Abstract
Plants respond to changes of nutrient availability in the soil by modulating their root system developmental plan. This response is mediated by systemic changes of the nutritional status and/or by local perception of specific signals. The effect of nitrate on Arabidopsis (Arabidopsis thaliana) root development represents a paradigm of these responses, and nitrate transporters are involved both in local and systemic control. Ammonium (NH4+) represents an important nitrogen (N) source for plants, although toxicity symptoms are often associated with high NH4+ concentration when this is present as the only N source. The reason for these effects is still controversial, and mechanisms associating ammonium supply and plant developmental programs are completely unknown. We determined in Lotus japonicus the range of ammonium concentration that significantly inhibits the elongation of primary and lateral roots without affecting the biomass of the shoot. The comparison of the growth phenotypes in different N conditions indicated the specificity of the ammonium effect, suggesting that this was not mediated by assimilatory negative feedback mechanisms. In the range of inhibitory NH4+ conditions, only the LjAMT1;3 gene, among the members of the LjAMT1 family, showed a strong increased transcription that was reflected by an enlarged topology of expression. Remarkably, the short-root phenotype was phenocopied in transgenic lines by LjAMT1;3 overexpression independently of ammonium supply, and the same phenotype was not induced by another AMT1 member. These data describe a new plant mechanism to cope with environmental changes, giving preliminary information on putative actors involved in this specific ammonium-induced response.
Nitrogen (N) is often a limiting resource for plants, and an efficient uptake and utilization of this nutrient is a critical function of the roots to couple, within the exploitable soil volume, morphological and physiological responses to nutrient availabilities (Williams and Miller, 2001). However, the size and location of plant-available N nutrient pools in soils are often highly variable, as are the conditions for nutrient uptake. Ammonium concentrations of soils are often 10 to 1,000 times less than those of nitrate, but some plants preferentially take up NH4+ when both forms are present either at high or low external concentration (Gazzarini et al., 1999). On the other hand, the exclusive supply of moderate to high levels of NH4+ is harmful to many plant species and can cause poor root and shoot growth (Marschner, 1995). The reason for this toxicity has been the subject of much speculation and has included proton extrusion associated with NH4+ uptake (Barker et al., 1966; Bligny et al., 1997), shift in carbohydrate status (Kronzucker et al., 1998), uncoupling of photophosphorylation (Krogmann et al., 1959), and energetic costs associated with pumping back the ammonium in the soil (Kronzucker et al., 2001). In any case, the pleiotropic effects of high NH4+ supply on plant physiology have made it difficult to investigate and characterize at the molecular level its interaction with root development.
Root system architecture is one of the most important traits affecting the efficiency with which a plant explores the soil and captures limiting supplies of water and nutrients (Lynch, 1995). A well-known example of root developmental plasticity is represented by the “dual pathway” controlling the lateral root growth in response to NO3− through both a systemic negative and a localized stimulatory effect (Zhang and Forde, 1998, 1999; Forde and Lorenzo, 2001). Lateral root growth stimulation in NO3−-rich patches depends on perception, by the lateral root tip, of a NO3− signal leading to increased meristematic activity. The high-affinity nitrate transporters NRT1.1 and NRT2.1 have been proposed to have direct and indirect roles in sensing NO3− respectively (Little et al., 2005; Remans et al., 2006; Ho et al., 2009). Recently, the AtNRT1.1 transporter was shown to be involved in the control of the effects exerted by nitrate, directly and as an antagonist of Glu, on primary root growth in Arabidopsis (Arabidopsis thaliana; Walch-Liu et al., 2006; Walch-Liu and Forde, 2008).
Ammonium transport across plant cell membranes is mediated by proteins of the high-affinity ammonium transporter family (AMT1; Howitt and Udvardi, 2000), which are cation (NH4+) uniporters (Ludewig et al., 2002). Genome sequencing has revealed three AMT1 genes in rice (Oryza sativa), five in Arabidopsis, and six in Populus trichocarpa. Plant AMT1 genes are normally preferentially expressed in roots (Howitt and Udvardi, 2000), and some of these exhibit a strict root-specific expression. In most cases, AMT1 transcript levels increase during N deprivation and decrease rapidly in response to high N supply, consistent with an optimized ammonium uptake function required in N-starvation conditions (Pearson and Stewart, 1993; Gazzarini et al., 1999; Rawat et al., 1999; von Wiren et al., 2000a; Couturier et al., 2007). Recently, an allosteric regulation in AtAMT1;1 as part of a feedback mechanism to modulate the uptake of ammonium into the root was described (Neuhauser et al., 2007; Lanquar et al., 2009). We have previously isolated genomic clones with full-length coding sequences of three members of the Lotus japonicus AMT1 family (LjAMT1;1, LjAMT1;2, and LjAMT1;3) and confirmed in yeast their transport activities (Salvemini et al., 2001; D’Apuzzo et al., 2004). They showed a differential pattern of expression, as LjAMT1;1 and LjAMT1;2 were strongly expressed in roots, shoots, and nodules while LjAMT1;3 showed a low level of expression in all the organs tested. Furthermore, LjAMT1;1 and LjAMT1;2, were strongly induced in roots after a shift of hydroponic cultures from N-sufficient to N-free conditions, while LjAMT1;3 expression was not affected by this treatment (D’Apuzzo et al., 2004).
We investigated the effects of ammonium availability on L. japonicus root development and how root architecture was affected by ammonium concentration and distribution. We showed that high local concentrations of ammonium succinate and ammonium nitrate determined a significant inhibition of primary and lateral root elongation without affecting shoot biomass and free amino acid content when compared with Gln or potassium nitrate supplied at high concentrations. The LjAMT1;3 transcription was induced in the range of ammonium concentrations triggering the changes of root architecture in wild-type plants, and its overexpression was sufficient for phenocopying the short-root phenotype in transgenic plants.
RESULTS
High Ammonium Concentration Affects Root Development Locally
In order to investigate the interaction between ammonium and root development, we tested the effect of different N sources and concentrations on root growth in aseptically grown L. japonicus seedlings. Seeds were germinated on water-agar, and 5-d-old synchronized seedlings (0.5- to 1-cm-long roots) were transferred on buffered medium with different N regimes (see “Materials and Methods”). Measurement of the root length showed that increasing concentrations of ammonium succinate [NH4OOC(CH2)2COONH4] and ammonium nitrate (NH4NO3) progressively reduced the primary root and the lateral root length. Comparison with the profile of root growth in the presence of potassium nitrate (KNO3), where no significant length differences were revealed, indicated the specificity of the ammonium effect (Fig. 1, A and B; Supplemental Fig. S1). In the case of ammonium succinate, growth reduction was already evident for primary root length at 5 mm concentration (10 mm NH4+; Fig. 1A), while for lateral root length, a significant reduction was detected only at a 10 mm concentration (20 mm NH4+) and higher. The ammonium nitrate effect on root elongation mirrored the ammonium succinate effect, as it could be detected at 10 mm for primary roots and 20 mm for secondary roots (Fig. 1, A and B). The same phenotypes were observed in hydroponic cultures, where the effects induced by equimolar ammonium nitrate and ammonium succinate concentrations (20 mm) on primary root elongation were almost identical (Supplemental Fig. S2). In hydroponic conditions, the pH of the buffered medium could be monitored daily, indicating that medium pH disturbance was not the cause of the root phenotype observed in the presence of high concentrations of ammonium. The analysis of the kinetics of primary root growth elongation confirmed a striking and continuous correlation with the external ammonium concentration (Supplemental Fig. S3). Furthermore, the presence of millimolar concentrations of Gln (up to 20 mm) had no detrimental effect on root architecture (Fig. 1, A and B), suggesting that the ammonium effect was not mediated by a change of the plant’s nutritional status through a feedback inhibitory mechanism. This conclusion was further reinforced by the analysis of the amino acid content shown in Table I, indicating a general enrichment of the amides (Asn and Gln; 2- to 3-fold) and other amino acids (Asp and Glu; 2- to 3-fold) in plants grown on 20 mm ammonium or Gln concentration when compared with plants grown on 1 mm ammonium nitrate, as an expected response to the ammonium treatment or to the direct Gln supply (Rigano et al., 1996). The highest Gln content, likely stored in vacuoles, revealed in plants grown in the presence of 20 mm Gln, should be the consequence of a direct uptake. However, the comparable profile of amino acid content between plants grown on high ammonium or Gln concentration, which differentially affect root development, strongly suggests that the ammonium specifically triggers the short-root phenotype by acting as a signal rather than as a nutrient. Remarkably, also the analysis of the shoot biomass did not reveal significant changes in plants grown under the different conditions (Fig. 1C), confirming that the observed ammonium-dependent root phenotypes were not associated with general detrimental pleiotropic effects. In the case of ammonium succinate, a 50 mm concentration induced a clear stress-associated phenotype, as shoot and root growth were completely arrested (data not shown). In general, the analysis of the shoot biomass shown in Figure 1C showed a remarkable tolerance of the Lotus plants to high ammonium concentration, whereas, as expected, plants grown in N-free conditions showed a reduced shoot growth (Fig. 1C), with chlorosis symptoms due to N starvation (Supplemental Fig. S1).
