Abstract
Background
In July 2007, amid some controversy over cost, Zambia was the first African country to introduce tenofovir (TDF) as a component of first-line antiretroviral therapy (ART) on a wide scale.
Methods
We compared drug substitutions, mortality, and “programmatic failure” among adults starting TDF-, zidovudine (ZDV)-, and stavudine (d4T)-containing ART. Programmatic failure was defined as death, withdrawal, or loss to follow-up.
Results
Between July 2007 and January 2009, 10,485 adults initiated ART (66% on TDF, 23% on ZDV, 11% on d4T), with a median follow-up time of 239 days (IQR:98,385). Those starting TDF were more likely to be male and more likely to have indicators of severe disease at baseline. In adjusted Cox proportional hazards models, ZDV- (adjusted hazard ratio [AHR]=2.74, 95%CI=2.30-3.28) and d4T-based regimens (AHR=1.92,95%CI=1.55-2.38) were associated with higher risk for drug substitution when compared to TDF-based regimens. Similar hazards were noted for overall mortality (ZDV: AHR=0.81,95%CI=0.62-1.06; d4T: AHR=1.03,95%CI=0.74-1.43) and programmatic failure (ZDV: AHR=0.99,95%CI=0.88-1.11; d4T: AHR=1.11,95%CI=0.96-1.28) when compared to TDF.
Conclusions
TDF is associated with similar clinical and programmatic outcomes as ZDV and d4T, but appears to be better tolerated. Although further evaluation is needed, these results are encouraging and support Zambia's policy decision.
Keywords: tenofovir, antiretroviral therapy, clinical outcomes, programmatic outcomes, Africa, Zambia
INTRODUCTION
Tenofovir disoproxil fumarate (TDF) is an important first-line agent for antiretroviral therapy (ART) in North America and Europe because of its proven effectiveness, favorable toxicity profile, and demonstrated regimen durability.1-3 In contrast, introduction of TDF into first-line therapy has been limited in resource-constrained settings, particularly in sub-Saharan Africa. Although experience with the agent has been favorable within clinical trials,4 the cost of TDF has been a major barrier to widespread use. A one-year supply of the drug is estimated at $221 (U.S. dollars) when prescribed with lamivudine (3TC) and nevirapine (NVP), a cost significantly higher than alternative first-line regimens incorporating zidovudine ($153) or stavudine ($96).5 The toxicities associated with TDF may also be difficult to manage in settings where simple laboratory monitoring (e.g. serum creatinine) is poorly accessible. Recent work in Zambia, for example, demonstrated that approximately one-third of individuals starting ART had some degree of renal insufficiency.6 Without appropriate monitoring of renal function, use of TDF could lead to iatrogenic renal failure in settings where options for management (e.g. dialysis) may be limited.
The Zambia government has implemented one of the most successful national programs for HIV care and treatment in sub-Saharan Africa. Services for HIV care and treatment have rapidly expanded, from 15,000 adults and children accessing ART in April 2004 to approximately 219,000 by December 2008 (unpublished data, A. Mwango). In July 2007, amid some donor controversy, the Zambian Ministry of Health introduced TDF as part of first-line therapy, making it the first African country to use the drug on a wide scale.7 By February 2009, more than 15,000 HIV-infected adults had initiated TDF-based therapy in Zambia's capital city of Lusaka, site of the country's largest ART program.8, 9 In this report, we describe the early outcomes among patients initiating TDF-based ART in this urban African setting.
METHODS
Clinical care in the Lusaka ART program
We analyzed programmatic data from the national HIV care and treatment program in Lusaka, Zambia.8, 9 This program is supported primarily by the Ministry of Health, with additional funding from the U.S. President's Emergency Plan for AIDS Relief and the Global Fund for AIDS, Tuberculosis, and Malaria. Clinical care provided across all sites has been standardized according to national protocols. Adults are enrolled and initially screened for ART eligibility. Individuals who have CD4 cell counts less than 200 cells/uL; WHO stage 4 clinical disease; or WHO stage 3 and CD4 cell counts less than 350 cells/uL are eligible for therapy. Since 2004, first-line ART has comprised a nucleoside reverse transcriptase inhibitor (NRTI) backbone – zidovudine (ZDV) or stavudine (d4T) plus lamivudine (3TC) – in combination with a non-NRTI (e.g. efavirenz [EFV] or nevirapine [NVP]). In July 2007, TDF and emtricitabine (FTC) were added as a nucleotide/nucleoside reverse transcriptase inhibitor backbone. Despite the higher cost associated with these drugs, the Ministry of Health based their decision on the TDF's favorable toxicity profile, its high genetic barrier to resistance, and its once-daily dosing schedule. Selection of a patient's first-line ART regimen is based on programmatic factors (e.g. drug availability) and medical contraindications. Because ZDV initiation is associated with clinically significant anemia,10, 11 individuals with baseline hemoglobin concentration < 10 g/dL are started on d4T- or TDF-based ART. The primary contraindication for TDF initiation is severe renal insufficiency, defined as creatinine clearance <50 mL/min. After an intensive lead-in period to monitor for adherence and early drug toxicities, clinical follow-up continues every 3 months. Treatment failure is diagnosed primarily by clinical or immunologic criteria; virologic testing is not widely available.12
Patient-level data are routinely entered into the program's electronic medical record,13, 14 including detailed information regarding pharmacy refills at each visit. Deaths are recorded in the medical record after confirmation from family members, friends, or community health workers. “Inactive” patients have formally withdrawn from the HIV treatment program. “Late” patients are more than a month overdue for their last scheduled clinical and/or pharmacy visit. Through a clinic-based follow-up program, community health workers trace patients with missed visits.15
Analysis cohort
We compared the clinical and programmatic outcomes among patients initiating TDF-, ZDV-, and d4T-based ART regimens. We analyzed programmatic data from treatment-naïve adults (> 16 years) initiating ART across 18 primary care sites in Lusaka, Zambia from July 1, 2007 to January 31, 2009. Since the prescription of ART regimens may be based on specific medical conditions (e.g. anemia, renal insufficiency), we recognize the potential for “confounding by indication.”16 Although statistical methods can adjust for measured imbalances between the study groups, the possibility of residual confounding remains. For these reasons, we restricted our analysis to individuals with hemoglobin concentration ≥ 10 g/dL and creatinine clearance ≥ 50 mL/min at baseline – the two primary contraindications to specific ART regimens – in an attempt to minimize this potential bias. To compare demographic and clinical characteristics among individuals initiating different ART regimens, we analyzed categorical variables using Pearson's Chi-square test. Wilcoxon rank-sum tests were used to compare continuous variables. Rates were calculated with 95% exact Poisson confidence intervals (CI).
