Abstract
Elevated blood levels of S100B in schizophrenia have so far been mainly attributed to glial pathology, as S100B is produced by astro- and oligodendroglial cells and is thought to act as a neurotrophic factor with effects on synaptogenesis, dopaminergic and glutamatergic neutrotransmission. However, adipocytes are another important source of S100B since the concentration of S100B in adipose tissue is as high as in nervous tissue. Insulin is downregulating S100B in adipocytes, astrocyte cultures and rat brain. As reviewed in this paper, our recent studies suggest that overweight, visceral obesity, and peripheral/cerebral insulin resistance may be pivotal for at least part of the elevated S100B serum levels in schizophrenia. In the context of this recently identified framework of metabolic disturbances accompanying S100B elevation in schizophrenia, it rather has to be attributed to systemic alterations in glucose metabolism than to be considered a surrogate marker for astrocyte-specific pathologies.
1. Significance of S100B as Surrogate Marker for Glial or Blood-Brain Barrier Dysfunction in Schizophrenia
S100B is a secretory protein which is implicated in various intracellular and extracellular functional processes. Previous studies have indicated its involvement in the regulation of protein phosphorylation, cytoskeleton assembly, Ca2+homeostasis, transcription factors, and glucose metabolism [1]. Blood levels of S100B levels are increased in schizophrenia, as summarized in a recent meta-analysis of 13 studies involving 420 patients with schizophrenia and 393 control subjects [2]. Serum S100B reaches high effect sizes in schizophrenia compared to controls (mean ± SD: 2.02 ± 1.78), as confirmed by including only studies investigating drug-free patients (mean ± SD: 1.94 ± 1.33; n = 7). Elevated S100B levels were associated with acute exacerbations or deficit symptoms and have frequently been attributed to glial damage and dysfunction or blood-brain barrier leakage [2–5]. S100B is produced by astrocytes and oligodendrocytes and is acting as a neurotrophic factor with effects on synaptogenesis, dopaminergic and glutamatergic neutrotransmission [6–9]. Whitaker-Azmitia et al. observed a loss of dendrites in mice overexpressing S100B [10]. Interestingly, schizophrenia is indeed associated with certain haplotypes, leading to an increased S100B expression [11], and postmortem studies are suggestive of a progressive reduction of neuropil [12]. Therefore, a causal link between the aforementioned finding of elevated S100B levels and schizophrenia might be considered.
A recent analysis of cerebrospinal fluid (CSF) from first onset schizophrenia cases observed increased levels of S100B, without indications for impaired glial or neuronal cell integrity, as assessed by simultaneous measurement of non-secretory glial and neuronal proteins (glial fibrillary acidic protein/GFAP, myelin basic protein/MBP, neuron specific enolase/NSE) [13]. This finding speaks against the assumption of glial damage during acute psychosis, but could be interpreted as indirect evidence for an activated glial synthesis and release of S100B during acute psychosis. Of note, S100B has also been detected outside the nervous system, for example, in adipose and chondroid tissues, lymphocytes, melanocytes, the myocardium, and vascular endothelial/smooth muscle cells [8].
In conclusion, previous findings support the hypothesis that S100B is involved in the pathogenesis of schizophrenia, but elevated levels of this protein may not exclusively reflect brain- or glial-specific pathologies. Recently, Marchi et al. suggested that serum S100B is an ideal marker of blood-brain barrier integrity, because with a molecular weight of 21 kDa (S100B dimer) it may not penetrate through an intact blood-brain barrier [14]. Furthermore, its concentration is high in central nervous system fluids and low in blood. Indeed, serum levels of S100B were directly correlated with an experimental opening of the blood-brain barrier [14–16]. However, unlike in patients suffering from stroke, traumatic brain injury, or inflammatory brain disorders, there is no clear experimental evidence for a disruption of the blood-brain barrier in schizophrenia. Therefore, it remains unclear if serum levels of S100B are reflecting blood-brain barrier integrity also in schizophrenia.
2. Altered Peripheral and Cerebral Glucose Metabolism in Schizophrenia
Recent studies indicate novel interpretations of previous S100B findings in the context of disturbances in energy metabolism in schizophrenia (see below). Therefore, this section is briefly summarizing current knowledge on schizophrenia-related alterations in glucose metabolism.
Schizophrenia is characterized by a 20% higher mortality rate compared with the general population. Important contributing factors are an increased risk for type 2 diabetes and metabolic syndrome (defined by the American Heart Association as presence of three or more of the components: abdominal obesity, atherogenic dyslipidemia, elevated blood pressure, insulin resistance, prothrombotic state, and proinflammatory state). Weight gain and impaired glucose tolerance have been mainly attributed to side effects of atypical antipsychotic medication, such as clozapine and olanzapine [17–19]. However, impaired fasting glucose tolerance has also been reported in drug naïve schizophrenia cases [20–25] and unaffected siblings [26], suggesting disease-inherent abnormalities in peripheral glucose metabolism.
Cerebral insulin signaling seems to be likewise affected in schizophrenia [27, 28], probably causing disturbances in neural glucose uptake and utilization, as revealed by measurements of elevated CSF glucose levels [29], in vivo fluorodeoxyglucose positron emission tomography (FDG-PET) and functional magnetic resonance imaging (fMRI) studies [30–32]. State-dependent alterations in cerebral glucose-metabolism and functional disconnection have been found in brain regions which are involved in the pathophysiology of schizophrenia (e.g., of the prefrontal cortex, thalamus and mediotemporal lobe). The mediotemporal region and the hippocampus in particular appear to be of specific importance for cognitive impairment in schizophrenia. Studies addressing neuronal activation using fMRI have demonstrated that schizophrenic subjects show impaired patterns of hippocampal activity in novelty detection, declarative learning, and memory tasks [33–35]. Notably, it has been demonstrated that hippocampus-dependent memory performance can be improved by the administration of glucose in rodents and humans [36, 37]. In humans it has been shown that this effect is more pronounced when the task is cognitively demanding [37], or when the cognitive resources that can be applied for it are sparse, as is the case in the elderly and in schizophrenia patients [38, 39]. Of note, low rodent insulin-like growth factor 1 (IGF-1) concentrations were associated with impaired glucose metabolism in brain areas involved in learning and memory [40]. In schizophrenic subjects, clozapine has been shown to normalize disease-related IGF-1 deficits [41–43], and glucose administration boosts mediotemporal as well as dorsolateral prefrontal neuronal activity during the encoding into declarative memory [44, 45].
3. Adipose Tissue as a Potential Source of S100B
Adipocytes appear to be an important source of serum S100B since the concentration of S100B in adipose tissue is as high as in nervous tissue [46–49]. This fact has been barely considered during the past years. Remarkably, S100B is closely linked to the regulation of cellular energy metabolism. An immunoelectron-microscopic study suggested that S100B may be involved in the regulation of lipolysis [50]. The release of S100B from adipocytes is reduced by insulin, and activated by physiological factors such as stress (catecholamines and adrenocorticotropic hormone (ACTH)) or fasting [51–53]. Interestingly, a study on streptotocin-induced diabetes in Sprague-Dawley rats revealed a 2-fold increase in S100B protein levels in both brain and white fat tissue [54]. Therefore, an increased adipose tissue mass or changes of insulin metabolism such as insulin resistance most probably play a major role in increased S100B levels in schizophrenia too, given the increased prevalence of obesity and metabolic syndrome in patients and their first-degree relatives (see above) [55, 56].
