Abstract
This study examined how restricted and repetitive behaviors and interests (RRBs) developed over time in a sample of children with Autism Spectrum Disorders (ASD). One-hundred ninety-two children referred for a diagnosis of autism at age 2 and 22 children with nonspectrum development disorders were evaluated with a battery of cognitive and diagnostic measures at age 2 and subsequently at ages 3, 5, and 9. Factor analysis of the RRB items on the Autism Diagnostic Interview – Revised revealed two RRB factors at each wave of data collection, one comprised of ‘repetitive sensorimotor’ (RSM) behaviors and the other of ‘insistence on sameness’ (IS) behaviors. For children with ASD, RSM scores remained relatively high over time, indicating consistent severity, whereas IS scores started low and increased over time, indicating worsening. Having a higher NVIQ at age 2 was associated with milder concurrent RSM behaviors and with improvement in these behaviors over time. There was no relationship between NVIQ at age 2 and IS behaviors. However, milder social/communicative impairment, at age 2 was associated with more severe concurrent IS behaviors. Trajectory analysis revealed considerable heterogeneity in patterns of change over time for both kinds of behaviors. These findings are discussed in terms of their implications for our understanding of RRBs in ASD and other disorders, making prognoses about how RRBs will develop in children with ASD as they get older, and using RRBs to identify ASD phenotypes in genetic studies.
Keywords: autism spectrum disorders, restricted and repetitive behaviors, development
Background and Significance
Restricted and repetitive behaviors and interests (RRBs) are a core feature of autism spectrum disorders (ASD), required for a diagnosis of autistic disorder, according to the Diagnostic and Statistic Manual for Mental Disorders (DSM-IV: American Psychiatric Association, 1994).1 This category of behaviors is very broad, including motor stereotypies (e.g., hand flapping); repetitive use objects (e.g., spinning wheels on a toy car); unusual sensory interests (e.g., licking or sniffing unusual objects); adherence to non-functional routines or rituals (e.g. insisting on always turning right out of the driveway); a preoccupation with unusual objects (e.g., seeking out ceiling fans) or an interest that is appropriate in content but unusual in its intensity and circumscribed nature (e.g., knowing very specific details about trains).
Despite the fact that RRBs are considered a core feature of ASD, they have received far less attention than the domains of social interaction and communication. This might be RRBs, at least until recently, have sometimes been conceived as by-products of the ‘core’ social and communicative deficits of ASD. However, there is some evidence that RRBs can be teased apart from social and communicative ability individuals with ASD, at least to some extent. Children with high-functioning autism or Asperger’s Disorder, who often have relatively mild social impairments and fluent language, can nevertheless have RRBs that cause significant impairment (Szatmari, Bryson, Boyle, Streiner, & Duku, 2003; Walker et al., 2004). Moreover, we know from research on RRBs in other disorders that such behaviors cannot be fully accounted for by social and communicative impairments alone. Children with disorders that involve social and/or language difficulties, such as Social Anxiety and Specific Language Impairment, do not generally exhibit RRBs. Conversely, children with disorders that do not primarily affect social and communication skills display some repetitive behaviors. The compulsive behaviors of children with Obsessive Compulsive Disorder, bear some resemblance to the “apparently inflexible adherence to specific, nonfunctional routines or rituals” (American Psychiatric Association, p. 75) described in children with autism (Ozonoff, 1997). RRBs have perhaps best been documented in nonautistic individuals with mental retardation. Previous studies have described a variety of behaviors in these individuals, such as motor stereotypies and compulsions, that persist well into adulthood (Bodfish, Crawford, Powell, Golden, & Lewis, 1995; Bodfish, Symons, Parker, & Lewis, 2000; Murphy et al., 2005). Restricted and repetitive behaviors and interests have even been reported in young typically developing children. These include “extremely intense” interests (DeLoache, Simcock, & Macari, 2007), complex motor stereotypies (Mahone, Bridges, Prahme, & Singer, 2004; Willemsen-Swinkels, Buitelaar, Dekker, & van Engeland, 1998), and “just right” and compulsive behaviors (Evans et al., 1997).
Practically speaking, RRBs are important to understand because of the degree to which they interfere with all aspects functioning in children with ASD, such as the ability to learn from and attend to the world around them. RRBs also interfere with social and communicative development. A child who focuses his or attention on spinning objects might not receive input critical for normal social development. RRBs might therefore have cascading effects, in that they add to the social and communicative impairment already present in ASD. These behaviors also interfere with family functioning and are cited among the most stressful behaviors for parents (Bishop, Richler, Cain, & Lord, 2007).
Particularly little is known about how RRBs change in children with ASD over time. This represents a significant gap in our understanding of ASD, a disorder in which symptoms not only affect development but are affected by development. For example, little is known about how these behaviors improve or worsen over time, and even less about which variables are predictive of different trajectories.
Results from several studies suggest that the development of RRBs in ASD depends on the behavior in question. Moore & Goodson (2003) found that ADI-R scores for unusual preoccupations, compulsions and rituals, hand and finger mannerisms, and repetitive use of objects increased between 2 and 4–5 years, while scores for complex mannerisms decreased between these ages. South, Ozonoff, & McMahon (2005) reported that, in a sample of participants aged 7 to 20 years, severity scores on the three domains of the Repetitive Behavior Interview (RBI: Turner, 1997) – Object Use, Motor Movements, and Rigid Routines – were highest in the preschool years and decreased over time. In contrast, scores on the circumscribed interests category of the Yale Special Interests Interview (YSII: South, Klin, & Ozonoff, 1999) gradually increased with age.
These findings raise the question of whether RRBs that are alike in some way follow similar patterns of development. Findings from various factor analyses support the notion that there are different subtypes of RRBs. Cuccaro et al. (2003) conducted a factor analysis of the ADI-R RRB items and found evidence for two factors, one comprised of ‘repetitive sensorimotor’ (RSM) behaviors such as hand and finger and complex body mannerisms, repetitive use of objects, and unusual sensory interests, and the other comprised of behaviors involving ‘insistence on sameness’ (IS), such as compulsions and rituals, difficulties with changes in routine, and resistance to trivial changes in the environment. These factors have since been replicated using other datasets (Bishop, Richler, & Lord, 2006; Richler, Bishop, Kleinke, & Lord, 2007; Szatmari et al., 2006). Richler et al. (2007) found that, in a sample of 2-year-olds with ASD2, RSM behaviors tended to be very common, whereas IS behaviors were relatively rare. It is possible that behaviors in the two RRB ‘subdomains’ follow different developmental trajectories. A longitudinal study that included children with severe intellectual disabilities and/or autism found that sensorimotor RRBs improved over time, whereas RRBs characterized by resistance to change did not (Murphy et al., 2005), supporting this claim. However, this study did not separate its sample of children with ASD from children with other disorders and did not use a factor analytic approach. Doing so could enhance our understanding of RRB development in ASD.
In addition to looking at how these two ‘clusters’ of behaviors develop differently, it is also important to ask how the development of these two kinds of behaviors might be differentially related to child characteristics. There is some evidence to suggest that RSM and IS behaviors differ in their relationship to the child’s level of cognitive or adaptive functioning. In a cross-sectional study, Bishop et al. (2006) found that having a lower nonverbal IQ was closely related to the likelihood of having RSM behaviors in children from 6 to 12 years of age. Recently, in another cross-sectional study, Esbensen, Seltzer, Lam, & Bodfish (2009) found less improvement in motor stereotypies over time in individuals with ASD and intellectual disability, compared to individuals with ASD only. These findings raise the possibility that level of cognitive functioning is associated with developmental trajectories of RSM behaviors; longitudinal data are necessary to examine this claim. The relationship between level of functioning and the development of IS behaviors is even less clear. Some studies have found no relationship between IS behaviors and adaptive/cognitive skills (Szatmari et al., 2006; Cuccaro et al., 2003). Bishop et al. (2006) found that circumscribed interests, usually considered to be an IS behavior, were actually more common in children with higher nonverbal IQ scores, consistent with the notion that certain IS behaviors are ‘higher level’ behaviors (Turner, 1999). However, none of these studies specifically examined the relationship between level of functioning and the development of IS behaviors over time.
The relationship between other child characteristics and RRB development might also depend on the ‘subdomain’ into which the behaviors falls. Little is known on this topic to date; previous studies have generally examined the relationship between child variables and the development of RRBs in general. Autism severity, as indicated by a child’s diagnosis on the autism spectrum, may be related to RRB development. Murphy et al. (2005) found that diagnosis at time 1 predicted RRBs and other “challenging behavior” at time 2, such that children with autism at time 1 had more RRBs at time 2 than children with PDD-NOS, a milder form of ASD, Some studies have found an indirect association between changes in social ability and changes in RRBs. For instance, improvement in social interaction skills has been linked to decreased RRBs in children with autism who have undergone treatment (Koegel, Koegel, Hurley, & Frea, 1992). McGovern & Sigman (2005) found that individuals with higher IQ scores improved in both social symptoms and RRBs from middle childhood to adolescence. There is some evidence to suggest that the link between socialization and RRBs may be more direct. In one study, scores on the Reciprocal Social Interaction domain of the ADI-R at age 36 months were predictive of RRBs at age 7, after controlling for earlier RRBs (Charman et al., 2005).
