 or PCl5. Milder methods for synthesis of glycosyl bromides and chlorides have been obtained with Vilmeier-Haack reagents (Me2N+=CHX.Xl−, X = Br or Cl).(59) By these methods, the glycosyl halides can be prepared with high stereoselectivity for both α- and β-glycosidic linkages dependent on selecting the appropriate reaction conditions. The major disadvantages are the often quite drastic conditions for their preparation and their instability, especially if the donor is alkylated and/or is a large oligosaccharide.
Glycosyl fluorides are more stable toward hydrolysis than other glycosyl halides. Previously, glycosyl fluorides were considered too stable to be used as donors, but the situation was changed in 1981 when Mukaiyama and co-workers described activation of these with [SnCl2/AgClO4].(60) Activation by other special fluorophilic Lewis acids has subsequently been reported (e.g., BF3.Et2O,(61) TMSOTf,(62) SiF4(62)) and glycosyl fluorides can therefore be used as glycosyl donors that are easily handled and purified at room temperature. The most common procedure to obtain glycosyl fluorides is by treatment of a thioglycoside with N-bromosuccinimide (NBS) and (diethylamino)sulfur trifluoride (DAST).(63)
The glycosyl fluoride method is mainly employed to perform 1,2-cis glycosides with 2-O-benzyl protected glycosyl fluorides and have been used in synthesis of several glycosylated molecules as e.g. rhynchosporides (III),(64) avermectin B1a, mycinamicin IV, α-cyclodextrin.55,64,65 1,2-trans-Glycosides can be prepared using 1.5 with participating neighboring groups at C-2.(64)
2.2.4. Thioglycosides
Thioglycosides are commonly used as versatile building blocks in oligosaccharide synthesis. They are stable under most reaction conditions frequently used for the construction of building blocks and offer efficient protection of anomeric centers. They are easily prepared by reaction of acylated sugars with a thiol in the presence of Lewis acids(67) or by reaction of thiolates with glycosyl halides.(68) They can also be activated and used directly in glycosylations by various conditions, such as methyl trifluoromethanesulfonate (MeOTf),(69)N-iodosuccinimide/trifluoromethanesulfonic acid (NIS/TfOH),(70) dimethyl(methylthio)sulfonium trifluoromethanesulfonate (DMTST),(71) and iodonium dicollidine perchlorate (IDCP).(72) The configuration of thioglycosides with participating neighboring group at the 2-position yields 1,2-trans-glycosides with high stereoselectivity.(73) Thioglycoside donors with nonparticipating neighboring group give α-glycosides when the solvent used is diethyl ether, whereas β-glycoside formation is favored when acetonitrile is used as solvent. In addition, thioglycosides with one hydroxyl group as acceptor as well as donor can be prepared. Thioglycosides can readily be converted into other glycosyl donors as outlined in Figure 10.
Figure 10.
Versatility of thio glycosides: different routes of transformation into other glycosyl donors.
Thioglycosides are effectively converted into glycosyl bromides or chlorides using bromine,74,75 iodine monobromide (I−Br), or chlorine, iodine monochloride (I−Cl),(76) respectively. Glycosyl fluorides can be obtained from thioglycosides using numerous reagents,(77) for example, dimethyl(methylthio)sulfonium tetrafluoroborate (DMTSB),(78) NBS-DAST or HF/pyridine,(63) and Selectflour.(79) Glycals can also be produced from phenyl thioglycoside by treatment with lithium naphtalenide under conditions compatible with acid-labile groups.(80) A number of gentle, versatile and efficient methods have been reported for the conversion of phenyl thioglycosides into their corresponding hemiacetals using various promoters (e.g., silver nitrate [AgNO3],(81) DMTSB,(82) nitrosyl tetrafluoroborate [NOBF4],(83) NBS/acetone−water,(84) and DMTST in the presence of water.(85) The obtained hemiacetals can be easily converted into the glycosyl donor trichloroacetimidates using trichlororacetonitrile (CCl3CN) and a base.(86) Sulfoxides are formed from thioglycosides by oxidation using m-chloroperoxybenzoic acid [m-CPBA]87−89 or KF/m-CPBA.(90) Anomeric esters have been synthesized through the action of silver(91) or mercuric(92) carboxylates, NOBF4/Acetic anhydride (Ac2O)(83) or NIS/RCOOH.(70)
2.2.5. Trichloroacetimidates
The use of anomeric trichloroacetimidates is well documented in the literature and has become the most widely used glycosyl donors. Trichloroacetimidates are easily formed via treatment of glycosyl alkoxides with trichloroacetonitrile and are sufficiently stable for purification by column chromatography and storage at room temperature. It is possible to control which anomer is formed by careful choice of the reaction conditions.92−94 Trichloroacetimidates can be activated for glycosylation with catalytic amounts of Lewis acids. The stereoselectivity is controlled by the anomeric configuration of the imidate, the catalyst and the solvent. β-Trichloroacetimidates can selectively be prepared with K2CO3 as the base (kinetic control),(96) whereas use of strong bases [NaH,(93) Cs2CO3,(97) KOH,(98) or 1,8-diazabicyclo[5.4.0]undec-7-ene (DBU)(99)] exclusively gives the α-trichloroacetimidates (thermodynamic control). The mild Lewis acids, BF3.OEt2, and TMSOTf, have successfully been used in the glycosylation reactions.(96) Other catalysts have been used as well, such as pyridinium p-toluenesulfonate (PPTS),(100) silver trifluoromethanesulfonate (AgOTf),(101) lithium trifluoromethanesulfonate (LiOTf),(102) and LiClO4.(103)
α-Glycosides are accessible from β-trichloroacetimidates with nonparticipating neighboring groups at the 2-position. Conversely, β-glycosides can be obtained from α-trichloroacetimidates. Furthermore, α-glycosides can be prepared with high stereoselectivity from α/β-mixtures of trichloroacetimidates in diethyl ether via the β-glycosyl oxonium intermediate,(104) whereas use of acetonitrile at low temperatures stereoselectively yields the β-glycosides because the reaction proceeds via the kinetically favored α-nitrilium-nitrile conjugate.(105) The trichloroacetimidate method allows preparation of both 1,2-cis- and 1,2-trans-glycosides.
2.2.6. Stereoselectivity in Glycosylation Reactions
A major challenge in synthesis of oligosaccharides is to achieve stereoselective glycoside formation. Elaborate protecting group strategies are employed to ensure that only the hydroxyl group of choice is involved in the formation of the new glycosidic bond. Nevertheless, the possibility of forming two isomers at the new anomeric center remains. The most important factors that influence the α/β ratio in glycosylation reactions are (1) the substituent at the C-2 position (participating versus nonparticipating), (2) orientation of the substituent at the C-2 position (equatorial versus axial), (3) type of substituents in the acceptor and donor molecules, (4) type of leaving group, (5) type of promoter, (6) solvent, and (7) temperature.
2.2.6.1. Protection of Hydroxyl Groups and the Anomeric Center
Glucose has been used as starting material for the synthesis of well-defined oligosaccharides, but also saccharides like maltose, isomaltose, maltotriose and cyclodextrins have been used as starting material in order to significantly reduce the number of reaction steps to reach the final product.
Starch, glycogen and related glucans consist basically of six different monomer building blocks (Figure 11, 1−6). Two building blocks (1 and 4) constitute the nonreducing end of the carbohydrate, two building blocks (2 and 5) make up the elongation of a chain and two building blocks (3 and 6) create the reducing end. Building blocks 1, 2, and 3 can be used to create a linear chain, whereas building blocks 4, 5, and 6 can further be used to introduce a branch point into the oligosaccharide. The protecting groups PG, PG1, PG2, and PG3 and the leaving group (LG) are to be chosen, so that they can be removed separately and as required. Glucose moieties as well as maltose and maltotriose derivatives with these features have been synthesized.84,106−109
Figure 11.
Monosaccharide building blocks for synthesis of linear and branched α-glucans.
2.2.6.2. Protection of Hydroxyl Groups
Glycosyl donors with leaving groups attached to the anomeric carbon atom are often protected at all of the remaining hydroxyl groups to avoid competition with the acceptor molecule during the glycosylation reaction. The glycosyl acceptor often contains a single free hydroxyl group. Whether the hydroxyl groups of the donor and acceptor are protected by the same type of protecting group, or by an orthogonal set of protecting groups (groups that complement each because they can be added and removed in the presence of each other), largely depends on the subsequent manipulations required to complete the synthesis of the target oligosaccharide. The choice of the set of protecting groups to be used in a synthetic scheme is one of the key decisive factors in a successful synthesis of a complex target molecule. The ideal protecting group must fulfill a number of requirements. It must react selectively in high yield under conditions compatible with other functional groups in the compound to give a protected substrate that are stable under all conditions used during subsequent synthetic steps. The protecting group must be selectively removed in high yield, be cheap, readily available, and preferably manipulated using nontoxic reagents. Furthermore, the protective group should form a derivative that can easily be separated from side products associated with its formation or cleavage and should have a minimum of additional functionality to avoid further sites of reaction.(110)
The most commonly used hydroxyl protecting groups are ethers (benzyl ethers), esters (acetates, benzoates), and acetals (benzylidene and isopropylidine acetals). These groups are the foundation upon which most protecting schemes are based. Frequently used hydroxyl protecting groups are shown in Figure 12. These groups are used as temporary, as well as persistent, blocking groups, since they can be introduced and removed efficiently on many positions at the same time, complement each other and can be introduced and removed in the presence of each other. Persistent protecting groups are used to block functionalities that do not need functionalization and therefore are present throughout the entire synthesis. Ideally, all persistent protecting groups will be removed at the end of a synthetic sequence in one chemical reaction. Some functional groups need to be protected in such a manner that they can be made available for derivatization at some point in a synthesis. These functionalities are often protected with temporary protecting groups. There is a long list of such protecting groups of which especially p-methoxybenzyl ethers, allyl ethers, trityl ethers, t-butyldimethylsilyl and t-butyldiphenylsilyl groups, chloroacetates, and pivaloyl esters are most commonly used.
Figure 12.
Frequently used protecting groups.
2.2.6.3. Ether Protecting Groups
A large number of ether protecting groups are known. Benzyl ether is the most often used persistent protecting group in synthesis of oligosaccharides. The benzyl ether group plays an essential role by its presence at the C-2 position as a nonparticipating neighboring group and it is prerequisite for the formation of the thermodynamically more stable α-linked-O-glycosides during glycosylation reactions to obtain α-stereoselectivity. However, the α-stereoselectivity of the glycosidation is more unpredictable. It is a delicate matter and is highly dependent on the reactivity of both donor and acceptor. The choice of protecting group may also affect the stereochemical outcome electronically.(111)
2.2.6.4. Benzyl Protecting Groups
Benzyl groups are more stable to a wide range of basic and acidic conditions than any other protecting group and can furthermore withstand hydride reducing agents and mild oxidants. Benzyl groups are commonly introduced by treatment with benzyl bromide under strongly basic conditions (NaH or KH) in DMF. By addition of a catalytic amount of tetrabutylammonium iodide (Bu4NI),112,113 the reaction can be accelerated because of the much more reactive in situ generated benzyl iodide alkylating agent. These strongly basic conditions are incompatible with base-sensitive functionalities, such as esters. Base-sensitive groups are therefore often introduced after benzylation to avoid undesired deprotection reactions to occur. However, benzylation can be accomplished under neutral or acidic conditions using Ag2O(114) or other electrophiles, benzyl triflate, or trichloroacetimidate. The latter is compatible with base- and acid-sensitive functionalities, such as acetal protecting groups, imides, and esters, but not N-acetates.115,116
Regioselective introduction of benzyl groups is generally not as easy to achieve as selectivity in esterification reactions but can be performed directly by use of molar equivalents of reagent or by phase-transfer reaction using for instance tetrabutylammonium bisulfate (Bu4NHSO4) as catalyst.(117) Indirectly, regioselective benzylation can be obtained by tin activation.118−120 Dibutyltin oxide (Bu2SnO) has been used in the activation step to form stannyl derivatives and to enhance the nucleophilicity of different hydroxyl groups.121,122 An equatorial hydroxyl group adjacent to an axial oxygen is generally preferentially benzylated. An alternative method is reductive cleavage of benzylidine acetals (see section ).
Catalytic hydrogenolysis offers the mildest and most commonly employed for deprotecting benzyl ethers. The catalyst of choice is Pd−C,123,124 since the use of Pt results in ring hydrogenation.(123) Others such as Raney Ni(125) and rhodium/alumina [Rh−Al2O3](126) can be used. Birch reduction (lithium or sodium in liquid ammonia) can also be used for removal of benzyl ethers but is not commonly used in carbohydrate chemistry because the reaction conditions are brutal, so most functional groups are incompatible.(127)
2.2.6.5. Ester Protecting Groups
Many different ester protecting groups have been described, but in carbohydrate chemistry the most commonly employed for the protection of hydroxyls are acetyl (Ac) and benzoyl (Bz). Pivaloyl (Piv) and chloroacetyl (ClAc) esters are employed to a lesser extent. Esters are normally introduced using an acid anhydride or acyl chloride with base (sodium acetate, pyridine) by which peracylation is easily achieved110,128 Acetates can also be introduced by acid catalysis such as zinc chloride (ZnCl2)(129) or p-toluenesulfonic acid (p-TsOH).(130) Several methods for acylation of carbohydrates have been reported in the literature.131,132
Several methods have been described for regioselective acylation. This reaction can, for example, be performed by using small amounts of acylating reagents or a less potent catalyst (e.g., acyl imidazoles)(133) which will give suitable acceptors in which the least reactive hydroxyl group remains unprotected. Another approach is the use of Sn activation. Dibutyl- and tributyltin oxide have been used in the activation step to form stannyl ethers or stannylidene acetals, respectively, to enhance the nucleophilicity of different hydroxyl groups.(134) With dibutyltin oxide, an equatorial hydroxyl group adjacent to an axial oxygen is generally preferentially acylated.120,121 Regioselective acylation can also be obtained by opening of a cyclic orthoester with acid. Five-membered cyclic orthoesters formed on cis-diols (eq,ax) afford solely the axial ester.(135)
Acyl migration can occur with acylated derivatives possessing adjacent unprotected hydroxyl groups. Migration is most prominent with acetates under basic conditions,136−138 but it can also take place under acidic conditions.139−141
Benzoyl groups tend to be less susceptible to deprotection under acidic conditions than acetyl groups and is therefore sometimes chosen for the increased stability.(133)
Deprotection of ester groups are usually accomplished by treatment with bases such as NaOMe, KOH or NH3 in methanol or by acid-catalyzed solvolysis (MeOH/HCl). However, in absence of water or alcohols, ester groups are relatively stable to acids.
The relative order of base stability of the commonly used esters is as follows: t-BuCO > PhCO > MeCO > ClCH2CO.
Acetyl or benzoyl groups can easily be removed by treatment with NaOMe in methanol. Methanolic ammonia selectively removes acetates in the presence of pivaloates. The t-butyl moiety of the pivaloyl group sterically shields the carbonyl moiety from nucleophilic attack and confers stability to such esters.(142) Cleavage of the pivaloyl protecting group requires strong basic conditions such as KOH in methanol or aqueous methylamine. The chloroacetyl group protecting group can be cleaved in the presence of acetyl groups using several mild reagents, such as thiourea (H2NCSNH2),(143) 2-mercaptoethylamine (H2NCH2CH2SH),(144) or hydrazine-dithiocarbonate (H2NNHC(=S)SH).145−147
2.2.6.6. Acetal Protecting Groups
The advantages of the acetal protecting groups are that they protect two hydroxyl groups at a time. In addition, they are easy to introduce with a high degree of regioselectivity and the benzylidene and the isopropylidine acetals complement each other in selectivity.(148) Often they are used for selective protection of cis or trans diols of sugar derivatives. Benzylidene and isopropylidene are stable to strong basic conditions but quite fragile toward acids. They can be used in strategies for temporary protection of the 4- and 6-position. Upon selective cleavage of the benzylidene acetal, a free hydroxyl group is obtained at the 4-position and a benzylated 6-position. The introduction of benzylidene acetals can be performed by the use of benzaldehyde and acid catalysis. Milder methods including the use of benzaldehyde dimethyl acetal with a catalytic amount of acid (p-toluene sulfonic acid (p-TsOH) or 10-camphorsulfonic acid (CSA))148,149 or α,α-dibromotoluene in pyridine(148) are frequently used. Benzylidene acetals prefer to be in the six-membered dioxane form where the phenyl group can attain an equatorial position preferred over five-membered ring dioxolane form.