Figure 1.
High external ammonium concentrations affect specifically and locally the architecture of the root. A, Primary root length. B, Mean of lateral roots. C, Fresh shoot weight. D, Primary root length of splitted-root plants. The different N regimes are indicated (N free, white bars; ammonium nitrate, blue bars; Gln, red bars; ammonium succinate, gray bars; potassium nitrate, yellow bars). Arrows indicate the four increasing concentrations (1, 5, 10, and 20 mm) referred to each bar. Data bars represent means and sd of measures performed from at least three different experiments (15 plants per experiment per condition). The measures were recorded 18 d after transferring the wild-type seedlings in the presence of different N sources and concentrations. In D, each couple of bars indicates the average primary root length detected at the two sides of the splitted root system; numbers indicate the concentrations (mm). Asterisks indicate, for each N source, significant differences with 1 mm concentration (* P < 0.05, ** P < 0.03, *** P < 0.006, **** P < 0.0005, ***** P < 0.0001). [See online article for color version of this figure.]
Table I. Individual amino acid content revealed in L. japonicus wild-type and over1;3-17 plants grown in different N conditions (indicated in parentheses).
Data shown are means ± sd of two independent experiments (six plants per experiment).
| Plant Lines | Gln | Glu | Asn | Asp |
| μmol g−1 fresh wt | ||||
| Wild type (1 mm ammonium nitrate) | 4.25 ± 0.3 | 1.71 ± 0.3 | 36 ± 1.1 | 0.26 ± 0.01 |
| Over1;3 (1 mm ammonium nitrate) | 23.3 ± 2.4 | 5.75 ± 0.15 | 94 ± 5.6 | 0.8 ± 0.03 |
| Wild type (20 mm ammonium nitrate) | 12.3 ± 2 | 5.4 ± 1.1 | 76.1 ± 9.5 | 0.35 ± 0.03 |
| Wild type (20 mm Gln) | 37.3 ± 4.4 | 9.6 ± 2.3 | 74.4 ± 10.5 | 0.7 ± 0.14 |
| Wild type (10 mm ammonium succinate) | 14.3 ± 3.2 | 5.7 ± 1.4 | 67.1 ± 7.8 | 0.5 ± 0.03 |
We used split-root plants as an appropriate experimental system to discriminate between a local and a systemic effect of ammonium on the root developmental program. When different or equimolar concentrations of N supplements were applied to the two separated root sides of splitted plants (N free, 5 mm ammonium succinate, 1 or 10 mm potassium nitrate, 1 or 5 mm ammonium nitrate), the growth of both primary and secondary roots was severely inhibited only in the ammonium succinate compartment (Fig. 1D; Supplemental Fig. S1). This result further suggests that the ammonium effect was mediated by the perception of exogenous ammonium rather than by systemic changes of the N nutritional status. A direct succinate effect could be ruled out because equal concentrations of sodium succinate were added on both root compartments (see “Materials and Methods”).
LjAMT1 Family Members Are Differentially Regulated by Ammonium Supply
Since the root phenotype changes triggered by high ammonium concentrations can be mediated by proteins necessary for N transport, we measured by quantitative reverse transcription (qRT)-PCR the expression of the three LjAMT1 transporter genes in plants grown under different ammonium concentrations.
As shown in Figure 2, AMT1;3 transcripts were progressively induced (3- to 4.5-fold) in roots of Lotus seedlings grown in the presence of increasing concentrations of ammonium succinate and ammonium nitrate when compared with seedlings grown in N-free conditions and high concentrations of potassium nitrate or Gln. On the contrary, the expression of the other members of the AMT1 family, AMT1;1 and AMT1;2, was not significantly regulated by the external ammonium supply (Fig. 2). The unique expression regulation of AMT1;3, among the ammonium transporter genes, suggests its possible specific function in mediating NH4+ concentration effects. It is noteworthy that the relative amount of the AMT1;3 transcript in the fully induced conditions was still lower when compared with the constitutive level of AMT1;1 and AMT1;2 transcripts (Fig. 2). Furthermore, the data in Figure 2 showed specific transcriptional responses of the three members of the Lotus AMT1 family to the different N supply conditions. LjAMT1;1 expression was strongly repressed by high Gln concentration, while LjAMT1;2 appeared to be strongly down-regulated by nitrate. Both these regulatory profiles have been previously reported for the AtAMT1;1 gene (Rawat et al., 1999; von Wiren et al., 2000a; Wang et al., 2000; Gansel et al., 2001).
Figure 2.
The expression of LjAMT1;3 but not that of LjAMT1;1 or LjAMT1;2 is strictly dependent on external ammonium concentration. Relative quantification of LjAMT1;1, LjAMT1;2, and LjAMT1;3 mRNAs, measured by qRT-PCR, in roots of 14-d-old Lotus seedlings grown in N-free (white bars), ammonium nitrate (blue bars), 20 mm potassium nitrate (yellow bars), 20 mm Gln (red bars), and ammonium succinate (gray bars) conditions is shown. Arrows indicate the three increasing (1, 10, and 20 mm) ammonium nitrate and ammonium succinate concentrations. Lotus UBI was used as a reference gene to normalize the expression of the LjAMT1 genes. Data bars represent means and sd of data obtained with RNA extracted from two different sets of plants and three technical repeats. Asterisks indicate, for AMT1;3, significant differences with N-free conditions (* P < 0.03, ** P < 0.0001). [See online article for color version of this figure.]
Generation of Transgenic L. japonicus Ectopically Expressing AMT1;1 and AMT1;3 Genes
The L. japonicus ammonium transporter sequences LjAMT1;3 and LjAMT1;1 (D’Apuzzo et al., 2004) were cloned between a cauliflower mosaic virus-35S promoter sequence and a nopaline synthase terminator sequence (Hajdukiewicz et al., 1994) to obtain transgenic Lotus plants overexpressing these genes. Primary transformed plants were selected on hygromycin medium and allowed to self-pollinate. Independent T1 lines, germinated on hygromycin (hygromycin resistance segregation, 3:1), were tested by semiquantitative RT-PCR to analyze the level of AMT1;3 and AMT1;1 expression, and different lines with various levels of overexpression were identified (Supplemental Fig. S4, A and B). The amount of AMT1;1 and AMT1;3 transcripts did not change when the overexpressing plants were grown in sufficient or deficient N conditions, ruling out the possibility of a posttranscriptional mechanism of regulation, as reported by Yuan et al. (2007b; data not shown). T2 homozygous plants of lines over1;3-13, -16, and -17 and over1;1-3 and -7 were selected for further analysis.
