Abstract
The tert-butyl N-hydroxycarbamate derived nitroso reagent 1 reacted with N-Cbz protected spirocyclic diene 2 to provide spirocycloadduct 3. Here we describe the efficient conversion of 3 into the novel carbocyclic nucleoside spironoraristeromycin 4.
Introduction
Synthetic and naturally occurring carbocyclic nucleosides (Figure 1) frequently exhibit potent antiviral and/or anticancer activities. 1 Aristeromycin and neplanocin A, isolated from Streptomyces citricolor2 and Ampullariella regularis,3 possess strong antiviral activity due to their potent inhibition of the cellular enzyme S-adenosyl homocysteine hydrolase.4 Neplanocin A has also demonstrated anticancer activity, with particular selectivity for leukemia.5 Carbovir was discovered and subsequently shown to possess significant in vitro activity as an inhibitor of HIV reverse transcriptase. 6 The cyclopropylamino derivative of carbovir, abacavir (Ziagen®, 1592U89), is an FDA approved anti HIV therapeutic agent.7 Other important members of the carbocyclic nucleoside class include modification of the carbon ring per se. Cyclopentenyl cytosine contains an unsaturated ring; noraristeromycin places the 5’ hydroxyl equivalent directly on the cyclopentane ring. Such ring modifications produce bioactive molecules. Cyclopentenyl cytosine exhibits both antiviral 8 and anticancer activities. 9 Noraristeromycin possesses improved antiviral activity and less cytoxicity relative to aristeromycin,10 thus it may be fruitful to assess whether increased potency and lower cytotoxicity track with other truncated carbocyclic nucleosides. In the search for safe and effective new carbocyclic nucleoside drugs, an efficient, divergent synthetic route is needed to readily incorporate various modifications.
Figure 1.
Representative Carbocyclic Nucleosides and Analogs
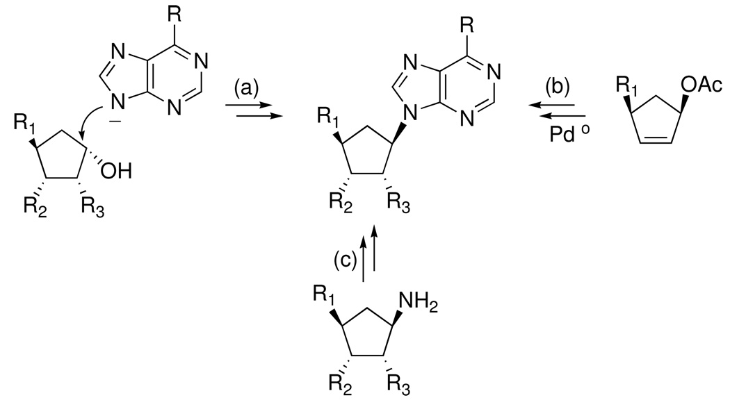
Numerous synthetic approaches to carbocyclic nucleosides and analogs are known.11 Three routes frequently used to form the key carbocycle-nucleobase bond (Scheme 1) are: (a) nucleophilic displacement of an appropriately substituted hydroxycyclopentane by a nucleobase analog with net inversion of stereochemistry,12 (b) use of a Pd-catalyzed allylic alkyation of an allylic cyclopentene skeleton with net retention of configuration,13 and (c) elaboration of the heterocyclic nucleobase from an aminocyclopentane.14 Replacing the furanose oxygen of the corresponding nucleoside with a methylene unit renders the resulting carbocyclic nucleosides resistant to cleavage by phosphorylases and hydrolases.15 However, the related conformational changes have the potential to affect bioactivity.16 To avoid this disadvantage and to enhance the activity of carbocyclic nucleosides, a number of research groups have reported syntheses of conformationally restricted analogs, including the incorporation of a spirocycle in the five membered ring. 17 We recently reported a convenient synthetic approach to simple spirocarbocyclic nucleoside analogs using iminonitroso Diels-Alder reactions. 18 Here we describe a diastereoselective synthesis of a spironoraristeromycin using acylnitroso Diels-Alder chemistry.
Scheme 1.
Results and Discussion
The acylnitroso Diels-Alder reaction diene partner, spirocycle 2, can be prepared on 20mmol scale in a 64% overall yield from cyclopentadiene.18 Though many methods for the preparation of acyl nitroso reagents have been reported,19 oxidative conditions using sodium periodate20 were adopted for the ability to perform well on scale. To install orthogonal protecting groups and thus facilitate efficient synthesis of the desired product, tert-butyl hydroxycarbamate was selected as the acylnitroso precursor for condensation with Cbz-protected spirocyclic diene 2 (Scheme 2). The key coupling product, racemic spirocycloadduct 3, was generated in 70% average yield in small scale reactions, but on larger scale (~40 mmol), was prone to lower yields as heavy precipitation impeded proper mixing. To overcome this issue, a few modifications were made to the reaction and work-up procedures: 1) use of an overhead stirring device; 2) use of a saturated aqueous sodium periodate solution followed by the addition of water or methanol as the mixture became viscous, and 3) trituration of the crude reaction mixture with ether to afford a 61% yield of pure compound 3. Direct dihydroxylation of compound 3 using N-methyl morpholine oxide and osmium tetroxide in THF21 failed to provide the desired diol derivative 5. Thus, we chose to cleave the N-O bond before attempting the dihydroxylation. N-O reduction was accomplished using molybdenum hexacarbonyl and sodium borohydride22 at 80 °C over 8 h to give alcohol 6 in high yield.