Based on the literature on RRBs in children with ASD, there is reason to believe that the type of RRB in question is an important factor to consider in RRB development. Behaviors with repetitive sensorimotor features might remain stable or improve over time, whereas those involving insistence on sameness may worsen. Having a low IQ at a young age, and more severe ASD (as indicated by more impaired social functioning and/or a diagnosis of autistic disorder) might be associated with worsening RRBs, particularly in the RSM category. Most of the studies described above, however, are cross-sectional, and therefore cannot directly address the topic of RRB development, and most longitudinal studies have examined RRBs at only two time points. By analyzing data from children seen multiple times, we can learn more about the trajectory of RRB development, including the shape of that trajectory. By including a control group of children with non-spectrum developmental disorders, we can determine whether there are any aspects of RRB development that are specific to ASD, such as correlates of these behaviors, or predictors of changes in behaviors over time.
In order to increase our understanding of RRB development in children with ASD, it is important not only to consider characteristics of the behaviors and children being studied, but also how the behaviors themselves are defined and measured. Most studies of RRB development have looked at how mean RRB scores change over time on a group level. This approach presents some limitations. A focus on scores does not allow for a distinction to be made between prevalence (i.e., whether a behavior is present) and severity (i.e., if present, how impairing the behavior is). If RRB scores increase for a child, this could be because the child acquires more behaviors, because the behaviors s/he already had become more impairing, or both. In order to tease these questions apart, it is necessary to look not only at how scores change, but how the number of behaviors changes over time. Furthermore, the focus on scores at a group level does not provide a clear picture of the variability in RRB trajectories among individual children with ASD. It is possible that, although children with autism or PDD-NOS tend to follow a certain trajectory on average, there is considerable within-group variability. For example, it could be that many children with autism have RRBs that are relatively persistent over time, a handful show significant worsening in these behaviors, and a similar number show very slight improvement. On a group level, we would see evidence of worsening, but this would not reflect the actual heterogeneity in trajectories. If there is, indeed, a good deal of variability in RRB development, it is important to describe the trajectory groups into which children tend to cluster. This understanding could help further efforts to identify relatively homogeneous ASD phenotypes, a crucial step in determining which genes are associated with the disorder and in investigating the neurophysiology and neurobiology of development in ASD.
This paper adds to the existing body of work on RRBs by using longitudinal data, collected when children were approximately 2, 3, 5, and 9 years of age, to investigate how RRBs change in children with ASD over time, and to identify the variables that predict these changes. Predictors of trajectories will be examined both in children with ASD (i.e. autism and PDD-NOS) and in a control group of children with nonspectrum developmental disorders (DD). Among children with ASD, we will also consider within-group heterogeneity and how trajectories tend to cluster together, as well as the factors that are associated with the likelihood of following a given trajectory.
Given previous research showing clear distinctions between RSM and IS behaviors, RRBs will be examined as part of factors, rather than as a single group. Changes in both the number and severity of behaviors will be addressed. Based on previous research, we predict that RSM behaviors will remain relatively stable over time and possibly improve by age 9. Having PDD-NOS (as opposed to autism), a higher level of cognitive ability, and milder social/communicative impairment at age 2 will be associated with decreases in RSM scores (i.e. improvement) over time. In contrast, IS behaviors, which are relatively uncommon in very young children, will increase over time. Children with ASD will show greater increases in IS scores over time than children with DD. However, increases in IS scores will not be strongly related to early cognitive ability.
By examining these hypotheses, we will obtain a more detailed picture of development in ASD. If the results indicate different trajectories of development for RSM and IS behaviors, this will provide further evidence for the idea that there are two distinct RRB ‘subtypes.’
Method
Participants
Data for this study were collected as part of a larger, longitudinal investigation on the early diagnosis of autism (see Lord et al., 2006; Anderson et al., 2007). Participants consisted of 192 children under the age of 3 years who were referred for evaluation for possible autism and 22 children of the same age with nonspectrum developmental disorders. (Please see Richler et al., 2007, for a detailed description of the referral sample). Children were then followed up at approximately the ages of 3, 5, and 9 years. A sample of typically developing children was included as a control group at the first wave of data collection, but these children were not seen in subsequent waves and are therefore not included in the analyses in the present study. Because not all families participated at every follow-up appointment, sample sizes and other characteristics vary for each period of data collection (see Table 1).
Table 1.
Sample Demographics by Wave
| age 2 | age 3 | age 5 | age 9 | |
|---|---|---|---|---|
| Total n (children who received ADI) | 214 | 184 | 136 | 172 |
| Gender | ||||
| Male | 172 (80%) | 155 (84%) | 106 (78%) | 138 (80%) |
| Female | 42 (20%) | 29 (16%) | 30 (22%) | 34 (20%) |
| Ethnicity | ||||
| Caucasian | 143 (67%) | 122 (66%) | 81 (60%) | 122 (71%) |
| African American | 67 (31%) | 58 (32%) | 54 (40%) | 46 (27%) |
| Other | 4 (2%) | 4 (2%) | 1 (<1%) | 4 (2%) |
| Maternal Education | ||||
| Graduate/Professional Degree | 33 (15%) | 28 (15%) | 15 (11%) | 30 (17%) |
| College Degree | 40 (19%) | 36 (20%) | 22 (16%) | 38 (22%) |
| Some College | 63 (29%) | 55 (30%) | 45 (33%) | 46 (27%) |
| High School Diploma | 55 (26%) | 44 (24%) | 38 (28%) | 42 (24%) |
| Less than High School | 14 (7%) | 13 (7%) | 14 (10%) | 11 (6%) |
| Diagnosis | ||||
| Autism | 102 (48%) | n/a | 68 (50%) | 100 (58%) |
| PDD-NOS | 59 (26%) | n/a | 29 (21%) | 35 (20%) |
| Nonspectrum | 53 (25%) | n/a | 39 (29%) | 37 (22%) |
| Site | ||||
| North Carolina | 133 (62%) | 106 (58%) | 125 (92%) | 104 (60%) |
| Chicago | 81 (38%) | 78 (42%) | 11 (8%) | 68 (40%) |
| Mean Age at ADI (in months) | 28.9 (5.2) | 42.7 (6.0) | 57.0 (8.8) | 112.3 (15.4) |
Note Best estimate diagnoses were not made at the age 3 assessment.
There was a higher proportion of males in the group of children diagnosed with ASD at age 2 compared to the group diagnosed with DD at age 2, χ2 =17.86, p < .001. The groups did not differ significantly by child’s age at the initial assessment, race, site at which the assessment took place, or level of maternal education.
Procedure
All but 5 of the children in the inception cohort were seen at least one additional time (i.e. at age 3, 5, and/or 9), and the vast majority (88%) were seen at least two additional times. Children in the DD referral group were not assessed at age 3, and, with a few exceptions, children from Chicago were not seen at age 5. Of the original participants, 42 (19.6%) were lost to follow-up by age 9 due to geographical relocation, unreachable status, or refusal to participate. Attrition was not related to the child’s original best-estimate diagnosis, gender, verbal and nonverbal IQ, adaptive functioning, or parent-reported level of language on the ADI-R. However, higher levels of attrition were associated with non-Caucasian race and lower levels of maternal education (Lord et al., 2006).
At ages 2, 5, and 9, each child was assigned a consensus best estimate clinical diagnosis of autism, PDD-NOS or a nonspectrum developmental disorder (e.g., mental retardation, language disorder) based on clinical observation, results of the ADI-R and the Autism Diagnostic Observation Schedule (ADOS), and DSM criteria. No one in the sample was given a diagnosis of Asperger’s Disorder (AD), because we adhered to the DSM-IV criterion requiring that autism be ruled out before a diagnosis of AD can be considered (see American Psychiatric Association, 1994). In our sample, all children who would have met criteria for AD also met criteria for autism. All examiners who had seen the child and/or interviewed the caregiver(s) at that time were involved in making the diagnosis. Diagnoses were not given at the age 3 assessment. At age 5, diagnoses were made by examiners blind to the child’s history. At age 9, there was always at least one examiner blind to previous diagnoses, and about 70% of the time, both examiners were blind. At age 2, the breakdown of ASD versus nonspectrum diagnoses differed from the referral sample diagnoses (i.e., 192 referred for ASD and 22 referred for nonspectrum DD). This is because 31 children originally referred for ASD were given nonspectrum diagnoses at age 2.
