Abstract
Because the olfactory system plays a major role in food consumption, and because “food addiction” and associated morbidities have reached epidemic proportions, we tested the hypothesis that dietary energy restriction can modify adverse effects of cocaine on behavior and olfactory cellular and molecular plasticity. Mice maintained on an alternate day fasting (ADF) diet exhibited increased baseline locomotion and increased cocaine-sensitized locomotion during cocaine conditioning, despite no change in cocaine conditioned place preference, compared to mice fed ad libitum. Levels of dopamine and its metabolites in the olfactory bulb (OB) were suppressed in mice on the ADF diet compared to mice on the control diet, independent of acute or chronic cocaine treatment. The expression of several enzymes involved in dopamine metabolism including tyrosine hydroxylase, monoamine oxidases A and B (MAOA), and catechol-O-methyltransferase were significantly reduced in OBs of mice on the ADF diet. Both acute and chronic administration of cocaine suppressed the production of new OB cells, and this effect of cocaine was attenuated in mice on the ADF diet. Cocaine administration to mice on the control diet resulted in up-regulation of OB genes involved in mitochondrial energy metabolism, synaptic plasticity, cellular stress responses, and calcium- and cyclic AMP-mediated signaling, whereas multiple olfactory receptor genes were down-regulated by cocaine treatment. ADF abolished many of the effects of cocaine on OB gene expression. Our findings reveal that dietary energy intake modifies the neural substrates underlying some of the behavioral and physiological responses to repeated cocaine treatment, and also suggest novel roles for the olfactory system in addiction. The data further suggest that modification of dietary energy intake could provide a novel potential approach to addiction treatments.
Keywords: addiction, caloric restriction, CREB, neurogenesis, nucleus accumbens, obesity
Introduction
The inability to control food and drug intake in obesity and drug addiction, respectively, are major causes of poor health and premature death (Barness et al. 2007; Schifano and Corkery 2008). Some aspects of craving for food and for addictive drugs may involve the same brain regions, neuronal circuits and neurochemicals (McIntyre et al. 2007; Volkow et al. 2008; Lutter and Nestler 2009). For example, dopamine plays pivotal roles in the acquisition and reinforcement of drug-seeking behaviors (Di Chiara et al. 2004; Everitt et al. 2008), altered dopamine signaling is observed in the nucleus accumbens of mice that consume high fat diets (Teegarden et al. 2009), and perturbed mesolimbic dopamine neurotransmission is also linked to obesity in rats (Geiger et al. 2009). Of more translational relevance, obese human patients often exhibit hyperactivation of brain reward systems when presented with pictures of high calorie foods (Stoeckel et al. 2008).
The olfactory bulb (OB) modulates olfactory processing, and is unusual among brain regions because its interneurons live for only a limited time period and are then replaced by newly generated neurons which arise from stem cells in the cortical subventricular zone (Whitman and Greer 2009). The olfactory system is known to play a fundamental role in food intake and in the rewarding aspects of foods (Rolls 2006; van Duuren et al. 2008). The OB is also involved in drug reward mechanisms because surgical OB ablation disrupts cocaine-induced reward in animal models (Kornetsky et al. 1991; Calcagnetti et al. 1996), suggesting potential roles for olfactory function in the addiction process. Although little is known about whether or how drugs of abuse and food intake might affect cells in the OB, olfactory perception is impaired in cocaine addicts (Gordon et al. 1990; Bauer and Mott 1996). In addition, administration of stimulants depletes norepinephrine and dopamine and causes cell death in the OB (Atianjoh et al. 2008; Horne et al. 2008). Nevertheless, the effects of drugs of abuse and food intake on olfactory neurogenesis have yet to be described even though cocaine administration has been reported to impair hippocampal neurogenesis (Dominguez-Escriba et al. 2006; Noonan et al. 2008), in a reversible manner (Noonan et al. 2008).
Despite the general similarities between drug addiction and uncontrolled food intake, it is not known whether changes in dietary energy intake affect the rewarding action of drugs of abuse. When rats or mice are maintained on alternate day fasting (ADF) or limited daily feeding diets they exhibit reduced body weight, improved glucose metabolism and extended life span (Heilbronn et al. 2005; Johnson et al. 2007; Martin et al. 2007). In addition, dietary energy restriction has effects on brain neurochemistry that could influence responses to drugs of abuse. These effects include protection of dopaminergic neurons in models of Parkinson’s disease (Duan and Mattson 1999; Maswood et al. 2004) and enhancement of hippocampal neurogenesis and synaptic plasticity (Lee et al. 2002; Stranahan et al. 2009). Dietary energy restriction increases dopamine receptor D2 expression and enhances evoked overflow of dopamine in the striatum in rodents (Diao et al. 1997; Gelegen et al. 2008). Here we show that ADF modifies the actions of cocaine on behavior, and dopamine levels, neural progenitor cell proliferation and gene expression in the OB.
Methods
Animals, Diets and Cocaine Administration
Three month-old male C57BL/6 mice were purchased from Jackson Laboratories, and were allowed to acclimate at the National Institute on Aging (NIA) animal facility for 2 weeks prior to initiating experiments. Mice were randomly assigned to either the usual ad libitum (AL) diet or to an ADF diet. Both groups ate a standard NIH-07 diet (Harlan–Teklad, Indianapolis), had free access to water, and were maintained on a 12 h light/12 h dark cycle (lights on at 0600). Mice were maintained for 3 months on the diets prior to treatments with cocaine or saline. At the time of cocaine administration the body weights of the mice on the AL and ADF diets were 25.4 ± 2.4 and 21.1 ± 1.3, respectively (mean ± SD; p < 0.001). For all experiments, except for the conditioned place preference (CPP) experiment (see below), AL and ADF groups were subdivided into a chronic cocaine (or saline control) treatment group (20 mg/kg cocaine or saline intraperitoneally once daily for 10 days), and an acute cocaine treatment group (saline for 10 days and one 20 mg/kg dose of cocaine on the 11th day). Acute injections were given 5 minutes prior to either locomotor testing for the behavioral experiment (described below) or euthanasia for tissue collection for the other experiments. Separate cohorts of mice (8–10 per group) were used for behavioral analysis, evaluation of neural progenitor cells, and measurements of monoamines and gene array analysis. All procedures were approved by the NIA Animal Care and Use Committee and followed National Institutes of Health guidelines.
Behavioral Tests
Behavioral tests were performed in mice that had been fasted overnight (the morning of a normal fasting day for the ADF group). The effects of ADF and chronic cocaine treatment on locomotor behavior were assessed using the paradigm described above. Details are available in the Supplementary Methods online.
Tissue Collection and Quantification of Monoamines
Forty minutes after the last cocaine treatment (in both the acute and chronic cocaine groups) mice were euthanized, their brains were removed and both olfactory bulbs were removed by dissection, flash frozen and storted at −80 C. Entire olfactory bulbs were weighed and prepared for analysis of monoamine neurotransmitters by sonicating the tissue in 0.1M perchloric acid containing 10 ng/mg tissue weight of the internal standard dihydroxybenzilamine, and centrifuged at 20,000g for 5 minutes. The following neurotransmitters and their metabolites were measured by HPLC with electrochemical detection as described previously (Krasnova et al. 2001): NE, norepinephrine; DOPAC, 3,4-dihydroxyphenylacetic acid; DA, dopamine; 5HIAA, 5-hydroxyindolacetic acid; 5HT, 5-hydroxytryptamine; HVA, homovanillic acid).
Evaluation of Neural Progenitor Cell Proliferation
These analyses were performed using methods similar to those of Li et al. (2009). The percentage of cells in the entire olfactory bulb that were BrdU positive was estimated using unbiased stereology methods similar to those described in our previous studies (Lee et al. 2002; Stranahan et al. 2008). Details are available in the Supplementary Methods online.
Gene Array Analysis
Olfactory bulbs were removed, and were flash frozen and stored at −80 C. Entire olfactory bulbs were used for RNA isolation which was carried out using the Qiagen RNeasy Mini Kit for animal tissues (Qiagen, Inc. Valencia CA). Details of the methods for gene array analysis are available in the Supplementary Methods online.