4. S100B Serum Is Correlated with Body Mass Index and A-FABP in Healthy Human Subjects
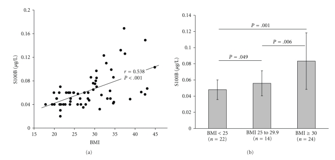
Indeed, a recent study showed a close correlation between body mass index (BMI) and serum S100B levels [57]. This study assessed S100B serum levels in 60 adult subjects (36 female, 24 male, age 22–58 years) with a BMI between 18–45 kg/m2 without a prior history of neuropsychiatric disorders. S100B levels correlated with the BMI (r = 0.538, P < .001), levels of leptin (r = 0.683, P < .001), and adipocyte-type fatty acid-binding protein (A-FABP; r = 0.801, P < .001) (Figure 1(a)). Accordingly, follow-up single group comparisons of BMI groups showed that S100B levels in obesity were significantly higher than in overweight (P = .006, Cohen's d = 2.25), and normal weight subjects (P = .001, Cohen's d = 2.90), or in overweight higher than in the latter (P = .049, Cohen's d = 0.65) (Figure 1(b)). A stepwise regression analysis showed that of the variables age, leptin, and A-FABP only the latter was significantly predicting S100B (P < .001). Correspondingly, new evidence from population studies and experimental animal models indicates that serum A-FABP is a powerful new risk marker for predicting metabolic syndrome and arteriosclerosis [58].
Figure 1.
[57]: S100B serum levels were closely correlated with the BMI (a). Obese subjects (BMI ≥ 30) showed significantly elevated S100B levels in comparison to normal weight (BMI < 25) or overweight (BMI 25.0–29.9) subjects (b). Annotation: (a) r = Pearson correlation coefficient; (b) data are given as mean ± standard deviation (SD).
Effect sizes as measured by Cohen's d (see upper paragraph) indicated medium (0.5 < d < 0.8) to strong effects (0.9 < d) of BMI on S100B blood levels. This finding may explain previous reports indicating a direct relationship between S100B blood levels with body weight in anorexia nervosa: Effect sizes that were obtained from data given for anorexic subjects by Ehrlich et al. [59] before and after weight gain (i.e., mean ± SD of BMI: initially 14.5 ± 1.3, after >10% weight gain 17.1 ± 0.9; mean ± SD of S100B levels: initially 0.095 ± 0.041 μg/l, finally: 0.128 ± 0.063 μg/l) and by Holtkamp et al. [60] after 21 weeks of weight gain (mean ± SD of BMI: initially 14.8 ± 1.3, finally 17.0 ± 1.2; mean ± SD of S100B levels: initially 0.077 ± 0.023 μg/l, finally 0.107 ± 0.035 μg/l) were 0.81 and 1.3, respectively. In conclusion, S100B blood levels are directly related to BMI across an extensive range of nutritional states spanning from starvation to extreme obesity. Importantly, the effect sizes that BMI exerts on S100B blood levels in neuropsychiatrically healthy subjects (obesity compared to overweight: Cohen's d = 2.25; obesity compared to normal weight: Cohen's d = 2.90) are well within the range of effect sizes observed in schizophrenia (all studies: 2.02 ± 1.78; studies with drug-free patients: 1.94 ± 1.33) [2]. In conclusion, the correlation of S100B levels with other adipose-related measures, such as leptin and A-FABP, indicates that BMI or waist-to-hip ratio adjustments are strongly advised for future clinical studies examining peripheral blood S100B levels in order to avoid misinterpretation of results.
5. Elevated S100B Levels in Schizophrenia Are Presumably Associated with Visceral Obesity and Insulin Resistance
A recent study thus assessed S100B in both medicated and drug free schizophrenic patients along with the BMI, measures of glucose utilization and adipokine levels [61]. The subjects were comprised of 26 inpatients with acute paranoid schizophrenia and 32 control subjects, which did not differ significantly regarding age, gender, BMI and smoking habits (Table 1). Eleven patients were unmedicated for at least 6 weeks before admission (Table 2); 15 were already put on atypical antipsychotics (amisulpride, aripiprazole, clozapine, olanzapine, quetiapine, risperidone, or ziprasidone) for 26 ± 21 days, but still suffered from acute psychosis. Only benzodiazepines were allowed as additional psychotropic medication (for ≤6 days). Blood was collected between 9:00 and 11:00 AM (nonfasted). S100B and the following adipose-related factors were determined from serum samples: leptin, monocyte chemotactic protein 1 (MCP-1), hepatocyte growth factor (HGF), resistin, plasminogen activator inhibitor 1 (PAI-1), tumor necrosis factor alpha (TNF-α) and high-sensitivity C-reactive protein (hs-CRP). Levels of glucose, triglycerides and C-peptide1 were also assessed.
Table 1.
Demographics and clinical measurements of control subjects and patients with paranoid schizophrenia. Annotation: data are given as mean ± standard deviation (SD), n.a. = not applicable, aANOVA, bChi-square-test, cANCOVA, ↑↓ positive or negative influence on measures, bold P-values were significant, underlined P-values remained significant after Bonferroni correction.
| Demographic data | Controls (n = 32) | Paranoid schizophrenia (n = 26) | P-values | ||
|---|---|---|---|---|---|
| Schizophrenia versus controls | |||||
| Age [y] | 34.4 ± 10.8 | 34.7 ± 11.3 | 0.914a | ||
| Duration of disease [y] | — | 8 ± 9 | n.a. | ||
| Male/Female [n] | 20/12 | 17/9 | 0.820b | ||
| BMI [kg/m2] | 24.3 ± 3.8 | 27.7 ± 5.7 | 0.196a | ||
| Smokers/non-smokers [n] | 14/18 | 16/10 | 0.178b | ||
|
| |||||
| Clinical data/measures | Mean ± SD | Mean ± SD | Influence of diagnosis (uncorrected ANOVA) | Influence of diagnosis (ANCOVA) | Influence of BMI (ANCOVA) |
| PANSS total score | — | 84.8 ± 11.2 | n.a. | n.a. | — |
| PANSS positive score | — | 20.1 ± 4.9 | n.a. | n.a. | — |
| PANSS negative score | — | 22.1 ± 6.5 | n.a. | n.a. | — |
| PANSS general score | — | 42.7 ± 5.6 | n.a. | n.a. | — |
|
| |||||
| S100B [μg/L] | 0.052 ± 0.018 | 0.072 ± 0.038 | 0.012a↑ | 0.039c↑ | 0.384c |
|
| |||||
| hs-CRP [mg/L] | 1.76 ± 2.89 | 3.11 ± 2.68 | 0.073a↑ | 0.510c | |
| TNF-α [ng/L] | 2.38 ± 1.62 | 3.45 ± 2.44 | 0.052a↑ | 0.193c | 0.102c |
| Leptin [μg/L] | 9.62 ± 15.25 | 18.24 ± 22.96 | 0.093a↑ | 0.628c | |
| MCP-1 [ng/L] | 285.6 ± 155.3 | 397.0 ± 233.3 | 0.034a↑ | 0.409c | |
| HGF [μg/L] | 2.44 ± 1.92 | 3.83 ± 3.37 | 0.054a↑ | 0.488c | |
| Resistin [μg/L] | 6.09 ± 2.11 | 6.31 ± 1.97 | 0.681a | 0.893c | 0.469c |
| PAI-1 [μg/L] | 1.47 ± 0.81 | 2.35 ± 1.50 | 0.006a↑ | 0.046c↑ | 0.048c↑ |
|
| |||||
| Triglycerides [mg/dL] | 146.1 ± 68.2 | 221.3 ± 160.1 | 0.020c↑ | 0.088c↑ | 0.124c |
| Glucose [mg/dL] | 82.9 ± 18.6 | 104.3 ± 21.6 | 0.894c | ||
| C-peptide [pmol/L] | 1907.8 ± 1305.6 | 2572.8 ± 1376.5 | 0.213c | ||
Table 2.
