Abstract
Purpose
To utilize time-domain optical coherence tomography (OCT) to measure changes in the crystalline lens with age and accommodation.
Methods
A cross-sectional study of pre-presbyopic and presbyopic subjects was conducted. Amplitude of accommodation was measured with the push-up test. Objective accommodation was measured with the Grand Seiko auto-refractor and a Badal lens system. Lens thickness was measured with the Zeiss Visante OCT and an internal optometer. The data were analyzed using correlation coefficients, linear regression, and by calculating the average change in lens thickness per diopter change in objective accommodation.
Results
Twenty-two subjects between the ages of 36 and 50 years completed the study. Subjective amplitude of accommodation ranged from 2.17 to 6.38 D. Objective accommodation ranged from 0.22 to 4.56 D. The mean lens thickness was 4.05 ± 0.20 mm. The mean change in lens thickness for up to a 5-D accommodative stimulus ranged from 0.01 to 0.26 mm. The correlation coefficients were: age and subjective accommodation, r = −0.74; age and objective accommodation, r = −0.84; change in lens thickness and age, r = −0.65; change in lens thickness and subjective accommodation, r = 0.74; change in lens thickness and objective accommodation, r = 0.64; objective and subjective accommodation, r = 0.82; (all p < 0.01). An increase in lens thickness of 21 μm per year of age was determined by linear regression. For the subjects who showed at least 1 D of accommodative response on the Grand Seiko auto-refractor, there was an increase of 51 ± 19 μm per diopter of accommodation.
Conclusions
OCT is a non-invasive technique that can be used to quantify changes in the thickness of the crystalline lens. Subjective and objective measurements of accommodation, as well as age, were robustly correlated with the measured changes in lens thickness. Lens thickness changes with age and accommodation as measured with the Visante OCT compare well with previous findings using Scheimpflug photography and ultrasound.
Keywords: crystalline lens, accommodation, presbyopia, optical coherence tomography, imaging
Introduction
The human crystalline lens continues to create new cells and grow throughout life. Numerous studies using ultrasound, Scheimpflug photography, partial coherence interferometry (PCI), and magnetic resonance imaging (MRI) have shown that the lens increases in thickness with age (Koretz et al., 1997; Koretz and Handelman, 1988; Pierscionek, 1995; Smith, 2003; Hemenger et al., 1995; Dubbelman et al., 2001; Dubbelman et al., 2005; Glasser and Campbell, 1998; Kirschkamp et al., 2004; Pierscionek and Weale, 1995; Strenk et al., 1999; Dubbelman et al., 2003; Bullimore et al., 2007; Jones et al., 2007; Bolz et al., 2007). After childhood, lens thickness increases linearly by 13 to 29 μm/year (Glasser and Campbell, 1999; Koretz et al., 1989; Mutti et al., 1998; Dubbelman et al., 2001; Koretz et al., 2004; Dubbelman et al., 2003; Bullimore et al., 2007). Prior to presbyopia, the lens increases in thickness by about 42 to 72 μm per diopter of accommodation (Koretz et al., 1997; Garner and Yap, 1997; Dubbelman et al., 2003; Bolz et al., 2007). The range in lens thickening values reported in the literature are due not only to differences among individuals but also arise from assumptions and limitations of the various techniques. All ex vivo studies are limited by the changes in the dimensions and water content of the lens that occur within a few hours post-mortem (Weale, 1983). In vivo techniques such as Scheimpflug photography, ultrasound and PCI rely on assumptions of refractive indices or speed of sound. Scheimflug photography is further compromised by the need to artificially dilate the pupil (Atchison, 1995). Even the use of sympathomimetic mydriatic agents may decrease accommodation, and artificial removal of the natural interaction of the lens with the ciliary body, vitreous, and iris, can lead to a lessened accommodative response (Findl et al., 2003; Kriechbaum et al., 2005; Koeppl et al., 2005; Dubbelman et al., 2005; Atchison, 1995). Though MRI has allowed visualization of the lens without distortion or pharmacological disruption, positioning of the subject in the supine position required for MRI may alter the natural movement of the lens, as it has been demonstrated that the amplitude of accommodation is affected by head position (Atchison et al., 1994). Unfortunately, clinical 1.5T MRI has limited resolution of about 100 to 300 μm, depending on the sequence and coil used (Strenk et al., 2004; Jones et al., 2007). PCI offers exceptional resolution of less than 10 μm and is widely used for measurements of axial length (Bolz et al., 2007; Drexler et al., 1997a; Drexler et al., 1997b), but there are no commercially available PCI systems in the United States to measure lens thickness. Immersion ultrasound is often considered the gold standard for ocular biometry, but it requires the subject to be in a supine position with an eye bath (Fledelius, 1997). Non-immersion ultrasound, while used more often clinically, suffers from decreased accuracy compared to immersion (Giers and Epple, 1990; Watson and Armstrong, 1999).