Clinical and programmatic outcomes
We examined the relative impact of ART regimen on three outcomes: (1) drug substitution of the NRTI of interest (i.e. TDF, ZDV, d4T), a surrogate for drug toxicity; (2) mortality; and (3) “program failure,” a composite outcome comprising dead, inactive, and late patients. Owing to the high rates of early mortality noted in our population and others,8, 17, 18 we examined ≤ 90 day, > 90 day, and overall outcomes. We fit Kaplan-Meier curves to evaluate crude survival according to drug exposure category. We performed Cox proportional hazards regression to determine the hazard of each of the above-mentioned outcomes and the contribution of key covariates to those estimates. Inactive patients are censored as of the date they withdrew from care and late patients are censored a month after their last scheduled visit.
In primary analysis, we categorized drug exposure for mortality and program failure based on an individual's prescribed ART regimen at the start of the follow-up period, as has been done in previous studies.19 For our ≤ 90 day and overall analyses, this was based on first prescription. For our post-90 day mortality, drug exposure was based on the regimen the patient was taking at day 90; however, we adjusted for drug substitution in the preceding interval. Baseline factors previously shown to be associated with mortality in our setting 8 were included in the multivariable analysis: age, sex, body mass index, CD4 count, hemoglobin, World Health Organization (WHO) clinical stage, serum creatinine, and tuberculosis co-infection at enrollment. We included a measure of early adherence in the post-90 day analysis, using a variation of the commonly-reported medication possession ratio (MPR).20, 21 We divided the number of days late for pharmacy refills by total days on therapy over the first 90 days, and then subtracted that percentage from 100%.12, 22
Impact of ART regimens on renal function
Because TDF is associated with renal insufficiency,23, 24 we evaluated the impact of each drug regimen on creatinine clearance as calculated by the Cockcroft-Gault formula.25 We limited our analysis to those with available data at six and/or 12 months, since routine creatinine screening has not been widely implemented. We calculated the mean change in creatinine clearance for each regimen and compared them with Student's t-test. We also measured the proportion of individuals in each group whose creatinine clearance dropped below 50 mL/min at six and/or 12 months, and compared them using Pearson's Chi-square test. This threshold has clinical significance, since individuals with creatinine clearance below it require TDF dose adjustment or substitution of the drug.26 All analyses were performed using SAS version 9.1 (SAS Institute, Cary, North Carolina), and were approved by the institutional review boards of the University of Zambia (Lusaka, Zambia) and the University of Alabama at Birmingham (Birmingham, Alabama, USA).
RESULTS
Cohort description
From July 1, 2007 to January 31, 2009, 10,485 ART-naïve adults meeting our eligibility criteria were initiated on HIV treatment. Of these, 6,900 (66%) started a TDF-based regimen; 2,446 (23%) started a ZDV-based regimen; and 1,139 (11%) started a d4T-based regimen (Figure 1). The median time of follow-up was 239 days (interquartile range [IQR]: 98, 385), which varied according to drug category: TDF (median 208 days; IQR: 89, 348), ZDV (median 306 days; IQR: 131, 479), and d4T (median 275 days; IQR: 122, 455). This difference in follow-up can be attributed to the gradual roll-out of TDF-based ART into Lusaka clinics after the Ministry of Health's incorporation of TDF into first-line therapy in July 2007 (Figure 2). Comparison groups differed significantly according to various demographic and baseline medical characteristics. When compared to the ZDV- and d4T-based groups, those using TDF were more likely to be male and more likely to have indicators of severe disease at baseline (e.g. low BMI, low CD4 count, higher clinical stage, more frequent tuberculosis co-infection). Adults starting TDF were also more likely to be prescribed EFV rather than NVP, either to allow once-daily ART dosing or to accommodate the use of rifampin in patients requiring tuberculosis co-treatment (Table 1).
Figure 1.
HIV-infected adults initiating antiretroviral therapy across 18 Lusaka primary care sites from July 1, 2007 to January 31, 2009
Figure 2.
Numbers of HIV-infected adults initiated on each of the three primary nucleoside reverse transcriptase inhibitor backbones for antiretroviral therapy from July 1, 2007 to January 31, 2009.
Table 1.