To verify proper protein synthesis and function of the ectopically expressed genes, we tested the sensitivity of the transgenic plants to methylamine (MeA), an ammonium analog that can be transported by AMT1 members and is toxic to yeast and plants (Gazzarini et al., 1999; Ludewig et al., 2002; Yuan et al., 2007a). First, we determined the range of MeA concentrations that is toxic to Lotus by growing wild-type plants on B5 (Gamborg et al., 1968) half-strength medium for 15 d and then transferring the seedlings on a B5-derived medium containing 2 mm KNO3 as the N source and supplemented with increasing concentrations of MeA (0, 1, 2, and 5 mm). Wild-type Lotus plants showed growth depression and shoot chlorosis at 2 mm MeA (Supplemental Fig. S5). In independent overexpressing lines (three for the AMT1;3 genes and two for the AMT1;1 genes), the toxicity was strongly enhanced, as growth depression was already evident at 1 mm MeA (Fig. 3, A and B). In these lines, in the presence of 1 mm MeA, shoot fresh weight was 40% to 70% lower than that of wild-type plants under the same conditions (Fig. 3B). There was instead no difference in shoot biomass between transgenic and wild-type plants grown in the absence of MeA (Fig. 3, A and B). The overexpression of AMT1;3 was further characterized in the over1;3-17 line by the direct measurement of MeA uptake. Wild-type and overexpressing Lotus plants were grown for 14 d in hydroponic cultures in the presence of 1 mm NH4NO3 and then shifted to 1 mm MeA. The root MeA content was measured (see “Materials and Methods”) at different times after the shift, and the results showed a clear increase in MeA uptake capacity of the overexpressing plants when compared with wild-type plants (Fig. 3C).
Figure 3.
Overexpressing AMT1;1 and AMT1;3 plants show increased MeA uptake activity. A, Representative phenotypes of wild-type (wt) and over1;3 plants after growth on agar medium containing 2 mm potassium nitrate in either the absence (left) or the presence (right) of 1 mm MeA. B, Shoot fresh weight 2 weeks after growth on agar medium containing 2 mm potassium nitrate in either the absence (white bars) or the presence (black bars) of 1 mm MeA. C, MeA influx into roots of plants grown hydroponically in 1 mm ammonium nitrate and shifted at time 0 in 1 mm MeA. Numbers on the x axis indicate minutes after the shift. Data in B and C represent means and sd of measures performed from at least three different experiments (15 plants per experiment per condition). Asterisks indicate significant differences between treatment with and without MeA (* P < 0.0006, ** P < 0.0003, *** P < 0.0001). [See online article for color version of this figure.]
AMT1;3-Overexpressing Lines Have a Short-Root Phenotype That Is Independent of Ammonium Supply
The phenotype of the overexpressing plants was analyzed to check whether the increased ammonium transport could affect growth parameters of the transgenic plants. The plants were germinated on water-agar plates and then transferred in the range of different N source concentrations used in Figure 1 with the addition of a lower ammonium succinate concentration (500 μm), in order to check whether this reduced ammonium supply could improve growth parameters, as reported for Arabidopsis (Yuan et al., 2007a). Interestingly, a significant difference in the length of the primary root was detected in the AMT1;3-overexpressing lines when compared with wild-type and AMT1;1-overexpressing plants in all the tested conditions (Fig. 4A; Supplemental Figs. S6 and S7). In order to check whether the effect of the AMT1;3 overexpression on the primary root growth was sustained during the whole time range of the treatment, we analyzed the kinetics of root elongation, and in Figure 4B we report the primary root elongation rates. A significant reduction in the primary root growth rate of the AMT1;3-overexpressing plants when compared with wild-type and AMT1;1-overexpressing plants was revealed for the whole time-course experiment (Fig. 4B shows the estimated primary root growth rate between days 4 and 16 after initiation of the treatment) in all the tested conditions (Supplemental Fig. S6). The same significant growth rate reduction was revealed in all the tested conditions in the AMT1;3-overexpressing plants when we measured the secondary root elongation (Fig. 4C; Supplemental Fig. S6), whereas the number of emerged lateral roots did not differ significantly from that of controls (data not shown). The only condition where the primary and secondary root growth rates of AMT1;3-overexpressing plants was not significantly reduced was 5 mm ammonium succinate, where even wild-type and AMT1;1-overexpressing plants showed a short-root phenotype. It is remarkable that the short-root phenotype of the AMT1;3-overexpressing plants was revealed in all the tested conditions, including ammonium concentrations beyond the range of affinity of AMT1;3 (10 mm ammonium nitrate), N sources different from ammonium (Gln and potassium nitrate), and even in the complete absence of any N source, hence suggesting that this phenotype was unrelated to the enhanced ammonium uptake (Supplemental Fig. S6). This conclusion was also in agreement with the analysis of the shoot biomass and elongation that was not significantly affected in the AMT1;3-overexpressing plants when compared with the wild-type and over1;1 plants (Fig. 5; Supplemental Fig. S8), indicating the specificity of the root phenotype and making unlikely the hypothesis of a general stress symptom due to the increased amount of transported ammonium (Fig. 3). To test the downstream metabolic effect of AMT1;3 overexpression, we compared the amino acid contents of wild-type and transgenic plants grown in the presence of 1 mm ammonium nitrate as N source (Table I). We observed a general increase of the amides (Asn and Gln; 2- to 5-fold), Glu (3-fold), and Asp (2-fold) to levels similar to the ones revealed in wild-type plants grown on high concentrations of different N sources, which showed a differentiated root phenotype response.
Figure 4.
AMT1;3 overexpression confers a short-root phenotype to Lotus transgenic plants that is not dependent on the range of external N supply. A, Primary root length 18 d after transfer on N-free (white bars), ammonium nitrate (blue bars), Gln (red bars), ammonium succinate (gray bars), or potassium nitrate (yellow bars). B, Primary root elongation rates. Δt indicates the time range for the primary root measures (1 = 5–8 d after transfer; 2 = 8–11 d after transfer; 3 = 11–14 d after transfer). C, Secondary root elongation rates. Δt indicates the time range for the primary root measures (1 = 4–8 d after transfer; 2 = 8–12 d after transfer; 3 = 12–16 d after transfer). The N source concentrations are indicated. The four bars for each condition indicate, from the left, wild-type, overAMT1;1-3, overAMT1;3-16, and overAMT1;3-17 plants, respectively. Data bars represent means and sd of measures performed from at least two different experiments (15 plants per experiment per condition). [See online article for color version of this figure.]
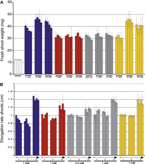
Figure 5.
AMT1;3 overexpression does not affect shoot development. A, Shoot fresh weight 18 d after transfer on N-free (white bars), ammonium nitrate (blue bars), Gln (red bars), ammonium succinate (gray bars), or potassium nitrate (yellow bars) is shown. B, Shoot elongation rates. Δt indicates the time range for the shoot length measures (1 = 4–8 d after transfer; 2 = 8–12 d after transfer; 3 = 12–16 d after transfer). The N source concentrations are indicated. The four bars for each condition indicate, from the left, wild-type, overAMT1;1-3, overAMT1;3-16, and overAMT1;3-17 plants, respectively. Data bars represent means and sd of measures performed from at least two different experiments (15 plants per experiment per condition). [See online article for color version of this figure.]