The principles used for retinal optical coherence tomography (OCT) have been modified by integrating a longer wavelength of light to allow imaging of the entire anterior segment of the eye. The Visante OCT (Carl Zeiss Meditec, Jena, Germany) was designed to provide quick, high resolution, cross-sectional images of the cornea and anterior chamber. Specifically, the Visante is a commercial time-domain OCT system with a spatial resolution of less than 20 μm (Guell et al., 2007; Baikoff, 2004a,b). This technology does not require contact with the eye or dilation of the pupil and can be altered to provide a variable accommodative stimulus (Baikoff et al., 2004a, b; Konstantopoulos et al., 2007). The Visante OCT has an internal pinwheel target and can be focused for the subject's distance refractive error using an internal lens system. The optometer-based system uses minus lenses to create accommodative stimuli in 0.25D steps (Baikoff et al., 2004a, b; Guell et al., 2007). Preliminary studies have demonstrated that the measurements of lens thickness with the Visante OCT are repeatable and comparable to A-scan ultrasound (Lehman et al., 2007).
The purpose of this study was to determine the feasibility of using the Visante OCT to measure changes in lens thickness with age and accommodation in pre-presbyopic and presbyopic subjects.
Methods
Overview
A cross-sectional study of subjects between the ages of 35 and 50 years was conducted. Objective and subjective measures of accommodation were made, and the crystalline lens was imaged using the Visante OCT under multiple accommodative stimuli.
The Ohio State University's Biomedical Sciences Institutional Review Board, in accordance with the tenets of the Declaration of Helsinki, approved the study protocol. Subjects were educated on the purpose of the study, and informed consent was obtained from each subject before beginning the study. Subjects were recruited using posters and e-mail announcements at The Ohio State University. As this was a feasibility study, the only entry criterion was age.
Only the subject's right eye was used for testing. The subjective amplitude of accommodation was measured using the push-up to blur technique and a small letter target (Rosenfield and Cohen, 1996). It has been demonstrated that subjective measures of accommodation overestimate true accommodative ability (Glasser, 2006; Win-Hall et al., 2007; Wold et al., 2003) so an objective measurement of accommodation was made using the Grand Seiko WR 5100K Auto-Refractor and a Badal lens system. Accommodative response was measured monocularly for 0 to 5 D stimuli, in 1D steps. Five measures were recorded at each stimulus level, and the spherical equivalents of the measurements were averaged. The objective accommodative response was not limited other than by the subject's perception of blur, but due to the power of the Badal lens, the objective accommodative measurement was limited to 5 D.
To obtain cross-sectional images of the crystalline lens, the subject was instructed to fixate the internal target in the Visante OCT. Accommodative stimuli from 0 to 5 D in 1D steps were presented to the subject using the internal accommodative target, and one image was captured at each stimulus level. Each image was stored for later analysis. Measurements of the lens thickness were made using the Visante OCT internal caliper system. Figure 1a shows an example of the images obtained and measurement technique. The white line through the image is the fixation line and was used to ensure measurement through the center of the lens. The straight line caliper tool within the Visante software was used to measure the thickness at the center of the lens for each image.
Figure 1.