Comparison of participants according to initially-prescribed nucleoside reverse transcriptase inhibitor backbone for antiretroviral therapy in Lusaka, Zambia (July 1, 2007 to January 31, 2009).
| Tenofovir + emtricitabine (N = 6,900) |
Zidovudine + lamivudine (N = 2,446) |
Stavudine + lamivudine (N = 1,139) |
||||||
|---|---|---|---|---|---|---|---|---|
| N | Value | N | Value | P* | N | Value | P* | |
| Age, median years (IQR) | 6,900 | 35 (30, 41) | 2,446 | 34 (29, 39) | < 0.01 | 1,139 | 33 (28, 39) | < 0.01 |
| Male, % | 3,373 | 48.9% | 912 | 37.3% | < 0.01 | 333 | 29.2% | < 0.01 |
| BMI, median (IQR) | 6,828 | 20.1 (18.2, 22.2) | 2,415 | 21.1 (18.9, 23.8) | < 0.01 | 1,127 | 20.9 (18.8, 23.5) | < 0.01 |
| ≥ 16 kg/m2 | 6,431 | 94.2% | 2,320 | 96.1% | < 0.01 | 1,078 | 95.7% | 0.05 |
| < 16 kg/m2 | 397 | 5.8% | 95 | 3.9% | 49 | 4.3% | ||
| Baseline CD4, median (IQR) | 6,845 | 149 (84, 210) | 2,422 | 171 (105, 228) | < 0.01 | 1,124 | 176 (103, 259) | < 0.01 |
| ≥ 200 | 1,986 | 29.0% | 886 | 36.6% | < 0.01 | 436 | 38.8% | < 0.01 |
| ≥ 50 to < 200 | 3,970 | 58.0% | 1,312 | 54.2% | 562 | 50.0% | ||
| < 50 | 889 | 13.0% | 224 | 9.2% | 126 | 11.2% | ||
| Baseline hemoglobin, median (IQR) | 6,900 | 11.8 (10.8, 12.9) | 2,446 | 12.0 (11.2, 13.1) | < 0.01 | 1,139 | 11.0 (10.4, 12.3) | < 0.01 |
| ≥ 14 g/dL | 728 | 10.6% | 295 | 12.1% | < 0.01 | 106 | 9.3% | < 0.01 |
| ≥ 12 to < 14 g/dL | 2,406 | 34.9% | 994 | 40.6% | 255 | 22.4% | ||
| ≥ 10 to < 12 g/dL | 3,766 | 54.6% | 1,157 | 47.3% | 778 | 68.3% | ||
| Tuberculosis (active) | 924 | 13.4% | 201 | 8.2% | < 0.01 | 99 | 8.7% | < 0.01 |
| WHO Stage | ||||||||
| Stage I or II | 2,531 | 37.0% | 1,283 | 52.8% | < 0.01 | 554 | 49.6% | < 0.01 |
| Stage III | 3,882 | 56.7% | 1,033 | 42.5% | 499 | 44.6% | ||
| Stage IV | 436 | 6.4% | 112 | 4.6% | 65 | 5.8% | ||
| Serum creatinine, median (IQR) | 6,900 | 66 (54, 79) | 2,446 | 61 (50, 72) | < 0.01 | 1,139 | 60 (48, 73) | < 0.01 |
| ≥120 | 6,842 | 99.2% | 2,435 | 99.6% | 0.05 | 1,129 | 99.1% | 0.89 |
| < 120 | 58 | 0.8% | 11 | 0.4% | 10 | 0.9% | ||
| Third ART drug | ||||||||
| Nevirapine | 3,007 | 43.6% | 2,209 | 90.3% | < 0.01 | 1,002 | 88.0% | < 0.01 |
| Efavirenz | 3,893 | 56.4% | 237 | 9.7% | 137 | 12.0% | ||
| Follow-up days, median (IQR) | 6,900 | 208 (89, 348) | 2,446 | 306 (131, 479) | < 0.01 | 1,139 | 275 (122, 455) | < 0.01 |
Compared to patients initiating tenofovir. BMI = body mass index, WHO = World Health Organization, ART = antiretroviral therapy, IQR = intraquartile range
Drug substitutions
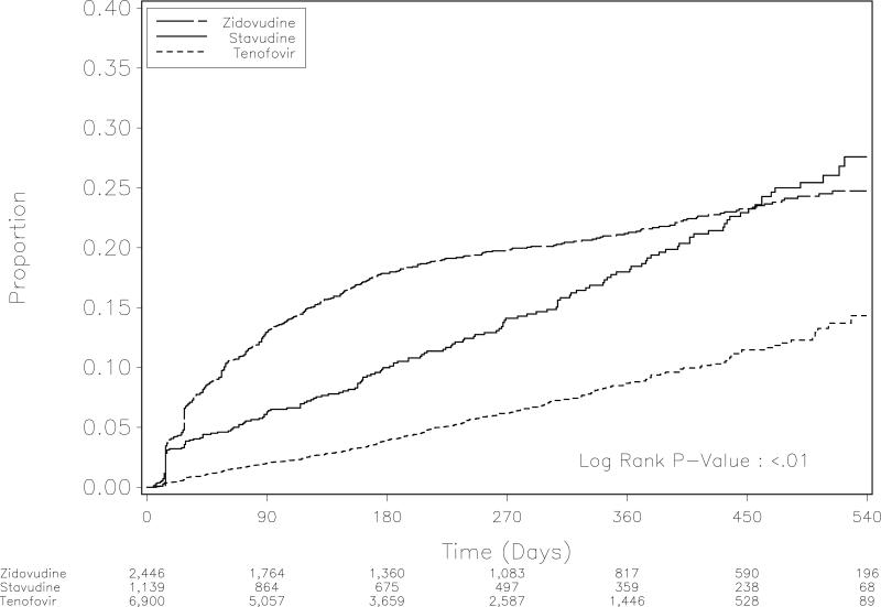
TDF was associated with fewer drug substitutions (Figure 3A). Overall, the rates were 9.0 per 100 person-years (95%CI = 8.1–9.9) for TDF, 27.0 per 100 person-years (95%CI = 24.6–29.5) for ZDV and 21.5 per 100 person-years (95%CI = 18.4–24.8) for d4T. In the first 90 days, the switch rates were 8.4 per 100 person-years (95%CI = 7.0–9.9) for TDF, compared to 57.7 per 100 person-years (95%CI = 51.3–64.4) for ZDV and 27.3 per 100 person-years (95%CI = 21.1–34.2) for d4T. After 90 days, the switch rates were 9.3 per 100 person-years (95%CI = 8.2–10.5) for TDF, 13.8 per 100 person-years (95%CI = 11.8–16.0) for ZDV and 18.9 per 100 person-years (95%CI = 15.5–22.7) for d4T. In adjusted analysis, the overall hazard of switching from ZDV and d4T persisted when compared to TDF, with the greatest risk observed over the first 90 days (Table 2). Male sex and use of EFV were associated with reduced hazard for drug substitution. No associations were noted with age, CD4 count, hemoglobin, serum creatinine, clinical disease stage, and tuberculosis co-infection at time of ART initiation (Table 3).