The AMT1;3 Profile of Expression Is Spatially Regulated by Ammonium Supply
The correlation between the profile of expression of the LjAMT1;3 gene and the short-root phenotype observed in wild-type and transgenic overexpressing lines prompted us to obtain more information about the topology of AMT1;3 expression to identify possible specific features of this ammonium transporter member. We first analyzed the protein localization by fusing its C-terminal end to the GFP gene and placed the fusion downstream of the cauliflower mosaic virus-35S promoter. Fluorescence microscopy of the transient expression of this fusion in tobacco (Nicotiana tabacum) mesophyll protoplasts indicated unambiguously a plasma membrane localization of the LjAMT1;3-GFP protein (Supplemental Fig. S9). This is consistent with the localization we recently reported for the LjAMT1;1 protein (Rogato et al., 2008).
We previously reported the analysis of the expression of a pAMT1;3-gusA fusion in L. japonicus transgenic hairy roots that showed a faint GUS activity in the root stele (D’Apuzzo et al., 2004). Within root tissues, the pattern of promoter activity was completely different from the ones observed for the other two AMT1 genes, which were strongly expressed in the root cap and in zones of secondary root emergence, with an additional slight expression in cortical epidermal and root hair cells (only for the pAMT1;1-gusA promoter fusion). To obtain a more versatile tool for the analysis of the spatial profile of expression of LjAMT1;3 under different ammonium conditions, we generated Lotus transgenic plants transformed, via the Agrobacterium tumefaciens procedure, with a construct carrying 700 bp of the AMT1;3 promoter fused to the gusA gene (D’Apuzzo et al., 2004). As shown in Figure 6, consistent with the qRT-PCR data shown in Figure 2, an increase of external ammonium concentration determined an enhancement of the GUS activity. The expression was always localized in the vascular bundle, but an acropetal induction of the activity was revealed (Fig. 6, B, D, F, and G). A transverse section of GUS-stained roots indicated that the staining was strictly confined to the vascular cylinder and to the pericycle cell layer (Fig. 6I). Remarkably, root vasculature expression was also observed with a gusA construct driven by the 35S promoter (Fig. 6H). Analysis of the promoter activity in the aerial part of the plant showed an expression in the vascular tissues of leaves that was not affected by the external ammonium concentration (Fig. 6L).
Figure 6.
LjAMT1;3 promoter activity is confined to the root vascular stele and is induced acropetally by increased external ammonium concentrations. A to H, Whole-mount staining of roots of pAMT1;3-gusA (A–G) and 35S-gusA (H) transgenic plants. Growth conditions were as follows: N-free conditions (A and B); 5 mm ammonium succinate (C and D); 10 mm ammonium succinate (E and F), 20 mm ammonium nitrate (G); 5 mm ammonium succinate (H). I, Root cross section. L, Whole-mount staining. Arrows in A, C, and E indicate the root tips. The arrowhead in I indicates the pericycle staining. An enlarged image of the framed region of the stained leaf is shown in L.
DISCUSSION
We identified a range of ammonium concentrations that specifically inhibit the growth rate of primary and lateral roots in L. japonicus plants, without determining general plant stress symptoms, (Fig. 1, A–C; Supplemental Figs. S1 and S2). In particular, the same progressive reduction of primary (about 40%–45%) and secondary (about 31%–35%) root length was induced by increasing concentrations of ammonium nitrate and succinate in the range from 1 to 20 mm NH4+. The lack of similar root phenotypes in plants grown under comparable potassium nitrate concentrations indicated the specificity of the ammonium effect. The ammonium-induced short-root phenotype was observed in plants grown either on solid or hydroponic medium. In the latter conditions, no significant differences were observed in the primary root length of plants grown in equimolar ammonium nitrate and ammonium succinate concentrations (Supplemental Fig. S2). However, on solid medium, the primary and secondary root lengths of plants grown in the presence of 5 and 10 mm ammonium succinate were about 31% and 18% shorter than those of plants grown in the presence of ammonium nitrate equimolar concentrations (Fig. 1, A and B). The reason for these differences needs to be further investigated, but a recently reported antagonizing effect of nitrate on Glu-induced root architecture changes in Arabidopsis (Walch-Liu and Forde, 2008) could represent a sound explanation for these results.
The analysis of shoot biomass did not reveal significant differences in plants grown under different N sources and concentrations, except for a slight increase of the fresh weight of plants grown in the presence of ammonium nitrate (Fig. 1C). This could be due to a Lotus NH4+ preference as N source compared with KNO3 or Gln (Gazzarini et al., 1999) and to the decreased size of the root-adsorbing area in the case of ammonium succinate. The analysis of the amino acid content in Table I indicated a change of the general nutritional status of plants grown under high-N conditions (10 mm ammonium succinate, 20 mm ammonium nitrate, 20 mm Gln), with an increase in amides, Glu, and Asp concentration, when compared with plants grown in moderate-N conditions (1 mm ammonium nitrate). Nevertheless, only plants grown under high NH4+ supply showed a short-root phenotype that was sustained over time (Fig. 1, A and B; Supplemental Fig. S3). Furthermore, the ammonium effect was shown to act locally (Fig. 1D; Supplemental Fig. S1), further suggesting that the root growth inhibition was related to the ammonium perception as a signal rather than to its assimilation.
To our knowledge, this is the first indication of a direct, specific correlation between external local ammonium supply and the plant root developmental program. A specific ammonium effect was only reported for the control of the nodule organogenesis program in L. japonicus (Barbulova et al., 2007; Omrane and Chiurazzi, 2009). On the other hand, regulation of lateral root formation and elongation in response to the local availability of nutrients has been reported for nitrate and phosphate (Zhang and Forde, 2000; Williamson et al., 2001), and a similar local control was recently associated with the effects that Glu and nitrate exert on the primary root elongation program (Walch-Liu et al., 2006; Walch-Liu and Forde, 2008).
In addition, in this work, we report a possible molecular link between the short-root phenotype and one of the members of the L. japonicus AMT1 family. The transcription of the LjAMT1;3 gene was progressively induced in roots of Lotus wild-type plants grown in the presence of increasing ammonium succinate or ammonium nitrate concentrations (Figs. 2 and 6). This regulation was unique for the LjAMT1 genes, as the other members of the family showed a completely different profile of expression (Fig. 2). A similar profile of expression to that of LjAMT1;3 was reported for LeAMT1;2, OsAMT1;1, OsAMT1;2, and PtAMT1;2 genes, whose transcripts were increased after resupply of ammonium (von Wiren et al., 2000b; Sonoda et al., 2003; Couturier et al., 2007). However, in our case, the LjAMT1;3 transcription was analyzed under steady-state conditions (Fig. 2), and regulation under these conditions was previously reported only for the PtAMT1;6 gene (Couturier et al., 2007).
Remarkably, we could phenocopy the short-root phenotype of the wild-type plants grown under high ammonium supply by ectopically expressing the LjAMT1;3 gene (Fig. 4; Supplemental Figs. S6 and S7). The overexpression of another member of the LjAMT1 family did not trigger the short-root phenotype, suggesting a peculiarity of the AMT1;3 function (Fig. 4). On the other hand, both overexpressing lines (overAMT1;1 and overAMT1;3) showed an increased MeA sensitivity when compared with wild-type plants (Fig. 3, A and B). The comparison between the amino acid contents of the AMT1;3-overexpressing and wild-type plants grown under 1 mm ammonium nitrate conditions (Table I) confirmed the enhanced NH4+ uptake activity in the transgenic plants (Fig. 3C). However, the hypothesis of an inhibitory feedback mechanism controlled by the products of ammonium assimilation could be ruled out, since the higher amount of amino acids was also revealed in wild-type plants grown in the presence of 20 mm Gln, where no reduction of the root system elongation was observed (Fig. 1, A and B). Besides, the lack of general stress-related symptoms in the AMT1;3-overexpressing plants (Fig. 5A; Supplemental Fig. S7) and the similarity, over time, of the shoot elongation rates of wild-type and AMT1;1- and AMT1;3-overexpressing plants in all tested conditions (Fig. 5B; Supplemental Fig. S8) indicated that the increased uptake activity did not determine ammonium toxicity effects that would have also caused poor shoot growth (Marschner, 1995).