Figure 1a. Image of lens obtained with the Visante OCT. The white line through the image is the fixation line and was used to ensure measurement through the center of the lens. The straight line caliper tool within the Visante software was used to measure the thickness at the center of the lens for each image.
Figure 1b. Unprocessed Visante image of lens. lf no changes are made to the lens image, the software will artificially create a “cornea” on the anterior portion of the lens
As the Visante OCT was originally intended to measure the cornea and anterior chamber, the software setting options in Version 1.0 for refractive index are 1.000 (for air), 1.388 (cornea), and 1.343 (aqueous). If no changes are made to the lens image, the software will artificially create a “cornea” on the anterior portion of the lens (Figure 1b). This will change the anterior portion of the lens to a refractive index of 1.388 and the posterior portion of the lens to a refractive index of 1.343. The refractive index lines can be manually adjusted up or down to allow for the image to be set at any of the three refractive index options. After discussion with engineers at the Carl Zeiss Corporation, the refractive index for the images was set at 1.000 (air) to decrease the chance of artificial warping of the image, and the thickness was measured. This thickness value could then be used to calculate an equivalent thickness for any refractive index. For the purposes of this pilot study, a refractive index of 1.42, measured by previous studies, was used for the final lens calculations (Jones et al., 2007; Glasser and Campbell, 1999; Garner and Smith, 1997). The lens is known to have a gradient refractive index (Dubbelman and van der Heijde, 2001; Jones et al., 2007; Garner and Smith, 1997), and the limitation of the use of this single refractive index is discussed later.
All data were analyzed using SPSS (version 15.0) statistical software. Measures of central tendencies including means, standard deviations, and ranges were calculated. Spearman correlation coefficients and linear regression were used to determine relationships among lens thickness, age, and accommodation.
Results
Twenty-five subjects were enrolled. Due to problems with imaging on the Visante, 22 completed the study. The mean age was 43.4 ± 4.2 years (range 35.9 to 49.8 years). Figure 2 shows the subjective amplitude of accommodation and objective measures of accommodation for each subject. The mean subjective amplitude of accommodation was 3.80 ± 1.31 D (range 2.17 to 6.38 D). Maximum objective accommodation was calculated as the difference between the maximum and minimum accommodation readings on the Grand-Seiko (i.e., for a pre-presbyope, this would be the mean of the readings at the 5D stimulus minus the readings at the 0D stimulus). As expected, the mean maximum objective accommodative response was lower, at 1.95 ± 1.38 D (0.22 to 4.56), due in part to the limitations imposed by the Badal lens. Five subjects showed subjective accommodative amplitudes greater than 5 D and thus the objective measures may underestimate their true accommodative ability.
Figure 2.
Subjective amplitude of accommodation (open circles) and objective accommodation (black circles) by age for each subject.
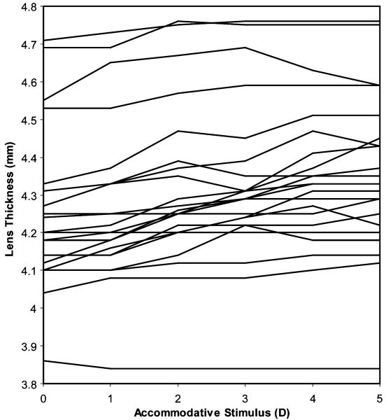
The mean lens thickness for the 0D accommodative stimulus was 4.05 ± 0.20 mm (range 3.63 to 4.47 mm). The mean change in lens thickness for up to a 5D accommodative stimulus was 0.10 ± 0.07 mm (range 0.01 to 0.26 mm). The measures of accommodation and lens thickness showed a wide range and large standard deviation due to the inclusion of both presbyopes and pre-presbyopes. Figure 3 shows the lens thickness for each subject at each accommodative stimulus. It is interesting to note that some subjects steadily increase in thickness up to their maximum accommodative response, while others fluctuate and return back to a baseline value, presumably when the accommodative stimulus exceeds their accommodative amplitude. The changes in lens thickness for each accommodative level are shown in Table 1. Again, the inclusion of both non-presbyopes and presbyopes creates a large standard deviation and wide range of responses to the accommodative stimuli. The negative value (−14 μm) for minimum change in lens thickness is within the resolution of the instrument.