Results
Alternate Day Fasting Alters Dopamine Levels in the Olfactory Bulb
The mesolimbic dopaminergic system (MDS), which includes the OB, plays a pivotal role in drug addiction, and is also strongly implicated in food craving and obesity (Volkow et al. 2008). Because the olfactory system plays a major role in the rewarding effects of food and receives considerable dopaminergic input (Mennicken et al. 1992), we measured levels of monoamines and their metabolites in the OB of mice in the different diet and drug treatment groups. Levels of DA, and of its metabolites, DOPAC and HVA in the OB were significantly decreased by ADF in drug-naïve mice compared to mice on the control diet (Fig. 1; Supplementary Figure 1). In mice on the control diet, chronic cocaine treatment caused no significant changes in the levels of DA, DOPAC or HVA (Fig. 1). The levels of DA and its metabolites in the OB of cocaine-treated mice maintained on the ADF diet were comparable to those measured in the cocaine-naïve mice on the ADF diet, values which were significantly lower than those of drug naïve and cocaine-treated mice on the control diet (Fig. 1). The levels of norepinephrine (NE), serotonin (5-HT) and the serotonin metabolite, 5-hydroxyindoleacetic acid (5-HIAA) were not affected by the ADF diet or by cocaine treatment (Supplementary Figure 1).
Figure 1.
Alternate day fasting results in reductions in levels of dopamine and its metabolites in the olfactory bulb in control and cocaine-treated mice. Levels of dopamine (DA), (DOPAC) and (HVA) were quantified in olfactory bulb tissue samples from mice in the indicated dietary (ad libitum or ADF) and saline (Sal) or cocaine (Coc) treatment groups. Values for each diet/drug condition are expressed as a percentage of the value for the Sal/AL group, and represent the mean and SEM of determinations made in samples from 8–10 mice per group. *p<0.01 (ANOVA with Tukey’s post hoc tests).
Cocaine Suppresses the Production of New Cells in the Olfactory Bulb: Prevention by Alternate Day Fasting
Olfactory function is often impaired in cocaine abusers(Gordon et al. 1990; Bauer and Mott 1996) and it was recently reported that cocaine suppresses neural progenitor cell proliferation in the hippocampus (Yamaguchi et al. 2004; Dominguez-Escriba et al. 2006; Andersen et al. 2007; Noonan et al. 2008). Moreover, ADF can enhance hippocampal neurogenesis (Lee et al. 2002). We therefore determined the effects of cocaine administration on the production of new OB cells. To quantify newly generated OB cells we administered the DNA precursor bromodeoxyuridine (BrdU) to mice (four 50 mg/kg doses with 2 hour inter-dose time intervals) in each of the diet and drug treatment groups, and euthanized the mice 48 hours later. Brain sections were then prepared and immunostained with a BrdU antibody, to label newly-generated cells, and stained with DAPI, to label all cells. In drug-naïve mice that received either the control or ADF diets, 17–20% of the cells in the OB were BrdU-positive (Fig. 2). In mice on the control diet, both acute and chronic cocaine administration resulted in highly significant decreases in the percentage of BrdU-labeled cells in the OB. The reduction was significantly greater in mice that had received chronic cocaine treatment compared to a single cocaine injection (Fig. 2b). The ability of either acute or chronic cocaine treatment to reduce the number of BrdU-labeled cells in the OB was significantly reduced in mice that had been maintained on the ADF diet (Fig. 2). These findings suggest that cocaine can impair the production of new OB cells and that ADF can ameliorate this adverse effect of cocaine.
Figure 2.

Alternate day fasting counteracts an inhibitory effect of cocaine on the production of new OB cells. a. The diagram at the left depicts the olfactory bulb with the rectangle marking the region in the anterior portion of the bulb in which quantitative analysis of BrdU-labeled cells was performed. Examples of confocal microscope images of BrdU-labeled cells in the olfactory bulbs of mice in the indicated dietary (control or ADF) and saline (S) or cocaine (C) treatment groups. Scale bar = 20 μm. b. Percentage of olfactory bulb cells that were BrdU was determined for the indicated diet and cocaine or saline treatment conditions (see Methods). Values are the mean and SEM (n= 8–10 mice per group). **p<0.01, ***p<0.001 compared to the corresponding control value; for mice on the control diet the CC value was significantly lower than the SC value (p<0.05) (ANOVA with Tukey’s post hoc tests). (SS, daily saline treatment for 11 days; SC, saline for 10 days then one dose of cocaine; CS, cocaine for 10 days then saline; CC, cocaine for 11 consecutive days).
Alternate Day Fasting Prevents Cocaine-Induced Alterations in Olfactory Bulb Gene Expression
We next elucidated the molecular mechanisms responsible for the effects of cocaine on olfactory neuroplasticity, and the mechanisms by which dietary energy restriction modifies the effects of cocaine. RNA was isolated from the OBs of mice that had been maintained on ADF or control diets and then administered cocaine or saline chronically for 10 days, followed by an acute injection of either cocaine or saline in half of the subjects in each chronic treatment group (n = . Microarray analysis using Illumina Sentrix Mouse WG-6 Expression BeadChips enabled us to detect and quantify expression of 45,000 mouse transcripts. To evaluate the overall impacts of both cocaine administration and diet energy restriction on gene expression of OB cells, we first applied principal component analyses (PCA) to the complete gene array data set. The OB gene expression patterns of mice in the ad libitum and ADF feeding groups were distinct (Fig. 3a), in a manner that was consistent with previous gene array analyses of other CNS regions from mice on restricted energy diets (Xu et al. 2007; Martin et al. 2008). PCA results revealed that acute and chronic cocaine administration each produced their own unique gene expression patterns in mice fed ad libitum. Remarkably, the exclusiveness of gene expression patterns in response to cocaine administration was abrogated in mice on the ADF diet (Fig. 3a). Analyses of differentially expressed genes using ANOVA confirmed large and selective effects of acute and chronic cocaine administration on OB gene expression in mice fed ad libitum. These analyses also identified the apparent resistance of the OB transcriptome to modification by cocaine in mice on the ADF diet (Fig. 3b). Using hierarchical clustering to evaluate the genes for which expression levels were significantly changed by acute or chronic cocaine administration identified striking differences in mice on the ADF and control diets (Fig. 3c). The vast majority of genes affected by cocaine in mice on the ad libitum diet were up-regulated; very few were down-regulated. Strikingly, most of the genes that were up-regulated in response to cocaine in mice on the control diet were not up-regulated by cocaine administration to mice that had been maintained on the ADF diet.
Figure 3.
Acute and chronic cocaine treatments result in distinct global gene expression responses in olfactory bulb cells, and these effects of cocaine are largely abrogated in mice on the ADF diet. a. Principal components analysis of the effects of cocaine on OB gene expression in mice on ad libitum control (AL) and alternate day fasting (ADF) diets. The analysis shows that the gene expression patterns are shifted greatly in response to both acute (S-C versus SS) and chronic (C-C versus SS) cocaine treatments in mice in the AL diet group. In contrast, cocaine has very little effect on global gene expression in the OBs of mice that had been maintained on the ADF diet. b. Sources of variation for gene expression in the OB. The results show large changes in gene expression in response to cocaine administration in mice on the ad libitum diet, and much fewer changes in gene expression in mice on the ADF diet. The “F ratio” is a statistical measure of signal-to-noise ratio”, and the Average F Ratio is the average signal-to-noise ratio of all the computed variables for each factor. A high F ratio value indicates that the marker explains the variation due to the drug administration. c. Hierarchical clustering of cocaine responsive genes in the OB. Genes significantly changed with the administration of cocaine, either acute or chronic, were used for this clustering analysis; the results demonstrate that the gene expression changed greatly with cocaine administrations for AL OBs but not ADF ones. Moreover, gene expression patterns could not separate the acute and chronic cocaine groups in ADF OBs, in contrast to the clear separation between acute and chronic cocaine groups in AL OBs. S-C, acute cocaine administration; C-C, chronic cocaine administration; S-S, saline administration.