The benzylidene acetal can be removed by acid hydrolysis (80% AcOH or TFA/DCM/H2O) or by catalytic hydrogenolysis (Pd−C or Pd(OH)2).150,151 Benzylidene acetals can also be converted into a number of useful derivatives. The most important of these is obtained by reductive cleavage and gives rise to stereoselectively benzylated derivatives. The reductive cleavage of benzylidine acetal to form primary or seconday alcohols was achieved using a variety of reducing agents. These include [LiAlH4−AlCl3],152,153 [DIBAL-H],154−156 [NaBH3CN-HCl],158−160 [CF3COOH-Et3SiH],(160) [BF3.OEt2-Et3SiH],(161) and others.162−171 An important alternative is oxidative cleavage using NBS in CCl4 to give regioselectively benzoylated derivatives. If the latter reaction is performed under anhydrous conditions, benzoylated bromo derivatives are obtained that can be further converted into deoxy sugars.172,173
For reductive ring-opening of 4,6-O-benzylidene derivatives, the use of NaCNBH3/HCl in diethyl ether or (CH3)3N·BH3/AlCl3 in tetrahydrofuran (THF) yields the 6-O-benzyl derivative. (CH3)3N·BH3/AlCl3 or LiAlH4/AlCl3 in CH2Cl2/Et2O gives preferentially 4-O-benzyl derivative. NaCNBH3 and (CH3)3N·BH3 are compatible with ester groups, whereas LiAlH4 is not, because of the straightforward reduction of esters with LiAlH4 to the corresponding hydroxymethyl derivatives.(174)
2.2.6.7. Anomeric Protecting Groups
The choice of anomeric protecting group is dependent on the planned fate of the anomeric center. If it is to be used as an electrophile at some stage during the synthesis and end up as part of an internal glycosidic linkage in the target product, it should be protected with a group that can either be directly activated or be converted into a donor. Otherwise, the anomeric center can be protected with protecting groups as used for the remaining hydroxyl groups.
Ideally, the anomeric substituent of an oligosaccharide building block not only should be sufficiently stable to oppose protecting group manipulations (i.e., acts as a protecting group) but also possess a sufficient reactivity to permit its use as a glycosyl donor (i.e., acts as leaving group). In case such a substituent is stable to conditions required to activate other types of leaving groups, it can be used as glycosyl acceptor as well. Thioglycosides and n-pentenylglycosides possess these properties.
2.2.7. Synthetic Strategies
A number of different glycosylation strategies have been used for the chemical synthesis of α-linked oligosaccharides.
2.2.7.1. Stepwise (Linear)
In the stepwise glycosylation strategy (also called linear glycosylation strategy), monomeric glycosyl donors are added to a growing oligosaccharide chain as shown in Figure 13.
Figure 13.
Basic principle in the stepwise (linear) glycosylation strategy.
Typically, a fully protected glycosyl donor is reacted with a suitably protected glycosyl acceptor that contains a single free hydroxyl group.52,55,175 This approach was introduced when the most widely used glycosyl donors were glycosyl bromides and glycosyl chlorides(175) and favored because it offers the opportunity to prepare α- or β-glycosidic linkages with high stereoselectivity depending on the selected reaction conditions. The major disadvantages of glycosyl halides are their instability and the quite drastic conditions required for their preparation.
The stepwise glycosylation strategy is mainly used for preparation of smaller oligosaccharides. The disadvantage of this strategy is that a separate glycosylation reaction has to be carried out for each glycosidic linkage to be established. The smaller oligosaccharides obtained according to this approach are often used as building blocks in synthesis of larger oligosaccharides.
2.2.7.2. Blockwise Convergent
The principle in the blockwise convergent glycosylation strategy is to prepare saccharide building blocks that can be assembled into complex structures using a minimal number of synthetic steps (Figure 14).
Figure 14.
General principle in the blockwise glycosylation strategy.
This approach is the most widely exploited in preparation of complex oligosaccharide and is often combined with other strategies. This synthetic strategy is best suited for applications in which the donors are formed under mild conditions with enough stability to be purified and stored for a considerable period of time. Also, this type of donors should be able to undergo the glycosylation step under mild conditions with high yield and high α/β stereoselectivity. Glycosyl fluorides, trichloroacetimidates, thioglycosides, and glycals have been extensively used in this strategy because they fulfill these requirements.
2.2.7.3. Orthogonal
The orthogonal glycosylation strategy relies on the orthogonal properties of two different anomeric groups (Figure 15).
Figure 15.
Principal tactics of the orthogonal glycosylation strategy.
In this concept, each anomeric group (X and Y) should survive the reaction conditions necessary to activate the other anomeric group and both act as an anomeric protecting group, as well as leaving group. Furthermore, X and Y should remain compatible with subsequent manipulations of temporary protecting groups. This strategy was proposed by Ogawa and co-workers(176) using the leaving groups phenylthio (as X) and fluoride (as Y), and NIS/TfOH (or AgOTf) (promoter 1) and Cp2HfCl2/AgClO4 (promoter 2) as promoters to obtain a linear β-(1→4) linked heptasaccharide.
In this approach, the number of glucose monomers in the resulting oligosaccharide is not limited by the number of available leaving groups or protecting groups and is therefore suitable for preparation of larger oligosaccharides. Generally, in using this strategy most of the synthetic effort is directed toward obtaining the suitable building blocks for use as glycosyl donors and acceptors.
2.2.7.4. Selective
This strategy is based on the use of leaving groups, which can be activated using different promoter systems. Lönn and co-workers(69) exploited this opportunity and selectively activated a bromide donor in the presence of a thioglycoside by n-Bu4NBr. The resulting thioglycoside was then activated with a thiophilic reagent. Mehta and Pinto177,178 has used a selenoglycosyl donor and reacted it with a thioglycoside acceptor showing the same principle.
2.2.7.5. Chemoselective
The chemoselective glycosylation strategy is using the influence of the protecting groups to tune the reactivity of both glycosyl donors and glycosyl acceptors. This strategy is also referred to as armed-disarmed glycosylation (Figure 16) with the reactivity of the leaving group being controlled by the selected protecting groups at C-2 (e.g., ether/dispiroketal/ester).179−181
Figure 16.
Basic principle in the armed-disarmed glycosylation strategy.
As previously discussed (in section ), the choice of the C-2 protection group as participating or nonparticipating plays a significant role in control of glycoside stereochemistry. In chemoselective synthesis, the electronic nature of the C-2 protection group is also an essential parameter. Most reactions at the anomeric center proceed via electron-deficient intermediates. Accordingly, electron-donating substituents on O-2 (normally ethers) tend to accelerate (arm) the reaction at the glycosidic center, while electron-withdrawing substituents (normally esters or amides) tend to reduce (disarm) the reaction. In the glycosylation reaction, an armed and a disarmed molecule are reacted resulting in cross-coupling. This chemoselective glycosylation strategy was introduced by Fraser-Reid and co-worker.(179) They carried out chemoselective coupling of a C-2 ether protected pentenyl glycoside acceptor with a benzoylated pentenyl glycoside donor. The concept has also been exploited by van Boom et al.70,72 using ethyl thioglycosides as leaving group in a similar reaction. Ley et al.(181) have used the armed-disarmed glycosylation strategy with thioglycosides using a dispiroketal as protecting group for efficient disarming.
As an extension of the armed-disarmed glycosylation strategy, the concept of a “super-armed” glycosyl donor was recently introduced by Bols and co-workers.182−184 The superarmed effect is obtained by using the stereoelectronic effects of the C-2 protecting group to enhance the reactivity of the glycosyl donor by changing its conformation (Figure 17).
Figure 17.
Basic principle of the superarmed glycosylation strategy as an expansion to the armed−disarmed glycosylation strategy.
Indeed, the realization that carbohydrate donors can be “super armed” in this manner opens a number of exiting opportunities in the synthesis of complex carbohydrates and cross-coupling of acceptors with low reactivity.
An example of the application of armed-disarmed strategy is to decrease the reactivity of pentenyl glycosides based on torsional effects(72) by the introduction of a cyclic acetal function (disarmed) resulting in chemoselective glycosylation(180) with benzylated pentenyl glycosides (armed) (Figure 18).
Figure 18.
Basic principle of the chemoselective glycosylation strategy as illustrated by differential protection of the anomeric center by a pentyl group.
It is also possible to alter the reactivity of the glycosyl donor by varying the size of the anomeric protecting group. This was demonstrated by Boons et al. who showed that the bulkiness of an anomeric thio group has a significant effect on glycosyl reactivity(185) (Figure 19).
Figure 19.
Basic principle of the chemoselective glycosylation strategy as illustrated by the use of a bulky anomeric protection group.
The chemoselective glycosylation strategy has proven most suitable for synthesis of smaller oligosaccharides (di-, tri-, and tetrasaccharides), which can be used as building blocks for preparation of more complex oligosaccharides.
2.2.7.6. Two-Stage
The concept of the two-stage glycosylation strategy is outlined in Figure 20.
Figure 20.
General principle of the two-stage glycosylation strategy.
The stategy is based on the possibility to convert an anomeric substituent denoted Y into a more efficient leaving group denoted X. Because of its increased reactivity, the X-activated saccharide acts as a glycosyl donor that can be coupled with a glycosyl acceptor containing the substituent Y. The procedure can be repeated by converting Y in the coupled product into X and use it as donor in an additional coupling reaction.
This strategy has been reported by Nicolaou et al.63,186 Phenyl thioglycosides were converted into glycosyl fluorides (Y = SPh, X = F) using NBS/DAST as activator and SnCl2/AgClO4 or AgOTf/HfCp2Cl2 as promoter in the synthesis of a pentasaccharide (Rhynchosporides)(63) and a hendecasaccharide (Trimeric Lex).(186)
The two-stage glycosylation strategy is highly convergent and feasible for synthesis complex oligosaccharides with a minimized number of manipulations at the glycosylation stage.
2.2.7.7. Latent-Active
The principle in the latent-active glycosylation strategy is to convert a stable anomeric group (latent) into an efficient leaving group (active) by a simple chemical interconversion and hence render it suitable as a glucoside donor in a glycosylation reaction. The product of the glycosylation reaction may, if so desired, be activated by repetition of the procedure (Figure 21).
Figure 21.
Principle of the latent-active glycosylation strategy.
This concept is quite similar to the two-stage glycosylation strategy, but is characterized as being based on chemical alternations within the anomeric substituent that do not involve breaking the glycosidic linkage. In the two-stage glycosylation strategy, the glycosidic bond is cleaved when the substituent is replaced by a substituent with increased reactivity. The “latent-active” concept was proposed by Roy et al.(187) for convergent synthesis of glycosides. p-Nitrophenyl thioglycosides (X = SPh-p-NO2) were anticipated to be inert (latent) toward thiophilic promoters. Upon conversion of the electron-withdrawing p-nitro substituent into an electron-donating amino group (X1 = SPh-p-NH2), an anomeric substituent that may be activated by suitable thiophilic promoters is obtained.
In addition to using p-substituted 1-thioglycosides,187−191 the latent-active glycosylation strategy has also been exploited with substituted allyl glycosides (X = OCH(CH3)CH=CH2). The allyl glycosides can be isomerized into the corresponding vinyl glycosides (X1 = OC(CH3)=CHCH3),192,193 and subsequently used in Lewis acid-mediated (TMSOTf) glycosylations. This strategy allows synthesis of complex oligosaccharides and offers a good complementary approach to the armed-disarmed strategy by further controlling the reactivity of the glycosyl donor by modification of the aglycone moiety rather than from alteration of the glycone itself.
2.2.7.8. One-Pot
The one-pot glycosylation strategy is based on the ability to control the reactivity of the glycosyl donors, and the concept allows the construction of several glycosidic linkages by one-pot procedure (Figure 22).
Figure 22.
Principle of the one-pot glycosylation strategy.
The one-pot approach is designed so that the choice of protecting groups on saccharide components or the combination of protecting groups and anomeric substituents will result in decreased donor reactivity during the synthetic process. The most reactive donor is used for the nonreducing end, and an inactive donor is used for the reducing end of the target oligosaccharide. Kahne et al.(87) used this approach with anomeric aromatic sulfoxides with different substituents at the para position of the phenyl ring. This principle was used for synthesis of a trisaccharide using the of the order of reactivity of S(O)-p-Ph-OCH3 > S-Ph > S(O)Ph.(194)
A variant of this concept is the one-pot two-step synthesis in which the two acceptor saccharides used are added in two different steps. Ley and Priepke(195) has described the synthesis of a trisaccharide based on the armed-disarmed strategy resulting in different reactivity between two thioethyl glycosides. Takahashi and co-workers(196) have reported synthesis of a trisaccharide, based on the difference in reactivity between glycosyl donor and acceptor accomplished by use of different types of leaving groups with different reactivity.
Wong et al.(197) exploited this strategy for a so-called programmable one-pot oligosaccharide synthesis based on knowledge of the relative reactivity of a range of monosaccharides. The idea is that based on the relative reactivities, a proper combination of monosaccharides can be chosen for synthesis of a certain oligosaccharide.
The one-pot concept facilitates rapid synthesis of oligosaccharides. However, the saccharides must be produced in excellent yields and with defined stereoselectivity. Otherwise it is necessary to isolate the intermediates, which would negate the simplicity of the approach. Unfortunately, complex oligosaccharides have not been and will be difficult to obtain using one-pot approaches.
2.2.7.9. Solid-Phase
Solid-phase synthesis is well-established in peptide and oligonucleotide chemistry. In contrast, solid-phase-supported oligosaccharide synthesis is not well-developed. This reflects the lack of powerful methods to control the stereochemistry of glycosidic bond formation and the inherent polyfunctional nature of saccharide molecules. This renders even the initial synthesis of building blocks very time-consuming. The advantages of a solid-phase glycosylation method are elimination of the time-consuming workup procedures and purification steps. However, despite recent advances, only relatively simple oligosaccharides have been prepared using a solid-phase approach.198,199 In spite of recent advances in solid-phase synthesis, numerous improvements in chemical methodologies and technical expertise are required before solid-phase synthesis may constitute a competitive alternative.
2.3. Chemically Synthesized Complex α-Glucans
For chemical synthesis of structurally well-defined α-glucans related to the two distinct α-glucans of starch, the linear α-(1,4)-linked amylose and the branched α-(1,4)/α-(1,6)-linked amylopectin, (Figure 23) it is necessary to meet the following requirements: (1) the glycosylation reaction should be stereospecific and result in the formation of α-glycosidic linkages (i.e using a nonparticipating protecting group at the 2-position: generally benzyl ether), (2) access to the 4-position during the synthesis, (3) access to the 6-position during the synthesis, and (4) access to an activated anomeric center at any stage of the reaction steps.
Figure 23.
Representative partial structures of amylose and amylopectin, the two polymers of starch.
Considering these requirements, Motawia and collaborators106,107,200−202 have developed an effective strategy termed the “blockwise three-stage glycosylation strategy”. The strategy is based on a number of building blocks obtained from d-glucose,106,107 maltose,84,107,108 and maltotriose.107,109 A key feature of the strategy is the use of thiophenyl as anomeric protection group. The thiophenyl group is easily removed in a mild and rapid manner at any stage of the synthetic procedure using H2O/acetone-NBS system.(203) This greatly facilitates regeneration of the reducing sugar to be activated and used as the glycosyl donor in subsequent steps.
The blockwise three-stage glycosylation strategy has afforded chemical synthesis of linear α-(1→4)-linked (Figure 24) as well as branched α-(1→4)/α-(1→6)-linked α-glucans (Figure 25). Table 4 outlines the structures of additional complex α-glucans chemically synthesized using the blockwise three-stage glycosylation strategy.
Figure 24.
Chemical synthesis of maltohexadecaose using the blockwise three-stage convergent glycosylation strategy.
Figure 25.
Chemical synthesis of maltododecaose with two branch points using the blockwise three-stage convergent glycosylation strategy.
Table 4. Overview of Chemically Synthesized α-Glucans Having the Features of Starch Compositiona.
