Abstract
Carotenoids and their apocarotenoid derivatives play essential physiological and developmental roles and provide plants tolerance to a variety of stresses. Carotenoid cleavage dioxygenases mediate the degradation of carotenoids to apocarotenoids. A better understanding of biosynthesis vs. degradation could be useful for controlling carotenoid levels leading to improved plant fitness and/or enhanced content of nutritionally valuable carotenoids. The Poaceae (grass) plant family contains many crops of agronomic value. Therefore this study focused on characterizing the carotenoid dioxygenase gene family in the grass species maize, rice, and sorghum with comparison made to newly identified gene families in two non-seed plants as well as an alga and previously identified eudicot genes. Genome analysis was used to map grass genes encoding the carotenoid dioxygenases to chromosome locations. Sequences of encoded proteins were phylogenetically compared. CCD8b was identified as a new class of cleavage dioxygenases that may play a specialized role in apocarotenoid biogenesis. A simple PCR assay was developed to measure CCD1 gene copy number which is known to vary in maize. Using a panel of maize inbred lines varying in carotenoid content, linear regression analysis revealed a statistically significant negative correlation between copy number of CCD1 and carotenoid content, an effect likely mediated through the resulting elevated levels of endosperm CCD1 transcripts in high copy number lines. The PCR assay adds to a growing toolbox for metabolic engineering of maize endosperm carotenoids. This new tool can be used to select maize lines that are less likely to promote endosperm carotenoid degradation, thus predicting optimal results in metabolic engineering of endosperm provitamin A and/or nonprovitamin A carotenoids.
Keywords: carotenoid cleavage dioxygenases, Zea mays, Oryza sativa, Sorghum bicolor, apocarotenoids, provitamin A, abscisic acid
1. INTRODUCTION
In nature, carotenoids have diverse functions in both plants and animals. In plants, algae and cyanobacteria, carotenoids serve as structural and accessory pigments within the light harvesting complex to mediate photosynthesis and photoprotection. Carotenoids are also enzymatically cleaved to produce apocarotenoids, such as strigolactones and abscisic acid (ABA) and other volatile compounds that contribute to the aroma of fruits and flowers [reviewed in 1, 2, 3]. Apocarotenoids play numerous physiological roles, including control of plant architecture, dormancy and stress responses and signals attracting beneficial mycorrhizal fungi that aid in nutrient uptake and promote plant growth. These same signals are utilized by harmful parasitic plants (e.g. Striga) that compete for plant resources [reviewed in 4].
The primary route in the formation of biologically active apocarotenoids is oxidative cleavage of carotenoids mediated by carotenoid dioxygenases [5, 6]. Two types of carotenoid dioxygenases have been identified in plants, 9-cis carotenoid cleavage dioxygenases (NCEDs) and carotenoid cleavage dioxygenases (CCDs) (Figure 1). These enzymes were identified by analyzing viviparous (vp) mutants of maize, which led to cloning of maize NCED1 (Vp14) [7]. NCED enzymes cleave the 11,12 (11’,12’) double bond of 9-cis-violaxanthin or 9-cis-neoxanthin, catalyzing the first step in ABA biosynthesis [7, 8]. In contrast, CCD enzymes do not share cleavage specificity with NCED enzymes. Some CCD enzymes recognize specific carotenoid or apocarotenoid substrates while others show promiscuity in choice of substrate as evidenced in heterologous systems [reviewed in 6, 9–11]. CCD4 enzymes cleave β-carotene and/or 8’-apo-β-caroten-8-al, although there is no consistent CCD4 substrate among taxa, except for regioselectivity of cleavage at the 9,10 (9', 10’) positions [11, 12]. In comparison, maize CCD1 has been shown in vitro to cleave a wide range of substrates (e.g. lycopene, β-carotene, zeaxanthin, etc.) and like other CCD1 enzymes, it is not regioselective in cleavage site [9, 10, 13]. CCD7 cleaves β-carotene asymmetrically, producing one β–ionone and C27 10’-apo-β-carotenal; the latter product can be further cleaved by CCD8 generating C18 13’-apo-β-carotenal [14] or CCD1 generating another β–ionone and one apo-10, 10’-carotendial [13].
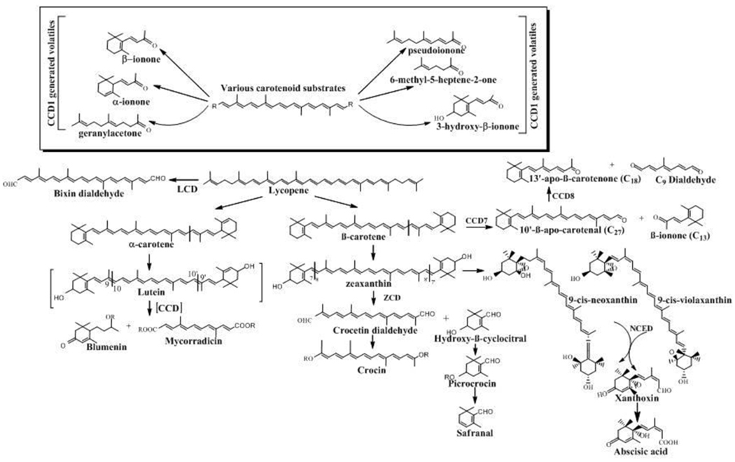
Figure 1. Carotenoid cleavage dioxygenase activities in various species.
CCD1 is promiscuous in the choice of substrate, thus producing an array of volatiles as shown inside the box [47]. Zeaxanthin cleavage dioxygenase, ZCD (Crocus sativus) [51]; lycopene cleavage dioxygenase, LCD (Bixa orellana) [5]. Formation of abscisic acid is mediated by 9-cis-epoxy carotenoid dioxygenases (NCED) [8]. CCD activity in mycorrhizal maize roots leads to formation of apocarotenoids mycorradicin and blumenin [22, 52]; the hypothetical lutein substrate is indicated in square parentheses. CCD7 and CCD8 participate sequentially as shown [5].
