Abstract
Although the age-dependent loss of muscle mass and strength, sarcopenia, is an inevitable process, its onset and progression are not well established. Here we defined the onset and the progression of sarcopenia in a healthy aging animal model, Fisher 344×Brown Norway rats. Vastus lateralis, rectus femoris, and vastus medialis muscles (three of the quadriceps muscles) were analyzed at 5 months of age and at 3-month intervals between 12 and 39 months of age. We found an age-dependent decline in muscle mass and fiber number and an increase in fiber atrophy and nonmuscle tissue. Significant changes of fiber number and muscle mass were not observed until very late in life (30–33 months) and were concurrent, whereas fiber cross-sectional area (CSA) gradually declined from maximum CSA (24 months). Sarcopenic declines identified between 30 and 36 months did not continue to 39 months, possibly due to the increased proportion of type I fibers.
Keywords: Sarcopenia, Fisher Brown Norway rats, Quadriceps muscles, Aging
Skeletal muscle mass is an important component of physical function. The involuntary loss of skeletal muscle mass and strength with age, sarcopenia (1), leads to a decline in physical abilities, an increase of frailty, and an inability to perform everyday tasks among elderly persons (2,3). In humans, 10%–20% of muscle mass is lost by 50–60 years, and this loss increases to 25%–30% by age 60–70 (1). The pathophysiological mechanisms of muscle loss are not yet clearly understood. Several factors are proposed as key mechanisms driving the onset and progressive declines in muscle mass and function with age including a loss of motor units (4,5), reduced availability of satellite cells and decline in their regenerative capacity (6,7), increased age-dependent mitochondrial DNA oxidative damage and mutations (8), increased myocyte loss via apoptosis (9,10) and changes in the production of anabolic hormones and protein synthesis (11,12).
Human sarcopenia studies are generally cross-sectional analyses of aging populations and are limited to noninvasive procedures. Similar age-associated muscle wasting has been described in a number of rodent models as well as nonhuman primates (8,13–18). Rodent models allow a more in-depth analysis of sarcopenia. Advantages of the rodent models include the use of specific muscle measurements to assess sarcopenic changes as well as a relatively short life span. Rat models exhibit different life expectancies and biological characteristics (19–21). The Fisher 344×Brown Norway (FBN) rat model has been recommended by the National Institute on Aging (NIA) for age-related research, based on studies showing that the FBN rats have 50% mortality at ~32 months and have fewer detrimental pathologies than inbred strains have (19,22).
We have previously examined muscle mass, fiber number, and muscle cross-sectional area (CSA) in young (5 months), middle age (18 months), and old (36 months) FBN hybrid rats (8,17,23). Significant muscle mass loss, a reduction in muscle CSA, and muscle fiber loss were observed in the quadriceps muscles of the aged rat. About 50% of the mass was lost in vastus lateralis (VL) and rectus femoris (RF) muscles between 18 and 36 months of age. Also, a significant (65%) decrease in muscle CSA was accompanied by a loss (40%) of muscle fibers in these muscles of older animals (8,17,23). Although sarcopenia was evident in 36-month-old FBN rats, the age at which sarcopenic change become evident and the rate of its progression remain unclear. The extent of sarcopenia is muscle specific, with some muscles (including VL and RF) exhibiting substantial change with age, whereas other muscles, such as adductor longus and extensor digitorum longus, show few changes (17,23–25). The current study investigated the time course of the development of sarcopenia in FBN-hybrid rats from young to very old age. Three of the quadriceps muscles—VL, RF, and vastus medialis (VM)—were analyzed in 5-month-old animals and at 3-month intervals between 12 and 39 months of age. Significant declines in muscle mass and fiber number, increased fibrotic infiltration, and presence of muscle/fiber atrophy of FBN quadriceps muscles were detected very late in life (30–33 months) and were concurrent. This analysis of sarcopenia at 3-month intervals is novel and provides cross-sectional analyses and comparative data on aging muscle in an important rodent model.