There were many genes that were up-regulated by both acute and chronic cocaine administration (Figure 3c and Supplementary Table 1). These included genes that encode proteins involved in: membrane trafficking (clathrin, clathrin-associated protein 1 and phosphatidylinositol clathrin binding assembly protein); inhibition of neuronal excitability (GABA A receptor and inwardly rectifying potassium channels); cellular energy metabolism (NADH dehydrogenase, succinate dehydrogenase, ATP synthase and HDAC2); and cellular stress responses (thioredoxin reductase and mitogen-activated protein kinases). Chronic cocaine treatment up-regulated expression of the dopamine receptor 1 gene. Strikingly, acute cocaine treatment resulted in significant decreases in the levels of mRNAs encoding 12 different olfactory receptor proteins (Supplementary Table 1). Fewer genes were down-regulated in the OB of mice that had received chronic cocaine treatment, but those genes did include several olfactory receptors.
To determine whether the reduction in levels of DA in the OB in mice on the ADF diet were associated with altered expression of enzymes involved in DA synthesis or degradation, we analyzed our gene array data to determine relative levels of mRNAs encoding tyrosine hydroxylase (TH), monoamine oxidase A (MAOA), monoamine oxidase B (MAOB), and catechol-O-methyltransferase (COMT) (Supplementary Figure 2a). Levels of expression of all four of these mRNAs were significantly reduced in OBs of mice on the ADF diet compared those on AL diet (p < 0.05). Because levels of NE and 5-HT in the OB were unaffected by ADF, the changes in TH, MAOs and COMT mRNA levels are consistent with an effect of ADF on the intrinsic dopaminergic neurons in the OB.
ADF was previously reported to prevent the death of mature neurons in animal models of neurodegenerative disorders (Bruce-Keller et al., 1999; Duan and Mattson, 1999; Duan et al., 2003), and newly-generated neurons produced from stem cells in the hippocampus (Lee et al., 2002). We therefore interrogated our gene array data focusing on cell death and survival genes in chronic cocaine treated mice that were on either ADF or AL diets. BDNF gene expression did not change significantly under different diet conditions with chronic cocaine administration. However, by analyzing the gene expression with GO (Gene Ontology)-ANOVA, we found a group of ‘induction of apoptosis’ genes that includes FasL and Caspases are notably downregulated (p < 0.01) by ADF compared to AL diet in chronic cocaine-treated mice (Supplementary Table 3). These findings suggest that suppression of apoptotic pathways may contribute to the ADF-mediated protection of OB cells against the damaging effects of cocaine.
The Partek® Genomics Suite analyses were applied to the genes whose expression levels were significantly affected by cocaine administration (Table 1; Supplementary Figures 2b, 3 and 4). The results revealed several canonical signaling pathways that were activated by cocaine administration in the OBs of mice fed ad libitum, but not in the OBs of mice on the ADF diet. These included glutamate receptor, CREB, 14-3-3 and hypoxia-mediated signaling pathways.
Table 1.
Top ranked signaling pathways stimulated by cocaine administration in OBs of mice on the ad libitum diet, but not mice on the ADF diet.
| Acute cocaine |
Chronic cocaine |
|---|---|
| Hypoxia signaling | Glutamate receptor signaling |
| 14-3-3 mediated signaling | CREB signaling |
| PI3K/AKT signaling | Ephrin receptor signaling |
| Protein ubiquitination pathway | Axonal guidance signaling |
| Oxidative phosphorylation | cAMP mediated signaling |
| Methionine metabolism | 14-3-3 mediated signaling |
Genes involved in the regulation of mitochondrial electron transport chain complexes I, II, III, IV and V (ATP synthase) were up-regulated by cocaine in mice on the control diet, but not in mice on the ADF diet (Supplementary Figure 2). Multiple genes involved in glutamatergic neurotransmission that were up-regulated by cocaine in control but not ADF mice included CALM (synaptic vesicle recycling), glutamate receptor modulators (GRK, GRIA, GRM3 and GRM7) and glutamine synthase (Supplementary Figure 3). Genes upstream of CREB activation that were induced by cocaine in OBs of control but not ADF mice included those encoding cyclic AMP-dependent protein kinase (PKA), protein kinase C (PKC), Ca2+/calmodulin-dependent protein kinase IV (CaMKIV) and MEK1/2 (Supplementary Figure 4).
A remarkable result of the gene array analysis was that cocaine (acute or chronic) was ineffective in altering OB gene expression in mice that had been maintained on the ADF diet. Not a single gene that was affected by cocaine in mice on the control diet was significantly up-or down-regulated by cocaine treatment in the OBs of mice on the ADF diet. This surprising result might be due to the high stringency of our statistical methods for establishing a significant difference in mRNA levels between two conditions. We therefore employed Gene Ontology ANOVA (GO_ANOVA) to elucidate possible effects of cocaine on functional groups of genes in mice on the ADF diet. This analysis revealed stimulatory effects of cocaine on genes encoding enzymes involved in the regulation of histone methylation, nicotinamide adenine dinucleotide metabolism and mitochondrial electron transport (Supplementary Table 2). Cocaine treatment reduced the expression of genes encoding proteins involved in lipid metabolism and protein targeting.
Alternate Day Fasting Alters Locomotion in a Novel Environment and Cocaine Sensitization During Cocaine Conditioning
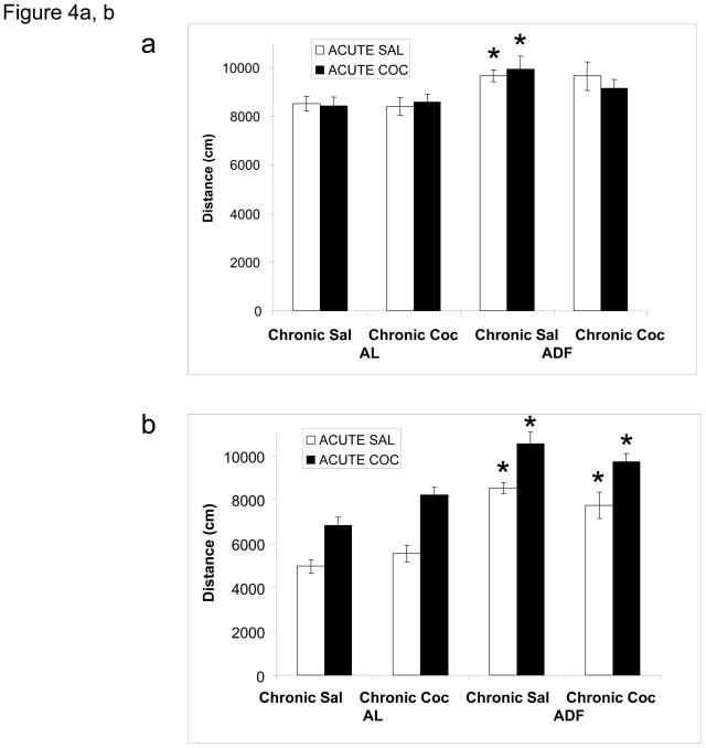
Previous studies have demonstrated that, similar to humans, cocaine produces both aversive and rewarding effects in laboratory rodents (Costall et al. 1989; Blanchard and Blanchard 1999; Sinha et al. 2003). Young adult male C57BL/6 mice were maintained for 3 months on either an ad libitum control diet or an ADF diet. The mice were then administered either cocaine or saline once daily for 10 days. On the 11th day, mice that had been treated with cocaine were given a final dose of cocaine (chronic cocaine/acute cocaine group) or saline (chronic cocaine/acute saline group); half of the mice in the chronic saline group were treated with cocaine (chronic saline/acute cocaine) and the other half were treated with saline (chronic saline/acute saline). Locomotion was evaluated before and after cocaine treatments. Mice fed the ADF diet were more active both before and after cocaine treatment compared to equivalently treated AL mice. Basal activity was slightly elevated in ADF mice initially (Fig. 4a), and more elevated compared to saline treated AL mice in the second locomotor test (Fig. 4b). Acute cocaine treatment produced equivalent increases in all groups, and there was no effect of chronic cocaine exposure. Thus, for the baseline data there was a significant effect of Dietary Restriction (F[1,86]=15.3, p<0.0003), but not for Chronic Cocaine Treatment (F[1,86]=0.1, NS), Acute Cocaine Treatment (F[1,86]=0.4, NS), or any of the interactions between these factors (note that this was baseline locomotor testing so that none of the subjects had yet received cocaine, either acutely or chronically). After cocaine treatments there was again a significant effect of Dietary Restriction (F1,86]=64.9, p<0.0001), as well as a significant effect of Acute Cocaine Treatment (F[1,86]=39.0, p<0.0001), but not chronic cocaine treatment (F[1,86]=0.1, NS). There was a significant interaction between Dietary Restriction and Chronic Cocaine Treatment (F[1,86]=6.8, p<0.02), which can be seen as a slight increase in activity in ADF mice, but a slight decrease in activity in AL mice, after Chronic Cocaine Treatment, independent of Acute Cocaine Treatment. Not other effects were statistically significant. Under the conditions used in this experiment locomotor sensitization was not observed in either group. It is difficult to determine why this is the case, but it may have to do with the age of the subjects or some other factor that was necessitated by the design of this study (e.g. the extensive period of dietary treatments prior to testing) so that it may be necessary to alter the paradigm to examine sensitization more fully in these subjects. Nevertheless, sensitization could be observed during cocaine conditioning (see below).