Because children were seen multiple times, diagnoses changed for some children. One of the aims of the present study is to understand the relationship between early child characteristics and RRB development, and thus, most analyses compare RRB scores in groups based on the child’s earliest diagnosis, (i.e., at age 2). However, for children who continued participation at least through age 5 and therefore received diagnoses at least twice (n=196), we also conducted analyses grouping children by their most recent diagnosis, because this diagnosis was likely a more accurate reflection of eventual outcome. The breakdown for most recent broad diagnoses, 151 children (77%) with ASD (autism or PDD-NOS) and 45 children (23%) with DD, was very similar to the breakdown for initial diagnosis (75% ASD, 25% DD). In contrast, the distribution of specific diagnoses within the autism spectrum was somewhat different at the initial evaluation compared to the most recent one (63% autism, 37% PDD-NOS at the initial evaluation versus.72% autism, 28% PDD-NOS at the most recent one). This change was mostly accounted for by the fact that more than half of the children diagnosed with PDD-NOS at age 2 were ultimately diagnosed with autism at their most recent assessment (see Lord et al., 2006).
At each point in the study, families underwent a two-part standardized assessment that included a parent interview and a child observation. Parents were administered the ADI-R (Lord, Rutter, & LeCouteur, 1994; see also Rutter, LeCouteur, & Lord, 2003) and the Vineland Adaptive Behavior Scales (VABS: Sparrow, Balla, & Cicchetti, 1984). Children were administered the ADOS ( Lord et al., 2000; Lord et al., 1989, as well as various cognitive and language measures.
Measures
Cognitive testing
Cognitive assessments at each point of data collection consisted of a test that would determine an overall intellectual ability score and separate verbal and nonverbal intelligence scores. For the present study, one measure of nonverbal ability and one measure of verbal ability were selected for each child at each age. At the age 2 assessment, all of the children with ASD and DD received the Mullen Scales of Early Learning (MSEL: Mullen, 1995), except for one child, who received the Merrill-Palmer Scale of Mental Tests (Stutsman, 1931). Because the MSEL does not yield separate verbal and nonverbal scores, these had to be derived for each child. (Please see Richler et al., 2007 for a complete description of how scores were derived). At follow-up assessments, the selection of cognitive tests followed a standard hierarchy. If a child did not have sufficient language to be administered the Wechsler Intelligence Scale for Children-3rd Edition (Wechsler, 1991) or the Differential Ability Scales (Elliott, 1990), then he or she was administered the MSEL.
The Autism Diagnostic Interview-Revised (ADI-R)
Before each child assessment, a research associate administered the ADI-R to the child’s parent(s). The ADI-R is a comprehensive parent interview covering most developmental and behavioral aspects of autism. There is a scoring algorithm based on DSM-IV/ICD-10 criteria for autism, which has been shown to discriminate between children with autism and non-autistic developmentally delayed children matched on chronological age and nonverbal IQ. Adequate inter-rater and test-retest reliability and validity have been established with the ADI-R for children and adults (see Lord, Rutter, & LeCouteur, 1994). A toddler version of the ADI-R, which included additional questions relevant to onset of difficulties in the first two years of life, was administered when children were 2 and 3 years old (see Lord, Shulman, & DiLavore, 2004).
In the present study, all data about RRBs comes from the ADI-R. Scores for RRB items in the ADI-R generally range between 0 and 3. A score of 0 indicates that the specified behavior is not present, a score of 1 indicates that the specified behavior is present to some degree, a score of 2 indicates that the behavior is sufficiently frequent and/or severe as to interfere with the individual’s ability to carry out certain activities, and a score of 3 indicates that the behavior is so intrusive that it causes severe social impairment, completely prevents the individual from participating in certain activities, and/or substantially interferes with family functioning.
The Autism Diagnostic Observation Schedule (ADOS)
Children were administered the Pre-Linguistic Autism Diagnostic Observation Schedule (PL-ADOS: DiLavore, Lord, & Rutter, 1995) at ages 2 and 3 and the ADOS (Lord et al., 2000; Lord et al., 1989) at ages 5 and 9. The ADOS is a semi-structured measure consisting of tasks that allow the examiner to directly observe the child’s social and communicative behaviors. An algorithm calculates summary scores. Algorithms have recently been revised, so that there are now separate algorithm scores for the areas of Social Affect and Restricted and Repetitive Behaviors that can be applied to both the PL-ADOS and the ADOS (Gotham, Risi, Pickles, & Lord, 2007). Scores on the Social Affect (SA) subdomain of the ADOS algorithm were of primary interest for the present study. This subdomain includes behaviors associated with reciprocal social interaction (e.g., eye contact, quality of social overtures and responses) and communication (e.g., gestures, conversational ability). As with the ADI-R, higher scores indicate a greater degree of impairment. Children received one of three modules of the ADOS, depending on language level (Module 1 for single or no words, Module 2 for phrase speech, and Module 3 for fluent speech). The revised algorithms include conceptually similar items across modules 1 through 3 (please see Gotham, Risi, Pickles, & Lord, 2007; Gotham et al., 2008). This allows for comparison of algorithm scores across modules.
Analyses
Growth curve analysis with SAS Proc Mixed (SAS for Windows release 9.1.3) was used to determine which variables predicted patterns of change in RRBs in children with ASD. A random intercept and slope were calculated for each child to control for the high correlations between repeated measures on the same individual. Growth curve models allowed us to compare the different diagnostic groups on the average RRB score at age 2 (i.e., the intercept); the rate of change in scores from age 2 to 9 (i.e., the slope); and the pattern of change (i.e., linear vs. quadratic). Covariates were added as fixed effects to determine whether they explained any of the variance in intercepts and slopes. Age was the primary predictor of interest. Diagnosis, Social Affect (SA) algorithm score on the ADOS, and nonverbal IQ (NVIQ) all at the age 2 assessment, were also included. We used NVIQ as an estimate of cognitive functioning, as it tends to be more stable over time in children with ASD than verbal IQ (Howlin, Goode, Hutton, & Rutter, 2004). We included a measure from the ADOS because we wanted to incorporate variables from measures that used direct observation rather than parent report. We also included gender, race (Caucasian vs. non-Caucasian) 3, mother’s level of education (college or graduate degree vs. less than college degree) and site at which the child was recruited (North Carolina vs. Chicago) as covariates for descriptive purposes. For analyses of total number of RSM and IS items, we used Proc Genmod (SAS for Windows release 9.1.3), which can be used to model ordinal data, and also controls for repeated measures.
To uncover different patterns of RRB development among children with ASD, we used a modeling procedure called Proc Traj (Jones, Nagin, & Roeder, 2001), an exploratory procedure written for use in SAS that identifies linear and nonlinear patterns in longitudinal data and classifies the sample into groups based on each individual’s trajectory. The group-based approach is particularly useful for examining phenomena for which there may be qualitatively different trajectories of change over time, rather than a general pattern of increase or decrease (Nagin, 2005). We ran a series of models using the censored, normal distribution, to see if distinct groups would emerge within ASD. (For total number of RSM and IS items, we used the zero-inflated, Poisson distribution, which can be used for count data in which there are more zeros than would be expected under the Poisson assumption). In order to decide which model provided the best fit, we compared the absolute value of the Bayesian Information Criterion (BIC) between different models, where smaller values indicate a better fit (see Jones et al., 2001, for use of the BIC for model selection).
Results
Preliminary Analyses
Our examination of subtypes was based on previous findings that RRB items on the ADI-R tend to cluster into a repetitive sensorimotor (RSM) factor and an insistence on sameness (IS) factor. The specific behaviors that loaded on each factor have varied somewhat among different studies, but most behaviors have consistently loaded on one of the two factors. For the RSM factor, these include repetitive use of objects, unusual sensory interests, hand and finger mannerisms, and complex mannerisms; and for the IS factor, they are compulsions and rituals, difficulties with changes in routine, and resistance to trivial changes in environment. (Please see Table 2 for examples of each of these behaviors).
Table 2.
Examples of RRBs on the ADI-R
| RSM Behaviors | Repetitive use of objects | Lining up toys |
| Unusual sensory interests | Peering at objects from the side | |
| Hand/finger mannerisms | Flicking/twisting fingers | |
| Complex body mannerisms | Spinning in circles | |
| IS Behaviors | Resistance to trivial changes in the environment | Becoming upset when a family member gets a haircut |
| Difficulties with minor changes in routine | Insisting on always sitting in the same seat in the car | |
| Compulsions and rituals | Insisting on always turning right out of the driveway | |
Before conducting any analyses according to RRB subtype, it was necessary to determine if we obtained these factors for each cohort in our ASD sample. A previous paper using the age 2 cohort (see Richler et al., 2007) found that these factors emerged in the youngest group. A confirmatory factor analysis was run in MPlus 3.0 to see if these factors also emerged in the other cohorts. This program allows for the analysis of ordinal data. As in previous studies, the cutoff for including an item on a factor was > 0.30. Factor loadings are reported in Table 3. Loadings were consistently high for the RSM factor, ranging from 0.49 to 0.87. For the IS factor, there was somewhat more variability, with loadings ranging from 0.47 to 1.00, with one loading of .30, for compulsions and rituals at age 3.
Table 3.
