Abstract
The aim of this study was to determine the diagnostic value of systemic biochemical markers of bone turnover in aseptic loosening in hip arthroplasty, namely the urine levels of three bone resorption peptides – crosslinked n-telopeptides (NTX), c-telopeptides (CTX I) and deoxypyridinoline (DPD). We compared 52 patients with surgically proven component loosening with 52 patients without clinical or radiological signs of endoprosthetic loosening and 52 healthy individuals. All three markers were measured using commercially available enzyme-linked immunoassays. We found significantly increased levels of DPD in the loosening group (p < 0.05), but there was no significant difference between the loosening group and the two reference groups for the other two markers tested. Our data suggest that DPD can be used as an additional tool in the diagnosis of aseptic loosening in hip arthroplasty but CTX I and NTX have no predictive value in this context.
Résumé
Le but de cette étude est de déterminer la valeur diagnostic de marqueurs bio-chimiques dans le descellement aseptique des prothèses totales de hanche, en mesurant un certain nombre peptides issus de la résorption osseuse (crosslinked n-telpeptides [NTX], c-telpepetides [CTX I] et deoxypyridinoline [DPD]. nous avons comparé les paramètres de 52 individus présentant un descellement aseptique à 52 individus sains. Tous les paramètres ont été mesurés par la méthode ELISA. nous avons trouvé une augmentation significative des DPD dans le groupe prothèses descellées (p < 0.05). Il n’y a pas de différence significative entre les deux groupes pour les autres marqueurs. nous suggérons que la DPD peut être utilisée comme un marqueur additionnel du diagnostic des descellements aseptiques des prothèses totales de hanche par contre, il n’y a pas de valeurs prédictives pour les marqueurs CTX1 et NTX.
Introduction
Despite continuous advances in prosthetic design and surgical technique, aseptic loosening remains the most common cause of late failure in total hip arthroplasty (THA) [12]. The aetiology of prosthetic loosening is multifactorial. Although mechanical factors and material properties of the implants contribute to periprosthetic bone loss, it has been shown that osteolysis around total joint prostheses is mainly attributable to biological reactions associated to particulate wear debris [7]. In recent years, strong evidence has emerged which indicates that the accumulation of degradation products generated from artificial joints induces a chronic foreign body-type inflammatory response in the synovial membrane-like interface tissue [7]. Histological analysis of retrieved peri-implant tissues from patients undergoing revision surgery has revealed the presence of large numbers of macrophages, fibroblasts, lymphocytes and abundant particulate debris [9]. The activation of macrophages by phagocytosis of prosthesis-derived abrasion products seems to play a major role in the regulation of osteoclast-mediated bone resorption. Several studies have demonstrated that exposure of macrophages to wear particles results in the release of various cellular products, causing osteoclastic bone resorption [11] or the inhibition of synthetic osteoblast activity [6]. However, despite this recent progress in determining the molecular and cellular aspects of endoprosthetic loosening, the diagnosis of periprosthetic bone loss is still mainly based on clinical presentation and radiographic evaluation [14], although a comparison of radiographic results is somewhat difficult as no unified agreement exists regarding the significance of radiolucent lines and the definition of loosening and failure [10].
Furthermore there seems to be no clear correlation between clinical outcome and aseptic loosening [4], although pain becomes more common as the amount of radiographic stem loosening increases [17]. In contrast, patients with acetabular loosening may be entirely asymptomatic. In this latter scenario, there is often substantial bone loss, particularly when the patient presents late. Major bone loss usually requires extensive bone grafting and may involve difficult revision surgery. Consequently, the early diagnosis of aseptic component loosening is essential, but difficult. The relatively recent development of several specific and sensitive markers of bone metabolism has greatly improved the assessment of bone disease. The measurement of biochemical bone markers reflects the degradation of collagen and provides a valid estimate of the rate of bone resorption. Although a small number of studies have investigated biochemical markers of bone resorption in aseptic failure of THA [1, 16, 20, 23–25], the findings have been contradictory, and a real breakthrough has yet to occur. In addition, no study has assessed the urinary excretion level of type-I collagen crosslinked C-telopeptides (CTX I) as a noninvasive indicator of aseptic loosening of THA.