Demographics and clinical measurements of drug free patients with paranoid schizophrenia compared with control subjects which were closely matched for BMI and smoking habits. Annotation: data are given as mean ± standard deviation (SD), n.a. = not applicable, aANOVA, bChi-square-test, ↑↓ positive or negative influence on measures, bold P-values were significant.
| Demographic data | Controls (n = 11) | Paranoid schizophrenia: drug free (n = 11) | Schizophrenia versus controls P-values |
|---|---|---|---|
| Age [y] | 34.7 ± 12.0 | 35.1 ± 13.2 | 0.947a |
| Duration of disease [y] | — | 8.5 ± 10.8 | — |
| Male/Female [n] | 7/4 | 7/4 | 1.000b |
| BMI [kg/m2] | 23.5 ± 3.4 | 24.5 ± 5.5 | 0.621a |
| Smokers/non-smokers [n] | 6/5 | 7/4 | 0.665b |
|
| |||
| Measures | Mean ± SD | Mean ± SD | |
| S100B [μg/L] | 0.046 ± 0.014 | 0.073 ± 0.033 | 0.028a↑ |
|
| |||
| hs-CRP [mg/L] | 1.47 ± 1.64 | 2.50 ± 2.51 | 0.267a |
| TNF-α [ng/L] | 2.51 ± 1.95 | 2.95 ± 1.79 | 0.584a |
| Leptin [μg/L] | 11.82 ± 16.91 | 13.74 ± 12.49 | 0.766a |
| MCP-1 [ng/L] | 314.9 ± 190.0 | 308.8 ± 166.2 | 0.936a |
| HGF [μg/L] | 2.32 ± 1.85 | 2.84 ± 2.11 | 0.543a |
| Resistin [μg/L] | 5.71 ± 1.80 | 6.70 ± 1.83 | 0.214a |
| PAI-1 [μg/L] | 1.49 ± 0.75 | 2.30 ± 1.55 | 0.139a |
|
| |||
| Triglycerides [mg/dL] | 144.3 ± 47.2 | 205.6 ± 102.3 | 0.093a↑ |
| Glucose [mg/dL] | 81.1 ± 12.2 | 105.7 ± 25.0 | 0.011a↑ |
| C-peptide [pmol/L] | 1219.0 ± 680.1 | 2760.3 ± 1657.0 | 0.013a↑ |
In control subjects, circulating S100B concentrations correlated significantly with the BMI (r = 0.540, P = .001), as in the abovementioned study in 60 subjects without a prior history of neuropsychiatric disorders [57]. Moreover, adipokines (leptin: r = 0.545, P = .001, HGF: r = 0.441, P = .012, resistin: r = 0.377, P = .033) and C-peptide/glucose ratios (an estimate of insulin resistance, r = 0.432, P = .014) predicted S100B levels. In contrast, circulating S100B levels in schizophrenia subjects were neither correlated with the BMI (drug free: r = −0.108, P = .751; with drug: r = −0.007, P = .981) nor with levels of leptin, HGF and resistin (Figure 2). It has to be clarified by future studies, if the different finding in schizophrenia may be explained by a predominant visceral fat distribution, which is not adequately assessed by the BMI. This idea is supported by our finding of MCP-1-correlated S100B levels in the patient group (r = 0.673, P = .023). MCP-1 is known to be particularly related to the visceral fat mass [62].
Figure 2.
S100B levels in drug free and medicated schizophrenic patients were not correlated with the BMI. Annotation: r = correlation coefficient.
As illustrated in Figure 3 and Table 1, acutely ill schizophrenic subjects showed elevated S100B levels (P = .012). Indications of insulin resistance were revealed by increased glucose (P < .001), C-peptide levels (P = .002) and C-peptide/glucose ratios (P = .006). S100B and BMI were elevated in medicated schizophrenic patients (P = .041/P < .001), but controls with a BMI ≥ 25 were also found to show increased S100B levels (P = .025) and comparable correlations held true when adipokines were considered as predictors of S100B levels. A disease specific increase of S100B could however be demonstrated for closely BMI-matched drug free patients (P = .028, Table 2). Similarly, the finding of disease-related insulin insensitivity persisted when controlling for effects of medication, smoking or stress (ANCOVA).
Figure 3.
[61]: Elevated S100B serum concentrations (a) and an increased C-peptide/glucose-ratio (b), indicating insulin resistance, were schizophrenia-related. However, increases of BMI were primarily a consequence of antipsychotic medication (c). Annotation: Data are given as mean with 95% confidence intervals. Only P-values of significant group differences are displayed.
These results are suggestive of insulin resistance in schizophrenia that may result in an increased release of S100B from adipose tissue. Commonly observed weight gain upon neuroleptic treatment would thus appear on the basis of an increased metabolic vulnerability in patients due to primary insulin resistance, which is also present independent of medication.
6. Studies on Insulin-Regulated S100B Release from Adipose Tissue Are Challenged by Findings in CSF and Brain Tissue
Schizophrenia-related disturbances in S100B expression are not specific for adipose tissue, but have also been observed in CSF and brain tissue (see above) [13, 63, 64]. Given the general distribution of energy consumption with the brain having the highest glucose turnover, especially under normal or resting conditions, a cerebral insulin resistance appears plausible, as opposed to a disease that primarily or exclusively affects peripheral adipose tissue [65, 66]. This hypothesis is in line with observations of a dysfunctional cerebral insulin receptor signaling in dorsolateral prefrontal cortex tissue from patients with schizophrenia [27]. Strikingly, insulin has been shown to downregulate S100B expression in astrocyte cultures and rat brain [54, 67, 68], in analogy to the abovementioned observations in adipose tissue [53, 69]. Previous cell culture experiments have shown that the expression and release of S100B from astrocytes and oligodendrocytes is stimulated by cellular glucose deprivation [6, 70]. A similar condition may occur in the brains of schizophrenia patients due to impaired glial glucose uptake as a consequence of insulin resistance.
Therefore, altered S100B protein expression in schizophrenia probably indicates systemic disturbances in cellular energy supply (e.g., by disrupted peripheral and cerebral insulin signaling) rather than adipocyte- or glia-specific pathologies. Upregulated insulin levels might represent a compensatory effort coming up against these insulin receptor disturbances. Indeed, a better psychopathology profile has been observed in acutely ill schizophrenic patients with higher insulin levels, potentially compensating these insulin receptor disturbances [71]. These considerations are offering promising new approaches in the therapy of schizophrenia-related metabolic and psychopathological alterations, for example the usage of glitazones, a group of insulin sensitizing drugs [72, 73].