MATERIALS AND METHODS
Male FBN hybrid rats were purchased from the NIA facilities at Harlan (Indianapolis, IN) at 5, 12, 15, 18, 21, 24, 27, 30, 33, 36, and 39 months of age (n = 6 for each age group). The rats were killed according to approved institutional protocols based on Guidelines for the Care and Use of Laboratory Animals. Three of the quadriceps muscles (VL, RF, and VM) from the left hind limb were individually dissected from origin to insertion and immediately weighed. Muscles were bisected at the midbelly, embedded in optimal cutting temperature (OCT) compound (Tissue-Tek; Andwin Scientific, Addison, IL), frozen in liquid nitrogen and stored at −80°C for other studies. The contralateral VL, RF, and VM muscles were dissected as one entity from origin to insertion. They were bisected at the midbelly, embedded in OCT, and frozen in liquid nitrogen. Three consecutive sections (10 µm thick) were cut, starting at the midbelly, placed on labeled ProbeOn Plus microscope slides (Fisher Scientific, Pittsburgh, PA), and stored at −80°C until use.
The first section of each series, containing VL, RF, and VM muscles, was stained with hematoxylin and eosin (H&E). Sections were photographed using an Olympus BH2 microscope with a Hitachi 3-chip CCD camera (Hitachi Inc., Tokyo, Japan) and midbelly composites of each muscle section were reconstructed by interlacing the images using ImagePro Plus software (Media Cybernetics, Atlanta, GA). For fiber counts, individual muscle fibers were annotated on the composite image of the entire muscle cross-section at the midbelly, using Adobe Photoshop (Adobe Systems, Inc., San Jose, CA), and total count was tabulated. The whole muscle CSA at the midbelly was measured by tracing an outline of each muscle using ImagePro Plus. To measure individual muscle fiber CSA, independent of fiber type, four images (10×) from the H&E sections were captured from VL and RF muscles at each age group. A grid with 25 random dots was placed over the images, and the CSA of the fibers marked with the dots was measured. Six hundred fibers were measured from each muscle at each age group ([4 images per muscle] × [25 fibers per image] × [6 animals per age group] = 600 fibers).
The second tissue section from each series was stained using Masson’s trichrome method (26) to distinguish muscle tissue from collagen. Briefly, the tissue was incubated with Bouin’s fixative for 1 hour at 56°C, stained with Weigert’s iron hematoxylin (for 10 minutes) and Biebrich scarlet-acid fuchsin (for 15 minutes), and incubated with phosphomolybdic-phosphotungstic acid (for 15 minutes) and aniline blue (for 20 minutes). Tissue sections were rinsed in double distilled H2O after each step. With this method, muscle fibers stain red and collagen stains blue. Whole tissue sections were scanned on a Nikon Super Coolscan 9000 ED at a resolution of 4000 dpi. The image was analyzed by using Adobe Photoshop with the magic wand tool to select the blue (collagen) and red (muscle) regions. The percentage of collagen and muscle in a given tissue section was calculated by using the number of pixels in each region (number of blue pixels [collagen]/number of blue pixels + number of red pixels [muscle]).
The third tissue section was used to determine fiber-type composition, using a monoclonal antiskeletal myosin (MY-32; Sigma, St. Louis, MO) antibody (type II fiber specific). The tissue sections were incubated with MY-32 antibody at a 1:400 dilution for 2 hours, followed by a 1-hour incubation with antimouse immunoglobulin G alkaline phosphatase-conjugated antibody (1:200).
SigmaStat 2.0 (SPSS Inc., Chicago, IL) and Minitab 13.31 (Minitab Inc., State College, PA) were used for statistical analysis. Means and standard deviation of the means were calculated from individual values. The one-way analysis of variance was used to determine whether there was a significant difference between age groups. The Tukey test was used for multiple comparisons. Differences were considered significant at p < .05. The distributions of fiber CSAs were analyzed using the interquartile range (IQR). IQR, also known as the middle fifty, is the range between the first and third quartiles and is a measure of statistical dispersion.