Factor Loadings of ADI-R RRB Items by Age
| RRB item | Age 2 | Age 3 | Age 5 | Age 9 | |
|---|---|---|---|---|---|
| RSM factor | Repetitive use of objects | .81 | .74 | .72 | .73 |
| Unusual sensory interests | .67 | .81 | .75 | .70 | |
| Hand/finger mannerisms | .55 | .60 | .87 | .73 | |
| Other complex mannerisms | .49 | .70 | .75 | .72 | |
| IS factor | Resistance to trivial changes in environment | .91 | .77 | 1.00 | .78 |
| Difficulties with changes in routine | .80 | .56 | .67 | .75 | |
| Compulsions and rituals | .62 | .30 | .62 | .47 | |
We examined factors by looking both at total score and total number of RRB items within a factor. Thus, the number of RSM items was the number of ADI-R items endorsed by the parents that loaded on the RSM factor, and the RSM score was the sum of the scores on these items. The maximum number of RSM items, then, was 4, with a maximum RSM score of 11 (all RSM items on the ADI-R have a maximum score of 3 except for unusual sensory interests, which has a maximum score of 3.) The maximum number of IS items was 3, with a maximum IS score of 9.
Correlates of Early RRBs and Predictors of Change Over Time in Children with ASD and DD
Repetitive sensorimotor behaviors
A series of models was run to determine which variables were associated with early RSM behaviors, and which predicted changes in these behaviors over time. The same series of models was run with total number of RSM items endorsed as the outcome variable instead of total score, and similar results were obtained. Therefore, only results for RSM scores are reported here.
-
Reduced model
First, we ran a model using Proc Mixed in SAS, with child’s age at assessment as the only predictor, in order to have a baseline from which to assess the contribution of other factors. (See Table 4, Model 1). Age-squared was included in order to determine if there were quadratic effects for age. The significant negative effect of age indicates that, for the sample as a whole, as age increased, RSM scores decreased (i.e., became less severe). The significant positive effect of the quadratic term indicates that the rate of decrease slowed over time. The random effects at the bottom of the table indicate that there was still significant variability in children’s RSM scores at the age 2 assessment, as well as in their rates of change, after age at testing was taken into account. Consequently, more variables were added to the model.
-
Differences by diagnostic group
Next, we tested for differences in RSM scores according to age 2 diagnosis. (See Model 2, Table 4). Age continued to have a significant, negative relationship with scores, and age-squared had a significant, positive relationship; thus, the overall effect of age remained essentially unchanged after adding in diagnosis. As seen in Figure 1, all three diagnostic groups showed decreases in RSM scores over time. The main effect of diagnosis was significant. The intercept for children with nonspectrum DD was 2.57, significantly lower than the intercepts for children with autism and PDD-NOS, which were 5.59 and 4.17, respectively. The difference between the intercepts for children with autism and children with PDD-NOS was also significant, t(247) = 3.96, p < .001. As predicted, the difference in intercepts by age 2 diagnosis remained significant even after controlling for the child’s race and gender and the mother’s level of education, and site. The interaction between age and diagnosis was not significant.
We wondered if the weak predictive value of early diagnosis was partly due to the lack of stability of early diagnoses of PDD-NOS described in the introduction. Children whose diagnosis changed from PDD-NOS at age 2 to a more severe diagnosis of autism at a subsequent time point may have followed a different (and presumably more severe) trajectory of RSM scores that children who maintained a milder PDD-NOS diagnosis through the age 9 assessment.
In order to test this hypothesis, we ran the model described above, substituting diagnosis at the initial assessment with diagnostic change from initial to most recent assessment. Very few children changed from a nonspectrum to an ASD diagnosis or vice versa (see Lord et al., 2006). Thus, for the diagnostic change variable, only four subgroups of interest were included (see Figure 2): children who maintained an autism diagnosis (n = 86), children who switched from autism to PDD-NOS (n = 15), children who maintained a PDD-NOS diagnosis (n = 23), and children who switched from PDD-NOS to autism (n = 29). There was a significant main effect of diagnostic change, F(3, 189) = 4.28, p < .01; children who maintained a PDD-NOS diagnosis had lower RSM scores at age 2 than children in the other three groups. There was also a significant interaction between diagnostic change and age, such that RSM scores significantly decreased for children who switched from autism to PDD-NOS (β = −.08, se = .03, p < .01) and children who maintained a PDD-NOS diagnosis (β = −.07, se = .02, p < .01), but not for children who maintained an autism diagnosis or children who switched from PDD-NOS to autism. The difference in trajectories by diagnostic change group is represented graphically in Figure 2. Trajectories are essentially flat for the two groups whose most recent diagnosis is autism, indicating no change in RSM scores over time, whereas they are clearly negative, indicating improvement, in children whose most recent diagnosis is PDD-NOS. For both groups, improvement stopped at approximately 80 months, or close to 7 years of age.
-
Full model
Next, we added NVIQ and ADOS Social Affect (SA) score at age 2, as well as the interaction between each of these variables and age, to the model, in order to see if these accounted for additional variance beyond what had been explained by diagnosis. As seen in Model 3 of Table 4, NVIQ at 2 had a significant negative main effect, indicating that as NVIQ scores increased, RSM scores became less severe. There was also a significant interaction between NVIQ and age; children with higher NVIQ scores at age 2 showed more of a decrease in RSM scores over time compared to children with lower NVIQ scores. There was no significant main effect for SA score at age 2, nor was there a significant interaction between SA score and age.
Table 4.
Growth Models for Changes in RSM Scores from Age 2 to Age 9
| Predictors | Model 1 Coefficient (SE) | Model 2 Coefficient (SE) | Model 3 Coefficient (SE) |
|---|---|---|---|
| Fixed Effects | |||
| Intercept | 3.86*** (0.18) | 5.58*** (0.35) | 5.63*** (0.38) |
| Age at Testing | −0.02* (0.01) | −0.05* (0.01) | −0.03 (0.01) |
| Age-squared | 0.0002* (.0001) | 0.0003* (0.0001) | 0.0002 (0.0001) |
| Age 2 Diagnosis | |||
| Autism | -- | -- | |
| PDD-NOS | −1.47*** (0.37) | −1.26** (0.41) | |
| Nonspectrum | −3.02*** (0.41) | −2.62*** (0.58) | |
| Gender | |||
| Female | −0.10 (0.36) | −0.37 (0.34) | |
| Site | |||
| North Carolina | −0.62 (0.32) | −0.83** (0.31) | |
| Race | |||
| Non-White | 0.11 (0.32) | −0.17 (0.30) | |
| Maternal Education | |||
| High school diploma | −0.37 (0.31) | −0.24 (0.29) | |
| NVIQ at 2 | −0.02 ** (0.01) | ||
| ADOS Social Affect at 2 Score | −0.002 (0.002) | ||
| Interactions Terms | |||
| Age* NVIQ | −0.001**(0.0004) | ||
| Age-squared* NVIQ | 9.43 ×10−6 (3.88 × 10−6) | ||
| Random Effects | |||
| Intercept variance | 4.64 *** (0.60) | 2.93*** (1.37) | 2.47***(0.39) |
| Slope variance | 0.0004*** (0.0001) | 0.0004***(0.0001) | 0.0004***(0.0001) |
| Intercept/slope covariance | −0.01 (0.007) | −0.003 (0.006) | 0.006 *(0.005) |
p < .001
p < .01
p < .05
Note Significant effects are in bold. Due to space constraints, only significant interaction effects are shown.
Figure 1.
Predicted RSM Scores by Diagnosis at Age 2
Figure 2.
Predicted RSM Scores by Diagnostic Change from Initial to Most Recent Assessment
The random effects at the bottom of Table 4 show a clear reduction in the unexplained variance of the intercepts with each successive model. The addition of diagnosis at age 2 in Model 2 had the biggest impact, reducing the unexplained variance by approximately 37%. The addition of NVIQ at age 2 in Model 3 reduced the variance by an additional 16%. In contrast, there was little reduction in the unexplained variance of the slopes; however, there was relatively little variance in the slopes to begin with.
In order to see if the variables associated with RSM scores at age 2 or with changes in RSM scores over time differed for children with DD and children with ASD, we ran an additional model with all of the predictors listed for the full model above, plus interactions between diagnosis (ASD vs. non-spectrum) and NVIQ at age 2, SA score at age 2, and three-way interactions between diagnosis, age, and NVIQ, as well as diagnosis, age and SA score. There was a significant interaction between diagnosis and SA score, β = .19, se = .08, p < .05; higher SA scores, indicating greater social/communicative impairment, were associated with higher RSM scores at age 2 for children with DD, but not for children with ASD.
Insistence on sameness behaviors
The same sequence of models described above for RSM scores was run for IS scores. Because IS scores were negatively skewed, it was necessary first to perform a log transformation. Results were similar for number of IS items; therefore, only results for IS scores are reported here.
-
Reduced model
Age was significantly associated with IS scores, in a positive direction; as age increased, so did IS scores. The significant negative quadratic term indicates that this increase slowed as children got older. (See Table 5, Model 1).