Plant CCD enzymes generate various phytohormones and aroma compounds, although the cleavage pathways in plants are poorly understood. For example, CCD1 expression causes the notable emission of diverse volatiles characteristic of fruit and flowers [15, 16]. From studies in Arabidopsis, peas and rice, CCD7 and CCD8 were shown to be involved in generating the branching inhibition strigolactone hormones formed in roots [17–20]. These hormones signal symbiotic mycorrhizal fungal hyphae to branch and associate with plant roots or can be transported to aerial parts of the plant to inhibit branching or tillering of the plant, an important agronomic trait in the grasses [21].
Carotenoid dioxygenase genes have been identified in various plant species [22]. In the complete genome of Arabidopsis, nine genes similar to VP14 were identified and characterized with regard to their tissue specific expression pattern and predicted subcellular localization [23–25]. Five genes encoding NCEDs are involved in ABA biosynthesis, while the remaining four genes encode CCDs.
Less is known about carotenoid cleavage enzymes in crops of agronomic importance. This enzyme class may potentially influence nutritional content (e.g. provitamin A carotenoids) and plant yield. The Poaceae includes the major food crops, for which carotenoid content is a target for improvement [reviewed in 26, 27]. Efforts to engineer carotenoid accumulation in the grasses involve control of factors that influence net carotenoid accumulation, a balance of synthesis and degradation. Recent studies have shed light on the timing of expression and control points affecting pathway flux for carotenoid biosynthesis and accumulation in endosperm of maize [27–36]. Although there are some studies on a few individual cleavage enzymes, carotenoid degradation in the grasses is not well understood. This deficiency in knowledge will undoubtedly stymie attempts to breed high levels of carotenoids. Therefore this study focused on identifying and characterizing the entire carotenoid dioxygenase gene family in maize, rice, and sorghum.
2. MATERIALS AND METHODS
Sequence analysis and chromosome map localization
Rice genes (www.gramene.org) were used as a query to identify orthologs from Zea mays (www.tigr.org; www.plantgdb.org) and to decipher gene families. The genomic sequence, obtained from the respective BAC clones (Table 1), was used to deduce the full length cDNA sequence. The exon-intron boundaries were confirmed through selected ESTs, where available. Sequence analysis was performed using Vector NTI Suite 9.0 (Invitrogen, Carlsbad, CA). Translation of expressed sequence tags (ESTs) was used to distinguish gene paralogs. Chromosomal positions of genes in the Zea mays B73 inbred line were localized either by utilizing tools available at WebAGCoL package (http://www.agcol.arizona.edu/software/webagcol/) [37] or Maize GDB. Prediction of chloroplast targeting site was made using the ChloroP software (http://www.cbs.dtu.dk/services/ChloroP/) [38] and pSORT (http://wolfpsort.org/). Phytozome (http://www.phytozome.org) was used to retrieve sequences from Sorghum bicolor and all nonflowering plant and algal sequences. Phylogenetic analysis was performed using MEGA2 [39]. Deduced open reading frames and predicted proteins are presented in Tables S1 and S2, respectively.
Table 1. Summary of carotenoid cleavage dioxygenase gene families.
For maize genes, information is provided for chromosome location (Map); sizes of genomic DNA, cDNA, and open reading frame (ORF) are given in base pairs. Genomic DNA sequence covers from ATG to stop codon. The predicted cDNA sequences starts from predicted transcription start site to poly A signal. For maize protein information, number of amino acid residues is given for the mature protein (M) and TP (transit peptide). Loc, predicted cellular location; P, plastid and C, cytosolic. Pre/pI, preprotein (MW in kD)/isolectric point; M/pI, predicted mature protein (MW in kD)/isoelectric point. Rice genes (www.gramene.org) were used as a query to identify orthologs from Zea mays (www.tigr.org;www.plantgdb.org;www.maizesequence.org) and to decipher gene families. Phytozome (http://www.phytozome.org) was used to retrieve sequences from Sorghum bicolor and all nonflowering plant and algal sequences.