Scheme 2.
Compound 6 was then acetylated to provide compound 7 in 90% yield. Compound 7 is a useful and compact molecular scaffold for diversification as it contains three differentially protected heteroatom functionalities in addition to the alkene group. For purposes of this disclosure, the primary amine and alkene functions of 7 were exploited to prepare a novel spiro-noraristeromycin bearing a secondary amine.
Conversion of 7 to spiro-noraristeromycin 4 is depicted in Scheme 3, Scheme 4 and Scheme 5. The Boc group was selectively removed from 7 in quantitative yield to afford primary amine 8. Initial attempts to condense compound 8 with 4,6-dichloro-5-aminopyrimidine under various reported conditions 23 were ineffective, presumably due to steric hindrance of the spirocyclic ring neighboring the amine nucleophile. However, use of DIPEA as base along with the addition of 50mol per cent DMAP and extended reaction in a sealed tube at 110 °C afforded key intermediate 10 in 34% yield. Alternatively, use of 4,6-dichloro-5-nitropyrimidine as the electrophile for the SNAr reaction gave 9 in 80% yield.24 Subsequent indium-mediated nitro group reduction of 9 produced 10 in 64% overall yield for the 2-step sequence.25
Scheme 3.
Scheme 4.
Scheme 5.
The next stage in the synthesis involved formation of the 6-chloropurine intermediate 11 (Scheme 4) with triethylorthoformate as the purine C8 carbon source. Initial condensations with catalytic amounts of (±)-camphorsulfonic acid (CSA) yielded only partial conversion. However, addition of a full equivalent of CSA provided condensation product 11 in quantitative yield. Dihydroxylation of compound 11 using N-methyl morpholine oxide and osmium tetroxide required 2 days for completion to afford an 82% yield of compound 12 as a single diastereomer.
A detailed NMR study was performed to determine the facial selectivity for dihydroxylation of compound 11. Based on an MM2 model of compound 12 using Chem-3D (Figure 2), the dihedral angle for H(1)-C-C-H(2) is nearly 90 degrees, whereas the H(1)-C-C-H(2) dihedral angle was calculated to be 34.5 degrees for the other, all syn, diastereomer from dihydroxylation on the same face as the C(1) and C(2) substituents. Thus, consistent with a very small coupling constant between H(1) and H(2), the structure of 12 was assigned as shown, based on the Karplus equation.26 The single peak for H(1) that appears in the 1H NMR spectrum of compound 12 reflected the anti relationship for H(1) and H(2). To confirm this result, compound 12 was subjected to a 2D-ROSEY study that showed a strong NOE response between H(1) and H(4). However, no NOE response between H(1) and H(3) was observed, indicating that H(1) lies on the opposite face of the carbocyclic ring relative to H(3).
Figure 2.
Chem 3D-MM2 model of Compound 12
Ammonolysis of compound 12 was then carried out using 2.0 M methanolic ammonia in a sealed tube (Scheme 5). This reaction procedure also removed the acetyl protecting group to produce triol 13. However, adenine derivative 13 was obtained in only 33% yield due to competitive formation of the 6-methoxy purine derivative 14 (47%) by methanolysis. A modified ammonolysis of compound 12 was then carried out using saturated ammonia/n-butanol in a sealed tube at 110 °C to provide 13 in 75% yield. Hydrogenolysis of the Cbz group in 13 afforded sprionoraristereomycin 4 in 92% yield.
Conclusion
Acylnitroso Diels-Alder reaction with N-Cbz protected spirocyclic diene 2 provided the corresponding cyclcoadduct 3 as a useful scaffold for further derivatization. The synthesis of spironoraristeromycin reported here represents one of many potential applications of this chemistry. Biological studies of the spironoraristeromycin 4 will be reported in due course.