-
Differences by diagnostic group
Unlike for RSM behaviors, there was not a significant main effect of age 2 diagnosis; children’s IS scores at the initial assessment were similarly low across diagnostic groups. (See Table 5, Model 2). There was not a significant interaction between diagnosis and age. However, unlike for RSM scores, there was also not a significant interaction between diagnostic change group and IS scores among children with ASD. All groups showed an increase in IS scores over time. Slopes were significant for children who maintained an autism diagnosis (β = .02, se = .003, p < .001) and for children who switched from PDD-NOS to autism (β = .02, se = .005, p < .001). For children who maintained a PDD-NOS diagnosis and children who switched from autism to PDD-NOS, slopes were very similar, but standard error terms were larger; thus, estimates did not reach statistical significance.
-
Full Model
Unlike for RSM scores, there was not a significant effect of NVIQ at age 2 on intercepts or rates of change in IS scores. (See Table 5, Model 3). There was a significant main effect of ADOS SA score at age 2. Interestingly, children with higher SA scores at age 2, indicating more severe social/communicative impairment, had lower concurrent IS scores than children with lower SA scores.
Table 5.
Growth Models for Changes in IS Scores from Age 2 to Age 9
| Predictors | Model 1 Coefficient (SE) | Model 2 Coefficient (SE) | Model 3 Coefficient (SE) |
|---|---|---|---|
| Fixed Effects | |||
| Intercept | 0.40*** (0.04) | 0.40*** (0.08) | 0.52*** (0.10) |
| Age at Testing | 0.01*** (0.002) | 0.01*** (0.003) | 0.01*** (0.0003) |
| Age-squared | −0.0001*** (.00002) | −0.0003 *(0.00003) | −0.0001** (0.00004) |
| Age 2 Diagnosis | |||
| Autism | -- | -- | |
| PDD-NOS | 0.05 (0.09) | −0.08 (0.11) | |
| Nonspectrum | −0.15 (0.10) | −0.41**(0.15) | |
| Gender | |||
| Female | −0.14 (0.08) | −0.11 (0.08) | |
| Site | |||
| North Carolina | 0.09 (0.07) | 0.04 (0.07) | |
| Race | |||
| Non-White | −0.08 (0.07) | −0.07 (0.07) | |
| Maternal Education | |||
| High school diploma | 0.08 (0.07) | 0.08 (0.07) | |
| NVIQ at 2 | −0.002 (0.002) | ||
| ADOS Social Affect at 2 | −0.03* (0.01) | ||
| Interaction Terms | |||
| Age* NVIQ | −9.84 ×10−6 (0.0001) | ||
| Age-squared* NVIQ | −2.61×10−7 (1.07× 10−6) | ||
| Random Effects | |||
| Intercept variance | 0.16 *** (0.03) | 0.14*** (0.03) | 0.13***(0.03) |
| Slope variance | 0.0002** (9.25 × 10−6) | 0.00002**( 9.54 × 10−6) | 0.00002**(9.34× 10−6) |
| Intercept/slope covariance | −0.0006 (0.004) | −0.0006 (0.004) | −0.005 (0.0003) |
p < .001
p < .01
p < .05
Note Significant effects are in bold. Due to space constraints, only significant interaction effects are shown.
In contrast to the findings for RSM behaviors, the random effects at the bottom of Table 5 show only a modest reduction in the unexplained variance of the intercepts. However, it should be noted that there was considerably less variance in the intercepts for IS scores than for RSM scores to begin with. There was also little reduction in the variance of the slopes, but again, initial variance was relatively low.
When this model was run adding in interactions with diagnosis (ASD vs. nonspectrum) as described above for RSM scores, there was again a significant interaction between diagnosis and SA scores, β = .05, se = .02, p < .05. In contrast to the findings for RSM scores, there was a stronger relationship between IS and SA scores at age 2 for the ASD group (with lower SA scores associated with higher IS scores, as described above) than for the DD group.
Patterns of change among children with ASD
The analyses thus far highlight the variables that predicted initial scores and patterns of change over time in children with ASD and DD. In order to better understand the patterns of change themselves, we used Proc Traj (see Jones et al., 2001). We included only children with ASD (i.e., PDD-NOS or autism) at age 2 (n = 161) since the previous analyses indicated that RRB scores were generally very low for children who were not on the autism spectrum at age 2.
Repetitive Sensorimotor Behaviors
Patterns of change were examined using Proc Traj to assess the degree of variability among children with ASD. For RSM score, a three-group linear solution provided the best fit. (See Figure 4). This solution yielded a consistently mild group (n = 41), a slightly decreasing group (n = 80), and a consistently severe group (n = 40).
Figure 4.
Patterns of Change in RSM Scores (ASD only)
Note Bold line indicates largest subgroup.
When Proc Traj was run with the number of RSM items as the predictor, the two-group solution provided the best fit. One group included 49 children with consistently few RSM behaviors, (i.e., just over 1 out of a maximum of 4 behaviors, on average). The other group, which included the majority of children in the sample (n = 112) had consistently many behaviors (i.e., just over 3 behaviors, on average). When these groups were cross-tabulated with those from the analysis of RSM scores, 39 of 41 children (95%) in the consistently mild scoring group fell into the ‘few RRBs’ group. All of the children in the consistently severe scoring group fell into the group with many RSM behaviors. Interestingly, of the 80 children in the slightly decreasing scoring group, 70 (87.5%) were also categorized in the many RRBs group. Thus, even though many children with ASD had RSM behaviors that improved over time, the vast majority of these children continued to have a relatively high number of RSM behaviors.
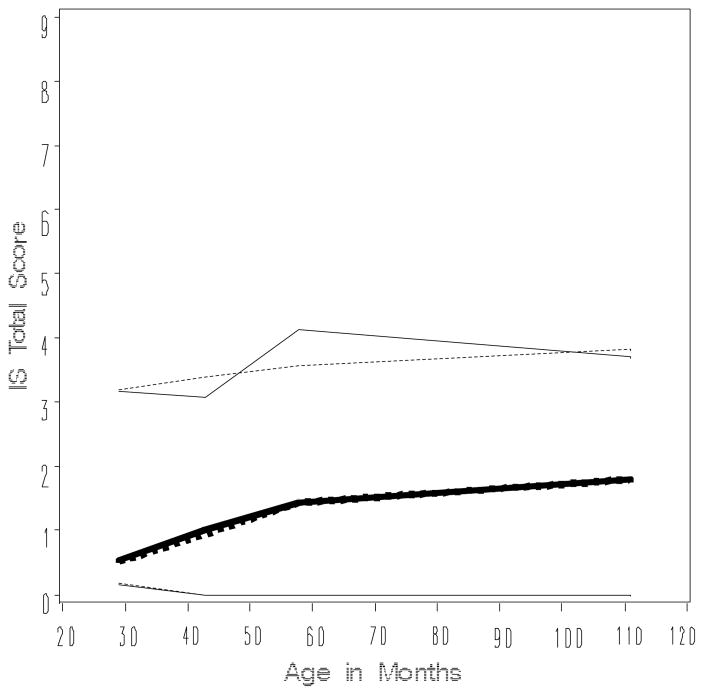
For IS score, the three-group quadratic model provided the best fit of the linear models, yielding a mild group (n = 21), an increasing group (n = 115), and a moderate group (n = 25). On average, IS scores in the middle group increased between ages 2 and 5, from approximately 0 to close to 2 (see Figure 5).
Figure 5.
Patterns of Change in RSM Scores (IS only)
Note Bold line indicates largest subgroup.
When Proc Traj was run using number of IS behaviors, the two-group quadratic solution fit best. The groups had similar patterns of change, with the sharpest increases in the number of IS items occurring until approximately 60 months of age. In the ‘mild/increasing’ group, the average number of items at the initial assessment was close to 0, and increased to approximately 1 by the final assessment. In the ‘moderate/increasing’ group, the number of IS items started at approximately 1 and increased to about 2. As would be expected, all of the children in the mild IS score group fell into the mild/increasing IS item group. Of the 73 children in the increasing score group, 96 (94.52%) were categorized as having mild/increasing number of IS items. Finally, 56 of 62 children (90.32%) in the moderate IS score group fell into the group that had moderate/increasing numbers of IS items.
Discussion
The findings from the present study add to the existing evidence that there are distinct subtypes of RRBs in ASD. First, the variables that are associated with concurrent behaviors and that predict patterns of change over time are different for the two subtypes. Second, the developmental patterns themselves are different. These findings, building on those of other investigators, call into question a simple conceptualization of RRBs as a single entity. Given the striking differences in findings for the two types of behaviors, careful consideration of the implications of these differences is warranted.
Differences in Correlates and Predictors of Change
Diagnosis at age 2 was strongly associated with concurrent RSM scores, even within ASD; children with autism at age 2 had more severe concurrent RSM behaviors than children with milder PDD-NOS. A higher level of cognitive ability at age 2 was associated both with milder concurrent RSM behaviors, as well as with greater improvement in these behaviors over time, even after controlling for diagnosis. There was no association between early social/communicative impairments and RSM behaviors for the sample as a whole, after diagnosis had been accounted for. However, among children with nonspectrum DD, milder social/communicative impairments at age 2 were associated with milder RSM behaviors.