Figure 4.
Alternate day fasting increases basal locomotion and locomotor sensitization during cocaine conditioning. Cocaine-induced locomotion (a and b) and cocaine CPP (c and d). In the first experiment AL and ADF mice were tested for baseline locomotion prior to any drug treatments (a); subsequently half of the mice in each dietary condition were treated chronically with cocaine (20 mg/kg) while half were treated with saline (1 mL/kg) 1x/day for 10 days. The chronic treatment groups were subdivided into acute treatment groups (20 mg/kg cocaine or saline) on day 11 to assess the acute locomotor effects of cocaine (b). Locomotion was slightly elevated in ADF mice under both conditions independent of cocaine treatment. The white bars represent mice that received saline (SAL) and the black bars represent mice that received cocaine (COC) on day 11. Values represent mean ± SEM (N=11–13 mice/condition). There was a significant effect of Dietary Restriction in each ANOVA, p<0.001, *p<0.05 ADF vs. AL, Scheffe’s post hoc comparison. In the second experiment AL and ADF mice were tested for cocaine CPP. Subjects received 2 pairings of one side of the apparatus with cocaine (5 or 10 mg/kg SC; COC5 and COC10) or saline (SAL) in control subjects, and 2 pairings of the opposite side with saline. The post-conditioning preference was greater in the COC5 and COC10 groups (*p<0.05 vs. SAL, Scheffe’s post hoc comparison), but unaffected by dietary restriction (c). Locomotor activity during the conditioning trials (d) was greater after cocaine treatment. Sensitization of locomotor activity between cocaine pairings (COC 1 and COC 2), was only observed in ADF mice treated with 10 mg/kg cocaine (ADF C10) but not under any other conditions. Values represent mean ± SEM (N=15 mice/condition). There was a significant 4-way interaction between Dietary Restriction, Conditioning Group, Cocaine Treatment and Conditioning Session in the ANOVA, p<0.04, *p<0.05 COC 1 vs. COC2, Scheffe’s post hoc comparison.
In a separate cohort of mice we employed the conditioned place preference (CPP) test to evaluate the effects of ADF on the rewarding effects of cocaine using a protocol similar to that of our previous studies (Hall et al. 2002; Hall et al. 2004). Cocaine induced CPP at two different doses (5 and 10 mg/kg) in mice fed ad libitum and similar responses in ADF mice (Fig. 4c). Thus, in the ANOVA there was a significant effect of Conditioning Group (F[2,84]=11.4, p<0.0001), but not Dietary Restriction (F[1,84]=2.1, NS), nor was the interaction significant. However, when the locomotor stimulant effects in the first and second conditioning sessions were examined, there was significant sensitization of the cocaine response only in the ADF mice treated with the highest dose of cocaine, but not in the AL mice at any dose (Fig. 4d). This ANOVA was complex, perhaps reflecting the complex experimental paradigm. There were significant effects of Trial (F[1,84]=10.7, p<0.002), Trial x Drug (F[1,84]=30.3, p<0.0001), Conditioning (F[2,84]=22.2, p<0.0001), Conditioning x Drug (F[2,84]=42.4, p<0.0001), and Conditioning x Drug x Trial (F[2,84]=5.7, p<0.005). These significant results demonstrate that conditioning occurred and was dependent on both Drug and Trial. In addition there was an overall effect of Dietary Restriction (F[1,84]=9.9, p<0.003). However, unlike the previous experiment, the ADF mice did not show general enhancements in locomotion in these apparatus. During conditioning trials there were also differences between ADF and AL mice that emerged under more specific circumstances. Thus, Dietary Restriction interacted substantially with the other factors so that there were also significant effects of Dietary Restriction x Drug (F[1,84]=7.0, p<0.01), Dietary Restriction x Trial (F[1,84]=5.0, p<0.03), Dietary Restriction x Trial x Conditioning (F[2,84]=3.2, p<0.05), Dietary Restriction x Drug x Trial (F[1,84]=5.1, p<0.03), and Dietary Restriction x Conditioning x Drug x Trial (F[2,84]=3.4, p<0.04). The last interaction implies that only ADF mice demonstrated a conditioned increase in locomotion between Trial 1 and Trial 2 of cocaine treatment, as seen in Fig. 4d and confirmed by Scheffe’s post hoc comparisons (p<0.05).
Discussion
Our findings provide evidence that behavioral effects of cocaine are affected by dietary energy intake. ADF produced changes in baseline locomotion indicative of enhanced mesolimbic dopamine function. Although the acute rewarding effects of cocaine were not altered by ADF in the CPP paradigm, there was an enhancement of locomotion in the second conditioning session, indicative of enhanced context-dependent sensitization. The reason that we did not see behavioral sensitization to repeated cocaine injection is likely due to the occurrence of stereotypy. Repeated high doses of cocaine injection will induce locomotor sensitization initially, followed by stereotypy sensitization and reduced locomotor activity. At the same time, other consequences of cocaine, which might be considered more deleterious, were mitigated by ADF, and associated with changes in dopamine metabolism in the OB. In a previous study, rats were maintained for 10 days on a limited daily feeding caloric restriction diet, and their locomotor response to acute cocaine administration increased compared to rats on a non-restricted diet (Stamp et al. 2008). Taken together with our data, these findings suggest that different patterns and levels of dietary energy restriction can differentially affect behavioral responses to cocaine The olfactory system plays a pivotal role in the rewarding effects of foods (Ferriday and Brunstrom 2008; Martin et al. 2009) and increasing evidence suggests important roles of the OB, as a component of the mesolimbic dopaminergic system, in cocaine addiction (Sellings et al. 2006; Ikemoto 2007; Volkow et al. 2008). For example, it was reported that dopamine signaling in the mesolimbic system is essential for hyperphagia in mouse models of obesity and type 2 diabetes (Szczypka et al. 2000). Our findings therefore suggest that dietary energy intake can influence the vulnerability of mesolimbic system components to the damaging effects of cocaine.
Although the specific mechanism by which ADF abrogates cellular and molecular effects of cocaine in the OB remains to be established, previous findings and data in the present study suggest that ADF increases the resistance of neurons to a range of insults including some adverse effects of drugs of abuse. We previously reported that ADF can protect neurons against a range of insults including excitotoxins (Bruce-Keller et al. 1999), dopaminergic toxins (Duan and Mattson 1999), ischemic stroke (Xu and Mattson 1999) and pathogenic mutations in genes that cause inherited forms of Alzheimer’s and Huntington’s diseases (Halagappa et al. 2007; Duan et al. 2003). One of the general mechanisms responsible for the neuroprotective effects of ADF involves increased levels (or prevention of depletion) of neurotrophic factors that include BDNF and bFGF and of stress resistance proteins that include HSP-70, GRP-78 and HO-1 (Wan et al. 2003; Arumugam et al. 2009). ADF also suppresses the production of inflammatory cytokines that include TNF-α, IL-6 and IL-1β (Arumugam et al. 2009). Cocaine treatment reduces BDNF protein levels in the prefrontal cortex (Fumagalli et al. 2007) and causes a biphasic effect on stress resistance proteins in the hippocampus, with an early (5 h) increase followed by a delayed (24 h) suppression (Hayase et al. 2003). Cocaine has also been reported to induce inflammatory responses in neurons (Dey and Snow 2007) and neural progenitor cells (Crawford et al. 2006). Conceivably, each of these mechanisms might be involved in the influences of dietary restriction on stimulant toxicities.