Based on promising data obtained from a preliminary study [20], we have assessed the diagnostic reliability of urinary bone resorption markers – n-telopeptides (NTX), deoxypyridinoline (DPD) and CTX I – in a extended gender- and aged-matched study cohort.
Patients and methods
We included 52 patients with the diagnosis of aseptic loosening of THA undergoing revision surgery as the study group (SG). Definite loosening was confirmed in all patients at surgery. The degree of radiographic osteolysis was graded according to the criteria of Paprosky et al. [15]. The THA control group (CP1), which served as match pair controls, consisted of 52 patients without any clinical or radiological evidence of endoprosthetic loosening. A second group of 52 individuals, all without any joint replacement or known osteoarthritis, were recruited from gymnastic groups for elderly persons and served as the reference control group (CP2). This patient group was entirely different from that in our earlier published study [20], and none of the patients enrolled in this study had been investigated previously.
The control groups were matched according to gender, age and time of implant. All individuals with fractures, metabolic bone or rheumatoid disease, Paget’s disease, endocrine or gastrointestinal disorders, renal dysfunction, hormone replacement therapy, a history of bone tumours or a history of osteoanabolic therapy were excluded. None of the female patients was taking hormone replacement therapy (HRT).
The loosening group (SG) comprised 26 men and 26 women with a median age of 65 years (range 54–85 years). The mean time of implantation was 8.2 years (range 4.1−22.6 years). The THA control group (CP1) consisted of 26 men and 26 women with a median age of 63 years (range 51–86 years) who had undergone primary THA a mean of 7.8 years (range 3.6–18.7 years) prior to the start of this study. All patients participating in the study and control group 1 had uncemented THA (stem and cup) with polyethylene (PE) components/inlays on the acetabular side articulating with ceramic femoral heads. During surgery, four femoral, 44 acetabular and three two-component loosenings were found.
The median age of the reference control group (26 men and 26 women) without any endoprosthetic replacement or known osteoarthritis (CP2) was 61 years (range 52–75 years).
All urine samples were collected as second morning specimens after overnight fasting in commercially available tubes and centrifuged at 6000 rpm for 5 min. The samples were aliquoted and stored at −20°C for 3 months until processing. Before assay analysis, the samples were thawed to room temperature. Only non-haemolysed samples were processed. Urine levels of bone resorption peptides (crosslinked NTX, CTX I and DPD) were measured using commercially available enzyme-linked immunoassays (ELISAs; CTX: Cross-laps, Osteometer Biotech, Herlev, Denmark; NTX: Osteomark, Ostex, Seattle, WA; DPD: Pyrilinks-D, Metra Biosystems, Mountain View, CA). In order to ensure the reproducibility and performance of the assays, three genuine urine samples were added as controls on each microtiter plate, and the entire plate was rerun if any of the genuine controls were determined to have a concentration >10% of the predetermined value. Urinary creatinine was measured by an automatic assay based on the Jaffe method. The concentration of the markers was standardised to the total urine creatinine.
Statistical analysis
All data were tested for deviation from the normal distribution within the groups using a Kolmogorov-Smirnov test and box-and-whisker plots. The homogeneity of variances was tested using a Levene F test. The data of the outcome variables and confounders were tested in a multiple linear and binary logistic regression. The box-and-whisker plot displays the first and third quartile as the ends of the box, the maximum and minimum as the whiskers and the median as a vertical bar in the interior of each box. Extreme values are displayed as separate symbols. All tests were two-sided, and a p value <0.05 was considered to be significant. The results were statistically analysed by descriptive and interference statistical methods using SPSS for Windows ver. 11.0 (SPSS, Chicago, IL).
This study received the approval of the appropriate ethics committee and has therefore been performed in accordance with the ethical standards laid down in the 1964 Declaration of Helsinki. All participants gave their informed consent prior to their inclusion in the study.