AMT1-overexpressing plants have already been obtained and analyzed in other species. Tobacco plants overexpressing the AtAMT1;1 gene showed an enhanced ammonium uptake capacity in hydroponic cultures that did not determine any change in biomass production in soil-grown plants in the presence of different ammonium concentrations relative to wild-type plants (Yuan et al., 2007b). This phenotype is reminiscent of that observed in L. japonicus AMT1;1-overexpressing lines. In other reports, rice plants overexpressing the OsAMT1;1 gene showed a significant increase in ammonium uptake and tissue ammonium content that was associated with both a reduced shoot and root biomass compared with wild-type plants (Hoque et al., 2006; Kumar et al., 2006), which in some cases were recovered in the mid vegetative stage (Hoque et al., 2006). In these cases, the decreased shoot and root biomass was justified by the inability of the transgenic lines to assimilate the greater amount of ammonium taken up from the medium, which was responsible of a pleiotropic stress-associated phenotype. Therefore, the ammonium-induced specific L. japonicus root phenotype resulting from the LjAMT1;3 overexpression was not previously reported in other species. Interestingly, OsAMT1;1, AtAMT1;1, and LjAMT1;1 but not LjAMT1;3 are all up-regulated in conditions of N deprivation and down-regulated by the presence of NH4+ (Gazzarini et al., 1999; Kumar et al., 2003; D’Apuzzo et al., 2004). They have probably a mere transport function, aimed at optimizing the root ammonium uptake in conditions of N starvation (Rawat et al., 1999; Kumar et al., 2003). Such a role was demonstrated, by functional characterization, in the case of AtAMT1;1 (Yuan et al., 2007a). In addition, in the case of LjAMT1;3, its peculiar spatial expression, confined to the root stele (Fig. 6I), is unlikely to confer a significant contribution to high-affinity ammonium uptake in roots. One obvious possibility would be that AMT1;3 plays a role in the ammonium efflux to the stele, participating in root xylem loading of ammonium, as reported for other ion transporters (Kataoka et al., 2004; Lin et al., 2008), although a specific efflux function would hardly explain the specific and local root developmental response observed in wild-type plants grown under high-ammonium conditions (Fig. 1; Supplemental Figs. S1 and S2).
The absence of a relationship between the short-root phenotype and N supply in the overexpressing AMT1;3 plants suggested that it is the expression level of AMT1;3 per se, rather than the perception of high ammonium by AMT1;3, that triggers the short-root phenotype (Fig. 4; Supplemental Fig. S6). However, we cannot exclude that the short-root phenotype is caused by an enhanced retrieval of the effluxed and/or apoplastic ammonium generated by catabolic pathways. Another possibility could be that the short-root phenotype is just an indirect pleiotropic phenotype determined by the higher level of expression of a transporter-encoding gene. It must be underlined that a similar strength of the short-root phenotype was observed in wild-type plants grown under high ammonium and in AMT1;3-overexpressing plants (Fig. 4; Supplemental Fig. S6), despite a roughly 20- to 30-fold difference in the amount of LjAMT1;3 transcript. In this case, it is reasonable to propose that the root response strength triggered by ammonium does not change significantly when a threshold level of AMT1;3 expression is achieved, as in the case of wild-type plants grown under high ammonium supply.
In general, the correlation between the profile of LjAMT1;3 expression and the described short-root phenotype in wild-type and transgenic lines is still indirect evidence of the physiological involvement of a high-affinity ammonium transporter in a signaling pathway linking external ammonium supply and the root developmental program, and additional experimental evidence is needed. Nevertheless, both the uptake-dependent and/or indirect pleiotropic effect hypotheses mentioned above are weakened by the lack of phenotype in the overexpressing AMT1;1 lines that showed similar levels of overexpression and increased uptake activity as well (Fig. 3B). Interestingly, a regulatory role of AMT1;3 would be consistent with several reports indicating a signaling role for plant transporters, coupled to the uptake function (Ho et al., 2009; Lanquar et al., 2009).
Recently, AtAMT1;1 protein was proposed to play a transceptor role (transporter and receptor/signal transducer; Holsbeeks et al., 2004) to modulate the uptake of external ammonium (Lanquar et al., 2009). In Lotus, a high external ammonium concentration could induce AMT1;3 expression, leading to the trigger of the specific root response. The biological meaning of this mechanism would be a convenient response to a local ammonium source patch in the rhizosphere, leading to the stop of root elongation to avoid energy waste in a potentially unfavorable environment. The expression of the LjAMT1;3 promoter that, in the presence of increased ammonium concentration, extends toward the root tips (Fig. 6, B, D, F, and G) that respond directly to this stress signal could be consistent with the involvement of LjAMT1;3 in an ammonium-related signaling pathway.
The involvement in a signaling pathway governing a specific developmental process is not new for ammonium transporters. The Saccharomyces cerevisiae mep2 mutant, defective in one of three related ammonium permeases, is deficient for the capacity to induce pseudohyphae formation in conditions of N starvation (Lorenz and Heitman, 1998). Remarkably, the specific role played by the S. cerevisiae and Candida albicans Mep2 can be attributed, at least in part, to their induced expression in conditions where the pseudohyphae formation is observed (Lorenz and Heitman, 1998; Biswas and Morschhauser, 2005), and this behavior resembles the one we report for LjAMT1;3, whose expression is induced under high-ammonium concentration conditions (Figs. 2 and 6) in which the reduction of the primary root and lateral root elongation program takes place.
CONCLUSION
We provide here a phenotypical characterization of a specific ammonium-induced root developmental response in L. japonicus. We report preliminary evidence suggesting the involvement of a high-affinity ammonium transporter in this response. These data provide a sound foundation for future reverse-genetics experiments aimed at the isolation of AMT1;3-deficient Lotus mutants to strengthen its correlation to the short-root phenotype and biochemical studies necessary to uncover the putative signaling pathway leading to interference with the normal root developmental plan.
MATERIALS AND METHODS
Plant Material and Growth Conditions
All experiments were carried out with Lotus japonicus ecotype B-129 F9 GIFU. Sterilized seeds were sown on water-agar plates and left overnight at 4°C cap side down. After 24 h in the dark in the growth chamber, petri dishes were exposed to light and kept in a vertical position. Care was taken to maintain the young emerging roots in contact with the filter paper. Unsynchronized seedlings were discarded at this stage. Plants were cultivated in a growth chamber with a light intensity of 200 μmol m−2 s−1 at 23°C with a 16-h/8-h day/night cycle. Solid growth medium had the same composition as that of B5 medium (Gamborg et al., 1968), except that (NH4)2SO4 and KNO3 were omitted and replaced by ammonium succinate, ammonium nitrate, potassium nitrate, or Gln at the indicated concentrations. Sodium succinate was added as carbon source to medium supplied with ammonium nitrate, potassium nitrate, and Gln. KCl was added to the medium to replace the potassium source. The medium contained vitamins (Duchefa catalog no. G0415). The media were buffered with 2.5 mm MES, and pH was adjusted to 5.7 with KOH.
Nutrient agar plates for split-root experiments were prepared as described (Zhang and Forde, 1998).
Plant Transformation
We followed the procedures previously described (Lombari et al., 2003; Barbulova et al., 2005).