RESULTS
Body weight and muscle mass declined dramatically but only in the very old animals. There was a significant increase of body weight between 5 and 12 months, a trend that continued to 15 months. Body weight did not significantly change between 21 and 33 months. By 36 and 39 months, body weight significantly declined to values similar to 12 months (Table 1). Three quadriceps muscles (VL, RF, and VM) were analyzed for sarcopenic changes with age. Changes observed in muscle mass were similar in the three muscles studied. An increase in muscle mass was observed between 5 and 12 months in all three muscles. Muscle mass did not significantly change between 12 and 30 months of age. A significant muscle mass loss was identified in 33-month-old rats compared to younger animals (12–30 months), a decline that continued in 36-month-old animals. No significant changes were found in muscle mass between 36 and 39 months of age in any of the muscles (Figure 1A).
Table 1.
Body Weight With Age
| Age (Months) | Body Weight (Grams) |
|---|---|
| 5 | 322 ± 27a |
| 12 | 466 ± 19b |
| 15 | 536 ± 36c |
| 18 | 401 ± 28a |
| 21 | 520 ± 35c |
| 24 | 555 ± 26c |
| 27 | 508 ± 48c |
| 30 | 547 ± 64c |
| 33 | 515 ± 58c |
| 36 | 445 ± 32b |
| 39 | 447 ± 44b |
Note: Values are expressed as means ± standard deviation. Six animals were studied at each age group. Values with different superscripts are significantly different (p < .05).
Figure 1.
Mean muscle weight (a) and fiber number (b) with age. Six animals were used at each age group. Wet weights were measured for each muscle. Fiber number counts were taken from the midbelly of the muscles at each age. Values with different letters are significantly different from each other (p < .05).
The highest number of fibers at the midbelly was observed in 18-month-old rats in all three muscles. Significant loss in fiber number occurred in all three muscles very late in life. Fiber number significantly declined in 33-month-old VL and RF muscles, and in 36-month-old VM muscles. In the VL muscles, 30% of fibers were lost at 33 months and 46% at 36 months compared to 18 months. In the RF muscle midbelly, fiber number declined by 20% at 33 months and 31% at 36 months compared to 18 months. In the VM muscle, 32% of the fibers were lost at 36 months compared to 18 months. Midbelly fiber number did not decline after 36 months in RF, VL, and VM muscles (Figure 1B).
Entire muscle CSAs at the midbelly were measured in the three muscles. Although a trend of reduced muscle CSA was observed in the VL muscles between 12 and 30 months, a significant decline was not identified until 33 months of age compared to younger animals (12–30 months). By 36 months, VL muscle CSA was half the size of VL from 30-month-old animals. The CSA of RF muscles also significantly declined at 33–36 months. The first significant changes in VM CSA were observed at 36 months. By 36 months, CSA of the RF and VM muscles had declined by ~30% and 40%, respectively, compared to the muscles of 30-month-old animals. Changes in muscle CSA were not observed between 36 and 39 months in RF, VL, and VM muscles (Figure 2).
Figure 2.
Muscle cross-sectional area (CSA) changes with age. Muscle CSA (mm2) at the midbelly of quadriceps muscles was measured at the specified ages. Within like-colored bars, different letters indicate a significant difference (p < .05).
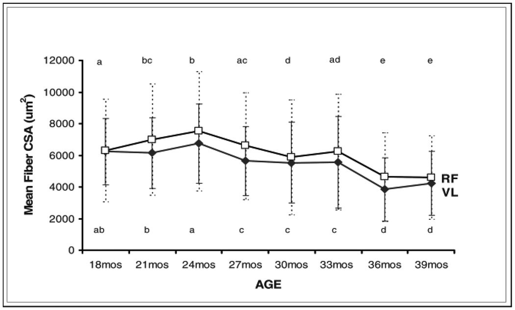
Muscle fiber atrophy was assessed by analysis of fiber CSA in the RF and VL muscles. Six hundred fibers were measured from each age group. Analysis of mean muscle fiber CSAs showed that fiber CSA peaked at 24 months in both RF and VL muscles. Fiber CSA significantly declined between 27 and 33 months of age in both muscles compared to 24 months (Figure 3). The fiber size continued to significantly decline at 36–39 months. Fiber size declined by ~40% at 36–39 months compared to 24 months. There was no change in fiber size between 36 and 39 months in the RF and VL muscles.
Figure 3.