7. Potential Relationship of S100B to the Metabolic Syndrome in Schizophrenia
According to the American Heart Association, the metabolic syndrome is characterized by a group of cardiovascular risk factors in one person (http://www.americanheart.org/ presenter.jhtml?identifier=4756). They include:
Abdominal obesity: excessive fat tissue in and around the abdomen, elevated waist circumference: men—equal to or greater than 40 inches (102 cm); women—equal to or greater than 35 inches (88 cm).
Elevated blood pressure: equal to or greater than 130/85 mm Hg.
Insulin resistance or glucose intolerance: fasting glucose equal to or greater than 100 mg/dL.
Atherogenic dyslipidemia: blood fat disorders—high triglycerides (greater than 150 mg/dL), low HDL cholesterol (men—less than 40 mg/dL; women—less than 50 mg/dL) and high LDL cholesterol—that foster plaque buildups in artery walls.
Prothrombotic state: e.g., high fibrinogen or PAI-1 in the blood.
Proinflammatory state: e.g., elevated CRP in the blood.
Interestingly, we previously observed an upregulation of the S100B/AGE scavenger sRAGE (soluble receptor of advanced glycation end products) during reconvalescence from acute schizophrenia [74]. Benefits of sRAGE have also been found in cardiovascular and metabolic disorders, which are associated with increased AGE levels, such as diabetes mellitus and arteriosclerosis [75, 76]. A closer look at the data from our recent study in Molecular Psychiatry reveals that some of the abovementioned metabolic risk factors were present in schizophrenia cases, but not all of them were linked to elevated S100B serum levels (Table 1) [61].
Abdominal Obesity: We did not measure waist circumferences in this study, but blood concentrations of MCP-1 were elevated in the schizophrenia group (P = .034), indicating an increased visceral fat mass [62], and correlating with levels of S100B (r = 0.673, P = .023).
Elevated Blood Pressure: This was an exclusion criterion of the study. Therefore, the relation of hypertension to S100B could not be analyzed.
Insulin Resistance or Glucose Intolerance: Elevated glucose and C-peptide levels were observed in the schizophrenia cohort. C-peptide/glucose ratios predicted S100B levels (r = 0.432, P = .014).
Atherogenic Dyslipidemia: Triglyceride levels were slightly elevated in schizophrenic subjects (P = .020), but were not correlated with S100B concentrations. HDL and LDL cholesterol were not systematically assessed.
Prothrombotic State: Schizophrenia cases showed higher PAI-1 levels (P = .006) that were not correlated with S100B.
Proinflammatory State: There was a trend towards elevated hs-CRP and TNF-α levels in schizophrenia. However, these inflammatory parameters were not related to S100B levels.
It remains unclear whether S100B may be considered as a predictor of metabolic syndrome in schizophrenia. This topic has to be elucidated by future studies in drug-naïve and prodromal schizophrenia cases with follow-up blood takes and clinical examinations in larger samples, comparing different standardized treatment regimens. Apart from the measurement of fasting glucose, triglyceride and HDL cholesterol levels in patients and controls, it will be necessary to assess additional clinical parameters such as blood pressure and waist circumference for a clear identification of patients at risk.
8. Summary and Conclusion
Several studies reported on elevated blood levels of S100B in schizophrenia, which have been attributed to glial pathology [2]. However, considerable amounts of S100B are released from adipose tissue during lipolysis. The release of S100B from adipocytes is reduced by insulin, and activated by physiological factors such as stress (catecholamines and adrenocorticotropic hormone) or fasting [46–48, 51–53]. Our recent observations in healthy human subjects are suggesting a close relation between serum S100B levels and the BMI, or levels of the adipose-derived factors leptin, HGF, resistin and A-FABP [57, 61]. Of note, previous studies showed that serum A-FABP is a powerful marker for predicting metabolic syndrome and arteriosclerosis [58].
Given the increased prevalence of visceral obesity and insulin resistance in schizophrenia, we recently analyzed the relation of serum S100B levels to the BMI and adipose derived hormones in acute paranoid schizophrenia [61]. The physiological relation of S100B to the BMI and the abovementioned adipose-derived factors was disrupted in schizophrenia. Several reasons may be hypothesized:
Schizophrenia-related disturbances in adipose tissue distribution, such as increased visceral fat which is better assessed by the waist-to-hip ratio instead of BMI. Interestingly, blood concentrations of MCP-1 were indeed elevated in the schizophrenia group, indicating an increased visceral fat mass [62], and correlated with levels of S100B (see above).
Schizophrenia-related disturbances in adipose tissue metabolism, such as an increased release of S100B, together with triglycerides and free fatty acids due to a predisposition to insulin resistance. Indeed, elevated glucose and C-peptide levels were observed in the schizophrenia cohort and C-peptide/glucose ratios predicted S100B levels (see above).
An increased release of S100B from brain tissue, as suggested by histological and CSF studies [13, 63, 64]. Notably, insulin has also been shown to downregulate S100B expression in astrocyte cultures and rat brain [54, 67, 68]. However, an animal study in Wistar rats suggests that the concentration of S100B may be differentially regulated in the periphery and the central nervous system: lipolysis following fasting was linked to an increased release of S100B to serum, while cerebrospinal fluid levels of S100B were not significantly altered [51]. This topic awaits further clarification.
-
Drug effects on cellular S100B production and release.
- Glial cell culture experiments have shown that antipsychotic drugs can directly affect glial S100B release. Increased amounts of S100B were found in the supernatants of astroglial C6 cells treated with very high doses of risperidone [77]. In contrary, treatment of astroglial C6 and oligodendroglial OLN-93 cells with haloperidol and clozapine at a concentration corresponding to the assumed therapeutic dose range of these drugs reduced the release of S100B in vitro [78]. Other S100B-expressing cell types, like adipocytes, have not been tested yet in this context.
- Alternatively, the potential influence of atypical antipsychotics on S100B via changing metabolic factors should be considered as a more indirect mechanism. Among the second-generation antipsychotics, clozapine and olanzapine are associated with the highest risk of weight gain, as well as changes in insulin sensitivity and lipid metabolism, which increase the risk of diabetes and cardiovascular disease [17–19].
Adrenaline, noradrenalin or ACTH-enhanced release of S100B from adipose tissue due to a schizophrenia-related activation of the endocrine stress axis [51–53]. This idea is supported by our finding of free cortisol index (FCI)2-correlated S100B levels in untreated acutely ill patients (unpublished results: r = 0.611, P = .046).
In conclusion, there is evidence for a novel link between S100B and disturbances of energy metabolism in schizophrenia, resulting in an increased release of S100B from brain and adipose tissue. Such systemic alterations in glucose metabolism may also affect glial S100B release. An upregulation of S100B may be a compensatory phenomenon, increasing intracellular energy supply by activating glycolysis (fructose-1,6-bisphosphate aldolase) and glycogenolysis (phosphoglucomutase) [79, 80]. Future studies in larger samples may focus on fasted drug naive schizophrenic subjects and the comparison of different standardized treatment regimens to further elucidate the suggested link between S100B and abnormal energy metabolism.