Experimental Section
Benzyl 8-azaspiro[4.5]deca-1,3-diene-8-carboxylate (2)
A 250-mL oven-dried, round-bottomed flask, equipped with a septum with a flow of nitrogen through a needle and a stir bar, was charged with sodium hydride (2.4 g, 60 mmol, 60% in the mineral oil) and anhydrous DMSO (25 mL). The solution was warmed to 75 °C for 45 min to give a gray suspension. The solution was then cooled to 0 °C and anhydrous THF (50 mL) was added followed by dropwise addition of freshly distilled cyclopentadiene (3.8 mL, 45 mmol, in 20 mL of anhydrous THF). A large amount of white precipitate formed and vigorous stirring was required. After stirring for 15 min, benzyl bis(2-chloroethyl)carbamate (5.0 g, 18 mmol) was added and the reaction mixture was stirred at room temperature for 8 h. The solution was quenched with saturated NH4Cl solution (50 mL) and extracted with diethyl ether (3 × 50 mL). The combined organic layers were washed with saturated NaHCO3 solution (50 mL), brine (50 mL) and dried over anhydrous Na2SO4. The resulting liquid was filtered and concentrated under reduced pressure. The residue was purified on silica (hexanes:EtOAc = 15:1, Rf = 0.2) to yield 3.1 g (64%) of 2 as a light yellow oil. 1H NMR (300 MHz, CDCl3) δ 7.32 (m, 5H), 6.48 (m, 2H), 6.31 (m, 2H), 5.16 (s, 2H), 3.64 (m, 4H), 1.55 (m, 4H); 13C NMR (75 MHz, CDCl3) δ 155.3, 142.2, 136.8, 129.5, 128.4, 127.8, 127.6, 66.9, 55.1, 48.8, 43.3, 39.4, 32.2, 30.7. HRMS calcd for C17H20NO2 (M+H)+, 270.1494; found, 270.1505.
(±)-1'-Benzyl 3-tert-butyl 2-oxa-3 azaspiro[bicyclo[2.2.1]hept[5]ene-7,4'-piperidine]-1',3-dicarboxylate (3)
A 500-mL round-bottomed flask was charged with 200 mL of methanol, tert-butyl hydroxycarbamate (7.4 g, 56 mmol) and compound 2 (10.0 g, 37 mmol). The solution was cooled to 0 °C. A solution of sodium periodate (12.0 g, 56 mmol) in water (50 mL) was added to the reaction mixture dropwise at 0 °C. The reaction mixture was allowed to warm to room temperature with stirring until TLC analysis indicated consumption of the starting diene 2 (~4 h). The resulting mixture was filtered and then concentrated to about 50–75 mL. The concentrate was extracted with dichloromethane (3 × 50 mL) and the combined organic layers washed with saturated NaHCO3 solution (50 mL), brine (50 mL), then dried over anhydrous Na2SO4, filtered, and concentrated under reduced pressure to give a brown oil. The oil was triturated with ether and concentrated to give a yellowish solid. The solid was washed thoroughly with ether to give 9.0 g (61%) of 3 as a white solid. Mp: 157–158 °C. 1H NMR (300 MHz, CDCl3) δ 7.26 (m, 5H), 6.27 (br, 2H), 5.04 (s, 2H), 4.66 (s, 1H), 4.46 (s, 1H), 3.41 (dd, J = 5.7, 5.8 Hz, 2H), 3.29 (dd, J = 5.7, 5.8 Hz, 2H), 1.74 (m, 2H), 1.39 (m, 11H); 13C NMR (75 MHz, CDCl3) δ 155.1, 136.6, 131.4, 128.3, 127.9, 127.8, 86.5, 82.2, 67.0, 60.1, 41.9, 41.4, 28.0. IR (neat, cm−1): 2925, 1694, 1682, 1455. HRMS calcd for C22H29N2O5 (M+H)+, 401.2076; found, 401.2081.
(±)-(1S*,4R*)-Benzyl 1-(tert-butoxycarbonylamino)-4-hydroxy-8-azaspiro[4.5]dec-2-ene-8-carboxylate (6)
A 500-mL round-bottomed flask was charged with 200 mL of acetonitrile, 50 mL of water, and spirocycloadduct 3 (9.0 g, 22 mmol). To this was added molybdenum hexacarbonyl (2.4 g, 9.0 mmol) and the reaction mixture was warmed to 40 °C. Sodium borohydride (2.6 g, 68 mmol) was added to the mixture in small portions with stirring; mild to vigorous effervescence was observed. The resulting mixture was then heated at 80 °C for 8 h, then allowed to cool to room temperature and filtered through celite®, concentrated to about 50 mL and extracted with ethyl acetate (3 × 50 mL). The combined organic layers were washed with saturated NaHCO3 (30 mL), then brine (30 mL), dried over anhydrous Na2SO4 and filtered. The organic layer was then concentrated under reduced pressure and the crude residue purified by flash chromatography (hexanes:EtOAc = 3:1, Rf = 0.1) to give 8.0 g (90%) of 6 as a yellow oil. 1H NMR (500 MHz, CDCl3) δ 7.35 (m, 5H), 6.03 (m, 1H), 5.87 (m, 1H), 5.11 (s, 3H), 4.94 (s, 1H), 4.16 (m, 1H), 4.02 (m, 1H), 3.51 (m, 4H), 1.80-1.40 (m, 13H); 13C NMR (125 MHz, CDCl3) δ 155.6, 136.8, 135.0, 128.4, 127.9, 127.8, 79.8, 67.0, 62.2, 45.7, 41.2, 35.6, 28.3, 26.8. IR (neat, cm−1): 3348 (br), 2925, 1694, 1455. HRMS calcd for C22H31N2O5 (M+H)+, 403.2233; found, 403.2220.