Figure 3.
Kaplan-Meier analysis describing over time drug substitution (A), mortality (B), and “program failure” (C), stratified by initially prescribed nucleoside reverse transcriptase inhibitor backbones for antiretroviral therapy. Program failure comprised mortality, program withdrawals, and follow-up losses.
Table 2.
Adjusted hazard ratios (with 95% confidence intervals) for clinical and programmatic outcomes by nucleoside reverse transcriptase inhibitor backbone for antiretroviral therapy in Lusaka, Zambia (July 1, 2007 to January 31, 2009)
| ≤ 90 days | > 90 days | Overall | |
|---|---|---|---|
| Drug substitution | |||
| TDF + FTC | Ref | Ref | Ref |
| ZDV + 3TC | 6.92 (5.31 – 9.03) | 1.08 (0.84 - 1.40) | 2.74 (2.30 - 3.28) |
| d4T + 3TC | 2.91 (2.05 - 4.13) | 1.34 (1.01 - 1.76) | 1.92 (1.55 - 2.38) |
| Mortality | |||
| TDF + FTC | Ref | Ref | Ref |
| ZDV + 3TC | 0.80 (0.57 - 1.13) | 0.67 (0.40 - 1.12) | 0.81 (0.62 - 1.06) |
| d4T + 3TC | 0.97 (0.63 - 1.50) | 1.18 (0.66 - 2.11) | 1.03 (0.74 - 1.43) |
| Programmatic failure | |||
| TDF + FTC | Ref | Ref | Ref |
| ZDV + 3TC | 1.00 (0.84 - 1.19) | 0.96 (0.82 - 1.13) | 0.99 (0.88 - 1.11) |
| d4T + 3TC | 1.10 (0.88 - 1.38) | 1.21 (0.99 - 1.46) | 1.11 (0.96 - 1.28) |
All analyses adjusted for age, sex, body mass index, CD4 count, hemoglobin, World Health Organization clinical stage, serum creatinine, tuberculosis co-infection at enrollment, and third antiretroviral agent. Previous drug substitution and adherence also included in the post-90 day analysis. TDF = tenofovir, FTC = emtricitabine, ZDV = zidovudine, d4T = stavudine, 3TC = lamivudine.
Table 3.
Patient characteristics associated with overall clinical and programmatic outcomes in Lusaka, Zambia (July 1, 2007 to January 31, 2009).
| Adjusted hazard ratio (95% confidence interval) | ||||
|---|---|---|---|---|
| Drug substitution | Mortality | Programmatic failure | ||
| Age | > 15 to ≤ 29 years | Ref | Ref | Ref |
| > 30 to ≤ 35 years | 0.97 (0.81 - 1.15) | 0.86 (0.66 - 1.13) | 0.82 (0.73 - 0.92) | |
| >35 to ≤ 41 years | 0.96 (0.80 - 1.16) | 0.94 (0.71 - 1.24) | 0.80 (0.70 - 0.90) | |
| > 41 years | 0.91 (0.76 – 1.09) | 1.05 (0.81 - 1.37) | 0.79 (0.70 - 0.88) | |
| Sex | Female | Ref | Ref | Ref |
| Male | 0.73 (0.63 - 0.85) | 1.82 (1.47 - 2.26) | 1.43 (1.30 - 1.57) | |
| Body mass index | ≥ 16 kg/m2 | Ref | Ref | Ref |
| < 16 kg/m2 | 1.21 (0.89 - 1.63) | 3.09 (2.40 - 3.98) | 2.01 (1.72 - 2.35) | |
| CD4 count | ≥ 200 | Ref | Ref | Ref |
| ≤ 50 to < 200 | 0.95 (0.82 - 1.10) | 2.03 (1.55 - 2.66) | 0.95 (0.86 – 1.05) | |
| < 50 | 1.09 (0.88 - 1.36) | 3.70 (2.71 - 5.06) | 1.27 (1.10 - 1.45) | |
| Hemoglobin | > 14 g/L | Ref | Ref | Ref |
| 12 to < 14 g/L | 0.98 (0.77 - 1.26) | 1.30 (0.88 - 1.91) | 1.12 (0.96 - 1.31) | |
| 10 to < 12 g/L | 1.20 (0.94 - 1.54) | 1.68 (1.14 - 2.49) | 1.37 (1.17 - 1.60) | |
| Tuberculosis | No | Ref | Ref | Ref |
| Yes | 0.90 (0.71 - 1.13) | 0.64 (0.48 - 0.86) | 0.83 (0.72 - 0.95) | |
| WHO stage | I or II | Ref | Ref | Ref |
| III | 1.08 (0.94 - 1.24) | 1.90 (1.49 - 2.44) | 1.12 (1.02 - 1.24) | |
| IV | 1.27 (0.96 - 1.66) | 2.31 (1.59 - 3.35) | 1.19 (0.99 - 1.42) | |
| Serum creatinine | < 120 mmol/L | Ref | Ref | Ref |
| ≥ 120 mmol/L | 0.76 (0.31 - 1.86) | 0.60 (0.15 - 2.46) | 1.12 (0.63 - 1.99) | |
| Third ART drug | Nevirapine | Ref | Ref | Ref |
| Efavirenz | 0.69 (0.57 - 0.84) | 1.13 (0.89 - 1.43) | 1.15 (1.03 - 1.29) | |
All of the above covariates were included in the Cox proportional hazards model. We also included nucleoside reverse transcriptase inhibitor backbone. WHO = World Health Organization, ART = antiretroviral therapy
Mortality
Overall mortality for the cohort was 6.6 per 100 person-years (95%CI = 6.0–7.2), with considerable higher mortality noted in the first 90 days (13.5 per 100 person-years; 95%CI = 12.1–15.1) than after 90 days (3.3 per 100 person-years; 95%CI = 2.8–3.9; FIGURE 3B). In multivariable Cox proportional hazards models, overall mortality for those starting TDF were not statistically different from those initiating ZDV (AHR 0.81, 95%CI = 0.62–1.06) or d4T (AHR = 1.03, 95%CI = 0.74–1.43). These trends were consistent in sub-analyses restricted to the first 90 days or after 90 days. Low BMI, low CD4 count, low hemoglobin, and advanced disease stage at baseline were all associated with elevated hazard of mortality. Women had higher risk of death, while individuals on tuberculosis treatment at time of ART initiation had lower risk of death (Table 3).