Abbreviations
- ACTH:
Adrenocorticotropic hormone
- A-FABP:
Adipocyte-type fatty acid-binding protein
- BMI:
Body mass index
- C6:
An astroglial cell line from rat
- CBG:
Cortisol-binding globulin
- CSF:
Cerebrospinal fluid
- FCI:
Free cortisol index
- FDG-PET:
Fluorodeoxyglucose positron emission tomography
- fMRI:
Functional magnetic resonance imaging
- GFAP:
Glial fibrillary acidic protein
- HDL:
High-density lipoprotein
- HGF:
Hepatocyte growth factor
- hs-CRP:
High-sensitivity C-reactive protein
- IGF-1:
Insulin-like growth factor 1
- LDL:
Low-density lipoprotein
- MBP:
Myelin basic protein
- MCP-1:
Monocyte chemotactic protein 1
- NSE:
Neuron specific enolase
- OLN-93:
An oligodendrocytic cell line from rat
- PAI-1:
Plasminogen activator inhibitor 1
- S100B:
Member of a family of proteins that are 100% soluble in ammonium sulfate at neutral pH
- SD:
Standard deviation
- sRAGE:
Soluble receptor of advanced glycation end products
- TNF-α:
Tumor necrosis factor alpha.
Endnotes
-
1.
C-peptide is generated in the pancreas when proinsulin is split into insulin and C-peptide. It has no metabolic function. However, since C-peptide and insulin are secreted in equimolar amounts, the immunoassay of C-peptide permits the quantitation of insulin secretion. Moreover, C-peptide measurement has several advantages over immunoassays of insulin [81]: First of all, approximately 50% of the portal vein concentration of insulin is rapidly degraded by the liver whereas C-peptide extraction by the liver is only about 12%. As a result, peripheral venous levels of C-peptide more accurately reflect pancreatic insulin secretion than do peripheral insulin levels. Unlike insulin, which has significant uptake at target tissues, C-peptide is metabolically fairly inert. It is primarily removed from the circulation by the kidney, both by degradation and by urinary excretion. The half-life of C-peptide in the circulation is between two and five times longer than that of insulin. Therefore, C-peptide levels are a more stable indicator of insulin secretion than the more rapidly changing insulin levels. A very clear practical advantage of C-peptide measurement arising from its relative metabolic inertness as compared to insulin is that C-peptide levels in peripheral venous blood are about 5-6 times greater than insulin levels.
-
2.
The FCI is a surrogate marker for free cortisol, which is the biologically active component. It is calculated by dividing the serum total cortisol [nmol/L] by the cortisol-binding globulin (CBG) level [mg/L].
References
- 1.Donato R. S100: a multigenic family of calcium-modulated proteins of the EF-hand type with intracellular and extracellular functional roles. International Journal of Biochemistry and Cell Biology. 2001;33(7):637–668. doi: 10.1016/s1357-2725(01)00046-2. [DOI] [PubMed] [Google Scholar]
- 2.Schroeter ML, Steiner J. Elevated serum levels of the glial marker protein S100B are not specific for schizophrenia or mood disorders. Molecular Psychiatry. 2009;14(3):235–237. doi: 10.1038/mp.2008.85. [DOI] [PubMed] [Google Scholar]
- 3.Rothermundt M, Peters M, Prehn JH, Arolt V. S100B in brain damage and neurodegeneration. Microscopy Research and Technique. 2003;60(6):614–632. doi: 10.1002/jemt.10303. [DOI] [PubMed] [Google Scholar]
- 4.Schroeter ML, Abdul-Khaliq H, Krebs M, Diefenbacher A, Blasig IE. Neuron-specific enolase is unaltered whereas S100B is elevated in serum of patients with schizophrenia—original research and meta-analysis. Psychiatry Research. 2009;167(1-2):66–72. doi: 10.1016/j.psychres.2008.01.002. [DOI] [PubMed] [Google Scholar]
- 5.Schroeter ML, Abdul-Khaliq H, Frühauf S, et al. Serum S100B is increased during early treatment with antipsychotics and in deficit schizophrenia. Schizophrenia Research. 2003;62(3):231–236. doi: 10.1016/s0920-9964(02)00383-3. [DOI] [PubMed] [Google Scholar]
- 6.Steiner J, Bernstein HG, Bogerts B, et al. S100B is expressed in, and released from, OLN-93 oligodendrocytes: influence of serum and glucose deprivation. Neuroscience. 2008;154(2):496–503. doi: 10.1016/j.neuroscience.2008.03.060. [DOI] [PubMed] [Google Scholar]
- 7.Liu Y, Buck DC, Neve KA. Novel interaction of the dopamine D receptor and the Ca binding protein S100B: role in D receptor function. Molecular Pharmacology. 2008;74(2):371–378. doi: 10.1124/mol.108.044925. [DOI] [PMC free article] [PubMed] [Google Scholar]
- 8.Steiner J, Bernstein HG, Bielau H, et al. Evidence for a wide extra-astrocytic distribution of S100B in human brain. BMC Neuroscience. 2007;8, article 2 doi: 10.1186/1471-2202-8-2. [DOI] [PMC free article] [PubMed] [Google Scholar]
- 9.Tramontina F, Tramontina AC, Souza DF, et al. Glutamate uptake is stimulated by extracellular S100B in hippocampal astrocytes. Cellular and Molecular Neurobiology. 2006;26(1):81–86. doi: 10.1007/s10571-006-9099-8. [DOI] [PMC free article] [PubMed] [Google Scholar]
- 10.Whitaker-Azmitia PM, Wingate M, Borella A, Gerlai R, Roder J, Azmitia EC. Transgenic mice overexpressing the neurotrophic factor S-100β show neuronal cytoskeletal and behavioral signs of altered aging processes: implications for Alzheimer’s disease and Down’s syndrome. Brain Research. 1997;776(1-2):51–60. doi: 10.1016/s0006-8993(97)01002-0. [DOI] [PubMed] [Google Scholar]
- 11.Liu J, Shi Y, Tang J, et al. SNPs and haplotypes in the S100B gene reveal association with schizophrenia. Biochemical and Biophysical Research Communications. 2005;328(1):335–341. doi: 10.1016/j.bbrc.2004.12.175. [DOI] [PubMed] [Google Scholar]
- 12.Selemon LD, Goldman-Rakic PS. The reduced neuropil hypothesis: a circuit based model of schizophrenia. Biological Psychiatry. 1999;45(1):17–25. doi: 10.1016/s0006-3223(98)00281-9. [DOI] [PubMed] [Google Scholar]