Figure 3.
Changes in lens thickness for each subject at each accommodative stimulus.
Table 1.
Changes in lens thickness (mean ± SD) with increasing accommodative stimuli. All measurements are in μm. The large standard deviation is expected due to the inclusion of presbyopic patients, and can also be seen in the minimum values.
| Accommodative stimulus | |||||
|---|---|---|---|---|---|
| 1D | 2D | 3D | 4D | 5D | |
| Change in lens thickness (Mean ± SD) | 20 ± 27 | 57 ± 37 | 77 ± 48 | 86 ± 71 | 89 ± 80 |
| Minimum change | -14 | -14 | 0 | -14 | -14 |
| Maximum change | 99 | 127 | 155 | 204 | 261 |
Using the values for the 0D stimulus, an increase of 21 μm per year of age was determined by linear regression (lens thickness in mm = 0.021*age + 3.14). For the 15 subjects who showed at least 1 D of accommodative response on the Grand Seiko auto-refractor, there was an increase of 51 ± 19 μm per diopter of accommodation.
As expected, subjective accommodative amplitude and objective accommodation were well correlated (r = 0.82, p<0.01). Age was highly correlated with both subjective amplitude of accommodation (r = −0.74) and objective accommodation (r = −0.84) (both p< 0.01). The change in lens thickness to up to a 5D stimulus was well correlated with age (r = −0.65), amplitude of accommodation (r = 0.74), and objective accommodation (r = 0.64) (all p<0.01).
Discussion
This study demonstrated the feasibility of using the Visante OCT to image the crystalline lens and to measure lens thickness as a function of age and accommodation. Despite the limited number of subjects and measurements, the calculated increase in lens thickness with age and accommodation compares well to previous studies using Scheimpflug photography, ultrasound, PCI and MRI (Table 2). Our cross-sectional findings of an increase of 21 μm in lens thickness with age are within the range of values reported using other techniques (Dubbelman et al, 2003; Bullimore et al., 2007; Garner and Yap, 1997; Jones et al., 2007). To our knowledge, there is no reported measurement of a change in lens thickness with age using PCI. Our calculated increase in lens thickness of 51 μm with each diopter of accommodative stimulus agrees well with 1.5T MRI results (Jones et al., 2007), but are slightly higher than those found by Scheimpflug photography (Dubbelman et al., 2003) and ultrasound (Garner, 1997). Recent studies using PCI to measure changes with accommodation report disparate values, likely due to one group referencing to the accommodative stimulus and another measuring the accommodative response. Tsorbatzoglou et al (2007), using the ACMaster, reported an increase of 36 μm per diopter of accommodative stimulus. In one of the few studies to measure accommodative response simultaneously, Bolz et al (2007) used the ACMaster and a photorefractor and reported an increase in lens thickness of 63 μm in emmetropic subjects and 72 μm in myopic subjects for each diopter of accommodative response.
Table 2.
Comparison of changes in crystalline lens thickness with age and accommodation using the Visante OCT and other techniques. Sources: Scheimpflug (Dubbelman et al. 2003); Ultrasound (age: Bullimore et al 2007; accommodation: Garner and Yap, 1997); MRI (Jones et al 2007); PCI (age: not available (N/A), accommodation: ABolz et al 2007, BTsorbatzoglou et al 2007); OCT (present study).
| Scheimpflug | Ultrasound | MRI | PCI | OCT | |
|---|---|---|---|---|---|
| Change in lens thickness with age (μm / year) | 23 | 29 | 18 | N/A | 21 |
| Change in lens thickness with accommodation (μm / D) | 45 | 42 | 50 | 63 to 72 A 36B | 51 |
There are many reasons for the reported differences in lens thickness between techniques. First, many of the studies, including this one, did not record accommodative response, but only assumed that the subject was accommodating accurately to the target. Each study may have used different accommodative stimuli. Depending on the amount of accommodative lag for each subject and with each target, the calculation for change in lens thickness per diopter of accommodative stimulus would be artificially reduced. The internal fixation target in the Visante OCT system (a pinwheel pattern), may not be an adequate accommodative stimulus, and is different than the letter target we used to measure accommodative response with the autorefractor. Current studies using the Visante OCT and photorefraction are being conducted to improve the precision of the measurement and confirm accurate accommodation with the internal target.