| Oryza sativa | Zea mays |
Sorghum bicolor |
||||||||||||
|---|---|---|---|---|---|---|---|---|---|---|---|---|---|---|
| ACCESSIONS | GENE | PROTEIN | ||||||||||||
| Genomic | ESTs | Map | Introns | GENOMIC | cDNA§ | ORF | M | TP | Loc | Pre/pI | M/pI | |||
| NCED1 | AC201886 | U95953 | 1.08 | 0 | 1815 | 2498 | 1815 | 605 | 23 | P | 65/5.5 | 63/5.3 | ||
| NCED2 | LOC_Os12g42280 | AC199036 | DV032362 | 3.04 | 0 | NA | NA | 1008p | 403p | - | - | - | - | Sbi_0.36552P |
| NCED3a | LOC_Os07g05940 | AC212820 | DY541318 | NA | 0 | 1722 | 2208 | 1722 | 574 | 46 | P | 65/6.1 | 57/5.8 | Sb02g003230 |
| NCED3b | AC205109 | NA | 2.09 | 0 | 1728 | 2843 | 1728 | 576 | 52 | P | 62/6.6 | 56/5.8 | ||
| NCED9 | LOC_Os03g44380 | AC190614 | NA | 5.03 | 0 | 1806 | 2157 | 1806 | 602 | 23 | P | 65/6.4 | 62/6.1 | Sb01g013520 |
| CCD1 | LOC_Os12g44310 | DQ100347 | DQ100346 | 9.07 | 13 | 5414 | 2388 | 1653 | 551 | - | C | 62/5.9 | 55/5.8 | Sb01g047540 |
| CCD4a | LOC_Os02g47510 | AC190588 | EE172116 | 4.06 | 0 | 1917 | 2262 | 1917 | 639 | 50 | P | 68/6.3 | 63/5.7 | Sb04g030640 |
| CCD4b | LOC_Os12g24800 | AC194862 | NA | 5.06 | 0 | 1920 | 2382 | 1920 | 640 | 52 | P | 69/6.8 | 63/5.8 | |
| CCD7 | LOC_Os04g46470 | AC211432 | NA | 2.03 | 6 | 2607 | 3140 | 1860 | 620 | 29 | P | 68/8.7 | 65/7.8 | Sb06g024560 |
| CCD8a | LOC_Os01g54270 (CCD8a) |
AC185113 | CO526902 | 3.07 | 3 | 3007 | 2672 | 1662 | 554 | 36 | P | 61/6.5 | 57/6.0 | Sb05g009950 (CCD8a) |
| CCD8b | LOC_Os09g15240 (CCD8b) |
AC198395 | DW954641 | 7.02 | 11 | 3771 | 2402 | 1632 | 544 | 79 | P | 60/5.6 | 51/5.5 | Sb03g034400 (CCD8b) |
| CCD8c | LOC_Os01g38580 (CCD8c) |
Sb10g004360 (CCD8c) |
||||||||||||
| Sb10g004370 (CCD8c-like) |
||||||||||||||
| CCD8d | LOC_Os08g28240 (CCD8d) |
Sb02g021490 (CCD8d) |
||||||||||||
| Sb07g024250 CCD8d-1ike) |
||||||||||||||
Predicted;
Partial; NA= No specific EST to a paralog
Quantitative RT-PCR
Plants and tissues of different maize inbreds in a core subset of a maize germplasm collection were collected as described [29]. Total RNA was isolated using the RNeasy Plant Mini Kit (Qiagen Sciences, Maryland), and DNase I-treated (Invitrogen, Carlsbad, CA) prior to first strand cDNA synthesis using oligo (dT) as a primer and SuperscriptTM III RT (Invitrogen, Carlsbad, CA). One ul of 50µM oligo (dT)20 and 1ul of 10mM dNTP mix were mixed with 8µl of DNase I treated total RNA (~ 1 µg) and incubated at 65°C for 5 min, and left on ice for at least 1 min. Ten µl of cDNA synthesis mix (2µl of 10X RT buffer, 4µl of 25mM MgCl2, 2µl of 0.1M DTT, 1µl of RNaseOUT™ (40 U/µl), 1ul of Superscript™ III RT (200 U/µl) were added and incubated for 50min at 50°C and reactions terminated at 85°C for 5min. Samples were collected by brief centrifugation and 1µl of RNase H added and incubated for 20 min at 37°C. cDNA samples were amplified using gene specific primers (Table S3) on the MyIQ Single-Color Real-Time PCR detection system (Bio-Rad, Hercules, CA), using iQTM SYBR Green Supermix (Bio-Rad, Hercules, CA). Two µl (5ng/µl) of cDNA; 15µl of 2X iQTM SYBR Green Supermix; 11µl of nuclease-free water; 1µl (20ρm/µl) of each primer were used in a 30µl reaction volume. Thermal cycling conditions included an initial incubation at 94°C for 10s, followed by 35 cycles of 95°C for 10s, 58°C for 35s, and 72°C 10s. Melt curve analysis was performed to verify primer specificity, and PCR products were confirmed by sequencing. The relative quantity of the transcripts was calculated by using the comparative threshold cycle (CT) method. Actin mRNA was amplified simultaneously for normalization between samples. Values are expressed as the mean of three RT-PCR replicates +/− standard deviation.
Relative quantification of gene-copy number
Genomic DNA was quantified using the NanoDrop 1000 (Thermo-Scientific) and diluted to 10ng/ul. Reactions for quantitative real-time PCR were prepared as follows: the 30ul reaction volume contained 15ul Sybr Green master mix (BioRad, CA), 1ul (20ρmol/µl) of each primer (Table S1), 11ul of water and 2ul (10ng/ul) of template. Amplifications were performed in a Bio Rad-iCycler real-time PCR machine. Thermal cycling conditions included an initial incubation at 94°C for 10s, followed by 35 cycles of 95°C for 10s, 58°C for 35s, and 72°C 10s. Both control phytoene desaturase (PDS) and target carotenoid cleavage1 (CCD1) genes were amplified from each sample to calculate ΔCt (ΔCt = Control Ct – Target Ct) values. PDS, a single copy gene in the maize genome, was used to normalize values for copy number. All samples were run in triplicate and standard deviation was calculated. Relative quantification of gene copy number (2ΔCt) was used to plot against total carotenoid content of each sample using available data on carotenoids from different maize inbred lines [33]
Statistical analyses
Pearson correlation analysis of transcript and carotenoid composition of different maize inbred lines in a core subset of a maize germplasm collection [29] and linear regression plot for gene copy number vs. total carotenoid content was performed using JMP v. 5.1.2 (SAS Institute, Cary, NC) to test the statistical significance (p ≤ 0.05) of the relationship.
3. RESULTS AND DISCUSSION
Carotenoid dioxygenase gene family in the Grasses
Using available sequence data, genes encoding carotenoid dioxygenases were identified from the grass species maize, rice and sorghum, and from an alga (Chlamydomonas reinhardtii) and two nonseed plants (Selaginella moellendorffii, a lycophyte and Physcomitrella patens, a bryophyte) (Tables 1 and 2; Figure 2). Genes were characterized and named according to homology with genes from Arabidopsis [23]. For the three species spanning two subfamilies of the Poaceae, carotenoid dioxygenases were found to be encoded by a large gene family. This family was divided into seven groups encompassing 2 clades having homology to genes encoding 9-cis-epoxy carotenoid cleavage dioxygenases (NCEDs) and 5 clades having homology to carotenoid cleavage dioxygneases (CCDs).