(±)-1-Acetoxy-4-(tert-butoxycarbonylamino)-8 azaspiro[4.5] dec-2-ene-8-carboxylate (7)
A 50-mL oven-dried round-bottomed flask, equipped with a septum and nitrogen inlet and stir bar, was charged with anhydrous dichloromethane (20 mL), compound 6 (1.6 g, 4.0 mmol), pyridine (2.0 mL, 22 mmol), acetic anhydride (2.0 mL, 22 mmol), and DMAP (0.24 g, 2.0 mmol). The resulting mixture was stirred at room temperature for 8 h. The organic solution was then washed with 0.1 N HCl (2 × 20 mL), brine (20 mL), saturated NaHCO3 solution (2 × 20 mL), brine (20 mL), dried over anhydrous Na2SO4 and filtered. The organic layer was concentrated under reduced pressure to give a light yellow solid. The solid was washed with hexanes and filtered to give 1.6 g (90%) of 7 as a white solid. Mp: 88–89 °C. 1H NMR (600 MHz, CDCl3) δ 7.32 (m, 5H), 6.01 (m, 1H), 5.94 (m, 1H), 5.22 (m, 1H), 5.08 (m, 2H), 4.42 (m, 2H), 3.55 (m, 2H), 3.41 (m, 2H), 2.02 (s, 3H), 1.61 (m, 2H), 1.48 (m, 2H), 1.42 (s, 9H); 13C NMR (150 MHz, CDCl3) δ 170.1, 155.0, 136.9, 136.6, 131.4, 128.3, 127.8, 127.6, 81.8, 79.8, 66.9, 60.5, 44.7, 40.8, 35.2, 28.2, 26.4, 20.9. IR (neat, cm−1): 2923, 1687, 1585, 1455. HRMS calcd for C24H33N2O6 (M+H)+, 445.2339; found, 445.2349.
(±)-(1R*,4S*)-Benzyl 1-acetoxy-4-(6-chloro-5-nitropyrimidin-4-ylamino)-8-azaspiro[4.5]dec-2-ene-8-carboxylate (9)
A 25-mL oven-dried, round-bottomed flask, equipped with a septum with a flow of nitrogen through a needle and a stir bar, was charged with sodium bicarbonate (0.64 g, 6.0 mmol), compound 8 as the TFA salt (1.4 g, 3.0 mmol), 4,6-dichloro-5-nitropyrimidine (0.58 g, 3.0 mmol), and 8 mL of anhydrous THF in the indicated order. The mixture was refluxed for 4 h and allowed to cool to room temperature, filtered and concentrated to give 1.2 g (80%) of 9 as a yellow oil. 1H NMR (600 MHz, CDCl3) δ 8.40 (s, 1H), 7.34 (m, 5H), 6.22 (m, 1H), 6.15 (m, 1H), 5.37 (m, 1H), 5.28 (m, 1H), 5.08 (s, 3H), 3.66-3.33 (m, 4H), 2.12 (m, 4H), 1.61 (m, 3H); 13C NMR (150 MHz, CDCl3) δ 170.2, 158.2, 155.1, 136.2, 134.0, 128.5, 128.0, 127.9, 80.8, 67.2, 61.2, 45.9, 40.8, 28.4, 20.9. IR (neat, cm−1): 2923, 1694, 1538. HRMS calcd for C23H25 35ClN5O6 (M+H)+, 502.1493; found, 502.1501.
(±)-(1R*,4S*)-Benzyl 1-acetoxy-4-(5-amino-6-chloropyrimidin-4-ylamino)-8-azaspiro[4.5]dec-2-ene-8-carboxylate (10)
Method A
A 25-mL round-bottomed flask was charged with 8 mL of ethanol, 4 mL of 15% aqueous NH4Cl solution and compound 9 (0.80 g, 1.6 mmol). To this was added Indium metal (0.74 g, 6.4 mmol) and the reaction mixture was refluxed for 8 h. The mixture was allowed to cool to room temperature, diluted with 10 mL of water and filtered through celite®. The filtrate was extracted with ethyl acetate (5 × 10 mL). The combined organic extract was dried over anhydrous Na2SO4, filtered and concentrated under reduced pressure. The crude residue was purified by flash chromatography (hexanes:EtOAc = 1:1, Rf = 0.1) to give 0.60 g (80% yield) of 10 as a yellow oil. 1H NMR (500 MHz, CDCl3) δ 8.06 (s, 1H), 7.31 (m, 5H), 6.11 (m, 1H), 6.06 (m, 1H), 5.34 (m, 1H), 5.17 (m, 1H), 5.10 (s, 2H), 4.83 (m, 1H), 3.71 (m, 1H), 3.57 (m, 1H), 3.39 (m, 3H), 3.27 (m, 1H), 2.06 (s, 3H), 1.64 (m, 4H); 13C NMR (125 MHz, CDCl3) δ 170.2, 155.1, 154.4, 149.7, 144.1, 137.1, 136.6, 136.0, 132.0, 128.4, 127.8, 81.8, 67.1, 60.9, 45.4, 40.9, 35.3, 29.1, 26.8, 21.1. IR (neat, cm−1): 2926, 1694, 1574. HRMS calcd for C23H27 35ClN5O4 (M+H)+, 472.1752; found, 472.1750.