The resolution of the techniques available to measure lens thickness also vary widely with PCI and OCT being the best at approximately 10 to 20 μm and ultrasound and 1.5T MRI at over 100 μm (Drexler et al., 1997b; Jones et al., 2007; Guell et al., 2007). The addition of repeated measurements could improve the precision of any of the techniques. In this pilot study, only one measurement at each accommodative stimulus was taken, and a statistically significant change was found which agreed well with other reports. Although repeatability was not assessed as part of this study, our colleagues (Lehman et al. 2007) have found 95% limits of agreement of −0.030 to +0.030 mm for images that contain the light reflex (manuscript in preparation).
OCT, like other optical imaging techniques, assumes a single refractive index. A refractive index of 1.42 was chosen for these calculations based on previous studies, but this value may underestimate the true lens thickness. Changing the refractive index from 1.42 to 1.40 increases the calculated lens thickness, but does not alter change in thickness with age or accommodation (Table 2). Dunne et al (2007) measured lens thickness in a known model eye and found that the Visante overestimates lens thickness, and presented formulas that could be used to improve accuracy. Future studies could combine phakometry with OCT to calculate the individual subject's equivalent refractive index and apply a unique correction factor. Still, this method could not account for the gradient refractive index of the lens. Likewise, ultrasound assumes a single speed of sound. Numerous studies have demonstrated that the speed of sound and refractive index of the lens vary throughout the population (Dubbelman and van der Heijde, 2001; Glasser and Campbell, 1999; Beers and van der Heijde, 1994a,b). When comparing findings between different studies, differences in assumed refractive index and speed of sound should be considered.
The Visante OCT provides another useful tool to examine the crystalline lens in vivo. Although there are limitations to this technique, comparisons of findings to other measurement techniques allow for a better understanding of the changes in the lens with age and accommodation. Future studies combining OCT with phakometry and photorefraction are needed to improve the accuracy of the measurements.
Acknowledgments
The authors acknowledge William Burnham, John Austin, John Alberini, Fabio Candolo and Scott Meyer at Carl Zeiss Meditec for their assistance in clarifying the software options and calculations on the Visante OCT. The authors acknowledge Donald O. Mutti, Melissa D. Bailey, and David A. Berntsen at The Ohio State University for their help with this manuscript.
Dr. Richdale was supported by an American Optometric Foundation Ezell Fellowship sponsored by Bausch & Lomb and NIH/NEI training grant T32-EY013359. The results were presented in part at the 2007 American Academy of Optometry annual meeting in Tampa, Florida.