Results
None of the three measured biochemical markers was significantly influenced by gender when a binary logistic regression was applied (DPD/gender: p = 0.57; NTX/gender: p = 0.185; CTX/gender: p = 0.134). Linear regression analysis revealed that neither age nor time of implant in situ significantly affected the concentrations of the tested urinary excretion (DPD/ time of implant in situ: p = 0.317; DPD/age: p = 0.44; NTX/time of implant in situ: p = 0.945; NTX/age: p = 0.444; CTX I/time of implant in situ: p = 0.842 ; CTX I/age: p = 0.379).
Deoxypyridinoline
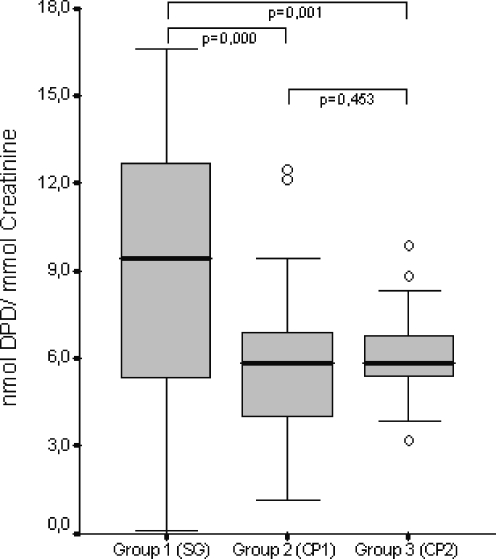
Patients with aseptic loosening (SG) showed a significant increase in DPD/creatinine urinary excretion in in comparison to patients with stable THA (CP1) or without an implant (CP2) (Fig. 1). The linear regression applied to prove the effect of the amount of periprosthetic loosening according to the criteria of Paprovsky et al. [15] gave a p value of 0.000. When the loosening group was divided into a subgroup with acetebular and stem loosening, respectively there was a slight trend towards a dependence on acetebular loosening (p = 0.054), while patients with loose stems had significantly higher DPD values (p = 0.000). As expected, there were higher levels of DPD in female patients, but as in the other measured markers, there were no significant differences between the sexes (Table 1).
Fig. 1.
Urinary excretion of deoxypyridinoline (DPD)/ creatinine (nmol/mmol). The box-and-whisker plot displays the first and third quartile as the ends of the box, the maximum and minimum as the whiskers and the median as a vertical bar in the interior of each box. Extreme values are displayed as separate symbols. P values are shown between the groups
Table 1.
Details of the patients’ urinary levels of DPD/creatinine versus gender
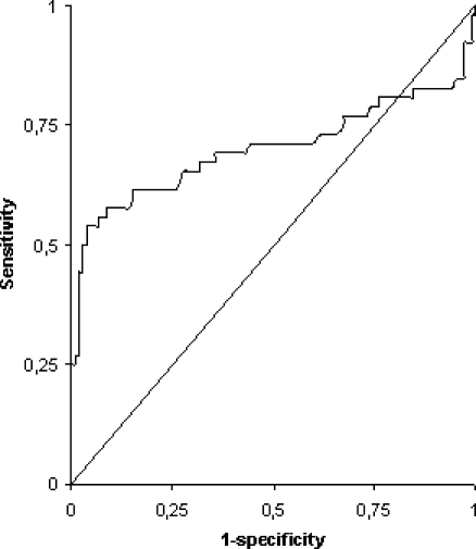
Receiver operating characteristic (ROC) curves were calculated to select the optimal cutoff level for detecting loose or well-fixed implants (Fig. 2). At a cutoff level of 9.195 nmol DPD/ mmol creatinine the sensitivity, which indicates the ability of a test to identify correctly those having a loose implant, was 54%. The specificity, which shows the ability of a test to identify correctly those patients having a well-fixed prostheses, was 96.2%.
Fig. 2.
Selection of optimal cutoff level for DPD by receiver operating characteristic (ROC) analysis. Cutoff levels were selected at the DPD value at which the sum of specificity and sensitivity was the highest. This corresponds to the sensitivity/specificity pair at the maximal distance from the diagonal
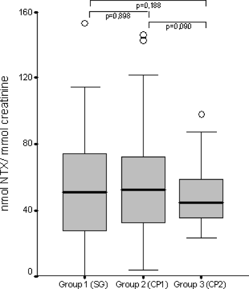
N-terminal telopeptide and C-terminal telopeptide I
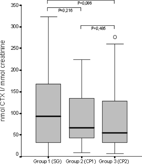
No effect was observed between the loosening (SG) and the 2 control groups (CP1 respectively CP2) with respect to the urinary levels of NTX (Fig. 3). Even if there was a little trend towards higher CTX I levels in patients with THA failure no significant data could be confirmed (Fig. 4).