Method B
In a 15 mL sealed tube, compound 8 as the TFA salt (0.95 g, 2.0 mmol) was dissolved in n-BuOH (8 mL). To the solution was then added diisopropylethyl amine (2.5 mL, 14 mmol), DMAP (0.12 g, 1.0 mmol), and 5-amino-4,6-dichloropyrimidine (0.98 g, 6.0 mmol). The tube was sealed and heated to 110 °C for 3 d with stirring. The reaction mixture turned a cloudy brown color. It was then allowed to cool to room temperature. The tube was opened and the reaction mixture was then poured into a 100 mL round-bottomed flask and concentrated in vacuo while heated in a water bath (60 °C). The crude residue was purified by flash chromatography (hexanes:EtOAc = 1:1, Rf = 0.1) to give 0.32 g (34%) of 10 as a yellow oil.
(±)-(1R*,4S*)-Benzyl 1-acetoxy-4-(6-chloro-9H-purin-9-yl)-8-azaspiro[4.5]dec-2-ene-8-carboxylate (11)
A 25-mL round-bottomed flask was charged with 7 mL of triethyl orthoformate, (±)-camphorsulfonic acid (CSA) (0.16 g, 0.68 mmol) and compound 10 (0.32 g, 0.68 mmol). The reaction mixture was stirred for 10 h at room temperature, at which time TLC indicated the absence of any starting material. The reaction mixture was quenched with saturated NaHCO3 solution (10 mL) and extracted with ethyl acetate (3 × 10 mL). The organic layers were combined, washed with brine (10 mL) then dried over anhydrous Na2SO4 and filtered. The organic layer was then concentrated under reduced pressure and purified by flash chromatography (hexanes:EtOAc = 3:1, Rf = 0.25) to give 0.33 g of 11 as a light yellow oil in quantitative yield. 1H NMR (500 MHz, CDCl3) δ 8.77 (s, 1H), 8.12 (s, 1H), 7.30 (bs, 5H), 6.46 (dd, J = 2.4, 5.5 Hz, 1H), 6.22 (dd, J = 2.6, 5.7 Hz, 1H), 5.60 (s, 1H), 5.48 (s, 1H), 5.07 (s, 2H), 3.90 (m, 1H), 3.51 (m, 1H), 3.38 (m, 1H), 2.98 (m, 1H), 2.09 (s, 3H), 1.86 (m, 1H), 1.71 (m, 1H), 1.26 (m, 1H), 1.08 (m, 1H); 13C NMR (125 MHz, CDCl3) δ 169.8, 154.9, 152.2, 151.8, 151.3, 144.5, 136.0, 133.6, 131.5, 128.5, 128.1, 127.9, 80.0, 67.2, 65.0, 46.3, 40.7, 35.3, 26.5, 20.9. IR (neat, cm−1): 2911, 1694, 1563, 1436. HRMS (FAB) calcd for C24H25 35ClN5O4 (M+H)+, 482.1595; found 482.1582.
(±)-(1S*,2S*,3S*,4R*)-Benzyl 1-acetoxy-4-(6-chloro-9H-purin-9-yl)-2,3-dihydroxy-8-azaspiro[4.5]decane-8-carboxylate (12)
A 10-mL oven-dried, round-bottomed flask, equipped with a septum with a flow of nitrogen through a needle and a stir bar, was charged with 4 mL of THF, compound 11 (0.32 g, 0.66 mmol), N-methymorpholine N-oxide (0.16 g, 1.4 mmol) and osmium tetroxide (0.6 mL, 0.06 mmol, 2.5%wt in t-butanol). The solution was allowed to stir at room temperature for 2d. After TLC analysis (hexanes:EtOAc = 3:1, Rf = 0.25) indicated that the starting material was consumed, the reaction was quenched with 10% of Na2S2O5 solution (5 mL), and allowed to stir for an additional 30 min. The solution was extracted with ethyl acetate (3 × 5 mL). The combined organic layers were washed with brine (5 mL), dried over anhydrous sodium sulfate and filtered. The solution was concentrated under reduced pressure and the residue was chromatographed on silica (hexanes:EtOAc = 1:1, Rf = 0.1) to yield 0.28 g (82%) of 12 as a yellow oil. 1H NMR (600 MHz, CDCl3) δ 8.74 (s, 1H), 8.13 (s, 1H), 7.29 (bs, 5H), 5.15 (s, 1H), 5.06 (m, 1H), 5.00 (m, 2H), 4.82 (d, J = 10.8 Hz, 1H), 4.21 (dd, J = 2.4, 6.6 Hz, 1H), 3.97 (m, 1H), 3.57 (m, 1H), 3.11 (m, 1H), 2.81 (m, 1H), 2.17 (s, 3H), 2.04 (m, 2H), 1.71 (m, 1H), 0.78 (m, 1H); 13C NMR (150 MHz, CDCl3) δ 170.2, 155.0, 152.6, 152.2, 151.4, 144.7, 144.6, 131.5, 128.4, 128.1, 127.9, 80.3, 74.1, 67.3, 43.2, 40.3, 21.1. IR (neat, cm−1): 3363 (br), 2924, 1674, 1478. HRMS (FAB) calcd for C24H27 35ClN5O6 (M+H)+, 516.1650; found 516.1646.