Interestingly, we found that neither acute or chronic cocaine treatment affected levels of dopamine or its metabolites in the OB. Previous studies have shown that cocaine alters dopamine metabolism in some brain regions, such as the nucleus accumbens and amygdala, but with little or no effects on dopamine metabolism in other brain regions (Kalivas et al., 1988; Hadfield and Milio, 1992; Alburges and Wamsley, 1993). However, because we did not directly measure dopamine release or reuptake, we cannot rule out an effect of cocaine on dopaminergic neurotransmission in the OB. It would therefore be informative to determine the effects of dopamine receptor antagonists and agonists on OB neurogenesis and gene expression.
Throughout adult life, OB interneurons die and are replaced, although the turnover rate of individual OB interneurons appears to be quite variable and can be influenced by sensory experience (Mouret et al., 2009). Newly generated neurons are produced by stem cells located in the subventricular zone of the forebrain and then migrate through the rostral migratory stream to reach the OB (Gheusi et al. 2000; Havrda et al. 2008). We labeled forebrain stem cells by administering BrdU to the mice and then waited 48 h, a time period sufficient to allow migration of newly generated cells into the OB. We found that acute and chronic cocaine treatment reduced numbers of BrdU-labeled cells in the OB. Chronic cocaine had a greater effect than acute cocaine. ADF largely prevented the inhibitory effect of cocaine on the production of new OB cells. Previous work has shown that hippocampal neurogenesis is reduced in cocaine-treated animals (Yamaguchi et al. 2004; Andersen et al. 2007). This reduced hippocampal neurogenesis can lead to increased cocaine self-administration (Noonan et al., 2010). In the present study, we show that cocaine suppresses the production of new OB cells and that ADF blocks this adverse effect of cocaine on OB plasticity.
Impaired OB neurogenesis may contribute to the impaired olfactory perception that has been documented in cocaine addicts (Gordon et al. 1990; Bauer and Mott 1996). Because OB neurogenesis was apparently maintained in cocaine-treated mice that had been maintained on an ADF diet, replacement of OB interneurons may be an important mechanism to protect against the adverse effects of cocaine. It has been shown that neurogenesis is required for normal functioning of the olfactory neural circuits and for associated olfactory behaviors (Breton-Provencher et al., 2009). The reduction in newly-generated OB cells caused by cocaine administration suggests a role for impaired neurogenesis in the olfactory deficits of human cocaine addicts (Gordon et al. 1990; Bauer and Mott 1996). The ability of ADF to prevent the cocaine-induced reduction in numbers of newly-generated cells in the OB suggests the possibility that dietary energy restriction might mitigate the adverse effects of cocaine on olfactory perception in cocaine addicts. In this regard, it will be important to determine whether dietary energy restriction begun after cocaine administration can restore OB structure and function. Although weight loss often occurs in cocaine addicts (Quach et al. 2008), the roles of reduced energy intake in modifying the impaired production of new OB cells caused by cocaine are unclear. Interestingly, olfactory bulb lesions can result in altered levels of anxiety and aggression (Mucignat-Caretta et al. 2004), suggesting a potential role for impaired olfactory plasticity in these behaviors which are common in cocaine addicts.
The molecular mechanisms by which cocaine impairs and ADF maintains OB neuroplasticity remain to be established. Some of the data summarized above indicate that ADF produces rather generalized improvements in cellular and/or tissue responses to stress, but this does not necessarily mean that this explanation is complete. In particular, the causal changes are likely to involve differential changes in different parts of the limbic circuitry underlying the behavioral effects of cocaine, just as trait activity, in terms of locomotor response in a novel environment, likely involves HPA axis feedback to the hippocampus, producing further changes in other parts of the limbic system (Lemaire et al., 1999). A number of stress paradigms have been shown to affect hippocampal neurogenesis (Lee et al., 2006; Bergstrom et al., 2007; Mineur et al., 2007). However, many consequences of stressful experiences vary based on the chronicity and predictability of stress. Predictable chronic mild stress, which may be most similar to ADF, increases hippocampal neurogenesis (Lee et al., 2002; Parihar et al., 2009). However, whether stressors affect olfactory neurogenesis in a manner similar to hippocampal neurogenesis remains to be determined. Our gene array data suggest involvement of several metabolic and signaling pathways. In mice fed ad libitum, cocaine increases the expression of multiple genes involved in mitochondrial energy metabolism including NADH dehydrogenase, succinate dehydrogenase and ATP synthase. These changes suggest that cocaine induces an altered metabolic state. Consistent with this notion, previous brain imaging studies have shown that cocaine administration reduces glucose utilization in the striatum and mesolimbic systems in monkeys and human subjects (Baxter et al. 1988; Lyons et al. 1996). Genes involved in GABAergic neurotransmission (GABA A receptor and glutamic acid decarboxylase) and membrane hyperpolarization (potassium channels) were up-regulated by both acute and chronic cocaine treatment, consistent with increased inhibitory tone in the OB.
An additional alteration induced by both acute and chronic cocaine administration was the up-regulation of genes involved in membrane trafficking (clathrin, clathrin-interacting protein 1, and phosphatidylinositol clathrin binding assembly protein). The latter changes may be associated with altered trafficking of the dopamine transporter that can occur following treatment with addictive drugs (Saunders et al. 2000). We found that numerous genes encoding olfactory receptors were down-regulated in response to cocaine treatment, suggesting an additional mechanism whereby cocaine impairs olfactory perception. However, because cocaine was the only drug of abuse examined in this study, we do not know whether the mechanisms underlying the effects of cocaine on the OB were specific for cocaine or were instead due to less specific cytotoxic effects of this drug. Nevertheless, a remarkable result of our gene array analysis was that ADF completely prevented the effects of cocaine on OB gene expression, suggesting that ADF interrupts the damaging effects of cocaine at a very early step in the process. These findings, particularly in combination with the reversal of the deleterious effects of cocaine on OB neurogenesis, suggest that dietary restriction may reduce or ameliorate some of the adverse consequences of cocaine abuse.
Supplementary Material
Acknowledgments
This research was supported by the intramural research programs of the National Institute on Aging and the National Institute on Drug Abuse.