Mean fiber cross-sectional area (CSA) declines with age. The CSA was measured in 600 fibers that were randomly selected from the rectus femoris (RF) (squares) and vastus lateralis (VL) (diamonds) muscle at each age. Values are means ± standard deviation, and measurements are expressed in square microns. Mean values with different superscripts are significantly different from each other (p < .05). Upper and lower letters correspond to the RF and VL, respectively.
The percentages of collagen and muscle fiber (with age) in each tissue section were determined using Masson’s trichrome stain (Figure 4). Collagen accounted for ~4% of the muscle composition at 12–18 months of age in the three quadriceps muscles. Collagen levels gradually increased between 21 and 33 months (6%–10%), followed by a significant increase at 36 and 39 months to 25% and 22%, respectively (Figure 5).
Figure 4.
Collagen staining (Masson’s trichrome) was performed on whole quadriceps tissue sections. This histological technique stains skeletal muscle fibers red and collagen. Whole tissue sections were scanned on a Nikon Super Coolscan 9000 ED at a resolution of 4000 dpi.
Figure 5.
Percent collagen in aging skeletal muscle. Total area of collagen was measured for each muscle and expressed in terms of the number of pixels. Percentage of collagen in a given tissue section was calculated. Results were compared among different age groups. Values with different lowercase letters above them are significantly different from each other (p < .05). Numbers within each column represent the number of samples used for that particular age.
The proportions of type I and type II fibers in the RF, VL, and VM muscles were determined immunohistochemically using an antibody against skeletal muscle type II myosin. All three muscles were composed predominantly of type II fibers. About 90%–95% of the skeletal muscle fibers in VL and RF were type II in the young animals, whereas about 80%–85% of the fibers were type II in VM muscle (Figure 6). A checkerboard pattern of type I muscle fibers was observed in muscles from young animals, whereas type I fibers were clustered in large groups at old age, a phenomenon referred to as “fiber type grouping” (27–30) (Figure 7). The ratio of type I and type II fibers in the RF and VM muscle did not significantly change between 12 and 36 months (Figure 6). A significant decline in the type I fiber population was observed between 24 and 33 months as compared to younger and older ages in the VL muscle. All three muscles showed a significant increase in type I muscle fibers at 39 months of age with a 2- to 3-fold increase in the percentage of type I fibers occurring between 36 and 39 months (Figure 6).
Figure 6.
Proportion of type I and type II fibers with age. Type I and type II fibers were identified and counted, and the percentages for each muscle at different ages were calculated. White: Percentage of type I fibers. Black: Type II fibers. Within like-color columns, asterisks indicate significant difference.
Figure 7.
Photomicrographs of myosin heavy-chain staining of rectus femoris muscle tissue sections from middle-aged rats (24 months) and aged rats (39 months). Scale bar = 50 µm.
DISCUSSION
The progressive decline in skeletal muscle mass is one of the most well-recognized features of aging. The initiation and the extent of age-dependent muscle loss have not been well characterized. In this study, we analyzed the onset and the progression of sarcopenia in FBN rats, a strain that is recognized as a model of healthy aging and is increasingly being used in the study of sarcopenia. The FBN rat has significantly lower incidences of many age-related pathologies (e.g., glomerulonephritis, retinal atrophy, and leukemia) that develop in other rat strains (19). The FBN rat is a long-lived strain with a mean life span of approximately 32 months and a maximum life span of 41 months. The animals in the current study represent 5-, 12-, 15-, 18-, 21-, 24-, 27-, 30-, 33-, 36-, and 39-month-old rats.
We previously demonstrated that VL and RF muscles exhibit significant muscle mass and fiber number loss between 18 and 36 months (8,17,23). Both of these muscles are predominantly composed of type II fibers (fast-twitch, white) that are more susceptible to age-related fiber atrophy and fiber loss than are type I (slow-twitch, red) fibers (31–33). In this study, in addition to the VL and RF, we examined sarcopenic changes in the VM muscle, a muscle with a higher type I fiber content than that found in VL and RF. We identified that the decline in muscle mass and fiber number and the presence of muscle/fiber atrophy become significant late in life (at between 30 and 33 months) and that these changes overlap temporarily. An average loss of 1.3% in muscle mass is estimated every month between 21 and 30 months and ~8.7% each month between 30 and 36 months in VL, RF, and VM muscles. Based on fiber counts at the midbelly region, an average of 240 skeletal muscle fibers are lost every month between 21 and 30 months; ~1260 skeletal muscle fibers are lost every month between 30 and 33 months; and ~1400 fibers are lost between 33 and 36 months of age in all three quadriceps muscles. Because fibers do not extend the length of the muscle assessed (34,35), and fiber counts were performed at the midbelly, fiber loss estimates are an underrepresentation of the total fiber decline with age.