- 13.Steiner J, Bielau H, Bernstein HG, Bogerts B, Wunderlich MT. Increased cerebrospinal fluid and serum levels of S100B in first-onset schizophrenia are not related to a degenerative release of glial fibrillar acidic protein, myelin basic protein and neurone-specific enolase from glia or neurones. Journal of Neurology, Neurosurgery and Psychiatry. 2006;77(11):1284–1287. doi: 10.1136/jnnp.2006.093427. [DOI] [PMC free article] [PubMed] [Google Scholar]
- 14.Marchi N, Cavaglia M, Fazio V, Bhudia S, Hallene K, Janigro D. Peripheral markers of blood-brain barrier damage. Clinica Chimica Acta. 2004;342(1-2):1–12. doi: 10.1016/j.cccn.2003.12.008. [DOI] [PubMed] [Google Scholar]
- 15.Kapural M, Krizanac-Bengez L, Barnett G, et al. Serum S-100β as a possible marker of blood-brain barrier disruption. Brain Research. 2002;940(1-2):102–104. doi: 10.1016/s0006-8993(02)02586-6. [DOI] [PubMed] [Google Scholar]
- 16.Kanner AA, Marchi N, Fazio V, et al. Serum S100β: a noninvasive marker of blood-brain barrier function and brain lesions. Cancer. 2003;97(11):2806–2813. doi: 10.1002/cncr.11409. [DOI] [PMC free article] [PubMed] [Google Scholar]
- 17.Buchholz S, Morrow AF, Coleman PL. Atypical antipsychotic-induced diabetes mellitus: an update on epidemiology and postulated mechanisms. Internal Medicine Journal. 2008;38(7):602–606. doi: 10.1111/j.1445-5994.2008.01712.x. [DOI] [PubMed] [Google Scholar]
- 18.Scheen AJ, De Hert MA. Abnormal glucose metabolism inpatients treated with antipsychotics. Diabetes and Metabolism. 2007;33(3):169–175. doi: 10.1016/j.diabet.2007.01.003. [DOI] [PubMed] [Google Scholar]
- 19.Newcomer JW. Antipsychotic medications: metabolic and cardiovascular risk. Journal of Clinical Psychiatry. 2007;68(4):8–13. [PubMed] [Google Scholar]
- 20.Chiu HJ, Loh ElW, Lan TH, Sou JH, Hsieh HC, Hu TM. Increase of incidence of impaired fasting glucose in young schizophrenia patients. Psychiatry and Clinical Neurosciences. 2009;63(1):127–128. doi: 10.1111/j.1440-1819.2008.01910.x. [DOI] [PubMed] [Google Scholar]
- 21.Kirkpatrick B, Fernandez-Egea E, Garcia-Rizo C, Bernardo M. Differences in glucose tolerance between deficit and nondeficit schizophrenia. Schizophrenia Research. 2009;107(2-3):122–127. doi: 10.1016/j.schres.2008.09.023. [DOI] [PMC free article] [PubMed] [Google Scholar]
- 22.Ryan MCM, Collins P, Thakore JH. Impaired fasting glucose tolerance in first-episode, drug-naive patients with schizophrenia. American Journal of Psychiatry. 2003;160(2):284–289. doi: 10.1176/appi.ajp.160.2.284. [DOI] [PubMed] [Google Scholar]
- 23.Saddichha S, Manjunatha N, Ameen S, Akhtar S. Diabetes and schizophrenia—effect of disease or drug? Results from a randomized, double-blind, controlled prospective study in first-episode schizophrenia. Acta Psychiatrica Scandinavica. 2008;117(5):342–347. doi: 10.1111/j.1600-0447.2008.01158.x. [DOI] [PubMed] [Google Scholar]
- 24.Spelman LM, Walsh PI, Sharifi N, Collins P, Thakore JH. Impaired glucose tolerance in first-episode drug-naïve patients with schizophrenia. Diabetic Medicine. 2007;24(5):481–485. doi: 10.1111/j.1464-5491.2007.02092.x. [DOI] [PubMed] [Google Scholar]
- 25.Guest PC, Wang L, Harris LW, et al. Increased levels of circulating insulin-related peptides in first-onset, antipsychotic naïve schizophrenia patients. Molecular Psychiatry. 2010;15(2):118–119. doi: 10.1038/mp.2009.81. [DOI] [PubMed] [Google Scholar]
- 26.Fernandez-Egea E, Bernardo M, Parellada E, et al. Glucose abnormalities in the siblings of people with schizophrenia. Schizophrenia Research. 2008;103(1–3):110–113. doi: 10.1016/j.schres.2008.04.017. [DOI] [PMC free article] [PubMed] [Google Scholar]
- 27.Zhao Z, Ksiezak-Reding H, Riggio S, Haroutunian V, Pasinetti GM. Insulin receptor deficits in schizophrenia and in cellular and animal models of insulin receptor dysfunction. Schizophrenia Research. 2006;84(1):1–14. doi: 10.1016/j.schres.2006.02.009. [DOI] [PubMed] [Google Scholar]
- 28.Bernstein H-G, Ernst T, Lendeckel U, et al. Reduced neuronal expression of insulin-degrading enzyme in the dorsolateral prefrontal cortex of patients with haloperidol-treated, chronic schizophrenia. Journal of Psychiatric Research. 2009;43(13):1095–1105. doi: 10.1016/j.jpsychires.2009.03.006. [DOI] [PubMed] [Google Scholar]
- 29.Holmes E, Tsang TM, Huang JT, et al. Metabolic profiling of CSF: evidence that early intervention may impact on disease progression and outcome in schizophrenia. PLoS Medicine. 2006;3(8):p. e327. doi: 10.1371/journal.pmed.0030327. [DOI] [PMC free article] [PubMed] [Google Scholar]
- 30.Buchsbaum MS, Buchsbaum BR, Hazlett EA, et al. Relative glucose metabolic rate higher in white matter in patients with schizophrenia. American Journal of Psychiatry. 2007;164(7):1072–1081. doi: 10.1176/ajp.2007.164.7.1072. [DOI] [PubMed] [Google Scholar]
- 31.Mitelman SA, Byne W, Kemether EM, Hazlett EA, Buchsbaum MS. Metabolic disconnection between the mediodorsal nucleus of the thalamus and cortical brodmann’s areas of the left hemisphere in schizophrenia. American Journal of Psychiatry. 2005;162(9):1733–1735. doi: 10.1176/appi.ajp.162.9.1733. [DOI] [PubMed] [Google Scholar]
- 32.Soyka M, Koch W, Möller HJ, Rüther T, Tatsch K. Hypermetabolic pattern in frontal cortex and other brain regions in unmedicated schizophrenia patients: results from a FDG-PET study. European Archives of Psychiatry and Clinical Neuroscience. 2005;255(5):308–312. doi: 10.1007/s00406-005-0563-0. [DOI] [PubMed] [Google Scholar]
- 33.Weiss AP, Zalesak M, DeWitt I, Goff D, Kunkel L, Heckers S. Impaired hippocampal function during the detection of novel words in schizophrenia. Biological Psychiatry. 2004;55(7):668–675. doi: 10.1016/j.biopsych.2004.01.004. [DOI] [PubMed] [Google Scholar]
- 34.Ragland JD, Valdez JN, Loughead J, Gur RC, Gur RE. Functional magnetic resonance imaging of internal source monitoring in schizophrenia: recognition with and without recollection. Schizophrenia Research. 2006;87(1–3):160–171. doi: 10.1016/j.schres.2006.05.008. [DOI] [PMC free article] [PubMed] [Google Scholar]