![]() |
1: Methyl α-d-glucopyranosyl-(1→6)-α-d-glucopyranoside [α-d-Glcp-(1→6)-α-d-GlcpOMe] or methyl α-d-isomaltoside. 2: Methyl α-d-glucopyranosyl-(1→6)-α-d-glucopyranosyl-(1→4)-α-d-glucopyranoside [α-d-Glcp-(1→6)-α-d-Glcp-(1→4)-α-d-GlcpOMe]or methyl α-panoside. 3: Methyl α-d-glucopyranosyl-(1→4)-α-d-glucopyranosyl-(1→6)-α-d-glucopyranoside [α-d-Glcp-(1→4)-α-d-Glcp-(1→6)-α-d-GlcpOMe] or methyl α-isopanoside. 4: Methyl 4,6-di-O-(α-d-glucopyranosyl)-α-d-glucopyranoside {α-d-Glcp-(1→4)-[α-d-Glcp-(1→6)]-α-d-GlcpOMe} or methyl α-forkoside·(methyl 6-O-α-glucopyranosyl-α-maltoside). 5: Methy α-d-glucopyranosyl-(1→6)-α-d-glucopyranosyl-(1→6)-α-d-glucopyranoside [α-d-Glcp-(1→6)-α-d-Glcp-(1→6)-α-d-GlcpOMe] or methyl α-isomaltotrioside. 6: α-d-Glucopyranosyl-(1→4)-α-d-glucopyranosyl-(1→6)-[α-d-glucopranosyl-(1→4)]-α-d-glucopyranosyl-(1→4)-α-d-glucopyranose {α-d-Glcp-(1→4)-α-d-Glcp-(1→6)-[α-d-Glcp-(1→4)]-α-Glcp-(1→4)-α-d-Glcp} or methyl 6′-O-α-maltosyl-α-maltotriose. 7: Methyl α-d-Glucopyranosyl-(1→4)-α-d-glucopyranosyl-(1→6)-[α-d-glucopranosyl-(1→4)]-α-d-glucopyranosyl-(1→4)-α-d-glucopyranoside {α-d-Glcp-(1→4)-α-d-Glcp-(1→6)-[α-d-Glcp-(1→4)]-α-Glcp-(1→4)-α-d-GlcpOMe} or methyl 6′-O-α-maltosyl-α-maltotrioside. 8: α-d-Glucopyranosyl-(1→4)-α-d-glucopyranosyl-(1→6)-[α-d-glucopranosyl-(1→4)]-α-d-glucopyranosyl-(1→4)-α-d-glucopyranosy-(1→4)-α-d-glucopyranose {α-d-Glcp-(1→4)-α-d-Glcp-(1→6)-[α-d-Glcp-(1→4)]-α-Glcp-(1→4)-α-d-Glcp-(1→4)-α-d-Glcp} or methyl 6′′-O-α-maltosyl-α-maltotetraose. 9: α-d-Glucopyranosyl-(1→4)-α-d-glucopyranosyl(1→4)-α-d-glucopyranosyl-(1→6)-[α-d-glucopyranosyl-(1→4)-α-d-glucopranosyl-(1→4)]-α-d-glucopyranosyl-(1→4)-α-d-glucopyranosy-(1→4)-α-d-glucopyranosyl-(1→4)-α-d-glucopyranose {α-d-Glcp-(1→4)-α-Glcp-(1→4)-α-d-Glcp-(1→6)-[α-d-Glcp-(1→4)-α-Glcp-(1→4)]-α-Glcp-(1→4)-α-d-Glcp-(1→4)-α-Glcp-(1→4)-α-d-Glcp} or 6′′′-O-α-maltotriosyl-α-maltohexaose. 10: α-d-Glucopyranosyl-(1→4)-α-d-glucopyranosyl-(1→6)-[α-d-glucopranosyl-(1→4)]-α-d-glucopyranosyl-(1→4)-α-d-glucopyranosyl-(1→4)-α-d-glucopyranosy-(1→4)-α-d-glucopyranosyl-(1→4)-[α-d-glucopyranosyl-(1→4)-α-d-glucopyranosyl-(1→6)]-α-d-glucopyranose {α-d-Glcp-(1→4)-α-d-Glcp-(1→6)-[α-d-Glcp-(1→4)]-α-Glcp-(1→4)-α-d-Glcp-(1→4)-α-Glcp-(1→4)-α-Glcp-(1→4)-[α-Glcp-(1→4)-α-Glcp-(1→6)]-α-d-Glcp} or 6,6′′′-bis-O-(α-maltosyl)-maltohexaose. 11: Methyl α-d-glucopyranosyl-(1→4)-α-d-glucopyranosyl-(1→4)-α-d-glucopyranoside [α-d-Glcp-(1→4)-α-d-Glcp-(1→4)-α-d-GlcpOMe] or methyl α-maltotrioside. 12, n = 6: α-d-glucopyranosyl-(1→4)-α-d-glucopyranosyl-(1→4)- α-d-glucopyranosyl-(1→4)-α-d-glucopyranosyl-(1→4)- α-d-glucopyranosyl-(1→4)-α-d-glucopyranosyl-(1→4)- α-d-glucopyranosyl-(1→4)-α-d-glucopyranose [α-d-Glcp-(1→4)-α-d-Glcp-(1→4)-α-d-Glcp-(1→4)-α-d-Glcp-(1→4)-α-d-Glcp-(1→4)-α-d-Glcp-(1→4)-α-d-Glcp-(1→4)-α-d-Glcp] or maltooctaose. 12, n = 14: α-d-glucopyranosyl-(1→4)-α-d-glucopyranosyl-(1→4)- α-d-glucopyranosyl-(1→4)-α-d-glucopyranosyl-(1→4)- α-d-glucopyranosyl-(1→4)-α-d-glucopyranosyl-(1→4)- α-d-glucopyranosyl-(1→4)-α-d-glucopyranosyl-(1→4)-α-d-glucopyranosyl-(1→4)-α-d-glucopyranosyl-(1→4)- α-d-glucopyranosyl-(1→4)-α-d-glucopyranosyl-(1→4)- α-d-glucopyranosyl-(1→4)-α-d-glucopyranosyl-(1→4)- α-d-glucopyranosyl-(1→4)-α-d-glucopyranose [α-d-Glcp-(1→4)-α-d-Glcp-(1→4)-α-d-Glcp-(1→4)-α-d-Glcp-(1→4)-α-d-Glcp-(1→4)-α-d-Glcp-(1→4)-α-d-Glcp-(1→4)-α-d-Glcp-(1→4)-α-d-Glcp-(1→4)-α-d-Glcp-(1→4)-α-d-Glcp-(1→4)-α-d-Glcp-(1→4)-α-d-Glcp-(1→4)-α-d-Glcp-(1→4)-α-d-Glcp-(1→4)-α-d-Glcp] or maltohexadecaose.
2.3.1. Enzymatic Synthesis and Degradation of Starch Motifs
An alternative to organic chemical synthesis of α-glucans encompassing starch motifs is synthesis using a chemo-enzymatic approach i.e. utilizing enzymes involved in either synthesis or degradation of starch or related oligosaccharides to generate novel structures. One approach is based on the use of glycosyl transferases, which catalyze the formation of O- and N-glycosides. Another approach is based on the use of glycosyl hydrolases, which hydrolyze O-glycosides, but also catalyze the reverse reaction.204−208 The use of complex oligosaccharides as substrates for isolated enzymes with the purpose to introduce additional α-(1→4)- or α-(1→6)-linked glucose residues at defined positions is not possible because of the small number of enzymes available and their poor regiospecificity. As a result, a polydisperse series of products are obtained. The most common and inexpensive cyclic α-(1→4)-glucans are the α-, β- and γ-cyclodextrins. These are produced by cyclodextrin glucanotransferase (CGTase) catalyzed ring formation using starch as substrate.209,210 Linear maltooligosaccharides with a degree of polymerization of 6, 7, and 8 can be achieved by hydrolytic ring-opening of these cyclic α-(1→4)-glucans using a strong acid such as H2SO4(211) or by enzymatic treatment using a thermostable amylase.(212) Regioselectively substituted maltooligosaccharides have been generated by the action of CGTase in combination with amyloglucosidase to provide a series of different oligosaccharides.213,214 Starch synthases (SS) can also be used to produce some oligosaccharides.202,216 Starch synthase II can add one glucose unit from ADP-glucose onto the nonreducing end of linear substrates like maltotriose and maltohexaose(215) or branched substrates (6′′′-α-maltotriosyl-maltohexaose and methyl 6′-α-maltosyl-α-maltotrioside).200,215 Phosphorylases provide an alternative approach for elongation of linear218,219 or branched high molecular weight(220) starch-like α-glucans. However, just as for starch synthases, polydisperse polysaccharide products are generated. α-Amylases from different origins were shown to be able to cleave the double branched dodecasaccharide into either two pentasaccharides or a hexassacharide and a tetrasaccharide.(201) Hence this could be a complementary way to obtain novel substrates. Chromogenic substrates like 2-Chloro-4-nitrophenyl and 4-6-O-benzylidene-modified 4-nitrophenyl β-maltooligosaccharides(221) and fluorogenic substrates like pyridylaminated maltooligosaccharides(222) have been produced using a chemoenzymatic approach with cyclodextrin as starting material and phosphorylase-catalyzed elongation of the backbone chains. Such substrates provide very valuable tools for investigation amylolytic and phosphorylytic active site and starch binding sub site characteristics as well as providing ready to use standard reactants for amylase and phosphorylase activity. It would be a great step forward to have enzymes available, which catalyze the formation of O-glycoside bonds in a regiospecific and stereospecific manner using unprotected defined saccharides and nucleotide activated monosaccharides as starting materials. Hereby, the laborious protecting group manipulation and the problems with stereoselectivity could be avoided. While this has not yet been accomplished for the synthesis of complex oligosaccahrides and α-glucans, a glycosyltransferase platform encompassing more than 150 family 1 glycosyltransferases(217) (well described in the CAZy-database [http://www.cazy.org]) for stereo- and regiospecific glycosylation of bioactive natural products has been established. The specificity and catalytic efficacy of the family 1 glycosyltransferases involved could be further improved by domain swapping.(216) Targeted optimization of family 1 glycosyltransferase for activity toward specific substrates is also feasible using molecular modeling.223,224 The approaches afforded gram quantities of the desired products documenting enzyme catalyzed synthesis as a feasible alternative to chemical synthesis. The glycosyltransferases that have linear or branched α-glucans as substrates are assigned starch synthases. These belong to glycosyltransferase family 5. This is a small family of enzymes and a multitude of glycosyltransferases each catalyzing transfer of a single sugar residue to a specific position within a defined linear or branched oligosaccharide are thus not available in nature. From a genetic point of view, this would require a large number of specific enzymes and thus be costly to maintain.
In conclusion, the stepwise and selective strategies for synthesis of smaller oligosaccharides or for the preparation of building blocks for synthesis of more complex oligosaccharides are feasible but laborious. The one-pot approaches are best suited for synthesis of smaller oligosaccharides.
The blockwise convergent strategy is the most widely used approach in preparation of complex oligosaccharides. The two-stage and the latent-active glycosylation strategies are highly convergent and feasible for synthesis of complex oligosaccharides with a reduced number of manipulations at the glycosylation stage. The orthogonal strategy is also suitable for complex oligosaccharide synthesis. Often a combination of strategies is used to synthesize complex oligosaccharides. The most successful strategy in synthesizing complex oligo- and polysaccharides encompassing the features of starch are the so-called “blockwise three-stage convergent glycosylation strategy” described in section .
2.4. Analytical Techniques for the Characterization of Synthesized α-Glucans
A number of analytical techniques have been applied to determine the structure and purity of chemically or enzymatically produced α-glucans. The techniques vary in complexity from simple determination of melting points over polarimetry(225) and vibrational spectroscopy to advanced nuclear magnetic resonance (NMR) spectroscopy. High resolution NMR has proven the most useful method to verify and achieve information about α-glucan structures.(226) With modern NMR instruments it is possible to perform thorough investigations on amounts as small as 1 mg of a small oligosaccharide. This is certainly within the limits of what can be produced in chemical or enzyme-assisted synthesis. However, even with state-of-the-art NMR resolution, it can be very difficult to assign each individual atom in α-glucan oligomers because of the great similarity of the different glucose units. This is illustrated by the spectrum for the trisaccharide, methyl α-isopanoside,(227) which is barely resolvable using 950 MHz NMR (Figure 26). The identification of a certain type of glycosidic bond is possible from the observation of chemical shift values at the glycosylation site. The difference in chemical shifts, when compared to reported standard values, can give a clear indication about which type of linkages that are present in the oligosaccharide (see Tables 2 and 3 as example for maltose and isomaltose, respectively). A review of current NMR techniques for carbohydrate identification has recently been given by Duus and co-workers.(226)
Figure 26.
Section of a 1H−1H COSY spectrum recorded at 22.3 T (950 MHz) for the trisaccharide methyl-α-isopanoside, showing the region containing protons in the pyranose rings. Signal overlaps are severe at the diagonal, but resolvable in the cross-peaks due to the high magnetic field strength. Reprinted with permission from ref (227). Copyright 2008 John Wiley & Sons, Inc.
Mass spectrometry (MS) can be used to determine the actual mass of a compound and is thus very useful to verify that an oligosaccharide with a correct mass has been synthesized. Normally no information of the detailed structure can be deduced. MS-MS of a homopolysaccharide, like α-glucans, might initially give information of branch point locations, but further fragmentation will not result in additional information, because the fragments would be alike. Separation techniques such as high performance liquid chromatography (HPLC) and especially the strong alkaline based Dionex (BioLC) is useful in separating glucans with different masses, regiochemistry, and stereochemistry(201) and can be hyphenated with MS. Hyphenation requires a desalting step before the eluate is passed into the MS, which is technical difficult and explains why this technology has not found general use. An alternative technique is matrix-assisted laser desorption/ionization time-of-flight (MALDI-TOF), which is less sensitive to small amounts of salt. Normally the MALDI-TOF technique is limited to smaller oligosaccharides and the MS spectra do not reach the quality and sensitivity obtained for peptides.(228) However, the technology is improving as examplified by identification of two fragment species of mildly hydrolyzed potato starch with molecular masses of 5898 and 7078 Da corresponding to 33 and 40 glucose units, respectively, both having a secondary smaller peak (shoulder) corresponding to one additional glucose unit (Figure 27).(200) This result is in accordance with proposed dimensions of double helical amylopectin motifs in native granular potato starch(229) with single stranded fragments of DP 18−22 typical for potato starch.
Figure 27.
(A) MALDI-TOF spectrum of large amylopectin fragments and (B) a representative of the α-glucan structures giving rise to the distinct larger fragments obtained. Reprinted with permission from ref (291). Copyright 2003 Elsevier.
The ultimate structure evaluation technique for oligosaccharides is single crystal X-ray diffraction.(230) Unfortunately this technique is not easily applicable to oligosaccharides becausse of their inherent flexibility. Because of their unwillingness to incorporate in regular single crystals, X-ray diffraction of saccharide structures larger than tetramers are rare exceptions and normally only seen when cocrystallized with proteins.(231) In contrast, cyclic α-glucans [cyclodextrins, (CyD)](232) are considerably less flexible and crystal structures for these as well as for many of their derivatives have been solved. CyDs provide valuable models for starch, especially as mimics for helical starch but the structures and properties of these are covered in great detail in a previous review, e.g. their chemistry,(233) NMR studies and complexes,234,235 the stability of CyD complexes in solutions(237) and their drug carrier systems237,238 and will not be addressed here.
An important difference between NMR spectroscopy and X-ray diffraction is that the measurements are carried out using two different phases of the synthesized carbohydrates, the aqueous solution and solid state, respectively. Even in the case of α-glucans, several of the tri- and tetra-saccharide building blocks have not been determined by single-crystal X-ray diffraction. In contrast NMR spectroscopy excels when measuring relative dilute solutions of oligosaccharides. This is obviously an important advantage because the key structural questions normally addressed are how oligosaccharides behave in their biological environment with water as the omnipresent plasticizer and transport medium. This question can only be answered by a combination of high resolution NMR spectroscopy and molecular modeling, which we will exemplify in the following chapter.
3. Structure and Hydration of α-Glucans
While the physical-chemical methods described in section 2.4 only provide time-averaged data on the structure and hydration of α-glucans, molecular modeling is the only feasible method to obtain insight into the structural principles and dynamics of the hydration at the atomic level. Two very different approaches are available to carry out simulations of molecular systems, ab initio calculations based on the theory of quantum mechanics and density functional theory (DFT) methods. During the past decade it has been demonstrated that both approaches produce reliable results for small model carbohydrates. However, α-glucan molecules are way too large to allow for high theory level quantum mechanical methods to be applied.