Our study identified an interesting phenomenon: The large sarcopenic declines identified at 30, 33, and 36 months did not continue to 39 months. Although this may be a “survivor phenomenon,” increases in the number of type I fibers could also suggest an adaptive response. Adult skeletal muscle undergoes conversion between different fiber types in response to age, exercise, or modulation of motoneuron activity (30–32). We observed, concurrent with fiber loss, an increase in type I fibers in all three muscles. Our data show that fiber type changes were due to both a transformation of fibers from type II to type I and to a selective loss of type II fibers. A shift from type II to type I fibers with age has been previously described in rats and human skeletal muscle (17,31,33,36–39). Type II fibers are more prone to fiber atrophy and fiber loss with age, which may be attributed to the loss of motor neurons, inactivity, and mitochondrial DNA mutations and their associated electron transport system abnormalities (8,23,33,38).
Muscle mass and fiber loss was accompanied by fiber atrophy and an increase of collagen tissue in very old rats. In young, healthy muscles, extracellular matrix macromolecules form collagen sheaths around muscle fibers, fiber bundles, and the entire muscle. This connective tissue framework integrates the muscle fiber into one functional unit, allowing the muscle to contract as one entity (40). Approximately 1%–2% of the collagen in muscle is replaced daily (41). The loss and atrophy of muscle fibers with a concomitant increase in collagen severely affects muscle function and contractile capabilities. In old muscles, the collagenases’ ability to break down the excess collagen is reduced, and the space previously used by a myofiber fills up with connective tissue. The ability of that muscle to contract and of the circulatory apparatus to reach the injured fiber are reduced, leading to the functional declines and sarcopenia (40,42).
Our analysis demonstrates that there is a significant muscle mass loss in the RF, VL, and VM muscles of very old FBN rats and that this loss is temporally associated with fiber loss and fiber atrophy. This study provides a timeline for sarcopenia, defining the age of onset of muscle mass loss in an important animal model. One important outcome of our study is the observation that sarcopenic changes are not linear. Sarcopenia proceeds at a slow rate until reaching a threshold age (FBN rat, 30 months of age) at which time there is a significant acceleration of muscle mass and fiber loss. Our findings provide an important foundation and a benchmark for investigations examining and testing the etiology of sarcopenia, suggesting that process(es) causing muscle mass loss should be most prevalent very late in life and initially observed (in FBN rats) prior to 30 months of age.
ACKNOWLEDGMENTS
This research was supported by the National Institutes of Health (National Research Service Award Number T32 AG000213, from the National Institute on Aging). It was also supported by the Ellison Medical Foundation’s Senior Scholar Award (J.M.A.) and by RO1 AG 011604.