Programmatic failure
We observed a high rate of programmatic failure within the cohort (31.0 per 100 person-years; 95%CI = 30.0–32.3). The overall rate was 32.2 per 100 person-years (95%CI = 30.5–33.9) for TDF; 28.1 per 100 person-years (95%CI = 25.9–30.5) for ZDV; and 32.2 per 100 person-years (95%CI = 28.5–36.0) for d4T (Figure 3C). In adjusted models, hazards for programmatic failure among the ZDV and d4T groups were not statistically different from that of TDF (Table 2). Factors associated with programmatic failure were similar to those observed for the mortality outcome (Table 3).
Changes in renal function
Overall, 3539 of 6164 (57%) cohort members had creatinine clearance data available within the six-month visit window. This was highest among those initiating TDF (2759 of 3776; 73%), followed by ZDV (523 of 1646; 32%) and d4T (257 of 742; 35%). The mean change between baseline (i.e. ART initiation) and six months was –14.7 mL/min for TDF, –12.7 mL/min for ZDV, and –13.8 mL/min for d4T (p > 0.05 for all comparisons). At six months, the proportion of individuals with creatinine clearance < 50 mL/min was 73 of 2759 (2.6%; 95%CI= 2.1–3.3%) for TDF, 5 of 523 (1.0%; 95%CI= 0.3–2.2%) for ZDV, and 6 of 257 (2.3%; 95%CI= 0.9–5.0%) for d4T. The proportion in the TDF group was similar to that of d4T (p = 0.76), but higher than that of ZDV (p = 0.02).
At 12 months, 1402 of 3023 (46%) cohort members had creatinine clearance information available. Again, this was higher among individuals starting TDF (960 of 1560; 62%) compared to ZDV (294 of 1035; 28%) and d4T (148 of 428; 35%). Mean change between baseline and 12 months were –22.0 mL/min for TDF, –23.7 mL/min for ZDV, and –22.8 mL/min for d4T (p > 0.05 for all comparisons). At 12 months, the proportion of individuals with creatinine clearance < 50 mL/min was 30 of 960 (3.1%; 95%CI= 2.1–4.4%) for TDF, 7 of 294 (2.4%; 95%CI= 1.0–4.8%) for ZDV, and 7 of 148 (4.7%; 95%CI= 1.9–9.5%) for d4T had creatinine clearance < 50 mL/min. The proportions for d4T (p = 0.31) and ZDV (p = 0.51) were not statistically different compared to that of TDF.
DISCUSSION
Our early experience demonstrates that TDF is associated with fewer drug substitutions when compared to ZDV and d4T, a difference most pronounced in the first 90 days following ART initiation. When we compared the drug regimens according to other clinical and programmatic outcomes, no differences were noted. Although these results should be considered preliminary, the overall benefit associated with TDF is encouraging for programs that have incorporated the agent into first-line ART.
Rates for drug substitution for ZDV and d4T were consistent with our previous analysis of the Lusaka cohort.8 Most substitutions occurred within the first 90 days, particularly for ZDV. After 90 days, the rates for ZDV and d4T substitutions converged but remained higher than that of TDF. In multivariable Cox proportional hazards models, the risk for drug substitution for ZDV was nearly 7-fold higher than TDF during the 90 first days, but then approximated that of TDF in the interval that followed. Similar trends were observed for d4T, but significant differences were noted in both periods. These findings are consistent with data from clinical trials of TDF, where the agent was associated with fewer adverse events when compared to either ZDV or d4T.1, 2 They also demonstrate the positive impact of TDF in terms of regimen tolerability, a critical characteristic in settings where drug options may be limited.27
TDF has been shown to be an effective component of ART in a number of clinical trials. In separate studies, TDF-based regimens were found to be comparable to d4T-based regimens and superior to ZDV-based regimens in terms of virologic suppression.1, 2 Because clinically-evident disease progression is known to lag behind virologic treatment failure, we were not surprised to see the similar survival rates among the three comparison groups during this relatively short follow-up period. There appeared to be a trend towards improved survival associated with ZDV in our overall analysis, but it was not statistically significant. We believe this to be a limitation of our observational database, likely from the high degree of switching within the first 90 days among patients prescribed ZDV. It is also possible that, despite our efforts to control for disease status on our multivariable models, there was residual confounding from the considerably better health status among patients initiating ZDV.