Fig. 3.
Urinary excretion of N-terminal telopeptide (NTX)/creatinine (nmol/mmol). The box-and-whisker plot displays the first and third quartile as the ends of the box, the maximum and minimum as the whiskers and the median as a vertical bar in the interior of each box. Extreme values are displayed as symbols separately. P values are shown between the groups
Fig. 4.
Urinary excretion of C-terminal telopeptide (CTX 1)/creatinine (nmol/mmol). The box-and-whisker plot displays the first and third quartile as the ends of the box, the maximum and minimum as the whiskers and the median as a vertical bar in the interior of each box. Extreme values are displayed as symbols separately. P values are shown between the group
Discussion
Despite steady progress in recognising the cellular and molecular aspects of aseptic loosening of THA, the diagnosis of periprosthetic bone loss is still mainly based on clinical presentation and radiographic evaluation [14]. Although there have been various studies aimed at identifying potential biochemical markers for the diagnosis of aseptic loosening, comparable noninvasive surrogate markers have not yet been identified [1, 18, 20].
In contrast to previously published studies [16, 24, 25], we were able to demonstrate a statistically significant difference for the urinary excretion levels of DPD in patients with loose implants. This result is in accordance with those from a preliminary study conducted by our group [20] in which we showed a high sensitivity and specificity with an overall accuracy of 83% when the threshold was set at 9.64 nmol/ mmol DPD. In the study reported here, the optimal cut-off threshold was comparable but slightly less (9.20 nmol/ mmol) even when the same ELISA was used.
In our study only patients with an uncemented hip replacement were recruited, while in all of the other studies, the patient cohort consisted of patients with a mixture with different fixation methods [16, 20, 25]. The authors of two earlier studies demonstrated similar postoperative levels of bone resorption markers for the first period after implantation, regardless of the type of implant [13, 21]. However, as no reference values were provided, the long-term values can only be speculated upon.
In our study we found a significant correlation between the radiographic severity of femoral osteolysis after THA and increased urinary excretion levels of DPD, whereas there was only a trend to increased levels in patients with acetabular loosening. This finding may suggest that the primary mechanism of pelvic component failure does not include an increase in bone resorption activity. However, the same osteolytic response to particulate debris is thought to occur in both acetabular and femoral periprosthetic bone [19]. Our failure to demonstrate the dependence of biochemical markers on the amount of acetabular loosening may be a result of an underestimation of the extent of pelvic osteolysis, from the analysis of the radiographs [5].
In contrast to the findings for DPD we were unable to detect any significant difference between the three study groups for NTX I, whereas other researchers have provided evidence that osteolysis is associated with a significantly higher rate of N-telopeptide excretion [1, 23, 24]. This difference between our results and the earlier ones was not due to assay performance as the same ELISAs were used and the median values for healthy individuals do not differ between the studies [1, 24].
For CTX I also, we were unable to demonstrate more than a trend towards higher levels in patients with a loose implant, but the difference was not significant. To the best of our knowledge, no comparable studies on this biochemical marker have been published and, therefore, it is difficult to analyse this finding. One possibility is that this trend may have been caused by an increase in the local production of pro-inflammatory cytokines, resulting in an uncoupling of bone-turnover [11].
Several different biological factors are known to be able to influence the measurement of bone resorption marker concentrations; consequently, the conflicting data should be analysed carefully. Levels of bone markers can vary between men and women and can also vary between women depending on the ovarian status [3]. For all the markers tested to date, a 50–100 % increase is seen after onset of menopause. For this reason it is very important that the study population is matched by sex and menopausal status. In this investigation, all three groups comprised postmenopausal women and the groups were similar in terms of age and time since onset of menopause. There could be also an increase in bone markers due individual circadian and seasonal variations as well as osteoarthritis in other joints. Kelman et al. [8] recently showed increased serum levels of NTX I in an elderly female population in association with the onset of hip osteoarthritis. Similar findings were also described for the urine concentrations of DPD and CTX [2, 22]. In our study we attempted to limit possible disturbing factors by creating a clear study protocol and recruiting a consistent study population.