References
- Alburges ME, Wamsley JK. Effects on monoamine levels in rat CNS after chronic administration of cocaine. Invest Clin. 1993;34:181–192. [PubMed] [Google Scholar]
- Andersen ML, Perry JC, Bignotto M, Perez-Mendes P, Cinini SM, Mello LE, Tufik S. Influence of chronic cocaine treatment and sleep deprivation on sexual behavior and neurogenesis of the male rat. Prog Neuropsychopharmacol Biol Psychiatry. 2007;31:1224–1229. doi: 10.1016/j.pnpbp.2007.04.018. [DOI] [PubMed] [Google Scholar]
- Atianjoh FE, Ladenheim B, Krasnova IN, Cadet JL. Amphetamine causes dopamine depletion and cell death in the mouse olfactory bulb. Eur J Pharmacol. 2008;589:94–97. doi: 10.1016/j.ejphar.2008.05.001. [DOI] [PMC free article] [PubMed] [Google Scholar]
- Barness LA, Opitz JM, Gilbert-Barness E. Obesity: genetic, molecular, and environmental aspects. Am J Med Genet A. 2007;143A:3016–3034. doi: 10.1002/ajmg.a.32035. [DOI] [PubMed] [Google Scholar]
- Bauer LO, Mott AE. Differential effects of cocaine, alcohol, and nicotine dependence on olfactory evoked potentials. Drug Alcohol Depend. 1996;42:21–26. doi: 10.1016/0376-8716(96)01258-6. [DOI] [PubMed] [Google Scholar]
- Baxter LR, Jr, Schwartz JM, Phelps ME, Mazziotta JC, Barrio J, Rawson RA, Engel J, Guze BH, Selin C, Sumida R. Localization of neurochemical effects of cocaine and other stimulants in the human brain. J Clin Psychiatry. 1988;49(Suppl):23–26. [PubMed] [Google Scholar]
- Bergström A, Jayatissa MN, Thykjaer T, Wiborg O. Molecular pathways associated with stress resilience and drug resistance in the chronic mild stress rat model of depression: a gene expression study. J Mol Neurosci. 2007;33:201–215. doi: 10.1007/s12031-007-0065-9. [DOI] [PubMed] [Google Scholar]
- Blanchard DC, Blanchard RJ. Cocaine potentiates defensive behaviors related to fear and anxiety. Neurosci Biobehav Rev. 1999;23:981–991. doi: 10.1016/s0149-7634(99)00031-7. [DOI] [PubMed] [Google Scholar]
- Breton-Provencher V, Lemasson M, Peralta MR, 3rd, Saghatelyan A. Interneurons produced in adulthood are required for the normal functioning of the olfactory bulb network and for the execution of selected olfactory behaviors. J Neurosci. 2009;29:15245–15257. doi: 10.1523/JNEUROSCI.3606-09.2009. [DOI] [PMC free article] [PubMed] [Google Scholar]
- Bruce-Keller AJ, Umberger G, McFall R, Mattson MP. Food restriction reduces brain damage and improves behavioral outcome following excitotoxic and metabolic insults. Ann Neurol. 1999;45:8–15. [PubMed] [Google Scholar]
- Calcagnetti DJ, Quatrella LA, Schechter MD. Olfactory bulbectomy disrupts the expression of cocaine-induced conditioned place preference. Physiol Behav. 1996;59:597–604. doi: 10.1016/0031-9384(95)02119-1. [DOI] [PubMed] [Google Scholar]
- Costall B, Kelly ME, Naylor RJ, Onaivi ES. The actions of nicotine and cocaine in a mouse model of anxiety. Pharmacol Biochem Behav. 1989;33:197–203. doi: 10.1016/0091-3057(89)90450-4. [DOI] [PubMed] [Google Scholar]
- Crawford FC, Wood ML, Wilson SE, Mathura VS, Hollen TR, Geall F, Kolippakkam DN, Mullan MJ. Cocaine induced inflammatory response in human neuronal progenitor cells. J Neurochem. 2006;97:662–674. doi: 10.1111/j.1471-4159.2006.03760.x. [DOI] [PubMed] [Google Scholar]
- Dey S, Snow DM. Cocaine exposure in vitro induces apoptosis in fetal locus coeruleus neurons through TNF-alpha-mediated induction of Bax and phosphorylated c-Jun NH(2)-terminal kinase. J Neurochem. 2007;103:542–556. doi: 10.1111/j.1471-4159.2007.04750.x. [DOI] [PubMed] [Google Scholar]
- Di Chiara G, Bassareo V, Fenu S, De Luca MA, Spina L, Cadoni C, Acquas E, Carboni E, Valentini V, Lecca D. Dopamine and drug addiction: the nucleus accumbens shell connection. Neuropharmacology. 2004;47(Suppl 1):227–241. doi: 10.1016/j.neuropharm.2004.06.032. [DOI] [PubMed] [Google Scholar]
- Diao LH, Bickford PC, Stevens JO, Cline EJ, Gerhardt GA. Caloric restriction enhances evoked DA overflow in striatum and nucleus accumbens of aged Fischer 344 rats. Brain Res. 1997;763:276–280. doi: 10.1016/s0006-8993(97)00494-0. [DOI] [PubMed] [Google Scholar]
- Dominguez-Escriba L, Hernandez-Rabaza V, Soriano-Navarro M, Barcia JA, Romero FJ, Garcia-Verdugo JM, Canales JJ. Chronic cocaine exposure impairs progenitor proliferation but spares survival and maturation of neural precursors in adult rat dentate gyrus. Eur J Neurosci. 2006;24:586–594. doi: 10.1111/j.1460-9568.2006.04924.x. [DOI] [PubMed] [Google Scholar]
- Duan W, Mattson MP. Dietary restriction and 2-deoxyglucose administration improve behavioral outcome and reduce degeneration of dopaminergic neurons in models of Parkinson’s disease. J Neurosci Res. 1999;57:195–206. doi: 10.1002/(SICI)1097-4547(19990715)57:2<195::AID-JNR5>3.0.CO;2-P. [DOI] [PubMed] [Google Scholar]
- Duan W, Guo Z, Jiang H, Ware M, Li XJ, Mattson MP. Dietary restriction normalizes glucose metabolism and BDNF levels, slows disease progression, and increases survival in huntingtin mutant mice. Proc Natl Acad Sci U S A. 2003;100:2911–2916. doi: 10.1073/pnas.0536856100. [DOI] [PMC free article] [PubMed] [Google Scholar]
- Everitt BJ, Belin D, Economidou D, Pelloux Y, Dalley JW, Robbins TW. Review. Neural mechanisms underlying the vulnerability to develop compulsive drug-seeking habits and addiction. Philos Trans R Soc Lond B Biol Sci. 2008;363:3125–3135. doi: 10.1098/rstb.2008.0089. [DOI] [PMC free article] [PubMed] [Google Scholar]
- Fumagalli F, Di Pasquale L, Caffino L, Racagni G, Riva MA. Repeated exposure to cocaine differently modulates BDNF mRNA and protein levels in rat striatum and prefrontal cortex. Eur J Neurosci. 2007;26:2756–2763. doi: 10.1111/j.1460-9568.2007.05918.x. [DOI] [PubMed] [Google Scholar]
- Geiger BM, Haburcak M, Avena NM, Moyer MC, Hoebel BG, Pothos EN. Deficits of mesolimbic dopamine neurotransmission in rat dietary obesity. Neuroscience. 2009;159:1193–1199. doi: 10.1016/j.neuroscience.2009.02.007. [DOI] [PMC free article] [PubMed] [Google Scholar]
- Gelegen C, van den Heuvel J, Collier DA, Campbell IC, Oppelaar H, Hessel E, Kas MJ. Dopaminergic and brain-derived neurotrophic factor signalling in inbred mice exposed to a restricted feeding schedule. Genes Brain Behav. 2008;7:552–559. doi: 10.1111/j.1601-183X.2008.00394.x. [DOI] [PubMed] [Google Scholar]
- Gheusi G, Cremer H, McLean H, Chazal G, Vincent JD, Lledo PM. Importance of newly generated neurons in the adult olfactory bulb for odor discrimination. Proc Natl Acad Sci U S A. 2000;97:1823–1828. doi: 10.1073/pnas.97.4.1823. [DOI] [PMC free article] [PubMed] [Google Scholar]
- Gordon AS, Moran DT, Jafek BW, Eller PM, Strahan RC. The effect of chronic cocaine abuse on human olfaction. Arch Otolaryngol Head Neck Surg. 1990;116:1415–1418. doi: 10.1001/archotol.1990.01870120061010. [DOI] [PubMed] [Google Scholar]
- Hadfield MG, Milio C. Cocaine and regional brain monoamines in mice. Pharmacol Biochem Behav. 1992;43:395–403. doi: 10.1016/0091-3057(92)90168-f. [DOI] [PubMed] [Google Scholar]