References
- Atchison DA. Accommodation and presbyopia. Ophthalmic Physiol Opt. 1995;15:255–72. [PubMed] [Google Scholar]
- Atchison DA, Claydon CA, Irwin SE. Amplitude of accommodation for different head positions and different directions of eye gaze. Optom Vis Sci. 1994;71:339–45. doi: 10.1097/00006324-199405000-00006. [DOI] [PubMed] [Google Scholar]
- Baikoff G, Lutun E, Ferraz C, Wei J. Static and dynamic analysis of the anterior segment with optical coherence tomography. J Cataract Refract Surg. 2004a;30:1843–50. doi: 10.1016/j.jcrs.2004.05.024. [DOI] [PubMed] [Google Scholar]
- Baikoff G, Lutun E, Wei J, Ferraz C. Anterior chamber optical coherence tomography study of human natural accommodation in a 19-year-old albino. J Cataract Refract Surg. 2004b;30:696–701. doi: 10.1016/j.jcrs.2003.12.043. [DOI] [PubMed] [Google Scholar]
- Beers AP, van der Heijde GL. In vivo determination of the biomechanical properties of the component elements of the accommodation mechanism. Vision Res. 1994a;34:2897–905. doi: 10.1016/0042-6989(94)90058-2. [DOI] [PubMed] [Google Scholar]
- Beers AP, van der Heijde GL. Presbyopia and velocity of sound in the lens. Optom Vis Sci. 1994b;71:250–3. doi: 10.1097/00006324-199404000-00004. [DOI] [PubMed] [Google Scholar]
- Bolz M, Prinz A, Drexler W, Findl O. Linear relationship of refractive and biometric lenticular changes during accommodation in emmetropic and myopic eyes. Br J Ophthalmol. 2007;91:360–5. doi: 10.1136/bjo.2006.099879. [DOI] [PMC free article] [PubMed] [Google Scholar]
- Bullimore M, Mitchell GL, Jones L, Reuter KS. Factors affecting the accommodative response in an adult myopic population. Optom Vis Sci. 2007;84 E-abstract 070082. [Google Scholar]
- Drexler W, Baumgartner A, Findl O, Hitzenberger CK, Fercher AF. Biometric investigation of changes in the anterior eye segment during accommodation. Vision Res. 1997a;37:2789–800. doi: 10.1016/s0042-6989(97)00066-7. [DOI] [PubMed] [Google Scholar]
- Drexler W, Baumgartner A, Findl O, Hitzenberger CK, Sattmann H, Fercher AF. Submicrometer precision biometry of the anterior segment of the human eye. Invest Ophthalmol Vis Sci. 1997b;38:1304–13. [PubMed] [Google Scholar]
- Dubbelman M, van der Heijde GL. The shape of the aging human lens: curvature, equivalent refractive index and the lens paradox. Vision Res. 2001;41:1867–77. doi: 10.1016/s0042-6989(01)00057-8. [DOI] [PubMed] [Google Scholar]
- Dubbelman M, van der Heijde GL, Weeber HA. The thickness of the aging human lens obtained from corrected Scheimpflug images. Optom Vis Sci. 2001;78:411–6. doi: 10.1097/00006324-200106000-00013. [DOI] [PubMed] [Google Scholar]
- Dubbelman M, van der Heijde GL, Weeber HA. Change in shape of the aging human crystalline lens with accommodation. Vision Res. 2005;45:117–32. doi: 10.1016/j.visres.2004.07.032. [DOI] [PubMed] [Google Scholar]
- Dubbelman M, van der Heijde GL, Weeber HA, Vrensen GF. Changes in the internal structure of the human crystalline lens with age and accommodation. Vision Res. 2003;43:2363–75. doi: 10.1016/s0042-6989(03)00428-0. [DOI] [PubMed] [Google Scholar]
- Dunne MC, Davies LN, Wolffsohn JS. Accuracy of cornea and lens biometry using anterior segment optical coherence tomography. J Biomed Opt. 2007;12:064023. doi: 10.1117/1.2821844. [DOI] [PubMed] [Google Scholar]