On the basis of our observations we conclude that DPD can be used as an additional indicator in the diagnosis and screening of aseptic loosening in hip arthroplasty. The predictive value of the other biochemical markers tested (CTX I and NTX) is weak. However, the gold standard for the diagnosis of an aseptic loosening in THA remains clinical examination and the use of imaging diagnostic tools, including X-ray and scintigraphy.
Acknowledgements
No financial benefits were received for this study by any of the authors. All assays used were provided by the research grant of the Department of Orthopaedic Surgery, University of Heidelberg, Heidelberg, Germany.
References
- 1.Antoniou J, Huk O, Zukor D, et al. Collagen crosslinked N-telopeptides as markers for evaluating particulate osteolysis: a preliminary study. J Orthop Res. 2000;18:64–67. doi: 10.1002/jor.1100180110. [DOI] [PubMed] [Google Scholar]
- 2.Bettica P, Cline G, Hart DJ, et al. Evidence for increased bone resorption in patients with progressive knee osteoarthritis: longitudinal results from the Chingford study. Arthritis Rheum. 2002;46:3178–3184. doi: 10.1002/art.10630. [DOI] [PubMed] [Google Scholar]
- 3.Calvo MS, Eyre DR, Gundberg CM. Molecular basis and clinical application of biological markers of bone turnover. Endocr Rev. 1996;17:333–368. doi: 10.1210/er.17.4.333. [DOI] [PubMed] [Google Scholar]
- 4.Carlsson AS, Gentz CF. Radiographic versus clinical loosening of the acetabular component in noninfected total hip arthroplasty. Clin Orthop Relat Res. 1984;185:145–150. [PubMed] [Google Scholar]
- 5.Claus AM, Engh CA, Jr, Sychterz CJ, et al. Radiographic definition of pelvic osteolysis following total hip arthroplasty. J Bone Joint Surg. 2003;85A:1519–1526. doi: 10.2106/00004623-200308000-00013. [DOI] [PubMed] [Google Scholar]
- 6.Gilardetti RS, Chaibi MS, Stroumza J, et al. High-affinity binding of PDGF-AA and PDGF-BB to normal human osteoblastic cells and modulation by interleukin-1. Am J Physiol. 1991;261:980–985. doi: 10.1152/ajpcell.1991.261.6.C980. [DOI] [PubMed] [Google Scholar]
- 7.Harris WH. Osteolysis and particle disease in hip replacement. Acta Orthop Scand. 1994;65:113–123. doi: 10.3109/17453679408993734. [DOI] [PubMed] [Google Scholar]
- 8.Kelman A, Lui L, Yao W, et al. Association of higher levels of serum cartilage oligomeric matrix protein and N-telopeptide crosslinks with the development of radiographic hip osteoarthritis in elderly women. Arthritis Rheum. 2006;54:236–243. doi: 10.1002/art.21527. [DOI] [PubMed] [Google Scholar]
- 9.Kim K, Chiba J, Rubash H. In Vivo and in Vitro analysis of membranes from hip prostheses inserted without cement. J Bone Joint Surg. 1994;76A:172–180. doi: 10.2106/00004623-199402000-00002. [DOI] [PubMed] [Google Scholar]
- 10.Kneif D, Downing M, Ashcroft GP, et al. Peri-acetabular radiolucent lines: inter- and intra-observer agreement on post-operative radiographs. Int Orthop. 2005;29:152–155. doi: 10.1007/s00264-005-0644-8. [DOI] [PMC free article] [PubMed] [Google Scholar]
- 11.Konttinen YT, Xu JW, Imai S, et al. Cytokines in aseptic loosening of total hip replacement. Curr Orthopaed. 1997;11:40–47. doi: 10.1016/S0268-0890(97)90050-5. [DOI] [Google Scholar]