1-(6-Amino-purin-9-yl)-2,3,4-trihydroxy-8-azaspiro[4.5]decane -8-carboxylic acid benzyl ester (13) (Method C) and 2,3,4-Trihydroxy-4-(6-methoxy-purin-9-yl)-8-aza-spiro[4.5]decane-8-carboxylic acid benzyl ester (14)
In a 15 mL sealed tube, compound 12 (0.28 g, 0.54 mmol) was dissolved in 2.0 M methanolic ammonia (8 mL). The tube was sealed and heated to 45 °C for 2 d with stirring. The reaction mixture was allowed to cool to room temperature and poured into a 100 mL round-bottomed flask and concentrated under reduced pressure. TLC indicated the formation of two major products, which were purified by flash chromatography (0%–40% DCM/MeOH) to give compounds 13 (80 mg, 33% yield) and compound 14 (0.12 g, 47%). Compound 13: 1H NMR (600 MHz, CD3OD) δ 8.32 (s, 1H), 8.27 (s, 1H), 7.30 (m, 5H), 5.05 (m, 1H), 5.03 (m, 1H), 4.74 (m, 1H), 4.08 (m, 2H), 3.92 (m, 1H), 3.33 (m, 4H), 2.02 (m, 2H), 1.81 (m, 1H), 0.55 (m, 1H); 13C NMR (150 MHz, CD3OD) δ 157.4, 156.9, 153.8, 142.1, 138.2, 129.5, 129.0, 79.1, 77.8, 75.2, 68.1, 45.4, 42.4. IR (neat, cm−1): 2935, 1661, 1442. HRMS (FAB) calcd for C22H27N6O5 (M+H)+, 455.1965; found 455.1982.
Compound 14: 1H NMR (600 MHz, CDCl3) δ 8.39 (s, 1H) 8.07 (br, 1H), 7.26 (m, 5H), 5.08 (m, 1H), 4.96 (m, 3H), 4.64 (m, 1H), 4.23 (m, 1H), 4.13 (m, 1H), 4.07 (s, 3H), 3.80 (m, 1H), 3.34 (m, 1H), 3.15 (m, 1H), 3.00 (m, 1H), 2.07 (m, 1H), 1.84 (m, 1H), 1.60 (m, 1H), 0.60 (m, 1H); 13C NMR (150 MHz, CDCl3) δ 166.8, 155.2, 152.0, 142.7, 136.3, 128.4, 128.0, 127.7, 78.0, 74.5, 67.1, 54.5, 40.9, 36.4, 29.7, 28.3. HRMS (FAB) calcd for C23H28N5O6 (M+H)+ 470.2040, found 470.2043
(±)-(1R*,2S*,3R*,4S*)-Benzyl 1-(6-amino-9H-purin-9-yl)-2,3,4-trihydroxy-8-azaspiro[4.5]decane-8-carboxylate (13) (Method D)
In a 15 mL sealed tube, compound 12 (0.10 g, 0.20 mmol) was dissolved in a saturated ammonia in n-BuOH solution (3 mL). The tube was sealed and heated to 110 °C for 4 h with stirring. The reaction mixture turned a brown color and was allowed to cool to room temperature. The tube was opened and the reaction mixture was then poured into a 25-mL round-bottomed flask and concentrated under reduced pressure with gentle heating in a water bath (60 °C). The crude residue was purified by flash chromatography (EtOAc, Rf = 0.2) to give 68 mg (75%) of 13 as a white solid. Mp: 208–210 °C.
(±)-(1S*,2R*,3S*,4R*)-4-(6-Amino-9H-purin-9-yl)-8-azaspiro [4.5] decane-2,3,4-triol (4)
A 10-mL oven-dried, two-necked round-bottomed flask, equipped with a septum with a flow of nitrogen through a needle and a stir bar, was charged with methanol (4 mL), compound 13 (40 mg, 0.088 mmol), and 10% Pd on carbon (15 mg). The vessel was purged with hydrogen using a balloon and the nitrogen was removed. The suspension was allowed to stir at room temperature for 8 h. The suspension was purged with argon gas and filtered and concentrated under reduced pressure to yield 26 mg (92%) of 4 as a white solid. Mp: 255–257 °C. 1H NMR (500 MHz, CD3OD) δ 8.23 (s, 1H), 8.16 (s, 1H), 4.90 (dd, J = 4.5, 11.5 Hz, 1H), 4.70 (d, J = 10.0 Hz, 1H), 4.00 (m, 2H), 3.08 (m, 2H), 2.87 (m, 2H), 2.11 (m, 2H), 1.90 (m, 1H), 0.77 (m, 1H); 13C NMR (125 MHz, CD3OD) δ 164.9, 157.3, 153.9, 151.9, 142.1, 120.1, 79.1, 77.8, 69.6, 44.5, 43.1, 37.0, 36.0, 31.7, 27.8. IR (neat, cm−1): 2995, 1645, 1485. HRMS (FAB) calcd for C14H21N6O3 (M+H)+, 321.1675; found 321.1661.