Although many cohorts have focused solely on mortality as an outcome, the high rate of follow-up losses observed in many African programs suggests that ascertainment of vital status may be incomplete.15, 28, 29 Even when an “active” system for case finding is employed – as has been done in our setting – reporting of deaths may be delayed or missed altogether.30-32 For this reason, we evaluated the outcome of program failure to provide a comprehensive, composite metric by accounting for death, program withdrawals, and follow-up losses. We found that the initial drug regimen was not related to differences in overall program failure. More targeted work is needed to determine whether TDF-based regimens, because of their reduced pill burden, can lead to improved adherence, retention, and virologic outcomes.
Although creatinine clearance data were not available for a significant proportion of cohort members – a noted limitation of this exploratory analysis – our results provide some reassurance regarding the impact of TDF-based ART on renal function at a population level. Unlike what has been observed in other African programs,33, 34 mean creatinine clearance appeared to decrease over time across all patients initiating ART, but it is unclear whether these changes are clinically meaningful. Less than 3% of patients initiating TDF had a decline of creatinine clearance to below 50 mL/min, a percentage similar to that of ZDV and d4T at 12 months. This finding is consistent with clinical trials data.35, 36 Future work should focus on identifying cost-effective and resource-appropriate algorithms for the monitoring of renal function among patients on long-term TDF. Although the renal failure appears to be a rare complication, it is difficult to detect clinically and may lead to severe long-term sequelae.
To our knowledge, this is the first report of clinical and programmatic outcomes associated with TDF-based ART in sub-Saharan Africa. We were able to reliably capture drug dispensations and link them to medical and outcomes information for a large population of adults on HIV treatment. However, we note several limitations. First, like many observational cohort analyses, there are inherent boundaries to the statistical methods used to draw associations between the drug regimens and clinical outcomes. Patients were allocated to the different comparison groups for reasons that were both selective (e.g. medical contraindications) and random (e.g. drug availability, provider preferences). We attempted to adjust for many of these potential effects through multivariable regression, but acknowledge the possibility of residual confounding. Second, in an effort to minimize “confounding by indication,” we restricted our analysis cohort to individuals without anemia or severe renal insufficiency. Although we believe this approach was effective, it did limit the number of individuals who could contribute person-time in our analysis. Future work should consider alternative methodologies (e.g. use of propensity scores) to limit such biases without sacrificing sample size. Finally, our inability to reliably measure treatment failure was another limitation of this report. Numerous studies have highlighted the poor performance of immunologic algorithms 37-39 and the cost of routine virologic monitoring is prohibitive in our setting. For those reasons, we elected to focus on other clinical (e.g. mortality, toxicity) and programmatic (e.g. retention) outcomes for this analysis.
In summary, we observed favorable early outcomes with TDF-based ART. TDF was better tolerated, an important consideration in settings where drug options are limited. No differences were noted among regimens in terms of mortality or program failure. In a limited subset analysis, we found a low prevalence of severe renal insufficiency (i.e. < 50 mL/min) at six and 12 months following ART initiation, with no increased risk associated with TDF use. Although longer term data are clearly needed to fully validate Zambia's policy choice, these findings demonstrate the advantages of TDF-based regimens in African settings and support their continued use in the context of rapid service expansion. They also suggest that the up-front investments in first-line therapy – such as with TDF – may be a cost-effective strategy to increase regimen durability and improve overall patient outcomes.
Acknowledgements
The authors acknowledge the Zambian Ministry of Health for consistent and high-level support of operations research in the context of HIV program expansion. The findings and conclusions included herein are solely the responsibility of the authors and do not necessarily represent the official position of the Centers for Disease Control and Prevention.
Funding source: The work reported herein was supported in part by the President's Emergency Plan for AIDS Relief through a multi-country grant to the Elizabeth Glaser Pediatric AIDS Foundation from the U.S. Department of Health and Human Services and Centers for Disease Control and Prevention's Global AIDS Program (cooperative agreement U62/CCU12354), and a grant for Operations Research for AIDS Care and Treatment in Africa from the Doris Duke Charitable Foundation (2005047). Additional investigator salary or trainee support is provided by the National Institutes of Health (K01-TW06670; K01-TW05708; K23-AI01411; P30-AI027767) and a Clinical Scientist Development Award from the Doris Duke Charitable Foundation (2007061).
Footnotes
Conference presentation: This work was presented in part at the 16th Conference on Retroviruses and Opportunistic Infections (Abstract 142), held in Montreal Canada on February 8-11, 2009.
REFERENCES
- 1.Gallant JE, Staszewski S, Pozniak AL, et al. Efficacy and safety of tenofovir DF vs stavudine in combination therapy in antiretroviral-naive patients: a 3-year randomized trial. JAMA. 2004 Jul 14;292(2):191–201. doi: 10.1001/jama.292.2.191. [DOI] [PubMed] [Google Scholar]
- 2.Gallant JE, DeJesus E, Arribas JR, et al. Tenofovir DF, emtricitabine, and efavirenz vs. zidovudine, lamivudine, and efavirenz for HIV. N Engl J Med. 2006 Jan 19;354(3):251–260. doi: 10.1056/NEJMoa051871. [DOI] [PubMed] [Google Scholar]
- 3.Willig JH, Abroms S, Westfall AO, et al. Increased regimen durability in the era of once-daily fixed-dose combination antiretroviral therapy. AIDS. 2008 Oct 1;22(15):1951–1960. doi: 10.1097/QAD.0b013e32830efd79. [DOI] [PMC free article] [PubMed] [Google Scholar]
- 4.DART Virology Group and Trial Team Virological response to a triple nucleoside/nucleotide analogue regimen over 48 weeks in HIV-1-infected adults in Africa. AIDS. 2006 Jun 26;20(10):1391–1399. doi: 10.1097/01.aids.0000233572.59522.45. [DOI] [PubMed] [Google Scholar]
- 5.Medecins Sans Frontieres [March 2, 2009];Untangling the web of antiretroviral price reductions: 11th edition. http://www.msfaccess.org.