The results for IS behaviors were essentially a mirror image of those for RSM scores, both for correlates at age 2 and for developmental trends. Diagnosis within the autism spectrum at age 2 was not strongly associated with concurrent IS behaviors; children with autism had IS scores similar to children with milder PDD-NOS. Cognitive ability was also not associated with IS behaviors at age 2, nor with changes in these behaviors over time. However, social/communicative impairments at age 2 were associated with concurrent IS behaviors. In this case, the relationship was positive; milder impairments were associated with more severe IS behaviors. Upon closer examination, this association age 2 was stronger for children with ASD than for children with DD, again in contrast to the findings for RSM behaviors.
These findings are consistent with our predictions, and add to the evidence from other studies that there are two RRB ‘subtypes.’ Consistent with the findings from previous studies (e.g., Cuccaro et al., 2003), our results indicate that cognitive ability is more strongly associated with concurrent RSM scores than with IS scores. These findings are also consistent with the suggestion that these are ‘lower-order’ behaviors (Turner, 1999). Furthermore, we found that higher early NVIQ scores are associated with greater improvement in RSM behaviors over time, also consistent with recent studies (Esbensen et al., 2009). In contrast, and similar to previous studies, we did not find evidence for a relationship between cognitive functioning and IS behaviors. However, we did find evidence for a relationship between early social/communicative impairment and concurrent IS behaviors; interestingly, children with milder social/communicative deficits, as indicated by lower scores on the ADOS, actually had more severe IS behaviors. This finding is consistent with results from some previous studies (e.g. Bishop et al., 2006), as well as with the conceptualization of IS behaviors as ‘higher-order’ (Turner, 1999).
These sharp contrasts between RSM and IS behaviors have important implications for our theoretical understanding of RRBs. First, they suggest that researchers must give each ‘subtype’ its due consideration, not just in studies of RRBs in ASD, but also when examining other diagnostic groups that exhibit similar behaviors. We may gain a richer understanding of RRBs in a wide variety of disorders by considering each ‘subtype’ in turn. There is already some evidence that the RRBs seen in other disorders may fall into a particular ‘subtype’. For example, Bishop, Gahagan, & Lord (2007) found that children with Fetal Alcohol Spectrum Disorder were similar to children with ASD in the number and severity of IS behaviors, but had fewer and/or milder RSM behaviors. In contrast, children with Down Syndrome had fewer and/or milder behaviors in both categories. Similarly, other disorders might be thought of as primarily involving one subtype of repetitive behaviors; for example, the perseverative thoughts and compulsive behaviors seen in Obsessive-Compulsive Disorder might be thought of as similar to ‘insistence on sameness’ behaviors. It is also possible that there are other kinds of RRBs that are not characteristic of ASD, but are a prominent feature of other disorders. Thus, taking a ‘subtyping’ approach might yield important findings about RRBs in other disorders.
The findings on early correlates of RSM and IS behaviors might also provide clues to the etiology of such behaviors. The close relationship between cognitive functioning and RSM behaviors, both for children with ASD and children with DD, suggests that these behaviors may be the result of abnormalities in parts of the brain that control sensory and motor activity. The same neuropathology that gives rise to impairments in cognitive functioning, particularly in visual/motor ability, might also lead to unusual behaviors in the sensorimotor domain. Among children with ASD, there might be a direct underlying connection between milder social/communicative impairment and IS behaviors. However, it is also possible that IS behaviors are simply easier for parents to identify in children who are more socially aware and have functional language, since these children are better able to communicate when they are distressed by some change in a routine or ritual.
The contrasting findings for IS and RSM behaviors also have important clinical implications. A higher level of cognitive functioning at an early age is a good prognostic indicator for RSM behaviors, but not IS behaviors. Clinicians making prognoses about outcome should bear these findings in mind. However, although children with ASD who have milder social impairments might be most likely to exhibit IS behaviors at a young age, many children with ASD, across a wide range of ability, will develop some IS behaviors as they get older, even if these behaviors remain relatively mild.
In contrast to some of the other variables examined, a child’s early diagnosis within the autism spectrum appears to be of limited value in predicting trajectories of RRB development for either RSM or IS behaviors; a child’s spectrum diagnosis was not predictive of how either kind of behavior changed over time. However, it is important to note that changes in spectrum diagnosis (i.e., from autism to milder PDD-NOS or vice versa) were associated with changes in RSM scores. At first glance, this might not seem surprising, in that diagnoses are made based on symptom severity, and RRBs comprise one symptom domain in ASD. However, it is important to note that in the present study, changes in diagnosis were only associated with changes in RSM scores, but not with changes in IS scores; children across all diagnostic change groups experienced worsening IS behaviors over time. This suggests that when decisions are made about diagnostic status, certain symptoms may be weighed more heavily than others. In the case of RRBs, worsening RSM behaviors might lead to a more severe diagnosis, whereas worsening IS behaviors might be considered less informative.
Differences in Patterns of Change for Children with ASD
As with correlates and predictors of change, the findings for patterns of change in RSM and IS behaviors were also strikingly different. Children with ASD tended to show severe and/or many RSM behaviors that either persisted over time or improved somewhat. In contrast, most children with ASD had few or very mild IS behaviors early on, and then either continued to show this profile or showed a modest increase in the number and/or severity of such behaviors.
The findings from the Proc Traj analyses provided information about the heterogeneity of RRB development among children with ASD that were not evident from the analyses of predictors of change. For example the Proc Traj analyses revealed that, although most children had persistently many and/or severe RSM behaviors, there was a subgroup of children with ASD who had consistently mild RSM behaviors. Similarly, although IS behaviors tended to remain consistently mild or increase slightly, there was a group of children with ASD who showed a sharper increase. Thus, even among children with ASD, there is considerable variability in the development of both RSM and IS behaviors.
These findings are consistent with the considerable phenotypic heterogeneity seen in other core domains of the disorder (Geschwind & Levitt, 2007). For those trying to identify genes associated with ASD, this degree of variability can present a challenge. Some researchers have attempted first to identify genotypes in samples of individuals with ASD, and then to determine if there are associated phenotypes (e.g., Brune et al., 2006). Others have taken the opposite approach, stratifying samples according to phenotypic characteristics such as language acquisition (Shao et al., 2002), and then looking for commonly affected chromosomal regions. Researchers have also begun using RRBs in genetic studies with stratified samples. Several studies have identified chromosomal regions that may be related to autism by identifying children with high IS (Shao et al., 2003) or Compulsions scores (Sutcliffe et al., 2005). Hus, Pickles, Cook, Risi, & Lord (2007) have suggested that stratifying samples according to IS behaviors might prove particularly useful for identifying candidate genes, precisely because they represent a feature of the disorder that is relatively independent from other features. Furthermore, several studies have found evidence of familiality for IS behaviors (e.g., Szatmari et al., 2006), suggesting that these behaviors have a genetic basis and would therefore be useful for stratification.
Our findings about change in IS scores over time suggest that development must also be taken into account when considering phenotypes. Most children with ASD had relatively low IS scores at young ages, but as children got older, trajectories began to diverge, with some children continuing to have low scores, and others increasing. It might be useful to define phenotypic groups based on patterns of change (e.g., children whose IS behaviors worsen over time), rather than on the presence or severity of these behaviors at a single point in development.
Methodological Considerations
The findings on differences in RSM and IS behaviors help explain why results in previous studies of RRB development have been mixed. How RRBs change over time clearly depends, in part, on the kind of behavior. Researchers should consider this issue when deciding how to analyze RRB data. There might be instances in which analyzing total scores is useful, such as when trying to make distinctions between children with ASD and children with nonspectrum disorders using a relatively general measure of RRBs. Looking at changes in the number of behaviors, as well as in scores, may also be important. In the present study, doing so revealed an important finding: many children who maintained a relatively high number of RSM behaviors nevertheless showed improvements in these behaviors. This is encouraging, as it suggests that behaviors can improve, even if they do not completely disappear.
Although decisions about how to measure and analyze RRBs strengthened our findings, they necessarily presented some constraints. For example, scores were higher for RSM behaviors than for IS behaviors. For children in the highest RSM group, scores reached a peak of approximately 7 out of a maximum of 11, while in the highest IS group, scores only reached a peak of less than 2 out of a maximum of 9. The difference in numbers of behaviors relative to the maximum number possible was not as striking. One might conclude from this finding that RSM behaviors are more severe in children with ASD than IS behaviors. It is difficult to directly compare severity across items, however, because codes are written differently depending on the behavior. For example, to receive a score of 2 on the ADI-R IS items, the child must clearly experience distress (e.g., crying if the furniture in the living room is rearranged). In contrast, to receive a score of 2 on the RSM items, the child has to spend a substantial amount of time engaged in the behavior, but does not have to display distress if interrupted. The reason why fewer children received scores of 2 on the IS items could therefore be that these items have a higher ‘threshold.’ Another possible reason why scores were higher for RSM items is that, although a given behavior should only be coded under a single ADI-R item, different aspects of a single behavior can be coded in different RSM items. For example, a child who likes to spin the wheels repeatedly on a toy car and watches the wheels very closely as they spin would be coded under both repetitive use of objects, for the spinning, and under unusual sensory interests, for the close visual inspection. In contrast, there might be less overlap between the IS items; if a child insists on carrying out a particular ritual, such as touching things in a certain order, this should only be coded under compulsions and rituals and not under difficulties with changes in routine. As a result, it might be easier for a child to obtain a high combined score on the RSM items than on the IS items on the ADI-R.