Supplementary Material
Acknowledgment
The authors thank Eli Lilly and Company and NIH (R01 GM68012) for the support of this research. We acknowledge Nonka Sevova for mass spectroscopy.
Footnotes
Supporting Information Available
1H and 13C NMR spectra for 2, 3, 4, 6, 7, 9–14. gHSQC, gCOSY, ROSEY NMR spectra for 12. This material is available free of charge via the Internet at http://pubs.acs.org.
References
- 1.(a) Ferrero M, Gotor V. Chem. Rev. 2000;100:4319. doi: 10.1021/cr000446y. [DOI] [PubMed] [Google Scholar]; (b) Jeong L-S, Lee J-A. Antiviral Chem. Chemother. 2004;15:235. doi: 10.1177/095632020401500502. [DOI] [PubMed] [Google Scholar]; (c) Schneller SW. Curr. Top. Med. Chem. 2002;2:1087. doi: 10.2174/1568026023393228. [DOI] [PubMed] [Google Scholar]; (d) Rodriguez JB, Comin MJ. Mini-Rev. Med. Chem. 2003;3:95. doi: 10.2174/1389557033405331. [DOI] [PubMed] [Google Scholar]
- 2.Kishi T, Muroi M, Kusaka T, Nishikawa M, Kamiya M, Mizuno K. Chem. Pharm. Bull. 1972;20:940. [Google Scholar]
- 3.Yaginuma S, Muto N, Tsujino M, Sudate Y, Hayashi M, Otani M. J. Antibiot. 1981;34:359. doi: 10.7164/antibiotics.34.359. [DOI] [PubMed] [Google Scholar]
- 4.(a) De Clercq E. Biochem. Pharmacol. 1987;36:2567. doi: 10.1016/0006-2952(87)90533-8. [DOI] [PubMed] [Google Scholar]; (b) Cools M, De Clercq E. Biochem. Pharmacol. 1989;38:1061. doi: 10.1016/0006-2952(89)90249-9. [DOI] [PubMed] [Google Scholar]; (c) Wolfe MS, Borchardt RT. J. Med. Chem. 1991;34:1521. doi: 10.1021/jm00109a001. [DOI] [PubMed] [Google Scholar]
- 5.Niitsu N, Yamamoto-Yamaguchi Y, Anatani Y, Shuto S, Matsuda A, Umeda M, Honma Y. Exp. Hematol. 1997;25:1296. [PubMed] [Google Scholar]
- 6.(a) Vince R, Hua M. J. Med. Chem. 1990;33:17. doi: 10.1021/jm00163a004. [DOI] [PubMed] [Google Scholar]; (b) Orr DC, Figueiredo HT, Mo C-L, Penn CR, Cameron JM. J. Bio. Chem. 1992;276:4177. [PubMed] [Google Scholar]
- 7.(a) Foster RH, Failds D. Drugs. 1998;55:729. doi: 10.2165/00003495-199855050-00018. [DOI] [PubMed] [Google Scholar]; (b) Melroy J, Nair V. Curr. Pharm. Des. 2005;11:3847. doi: 10.2174/138161205774580642. [DOI] [PubMed] [Google Scholar]; (c) Yuen GJ, Weller S, Pakes GE. Clin. Pharm. 2008;47:351. doi: 10.2165/00003088-200847060-00001. [DOI] [PubMed] [Google Scholar]
- 8.Lim BB, Marquez VE, Dobyns KA, Cooney DA, De Clercq E. Nucleosides & Nucleotides. 1992;11:1123. [Google Scholar]
- 9.(a) Agbaria R, Kelly JA, Ackman J, Viola JJ, Ram Z, Oldfield E, Johns DG. Oncol. Res. 1997;9:111. [PubMed] [Google Scholar]; (b) Schimmel KJM, Gelderblom H, Guchelaar HJ. Curr. Cancer Drug Targets. 2007;7:504. doi: 10.2174/156800907781386579. [DOI] [PubMed] [Google Scholar]
- 10.Patil SD, Schneller SW, Hosoya M, Snoeck R, Andrei G, Balzarini J, De Clercq E. J. Med. Chem. 1992;35:3372. doi: 10.1021/jm00096a012. [DOI] [PubMed] [Google Scholar]
- 11.(a) Crimmins MT. Tetrahedron. 1998;54:9229. [Google Scholar]; (b) Casu F, Chiacchio MA, Romeo R, Gumina G. Curr. Org. Chem. 2007;11:999. [Google Scholar]; (c) Chiacchio U, Saita MG, Crispino L, Gumina G, Mangiafico S, Pistara V, Romeo G, Piperno A, De Clercq E. Tetrahedron. 2006;62:1171. [Google Scholar]
- 12.(a) Slusarchyk A, Young MG, Bisacchi GS, Hockstein DR, Zahler R. Tetrahedron Lett. 1989;30:6453. [Google Scholar]; (b) Benner S. Tetrahedron Lett. 1991;32:7029. [Google Scholar]; (c) Mulvihill MJ, Miller MJ. Tetrahedron. 1998;54:6605. [Google Scholar]; (d) Bremond P, Audran G, Aubin Y, Monti H. Synlett. 2007;7:1124. [Google Scholar]; (e) Gosselin G, Griffe L, Meillon J-C, Storer R. Tetrahedron. 2006;62:906. [Google Scholar]