- 35.Zierhut K, Bogerts B, Schott B, et al. The role of hippocampus dysfunction in deficient memory encoding and positive symptoms in schizophrenia. doi: 10.1016/j.pscychresns.2010.03.007. Psychiatry Research: Neuroimaging. In press. [DOI] [PubMed] [Google Scholar]
- 36.Gold PE, Vogt J, Hall JL. Glucose effects on memory: behavioral and pharmacological characteristics. Behavioral and Neural Biology. 1986;46(2):145–155. doi: 10.1016/s0163-1047(86)90626-6. [DOI] [PubMed] [Google Scholar]
- 37.Sünram-Lea SI, Foster JK, Durlach P, Perez C. The effect of retrograde and anterograde glucose administration on memory performance in healthy young adults. Behavioural Brain Research. 2002;134(1-2):505–516. doi: 10.1016/s0166-4328(02)00086-4. [DOI] [PubMed] [Google Scholar]
- 38.Fucetola R, Newcomer JW, Craft S, Melson AK. Age- and dose-dependent glucose-induced increases in memory and attention in schizophrenia. Psychiatry Research. 1999;88(1):1–13. doi: 10.1016/s0165-1781(99)00063-3. [DOI] [PubMed] [Google Scholar]
- 39.Newcomer JW, Craft S, Fucetola R, et al. Glucose-induced increase in memory performance in patients with schizophrenia. Schizophrenia Bulletin. 1999;25(2):321–335. doi: 10.1093/oxfordjournals.schbul.a033381. [DOI] [PubMed] [Google Scholar]
- 40.Sonntag WE, Bennett C, Ingram R, et al. Growth hormone and IGF-I modulate local cerebral glucose utilization and ATP levels in a model of adult-onset growth hormone deficiency. American Journal of Physiology. 2006;291(3):E604–E610. doi: 10.1152/ajpendo.00012.2006. [DOI] [PubMed] [Google Scholar]
- 41.Wu MK, Huang CY, Liou YJ, Wang CK, Lee SD. Glucose-insulin homeostasis, lipid profiles and GH-IGF-IGFBP axis in clozapine-treated schizophrenic obesity versus non-psychiatric obesity. International Journal of Obesity. 2008;32(3):436–442. doi: 10.1038/sj.ijo.0803750. [DOI] [PubMed] [Google Scholar]
- 42.Venkatasubramanian G, Chittiprol S, Neelakantachar N, et al. Insulin and insulin-like growth factor-1 abnormalities in antipsychotic-naive schizophrenia. American Journal of Psychiatry. 2007;164(10):1557–1560. doi: 10.1176/appi.ajp.2007.07020233. [DOI] [PubMed] [Google Scholar]
- 43.Altar CA, Hunt RA, Jurata LW, et al. Insulin, IGF-1, and muscarinic agonists modulate schizophrenia-associated genes in human neuroblastoma cells. Biological Psychiatry. 2008;64(12):1077–1087. doi: 10.1016/j.biopsych.2008.08.031. [DOI] [PubMed] [Google Scholar]
- 44.Stone WS, Thermenos HW, Tarbox SI, Poldrack RA, Seidman LJ. Medial temporal and prefrontal lobe activation during verbal encoding following glucose ingestion in schizophrenia: a pilot fMRI study. Neurobiology of Learning and Memory. 2005;83(1):54–64. doi: 10.1016/j.nlm.2004.07.009. [DOI] [PubMed] [Google Scholar]
- 45.Stone WS, Seidman LJ. Toward a model of memory enhancement in schizophrenia: glucose administration and hippocampal function. Schizophrenia Bulletin. 2008;34(1):93–108. doi: 10.1093/schbul/sbm041. [DOI] [PMC free article] [PubMed] [Google Scholar]
- 46.Leite MC, Galland F, Brolese G, et al. A simple, sensitive and widely applicable ELISA for S100B: methodological features of the measurement of this glial protein. Journal of Neuroscience Methods. 2008;169(1):93–99. doi: 10.1016/j.jneumeth.2007.11.021. [DOI] [PubMed] [Google Scholar]
- 47.Michetti F, Dell’Anna E, Tiberio G, Cocchia D. Immunochemical and immunocytochemical study of S-100 protein in rat adipocytes. Brain Research. 1983;262(2):352–356. doi: 10.1016/0006-8993(83)91032-6. [DOI] [PubMed] [Google Scholar]
- 48.Zimmer DB, Song W, Zimmer WE. Isolation of a rat S100α cDNA and distribution of its mRNA in rat tissues. Brain Research Bulletin. 1991;27(2):157–162. doi: 10.1016/0361-9230(91)90061-n. [DOI] [PubMed] [Google Scholar]
- 49.Hidaka H, Endo T, Kawamoto S. Purification and characterization of adipose tissue S-100b protein. Journal of Biological Chemistry. 1983;258(4):2705–2709. [PubMed] [Google Scholar]
- 50.Haimoto H, Kato K, Suzuki F, Nagura H. The ultrastructural changes of S-100 protein localization during lipolysis in adipocytes. An immunoelectron-microscopic study. American Journal of Pathology. 1985;121(2):185–191. [PMC free article] [PubMed] [Google Scholar]
- 51.Netto CBO, Conte S, Leite MC, et al. Serum S100B protein is increased in fasting rats. Archives of Medical Research. 2006;37(5):683–686. doi: 10.1016/j.arcmed.2005.11.005. [DOI] [PubMed] [Google Scholar]
- 52.Scaccianoce S, Del Bianco P, Pannitteri G, Passarelli F. Relationship between stress and circulating levels of S100B protein. Brain Research. 2004;1004(1-2):208–211. doi: 10.1016/j.brainres.2004.01.028. [DOI] [PubMed] [Google Scholar]
- 53.Suzuki F, Kato K. Inhibition of adipose S-100 protein release by insulin. Biochimica et Biophysica Acta. 1985;845(2):311–316. doi: 10.1016/0167-4889(85)90193-4. [DOI] [PubMed] [Google Scholar]
- 54.Zimmer DB, Chessher J, Wilson GL, Zimmer WE. S100A1 and S100B expression and target proteins in type I diabetes. Endocrinology. 1997;138(12):5176–5183. doi: 10.1210/endo.138.12.5579. [DOI] [PubMed] [Google Scholar]
- 55.Thakore JH. Metabolic syndrome and schizophrenia. British Journal of Psychiatry. 2005;186:455–456. doi: 10.1192/bjp.186.6.455. [DOI] [PubMed] [Google Scholar]
- 56.Thakore JH, Mann JN, Vlahos I, Martin A, Reznek R. Increased visceral fat distribution in drug-naive and drug-free patients with schizophrenia. International Journal of Obesity. 2002;26(1):137–141. doi: 10.1038/sj.ijo.0801840. [DOI] [PubMed] [Google Scholar]
- 57.Steiner J, Schiltz K, Walter M, et al. S100B serum levels are closely correlated with body mass index: an important caveat in neuropsychiatric research. Psychoneuroendocrinology. 2010;35(2):321–324. doi: 10.1016/j.psyneuen.2009.07.012. [DOI] [PubMed] [Google Scholar]