- Hall FS, Drgonova J, Goeb M, Uhl G. Reduced behavioral effects of cocaine in heterozygous brain-derived neurotrophic factor (BDNF) knockout mice. Neuropsychopharmacology. 2003;28:1485–1490. doi: 10.1038/sj.npp.1300192. [DOI] [PubMed] [Google Scholar]
- Hall FS, Goeb M, Li XF, Sora I, Uhl GR. μ-Opioid receptor knockout mice display reduced cocaine conditioned place preference but enhanced sensitization of cocaine-induced locomotion. Brain Res Mol Brain Res. 2004;121:123–130. doi: 10.1016/j.molbrainres.2003.10.024. [DOI] [PubMed] [Google Scholar]
- Hall FS, Li XF, Sora I, Xu F, Caron M, Lesch KP, Murphy DL, Uhl GR. Cocaine mechanisms: Enhanced cocaine, fluoxetine and nisoxetine place preferences following monoamine transporter deletions. Neuroscience. 2002;115:153–161. doi: 10.1016/s0306-4522(02)00379-2. [DOI] [PubMed] [Google Scholar]
- Havrda MC, Harris BT, Mantani A, Ward NM, Paolella BR, Cuzon VC, Yeh HH, Israel MA. Id2 is required for specification of dopaminergic neurons during adult olfactory neurogenesis. J Neurosci. 2008;28:14074–14086. doi: 10.1523/JNEUROSCI.3188-08.2008. [DOI] [PMC free article] [PubMed] [Google Scholar]
- Hayase T, Yamamoto Y, Yamamoto K, Muso E, Shiota K, Hayashi T. Similar effects of cocaine and immobilization stress on the levels of heat-shock proteins and stress-activated protein kinases in the rat hippocampus, and on swimming behaviors: the contribution of dopamine and benzodiazepine receptors. Behav Pharmacol. 2003;14:551–562. doi: 10.1097/00008877-200311000-00008. [DOI] [PubMed] [Google Scholar]
- Heilbronn LK, Smith SR, Martin CK, Anton SD, Ravussin E. Alternate-day fasting in nonobese subjects: effects on body weight, body composition, and energy metabolism. Am J Clin Nutr. 2005;81:69–73. doi: 10.1093/ajcn/81.1.69. [DOI] [PubMed] [Google Scholar]
- Horne MK, Lee J, Chen F, Lanning K, Tomas D, Lawrence AJ. Long-term administration of cocaine or serotonin reuptake inhibitors results in anatomical and neurochemical changes in noradrenergic, dopaminergic, and serotonin pathways. J Neurochem. 2008;106:1731–1744. doi: 10.1111/j.1471-4159.2008.05534.x. [DOI] [PubMed] [Google Scholar]
- Ikemoto S. Dopamine reward circuitry: two projection systems from the ventral midbrain to the nucleus accumbens-olfactory tubercle complex. Brain Res Rev. 2007;56:27–78. doi: 10.1016/j.brainresrev.2007.05.004. [DOI] [PMC free article] [PubMed] [Google Scholar]
- Johnson JB, Summer W, Cutler RG, Martin B, Hyun DH, Dixit VD, Pearson M, Nassar M, Telljohann R, Maudsley S, Carlson O, John S, Laub DR, Mattson MP. Alternate day calorie restriction improves clinical findings and reduces markers of oxidative stress and inflammation in overweight adults with moderate asthma. Free Radic Biol Med. 2007;42:665–674. doi: 10.1016/j.freeradbiomed.2006.12.005. [DOI] [PMC free article] [PubMed] [Google Scholar]
- Kalivas PW, Duffy P, DuMars LA, Skinner C. Behavioral and neurochemical effects of acute and daily cocaine administration in rats. J Pharmacol Exp Ther. 1988;245:485–492. [PubMed] [Google Scholar]
- Kornetsky C, Huston-Lyons D, Porrino LJ. The role of the olfactory tubercle in the effects of cocaine, morphine and brain-stimulation reward. Brain Res. 1991;541:75–81. doi: 10.1016/0006-8993(91)91076-d. [DOI] [PubMed] [Google Scholar]
- Lee J, Duan W, Mattson MP. Evidence that brain-derived neurotrophic factor is required for basal neurogenesis and mediates, in part, the enhancement of neurogenesis by dietary restriction in the hippocampus of adult mice. J Neurochem. 2002;82:1367–1375. doi: 10.1046/j.1471-4159.2002.01085.x. [DOI] [PubMed] [Google Scholar]
- Lee KJ, Kim SJ, Kim SW, Choi SH, Shin YC, Park SH, Moon BH, Cho E, Lee MS, Choi SH, Chun BG, Shin KH. Chronic mild stress decreases survival, but not proliferation, of new-born cells in adult rat hippocampus. Exp Mol Med. 2006;38:44–54. doi: 10.1038/emm.2006.6. [DOI] [PubMed] [Google Scholar]
- Lemaire V, Aurousseau C, Le Moal M, Abrous DN. Behavioural trait of reactivity to novelty is related to hippocampal neurogenesis. Eur J Neurosci. 1999;11:4006–4014. doi: 10.1046/j.1460-9568.1999.00833.x. [DOI] [PubMed] [Google Scholar]
- Li X, Tang X, Jablonska B, Aguirre A, Gallo V, Luskin MB. p27(KIP1) regulates neurogenesis in the rostral migratory stream and olfactory bulb of the postnatal mouse. J Neurosci. 2009;29:2902–2914. doi: 10.1523/JNEUROSCI.4051-08.2009. [DOI] [PMC free article] [PubMed] [Google Scholar]
- Lutter M, Nestler EJ. Homeostatic and hedonic signals interact in the regulation of food intake. J Nutr. 2009;139:629–632. doi: 10.3945/jn.108.097618. [DOI] [PMC free article] [PubMed] [Google Scholar]
- Lyons D, Friedman DP, Nader MA, Porrino LJ. Cocaine alters cerebral metabolism within the ventral striatum and limbic cortex of monkeys. J Neurosci. 1996;16:1230–1238. doi: 10.1523/JNEUROSCI.16-03-01230.1996. [DOI] [PMC free article] [PubMed] [Google Scholar]
- Martin B, Maudsley S, White CM, Egan JM. Hormones in the naso-oropharynx: endocrine modulation of taste and smell. Trends Endocrinol Metab. 2009;20:163–170. doi: 10.1016/j.tem.2009.01.006. [DOI] [PMC free article] [PubMed] [Google Scholar]
- Martin B, Pearson M, Brenneman R, Golden E, Keselman A, Iyun T, Carlson OD, Egan JM, Becker KG, Wood W, 3rd, Prabhu V, de Cabo R, Maudsley S, Mattson MP. Conserved and differential effects of dietary energy intake on the hippocampal transcriptomes of females and males. PLoS One. 2008;3:e2398. doi: 10.1371/journal.pone.0002398. [DOI] [PMC free article] [PubMed] [Google Scholar]
- Martin B, Pearson M, Kebejian L, Golden E, Keselman A, Bender M, Carlson O, Egan J, Ladenheim B, Cadet JL, Becker KG, Wood W, Duffy K, Vinayakumar P, Maudsley S, Mattson MP. Sex-dependent metabolic, neuroendocrine, and cognitive responses to dietary energy restriction and excess. Endocrinology. 2007;148:4318–4333. doi: 10.1210/en.2007-0161. [DOI] [PMC free article] [PubMed] [Google Scholar]
- Maswood N, Young J, Tilmont E, Zhang Z, Gash DM, Gerhardt GA, Grondin R, Roth GS, Mattison J, Lane MA, Carson RE, Cohen RM, Mouton PR, Quigley C, Mattson MP, Ingram DK. Caloric restriction increases neurotrophic factor levels and attenuates neurochemical and behavioral deficits in a primate model of Parkinson’s disease. Proc Natl Acad Sci U S A. 2004;101:18171–18176. doi: 10.1073/pnas.0405831102. [DOI] [PMC free article] [PubMed] [Google Scholar]
- McIntyre RS, McElroy SL, Konarski JZ, Soczynska JK, Bottas A, Castel S, Wilkins K, Kennedy SH. Substance use disorders and overweight/obesity in bipolar I disorder: preliminary evidence for competing addictions. J Clin Psychiatry. 2007;68:1352–1357. doi: 10.4088/jcp.v68n0905. [DOI] [PubMed] [Google Scholar]
- Mennicken F, Savasta M, Peretti-Renucci R, Feuerstein C. Autoradiographic localization of dopamine uptake sites in the rat brain with 3H-GBR 12935. J Neural Transm Gen Sect. 1992;87:1–14. doi: 10.1007/BF01253106. [DOI] [PubMed] [Google Scholar]
- Mineur YS, Belzung C, Crusio WE. Functional implications of decreases in neurogenesis following chronic mild stress in mice. Neuroscience. 2007;150:251–259. doi: 10.1016/j.neuroscience.2007.09.045. [DOI] [PubMed] [Google Scholar]