REFERENCES
- 1.Doherty TJ. Aging and sarcopenia. J Appl Physiol. 2003;95:1717–1727. doi: 10.1152/japplphysiol.00347.2003. [DOI] [PubMed] [Google Scholar]
- 2.Sternfeld B, Ngo L, Satariano WA, Tager IB. Associations of body composition with physical performance and self-reported functional limitation in elderly men and women. Am J Epidemiol. 2002;156:110–121. doi: 10.1093/aje/kwf023. [DOI] [PubMed] [Google Scholar]
- 3.Visser M, Goodpaster BH, Kritchevsky SB, et al. Muscle mass, muscle strength, and muscle fat infiltration as predictors of incident mobility limitations in well-functioning older persons. J Gerontol A Biol Sci Med Sci. 2005;60:324–333. doi: 10.1093/gerona/60.3.324. [DOI] [PubMed] [Google Scholar]
- 4.Roos MR, Rice CL, Vandervoort AA. Age-related changes in motor unit function. Muscle Nerve. 1997;20:679–690. doi: 10.1002/(sici)1097-4598(199706)20:6<679::aid-mus4>3.0.co;2-5. [DOI] [PubMed] [Google Scholar]
- 5.McNeil CJ, Doherty TJ, Stashuk DW, Rice CL. Motor unit number estimates in the tibialis anterior muscle of young, old, and very old men. Muscle Nerve. 2005;31:461–467. doi: 10.1002/mus.20276. [DOI] [PubMed] [Google Scholar]
- 6.Gallegly JC, Turesky NA, Strotman BA, Gurley CM, Peterson CA, Dupont-Versteegden EE. Satellite cell regulation of muscle mass is altered at old age. J Appl Physiol. 2004;97:1082–1090. doi: 10.1152/japplphysiol.00006.2004. [DOI] [PubMed] [Google Scholar]
- 7.Lees SJ, Rathbone CR, Booth FW. Age-associated decrease in muscle precursor cell differentiation. Am J Physiol Cell Physiol. 2006;290:C609–C615. doi: 10.1152/ajpcell.00408.2005. [DOI] [PubMed] [Google Scholar]
- 8.Wanagat J, Cao Z, Pathare P, Aiken JM. Mitochondrial DNA deletion mutations colocalize with segmental electron transport system abnormalities, muscle fiber atrophy, fiber splitting, and oxidative damage in sarcopenia. FASEB J. 2001;15:322–332. doi: 10.1096/fj.00-0320com. [DOI] [PubMed] [Google Scholar]
- 9.Dupont-Versteegden EE. Apoptosis in skeletal muscle and its relevance to atrophy. World J Gastroenterol. 2006;12:7463–7466. doi: 10.3748/wjg.v12.i46.7463. [DOI] [PMC free article] [PubMed] [Google Scholar]
- 10.Marzetti E, Leeuwenburgh C. Skeletal muscle apoptosis, sarcopenia and frailty at old age. Exp Gerontol. 2006;41:1234–1238. doi: 10.1016/j.exger.2006.08.011. [DOI] [PubMed] [Google Scholar]
- 11.Visser M, Deeg DJ, Lips P. Longitudinal Aging Study Amsterdam. Low vitamin D and high parathyroid hormone levels as determinants of loss of muscle strength and muscle mass (sarcopenia): The Longitudinal Aging Study Amsterdam. J Clin Endocrinol Metab. 2003;88:5766–5772. doi: 10.1210/jc.2003-030604. [DOI] [PubMed] [Google Scholar]
- 12.Szulc P, Duboeuf F, Marchand F, Delmas PD. Hormonal and lifestyle determinants of appendicular skeletal muscle mass in men: The MINOS study. Am J Clin Nutr. 2004;80:496–503. doi: 10.1093/ajcn/80.2.496. [DOI] [PubMed] [Google Scholar]
- 13.Hagen JL, Krause DJ, Baker DJ, Fu MH, Tarnopolsky MA, Hepple RT. Skeletal muscle aging in F344BN F1-hybrid rats: I. Mitochondrial dysfunction contributes to the age-associated reduction in VO2max. J Gerontol A Biol Sci Med Sci. 2004;59:1099–1110. doi: 10.1093/gerona/59.11.1099. [DOI] [PubMed] [Google Scholar]
- 14.Kinnard RS, Mylabathula DB, Uddemarri S, Rice KM, Wright GL, Blough ER. Regulation of p70S6k, GSK-3beta, and calcineurin in rat striated muscle during aging. Biogerontology. 2005;6:173–184. doi: 10.1007/s10522-005-7953-6. [DOI] [PubMed] [Google Scholar]