Table 2. Other carotenoid cleavage dioxygenase genes identified in this study.
Vv, Vitis vinifera; Sm, Selaginella moellendorfii; Ppa, Physcomitrella patens; Cre, Chlamydomonas reinhardtii. Note that Physcomitrella and Chlamydomonas contain only one CCD8 gene of the CCD8a type (see Figure 3).
| Species | # genes |
Gene | Accession numbers |
|---|---|---|---|
| Vitis vinifera |
9 |
VvNCED2 | GSVIVT00028310001 |
| VvNCED3 | GSVIVT00000988001 | ||
| ViNCED6 | GSVIVT00020467001 | ||
| VvCCD1 | GSVIVT00028793001 | ||
| VvCCD4a | GSVIVT00001163001 | ||
| VvCCD4b | GSVIVT00013949001 | ||
| VvCCD7 | GSVIVT0001914600 | ||
| VvCCD8a | GSVIVT0003242300 | ||
| VvCCD8b | GSVIVT00032436001 | ||
| Selaginella moellendorfii | 15 | SmNCEDa | JGI11287, JGI11289, JGI11292, JGI11304, , JGI79628, JGI80651, JGI91815, JGI94523 |
| SmNCEDb | JGI233638 | ||
| SmNCEDc | JGI75383 | ||
| SmCCD1 | JGI165469, JGI272067 | ||
| SmCCD7 | JGI11120 | ||
| SmCCD8a | JGI173016 | ||
| SmCCD8b | JGI132803 | ||
| Physcomitrella patens |
6 |
PpaNCED | JGI57876 |
| PpaCCD1 | JGI159406, JGI158869, JGI108830 |
||
| PpaCCD7 | JGI115720 | ||
| PpaCCD8 | JGI115616 | ||
|
Chlamydomonas reinhardtii |
2 | CreCCD7 | JGI144745 |
| CreCCD8 | JGI141185 |
Figure 2. Phylogenetic analysis of carotenoid cleavage dioxygenases in the Grasses.
Un-rooted neighbour-joining tree was constructed using protein sequences shown at left. Corresponding gene structures are shown to right of each protein. Zea mays (Zm); Oryza sativa (Os); Sorghum bicolor (Sb). Exons for maize, sorghum and rice are indicated by boxes colored dark, grey, and white, respectively; thick horizontal lines are introns. ZmNCED2 and SbNCED2 are partial as indicated by dotted boxes. Exon structures starts with ATG, and vertical thin lines indicate poly-A signals.
Table 1 summarizes the structural properties of the genes and encoded proteins from maize, sorghum and rice. The alignment of the predicted proteins from maize is shown in Figure S1. The amino acid sequences of carotenoid dioxygenases reveal the presence of four conserved histidines that coordinate iron atoms and are required for catalytic activity [8, 40, 41]. All maize cleavage dioxygenases are predicted to be plastid-localized except for CCD1, as previously reported [42]. Chromosome location was determined (Table 1) and no apparent linkage was seen among the gene family members of maize.
As shown in Figure 2, the NCED genes and the CCD4-related genes of grasses lack introns, while all other CCD genes contained multiple introns. There are reports of CCD4 genes from a few plant species containing one or two introns, these include Chrysanthemum morifolium, [43], Malus domestica and Osmanthus fragrans [11], while others from A. thaliana and Rosa damascena are intronless [11].
Figure 3 shows analysis of the grass enzymes in a broader phylogenetic context including eudicots and lower plants. In the NCED clade, the phylogenetic tree shows that gene duplications arose after the monocot-eudicot evolutionary split. Based on this evidence, expression profiles in eudicots would not be predictive of NCED transcript profiles in the grasses, thus warranting further analysis in the grasses. The NCED genes identified using the recently published Selaginella moellendorffii genome (labeled as Sm) showed sequence placement basal to all other NCEDs in the tree.
Figure 3. Phylogenetic analysis of carotenoid cleavage dioxygenases from diverse taxa.
Neighbour-joining tree was constructed using protein sequences. Zea mays, Oryza sativa, Sorghum bicolor (see Table 1 for accession numbers), Arabidopsis thaliana (AtNCED2, At4g18350; AtNCED3, At3g14440; AtNCED5, At1g30100; AtNCED6, At3g24220; AtNCED9, At1g78390; AtCCD1, At3g63520; AtCCD4, At4g19170; AtCCD7, At2g44990; AtCCD8, At4g32810), Bixa orellana (BoLCD, AJ489277); Crocus sativus (CsZCD, CAD33262, CsCCD, AJ132927; CsCCD4a, EU523662; CsCCD4b, EU523663); Sphingomonas paucimobilis (PpLSD1, S80637; PpLSD2, S65040; PpLSD3, AB073227); Homo sapiens (HsRPE65, AF039855); Pisum sativum (RMS1, AY557341); Petunia hybrida (PhCCD8, AY743219). Refer to Table 2 for genes from: Chlamydomonas reinhardtii Selaginella moellendorfii, Physcomitrella patens and Vitis vinifera. Numbers 1 and 2 indicate two distinct clusters of CCD8. Amino acid distances were corrected by Poisson correction. Numbers indicate bootstrap support for individual nodes. Bootstrap support higher than 40% is indicated at respective nodes (n = 500). Grass species enzymes are shown in black; except for Pp genes, others are grey. Black triangles represent additional gene copies shown in a compressed fashion (detailed in Table 2). The evolution of representative green plants is shown at the top left hand corner.