The computational challenge of ab initio calculations to α-glucans can be exemplified by a study of the perhaps most prominent α-glucan feature, namely the association to water through hydrogen bonds. The α-d-glucopyranose monohydrate system is a convenient model system to investigate the magnitude of the saccharide water interaction.(239) While the water−water dimer can be evaluated at the highest theoretical level using coupled cluster ab initio methods (CCSD(T)) with large augmented basis sets (dAUG-cc-pVQZ) to 5.4 ± 0.7 kcal/mol,(240) the interaction energy of the α-d-glucopyranose·H2O system requires a truncated glucose molecule (see Figure 28) to be evaluated at the highest theoretical level. Such an approach resulted in an estimation of the glucose water interaction:(241)
Figure 28.
Different model systems of the α-d-glucopyranose monohydrate. Full system (left), truncated model system (center), and further truncated model system (right). Broken C−C bonds are saturated with hydrogen atoms shown in yellow. Reprinted with permission from ref (241). Copyright 2004 Elsevier B.V.
This interaction is of similar magnitude as the water−water interaction energy and on the lower limit of hydration energies of monohydrates calculated to be between −5 and −12 kcal/mol using the density functional theory method B3LYP/6-311++G**.(242) Nevertheless, specific interactions with water of this magnitude obviously may have a significant influence on the conformational preferences of dissolved α-glucan.
Unfortunately, we are not likely to be able to perform high (theory) level ab initio calculations of larger α-glucan fragments in a foreseeable future. A more pragmatic method is therefore of interest. Molecular mechanics(243) is one such method which employs empirical potential energy functions and uses a number of approximations to provide a simpler model to simulate the conformational and dynamical properties of molecular systems.(244) The simplifications applied in molecular mechanics make it possible to simulate dynamics of molecular systems on a time scale long enough to be able to reproduce experimental physical observables. These features make molecular mechanics a practical tool for studying the structure and dynamics of polysaccharides including α-glucans.(245) However, in spite of the simple chemistry of starch, each starch molecule is different and complex and far too big for an atomic approach. A hypothetical amylopectin molecule of a molar mass in the range of 1010 Da contains approximately 6 × 108 glucosyl residues. Each of these residues consists of 24 atoms in 3 Cartesian coordinates. Single precision 4 bytes storage would demand 15 GB memory for one single amylopectin-conformation. Unfortunately, computers and computational methods are not yet able to deal with such complexity. Accordingly, models of smaller molecular fragments have to be extrapolated to larger systems. In the following, we will describe the key features of α-glucan model substances.
3.1. α-Glucan Disaccharide Motifs
If starch molecules are broken down into dimers, only two different dimers will result: maltose and isomaltose (see Figure 6). The α-d-glucopyranose ring is usually assumed to be a fairly rigid 4C1 structure and the torsion angles of the linkages between the glucose units are therefore the primary parameters that define the overall structure of an α-glucan oligomer.(246)
3.1.1. Conformation of the α-(1→4) Glucosidic Linkage
Two glucose units linked together by an α-(1→4) bond forms the disaccharide maltose. In maltose (Notice the difference in labeling within the modeling and chemical synthesis areas. In the synthesis areas, the reducing sugar is not labeled, but the following sugar is labeled with one prime (′). In modeling, the reducing sugar is labeled with a prime (′) and the nonreducing end is not labeled) (Figure 29A), the torsion angles of the α-(1→4) linkages are denoted Φ and Ψ, where the Φ angle is defined by the four atoms O5−C1−O1−C4′ and Ψ by C1−O1−C4′−C5′. The preference of the Φ torsion, the angle between substituents on C1 and O1, is strongly influenced by the exoanomeric effect, which is a stereoelectronic effect caused by the polarity of both the substituent and the electron lone-pair on the linkage oxygen.(247) The Ψ torsion is mostly influenced by steric effects and hydrogen bonding both inter-residual and with the surrounding water.
Figure 29.
(A) The torsion angles Φ and Ψ in maltose. (B) The adiabatic map of maltose and (C) the population density map of maltose in aqueous solution. Notice the difference in labeling within the modeling and chemical synthesis areas. In the synthesis areas, the reducing sugar is not labeled, but the following sugar is labeled with one prime (′). In modeling, the reducing sugar is labeled with a prime (′) and the nonreducing end is not labeled. Reprinted with permission from ref (249). Copyright 2004 John Wiley & Sons, Inc.
For a more detailed characterization of the conformational preferences, the glycosidic linkage can be investigated by calculating energies for all possible rotational conformations of the two monomers on each side of the linking oxygen atom O1, and plotting these in a two-dimensional energy map as a function of Φ and Ψ. This is called an adiabatic map and an example of such a potential energy map for maltose calculated in the molecular mechanics MM3(248) force field is shown in Figure 29B.(249) The adiabatic map reveals one global energy minimum well centered at Φ = 100° and Ψ = 220° and a secondary local minimum well centered at approximately Φ = 100° and Ψ = 70°. The most important observations that can be elucidated from this archetype α-glucan linkage map are as follows: (1) The geometry of the α-maltose in the crystal structure(250) (Φ = 116°; Ψ = 242°) (B conformer in Figure 29B) is found in the center of the global minimum well which indicate the validity of the pragmatic molecular mechanics approach. (2) The global energy mιnimum well is favored by an intramolecular (interring) hydrogen bond between O-2···O-3′251,252 present also in the crystal structure. (3) When hydration is taken implicitly into account and the interring hydrogen bond is in competition with hydrogen bonding to water, the favored conformation is pushed toward the A minimum (Figure 29). When this structure is extrapolated to a polymer it shows a clear preference for left-handed helical models with 6 glucose units per helical turn.17,245 This is shown in Figure 30, in which the adiabatic map of maltose is superimposed with helical parameters: n and h calculated by the molecular polysaccharide builder program POLYS program.(253)n is the number of repeating units per turn of the helix and h is the projection of the glucose residue onto the helical axis. This observation strongly indicates that (1→4)-linked α-glucans will naturally favor a helical arrangement with 6 glucose residues per helical turn (n) and a projection of glucose onto the helical axis of 3.5 nm (h) in the biological environment. (4) When extrapolated, the global minimum structure including the (interring) hydrogen bond between O-2···O-3′, will lead to a near cyclic structure as in cyclodextrins. This corresponds to approaching the iso-h line of zero.
Figure 30.
Helical contours of an α-(1→4) linked α-glucan superimposed on the adiabatic map of the α-(1→4) linkage. To the right the archetypic globally favorable for α-glucans: the 6-fold (n = 6) helical structure (along the helical axis and from the top of the helical axis).
Recently, it has become possible to calculate relaxed potential energy surfaces of disaccharides including maltose using ab initio theory but at a relatively low theoretical HF/6-31G* level of theory, in which the glucose units are replaced with tetrahydropyran. In the case of the potential energy surface of the maltose analogue, the resulting potential energy surface is quite similar to the adiabatic maps in Figures 29 and 30(254) and thus provides independent confirmation of the data set.
The potential energy maps of the α-(1→4) linkage shown in Figures 29B and 30 are calculated for an isolated molecule (in vacuo) and do not evidence the linkage structure in the presence of water. But, as indicated in the beginning of this chapter, the interactions with water cannot be ignored when studying carbohydrate structure and dynamics. In order to study the α-glucan hydration, it is necessary to conduct molecular dynamics simulations in which the α-glucan molecules are virtually dissolved in water and Newtons equations of motions for the molecular system calculated over a realistic period of time. When such data have been recorded, average values from molecular dynamics trajectories can be compared to experimental data from analytical techniques such as X-ray diffraction and in particular NMR spectroscopy. In this manner, specific interactions with water and their influence upon the carbohydrate structure can be evaluated.
Several studies have investigated the conformational preferences of α-maltose in aqueous solution249,252,255,256 and the conclusion is that the structure of the maltosidic unit is only slightly altered in aqueous solution. As an example, Figure 29C shows the so-called population density map of methyl α-maltoside superimposed on the outer contours of the adiabatic map of α-maltose from Figure 29B. The figure shows a slight shift to the left of the global energy minimum well (B) into a region (A) which is similar in energy but does not promote the (interring) hydrogen bond between O-2···O-3′ as observed in the crystal structure. Apparently the hydrogen bond now is in competition with hydrogen bonding to the water molecules. Although it is often seen that the presence of water induces a noticeable conformational shift in the conformation of the carbohydrate,(257) it is noteworthy that the overall structure of the maltose is conserved but that the tendency to generate a 6-fold helical structure is strongly favored for α-(1→4)-glucans in aqueous solution.
3.1.2. Conformation of the α-(1→6) Glucosidic Linkage
The other glucosidic linkage present in starch is the α-(1→6) linkage which defines the branch points in amylopectin. Two glucose units linked together by an α-(1→6) bond forms the disaccharide isomaltose. This linkage can be studied in the same manner as the α-(1→4) linkage, but because it has one additional glycosidic torsion angle ω that is given by O1−C6′−C5′−O5′, it is 1 order of magnitude more complex compared to maltose.249,258−260 The ω torsion has a preference for the 3 different staggered configurations referred to as gauche−gauche (gg, ω = 300°), gauche−trans (gt, ω = 60°), and trans−gauche (tg, ω = 180°). Thus the adiabatic map of isomaltose can be viewed in three displays (see Figure 31). The tg rotamer is rarely observed, because repulsive interactions make this conformation energetically unfavorable in comparison to gt and gg. All the wells have Φ in the proximity of 80° in accordance with the exoanomeric effect and Ψ has a value of 180° in the three lowest energy wells. As was the case for maltose, also the crystal conformation (Φ = 71°, Ψ = 165°, ω = 75°) as found in the crystal structure of the trisaccharide α-panose(261) is positioned nearly perfectly centered in the lowest energy minimum. As in the case of the α-(1→4) linkage of maltose, hydration does not strongly affect the overall structure of the isomaltose unit. In fact, it would appear that the aqueous solvation further restricts the α-(1→6) to the α-panose overall geometry (not shown).
Figure 31.
Adiabatic maps of the primary dihedral rotations (Φ and Ψ) of the α-(1→6) linkage in methyl α-isomaltoside as a function of the staggered conformations of the third primary dihedral w. The crystal structure of methyl α-panoside is indicated with a C. Reprinted with permission from ref (249). Copyright 2004 John Wiley & Sons, Inc.
3.2. α-Glucan Oligosaccharide Structural Motifs
The occurrence of α-glucan oligosaccharide structural motifs was first corroborated through the resolution of the crystal structures of several oligoosaccharides including maltotriose, panose, and isopanose, allowing predictions to be made about some of the structural features of the amylopectin branch point, as first described by Imberty and Pérez.(262) In the following sections, theoretical and experimental results from the solid state and solution state starch α-glucan oligosaccharides are compared in order to provide the current state of insight into native oligosaccharide α-glucan structure.
3.2.1. Four Starch Trisaccharides
The amylopectin structure can be degraded into two constituting disaccharides. To further study its molecular structure, amylopection can be degraded into four constituting trisaccharides (Figure 32): maltotriose[α-d-Glcp(1→4)-α-d-Glcp(1→4)-α-d-Glcp], panose [α-d-Glcp(1→6)-α-d-Glcp(1→4)-α-d-Glcp], isopanose [α-d-Glcp(1→4)-α-d-Glcp(1→6)-α-d-Glcp], and forkose {α-d-Glcp(1→4)-[α-d-Glcp(6→1)]-α-d-Glcp). These four trisaccharides have recently been chemically synthesized as their methyl α-glucosides(227) and subjected to 950 MHz NMR spectroscopy and nanosecond molecular dynamics trajectories. Systematic analysis of the simulation data revealed several examples of intramolecular bridging water molecules playing an important role in the stabilization of specific amylopectin conformations. The most abundant α-glucan trisaccharide, maltotriose, proved to be the most extended trimer providing a regular structure for the crystalline domains, whereas in particular the isopanose proved to take a restricted structure due to an exceptionally strong interaction with water.
Figure 32.
Schematic view of the four amylopectin trisaccharide building blocks inserted into the proposed model of the double-helical structure in amylopectin. The trisaccharide building blocks are shown in blue color in the respective diagrams. (A) methyl α-isopanoside, (B) methyl α-panoside, (C) methyl α-maltotrioside, (D) methyl α-forkoside. Reprinted with permission from ref (227). Copyright 2008 John Wiley & Sons, Inc.
Maltotriose, panose, and isopanose are relatively well-known trisaccharide structures, and the structures of maltotriose(263) and panose261,264 have been solved by single crystal X-ray diffraction. The fourth trisaccharide is less well characterized. It is the only α-glucan trisaccharide, which is not built sequentially, but has a central glucose unit, which is the reducing end since it is the end point of two linkages. In amylopectin, this trisaccharide is located at the branch point forking the amylopectin molecule into two strands and thus labeled forkose. The study showed that the structure of forkose in contrast to the other trisaccharides was not significantly influenced by the presence of water and that it takes a natural bend form, which fits well into the proposed structure of the double-helical segment of amylopectin (Figure 32D).
3.2.2. Amylopectin Branch Point
While the α-glucan trisaccharide structures provide new insight into the structural behavior of α-glucans, a trisaccharide structure cannot provide the entire picture of the amylopectin branch point, which contains a trisubstituted glucose unit and thus require at least a tetrasaccharide model compound. Best et al.(265) investigated the tetrasaccharide 6′′-α-d-glucopyranosyl-maltotriose as the minimal model compound for the amylopectin branch point and found that the addition of the extra residue provided more interresidue interactions. However, because of the lack of strong specific hydration interactions, intramolecular forces were stipulated as the primary determinants governing the overall structure of the dihedrals. This is in good agreement with the results mentioned above on the trisaccharide forkose.
In an effort to further study and scrutinize the hydration behavior of the amylopectin branch point, a pentasaccharide was synthesized and investigated by Corzana et al.(266) Apart from the trisubstituted branch point, one glucose residue was included as a representative of a linker into the amorphous layer of starch. In contrast to the results obtained using the tetrasaccharide as model compound for the starch branch point, the studies on the pentasaccharide showed that the conformational flexibility of the α-(1→6) branch point in water is low. Apparently, the addition of the fifth glucose residue that elongates the α-(1→6) branch restricts the conformational diversity of the three-bond α-(1→6) linkage in aqueous solution. The apparent rigidity of the branch point could be explained by the presence of a particular high and localized water density (a water bridge) across the branch point that lock the pentasaccharide structure into a structure that is able to accommodate the creation of the double-helical amylopectin structure(229) (Figures 33 and 34).
Figure 33.
Optimized geometry of the amylosic double helical fragments constructed by POLYS and compared to the ensemble average conformation of the chemically synthesized branched pentasaccharide. Reprinted with permission from ref (266). Copyright 2004 American Chemical Society.
Figure 34.

Two-site radial pair distribution function of the water structure relative to O-2(B) and O-5(D). The contour map reveals an anisotropic water density of 8.5. This water bridge between O-2(B) and O-5(D) is present about 73% of the time, having maximum and average residence times of 18.36 and 0.57 ps, respectively. The average distance O-2(B)···O-5(D) was 4.49 Å, ranging from 5.49 to 2.62 Å. The inserted figure of the chemically synthesized pentasaccharide shows a snapshot of the relevant water bridge. Reprinted with permission from ref (266). Copyright 2004 American Chemical Society.
It is now well established that the structure of carbohydrates in aqueous solution is intimately related to the interactions with the surrounding water molecules.252,267,268 Radial pair distributions are useful when studying the carbohydrate hydration shell and show how the carbohydrate induces a rearrangement of the water structure with the purpose of creating an optimal hydrogen-bonding network adapted to the new environment. However, in some cases, specific water molecules can reside in a fixed position for longer periods of time because of hydrogen bonding between the water molecule and one or two oxygen atoms in the carbohydrate structure.(269) One tool for the description of such localized waters interacting closely with the carbohydrate is so-called 2-site radial pair distributions.(270) This method gives a statistical measure for the probability of finding, for example, an oxygen atom at a pair of distances (r1 and r2) from two given atoms in the hydrated solute, relative to the expected probability for a random distribution. The result is a contour plot, where the water probability is plotted as a function of distances to the two hydration sites. In the case of the pentasaccharide, a strong water density between O-2 (residue B) and O-5 (residue D) revealed an anisotropic water density of 8.5 (Figure 34), which is unusually high, but similar in magnitude to the shared water between O-2g (O-2 of glucose) and O-1f (O-1 of fructose) reported for sucrose.(269) In the pentasaccharide, this water bridge between O-2(B) and O-5(D) is present about 73% of the time, which explains the reduced flexibility of the branch point of the pentasaccharide when compared to the observations made for the tetrasaccharide.(265) Thus by extending the α-(1→6) branch (D-B-A) by one glucose unit (A) paves the way for a water bridge between O-2(B) and O-5(D) that “locks” the branch point structure into a conformation that ultimately will lead to double-helical formation between the two branches (E)-D-C and D-B-A. Moreover, it suggests that this water molecule should be present as structural water in the limiting region of the amylopectin crystalline region.