Limitations and Future Directions for Research
The findings presented here are based on parent report of RRBs. Although parent report has the advantage of being able to gather information about behaviors that might not be observed in a short assessment, it is necessarily subjective, which can be problematic. Having clinicians who are experienced in administration and coding helps elicit accurate descriptions of behaviors. Nevertheless, it is important to corroborate the findings from the present study with data obtained from other sources, such as teacher report and direct, repeated observation in a relatively naturalistic setting, such as at home or in a classroom.
Children were first recruited into this study at a time when early diagnosis of ASD was relatively uncommon. For this reason, our sample might not be representative of young children currently referred for a diagnosis of ASD. Presumably, given the increased awareness of ASD and ability to recognize milder variants, the children in the present study might have had more severe symptoms, on average, than children referred today. It is important that longitudinal studies continue, so that we have more up-to-date information on development in ASD.
Similarly, the DD group in the present study was small and heterogeneous, and therefore possibly not representative of individuals with any particular nonspectrum disorder. For the purposes of the present study, the most important feature common to individuals in the DD sample was the absence of an ASD diagnosis, in the presence of substantial developmental delays, often including cognitive impairments. However, studies that aim to understand RRBs in other disorders should include more homogeneous groups, such as individuals with severe intellectual disability, Tourette Disorder, or Obsessive-Compulsive Disorder.
Another limitation of the present study was that, although the rate of attrition was relatively low, it was higher in families with lower socioeconomic status. It is possible that we would have found more significant effects for demographic variables if we had been able to continue following these families.
A final caveat about the findings presented here is that they do not account for the effects of treatment on the development of RRBs. It is crucial that we determine whether treatment can reduce RRBs, and if so, which methods are most effective. Because these behaviors can significantly interfere with both the child’s and the family’s functioning, parents want to know what can be done to address them. To date, little research has directly addressed this question. It is especially important to elucidate the ways in which RRBs are related to other kinds of difficulties, such as in the areas of social interaction and language. Such findings might indicate that certain RRBs would most effectively be treated by targeting other related behaviors (e.g., by attempting to increase the amount of time a child engages in functional and representational play).
The findings from the present study suggest that it is time to abandon a simplistic conceptualization of RRBs as a unitary category. These behaviors are complex and deserve the same careful attention that the other core domains of ASD have received. Taking a closer look at RRBs will enhance our understanding of these behaviors, both in ASD and in other disorders.
Figure 3.
Predicted IS Scores by Diagnosis at Age 2
Acknowledgments
This research was supported by grants from the National Institute of Mental Health (R01-MH066496) and the National Institute on Child Health and Human Development (U19-HD 35482) to Catherine Lord and from the National Institutes of Health (T32HD07489) to Len Abbeduto. We thank the faculty and staff at the University of Chicago, University of North Carolina, and University of Michigan who assisted in collecting and preparing the data reported in this article, as well as the children and families who participated in the various research projects. We also thank Kathy Welch and Noah Stoffman for providing statistical support.
Footnotes
Henceforth, the term ‘autism spectrum disorders’ will be used as an umbrella term, encompassing Autistic Disorder, Pervasive Developmental Disorder – Not Otherwise Specified (PDD-NOS), and Asperger’s Disorder, as defined by DSM-IV criteria. The term ‘autism’ will be used to refer to more narrowly defined Autistic Disorder.
This sample comprises the inception cohort for the longitudinal sample in the present study.
Fewer than 2% of the participants identified themselves as neither Caucasian nor African-American; therefore, these participants were categorized in the ‘non-Caucasian’ group, although this group was predominantly African American.
References
- American Psychiatric Association. Diagnostic and statistical manual of mental disorders. 4. Washington, D.C: American Psychiatric Association; 1994. [Google Scholar]
- Anderson DK, Lord C, Risi S, Shulman C, Welch K, DiLavore PS, Thurm A, Pickles A. Patterns of growth in verbal abilities among children with autism spectrum disorder. Journal of Consulting and Clinical Psychology. 2007;75:594–604. doi: 10.1037/0022-006X.75.4.594. [DOI] [PubMed] [Google Scholar]
- Baron-Cohen, S., Tager-Flusberg, H.
- Bishop SL, Richler J, Lord C. Restricted and repetitive behaviors and nonverbal IQ in children with autism spectrum disorders. Child Neuropsychology. 2006;12:247–267. doi: 10.1080/09297040600630288. [DOI] [PubMed] [Google Scholar]
- Bishop SL, Richler J, Cain AC, Lord C. Predictors of perceived negative impact in mothers of children with autism spectrum disorders. American Journal on Mental Retardation. 2007;112:450–461. doi: 10.1352/0895-8017(2007)112[450:POPNII]2.0.CO;2. [DOI] [PubMed] [Google Scholar]
- Bishop SL, Gahagan S, Lord C. Re-examining the core features of autism: A comparison of autism spectrum disorder and fetal alcohol spectrum disorder. Journal of Child Psychology and Psychiatry. 2007;48:1111–1121. doi: 10.1111/j.1469-7610.2007.01782.x. [DOI] [PubMed] [Google Scholar]
- Bodfish JW, Crawford TW, Powell SB, Golden RN, Lewis MH. Compulsions in adults with mental retardation: Prevalence, phenomenology, and co-morbidity with stereotypy and self-injury. American Journal on Mental Retardation. 1995;100:183–192. [PubMed] [Google Scholar]
- Bodfish JW, Symons FJ, Parker DW, Lewis MH. Varieties of repetitive behavior in autism: Comparisons to mental retardation. Journal of Autism and Developmental Disorders. 2000;30:237–243. doi: 10.1023/a:1005596502855. [DOI] [PubMed] [Google Scholar]
- Brune CW, Kim SJ, Salt J, Leventhal BL, Lord C, Cook EH. 5-HTTLPR genotype-specific phenotype in children and adolescents with autism. American Journal of Psychiatry. 2006;163:2148–2156. doi: 10.1176/ajp.2006.163.12.2148. [DOI] [PubMed] [Google Scholar]
- Charman T, Taylor E, Drew A, Cockerill H, Brown JA, Baird G. Outcome at 7 years of children diagnosed with autism at age 2: Predictive validity of assessments conducted at 2 and 3 years of age and pattern of symptom change over time. Journal of. 2005 doi: 10.1111/j.1469-7610.2004.00377.x. [DOI] [PubMed] [Google Scholar]
- Cuccaro ML, Shao Y, Grubber J, Slifer M, Wolpert CM, Donnelly SL, Abramson RK, Ravan SA, Wright HH, DeLong RG, Pericak-Vance MA. Factor analysis of restricted and repetitive behaviors in autism using the Autism Diagnostic Interview-R. Child Psychiatry and Human Development. 2003;34:3–17. doi: 10.1023/a:1025321707947. [DOI] [PubMed] [Google Scholar]
- Deloache JS, Simcock G, Macari S. Planes, trains, automobiles — extremely intense interests in very young children. Developmental Psychology. 2007;43:1579–1586. doi: 10.1037/0012-1649.43.6.1579. [DOI] [PubMed] [Google Scholar]
- DiLavore P, Lord C, Rutter M. The Pre-Linguistic Autism Diagnostic Observation Schedule. Journal of Autism and Developmental Disorders. 1995;25:355–379. doi: 10.1007/BF02179373. [DOI] [PubMed] [Google Scholar]
- Elliott CD. Differential Ability Scales. San Antonio, TX: Psychological Corporation; 1990. [Google Scholar]
- Esbensen AJ, Seltzer MM, Lam KSL, Bodfish JW. Age-related differences in restricted and repetitive behaviors in autism spectrum disorders. Journal of Autism and Developmental Disorders. 2009;39:57–66. doi: 10.1007/s10803-008-0599-x. [DOI] [PMC free article] [PubMed] [Google Scholar]