- Findl O, Kiss B, Petternel V, Menapace R, Georgopoulos M, Rainer G, Drexler W. Intraocular lens movement caused by ciliary muscle contraction. J Cataract Refract Surg. 2003;29:669–76. doi: 10.1016/s0886-3350(02)01652-8. [DOI] [PubMed] [Google Scholar]
- Fledelius HC. Ultrasound in ophthalmology. Ultrasound Med Biol. 1997;23:365–75. doi: 10.1016/s0301-5629(96)00213-x. [DOI] [PubMed] [Google Scholar]
- Garner LF. Calculation of the radii of curvature of the crystalline lens surfaces. Ophthalmic Physiol Opt. 1997;17:75–80. [PubMed] [Google Scholar]
- Garner LF, Smith G. Changes in equivalent and gradient refractive index of the crystalline lens with accommodation. Optom Vis Sci. 1997;74:114–9. doi: 10.1097/00006324-199702000-00024. [DOI] [PubMed] [Google Scholar]
- Garner LF, Yap MK. Changes in ocular dimensions and refraction with accommodation. Ophthalmic Physiol Opt. 1997;17:12–7. [PubMed] [Google Scholar]
- Giers U, Epple C. Comparison of A-scan device accuracy. J Cataract Refract Surg. 1990;16:235–42. doi: 10.1016/s0886-3350(13)80737-7. [DOI] [PubMed] [Google Scholar]
- Glasser A. Accommodation: mechanism and measurement. Ophthalmol Clin North Am. 2006;19:1–12. v. doi: 10.1016/j.ohc.2005.09.004. [DOI] [PubMed] [Google Scholar]
- Glasser A, Campbell MC. Presbyopia and the optical changes in the human crystalline lens with age. Vision Res. 1998;38:209–29. doi: 10.1016/s0042-6989(97)00102-8. [DOI] [PubMed] [Google Scholar]
- Glasser A, Campbell MC. Biometric, optical and physical changes in the isolated human crystalline lens with age in relation to presbyopia. Vision Res. 1999;39:1991–2015. doi: 10.1016/s0042-6989(98)00283-1. [DOI] [PubMed] [Google Scholar]
- Guell JL, Morral M, Gris O, Gaytan J, Sisquella M, Manero F. Evaluation of Verisyse and Artiflex phakic intraocular lenses during accommodation using Visante optical coherence tomography. J Cataract Refract Surg. 2007;33:1398–404. doi: 10.1016/j.jcrs.2007.04.026. [DOI] [PubMed] [Google Scholar]
- Hemenger RP, Garner LF, Ooi CS. Change with age of the refractive index gradient of the human ocular lens. Invest Ophthalmol Vis Sci. 1995;36:703–7. [PubMed] [Google Scholar]
- Jones CE, Atchison DA, Pope JM. Changes in lens dimensions and refractive index with age and accommodation. Optom Vis Sci. 2007;84:990–5. doi: 10.1097/OPX.0b013e318157c6b5. [DOI] [PubMed] [Google Scholar]
- Kirschkamp T, Dunne M, Barry JC. Phakometric measurement of ocular surface radii of curvature, axial separations and alignment in relaxed and accommodated human eyes. Ophthalmic Physiol Opt. 2004;24:65–73. doi: 10.1046/j.1475-1313.2003.00168.x. [DOI] [PubMed] [Google Scholar]
- Koeppl C, Findl O, Kriechbaum K, Drexler W. Comparison of pilocarpine-induced and stimulus-driven accommodation in phakic eyes. Exp Eye Res. 2005;80:795–800. doi: 10.1016/j.exer.2004.12.004. [DOI] [PubMed] [Google Scholar]
- Konstantopoulos A, Hossain P, Anderson DF. Recent advances in ophthalmic anterior segment imaging: a new era for ophthalmic diagnosis? Br J Ophthalmol. 2007;91:551–7. doi: 10.1136/bjo.2006.103408. [DOI] [PMC free article] [PubMed] [Google Scholar]
- Koretz JE, Strenk SA, Strenk LM, Semmlow JL. Scheimpflug and high-resolution magnetic resonance imaging of the anterior segment: a comparative study. J Opt Soc Am A Opt Image Sci Vis. 2004;21:346–54. doi: 10.1364/josaa.21.000346. [DOI] [PubMed] [Google Scholar]
- Koretz JF, Cook CA, Kaufman PL. Accommodation and presbyopia in the human eye. Changes in the anterior segment and crystalline lens with focus. Invest Ophthalmol Vis Sci. 1997;38:569–78. [PubMed] [Google Scholar]