3.2.3. Linear α-Glucan Oligomers
Several studies have been conducted on linear α-glucan oligomers including maltotriose, maltohexaose(271) and maltodecaose.(272) The results all point in the direction that the favored low energy conformations observed for maltose (Figure 29) is preserved in the longer oligomers with additional stability maintained by intermolecular hydrogen bonding with the solvent. This result corresponds to extrapolation of the most populated conformation of maltose into a helical structure, and the increased stability of maltohexaose explains the low solubility of amylose, which would not be expected from the flexibility of maltose. A comparative dynamic light scattering study(202) has shown that amylosidic structures with 6 (one turn) or more glucose units adopt helical like conformations and that α-glucan oligomers containing α-(1→6) glucosidic bonds tend to fold into compact structures.
3.3. Other α-Glucan Model Compounds
3.3.1. Toward Synthesis to the Double Helical Starch Motif
Starch crystallizes in two main crystalline polymorhs. The A-type polymorph, present mainly in cereal storage starch types, adopts a monoclinic lattice(31) and is a rather dense structure with room for only very few structured water molecules (Figure 2). The B-type polymorph is found mainly in tubers like potato and in leaves where the water content is high. In this polymorph, the double helices crystallize into a hexagonal pseudolattice(32) most accurately described as a honeycomb-like pattern. A *C-type* polymorph found in some botanical sources like peas does not exist as a unique polymorph but provides a mixture of coexisting pure A-type and B-type crystallites possible entirely separated in space from each other in the starch granule.(273) The relative crystallinity and the crystalline polymorphs of the starch granule formed by ordered double helices can be estimated by powder X-ray scattering.(274) Since the torsion angles Φ (phi) and Ψ (psi) of the glucosidic bonds are well-defined in the double helical conformation the total content of double helices can be estimated from solid state 13C NMR data.275,276 Hence, by using a combined X-ray scattering and solid state 13C NMR approach, Lopez-Rubio et al.(277) recently demonstrated that the total relative amount of double helices present in the native starch granule (21−47%) amounts well with the amount of helices involved in the crystal segments (21−46%) taking into account the presence of imperfect crystals in the starch granule indicated elsewhere.(278) Evidently, more than 50% of the starch granule consists of not well-defined, amorphous glucan conformations.
As compared to the A-type polymorph, the B-type is a much more open arrangement spaced for a considerable number of structured water (Figure 2). The ultimate challenge for chemically synthesized α-glucan models is to synthesize the double helical amylopectin motif (Figure 35). If successful, it will bring insight into the helical folding mechanisms, into the structure naturally adopted as a function of the chain lengths and into the packing mechanisms into crystals. In the starch granule, the parallel helices are able to pack with a short distance due to a relative translation along the helical axis and thus form crystalline domains with a hexagonal or pseudo-hexagonal packing symmetry. The branch point of amylopectin is considered to be a key stabilizer facilitating the formation, arrangement and stability of the crystalline domains.
Figure 35.
Molecular dynamics snapshot of a synthetic α-glucan double helical fragment. Model of the amylopectin double helix, including the branch point, built from 14 glucose units. The two side chains of the model are long enough to describe a full turn of the double helix.
Although the complete amylopectin molecule, at present, is inaccessible to molecular mechanics methods, it is possible to build and align double-helical amylopectin fragments. Possibilities for the structural arrangement of adjacent amylopectin double helices including the branch point have been investigated using a molecular polysaccharide builder program.(253) It was shown that the internal chain lengths are important for the degree of local crystallinity, because only certain chain lengths lead to parallel double helices.(229) Investigations of the alignment of double helical amylopecitin helices has been used to rationalize experimentally observed features obtained from primarily X-ray powder diffraction with the aim to understand and predict packing features and polymorphism.(279) Such computational models form the basis of our present understanding in the 3-dimensional constructions of starch nanocrystals which have been obtained recently from controlled acid hydrolysis of A-type starch.280,281 These nanocrystals(282) (Figure 35) represent the ultimate α-glucan metastructure “battleground”, where the first principles synthesis and molecular modeling can meet with realistic nanoscale experiments. It is within reach to synthesize and study a model large enough to form a double helix structure in vitro (Figure 35) and it is within reach to begin modeling studies on stacking and modeling of 2-D nanocrystallites with realistic amorphous regions.
In this context it should be noticed that molecular models have already been applied to explain an apparent discrepancy between crystal angles from electron microscopy and the results from crystallographic studies(282) (Figure 36). From the results of Putaux et al.(280) it is seen that the average acute angle of the A-type crystallites of waxy maize starch was approximately 60°. That is evidently larger than the 56.5° angle that was previously found from diffraction data.(31) The discrepancy can be explained by an interhelical displacement of 5.0 Å equivalent to an inclination of 26.7°.36,283 This result is in excellent agreement with the expected and energetically favored c/2 translation in the unit cell, which is 5.35 Å for A-type starch.
Figure 36.
(A) 2-D Nano starch crystallites by molecular modeling and (B) by Transmission Electron Microscopy (TEM) microscopy reveal an apparent discrepancy in acute angle. Reprinted with permission from ref (283). Copyright 2004 American Chemical Society.
3.3.2. α-Glucan Phosphorylation
Another important aspect of α-glucan synthesis is the generation of model compounds of substituted α-glucans, which can be used to gain insight into the molecular mechanisms of the added functionality and on how this substitution effects the structure of the α-glucans in the starch granule. The presence of natural phosphate esters in starch has been known for more than a century.(284) The phosphate groups are now known to have important effects on the functionality of amylopectin, on starch mobilization and thus on the degradation of the starch granule.(11) The phosphate groups are bound as monoesters at the C-6 and C-3 positions of the glucose units.285−288 The C-3 bound phosphate is remarkable since phosphorylation at this position is rarely seen in nature.
The phosphorlylated glucose moieties are not equally distributed in the starch granule. Evidence for phosphorylation within the crystalline regions of the starch granule has been demonstrated by effects on starch granule crystallinity as demonstrated by differential scanning calorimetry (DSC)(289) and by its low mobility as evidenced by solid state NMR.(290) To study how phosphorylation affects the double-helical packing of amylopectin, the incorporation of the phosphate ester group has been investigated by combined synthesis, NMR and molecular modeling approaches.291,292 Maltose mono phosphorylated at the 3′- or 6′-position (maltose-3′-O-phosphate and maltose-6′-O-phosphate) were chemically synthesized as representatives of the possible phosphorylation sites.(283) When compared to maltose (Figure 29), the two maltose-phosphate compounds exhibit a restricted conformational space of the α-(1→4) glycosidic linkage (Figure 37). The favored conformation of the maltose-3′-O-phosphate and the maltose-6′-O-phosphate aligns well into the 6-fold double helical structure of amylopectin, when the hydration effects on the glucosidic bond are not taken into account. However, when hydration effects are taken into account, the presence of a 3′-O-phosphate group was found to induce a major shift in the conformational equilibrium of the maltosidic linkage. Molecular dynamics and NMR show that the glucosidic space is seriously restricted to one narrow potential energy well, which is strongly offset from the global potential energy well of maltose and almost 50° degrees from the Φ angle of the maltose crystal structure. The driving force is primarily steric, but the configuration of the structural water molecules is also significantly altered. The restrained geometry of the glucosidic linkage of maltose-3′-O-phosphate cannot be accommodated in the helical structure, suggesting a major local disturbing effect, if present in the semicrystalline lattice of the starch granule. The 6-O-phosphate, on the other hand, can easily be accommodated in the surface groove of the double helical structures of amylopectin as shown in Figure 37 insert.
Figure 37.
Adiabatic map superimposed to the helical contours and the molecular dynamics polulation density when simulated in aqueous solution for (A) C-3-O-phosphorylated maltose and (B) C-6-O-phosphorylated maltose. Reprinted with permission from ref (227). Copyright 2008 John Wiley & Sons, Inc.
Recent data suggest that the biological function of the phosphate monoester groups in the starch granule is closely related to the structural effect they exert on the crystallinity of the starch granule. The restructuring of the starch granule mediated by the presence of phosphate ester groups directly affects granule degradability.(25) The 3-O-phosphate is localized in the crystalline amylopectin sections(293) and these regions therefore contain minor and local defects or are destabilized by the phosphate groups. A densely packed polysaccharide like starch may require local amorph disordered regions that can provide access to enzymes required to mobilize the starch and glucosidic kinks induced by 3-O-phosphorylation appear to serve this purpose.
3.4. Synthesized α-Glucans As Substrates for Enzymes
Chemically well-defined α-glucans are important as model compounds to elucidate structural features that determine the regional substrate preferences of hydrolases and transferases involved in starch degradation. Especially problematic is the determination of substrate specificity of the enzymes active on the structurally most complex amylopectin and glycogen molecules. To date, a limited number of pure and well-defined starch-like α-glucans have been reported as substrates and inhibitors for enzymes, but a large range of compounds other than α-glucans including glycosylated acyl-flavonols, acarviosine derivatives and acarbose derivatives have been used as inhibitors.294,295 Currently, the best evidence is obtained from use of branched α-glucans for which the chemical structure is known and which are designed to mimic subregions of starch and glycogen. Enzymatically synthesized cyclodextrins, especially the seven-membered β-cyclodextrin, provide excellent oligosaccharide structural mimics of typical starch helix conformations relevant for recognition of starch by enzymes.(296) Chemo-enzymatically synthesized branched213,214 and phosphorylated derivatives of cyclodextrins have been used for affinity purifification of starch acting enzymes.(297) These compounds as well as chemically synthesized derivatives of α-glucans have also been used to investigate affinity and the catalytic action of enzymes213,214,298−300 like debranching enzymes(297) and carbohydrate binding modules(296) present in various classes of enzymes involved in synthesis or degradation of starch.296,297 Inhibitors of α-amylases have been successfully used in the treatment of diseases such as diabetes or obesity where control of the blood glucose level is essential.301,302 An approach to obtain such inhibitors has been by use of CGTase coupling either a maltoside or a maltotrioside with a lactam.303,304
Several enzymes are known to catalyze the formation or hydrolysis of the α-(1→6) linkage of the starch branch point. Introduction of the α-(1→6) branch point may also restrict α-amylolytic activity. Such effects were clearly demonstrated by the cleavage pattern generated by seven different α-amylases using the chemically synthesized decasaccharide 6,6′′′′-bis(α-maltosyl)-maltohexaose harboring two branch points in close (4 glucose unit) proximity to each other. The study showed that some α-amylases are able to hydrolyze α-glucosidic linkages very close to the branch points in starch.(201) To investigate substrate requirement for transferases involved in starch biosynthesis, the branched nonasaccharide, 6′′′- α-maltotriosyl-maltohexaose was used as a primer for granule bound starch synthase II from pea. Specific nonprocessive elongation of only the nonreducing end of the shortest unit chain was demonstrated.(215) On the contrary, the same enzyme elongated each of the two nonreducing ends of the branched pentasaccharide methyl 6′-α-maltosyl-α-maltotrioside equally well and nonprocessively resulting in two hexasaccharide products in nearly equal amounts.(200) The granule bound starch synthase I, which is responsible for amylose biosynthesis, showed processive action when provided with maltose locked in the alpha configuration at the anomeric center by methylation.(305) Results from such investigations are important to guide starch processing industry and for direct biotechnological restructuring of starch in the plant.
4. Conclusions and Perspectives
Elucidation of starch structure has profited a lot from chemically synthesized complex linear and branched α-glucans with defined structures. Reduced chemical reactivity has become the limiting factor in synthesis of even larger α-glucans. On the other hand, segments of the starch structure can be studied, for example, in the form of 2D nano crystals. Molecular modeling now stands out as the approach that may serve to link these approaches.
The challenge of the future will be to develop simulation techniques to a level where larger starch models can be investigated. An ultimate goal would be to be able to explain the chemical and physical properties of a given starch polymer based on its primary structure. Such structure−function relationships would prove highly valuable in designing starches with new functionalities using molecular breeding approaches.
5. Acknowledgments
The authors gratefully acknowledge financial support from the Danish Council on Technology and Production Sciences, from the Villum Kann Rasmussen Foundation to the research centre “Pro-Active Plants” and from the research initiative “UNIK Synthetic Biology” funded by the Danish Ministry of Science, Technology and Innovation. The authors are most grateful to the Faculty of Life Sciences, University of Copenhagen, for supporting applied and basic research in α-glucans. Gilda Kischinovsky is acknowledged for proofreading of the manuscript. Emma O’Callahan is acknowledged for final editing of the manuscript.
Biographies

Iben Damager (born 1970) graduated with a M.Sc. in organic chemistry in 1997 from the Technical University of Denmark, and she obtained her Ph.D. in carbohydrate chemistry from the Royal Veterinary and Agricultural University in Copenhagen in 2001. From 2002 to 2004, she held a postdoctoral position at the University of British Columbia, Canada. From 2005 to 2007, she was a Research Scientist at the Faculty of Agricultural Sciences, Institute of Genetics and Biotechnology. In 2007, she became a Senior Scientist at the Faculty of Agricultural Sciences, Institute of Genetics and Biotechnology, University of Aarhus, Denmark. Her current research at the University of Aarhus in Denmark involves carbohydrate chemistry and biochemistry. She is the author of 15 peer-reviewed scientific papers and 2 book chapters.

Søren Balling Engelsen (born 1961) received his M.Sc. in FT-IR spectroscopy in 1988, and in 1992, he obtained a Ph.D. in molecular modeling from the Technical University of Denmark. In 1990 he was guest researcher at Institute of Food Science, Cornell University, Ithaca, NY, and from 1993−95, he was a post doc at Institut National de la Recherche Agronomique, Nantes, France. In 1997, he became associate professor in spectroscopy and molecular modeling at the Royal Veterinary & Agricultural University in Copenhagen, and in 2004, he was appointed a full professorship in plant food science. Now he is the head of the Quality & Technology section at University of Copenhagen. His primary research interests concern spectroscopy (fluorescence, NIR, IR, Raman & NMR) of biological materials, multivariate data analysis (chemometrics) of spectroscopic data and molecular modeling of carbohydrates. He is currently building up a state-of-the-art NMR metabonomics lab at Faculty of Life Sciences. He is the author of 115 peer-reviewed scientific papers and more than 65 proceedings, book contributions, reviews, and patents.

Andreas Blennow (born 1961) received his M.Sc. in Biotechnology in 1988 and his PhD in Biochemistry in 1992 at Lund University, Sweden. After postdoctoral work at Lund University, a research position at the plant breeding company Svalöf AB, a study leave at Department of Horticulture, Oregon State University, and a postdoctoral position at the Australian National University, Canberra, he became associate professor in starch biochemistry at the Royal Veterinary & Agricultural University in Copenhagen. He now heads the Starch Group at Department of Plant Biology and Biotechnology at Copenhagen University, Faculty of Life Sciences. His main research area is within starch biochemistry, molecular biology, starch structure−function modeling, food starches, in planta modification of starch, metabolic engineering, metabolite profiling and enzyme engineering. He has 53 publications in refereed international journals, 11 publications in refereed journals and book, more than 60 conference contributions, and has written 5 teaching compendia.