- 15.Rice KM, Preston DL, Norton M, Blough ER. Age-related dystrophin–glycoprotein complex structure and function in the rat extensor digitorum longus and soleus muscle. J Gerontol A Biol Sci Med Sci. 2006;61:1119–1129. doi: 10.1093/gerona/61.11.1119. [DOI] [PubMed] [Google Scholar]
- 16.Tavakol M, Roy RR, Kim JA, et al. Fiber size, type, and myosin heavy chain content in rhesus hindlimb muscles after 2 weeks at 2 G. Aviat Space Environ Med. 2002;73:551–557. [PubMed] [Google Scholar]
- 17.McKiernan SH, Bua E, McGorray J, Aiken J. Early-onset calorie restriction conserves fiber number in aging rat skeletal muscle. FASEB J. 2004;18:580–581. doi: 10.1096/fj.03-0667fje. [DOI] [PubMed] [Google Scholar]
- 18.Colman RJ, McKiernan SH, Aiken JM, Weindruch R. Muscle mass loss in rhesus monkeys: age of onset. Exp Gerontol. 2005;40:573–581. doi: 10.1016/j.exger.2005.05.001. [DOI] [PubMed] [Google Scholar]
- 19.Lipman RD, Chrisp CE, Hazzard DG, Bronson RT. Pathologic characterization of Brown Norway, Brown Norway × Fischer 344, and Fischer 344 × Brown Norway rats with relation to age. J Gerontol Biol Sci. 1996;51A:B54–B59. doi: 10.1093/gerona/51A.1.B54. [DOI] [PMC free article] [PubMed] [Google Scholar]
- 20.Turturro A, Witt WW, Lewis S, Hass BS, Lipman RD, Hart RW. Growth curves and survival characteristics of the animals used in the Biomarkers of Aging Program. J Gerontol Biol Sci. 1999;54A:B492–B501. doi: 10.1093/gerona/54.11.b492. [DOI] [PubMed] [Google Scholar]
- 21.Tanaka S, Shito A, Tamaya N, Miyaishi O, Nishimura M, Ohno T. Difference in average survival between F344/Du and F344/N rats is not due to genetic contamination. Arch Gerontol Geriatr. 2002;34:19–28. doi: 10.1016/s0167-4943(01)00188-1. [DOI] [PubMed] [Google Scholar]
- 22.Sprott RL. Mouse and rat genotype choices. Exp Gerontol. 1997;32:79–86. doi: 10.1016/s0531-5565(96)00035-6. [DOI] [PubMed] [Google Scholar]
- 23.Bua EA, McKiernan SH, Wanagat J, McKenzie D, Aiken JM. Mitochondrial abnormalities are more frequent in muscles undergoing sarcopenia. J Appl Physiol. 2002;92:2617–2624. doi: 10.1152/japplphysiol.01102.2001. [DOI] [PubMed] [Google Scholar]
- 24.Bua EA, McKiernan SH, Aiken JM. Caloric restriction affects onset but not accumulation of ETS abnormalities in rat skeletal muscle. FASEB J. 2004;18:582–584. doi: 10.1096/fj.03-0668fje. [DOI] [PubMed] [Google Scholar]
- 25.Brown M, Hasser EM. Complexity of age-related change in skeletal muscle. J Gerontol Biol Sci. 1996;51:B117–B123. doi: 10.1093/gerona/51a.2.b117. [DOI] [PubMed] [Google Scholar]
- 26.Sheehan DC, Hrapchak BB. Theory and Practice of Histotechnology. 2nd ed. St. Louis: Mosby; 1980. [Google Scholar]
- 27.Gosztonyi G, Naschold U, Grosdanovic Z, Stoltenburg-Didinger G, Gossrau R. Expression of Leu-19 (CD56, N-CAM) and nitric oxide synthase (NOS) I in denervated and reinnervated human skeletal muscle. Microsc Res Tech. 2001;55:187–197. doi: 10.1002/jemt.1170. [DOI] [PubMed] [Google Scholar]
- 28.Sjostrom M, Lexell J, Downham DY. Differences in fiber number and fiber type proportion within fascicles. A quantitative morphological study of whole vastus lateralis muscle from childhood to old age. Anat Rec. 1992;234:183–189. doi: 10.1002/ar.1092340205. [DOI] [PubMed] [Google Scholar]