- 6.Mulenga LB, Kruse G, Lakhi S, et al. Baseline renal insufficiency and risk of death among HIV-infected adults on antiretroviral therapy in Lusaka, Zambia. AIDS. 2008 Aug 20;22:1821–1827. doi: 10.1097/QAD.0b013e328307a051. [DOI] [PMC free article] [PubMed] [Google Scholar]
- 7.Mwinga A. Inclusion of a tenofovir-based first-line regimen in Zambia: a bold step forward?. Paper presented at: 2007 HIV/AIDS Implementer's Meeting; Kigali, Rwanda. 2007. [Google Scholar]
- 8.Stringer JS, Zulu I, Levy J, et al. Rapid scale-up of antiretroviral therapy at primary care sites in Zambia: feasibility and early outcomes. JAMA. 2006 Aug 16;296(7):782–793. doi: 10.1001/jama.296.7.782. [DOI] [PubMed] [Google Scholar]
- 9.Bolton-Moore C, Mubiana-Mbewe M, Cantrell RA, et al. Clinical outcomes and CD4 cell response in children receiving antiretroviral therapy at primary health care facilities in Zambia. JAMA. 2007 Oct 24;298(16):1888–1899. doi: 10.1001/jama.298.16.1888. [DOI] [PubMed] [Google Scholar]
- 10.Ssali F, Stohr W, Munderi P, et al. Prevalence, incidence and predictors of severe anaemia with zidovudine-containing regimens in African adults with HIV infection within the DART trial. Antivir Ther. 2006;11(6):741–749. doi: 10.1177/135965350601100612. [DOI] [PubMed] [Google Scholar]
- 11.Moh R, Danel C, Sorho S, et al. Haematological changes in adults receiving a zidovudine-containing HAART regimen in combination with cotrimoxazole in Cote d'Ivoire. Antivir Ther. 2005;10(5):615–624. doi: 10.1177/135965350501000510. [DOI] [PubMed] [Google Scholar]
- 12.Goldman JD, Cantrell RA, Mulenga LB, et al. Simple adherence assessments to predict virologic failure among HIV-infected adults with discordant immunologic and clinical responses to antiretroviral therapy. AIDS Res Hum Retroviruses. 2008 Aug;24(8):1031–1035. doi: 10.1089/aid.2008.0035. [DOI] [PMC free article] [PubMed] [Google Scholar]
- 13.Fusco H, Hubschman T, Mweeta V, et al. Electronic patient tracking supports rapid expansion of HIV care and treatment in resource-constrained settings [Abstract MoPe11.2C37].. Paper presented at: 3rd IAS Conference on HIV Pathogenesis and Treatment; Rio de Janiero, Brazil. 2005. [Google Scholar]
- 14.Morris MB, Chapula BT, Chi BH, et al. Use of task-shifting to rapidly scale-up HIV treatment services: experiences from Lusaka, Zambia. BMC Health Serv Res. 2009;9:5. doi: 10.1186/1472-6963-9-5. [DOI] [PMC free article] [PubMed] [Google Scholar]
- 15.Krebs DW, Chi BH, Mulenga Y, et al. Community-based follow-up for late patients enrolled in a district-wide programme for antiretroviral therapy in Lusaka, Zambia. AIDS Care. 2008 Mar;20(3):311–317. doi: 10.1080/09540120701594776. [DOI] [PubMed] [Google Scholar]
- 16.Walker AM. Confounding by indication. Epidemiology. 1996 Jul;7(4):335–336. [PubMed] [Google Scholar]
- 17.Braitstein P, Brinkhof MW, Dabis F, et al. Mortality of HIV-1-infected patients in the first year of antiretroviral therapy: comparison between low-income and high-income countries. Lancet. 2006 Mar 11;367(9513):817–824. doi: 10.1016/S0140-6736(06)68337-2. [DOI] [PubMed] [Google Scholar]
- 18.Zachariah R, Fitzgerald M, Massaquoi M, et al. Risk factors for high early mortality in patients on antiretroviral treatment in a rural district of Malawi. AIDS. 2006 Nov 28;20(18):2355–2360. doi: 10.1097/QAD.0b013e32801086b0. [DOI] [PubMed] [Google Scholar]
- 19.Mugavero MJ, May M, Harris R, et al. Does short-term virologic failure translate to clinical events in antiretroviral-naive patients initiating antiretroviral therapy in clinical practice? AIDS. 2008 Nov 30;22(18):2481–2492. doi: 10.1097/QAD.0b013e328318f130. [DOI] [PMC free article] [PubMed] [Google Scholar]
- 20.Sikka R, Xia F, Aubert RE. Estimating medication persistency using administrative claims data. Am J Manag Care. 2005 Jul;11(7):449–457. [PubMed] [Google Scholar]
- 21.Dezii CM. Persistence with drug therapy: a practical approach using administrative claims data. Manag Care. 2001 Feb;10(2):42–45. [PubMed] [Google Scholar]
- 22.Chi BH, Cantrell RA, Zulu I, et al. Adherence to first-line antiretroviral therapy affects non-virologic outcomes among patients on treatment for more than 12 months in Lusaka, Zambia. Int J Epidemiol. 2009 Jun;38(3):746–756. doi: 10.1093/ije/dyp004. [DOI] [PMC free article] [PubMed] [Google Scholar]
- 23.Winston A, Amin J, Mallon P, et al. Minor changes in calculated creatinine clearance and anion-gap are associated with tenofovir disoproxil fumarate-containing highly active antiretroviral therapy. HIV Med. 2006 Mar;7(2):105–111. doi: 10.1111/j.1468-1293.2006.00349.x. [DOI] [PubMed] [Google Scholar]
- 24.Karras A, Lafaurie M, Furco A, et al. Tenofovir-related nephrotoxicity in human immunodeficiency virus-infected patients: three cases of renal failure, Fanconi syndrome, and nephrogenic diabetes insipidus. Clin Infect Dis. 2003 Apr 15;36(8):1070–1073. doi: 10.1086/368314. [DOI] [PubMed] [Google Scholar]
- 25.Cockcroft DW, Gault MH. Prediction of creatinine clearance from serum creatinine. Nephron. 1976;16(1):31–41. doi: 10.1159/000180580. [DOI] [PubMed] [Google Scholar]
- 26. [March 1, 2009];Gilead Sciences. Full prescription information for Truvada, updated November 2008. http://ww.truvada.com/fpi.pdf.