Birger Lindberg Møller (born 1946) received his MSc, PhD and DSc from the University of Copenhagen in 1972, 1975, and 1984, respectively. His MSc Thesis work was focused on identification of indole alkaloids in African medicinal plants. The topic of his PhD Thesis was lysine metabolism in plants. He spent three years as a Fulbright Fellow at Eric Conn’s laboratory, University of California, Davis, working with biosynthesis of cyanogenic glucosides. From 1977 to 1984, he was employed as Senior Scientist and Niels Bohr Fellow at the Department of Physiology, Carlsberg Laboratory. In 1984, he was appointed Research Professor and, in 1989, Full Professor in Plant Biochemistry at the Royal Veterinary and Agricultural University, now part of the University of Copenhagen. In 1998, he became the Head of Center for Molecular Plant Physiology (PlaCe). In 2008, he was appointed Head of the Villum Kann Rasmussen research centre “Pro-Active Plants”, and in 2009, he was appointed Deputy Director of the research initiative “UNIK Synthetic Biology”. B.L.M. has been the main advisor of 33 PhD students working within photosynthesis, starch phosphorylation, and bioactive natural products with special focus on plant insect and microbe interactions. BLM is an elected member of the Royal Danish Academy of Science and Letters, member of the Science Advisory Board of the Max-Planck Institute for Chemical Ecology, Jena, Germany, member of the Board of Trustees of the International Institute of Tropical Agriculture (IITA) in Ibadan, Nigeria, and elected member of the International Human Rights Network of Academic and Scholarly Societies, Washington. In 2009, he was appointed Honorary Doctor at Umeå University, Sweden. In 2007, he was awarded the Villum Kann Rasmussen Research Prize, the largest Danish research award (350 000 Euro).

Mohammed Saddik Motawia was born in Sohag, Egypt, in 1953. He received his B.Sc. of Chemistry in May 1975 from Faculty of Natural Sciences, Cairo University. Subsequently, he was employed as a “Research Fellow” at Medicinal Chemistry Laboratory, Department of Pharmaceutical Sciences, National Research Centre, Dokki, Cairo. In the course of this employment, he obtained the M. Sc. degree from the Faculty of Science, Al-Azhar University, 1984. In April 1985, he was awarded a position as DANIDA Fellow at Odense University (now University of Southern Denmark) at the Department of Chemistry. In October 1986, he was employed as a Research Scientist at the Department of Chemistry, Würzburg University, Germany, with Professor Dr. W. Adam in collaboration with Assoc.Prof. Erik Bjerregaard Pedersen with the objective to continue and expand the research programme initiated at Odense University. He returned to Odense University in May 1987, and he was awarded the Ph. D. degree from Odense University in June 1988. After having received his Ph.D, he started his post doc at the Department of Chemistry until October 1990, after which period was offered position as Senior Chemist at the Plant Biochemistry Laboratory with the challenge to build up a chemistry laboratory and to organize a research group centered around chemical synthesis of complex oligosaccharides for use in biochemical studies of starch biosynthesis and degradation and with the obligation to get the use of organic chemistry integrated in as a key technology in interphasing biology. In January 1995, he was promoted to Associate Professor at the Plant Biochemistry Laboratory, and the Plant Molecular Biology, Department of Plant Biology and Biotechnology, Faculty of Life Sciences, University of Copenhagen, Denmark.
6. References
- Jenkins B. M.Biomass Production Systems; CRC Press:Boca Raton, FL, 2003; p 85. [Google Scholar]
- Thompson D. B. Trends Food Sci.Technol. 2000, 11, 245. [Google Scholar]
- Ellis R. P.; Cochrane M. P.; Dale M. F. B.; Duffus C. M.; Lynn A.; Morrison I. M.; Prentice R. D. M.; Swanston J. S.; Tiller S. A. J. Sci. Food Agric. 1998, 77, 289. [Google Scholar]
- Englyst H. N.; Veenstra J.; Hudson G. J. Br. J. Nutr. 1996, 75, 327. [DOI] [PubMed] [Google Scholar]
- Hansen M. R.; Blennow A.; Pedersen S.; Nørgaard L.; Engelsen S. B. Food Hydrocolloid. 2008, 22, 1551. [Google Scholar]
- Smith A. M. Plant J. 2008, 54, 546. [DOI] [PubMed] [Google Scholar]
- Robertson G. H.; Wong D. W. S.; Lee C. C.; Wagschai K.; Smith M. R.; Orts W. J. J. Agric. Food Chem. 2008, 54, 353. [DOI] [PubMed] [Google Scholar]
- Tester R. F.; Karkalas J.. Starch in Biopolymers; Wiley-VCH: Weinheim, Germany, 2002, p 381. [Google Scholar]
- Ball S. G.; Morell M. K. Annu. Rev. Plant Biol. 2003, 54, 207. [DOI] [PubMed] [Google Scholar]
- Coppin A.; Varre J. S.; Lienard L.; Guerardel Y.; Soyer-Gobillard M. O.; Buléon A.; Ball S.; Tomavo S. J. Mol. Evol. 2005, 60, 257. [DOI] [PubMed] [Google Scholar]
- Blennow A.; Engelsen S. B.; Nielsen T. H.; Baunsgaard L.; Mikkelsen R. Trends Plant Sci. 2002, 7, 445. [DOI] [PubMed] [Google Scholar]
- Shearer J.; Graham T. E. Can J. Appl. Physiol. 2002, 27, 179. [DOI] [PubMed] [Google Scholar]
- Manners D. J. Carbohydr. Polym. 1991, 16, 37–82. [Google Scholar]
- Roach P. J.; Cheng C.; Huang D.; Lin A.; Mu J. J. Basic Clin. Physiol. Pharmacol. 1998, 9, 139. [DOI] [PubMed] [Google Scholar]
- Buĺ; eon A.; Colonna P.; Planchot V.; Ball S. Int. J. Biol. Macromol. 1998, 23, 85. [DOI] [PubMed] [Google Scholar]
- Pérez S.; Baldwin P. M.; Gallant D. J.. Starch: Chemistry and Technology, 3rd ed.; Elsevier, Inc.: New York, 2009; p 140. [Google Scholar]
- Imberty A.; Buléon A.; Tran V.; Pérez S. Starch/Stärke 1991, 43, 375. [Google Scholar]
- Chen Y. T.; Burhchell A.. The Metabolic and Molecular Bases of Inherited Disease; McGraw-Hill, Inc., Health Professions Division: New York, 2001; p 935. [Google Scholar]
- Ganesh S.; Puri R.; Singh S.; Mittal S.; Dubey D. J. Hum. Genet. 2006, 51, 1. [DOI] [PubMed] [Google Scholar]
- Demo E.; Frush D.; Gottfried M.; Koepke J.; Boney A.; Bali D.; Chen Y. T.; Kishnani P. S. J. Hepatol. 2007, 46, 492. [DOI] [PMC free article] [PubMed] [Google Scholar]
- Blennow A.; Bay-Smidt A. M.; Bauer R. Int. J. Biol. Macromol. 2001, 28, 409. [DOI] [PubMed] [Google Scholar]
- Blennow A.; Engelsen S. B.; Munck L.; Møller B. L. Carbohydr. Polym. 2000, 41, 163. [Google Scholar]
- O’Shea M. G.; Samuel M. S.; Konik C. M.; Morell M. K. Carbohydr. Res. 1998, 307, 1. [Google Scholar]
- Blennow A.; Hansen M.; Schulz A.; Jørgensen K.; Donald A. M.; Sanderson J. J. Struct. Biol. 2003, 143, 229. [DOI] [PubMed] [Google Scholar]
- Ohtani T.; Yoshino T.; Ushiki T.; Hagiwara S.; Maekawa T. J. Electron Microsc. 2000, 49, 487. [DOI] [PubMed] [Google Scholar]
- Tang H. R.; Hills B. P. Biomacromolecules 2003, 4, 1269. [DOI] [PubMed] [Google Scholar]
- Farhat I. A.Modern Magnetic Resonance; Springer: Dordrecht, the Netherlands, 2008; p 1899. [Google Scholar]
- Thygesen L. G.; Engelsen S. B.; Madsen M. H.; Sørensen O. B. J. Near Infrared Spectrosc. 2001, 9, 133. [Google Scholar]
- Sevenou O.; Hill S. E.; Farhat I. A.; Mitchell J. R. Int. J. Biol. Macromol 2002, 31, 79. [DOI] [PubMed] [Google Scholar]
- Jenkins P. J.; Donald A. M. Int. J. Biol. Macromol 1995, 17, 315. [DOI] [PubMed] [Google Scholar]
- Imberty A.; Chanzy H.; Pérez S.; Buléon A.; Tran V. H. J. Mol. Biol. 1988, 201, 365. [DOI] [PubMed] [Google Scholar]
- Imberty A.; Pérez S. Biopolymers 1988, 27, 1205. [Google Scholar]
- Gallant D. J.; Bouchet B.; Baldwin P. M. Carbohydr. Polym. 1997, 32, 177. [Google Scholar]
- Oostergetel O. G. T.; Van Bruggen E. F. J. Carbohydr. Polym. 1993, 21, 7. [Google Scholar]
- Waigh T. A.; Donald A. M.; Heidelbach F.; Riekel C.; Gidley M. J. Biopolymers 1999, 49, 91. [Google Scholar]
- Hansen P. I.; Putaux J. L.; Blennow A.; Engelsen S. B.. Selected Investigations in the Field of Starch Science; Nova Science Publishers: New York, 2008; p 41. [Google Scholar]
- Popov D.; Buleon A.; Burghammer M.; Chanzy H.; Montesanti N.; Putaux J. L.; Potocki-Veronese G.; Riekel C. Macromolecules 2009, 42, 1167. [Google Scholar]
- Bertoft E. Carbohydr. Polym. 2007, 68, 433. [Google Scholar]
- Bertoft E.; Piyachromkwan K.; Chatakanonda P.; Sriroth K. Carbohydr. Polym. 2008, 74, 527. [Google Scholar]
- Steven A. C.; Baumeister W. J. Struct. Biol. 2008, 163, 186. [DOI] [PubMed] [Google Scholar]
- Doak S. H.; Rogers D.; Jones B.; Francis L.; Conlan R. S.; Wright C. Histochem. Cell Biol. 2008, 130, 909. [DOI] [PubMed] [Google Scholar]
- Fischer E. Ber. Dtsch. Chem. Ges. 1890, 23, 799. [Google Scholar]
- Fischer E.; Beensch L. Ber. Dtsch. Chem. Ges. 1894, 27, 2478. [Google Scholar]
- Tollens B. Ber. Dtsch. Chem. Ges. 1883, 16, 921. [Google Scholar]
- Haworth W. N. Nature 1925, 116, 430. [Google Scholar]
- Hassel O.; Ottar B. Acta Chem. Scand. 1947, 1, 929. [Google Scholar]
- Barton D. H. R. J. Chem. Soc. 1953, 1027. [Google Scholar]
- Los J. M.; Simpson L. B.; Wiesner K. J. Am. Chem. Soc. 1956, 78, 1564. [Google Scholar]
- Zhu Y. P.; Zajicek J.; Serianni A. S. J. Org. Chem. 2001, 66, 6244. [DOI] [PubMed] [Google Scholar]
- Roslund M. U.; Tahtinen P.; Niemitz M.; Sjhohn R. Carbohydr. Res. 2008, 343, 101. [DOI] [PubMed] [Google Scholar]
- Barresi F.; Hindsgaul O. Mod. Syn. Methods 1995, 7, 281. [Google Scholar]
- Zhu X.; Schmidt R. R. Angew. Chem., Int. Ed. 2009, 48, 1900. [DOI] [PubMed] [Google Scholar]
- Davis B. G. J. Chem. Soc., Perkin Trans. 1 2000, 2137. [Google Scholar]
- Hanessian S.; Lou B. Chem. Rev. 2000, 100, 4443. [DOI] [PubMed] [Google Scholar]
- Toshima K.; Tatsuta K. Chem. Rev. 1993, 93, 1503. [Google Scholar]
- Koenigs W.; Knorr E. Ber. Dtsch. Chem. Ges. 1901, 34, 957. [Google Scholar]
- Helferich B.; Rauch H. Ber. Dtsch. Chem. Ges. 1926, 59, 2655. [Google Scholar]
- Kartha K. P. R.; Jennings H. J. Carbohydr. Chem. 1990, 9, 777. [Google Scholar]
- Spohr U.; Lemieux R. U. Carbohydr. Res. 1988, 174, 211. [DOI] [PubMed] [Google Scholar]
- Mukaiyama T.; Murai Y.; Shoda S. Chem. Lett. 1981, 431. [Google Scholar]
- Kunz H.; Sager W. Helv. Chim. Acta 1985, 68, 283. [Google Scholar]
- Hashimoto S.; Hayashi M.; Noyori R. Tetrahedron Lett. 1984, 25, 1379. [Google Scholar]
- Nicolaou K. C.; Dolle R. E.; Papahatjis D. P.; Randall J. L. J. Am. Chem. Soc. 1984, 106, 4189. [Google Scholar]
- Nicolaou K. C.; Randall J. L.; Furst G. T. J. Am. Chem. Soc. 1985, 107, 5556. [Google Scholar]
- Hanessian S.Preparative Carbohydrate Chemistry; Marcel Dekker Inc.: New York, Basel, 1998. [Google Scholar]
- Shimizu M.; Togo H.; Yokohama M. Synthesis 1998, 799. [Google Scholar]
- Ferrier R. J.; Fumeau R. H.. Methylation Carbohydrate Chemistry; Academic Press: London, 1980; p 251. [Google Scholar]
- Horton D.Methylation Carbohydrate Chemistry; Academic Press: London, 1963; p 368. [Google Scholar]
- Lönn H. Carbohydr. Res. 1985, 139, 115. [DOI] [PubMed] [Google Scholar]
- Veeneman G. H.; van Leeuwen S. H.; van Boom J. H. Tetrahedron Lett. 1990, 31, 1331. [Google Scholar]
- Fügedi P.; Garegg P. J. Carbohydr. Res. 1986, 149, C9. [Google Scholar]
- Veeneman G. H.; van Boom J. H. Tetrahedron Lett. 1990, 31, 275. [Google Scholar]
- Lönn H. Carbohydr. Chem. 1987, 6, 301. [Google Scholar]
- Bonner W. A. J. Am. Chem. Soc. 1948, 70, 770. [DOI] [PubMed] [Google Scholar]
- Weygand F.; Ziemann H.; Bestmann H. J. Chem. Ber.-Rec. 1958, 91, 2534. [Google Scholar]
- Kartha K. P. R.; Field R. A. Tetrahedron Lett. 1997, 38, 8233. [Google Scholar]
- Card P. J. Carbohydr. Chem. 1985, 4, 451. [Google Scholar]
- Blomberg L.; Norberg T. Carbohydr. Chem. 1992, 11, 751. [Google Scholar]
- Burkart M. D.; Zhang Z. Y.; Hung S. C.; Wong C. H. J. Am. Chem. Soc. 1997, 119, 11743. [Google Scholar]