- 12.Malchau H, Herberts P, Ahnfehlt L. Prognosis of total hip replacement in Sweden. Acta Orthop Scand. 1993;64:497–506. doi: 10.3109/17453679308993679. [DOI] [PubMed] [Google Scholar]
- 13.Meurer A, Lotz J, Giesa M, et al. Follow-up of collagen and bone metabolism in patients with cement-free total hip endoprosthesis. Z Orthop Ihre Grenzgeb. 1998;136:304–309. doi: 10.1055/s-2008-1067984. [DOI] [PubMed] [Google Scholar]
- 14.Morscher E. Criteria for evaluating hip joint arthroplasty. Schweiz Rundsch Med Prax. 2003;92:939–948. doi: 10.1024/0369-8394.92.20.939. [DOI] [PubMed] [Google Scholar]
- 15.Paprosky WG, Burnett RS. Assessment and classification of bone stock deficiency in revision total hip arthroplasty. Am J Orthop. 2002;31:459–464. doi: 10.1007/s00132-001-0287-4. [DOI] [PubMed] [Google Scholar]
- 16.Pellengahr C, Mayer W, Durr HR, et al. The value of desoxypyridinoline in the diagnostics of loosened arthroplasty. Arch Orthop Trauma Surg. 2001;121:205–206. doi: 10.1007/s004020000205. [DOI] [PubMed] [Google Scholar]
- 17.Saleh KJ, Thongtrangan I, Schwarz EM. Osteolysis: medical and surgical approaches. Clin Orthop Relat Res. 2004;427:138–147. doi: 10.1097/01.blo.0000142288.66246.4d. [DOI] [PubMed] [Google Scholar]
- 18.Savarino L, Granchi D, Cenni E, et al. Systemic cross-linked N-terminal telopeptide and procollagen I C-terminal extension peptide as markers of bone turnover after total hip arthroplasty. J Bone Joint Surg. 2005;87B:571–576. doi: 10.1302/0301-620X.87B4.15316. [DOI] [PubMed] [Google Scholar]
- 19.Schmalzried TP, Kwong LM, Jasty M, et al. The mechanism of loosening of cemented acetabular components in total hip arthroplasty. Analysis of specimens retrieved at autopsy. Clin Orthop. 1992;274:60–78. [PubMed] [Google Scholar]
- 20.Schneider U, Breusch SJ, Termath S, et al. Increased urinary crosslink levels in aseptic loosening of total hip arthroplasty. J Arthroplasty. 1998;13:687–692. doi: 10.1016/S0883-5403(98)80014-4. [DOI] [PubMed] [Google Scholar]
- 21.Schneider U, Schmidt-Rohlfing B, Knopf U, et al. Effects upon bone metabolism following total hip and total knee arthroplasty. Pathobiology. 2002;70:26–33. doi: 10.1159/000065999. [DOI] [PubMed] [Google Scholar]
- 22.Thompson PW, Spector TD, James IT, et al. Urinary collagen crosslinks reflect the radiographic severity of knee osteoarthritis. Br J Rheumatol. 1992;31:759–761. doi: 10.1093/rheumatology/31.11.759. [DOI] [PubMed] [Google Scholar]
- 23.Schewelov T, Carlsson A, Dahlberg L. Cross-linked N-telopeptide of type I collagen (NTX) in urine as a predictor of periprosthetic osteolysis. J Orthop Res. 2006;24:1342–1348. doi: 10.1002/jor.20152. [DOI] [PubMed] [Google Scholar]
- 24.Wilkinson JM, Hamer AJ, Rogers A, et al. Bone mineral density and biochemical markers of bone turnover in aseptic loosening after total hip arthroplasty. J Orthop Res. 2003;21:691–696. doi: 10.1016/S0736-0266(02)00237-1. [DOI] [PubMed] [Google Scholar]
- 25.Witzleb WC, Menschikowski M. Urinary concentration of collagen metabolites in endoprosthesis loosening. Z Orthop Ihre Grenzgeb. 2001;139:240–244. doi: 10.1055/s-2001-16327. [DOI] [PubMed] [Google Scholar]