Maize and rice CCD1 enzymes cleave a wide range of carotenoid substrates without any common mechanism of cleavage regioselectivity [9, 10, 13]. Here we identified CCD1 gene homologs in the grasses along with previously unknown sequences in Selaginella (Sm) and Physcomitrella patens (Ppa). CCD4 homologs were only found in the flowering plants and not in Selaginella moellendorffii, Physcomitrella patens, or Chlamydomonas reinhardtii. Preferential expression of CCD4 in floral organs of Chrysanthemum and Crocus [12, 43] suggests that evolution of CCD4 genes may have facilitated adaptation for specific physiological capacities unique to flowering plants. A new class of CCD genes, discovered in the phylogenetic analysis (Figure 3) was the group containing maize CCD8b. The aligned protein sequences for CCD8-related sequences are shown in Figure S2 (CCD8a) and Figure S3 (CCD8b). CCD8b is phylogenetically closer to CCD1 and has a unique exon-intron structure distinguishable from the CCD8a genes (Figure 2). CCD8b homologs were not found in Arabidopsis. The CCD8b group is not unique to the Grasses since homologs were found for a eudicot, Vitis vinifera (Vv), and the nonflowering plants and alga. Homologs of the sister group, CCD8a, have been described in Arabidopsis and other species. Mutants in the CCD8a homolog of Arabidopsis and pea (e.g. MAX4, RMS1) are known to interfere with plant development [44]. CCD8a cleaves the apocarotenoid C27 10’-apo-β-carotenal generating C18 13’-apo-β-carotenal [14] in formation of strigolactones, the branching inhibition hormones [19, 20]. The human CCD enzyme (HsRPE65), phylogenetic sister of both CCD8a and CCD8b enzymes, cleaves β-carotene at the 15, 15’ double bond to form vitamin A [45]. The CCD8b enzymes form a separate group from CCD8a suggesting that CCD8b enzymes could potentially serve a novel role unrelated to strigolactone biosynthesis. Alternatively, CCD8b genes may be duplicative in terms of enzyme activity but have alternative expression profiles or cell-type specificities. The specific enzymatic role of the CCD8b group remains elusive.
The CCD8a substrate for biosynthesis of strigolactones is produced by CCD7, represented by the remaining CCD clade in the phylogenetic tree. CCD7 homologs were identified in maize (Zm), rice (Os), and sorghum (Sb), along with Selaginella moellendorffii (Sm), Physcomitrella patens (Ppa) and Chlamydomonas reinhardtii (Cre). To date, all CCD7 genes identified are single copy. The significance of the single gene copy of the CCD7 clade in comparison to the CCD8 clade is unknown. Homologs for CCD7 and CCD8 were also found in Chlamydomonas reinhardtii (Cre); interestingly this algal species lacked homologs for all other CCD and NCED genes. The CCD7 clade remained most closely related to lipoxygenase dioxygenases that are encoded by the soil bacterium Sphingomonas paucimobilis [46].
Tissue specific distribution of dioxygenase gene transcripts
Tissue specificity was examined in the B73 maize inbred line, where transcript levels for the various NCED and CCD genes were assessed in a range of tissues including leaves, roots, endosperm and embryo, the latter two staged at 20 days after pollination (DAP) as well as 25 DAP for endosperm (Figures 4 and 5). This particular inbred line was chosen since it was the source of the first maize genome sequence and has been used extensively for analysis of genes that influence carotenoid content of maize [29, 31, 32, 36].
Figure 4. Maize B73 inbred line transcript profiles of genes encoding (A) carotenoid cleavage dioxygenases (CCD) (B) 9-cis-epoxy carotenoid dioxygenases (NCED).
Mean of three replicates +/− standard deviation. Embryo collected at 20 DAP and endosperm collected at 20 and 25 DAP from field grown plants; leaf and root samples collected from seedlings at the six-leaf stage.
Figure 5. Transcript profiles of genes showing detectable levels of expression in a core subset of maize inbread lines.
Transcript levels were measured at both 20 and 25 DAP during endosperm development. Mean of three replicates +/− standard deviation.
NCED transcripts
In leaf tissue, where carotenoids are abundant, NCED cleavage of 9-cis-epoxycarotenoids represents the rate-limiting step in biosynthesis of ABA [3]. While NCED1 transcript accumulation is induced in roots of abiotic-stressed maize plants, ABA formation in roots is limited by biosynthesis of carotenoid precursors [32]. To assess the potential contribution of NCED gene transcripts for carotenoid degradation in different tissues under non-stressed conditions, transcript levels were quantitatively measured for the various tissues (Figure 4). In most tissues including leaves, NCED1 transcripts represented the most prevalent NCED transcript. NCED3a and NCED9 transcripts were also present in leaves, while roots contained equivalent levels of NCED1 and NCED3a with 60% relative levels of NCED9 transcripts. Embryos contained mostly NCED1 and ~ 25% relative levels of NCED9 transcripts. In endosperm, transcripts of NCED1 followed by NCED9 represented the most prevalent NCED classes. However, as the endosperm approached dormancy from 20 to 25 DAP, relative levels switched between the two genes as NCED9 transcripts increase two to three fold.
CCD transcripts
CCD enzymes vary in choice of substrate and in potential apocarotenoid product [reviewed in 6, 47]. Differential expression of CCD genes combined with tissue-specific carotenoid profiles will yield a suite of apocarotenoid products depending on combinations of genes expressed. Leaves showed the highest expression of CCD transcripts, with CCD1 and CCD4a representing the most abundant transcript classes, respectively (Fig. 4); lower amounts of CCD4b and barely detectable levels of CCD7 transcripts were also detected in leaves. Leaves did not contain any detectable levels of CCD8a or CCD8b transcripts. In contrast to the high levels seen in leaves, the endosperm of the maize B73 inbred line had CCD1 mRNA levels that were three orders of magnitude lower. Under normal growth conditions, the prevalent CCD classes found in roots, in order of abundance, were CCD1, CCD8b, and CCD7. However, these levels were significantly lower than those found in leaf tissue. For example, CCD1 was about 30-fold lower in roots as compared to leaves. CCD1 expression in roots has been associated with formation of mycorradicin, a root apocarotenoid produced after mycorrhizal fungal colonization [48, 49]. Roots proved to be the tissue where the highest levels of CCD7, CCD8a and CCD8b were detected. The expression of CCD7 in roots was consistent with expression of orthologs in Arabidopsis, pea and petunia [17, 42, 44, 50]. Maize roots preferentially accumulated CCD8b over transcripts of CCD8a. Among the tissues sampled, CCD transcripts were least prevalent in 20 DAP embryo.