- 13.(a) Trost BM, Kou G-H, Benneche T. J. Am. Chem. Soc. 1988;110:621. [Google Scholar]; (b) Dyatkina N, Costisella B, Thiel F, Janta-Lipinski M. Tetrahedron Lett. 1994;35:1961. [Google Scholar]; (c) Kitade Y, Ando T, Yamaguchi T, Hori A, Nakanishi M, Ueno Y. Bioorg. Med. Chem. 2006;14:5578. doi: 10.1016/j.bmc.2006.04.023. [DOI] [PubMed] [Google Scholar]; (d) Jung ME, Rhee HJ. J. Org. Chem. 1994;59:4719. [Google Scholar]
- 14.(a) Patil SD, Schneller SW. J. Heterocycl. Chem. 1991;28:823. [Google Scholar]; (b) Bergmeier SC, Cobas AA, Rapoport H. J. Org. Chem. 1993;58:2369. [Google Scholar]
- 15.Marquez VE, Lim M-I. Med. Res. Rev. 1986;6:1. doi: 10.1002/med.2610060102. [DOI] [PubMed] [Google Scholar]
- 16.(a) Altona C, Sundaralingam M. J. Am. Chem. Soc. 1972;94:8205. doi: 10.1021/ja00778a043. [DOI] [PubMed] [Google Scholar]; (b) Choi Y, Moon H-R, Yoshimura Y, Marquez VE. Nucleosides, Nucleotides Nucleic Acids. 2003;22:547. doi: 10.1081/NCN-120021954. [DOI] [PubMed] [Google Scholar]; (c) Marquez VE, Hughes SH, Sei S, Agbaria R. Antiviral Res. 2006;71:268. doi: 10.1016/j.antiviral.2006.04.012. [DOI] [PubMed] [Google Scholar]
- 17.(a) Roy A, Achari B, Mandal SB. Tetrahedron Lett. 2006;47:3875. [Google Scholar]; (b) Fischer R, Hyrosova E, Fisera L, Hametner C, Cyranski MK.J. Org. Chem 200469744215497968 [Google Scholar]; (c) Hartung RE, Paquette LA. Synthesis. 2005;19:3209. [Google Scholar]; (d) Kittaka A, Asakura T, Kuze T, Tanaka H, Yamada N, Nakamura KT, Miyasaka T. J. Org. Chem. 1999;64:7081. [Google Scholar]; (e) Ravindra Babu B, Keinicke L, Petersen M, Nielsen C, Wengel J. Org. Biomol. Chem. 2003;1:3514. doi: 10.1039/b306354b. [DOI] [PubMed] [Google Scholar]
- 18.Lin W-M, Gupta A, Kim KH, Mendel D, Miller MJ. Org. Lett. 2009;11:449. doi: 10.1021/ol802553g. [DOI] [PMC free article] [PubMed] [Google Scholar]
- 19.(a) Adamo MFA, Bruschi S. Targets in Heterocyclic Systems. 2007;11:396. [Google Scholar]; (b) Iwasa S, Fakhruddin A, Nishiyama H. Mini-Rev. Org. Chem. 2005;2:157. [Google Scholar]
- 20.Bodnar BS, Miller MJ. J. Org. Chem. 2007;72:3929. doi: 10.1021/jo0701987. [DOI] [PMC free article] [PubMed] [Google Scholar]
- 21.Van Rheenen V, Kelly RC, Cha DY. Tetrahedron Lett. 1976;23:1973. [Google Scholar]
- 22.Jiang MX-W, Jin B-H, Cage JL, Priour A, Savela G, Miller MJ. J. Org. Chem. 2006;71:4164. doi: 10.1021/jo060224l. [DOI] [PMC free article] [PubMed] [Google Scholar]
- 23.(a) Menichincheri M, Bassini DF, Gude M, Angiolini M. Tetrahedron Lett. 2003;44:519. [Google Scholar]; (b) Yang W, Wang Y, Corte JR. Org. Lett. 2003;5:3131. doi: 10.1021/ol035188g. [DOI] [PubMed] [Google Scholar]; (c) Klapars A, Antilla JC, Huang X, Buchwald SL. J. Am. Chem. Soc. 2001;123:7727. doi: 10.1021/ja016226z. [DOI] [PubMed] [Google Scholar]
- 24.Baraldi PG, Broceta AU, Pineda de las Infantas MJ, Mochun JJD, Espinosa A, Romagnoli R. Tetrahedron. 2002;58:7607. [Google Scholar]
- 25.Banik BK, Banik I, Becker FF. Org. Synth. 2005;81:188. [Google Scholar]
- 26.Karplus M. J. Am. Chem. Soc. 1963;85:2870. [Google Scholar]
Associated Data
This section collects any data citations, data availability statements, or supplementary materials included in this article.