- Fernandez-Mayoralas A.; Marra A.; Trumtel M.; Veyrieres A.; Sinay P. Carbohydr. Res. 1989, 188, 81. [Google Scholar]
- Garegg P. J.; Hultberg H.; Lindberg C. Carbohydr. Res. 1980, 83, 157. [Google Scholar]
- Nilsson S.; Lonn H.; Norberg T. Glycoconjugate J. 1991, 8, 9. [DOI] [PubMed] [Google Scholar]
- Pozsgay V.; Jennings H. J. Carbohydr. Chem. 1990, 9, 333. [Google Scholar]
- Motawia M. S.; Olsen C. E.; Møller B. L.; Marcussen J. Carbohydr. Res. 1994, 252, 69. [DOI] [PubMed] [Google Scholar]
- Bernlind C.; Oscarson S. J. Org. Chem. 1998, 63, 7780. [Google Scholar]
- Schmidt R. R.; Kinzy W.. Anomeric-Oxygen Activation for Glycoside Synthesis—The Trichloroacetimidate Method; Academic Press Inc.: San Diego, 1994; p 21. [DOI] [PubMed] [Google Scholar]
- Kahne D.; Walker S.; Cheng Y.; Van Engen D. J. Am. Chem. Soc. 1989, 111, 6881. [Google Scholar]
- Kim S. H.; Augeri D.; Yang D.; Kahne D. J. Am. Chem. Soc. 1994, 116, 1766. [Google Scholar]
- Yan L.; Kahne D. J. Am. Chem. Soc. 1996, 118, 9239. [Google Scholar]
- Agnihotri G.; Misra A. K. Tetrahedron Lett. 2005, 46, 8113. [Google Scholar]
- Pedersen C.; Fletcher H. G. J. Am. Chem. Soc. 1960, 82, 3215. [Google Scholar]
- Ferrier R. J.; Haines S. R. Carbohydr. Res. 1984, 127, 157. [Google Scholar]
- Schmidt R. R.; Michel J. Angew. Chem., Int. Ed. 1980, 19, 731. [Google Scholar]
- Schmidt R. R. Angew. Chem., Int. Ed. 1986, 25, 212. [Google Scholar]
- Schmidt R. R. Pure Appl. Chem. 1989, 61, 1257. [Google Scholar]
- Schmidt R. R.; Michel J.; Roos M. Liebigs Ann. Chem. 1984, 1343. [Google Scholar]
- Urban F. J.; Moore B. S.; Breitenbach R. Tetrahedron Lett. 1990, 31, 4421. [Google Scholar]
- Patil V. J. Tetrahedron Lett. 1996, 37, 1481. [Google Scholar]
- Numata M.; Sugimoto M.; Koike K.; Ogawa T. Carbohydr. Res. 1987, 163, 209. [DOI] [PubMed] [Google Scholar]
- Nicolaou K. C.; Daines R. A.; Ogawa Y.; Chakraborty T. K. J. Am. Chem. Soc. 1988, 110, 4696. [Google Scholar]
- Douglas S. P.; Whitfield D. M.; Krepinsky J. J. Carbohydr. Chem. 1993, 12, 131. [Google Scholar]
- Lubineau A.; Drouillat B. Carbohydr. Chem. 1997, 16, 1179. [Google Scholar]
- Waldmann H.; B̈; ohm G.; Schmid U.; Röttele H. Angew. Chem., Int. Ed. 1994, 33, 1944. [Google Scholar]
- Wegmann B.; Schmidt R. R. Carbohydr. Chem. 1987, 6, 357. [Google Scholar]
- Schmidt R. R.; Behrendt M.; Toepfer A. Synlett 1990, 11, 694. [Google Scholar]
- Motawia M. S.; Olsen C. E.; Enevoldsen K.; Marcussen J.; Møller B. L. Carbohydr. Res. 1995, 277, 109. [DOI] [PubMed] [Google Scholar]
- Damager I.; Olsen C. E.; Møller B. L.; Motawia M. S. Carbohydr. Res. 1999, 320, 19. [DOI] [PubMed] [Google Scholar]
- Motawia M. S.; Larsen K.; Olsen C. E.; Møller B. L. Synthesis 2000, 11, 1547. [Google Scholar]
- Damager I.; Olsen C. E.; Møller B. L.; Motawia M. S. Synthesis 2002, 418. [Google Scholar]
- Green T. W.; Wuts P. G. M.. Protective Groups in Organic Synthesis; Wiley and Sons, Inc.: 1999. [Google Scholar]
- Fréchet J. M.; Schuerch C. J. Am. Chem. Soc. 1972, 94, 604. [Google Scholar]
- Czernecki S.; Georgoulis C.; Provelenghiou C. Tetrahedron Lett. 1976, 3535. [Google Scholar]
- Kanai K.; Sakamoto I.; Ogawa S.; Suami T. Bull. Chem. Soc. Jpn. 1987, 60, 1529. [Google Scholar]
- Thiem J.; Wiesner M. Synthesis 1988, 124. [Google Scholar]
- Iversen T.; Bundle D. R. J. Chem. Soc., Chem. Comm. 1981, 1240. [Google Scholar]
- Wessel H. P.; Iversen T.; Bundle D. R. J. Chem. Soc., Perkin Trans. 1 1985, 2247. [Google Scholar]
- Garegg P. J.; Iversen T.; Oscarson S. Carbohydr. Res. 1976, 50, C12. [Google Scholar]
- Grindley T. B.Applications of Tin-Containing Intermediates to Carbohydrate Chemistry; Academic Press, Inc.: San Diego, CA, 1998; p 17. [DOI] [PubMed] [Google Scholar]
- Ogawa T.; Takahashi Y.; Matsui M. Carbohydr. Res. 1982, 102, 207. [Google Scholar]
- David S.; Hanessian S. Tetrahedron 1985, 41, 643. [Google Scholar]
- David S.; Thieffry A.; Veyrieres A. J. Chem. Soc., Perkin Trans. 1 1981, 1796. [Google Scholar]
- Koeman F. A. W.; Meissner J. W. G.; Vanritter H. R. P.; Kamerling J. P.; Vliegenthart J. F. G. Carbohydr. Chem. 1994, 13, 1. [Google Scholar]
- Heathcoc C. H.; Ratcliff R. J. Am. Chem. Soc. 1971, 93, 1746. [Google Scholar]
- Hartung W. H.; Simonoff R. Org. Reactions 1953, 7, 263. [Google Scholar]
- Horita K.; Yoshioka T.; Tanaka T.; Oikawa Y.; Yonemitsu O. Tetrahedron 1986, 42, 3021. [Google Scholar]
- Oikawa Y.; Tanaka T.; Yonemitsu O. Tetrahedron Lett. 1986, 27, 3647. [Google Scholar]
- Hwu J. R.; Chua V.; Schroeder J. E.; Barrans R. E.; Khoudary K. P.; Wang N.; Wetzel J. M. J. Org. Chem. 1986, 51, 4731. [Google Scholar]
- Wolfrom M. L.; Thompson A. Methods Carbohydr. Chem. 1963, 2, 211. [Google Scholar]
- Cope A. C.; Herrich E. C. Org. Synth. 1963, 304. [Google Scholar]
- Baker R. H.; Bordwell F. G. Org. Synth. 1955, 141. [Google Scholar]
- Abbott A. P.; Bell T. J.; Handa S.; Stoddart B. Green Chem. 2005, 7, 705. [Google Scholar]
- Tiwari P.; Misra A. K. Carbohydr. Res. 2006, 341, 339. [DOI] [PubMed] [Google Scholar]
- Haines A. H. Adv. Carbohydr. Chem. Biochem. 1976, 33, 11. [Google Scholar]
- Grindley T. B.1994; p 51.
- Deslongchamps P.Stereoelectronic Effects in Organic Chemistry; Pergamon Press: 1983. [Google Scholar]
- Fischer E. Ber. Dtsch. Chem. Ges. 1920, 53, 1621. [Google Scholar]
- Doerschuk A. P. J. Am. Chem. Soc. 1952, 74, 4202. [Google Scholar]
- Bonner W. A. J. Org. Chem. 1959, 24, 1388. [Google Scholar]
- Hockett R. C.; Fletcher H. G.; Sheffield E. L.; Goepp R. M. J. Am. Chem. Soc. 1946, 68, 927. [DOI] [PubMed] [Google Scholar]
- Hockett R. C.; Fletcher H. G.; Sheffield E. L.; Goepp R. M.; Soltzberg S. J. Am. Chem. Soc. 1946, 68, 930. [DOI] [PubMed] [Google Scholar]
- Hockett R. C.; Zief M.; Goepp R. M. J. Am. Chem. Soc. 1946, 68, 935. [DOI] [PubMed] [Google Scholar]
- Griffin B. E.; Jarman M.; Reese C. B. Tetrahedron 1968, 24, 639. [DOI] [PubMed] [Google Scholar]
- Naruto M.; Ohno K.; Naruse N.; Takeuchi H. Tetrahedron Lett. 1979, 251. [Google Scholar]
- Cook A. F.; Maichuk D. T. J. Org. Chem. 1970, 35, 1940. [DOI] [PubMed] [Google Scholar]
- Vanboeckel C. A. A.; Beetz T. Tetrahedron Lett. 1983, 24, 3775. [Google Scholar]
- Campbell A. S.; Fraserreid B. J. Am. Chem. Soc. 1995, 117, 10387. [Google Scholar]
- Smith A. B.; Hale K. J.; Vaccaro H. A. J. Chem. Soc., Chem. Comm. 1987, 1026. [Google Scholar]
- deBelder A. N. Adv. Carbohydr. Chem. Biochem. 1977, 34, 179. [Google Scholar]
- Brady R. F. Adv. Carbohydr. Chem. Biochem. 1971, 26, 197. [Google Scholar]
- Peat S.; Wiggins L. F. J. Chem. Soc. 1938, 1088. [Google Scholar]
- Smith A. B.; Hale K. J. Tetrahedron Lett. 1989, 30, 1037. [Google Scholar]
- Liptak A.; Jodal I.; Nanasi P. Carbohydr. Res. 1975, 44, 1. [Google Scholar]
- Liptak A.; Imre J.; Harangi J.; Nanasi P.; Neszmelyi A. Tetrahedron 1982, 38, 3721. [Google Scholar]
- Takano S.; Akiyama M.; Sato S.; Ogasawara K. Chem. Lett. 1983, 1593. [Google Scholar]
- Mikami T.; Asano H.; Mitsunobu O. Chem. Lett. 1987, 2033. [Google Scholar]
- Denmark S. E.; Almstead N. G. J. Am. Chem. Soc. 1991, 113, 8089. [Google Scholar]
- Garegg P. J.; Hultberg H.; Wallin S. Carbohydr. Res. 1982, 108, 97. [DOI] [PubMed] [Google Scholar]
- Gateauolesker A.; Cleophax J.; Gero S. D. Tetrahedron Lett. 1986, 27, 41. [Google Scholar]
- Kanie O.; Takeda T.; Ogihara Y. Carbohydr. Chem. 1990, 9, 159. [Google Scholar]
- Deninno M. P.; Etienne J. B.; Duplantier K. C. Tetrahedron Lett. 1995, 36, 669. [Google Scholar]
- Debenham S. D.; Toone E. J. Tetrahedron: Asymmetry 2000, 11, 385. [Google Scholar]
- Johansson R.; Samuelsson B. J. Chem. Soc., Perkin Trans. 1 1984, 2371. [Google Scholar]
- Guindon Y.; Girard Y.; Berthiaume S.; Gorys V.; Lemieux R.; Yoakim C. Can. J. Chem. 1990, 68, 897. [Google Scholar]
- Jiang L.; Chan T. H. Tetrahedron Lett. 1998, 39, 355. [Google Scholar]
- Chandrasekhar S.; Reddy Y. R.; Reddy C. R. Chem. Lett. 1998, 1273. [Google Scholar]
- Sakagami M.; Hamana H. Tetrahedron Lett. 2000, 41, 5547. [Google Scholar]
- Wang C. C.; Luo S. Y.; Shie C. R.; Hung S. C. Org. Lett. 2002, 4, 847. [DOI] [PubMed] [Google Scholar]
- Morelli C. F.; Fornili A.; Sironi M.; Duri L.; Speranza G.; Manittoa P. Tetrahedron Asymmetry 2002, 13, 2609. [Google Scholar]
- Oikawa M.; Liu W. C.; Nakai Y.; Koshida S.; Fukase K.; Kusumoto S. Synlett 1996, 1179. [Google Scholar]
- Saito S.; Kuroda A.; Tanaka K.; Kimura R. Synlett 1996, 231. [Google Scholar]
- Balakumar V.; Aravind A.; Baskaran S. Synlett 2004, 647. [Google Scholar]
- Han O.; Liu H. W. Tetrahedron Lett. 1987, 28, 1073. [Google Scholar]
- Hanessia S.; Plessas N. R. J. Org. Chem. 1969, 34, 1045. [Google Scholar]
- Nystrom R. F.; Brown W. G. J. Am. Chem. Soc. 1947, 69, 1197. [Google Scholar]
- Paulsen H. Angew. Chem., Int. Ed. 1982, 21, 155. [Google Scholar]
- Kanie O.; Ito Y.; Ogawa T. J. Am. Chem. Soc. 1994, 116, 12073. [Google Scholar]
- Mehta S.; Pinto B. M. J. Org. Chem. 1993, 58, 3269. [Google Scholar]
- Mehta S.; Pinto B. M. Tetrahedron Lett. 1991, 32, 4435. [Google Scholar]
- Mootoo D. R.; Konradsson P.; Udodong U.; Fraser-Reid B. J. Am. Chem. Soc. 1988, 110, 5583. [Google Scholar]
- Fraser-Reid B.; Wu Z. F.; Andrews C. W.; Skowronski E.; Bowen J. P. J. Am. Chem. Soc. 1991, 113, 1434. [Google Scholar]
- Boons G. J.; Grice P.; Leslie R.; Ley S. V.; Yeung L. L. Tetrahedron Lett. 1993, 34, 8523. [Google Scholar]
- Pedersen C. M.; Marinescu L. G.; Bols M. Chem. Commun. 2008, 21, 2465. [DOI] [PubMed] [Google Scholar]
- Pedersen C. M.; Nordstrøm L. U.; Bols M. J. Am. Chem. Soc. 2007, 129, 9222. [DOI] [PubMed] [Google Scholar]
- Jensen H. H.; Pedersen C. M.; Bols M. Chem.—Eur. J. 2007, 13, 7577. [DOI] [PubMed] [Google Scholar]
- Boons G. J.; Geurtsen R.; Holmes D. Tetrahedron Lett. 1995, 36, 6325. [Google Scholar]
- Nicolaou K. C.; Caulfield T. J.; Groneberg R. D. Pure Appl. Chem. 1991, 63, 555. [Google Scholar]
- Roy R.; Andersson F. O.; Letellier M. Tetrahedron Lett. 1992, 33, 6053. [Google Scholar]
- Cao S.; Gan Z.; Roy R. Carbohydr. Res. 1999, 318, 75. [DOI] [PubMed] [Google Scholar]
- Cao S.; Hernandez-Mateo F.; Roy R. Carbohydr. Chem. 1998, 17, 609. [Google Scholar]
- Cao S.; Roy R. Tetrahedron Lett. 1996, 37, 3421. [Google Scholar]
- Cao S.; Meunier S. J.; Andersson F. O.; Letellier M.; Roy R. Tetrahedron: Asymmetry 1994, 5, 2303. [Google Scholar]
- Boons G. J.; Isles S. J. Org. Chem. 1996, 61, 4262. [DOI] [PubMed] [Google Scholar]
- Boons G. J.; Isles S. Tetrahedron Lett. 1994, 35, 3593. [Google Scholar]
- Raghavan S.; Kahne D. J. Am. Chem. Soc. 1993, 115, 1580. [Google Scholar]
- Ley S. V.; Priepke H. W. M. Angew. Chem., Int. Ed. 1994, 33, 2292. [Google Scholar]
- Yamada H.; Harada T.; Miyazaki H.; Takahashi T. Tetrahedron Lett. 1994, 35, 3979. [Google Scholar]
- Zhang Z. Y.; Ollmann I. R.; Ye S. E.; Wischnat R.; Baasov T.; Wong C. H. J. Am. Chem. Soc. 1999, 121, 734. [Google Scholar]
- Seeberger P. H.; Haase W. C. Chem. Rev. 2000, 100, 4349. [DOI] [PubMed] [Google Scholar]
- Osborn H. M. I.; Kahn T. H. Tetrahedron 1999, 55, 1807. [Google Scholar]
- Damager I.; Olsen C. E.; Blennow A.; Denyer K.; Møller B. L.; Motawia M. S. Carbohydr. Res. 2003, 338, 189. [DOI] [PubMed] [Google Scholar]
- Damager I.; Jensen M. T.; Olsen C. E.; Blennow A.; Møller B. L.; Svensson B.; Motawia M. S. ChemBioChem 2005, 6, 1224. [DOI] [PubMed] [Google Scholar]
- Motawia M. S.; Damager I.; Olsen C. E.; Møller B. L.; Engelsen S. B.; Hansen S.; Øgendal L. H.; Bauer R. Biomacromolecules 2005, 6, 143. [DOI] [PubMed] [Google Scholar]