- Koretz JF, Handelman GH. How the human eye focuses. Sci Am. 1988;259:92–9. doi: 10.1038/scientificamerican0788-92. [DOI] [PubMed] [Google Scholar]
- Koretz JF, Kaufman PL, Neider MW, Goeckner PA. Accommodation and presbyopia in the human eye--aging of the anterior segment. Vision Res. 1989;29:1685–92. doi: 10.1016/0042-6989(89)90150-8. [DOI] [PubMed] [Google Scholar]
- Kriechbaum K, Findl O, Koeppl C, Menapace R, Drexler W. Stimulus-driven versus pilocarpine-induced biometric changes in pseudophakic eyes. Ophthalmology. 2005;112:453–9. doi: 10.1016/j.ophtha.2004.09.021. [DOI] [PubMed] [Google Scholar]
- Lehman B, Berntsen D, Bailey M, Zadnik K. Vaildation of the Visante Anerior Segment OCT in Measurements of Crystalline Lens Thickness. Optom Vis Sci. 2007;84 doi: 10.1097/OPX.0b013e318198198d. E-abstract 070082. [DOI] [PMC free article] [PubMed] [Google Scholar]
- Mutti DO, Zadnik K, Fusaro RE, Friedman NE, Sholtz RI, Adams AJ. Optical and structural development of the crystalline lens in childhood. Invest Ophthalmol Vis Sci. 1998;39:120–33. [PubMed] [Google Scholar]
- Pierscionek BK. Age-related response of human lenses to stretching forces. Exp Eye Res. 1995;60:325–32. doi: 10.1016/s0014-4835(05)80114-9. [DOI] [PubMed] [Google Scholar]
- Pierscionek BK, Weale RA. Presbyopia - a maverick of human aging. Arch Gerontol Geriatr. 1995;20:229–40. doi: 10.1016/0167-4943(94)00617-g. [DOI] [PubMed] [Google Scholar]
- Rosenfield M, Cohen AS. Repeatability of clinical measurements of the amplitude of accommodation. Ophthalmic Physiol Opt. 1996;16:247–9. [PubMed] [Google Scholar]
- Smith G. The optical properties of the crystalline lens and their significance. Clin Exp Optom. 2003;86:3–18. [PubMed] [Google Scholar]
- Strenk SA, Semmlow JL, Strenk LM, Munoz P, Gronlund-Jacob J, DeMarco JK. Age-related changes in human ciliary muscle and lens: a magnetic resonance imaging study. Invest Ophthalmol Vis Sci. 1999;40:1162–9. [PubMed] [Google Scholar]
- Strenk SA, Strenk LM, Semmlow JL, DeMarco JK. Magnetic resonance imaging study of the effects of age and accommodation on the human lens cross-sectional area. Invest Ophthalmol Vis Sci. 2004;45:539–45. doi: 10.1167/iovs.03-0092. [DOI] [PubMed] [Google Scholar]
- Tsorbatzoglou A, Nemeth G, Szell N, Biro Z, Berta A. Anterior segment changes with age and during accommodation measured with partial coherence interferometry. J Cataract Refract Surg. 2007;33:1597–601. doi: 10.1016/j.jcrs.2007.05.021. [DOI] [PubMed] [Google Scholar]
- Watson A, Armstrong R. Contact or immersion technique for axial length measurement? Aust N Z J Ophthalmol. 1999;27:49–51. doi: 10.1046/j.1440-1606.1999.00162.x. [DOI] [PubMed] [Google Scholar]
- Weale RA. Transparency and power of post-mortem human lenses: variation with age and sex. Exp Eye Res. 1983;36:731–41. doi: 10.1016/0014-4835(83)90110-0. [DOI] [PubMed] [Google Scholar]
- Win-Hall DM, Ostrin LA, Kasthurirangan S, Glasser A. Objective accommodation measurement with the grand seiko and hartinger coincidence refractometer. Optom Vis Sci. 2007;84:879–87. doi: 10.1097/OPX.0b013e3181559ace. [DOI] [PubMed] [Google Scholar]
- Wold JE, Hu A, Chen S, Glasser A. Subjective and objective measurement of human accommodative amplitude. J Cataract Refract Surg. 2003;29:1878–88. doi: 10.1016/s0886-3350(03)00667-9. [DOI] [PubMed] [Google Scholar]