T-DNA Construct Preparation
The LjAMT1;3 cDNA was subcloned from plasmid pAB5 that conferred ammonium uptake in Saccharomyces cerevisiae (D’Apuzzo et al., 2004) as a SpeI-KpnI fragment into pCAMBIA1300 XbaI-KpnI double digested. The LjAMT1;1 cDNA was subcloned from plasmid pAR239 that conferred ammonium uptake in S. cerevisiae (Salvemini et al., 2001) as a BamHI-SalI fragment into pCAMBIA1300 BglII-SalI double digested.
The 35S-AMT1;3-GFP fusion was prepared in the following way. The LjAMT1;3 cDNA sequence was amplified with the two oligonucleotides 5′-GAAGATCTAGATTGCAAACAGGACATTGG-3′ (including a BglII site) and 5′-GCGGTACCAACACGAATTTCCAAAGCTTT-3′ (including a KpnI site) and cloned into the double-digested BamHI-KpnI β-GFP plasmid kindly provided by Duby Geoffrey (Unité de Biochimie Physiologique, Institut des Sciences de la Vie, Université Catholique de Louvain, Belgium; Duby et al., 2001). The correct sequence for the LjAMT1;1-GFP translational fusion was verified by sequencing. Expression of the fusion protein was under the control of a plant enhanced transcription promoter of the plasma membrane H+-ATPase isoform 4 (Zhao et al., 1999) and the nopaline synthase terminator.
Protoplast Transient Transformation
The different vectors used were introduced into protoplasts of leaf mesophyll cells of tobacco (Nicotiana tabacum ‘Short-Root1’) by polyethylene glycol-mediated transformation as described previously (Horie et al., 2007). Protoplasts were incubated at 20°C in the dark for at least 16 h before microscopy. For FM4-64 protoplast staining, the dye was directly added to the suspension with a final concentration of 17 μm (Bolte et al., 2004). The microscopy analysis was carried out after 5 min of incubation.
Confocal Analysis
Confocal microscopy analyses were performed using a Nikon PCM2000 (Bio-Rad) laser scanning confocal imaging system. For GFP detection, excitation was at 488 nm and detection was between 515 and 530 nm. For the chlorophyll and FM4-64 detection, excitation was at 488 nm and detection was over 570 nm. The images acquired from the confocal microscope were processed using ImageJ bundle software (http://rsb.info.nih.gov/ij/).
Real-Time qRT-PCR
Total RNA was prepared from Lotus tissues using the procedure of Kistner and Matamoros (2005). The samples were treated with DNase I (Ambion) to remove contaminating DNA, the absence of which was subsequently confirmed by PCR. One microgram of total RNA was annealed to random decamers and reverse transcribed with reverse transcriptase (Ambion) to obtain cDNA. Real-time PCR was performed with a DNA Engine Opticon 2 System (MJ Research) using SYBR to monitor double-stranded DNA synthesis. The ubiquitin (UBI) gene (AW719589) was used as an internal standard. The concentration of primers was optimized for each PCR procedure, and each amplification was carried out in triplicate. The PCR program used was as follows: 95°C for 13 min, and 39 cycles of 94°C for 15 s, 60°C for 15 s, and 72°C for 15 s. Data were analyzed using Opticon Monitor Analysis Software version 2.01 (MJ Research). The qRT-PCR data were analyzed using the comparative threshold cycle (Ct) method. The relative level of expression was calculated with the following formula: relative expression ratio of the gene of interest is 2−ΔCt, with ΔCt = CtAMT1 − CtUBI. The efficiency of the different AMT1 primers was assumed to be 2.
Analysis of the melting curve of PCR products at the end of the PCR run revealed a single narrow peak for each amplification product, and fragments amplified from total cDNA were gel purified and sequenced to ensure accuracy and specificity.
LjAMT1;1, LjAMT1;2, and LjAMT1;3 specific primers were described by D’Apuzzo et al. (2004).
Histochemical GUS Analysis
Histochemical staining of whole plant material was performed as described by D’Apuzzo et al. (2004).
MeA Analysis
After MeA supply, plants were collected at the indicated time, and roots were washed with deionized water and separated from shoots. Root and shoot tissues were weighed, frozen in liquid N, and finely ground. MeA was extracted in 1 mL of 80% ethanol (1:1, w/v), left for 10 min at 4°C, and centrifuged. The supernatant, after filtration through Waters Sep-Pak C18 Light Cartridges, was used for MeA analysis. The MeA was determined by HPLC after derivatization with o-phthaldialdehyde (oPA). All chromatographic equipment was from Gilson. The oPA derivatives were separated on a reverse-phase C18 ultrasphere (250 mm × 4.6 mm). Solvent A consisted of 50 mm NaOAc (pH 7) plus 1% tetrahydrofurane, and solvent B was absolute methanol (Carlo Erba). An aliquot (50 μL) of the extract was derivatized for 1 min. A sample (20 μL) of the mixture was injected and eluted at a flow rate of 1 mL min−1. The eluted oPA derivatives were detected by optical density at 340 nm with a model 115 wavelength detector. Quantification was made against a calibration curve for MeA and expressed as nmol g−1 fresh weight.
Extraction and Amino Acid Determination
L. japonicus plants grown in solid medium were harvested, washed with deionized water, and dried. The plants were then weighed, frozen in liquid N, and finely ground. Soluble amino acids were extracted in 0.85 mL of 80% ethanol, left for 15 min at 4°C, and centrifuged. The supernatant was filtered through Waters Sep-Pak C18 Light Cartridges. An aliquot (50 μL) of the extract was derivatized for 1 min with oPA and separated by HPLC for amino acid analysis. Chromatographic equipment was from Gilson. The oPA derivatives were separated on a reverse-phase C18 ultrasphere column (250 mm × 4.6 mm). Solvent A consisted of 50 mm NaOAc (pH 7) plus 1% tetrahydrofurane, and solvent B was absolute methanol (Carlo Erba). A sample (20 μL) of the mixture was injected and eluted at a flow rate of 1 mL min−1. The eluted oPA derivatives were detected by a fluorometer detector (model 121; GILSON). Quantification of single amino acids was made against a relative calibration curve and expressed as μmol g−1 fresh weight.
Statistical Analysis
Statistical analysis was performed with the ANOVA program available at http://faculty.vassar.edu/lowry/VassarStats.html.
Supplemental Data
The following materials are available in the online version of this article.
Supplemental Figure S1. Representative phenotypes of L. japonicus wild-type plants grown in the presence of different N sources and concentrations (A) and representative phenotype of a splitted-root plant (B).
Supplemental Figure S2. Root and shoot phenotypes in L. japonicus hydroponic cultures.
Supplemental Figure S3. The kinetics of wild-type primary root growth is affected by increased ammonium concentration.
Supplemental Figure S4. Overexpressing plants have increased LjAMT1;1 or LjAMT1;3 transcript levels.
Supplemental Figure S5. MeA at 2 mm affects shoot development of wild-type L. japonicus plants.
Supplemental Figure S6. Primary (A) and secondary (B) root elongation rates.
Supplemental Figure S7. Representative phenotypes of wild-type and overexpressing Lotus AMT1;3 plants 18 d after transfer on 1 mm ammonium nitrate.
Supplemental Figure S8. Shoot elongation rates.
Supplemental Figure S9. LjAMT1;3 localizes at the plasma membrane of plant cells.
Supplementary Material
Acknowledgments
We thank Anna Sollo, Nunzia Bellopede, and Chiara Lepore for technical assistance. We particularly thank Biagio Giordano and the gardeners of the Royal Botanical Garden of Naples for their excellent work with plant care. We also thank Paolo Bazzicalupo for critical reading of the manuscript.