- 58.Karakas SE, Almario RU, Kim K. Serum fatty acid binding protein 4, free fatty acids, and metabolic risk markers. Metabolism: Clinical and Experimental. 2009;58(7):1002–1007. doi: 10.1016/j.metabol.2009.02.024. [DOI] [PMC free article] [PubMed] [Google Scholar]
- 59.Ehrlich S, Salbach-Andrae H, Weiss D, et al. S100B in underweight and weight-recovered patients with anorexia nervosa. Psychoneuroendocrinology. 2008;33(6):782–788. doi: 10.1016/j.psyneuen.2008.03.004. [DOI] [PubMed] [Google Scholar]
- 60.Holtkamp K, Bühren K, et al. Serum levels of S100B are decreased in chronic starvation and normalize with weight gain. Journal of Neural Transmission. 2008;115(6):937–940. doi: 10.1007/s00702-008-0041-8. [DOI] [PubMed] [Google Scholar]
- 61.Steiner J, Walter M, Guest P, et al. Elevated S100B levels in schizophrenia are associated with insulin resistance. Molecular Psychiatry. 2010;15(1):3–4. doi: 10.1038/mp.2009.87. [DOI] [PubMed] [Google Scholar]
- 62.Kouyama K, Miyake K, Zenibayashi M, et al. Association of serum MCP-1 concentration and MCP-1 polymorphism with insulin resistance in Japanese individuals with obese type 2 diabetes. Kobe Journal of Medical Sciences. 2008;53(6):345–354. [PubMed] [Google Scholar]
- 63.Rothermundt M, Falkai P, Ponath G, et al. Glial cell dysfunction in schizophrenia indicated by increased S100B in the CSF. Molecular Psychiatry. 2004;9(10):897–899. doi: 10.1038/sj.mp.4001548. [DOI] [PubMed] [Google Scholar]
- 64.Steiner J, Bernstein HG, Bielau H, et al. S100B-immunopositive glia is elevated in paranoid as compared to residual schizophrenia: a morphometric study. Journal of Psychiatric Research. 2008;42(10):868–876. doi: 10.1016/j.jpsychires.2007.10.001. [DOI] [PubMed] [Google Scholar]
- 65.Peters A, Pellerin L, Dallman MF, et al. Causes of obesity: looking beyond the hypothalamus. Progress in Neurobiology. 2007;81(2):61–88. doi: 10.1016/j.pneurobio.2006.12.004. [DOI] [PubMed] [Google Scholar]
- 66.Peters A, Schweiger U, Pellerin L, et al. The selfish brain: competition for energy resources. Neuroscience and Biobehavioral Reviews. 2004;28(2):143–180. doi: 10.1016/j.neubiorev.2004.03.002. [DOI] [PubMed] [Google Scholar]
- 67.Lebed YV, Orlovsky MA, Nikonenko AG, Ushakova GA, Skibo GG. Early reaction of astroglial cells in rat hippocampus to streptozotocin-induced diabetes. Neuroscience Letters. 2008;444(2):181–185. doi: 10.1016/j.neulet.2008.07.094. [DOI] [PubMed] [Google Scholar]
- 68.Collino M, Aragno M, Castiglia S, et al. Insulin reduces cerebral ischemia/reperfusion injury in the hippocampus of diabetic rats: a role for glycogen synthase kinase-3β . Diabetes. 2009;58(1):235–242. doi: 10.2337/db08-0691. [DOI] [PMC free article] [PubMed] [Google Scholar]
- 69.Suzuki F, Kato K, Nakajima T. Hormonal regulation of adipose S-100 protein release. Journal of Neurochemistry. 1984;43(5):1336–1341. doi: 10.1111/j.1471-4159.1984.tb05391.x. [DOI] [PubMed] [Google Scholar]
- 70.Gerlach R, Demel G, König HG, et al. Active secretion of S100B from astrocytes during metabolic stress. Neuroscience. 2006;141(4):1697–1701. doi: 10.1016/j.neuroscience.2006.05.008. [DOI] [PubMed] [Google Scholar]
- 71.Fan X, Liu E, Pristach C, Goff DC, Henderson DC. Higher fasting serum insulin levels are associated with a better psychopathology profile in acutely ill non-diabetic inpatients with schizophrenia. Schizophrenia Research. 2006;86(1–3):30–35. doi: 10.1016/j.schres.2006.04.010. [DOI] [PubMed] [Google Scholar]
- 72.Edlinger M, Ebenbichler C, Rettenbacher M, Fleischhacker WW. Treatment of antipsychotic-associated hyperglycemia with pioglitazone: a case series. Journal of Clinical Psychopharmacology. 2007;27(4):403–404. doi: 10.1097/01.jcp.0000264993.86029.30. [DOI] [PubMed] [Google Scholar]
- 73.Sundararajan S, Jiang Q, Heneka M, Landreth G. PPARγ as a therapeutic target in central nervous system diseases. Neurochemistry International. 2006;49(2):136–144. doi: 10.1016/j.neuint.2006.03.020. [DOI] [PubMed] [Google Scholar]
- 74.Steiner J, Walter M, Wunderlich MT, et al. A new pathophysiological aspect of S100B in schizophrenia: potential regulation of S100B by its scavenger soluble RAGE. Biological Psychiatry. 2009;65:1107–1110. doi: 10.1016/j.biopsych.2008.10.044. [DOI] [PubMed] [Google Scholar]
- 75.Park L, Raman KG, Lee KJ, et al. Suppression of accelerated diabetic atherosclerosis by the soluble receptor for advanced glycation endproducts. Nature Medicine. 1998;4(9):1025–1031. doi: 10.1038/2012. [DOI] [PubMed] [Google Scholar]
- 76.Geroldi D, Falcone C, Emanuele E. Soluble receptor for advanced glycation end products: from disease marker to potential therapeutic target. Current Medicinal Chemistry. 2006;13(17):1971–1978. doi: 10.2174/092986706777585013. [DOI] [PubMed] [Google Scholar]
- 77.Quincozes-Santos A, Abib RT, Leite MC, et al. Effect of the atypical neuroleptic risperidone on morphology and S100B secretion in C6 astroglial lineage cells. Molecular and Cellular Biochemistry. 2008;314(1-2):59–63. doi: 10.1007/s11010-008-9765-x. [DOI] [PubMed] [Google Scholar]
- 78.Steiner J, Schroeter ML, Schiltz K, et al. Haloperidol and clozapine decrease S100B release from glial cells. Neuroscience. 2010;167(4):1025–1031. doi: 10.1016/j.neuroscience.2010.03.010. [DOI] [PubMed] [Google Scholar]
- 79.Landar A, Caddell G, Chessher J, Zimmer DB. Identification of an S100A1/S100B target protein: phosphoglucomutase. Cell Calcium. 1996;20(3):279–285. doi: 10.1016/s0143-4160(96)90033-0. [DOI] [PubMed] [Google Scholar]
- 80.Zimmer DB, Van Eldik LJ. Identification of a molecular target for the calcium-modulated protein S100. Fructose-1,6-bisphosphate aldolase. Journal of Biological Chemistry. 1986;261(24):11424–11428. [PubMed] [Google Scholar]
- 81.Rendell M. The expanding clinical use of C-peptide radioimmunoassay. Acta Diabetologica Latina. 1983;20(2):105–113. doi: 10.1007/BF02624911. [DOI] [PubMed] [Google Scholar]