- Motawia M. S.; Marcussen J.; Møller B. L. Carbohydr. Chem. 1995, 14, 1279. [Google Scholar]
- Toone E. J.; Simon E. S.; Bednarski M. D.; Whitesides G. M. Tetrahedron 1989, 45, 5365. [DOI] [PubMed] [Google Scholar]
- Enzymes as Catalysts in Carbohydrate Synthesis; American Chemical Society: Washington, DC, 1991. [Google Scholar]
- Enzymes in Synthetic Organic Chemistry; Pergamon Press: Oxford, U.K., 1994. [Google Scholar]
- Wong C. H.; Halcomb R. L.; Ichikawa Y.; Kajimoto T. Angew. Chem., Int. Ed. 1995, 34, 412. [Google Scholar]
- Wong C. H.; Halcomb R. L.; Ichikawa Y.; Kajimoto T. Angew. Chem., Int. Ed. 1995, 34, 521. [Google Scholar]
- Freudenberg K.; Cramer F. Z. Natureforsch. B. 1948, 3, 464. [Google Scholar]
- Pulley A. O.; French D. Biochem. Biophys. Res. Commun. 1961, 5, 11. [DOI] [PubMed] [Google Scholar]
- Sakairi N.; Wang L. X.; Kuzuhara H. J. Chem. Soc., Perkin Trans. 1 1995, 437. [Google Scholar]
- Yang S. J.; Lee H. S.; Kim J. W.; Lee M. H.; Auh J. H.; Lee B. H.; Park K. H. Carbohydr. Res. 2006, 341, 420. [DOI] [PubMed] [Google Scholar]
- Fraschini C.; Greffe L.; Driguez H.; Vignon M. R. Carbohydr. Res. 2005, 340, 1893. [DOI] [PubMed] [Google Scholar]
- Kandra L.; Gyemant G.; Liptak A. Biologia 2002, 57, 171. [Google Scholar]
- Damager I.; Denyer K.; Motawia M. S.; Møller B. L.; Blennow A. Eur. J. Biochem. 2001, 268, 4878. [DOI] [PubMed] [Google Scholar]
- Hansen E. H.; Osmani S. A.; Kristensen C.; Moller B. L.; Hansen J. Phytochemistry 2009, 70, 473. [DOI] [PubMed] [Google Scholar]
- Paquette S.; Moller B. L.; Bak S. Phytochemistry 2003, 62, 399. [DOI] [PubMed] [Google Scholar]
- Borovsky D.; Smith E. E.; Whelan W. J. Eur. J. Biochem. 1976, 62, 307. [DOI] [PubMed] [Google Scholar]
- Viksø-Nielsen A.; Blennow A.; Nielsen T. H.; Møller B. L. Plant Physiol. 1998, 117, 869. [DOI] [PMC free article] [PubMed] [Google Scholar]
- Mikkelsen R.; Baunsgaard L.; Blennow A. Biochem. J. 2004, 377, 525. [DOI] [PMC free article] [PubMed] [Google Scholar]
- Kandra L.; Gyemant G.; Liptak A. Biologia 2001, 57, 171. [Google Scholar]
- Makino Y.; Omichi K. J. Biochem. 2009, 146, 71. [DOI] [PubMed] [Google Scholar]
- Osmani S. A.; Bak S.; Imberty A.; Olsen C. E.; Moller B. L. Plant Physiol. 2008, 148, 1295. [DOI] [PMC free article] [PubMed] [Google Scholar]
- Osmani S. A.; Bak S.; Moller B. L. Phytochemistry 2009, 70, 325. [DOI] [PubMed] [Google Scholar]
- Bates F. J.Polarimetry, Saccharimetry and the Sugars; U.S. Government Printing Office: Washington, D.C., 1942. [Google Scholar]
- Duus J. Ø.; Gotfredsen C. H.; Bock K. Chem. Rev. 2000, 100, 4589. [DOI] [PubMed] [Google Scholar]
- Hansen P. I.; Larsen F. H.; Motawia M. S.; Blennow A.; Spraul M.; Dvortzak P.; Engelsen S. B. Biopolymers 2008, 89, 1179. [DOI] [PubMed] [Google Scholar]
- Mohr M. D.; Börnsen K. O.; Widmer H. M. Rapid Commun. Mass Spectrom. 1995, 9, 809. [DOI] [PubMed] [Google Scholar]
- O’Sullivan A. C.; Pérez S. Biopolymers 1999, 50, 381. [DOI] [PubMed] [Google Scholar]
- Jeffrey G. A. Acta Crystallogr. B. 1990, 46, 89. [DOI] [PubMed] [Google Scholar]
- Dutzler R.; Wang Y. F.; Rizkallah P. J.; Rosenbusch J. P.; Schirmer T. Structure 1996, 4, 127. [DOI] [PubMed] [Google Scholar]
- Robyt J. F.Essentials of Carbohydrate Chemistry; Springer Verlag: New York, 1998; p 245. [Google Scholar]
- Szejtli J. Chem. Rev. 1998, 98, 1743. [DOI] [PubMed] [Google Scholar]
- Schneider H. J.; Hacket F.; Rudiger V.; Ikeda H. Chem. Rev. 1998, 98, 1755. [DOI] [PubMed] [Google Scholar]
- Rekharsky M. V.; Inoue Y. Chem. Rev. 1998, 98, 1875. [DOI] [PubMed] [Google Scholar]
- Connors K. A. Chem. Rev. 1997, 97, 1325. [DOI] [PubMed] [Google Scholar]
- Uekama K.; Hirayama F.; Irie T. Chem. Rev. 1998, 98, 2045. [DOI] [PubMed] [Google Scholar]
- Bibby D. C.; Davies N. M.; Tucker I. G. Int. J. Pharm. 2000, 197, 1. [DOI] [PubMed] [Google Scholar]
- Hough E.; Neidle H.; Rogers D.; Troughton P. G. H. Acta Crystallogr. 1973, B29, 365. [Google Scholar]
- Halkier A.; Koch H.; Jørgensen P.; Christiansen O.; Nielsen I. M. B.; Helgaker T. Theor. Chem. Acc. 1997, 97, 150. [Google Scholar]
- Hemmingsen L.; Madsen D. E.; Esbensen A. L.; Olsen L.; Engelsen S. B. Carbohydr. Res. 2004, 339, 937. [DOI] [PubMed] [Google Scholar]
- Momany F. A.; Appell M.; Strati G.; Willett J. L. Carbohydr. Res. 2004, 339, 553. [DOI] [PubMed] [Google Scholar]
- Burkert U.; Allinger N. L.. Molecular Mechanics; American Chemical Society: Washington D.C., 1982. [Google Scholar]
- Pérez S.; Imberty A.; Engelsen S. B.; Gruza J.; Mazeau K.; Jiménez-Barbero J.; Poveda A.; Espinoza J. F.; van Eijck B. P.; Johnson G.; French A. D.; Kouwijzer M. L. C. E.; Grootenhuis P. D. J.; Bernardi A.; Raimondi L.; Senderowitz H.; Durier V.; Vergoten G.; Rasmussen K. Carbohydr. Res. 1998, 314, 141. [Google Scholar]
- Pérez S.; Kouwijzer M. L. C. E.; Mazeau K.; Engelsen S. B. J. Mol. Graphics 1996, 14, 307. [DOI] [PubMed] [Google Scholar]
- Tvaroska I.; Bleha T. Adv. Carbohydr. Chem. Biochem. 1989, 47, 45. [Google Scholar]
- Pérez S.; Marchessault R. H. Carbohydr. Res.. 1978, 65, 114. [Google Scholar]
- Allinger N. L.; Rahman M.; Lii J.-H. J. Am. Chem. Soc. 1990, 112, 8293. [Google Scholar]
- Corzana F.; Motawia M. S.; Hervé du Penhoat C.; Ṕerez S.; Tschampel S. M.; Woods R. J.; Engelsen S. B. J. Comput. Chem. 2004, 25, 573. [DOI] [PMC free article] [PubMed] [Google Scholar]
- Takusagawa F.; Jacobsen R. A. Acta Crystallogr. B. 1978, 34, 213. [Google Scholar]
- Tran V.; Buléon A.; Imberty A.; Pérez S. Biopolymers 1989, 28, 679. [Google Scholar]
- Brady J. W.; Schmidt R. K. J. Phys. Chem. 1993, 97, 958. [Google Scholar]
- Engelsen S. B.; Cros S.; Mackie W.; Pérez S. Biopolymers 1996, 39, 417. [DOI] [PubMed] [Google Scholar]
- French A. D.; Kelterer A. M.; Johnson G. P.; Dowd M. K.; Cramer C. J. J. Comput. Chem. 2001, 22, 65. [Google Scholar]
- Ott K.-H.; Meyer B. Carbohydr. Res. 1996, 281, 11. [Google Scholar]
- Best R. B.; Jackson G. E.; Naidoo K. J. J. Phys. Chem. B 2001, 105, 4742. [Google Scholar]
- Monteiro C.; Hervé du Penhoat C. J. Phys. Chem. A 2001, 105, 9827. [Google Scholar]
- Tvaroska I.; Imberty A.; Perez S. Biopolymers 1990, 30, 369. [Google Scholar]
- Tvaroska I.; Perez S.; Marchessault R. H. Carbohydr. Res. 1978, 61, 97. [Google Scholar]
- Javaroni F.; Ferreira A. B. B.; da Silva C. O. Carbohydr. Res. 2009, 344, 1235. [DOI] [PubMed] [Google Scholar]
- Imberty A.; Pérez S. Carbohydr. Res. 1988, 181, 41. [Google Scholar]
- Imberty A.; Pérez S. Int. J. Biol. Macromol. 1989, 11, 177. [DOI] [PubMed] [Google Scholar]
- Pangborn W.; Langs D.; Pérez S. Int. J. Biol. Macromol. 1985, 7, 363. [Google Scholar]
- Jeffrey G. A.; Huang D.-B. Carbohydr. Res. 1991, 222, 47. [DOI] [PubMed] [Google Scholar]
- Best R. B.; Jackson G. E.; Naidoo K. J. J. Phys. Chem. B 2002, 106, 5091. [Google Scholar]
- Corzana F.; Motawia M. S.; Hervé du Penhoat C.; van den Berg F.; Blennow A.; Ṕerez S.; Engelsen S. B. J. Am. Chem. Soc. 2004, 126, 13144. [DOI] [PubMed] [Google Scholar]
- Engelsen S. B.; Pérez S. Carbohydr. Res. 1996, 292, 21. [Google Scholar]
- Kirschner K. N.; Woods R. J. Proc. Natl. Acad. Sci. U.S.A. 2001, 98, 10541. [DOI] [PMC free article] [PubMed] [Google Scholar]
- Engelsen S. B.; Monteiro C.; Hervé du Penhoat C.; Pérez S. Biophys. Chem. 2001, 93, 103. [DOI] [PubMed] [Google Scholar]
- Andersson C. A.; Engelsen S. B. J. Mol. Graph. Model. 1999, 17, 101. [DOI] [PubMed] [Google Scholar]
- Naidoo K. J.; Kuttel M. J. Comput. Chem. 2001, 22, 445. [DOI] [PubMed] [Google Scholar]
- Momany F. A.; Willett J. L. Biopolymers 2002, 63, 99. [DOI] [PubMed] [Google Scholar]
- Wang S. J.; Yu J. L.; Jin F. M.; Yu J. G. Int. J. Biol. Macromol. 2008, 43, 216. [DOI] [PubMed] [Google Scholar]
- Gidley M. J.; Bulpin P. V. Carbohydr. Res. 1987, 161, 291. [Google Scholar]
- Gidley M. J.; Bociek S. M. J. Am. Chem. Soc. 1985, 107, 7040. [Google Scholar]
- Durran D. M.; Howlin B. J.; Webb G. A.; Gidley M. J. Carbohydr. Res. 1995, 271, C1. [Google Scholar]
- Lopez-Rubio A.; Flanagan B. M.; Gilbert E. P.; Gidley M. J. Biopolymers 2008, 89, 761. [DOI] [PubMed] [Google Scholar]
- Kozlov S. S.; Blennow A.; Krivandin A. V.; Yuryev V. P. Int. J. Biol. Macromol 2007, 40, 449. [DOI] [PubMed] [Google Scholar]
- Pérez S.; Imberty A.; Scaringe R. P.. Computer Modeling of Carbohydrate Molecules; American Chemical Society: Washington D.C., 1990, p 281. [Google Scholar]
- Putaux J. L.; Molina-Boisseau S.; Momaur T.; Dufresne A. Biomacromolecules 2003, 4, 1198. [DOI] [PubMed] [Google Scholar]
- Angellier-Coussy H.; Putaux J. L.; Molina-Boisseau S.; Dufresne A.; Bertoft E.; Perez S. Carbohydr. Res. 2009, 344, 1558. [DOI] [PubMed] [Google Scholar]
- Sarko A.; Wu H.-C. H. Starch/Stärke 1978, 30, 73. [Google Scholar]
- Pohu A.; Putaux J. L.; Planchot V.; Colonna P.; Buléon A. Biomacromolecules 2004, 5, 119. [DOI] [PubMed] [Google Scholar]
- Fernbach A. C. R. Acad. Sci. 1904, 138, 428. [Google Scholar]
- Posternak T. Helv. Chim. Acta 1935, 18, 1351. [Google Scholar]
- Bay-Smidt A. M.; Wischmann B.; Olsen C. E.; Nielsen T. H. Starch/Stärke 1994, 46, 167. [Google Scholar]
- Hizukuri S.; Tabata S.; Nikuni Z. Starch/Stärke 1970, 22, 338. [Google Scholar]
- Tabata S.; Hizukuri S. Starch/Stärke 1971, 23, 267. [Google Scholar]
- Muhrbeck P.; Eliasson A. C. J. Sci. Food Agric. 1991, 55, 13. [Google Scholar]
- Larsen F. H.; Blennow A.; Engelsen S. B. Food Biophys. 2008, 3, 25. [Google Scholar]
- Engelsen S. B.; Madsen A. O.; Blennow A.; Motawia M. S.; Møller B. L.; Larsen S. FEBS Lett. 2003, 541, 137. [DOI] [PubMed] [Google Scholar]
- Hansen P. I.; Spraul M.; Dvortzak P.; Larsen F. H.; Blennow A.; Motawia M. S.; Engelsen S. B. Biopolymers 2009, 91, 179. [DOI] [PubMed] [Google Scholar]
- Blennow A.; Bay-Smidt A. M.; Olsen C. E.; Møller B. L. Int. J. Biol. Macromol. 2000, 27, 211. [DOI] [PubMed] [Google Scholar]
- Tarling C. A.; Woods K.; Zhang R.; Brastianos H. C.; Brayer G. D.; Andersen R. J.; Withers S. G. ChemBioChem 2008, 9, 433. [DOI] [PubMed] [Google Scholar]
- Lee Y.-S.; Lee M.-H.; Lee H.-S.; Kim Y.-W.; Zhang R.; Withers S. G.; Kim K. S.; Lee S.-J.; Park K.-H. J. Agric. Food Chem. 2008, 56, 5324. [DOI] [PubMed] [Google Scholar]
- Christiansen C.; Abou Hachem M.; Glaring M. A.; Viksø-Nielsen A.; Sigurskjold B. W.; Svensson B.; Blennow A. FEBS Lett. 2009, 583, 1159. [DOI] [PubMed] [Google Scholar]
- Tabata S.; Hizukuri S. Eur. J. Biochem. 1992, 206, 345. [DOI] [PubMed] [Google Scholar]
- Kandra L.; Abou H. M.; Gyemant G.; Kramhoft B.; Svensson B. FEBS Lett. 2006, 580, 5049. [DOI] [PubMed] [Google Scholar]
- Muralikrisna G.; Nirmala M. Carbohydr. polymers 2005, 60, 163. [Google Scholar]
- Makino Y.; Omichi K. J.Biochem. 2009, 146, 71. [DOI] [PubMed] [Google Scholar]
- Bailey C. J. Chem. Ind. (London) 1998, 53. [Google Scholar]
- Eichler H. G.; Korn A.; Gasic S.; Pirson W.; Businger J. Diabetologia 1984, 26, 278. [DOI] [PubMed] [Google Scholar]
- Numao S.; Damager I.; Li C. M.; Wrodnigg T. M.; Begum A.; Overall C. M.; Brayer G. D.; Withers S. G. J. Biol. Chem. 2004, 279, 48282. [DOI] [PubMed] [Google Scholar]
- Damager I.; Numao S.; Chen H. M.; Brayer G. D.; Withers S. G. Carbohydr. Res. 2004, 339, 1727. [DOI] [PubMed] [Google Scholar]
- Denyer K.; Waite D.; Motawia S.; Moller B. L.; Smith A. M. Biochem. J. 1999, 340, 183. [PMC free article] [PubMed] [Google Scholar]
- Bock K.; Pedersen C.; Pedersen H. Adv. Carbohydr. Chem. Biochem. 1984, 42, 193. [Google Scholar]
- Bock K.; Pedersen C. Adv. Carbohydr. Chem. Biochem. 1983, 41, 27. [Google Scholar]
- Arnosti C.; Repeta D. J. Starch/Stärke 1995, 47, 73. [Google Scholar]





