References
- Barbulova A, D’Apuzzo E, Rogato A, Chiurazzi M. (2005) Improved procedures for in vitro regeneration and for phenotypical analysis in the model legume Lotus japonicus. Funct Plant Biol 32: 529–536 [DOI] [PubMed] [Google Scholar]
- Barbulova A, Rogato A, D’Apuzzo E, Omrane S, Chiurazzi M. (2007) Differential effects of combined N sources on early steps of the Nod factor-dependent transduction pathway in Lotus japonicus. Mol Plant Microbe Interact 20: 994–1003 [DOI] [PubMed] [Google Scholar]
- Barker AV, Volk RJ, Jackson WA. (1966) Root environment acidity as a regulatory factor in ammonium assimilation by the bean plant. Plant Physiol 41: 1193–1199 [DOI] [PMC free article] [PubMed] [Google Scholar]
- Biswas K, Morschhauser J. (2005) The mep2p ammonium permease controls nitrogen starvation-induced filamentous growth in Candida albicans. Mol Microbiol 56: 649–669 [DOI] [PubMed] [Google Scholar]
- Bligny R, Gout E, Kaiser W, Heber U, Walker D, Douce R. (1997) pH regulation in acid-stressed leaves of pea plants grown in the presence of nitrate or ammonium slats: studies involving 31P-NMR spectroscopy and chlorophyll fluorescence. Biochim Biophys Acta 1320: 142–152 [Google Scholar]
- Bolte S, Talbot C, Boutte Y, Catrice O, Read ND, Satiat-Jeunemaitre B. (2004) FM-dyes as experimental probes for dissecting vesicle trafficking in living plant cells. J Microsc 214: 159–173 [DOI] [PubMed] [Google Scholar]
- Couturier J, Montanini B, Martin F, Brun A, Blaudez D, Chalot M. (2007) The expanded family of ammonium transporters in the perennial poplar plant. New Phytol 174: 137–150 [DOI] [PubMed] [Google Scholar]
- D’Apuzzo E, Rogato A, Simon-Rosin U, El Alaoui H, Barbulova A, Betti M, Dimou M, Katinakis P, Marquez A, Marini AM, et al. (2004) Characterisation of three functional high affinity ammonium transporters in Lotus japonicus with differential transcriptional regulation and spatial expression. Plant Physiol 134: 1763–1774 [DOI] [PMC free article] [PubMed] [Google Scholar]
- Duby G, Oufattole M, Boutry M. (2001) Hydrophobic residues within the predicted N-terminal amphiphilic alpha-helix of a plant mitochondrial targeting presequence play a major role in in vivo import. Plant J 27: 539–549 [DOI] [PubMed] [Google Scholar]
- Forde BG, Lorenzo H. (2001) The nutritional control of root development. Plant Soil 232: 51–68 [Google Scholar]
- Gamborg OL, Miller RA, Ojima K. (1968) Nutrient requirement of suspension cultures of soybean root cells. Exp Cell Res 50: 151–158 [DOI] [PubMed] [Google Scholar]
- Gansel X, Munos S, Tillard P, Gojon A. (2001) Differential regulation of the NO3− NH4+ transporter genes AtNrt2.1 and AtAmt1.1 in Arabidopsis: relation with long-distance and local controls by N status of the plant. Plant J 26: 143–155 [DOI] [PubMed] [Google Scholar]
- Gazzarini S, Lejay L, Gojon A, Ninnemann O, Frommer WB, von Wiren N. (1999) Three functional transporters for constitutive, diurnally regulated, and starvation-induced uptake of ammonium into Arabidopsis roots. Plant Cell 11: 937–948 [DOI] [PMC free article] [PubMed] [Google Scholar]
- Hajdukiewicz P, Svab Z, Maliga P. (1994) The small, versatile pPZP family of Agrobacterium binary vectors for plant transformation. Plant Mol Biol 25: 989–994 [DOI] [PubMed] [Google Scholar]
- Ho CH, Lin SH, Hu HC, Tsay YF. (2009) CHL1 functions as a nitrate sensor in plants. Cell 138: 1184–1194 [DOI] [PubMed] [Google Scholar]
- Holsbeeks I, Lagatie O, Van Nùland A, Van de Velde S, Thevelein JM. (2004) The eukaryotic plasma membrane as a nutrient-sensing device. Trends Biochem Sci 29: 556–564 [DOI] [PubMed] [Google Scholar]
- Hoque MS, Masle J, Udvardi MK, Ryan PR, Upadhyaya NM. (2006) Over-expression of the rice OsAMT1-1 gene increases ammonium uptake and content, but impairs growth and development of plants under high ammonium nutrition. Funct Plant Biol 33: 153–163 [DOI] [PubMed] [Google Scholar]
- Horie T, Costa A, Kim TH, Han MJ, Horie R, Leung HY, Miyao A, Hirochita H, An G, Schroeder JI. (2007) Rice OsHKT2;1 transporter mediates large Na+ influx component into K+-starved roots for growth. EMBO J 26: 3003–3014 [DOI] [PMC free article] [PubMed] [Google Scholar]
- Howitt SM, Udvardi MK. (2000) Structure, function and regulation of ammonium transporters in plants. Biochim Biophys Acta 1465: 152–170 [DOI] [PubMed] [Google Scholar]
- Kataoka T, Hayashi N, Yamaya T, Takahashi H. (2004) Root-to-shoot transport of sulfate in Arabidopsis: evidence for the role of SULTR3;5 as a component of low-affinity sulfate transport system in the root vasculature. Plant Physiol 136: 4198–4204 [DOI] [PMC free article] [PubMed] [Google Scholar]
- Kistner C, Matamoros M. (2005) RNA isolation using phase extraction and LiCl precipitation. Marquez AJ, , Lotus japonicus Handbook. Springer Verlag, Dordrecht, The Netherlands, pp 123–124 [Google Scholar]
- Krogmann DW, Jagendorf AT, Avron M. (1959) Uncouplers of spinach chloroplast photosynthetic phosphorylation. Plant Physiol 34: 277–282 [DOI] [PMC free article] [PubMed] [Google Scholar]
- Kronzucker HJ, Britto DT, Davenport RJ, Tester M. (2001) Ammonium toxicity and the real cost of transport. Trends Plant Sci 6: 335–337 [DOI] [PubMed] [Google Scholar]
- Kronzucker HJ, Schjoerring JK, Erner Y, Guy JD, Kirk M, Siddiqi Y, Glass DM. (1998) Dynamic interactions between root NH4+ influx and long-distance N translocation in rice: insights into feedback processes. Plant Cell Physiol 39: 1287–1293 [Google Scholar]
- Kumar A, Kaiser BN, Siddiqi MY, Glass ADM. (2006) Functional characterization of OsAMT1.1 overexpression lines of rice, Oryza sativa. Funct Plant Biol 33: 339–346 [DOI] [PubMed] [Google Scholar]
- Kumar A, Silim SN, Okamoto M, Siddiqi MY, Glass AD. (2003) Differential expression of three members of the AMT1 gene family encoding putative high-affinity NH4+ transporters in roots of Oryza sativa subspecies indica. Plant Cell Environ 26: 907–914 [DOI] [PubMed] [Google Scholar]
- Lanquar V, Loquè D, Hormann F, Yuan L, Bohner A, Engelsberger WR, Lalonde S, Schulze WX, von Wiren N, Frommer WB. (2009) Feedback inhibition of ammonium uptake by a phospho-dependent allosteric mechanism in Arabidopsis. Plant Cell 21: 3610–3622 [DOI] [PMC free article] [PubMed] [Google Scholar]
- Lin SH, Kuo HF, Canivenc G, Lin CS, Lepetit M, Hsu PK, Tillard P, Lin HL, Wang YY, Tsai CB, et al. (2008) Mutation of the Arabidopsis NRT1.5 nitrate transporter causes defective root-to-shoot nitrate transport. Plant Cell 20: 2514–2528 [DOI] [PMC free article] [PubMed] [Google Scholar]