Other maize inbred lines
While the dioxygenase gene family members showed specific patterns of expression in B73, there may be variation among genetically diverse maize cultivars. Therefore, transcript levels were assessed for the NCED and CCD family members in a 10-line core set of genetically diverse maize inbred lines. These particular lines have been used for identifying control points in the carotenoid biosynthetic pathway We previously showed that transcript levels of genes encoding several key steps in carotenoid biosynthesis correlated with carotenoid content and/or altered composition in maize endosperm [28, 29, 31, 33]. Expression in endosperm was given specific focus here since it was unknown whether there might also be variation in transcript levels of carotenoid cleavage genes that could counteract efforts to maximize levels of nutritionally targeted carotenoids in endosperm. Of all the cleavage genes analyzed, CCD1 was the only gene family member showing unusually elevated transcripts in one maize line, NC300 (Fig 5 and 6A). The peak of CCD1 transcript levels in NC300 was at 20 days after pollination (DAP), the stage found to be a critical time point of gene expression related to endosperm carotenoid accumulation [29, 31]. In the other nine maize lines, CCD1 mRNA level ranged from ~ 100–300 fold lower. Some genes lacked detectable transcripts in endosperm of the ten lines and were therefore not shown. For the five other cleavage genes shown, there was variation in expression, but not of such magnitude.
Figure 6. Gene copy number of ZmCCD1 relative to ZmPDS.
Mean of three replicates+/− standard deviation. Line indicates linear fit line. Inbred lines are: 1, A619; 2, B73; 3, B37; 4, CI.7; 5, C131A; 6, DE3; 7, KUI2007; 8, NC300; 9, SD44; 10, TZI18.
Maize CCD1 is located on Chromosome 9.07 (see chromosome locations, Table 1), and is linked to the white cap1 (wc1) locus for which dominant alleles exhibit reduced endosperm carotenoids (Maize Genetics and Genomics Database: http://www.maizegdb.org/). The Maize Genetics and Genomics Database provides unpublished data indicating that the wc1 locus encoding CCD1 is associated with variation in gene copy number at the locus (www.maizegdb.org). Therefore, correlation between gene copy number and carotenoid content of the 10 lines was tested. Quantitative real-time PCR was conducted using genomic DNA from each line, to establish copy number at the CCD1 locus by normalizing with PDS (phytoene desaturase), a single copy gene (as described in Materials and Methods). As shown in Figure 6B, linear regression analysis revealed a statistically significant correlation (R2= 0.54 and p= 0.01) between copy number of CCD1 and carotenoid content. Of note was line NC300 with ~7–8 copies of the CCD1 gene which could explain the unusually high CCD1 transcript level in that line compared to the other 9 lines tested.CCD1 of maize has been shown to cleave multiple carotenoid substrates at varying positions [9, 10]. Together these results suggest that CCD1 expression may limit maize seed carotenoid content regardless of which carotenoid is preferentially accumulated, thereby posing a challenge for metabolic engineering efforts.
Conclusion
The carotenoid cleavage dioxygenase gene family was defined for three grass species in the context of phylogenetic analysis for a wide evolutionary range of plants. Gene loci and transcript profiling for maize, together with identification of homologs in nonflowering plants, provide a foundation needed for basic research and future crop improvement. Apocarotenoids contribute to valuable agronomic traits such as tillering and abiotic and biotic stress responses. However, apocarotenoid formation occurs at the expense of carotenoid accumulation. The finding that CCD1 copy number is associated with reduced endosperm carotenoids has important implications for metabolic engineering of endosperm. Since maize CCD1 is known to cleave multiple carotenoid substrates, efforts to enhance provitamin A or nonprovitamin A carotenoids could be negatively affected by presence of a high copy CCD1 allele. The PCR assay described here is a valuable new tool for identifying optimal breeding lines that are more likely to exhibit carotenoid stability in endosperm because CCD1 gene copy number will be predicted to be low. This new tool is an important component adding to other recently described tools and/or control points [28, 29, 31, 33] in a growing toolbox needed to achieve high provitamin A carotenoid endosperm in maize for combating global vitamin A deficiency.
Supplementary Material
ACKNOWLEDGEMENTS
We thank Dr. Dwight Kincaid (Lehman College) for advice on the statistical analysis. This research was supported by grants (to ETW) from NIH (S06-GM08225, 1SC1GM081160-01, and 5SC1GM081160-02).
Footnotes
Publisher's Disclaimer: This is a PDF file of an unedited manuscript that has been accepted for publication. As a service to our customers we are providing this early version of the manuscript. The manuscript will undergo copyediting, typesetting, and review of the resulting proof before it is published in its final citable form. Please note that during the production process errors may be discovered which could affect the content, and all legal disclaimers that apply to the journal pertain.