- Evans DW, Leckman JF, Carter A, Reznick JS, Henshaw D, King RA, Pauls D. Ritual, habit and perfectionism: The prevalence and development of compulsive-like behavior in normal young children. Child Development. 1997;68:58–68. [PubMed] [Google Scholar]
- Geschwind DH, Levitt P. Autism spectrum disorders: Developmental disconnection syndromes. Current Opinion in Neurobiology. 2007;17:103–111. doi: 10.1016/j.conb.2007.01.009. [DOI] [PubMed] [Google Scholar]
- Gotham K, Risi S, Pickles A, Lord C. The autism diagnostic observation schedule: Revised algorithms for improved diagnostic validity. Journal of Autism and Developmental Disorders. 2007;37:613–627. doi: 10.1007/s10803-006-0280-1. [DOI] [PubMed] [Google Scholar]
- Gotham K, Risi S, Dawson G, Tager-Flusberg H, Joseph R, Carter A, et al. A replication of the Autism Diagnostic Observation Schedule (ADOS) Revised Algorithms. Journal of the American Academy of Child and Adolescent Psychiatry. 2008;47:642–651. doi: 10.1097/CHI.0b013e31816bffb7. [DOI] [PMC free article] [PubMed] [Google Scholar]
- Howlin P, Goode S, Hutton J, Rutter M. Adult outcome for children with autism. Journal of Child Psychology and Psychiatry. 2004;45:212–229. doi: 10.1111/j.1469-7610.2004.00215.x. [DOI] [PubMed] [Google Scholar]
- Hus V, Pickles A, Cook EH, Risi S, Lord C. Using the Autism Diagnostic Interview-Revised to increase phenotypic homogeneity in genetic studies of autism. Biological Psychiatry. 2007;61:438–448. doi: 10.1016/j.biopsych.2006.08.044. [DOI] [PubMed] [Google Scholar]
- Jones BL, Nagin DS, Roeder K. A SAS procedure based on mixture models for estimating developmental trajectories. Sociological Methods and Research. 2001;29:374–393. [Google Scholar]
- Koegel LK, Koegel RL, Hurley C, Frea WD. Improving social skills and disruptive behavior in children with autism through self-management. Journal of Applied Behavior Analysis. 1992;25:341–353. doi: 10.1901/jaba.1992.25-341. [DOI] [PMC free article] [PubMed] [Google Scholar]
- Lord C, Risi S, DiLavore PS, Shulman C, Thurm A, Pickles A. Autism from 2 to 9 years of age. Archives of General Psychiatry. 2006;63:694–701. doi: 10.1001/archpsyc.63.6.694. [DOI] [PubMed] [Google Scholar]
- Lord C, Risi S, Lambrecht L, Cook E, Leventhal B, DiLavore P, Pickles A, Rutter M. The ADOS-G (Autism Diagnostic Observation Schedule-Generic): A standard measure of social and communication deficits associated with autism spectrum disorder. Journal of Autism and Developmental Disorders. 2000;30:205–223. [PubMed] [Google Scholar]
- Lord C, Rutter ML, Goode S, Heemsbergen J, Jordan H, Mawhood L, Schopler E. Autism Diagnostic Observation Schedule: A standardized observation of communicative and social behaviour. Journal of Autism and Developmental Disorders. 1989;19:185–212. doi: 10.1007/BF02211841. [DOI] [PubMed] [Google Scholar]
- Lord C, Rutter M, LeCouteur A. Autism Diagnostic Interview - Revised: A revised version of a diagnostic interview for caregivers of individuals with possible pervasive developmental disorders. Journal of Autism and Developmental Disorders. 1994;24:659–685. doi: 10.1007/BF02172145. [DOI] [PubMed] [Google Scholar]
- Lord C, Shulman C, DiLavore P. Regression and word loss in autistic spectrum disorders. Journal of Child Psychology and Psychiatry. 2004;45:936–955. doi: 10.1111/j.1469-7610.2004.t01-1-00287.x. [DOI] [PubMed] [Google Scholar]
- Mahone EM, Bridges D, Prahme C, Singer HS. Repetitive arm and hand movements (complex motor stereotypies) in children. Journal of Pediatrics. 2004;145:391–395. doi: 10.1016/j.jpeds.2004.06.014. [DOI] [PubMed] [Google Scholar]
- McGovern CW, Sigman M. Continuity and change from early childhood to adolescence in autism. Journal of Child Psychology and Psychiatry. 2005;46:401–408. doi: 10.1111/j.1469-7610.2004.00361.x. [DOI] [PubMed] [Google Scholar]
- Moore V, Goodson S. How well does early diagnosis of autism stand the test of time? Follow-up study of children assessed for autism at age 2 and development of an early diagnostic service. Autism. 2003;7:47–63. doi: 10.1177/1362361303007001005. [DOI] [PubMed] [Google Scholar]
- Mullen E. The Mullen Scales of Early Learning. Circle Pines, MN: American Guidance Service Inc; 1995. [Google Scholar]
- Murphy GH, Beadle-Brown J, Wing L, Gould J, Shah A, Holmes N. Chronicity of challenging behaviors in people with severe intellectual disabilities and/or autism: A total population sample. Journal of Autism and Developmental Disorders. 2005;35:405–418. doi: 10.1007/s10803-005-5030-2. [DOI] [PubMed] [Google Scholar]
- Ozonoff S. Components of executive function in autism and other disorders. In: Russell J, editor. Autism as an Executive Disorder. Oxford: Oxford University Press; 1997. pp. 179–214. [Google Scholar]
- Richler J, Bishop SL, Kleinke J, Lord C. Restricted and repetitive behaviors in young children with autism spectrum disorders. Journal of Autism and Developmental Disorders. 2007;37:73–85. doi: 10.1007/s10803-006-0332-6. [DOI] [PubMed] [Google Scholar]
- Rutter M, LeCouteur A, Lord C. Autism Diagnostic Interview-Revised. Los Angeles: Western Psychological Services; 2003. [Google Scholar]
- Shao YJ, Raiford KL, Wolpert CM, Cope HA, Ravan SA, Ashley-Koch AA, et al. Phenotypic homogeneity provides increased support for linkage on chromosome 2 in autistic disorder. American Journal of Human Genetics. 2002;70:1058–1061. doi: 10.1086/339765. [DOI] [PMC free article] [PubMed] [Google Scholar]
- Shao YJ, Cuccaro ML, Hauser ER, Raiford KL, Menold MM, Wolpert CM, et al. Fine mapping of autistic disorder to chromosome 15q11-q13 by use of phenotypic subtypes. American Journal of Human Genetics. 2003;72:539–548. doi: 10.1086/367846. [DOI] [PMC free article] [PubMed] [Google Scholar]
- South M, Klin A, Ozonoff S. The Yale Special Interests Interview [Unpublished measure] 1999. [Google Scholar]
- South M, Ozonoff S, McMahon WM. Repetitive behavior profiles in Asperger’s syndrome and high-functioning autism. Journal of Autism and Developmental Disorders. 2005;35:145–158. doi: 10.1007/s10803-004-1992-8. [DOI] [PubMed] [Google Scholar]
- Sparrow SS, Balla DA, Cicchetti DV. Vineland Adaptive Behavior Scales. Circle Pines, MN: American Guidance Service Inc; 1984. [Google Scholar]
- Stutsman R. Guide for administering the Merrill-Palmer Scale of Mental Tests. In: Terman LM, editor. Mental Measurement of Preschool Children. New York, NY: Harcourt, Brace & World; 1931. pp. 139–262. [Google Scholar]
- Sutcliffe JS, Delahanty RJ, Prasad HC, McCauley JL, Han Q, Jiang L, et al. Allelic heterogeneity at the serotonin transporter locus (SLC6A4) confers susceptibility to autism and rigid–compulsive behaviors. American Journal of Human Genetics. 2005;77:265–279. doi: 10.1086/432648. [DOI] [PMC free article] [PubMed] [Google Scholar]
- Szatmari P, Bryson SE, Boyle MH, Streiner DL, Duku E. Predictors of outcome among high functioning children with autism and Asperger syndrome. Journal of Child Psychology and Psychiatry. 2003;44:520–528. doi: 10.1111/1469-7610.00141. [DOI] [PubMed] [Google Scholar]
- Szatmari P, Georgiades S, Bryson S, Zwaigenbaum L, Roberts W, Mahoney W, Goldberg J, Tuff L. Investigating the structure of the restricted, repetitive behaviours and interests domain of autism. Journal of Child Psychology and Psychiatry. 2006;47:582–590. doi: 10.1111/j.1469-7610.2005.01537.x. [DOI] [PubMed] [Google Scholar]
- Turner MA. Towards an executive dysfunction account of repetitive behavior in autism. In: Russell J, editor. Autism as an Executive Disorder. Oxford: Oxford University Press; 1997. pp. 57–100. [Google Scholar]
- Turner MA. Annotation: Repetitive behavior in autism: A review of psychological research. Journal of Child Psychology and Psychiatry. 1999;40:839–849. [PubMed] [Google Scholar]
- Walker DR, Thompson A, Zwaigenbaum L, Goldberg J, Bryson SE, Mahoney WJ, Strawbridge CP, Szatmari P. Specifying PDD-NOS: A comparison of PDD-NOS, Asperger’s syndrome, and autism. Journal of the American Academy of Child and Adolescent Psychiatry. 2004;43:172–180. doi: 10.1097/00004583-200402000-00012. [DOI] [PubMed] [Google Scholar]
- Wechsler D. Manual for the Wechsler Intelligence Scale for Children. 3. San Antonio, TX: Psychological Corporation; 1991. [Google Scholar]
- Willemsen-Swinkels SHN, Buitelaar JK, Dekker M, van Engeland H. Subtyping stereotypic behavior in children: The association between stereotypic behavior, mood, and heart rate. Journal of Autism and Developmental Disorders. 1998;28:547–557. doi: 10.1023/a:1026008313284. [DOI] [PubMed] [Google Scholar]