- Mouret A, Lepousez G, Gras J, Gabellec MM, Lledo PM. Turnover of newborn olfactory bulb neurons optimizes olfaction. J Neurosci. 2009;29:12302–12314. doi: 10.1523/JNEUROSCI.3383-09.2009. [DOI] [PMC free article] [PubMed] [Google Scholar]
- Mucignat-Caretta C, Bondi M, Caretta A. Animal models of depression: olfactory lesions affect amygdala, subventricular zone, and aggression. Neurobiol Dis. 2004;16:386–395. doi: 10.1016/j.nbd.2004.03.007. [DOI] [PubMed] [Google Scholar]
- Noonan MA, Choi KH, Self DW, Eisch AJ. Withdrawal from cocaine self-administration normalizes deficits in proliferation and enhances maturity of adult-generated hippocampal neurons. J Neurosci. 2008;28:2516–2526. doi: 10.1523/JNEUROSCI.4661-07.2008. [DOI] [PMC free article] [PubMed] [Google Scholar]
- Noonan MA, Bulin SE, Fuller DC, Eisch AJ. Reduction of adult hippocampal neurogenesis confers vulnerability in an animal model of cocaine addiction. J Neurosci. 2010;30:304–315. doi: 10.1523/JNEUROSCI.4256-09.2010. [DOI] [PMC free article] [PubMed] [Google Scholar]
- Parihar VK, Hattiangady B, Kuruba R, Shuai B, Shetty AK. Predictable chronic mild stress improves mood, hippocampal neurogenesis and memory. Mol Psychiatry. 2009 doi: 10.1038/mp.2009.130. Epub ahead of print. [DOI] [PMC free article] [PubMed] [Google Scholar]
- Quach LA, Wanke CA, Schmid CH, Gorbach SL, Mwamburi DM, Mayer KH, Spiegelman D, Tang AM. Drug use and other risk factors related to lower body mass index among HIV-infected individuals. Drug Alcohol Depend. 2008;95:30–36. doi: 10.1016/j.drugalcdep.2007.12.004. [DOI] [PMC free article] [PubMed] [Google Scholar]
- Rolls ET. Brain mechanisms underlying flavour and appetite. Philos Trans R Soc Lond B Biol Sci. 2006;361:1123–1136. doi: 10.1098/rstb.2006.1852. [DOI] [PMC free article] [PubMed] [Google Scholar]
- Saunders C, Ferrer JV, Shi L, Chen J, Merrill G, Lamb ME, Leeb-Lundberg LM, Carvelli L, Javitch JA, Galli A. Amphetamine-induced loss of human dopamine transporter activity: an internalization-dependent and cocaine-sensitive mechanism. Proc Natl Acad Sci U S A. 2000;97:6850–6855. doi: 10.1073/pnas.110035297. [DOI] [PMC free article] [PubMed] [Google Scholar]
- Schifano F, Corkery J. Cocaine/crack cocaine consumption, treatment demand, seizures, related offences, prices, average purity levels and deaths in the UK (1990 - 2004) J Psychopharmacol. 2008;22:71–79. doi: 10.1177/0269881107079170. [DOI] [PubMed] [Google Scholar]
- Sellings LH, McQuade LE, Clarke PB. Evidence for multiple sites within rat ventral striatum mediating cocaine-conditioned place preference and locomotor activation. J Pharmacol Exp Ther. 2006;317:1178–1187. doi: 10.1124/jpet.105.100339. [DOI] [PubMed] [Google Scholar]
- Sinha R, Talih M, Malison R, Cooney N, Anderson GM, Kreek MJ. Hypothalamic-pituitary-adrenal axis and sympatho-adreno-medullary responses during stress-induced and drug cue-induced cocaine craving states. Psychopharmacology (Berl) 2003;170:62–72. doi: 10.1007/s00213-003-1525-8. [DOI] [PubMed] [Google Scholar]
- Sora I, Wichems C, Takahashi N, Li XF, Zeng Z, Revay R, Lesch KP, Murphy DL, Uhl GR. Cocaine reward models: conditioned place preference can be established in dopamine- and in serotonin-transporter knockout mice. Proc Natl Acad Sci U S A. 1998;95:7699–7704. doi: 10.1073/pnas.95.13.7699. [DOI] [PMC free article] [PubMed] [Google Scholar]
- Sora I, Hall FS, Andrews AM, Itokawa M, Li XF, Wei HB, Wichems C, Lesch KP, Murphy DL, Uhl GR. Molecular mechanisms of cocaine reward: combined dopamine and serotonin transporter knockouts eliminate cocaine place preference. Proc Natl Acad Sci U S A. 2001;98:5300–5305. doi: 10.1073/pnas.091039298. [DOI] [PMC free article] [PubMed] [Google Scholar]
- Stamp JA, Mashoodh R, van Kampen JM, Robertson HA. Food restriction enhances peak corticosterone levels, cocaine-induced locomotor activity, and DeltaFosB expression in the nucleus accumbens of the rat. Brain Res. 2008;1204:94–101. doi: 10.1016/j.brainres.2008.02.019. [DOI] [PubMed] [Google Scholar]
- Stoeckel LE, Weller RE, Cook EW, 3rd, Twieg DB, Knowlton RC, Cox JE. Widespread reward-system activation in obese women in response to pictures of high-calorie foods. Neuroimage. 2008;41:636–647. doi: 10.1016/j.neuroimage.2008.02.031. [DOI] [PubMed] [Google Scholar]
- Stranahan AM, Arumugam TV, Cutler RG, Lee K, Egan JM, Mattson MP. Diabetes impairs hippocampal function through glucocorticoid-mediated effects on new and mature neurons. Nat Neurosci. 2008;11:309–317. doi: 10.1038/nn2055. [DOI] [PMC free article] [PubMed] [Google Scholar]
- Stranahan AM, Lee K, Martin B, Maudsley S, Golden E, Cutler RG, Mattson MP. Voluntary exercise and caloric restriction enhance hippocampal dendritic spine density and BDNF levels in diabetic mice. Hippocampus. 2009;19:951–961. doi: 10.1002/hipo.20577. [DOI] [PMC free article] [PubMed] [Google Scholar]
- Szczypka MS, Rainey MA, Palmiter RD. Dopamine is required for hyperphagia in Lep(ob/ob) mice. Nat Genet. 2000;25:102–104. doi: 10.1038/75484. [DOI] [PubMed] [Google Scholar]
- Teegarden SL, Scott AN, Bale TL. Early life exposure to a high fat diet promotes long-term changes in dietary preferences and central reward signaling. Neuroscience. 2009;162:924–932. doi: 10.1016/j.neuroscience.2009.05.029. [DOI] [PMC free article] [PubMed] [Google Scholar]
- van Duuren E, Lankelma J, Pennartz CM. Population coding of reward magnitude in the orbitofrontal cortex of the rat. J Neurosci. 2008;28:8590–8603. doi: 10.1523/JNEUROSCI.5549-07.2008. [DOI] [PMC free article] [PubMed] [Google Scholar]
- Volkow ND, Wang GJ, Fowler JS, Telang F. Overlapping neuronal circuits in addiction and obesity: evidence of systems pathology. Philos Trans R Soc Lond B Biol Sci. 2008;363:3191–3200. doi: 10.1098/rstb.2008.0107. [DOI] [PMC free article] [PubMed] [Google Scholar]
- Wan R, Camandola S, Mattson MP. Intermittent food deprivation improves cardiovascular and neuroendocrine responses to stress in rats. J Nutr. 2003;133:1921–1929. doi: 10.1093/jn/133.6.1921. [DOI] [PubMed] [Google Scholar]
- Whitman MC, Greer CA. Adult neurogenesis and the olfactory system. Prog Neurobiol. 2009;89:162–175. doi: 10.1016/j.pneurobio.2009.07.003. [DOI] [PMC free article] [PubMed] [Google Scholar]
- Xu X, Zhan M, Duan W, Prabhu V, Brenneman R, Wood W, Firman J, Li H, Zhang P, Ibe C, Zonderman AB, Longo DL, Poosala S, Becker KG, Mattson MP. Gene expression atlas of the mouse central nervous system: impact and interactions of age, energy intake and gender. Genome Biol. 2007;8:R234. doi: 10.1186/gb-2007-8-11-r234. [DOI] [PMC free article] [PubMed] [Google Scholar]
- Yamaguchi M, Suzuki T, Seki T, Namba T, Juan R, Arai H, Hori T, Asada T. Repetitive cocaine administration decreases neurogenesis in adult rat hippocampus. Ann N Y Acad Sci. 2004;1025:351–362. doi: 10.1196/annals.1316.043. [DOI] [PubMed] [Google Scholar]
Associated Data
This section collects any data citations, data availability statements, or supplementary materials included in this article.