- 27.Hawkins C, Achenbach C, Fryda W, Ngare D, Murphy R. Antiretroviral durability and tolerability in HIV-infected adults living in urban Kenya. J Acquir Immune Defic Syndr. 2007 Jul 1;45(3):304–310. doi: 10.1097/QAI.0b013e318050d66c. [DOI] [PubMed] [Google Scholar]
- 28.Rosen S, Fox MP, Gill CJ. Patient retention in antiretroviral therapy programs in sub-Saharan Africa: a systematic review. PLoS Med. 2007 Oct 16;4(10):e298. doi: 10.1371/journal.pmed.0040298. [DOI] [PMC free article] [PubMed] [Google Scholar]
- 29.Brinkhof MW, Dabis F, Myer L, et al. Early loss of HIV-infected patients on potent antiretroviral therapy programmes in lower-income countries. Bull World Health Organ. 2008 Jul;86(7):559–567. doi: 10.2471/BLT.07.044248. [DOI] [PMC free article] [PubMed] [Google Scholar]
- 30.Brinkhof MW, Pujades-Rodriguez M, Egger M. Mortality of patients lost to follow-up in antiretroviral treatment programmes in resource-limited settings: systematic review and meta-analysis. PLoS One. 2009;4(6):e5790. doi: 10.1371/journal.pone.0005790. [DOI] [PMC free article] [PubMed] [Google Scholar]
- 31.Geng EH, Emenyonu N, Bwana MB, Glidden DV, Martin JN. Sampling-based approach to determining outcomes of patients lost to follow-up in antiretroviral therapy scale-up programs in Africa. JAMA. 2008 Aug 6;300(5):506–507. doi: 10.1001/jama.300.5.506. [DOI] [PMC free article] [PubMed] [Google Scholar]
- 32.Yu JK, Chen SC, Wang KY, et al. True outcomes for patients on antiretroviral therapy who are “lost to follow-up” in Malawi. Bull World Health Organ. 2007 Jul;85(7):550–554. doi: 10.2471/BLT.06.037739. [DOI] [PMC free article] [PubMed] [Google Scholar]
- 33.Peters PJ, Moore DM, Mermin J, et al. Antiretroviral therapy improves renal function among HIV-infected Ugandans. Kidney Int. 2008 Oct;74(7):925–929. doi: 10.1038/ki.2008.305. [DOI] [PubMed] [Google Scholar]
- 34.Reid A, Stohr W, Walker AS, et al. Severe renal dysfunction and risk factors associated with renal impairment in HIV-infected adults in Africa initiating antiretroviral therapy. Clin Infect Dis. 2008 Apr 15;46(8):1271–1281. doi: 10.1086/533468. [DOI] [PubMed] [Google Scholar]
- 35.Izzedine H, Hulot JS, Vittecoq D, et al. Long-term renal safety of tenofovir disoproxil fumarate in antiretroviral-naive HIV-1-infected patients. Data from a double-blind randomized active-controlled multicentre study. Nephrol Dial Transplant. 2005 Apr;20(4):743–746. doi: 10.1093/ndt/gfh658. [DOI] [PubMed] [Google Scholar]
- 36.Gallant JE, Winston JA, DeJesus E, et al. The 3-year renal safety of a tenofovir disoproxil fumarate vs. a thymidine analogue-containing regimen in antiretroviral-naive patients. AIDS. 2008 Oct 18;22(16):2155–2163. doi: 10.1097/QAD.0b013e3283112b8e. [DOI] [PubMed] [Google Scholar]
- 37.Reynolds SJ, Nakigozi G, Newell K, et al. Failure of immunologic criteria to appropriately identify antiretroviral treatment failure in Uganda. AIDS. 2009 Mar 27;23(6):697–700. doi: 10.1097/QAD.0b013e3283262a78. [DOI] [PMC free article] [PubMed] [Google Scholar]
- 38.Badri M, Lawn SD, Wood R. Utility of CD4 cell counts for early prediction of virological failure during antiretroviral therapy in a resource-limited setting. BMC Infect Dis. 2008;8:89. doi: 10.1186/1471-2334-8-89. [DOI] [PMC free article] [PubMed] [Google Scholar]
- 39.Bisson GP, Gross R, Bellamy S, et al. Pharmacy refill adherence compared with CD4 count changes for monitoring HIV-infected adults on antiretroviral therapy. PLoS Med. 2008 May 20;5(5):e109. doi: 10.1371/journal.pmed.0050109. [DOI] [PMC free article] [PubMed] [Google Scholar]