REFERENCES
- 1.Klee HJ. Improving the flavor of fresh fruits: genomics, biochemistry, and biotechnology. New Phytologist. 2010;187:44–56. doi: 10.1111/j.1469-8137.2010.03281.x. [DOI] [PubMed] [Google Scholar]
- 2.Walter MH, Floss DS, Strack D. Apocarotenoids: hormones, mycorrhizal metabolites and aroma volatiles. Planta. 2010;232:1–17. doi: 10.1007/s00425-010-1156-3. [DOI] [PubMed] [Google Scholar]
- 3.Nambara E, Marion-Poll A. Abscisic acid biosynthesis and catabolism. Annu Rev Plant Biol. 2005;56:165–185. doi: 10.1146/annurev.arplant.56.032604.144046. [DOI] [PubMed] [Google Scholar]
- 4.Akiyama K, Hayashi H. Plastid-derived stringolactones show the way to roots for symbionts and parasites. New Phytologist. 2008;178:695–698. doi: 10.1111/j.1469-8137.2008.02463.x. [DOI] [PubMed] [Google Scholar]
- 5.Bouvier F, Isner J-C, Dogbo O, Camara B. Oxidative tailoring of carotenoids: a prospect towards novel functions in plants. Trends in Plant Science. 2005;10:187–194. doi: 10.1016/j.tplants.2005.02.007. [DOI] [PubMed] [Google Scholar]
- 6.Ohmiya A. Carotenoid cleavage dioxygenases and their apocarotenoid products in plants. Plant Biotechnology (Japan) 2009;26:351–358. [Google Scholar]
- 7.Tan BC, Schwartz SH, Zeevaart JA, McCarty DR. Genetic control of abscisic acid biosynthesis in maize. Proc Natl Acad Sci USA. 1997;94:12235–12240. doi: 10.1073/pnas.94.22.12235. [DOI] [PMC free article] [PubMed] [Google Scholar]
- 8.Schwartz SH, Tan BC, Gage DA, Zeevaart JA, McCarty DR. Specific oxidative cleavage of carotenoids by VP14 of maize. Science. 1997;276:1872–1874. doi: 10.1126/science.276.5320.1872. [DOI] [PubMed] [Google Scholar]
- 9.Sun Z, Hans J, Walter M, Matusova R, Beekwilder J, Verstappen F, Ming Z, van Echtelt E, Strack D, Bisseling T, Bouwmeester H. Cloning and characterisation of a maize carotenoid cleavage dioxygenase (ZmCCD1) and its involvement in the biosynthesis of apocarotenoids with various roles in mutualistic and parasitic interactions. Planta. 2008;228:789–801. doi: 10.1007/s00425-008-0781-6. [DOI] [PubMed] [Google Scholar]
- 10.Vogel JT, Tan B-C, McCarty DR, Klee HJ. The carotenoid cleavage dioxygenase 1 enzyme has broad substrate specificity, cleaving multiple carotenoids at two different bond positions. J. Biol. Chem. 2008;283:11364–11373. doi: 10.1074/jbc.M710106200. [DOI] [PubMed] [Google Scholar]
- 11.Huang FC, Molnar P, Schwab W. Cloning and functional characterization of carotenoid cleavage dioxygenase 4 genes. J Exp Bot. 2009;60:3011–3022. doi: 10.1093/jxb/erp137. [DOI] [PMC free article] [PubMed] [Google Scholar]
- 12.Rubio A, Rambla JL, Santaella M, Gomez MD, Orzaez D, Granell A, Gomez-Gomez L. Cytosolic and plastoglobule-targeted carotenoid dioxygenases from Crocus sativus are both involved in β-ionone release. J. Biol. Chem. 2008;283:24816–24825. doi: 10.1074/jbc.M804000200. [DOI] [PMC free article] [PubMed] [Google Scholar]
- 13.Ilg A, Beyer P, Al-Babili S. Characterization of the rice carotenoid cleavage dioxygenase 1 reveals a novel route for geranial biosynthesis. Febs J. 2009;276:736–747. doi: 10.1111/j.1742-4658.2008.06820.x. [DOI] [PubMed] [Google Scholar]
- 14.Schwartz SH, Qin X, Loewen MC. The biochemical characterization of two carotenoid cleavage enzymes from Arabidopsis indicates that a carotenoid-derived compound Inhibits lateral branching. J Biol Chem. 2004;279:46940–46945. doi: 10.1074/jbc.M409004200. [DOI] [PubMed] [Google Scholar]
- 15.Simkin AJ, Schwartz SH, Auldridge M, Taylor MG, Klee HJ. The tomato carotenoid cleavage dioxygenase 1 genes contribute to the formation of the flavor volatiles -ionone, pseudoionone, and geranylacetone. The Plant Journal. 2004;40:882–892. doi: 10.1111/j.1365-313X.2004.02263.x. [DOI] [PubMed] [Google Scholar]
- 16.Simkin AJ, Underwood BA, Auldridge M, Loucas HM, Shibuya K, Schmelz E, Clark DG, Klee HJ. Circadian regulation of the PhCCD1 carotenoid cleavage dioxygenase controls emission of β-Ionone, a fragrance volatile of petunia flowers. Plant Physiol. 2004;136:3504–3514. doi: 10.1104/pp.104.049718. [DOI] [PMC free article] [PubMed] [Google Scholar]
- 17.Booker J, Auldridge M, Wills S, McCarty D, Klee H, Leyser O. MAX3/CCD7 is a carotenoid cleavage dioxygenase required for the synthesis of a novel plant signaling molecule. Curr Biol. 2004;14:1232–1238. doi: 10.1016/j.cub.2004.06.061. [DOI] [PubMed] [Google Scholar]
- 18.Sorefan K, Booker J, Haurogne K, Goussot M, Bainbridge K, Foo E, Chatfield S, Ward S, Beveridge C, Rameau C, Leyser O. MAX4 and RMS1 are orthologous dioxygenase-like genes that regulate shoot branching in Arabidopsis and pea. Genes Dev. 2003;17:1469–1474. doi: 10.1101/gad.256603. [DOI] [PMC free article] [PubMed] [Google Scholar]