- 29.Lexel J, Downham DY. The occurrence of fibre-type grouping in healthy human muscle: a quantitative study of cross-sections of whole vastus lateralis from men between 15 and 83 years. Acta Neuropathol. 1991;81:377–381. doi: 10.1007/BF00293457. [DOI] [PubMed] [Google Scholar]
- 30.Lexell J, Downham D, Sjöström M. Distribution of different fibre types in human skeletal muscles. Fibre type arrangement in m. vastus lateralis from three groups of healthy men between 15 and 83 years. J Neurol Sci. 1986;72:211–222. doi: 10.1016/0022-510x(86)90009-2. [DOI] [PubMed] [Google Scholar]
- 31.Lexell J, Taylor CC, Sjostrom M. What is the cause of the ageing atrophy? Total number, size and proportion of different fiber types studied in whole vastus lateralis muscle from 15- to 83-year-old men. J Neurol Sci. 1988;84:275–294. doi: 10.1016/0022-510x(88)90132-3. [DOI] [PubMed] [Google Scholar]
- 32.Lee WS, Cheung WH, Qin L, Tang N, Leung KS. Age-associated decrease of type IIA/B human skeletal muscle fibers. Clin Orthop Relat Res. 2006;450:231–237. doi: 10.1097/01.blo.0000218757.97063.21. [DOI] [PubMed] [Google Scholar]
- 33.Luff AR. Age-associated changes in the innervation of muscle fibers and changes in the mechanical properties of motor units. Ann N Y Acad Sci. 1998;854:92–101. doi: 10.1111/j.1749-6632.1998.tb09895.x. [DOI] [PubMed] [Google Scholar]
- 34.Gollnick PD, Timson BF, Moore RL, Riedy M. Muscular enlargement and number of fibers in skeletal muscles of rats. J Appl Physiol. 1981;50:936–943. doi: 10.1152/jappl.1981.50.5.936. [DOI] [PubMed] [Google Scholar]
- 35.Gollnick PD, Parsons D, Riedy M, Moore RL. Fiber number and size in overloaded chicken anterior latissimus dorsi muscle. J Appl Physiol. 1983;54:1292–1297. doi: 10.1152/jappl.1983.54.5.1292. [DOI] [PubMed] [Google Scholar]
- 36.Jarvis JC, Mokrusch T, Kwende MM, Sutherland H, Salmons S. Fastto-slow transformation in stimulated rat muscle. Muscle Nerve. 1996;19:1469–1475. doi: 10.1002/(SICI)1097-4598(199611)19:11<1469::AID-MUS11>3.0.CO;2-O. [DOI] [PubMed] [Google Scholar]
- 37.Pette D. Training effects on the contractile apparatus. Acta Physiol Scand. 1998;162:367–376. doi: 10.1046/j.1365-201X.1998.0296e.x. [DOI] [PubMed] [Google Scholar]
- 38.Larkin LM, Kuzon WM, Halter JB. Effects of age and nerve-repair grafts on reinnervation and fiber type distribution of rat medial gastrocnemius muscles. Mech Ageing Dev. 2003;124:653–661. doi: 10.1016/S0047-6374(02)00190-2. [DOI] [PMC free article] [PubMed] [Google Scholar]
- 39.Ishihara A, Naitoh H, Katsuta S. Effects of ageing on the total number of muscle fibers and motoneurons of the tibialis anterior and soleus muscles in the rat. Brain Res. 1987;435:355–358. doi: 10.1016/0006-8993(87)91624-6. [DOI] [PubMed] [Google Scholar]
- 40.Takala TE, Virtanen P. Biochemical composition of muscle extracellular matrix: the effect of loading. Scand J Med Sci Sports. 2000;10:321–325. doi: 10.1034/j.1600-0838.2000.010006321.x. [DOI] [PubMed] [Google Scholar]
- 41.Kovanen V. Intramuscular extracellular matrix: complex environment of muscle cells. Exerc Sport Sci Rev. 2002;30:20–25. doi: 10.1097/00003677-200201000-00005. [DOI] [PubMed] [Google Scholar]
- 42.Eyre DR. The specificity of collagen cross-links as markers of bone and connective tissue degradation. Acta Orthop Scand Suppl. 1995;266:166–170. [PubMed] [Google Scholar]