- Little DY, Rao H, Oliva S, Daniel-Vedele F, Krapp A, Malamy JE. (2005) The putative high-affinity nitrate transporter NTR2.1 represses lateral root initiation in response to nutritional cues. Proc Natl Acad Sci USA 102: 13693–13698 [DOI] [PMC free article] [PubMed] [Google Scholar]
- Lombari P, Ercolano E, El Alaoui H, Chiurazzi M. (2003) A new transformation-regeneration procedure in the model legume Lotus japonicus: root explants as a source of large numbers of cells susceptible to Agrobacterium mediated transformation. Plant Cell Rep 21: 771–777 [DOI] [PubMed] [Google Scholar]
- Lorenz MC, Heitman J. (1998) Regulators of pseudohyphal differentiation in Saccharomyces cerevisiae identified through multicopy suppressor analysis in ammonium permease mutant strains. Genetics 150: 1443–1457 [DOI] [PMC free article] [PubMed] [Google Scholar]
- Ludewig U, von Wiren N, Frommer WB. (2002) Uniport of NH4+ by the root hair plasma membrane ammonium transporter LeAMT1;1. J Biol Chem 277: 13548–13555 [DOI] [PubMed] [Google Scholar]
- Lynch J. (1995) Root architecture and plant productivity. Plant Physiol 109: 7–13 [DOI] [PMC free article] [PubMed] [Google Scholar]
- Marschner H. (1995) Mineral Nutrition of Higher Plants. Academic Press, London [Google Scholar]
- Neuhauser B, Dynowski M, Mayer M, Ludewig U. (2007) Regulation of NH4+ transport by essential cross talk between AMT monomers through the carboxyl tails. Plant Physiol 143: 1651–1659 [DOI] [PMC free article] [PubMed] [Google Scholar]
- Omrane S, Chiurazzi M. (2009) A variety of regulatory mechanisms are involved in the nitrogen-dependent modulation of the nodule organogenesis program in legume roots. Plant Signal Behav 4: 1066–1068 [DOI] [PMC free article] [PubMed] [Google Scholar]
- Pearson J, Stewart GR. (1993) The deposition of atmospheric ammonia and its effects on plants. New Phytol 125: 283–305 [DOI] [PubMed] [Google Scholar]
- Rawat SR, Silim SN, Kronzucker HJ, Siddiqi MY, Glass AD. (1999) AtAMT1 gene expression and NH4+ uptake in roots of Arabidopsis thaliana: evidence for regulation by root glutamine levels. Plant J 19: 143–152 [DOI] [PubMed] [Google Scholar]
- Remans T, Nacry P, Pervent M, Filleur S, Diatloff E, Mounier E, Tillard P, Forde BG, Gojon A. (2006) The Arabidopsis NTR1.1 transporter participates in the signaling pathway triggering root colonization of nitrate-rich patches. Proc Natl Acad Sci USA 103: 19206–19211 [DOI] [PMC free article] [PubMed] [Google Scholar]
- Rigano C, Martino-Rigano V, Vona V, Carfagna S, Carillo P, Esposito S. (1996) Ammonium assimilation by young plants of Hordeum vulgare in light and darkness: effects on respiratory oxygen consumption by roots. New Phytol 132: 375–382 [DOI] [PubMed] [Google Scholar]
- Rogato A, D’Apuzzo E, Barbulova A, Omrane S, Stedel K, Simon-Rosin U, Katinakis P, Flemetakis M, Chiurazzi M. (2008) Tissue-specific down-regulation of LjAMT1;1 compromises nodule function and enhances nodulation in Lotus japonicus. Plant Mol Biol 68: 585–595 [DOI] [PubMed] [Google Scholar]
- Salvemini F, Marini A, Riccio A, Patriarca EJ, Chiurazzi M. (2001) Functional characterization of an ammonium transporter gene from Lotus japonicus. Gene 270: 237–243 [DOI] [PubMed] [Google Scholar]
- Sonoda Y, Ikeda A, Saiki S, von Wiren N, Yamaya T, Yamaguchi J. (2003) Distinct expression and function of three ammonium transporter genes (OsAMT1;1-1;3) in rice. Plant Cell Physiol 44: 726–734 [DOI] [PubMed] [Google Scholar]
- von Wiren N, Gazzarrini S, Gojon A, Frommer WB. (2000a) The molecular physiology of ammonium uptake and retrieval. Curr Opin Plant Biol 3: 254–261 [PubMed] [Google Scholar]
- von Wiren N, Lauter FR, Ninnemann O, Gillissen B, Walch-Liu P, Engels C, Jost W, Frommer WB. (2000b) Differential regulation of three functional ammonium transporter genes by nitrogen in root hairs and by light in leaves of tomato. Plant J 21: 167–175 [DOI] [PubMed] [Google Scholar]
- Wang R, Guegler K, LaBrie ST, Crawford NM. (2000) Genomic analysis of a nutrient response in Arabidopsis reveals diverse expression patterns and novel metabolic and potential regulatory genes induced by nitrate. Plant Cell 12: 1491–1509 [DOI] [PMC free article] [PubMed] [Google Scholar]
- Walch-Liu P, Forde BG. (2008) Nitrate signalling mediated by the NRT1.1 nitrate transporter antagonizes L-glutamate-induced changes in root architecture. Plant J 54: 820–828 [DOI] [PubMed] [Google Scholar]
- Walch-Liu P, Ibanov II, Filleur S, Gan Y, Remans T, Forde BG. (2006) Nitrogen regulation of root branching. Ann Bot (Lond) 97: 875–881 [DOI] [PMC free article] [PubMed] [Google Scholar]
- Williams L, Miller A. (2001) Transporters responsible for the uptake and partitioning of nitrogenous solutes. Annu Rev Plant Physiol Plant Mol Biol 52: 659–688 [DOI] [PubMed] [Google Scholar]
- Williamson LC, Ribrioux SP, Fitter AH, Leyser HM. (2001) Phosphate availability regulates root system architecture in Arabidopsis. Plant Physiol 126: 875–882 [DOI] [PMC free article] [PubMed] [Google Scholar]
- Yuan L, Loquè D, Kojima S, Rauch S, Ishiyama K, Inoue E, Takahashi H, von Wiren N. (2007a) The organization of high-affinity ammonium uptake in Arabidopsis roots depends on the spatial arrangement and biochemical properties of AMT1-type transporters. Plant Cell 19: 2636–2652 [DOI] [PMC free article] [PubMed] [Google Scholar]
- Yuan L, Loquè D, Ye F, Frommer WB, von Wiren N. (2007b) Nitrogen-dependent posttranscriptional regulation of the ammonium transporter AtAMT1;1. Plant Physiol 143: 732–744 [DOI] [PMC free article] [PubMed] [Google Scholar]
- Zhang H, Forde BG. (1998) An Arabidopsis MADS box gene that controls nutrient-induced changes in root architecture. Science 279: 407–409 [DOI] [PubMed] [Google Scholar]
- Zhang H, Forde BG. (1999) Dual pathways for regulation of root branching by nitrate. Proc Natl Acad Sci USA 96: 6529–6534 [DOI] [PMC free article] [PubMed] [Google Scholar]
- Zhang H, Forde BG. (2000) Regulation of Arabidopsis root development by nitrate availability. J Exp Bot 51: 51–59 [PubMed] [Google Scholar]
- Zhao R, Moriau L, Boutry M. (1999) Expression analysis of the plasma membrane H+-ATPase pma4 transcription promoter from Nicotiana plumbaginifolia activated by the CaMV 35S promoter enhancer. Plant Sci 149: 157–165 [Google Scholar]
Associated Data
This section collects any data citations, data availability statements, or supplementary materials included in this article.