- 19.Gomez-Roldan V, Fermas S, Brewer PB, Puech-Pages V, Dun EA, Pillot JP, Letisse F, Matusova R, Danoun S, Portais JC, Bouwmeester H, Becard G, Beveridge CA, Rameau C, Rochange SF. Strigolactone inhibition of shoot branching. Nature. 2008;455:189–194. doi: 10.1038/nature07271. [DOI] [PubMed] [Google Scholar]
- 20.Umehara M, Hanada A, Yoshida S, Akiyama K, Arite T, Takeda-Kamiya N, Magome H, Kamiya Y, Shirasu K, Yoneyama K, Kyozuka J, Yamaguchi S. Inhibition of shoot branching by new terpenoid plant hormones. Nature. 2008;455:195–200. doi: 10.1038/nature07272. [DOI] [PubMed] [Google Scholar]
- 21.Purugganan MD, Fuller DQ. The nature of selection during plant domestication. Nature. 2009;457:843–848. doi: 10.1038/nature07895. [DOI] [PubMed] [Google Scholar]
- 22.Giuliano G, Al-Babili S, von Lintig J. Carotenoid oxygenases: cleave it or leave it. Trends in Plant Science. 2003;8:145–149. doi: 10.1016/S1360-1385(03)00053-0. [DOI] [PubMed] [Google Scholar]
- 23.Tan BC, Joseph LM, Deng WT, Liu L, Li QB, Cline K, McCarty DR. Molecular characterization of the Arabidopsis 9-cis epoxycarotenoid dioxygenase gene family. Plant J. 2003;35:44–56. doi: 10.1046/j.1365-313x.2003.01786.x. [DOI] [PubMed] [Google Scholar]
- 24.Iuchi S, Kobayashi M, Taji T, Naramoto M, Seki M, Kato T, Tabata S, Kakubari Y, Yamaguchi-Shinozaki K, Shinozaki K. Regulation of drought tolerance by gene manipulation of 9-cis-epoxycarotenoid dioxygenase, a key enzyme in abscisic acid biosynthesis in Arabidopsis. Plant J. 2001;27:325–333. doi: 10.1046/j.1365-313x.2001.01096.x. [DOI] [PubMed] [Google Scholar]
- 25.Lefebvre V, North H, Frey A, Sotta B, Seo M, Okamoto M, Nambara E, Marion-Poll A. Functional analysis of Arabidopsis NCED6 and NCED9 genes indicates that ABA synthesized in the endosperm is involved in the induction of seed dormancy. Plant J. 2006;45:309–319. doi: 10.1111/j.1365-313X.2005.02622.x. [DOI] [PubMed] [Google Scholar]
- 26.Giuliano G, Tavazza R, Diretto G, Beyer P, Taylor MA. Metabolic engineering of carotenoid biosynthesis in plants. Trends in Biotech. 2008;26:139–145. doi: 10.1016/j.tibtech.2007.12.003. [DOI] [PubMed] [Google Scholar]
- 27.Matthews PD, Wurtzel ET. Biotechnology of food colorant production. In: Socaciu C, editor. Food Colorants: Chemical and Functional Properties. Boca Raton: CRC Press; 2007. pp. 347–398. [Google Scholar]
- 28.Vallabhaneni R, Gallagher CE, Licciardello N, Cuttriss AJ, Quinlan RF, Wurtzel ET. Metabolite sorting of a germplasm collection reveals the Hydroxylase3 locus as a new target for maize provitamin A biofortification. Plant Physiol. 2009;151:1635–1645. doi: 10.1104/pp.109.145177. [DOI] [PMC free article] [PubMed] [Google Scholar]
- 29.Vallabhaneni R, Wurtzel ET. Timing and biosynthetic potential for carotenoid accumulation in genetically diverse germplasm of maize. Plant Physiol. 2009;150:562–572. doi: 10.1104/pp.109.137042. [DOI] [PMC free article] [PubMed] [Google Scholar]
- 30.Li F, Tzfadia O, Wurtzel ET. The Phytoene Synthase gene family in the grasses: Subfunctionalization provides tissue-specific control of carotenogenesis. Plant Signaling & Behavior. 2009;4:208–211. doi: 10.4161/psb.4.3.7798. [DOI] [PMC free article] [PubMed] [Google Scholar]
- 31.Li F, Vallabhaneni R, Yu J, Rocheford T, Wurtzel ET. The maize phytoene synthase gene family: overlapping roles for carotenogenesis in endosperm, photomorphogenesis, and thermal stress-tolerance. Plant Physiol. 2008a;147:1334–1346. doi: 10.1104/pp.108.122119. [DOI] [PMC free article] [PubMed] [Google Scholar]
- 32.Li F, Vallabhaneni R, Wurtzel ET. PSY3, a new member of the phytoene synthase gene family conserved in the Poaceae and regulator of abiotic-stress-induced root carotenogenesis. Plant Physiol. 2008b;146:1333–1345. doi: 10.1104/pp.107.111120. [DOI] [PMC free article] [PubMed] [Google Scholar]
- 33.Harjes CE, Rocheford TR, Bai L, Brutnell TP, Kandianis CB, Sowinski SG, Stapleton AE, Vallabhaneni R, Williams M, Wurtzel ET, Yan J, Buckler ES. Natural genetic variation in lycopene epsilon cyclase tapped for maize biofortification. Science. 2008;319:330–333. doi: 10.1126/science.1150255. [DOI] [PMC free article] [PubMed] [Google Scholar]
- 34.Li F, Murillo C, Wurtzel ET. Maize Y9 encodes a product essential for 15-cis zetacarotene isomerization. Plant Physiol. 2007;144:1181–1189. doi: 10.1104/pp.107.098996. [DOI] [PMC free article] [PubMed] [Google Scholar]
- 35.Wurtzel ET. Genomics, genetics, and biochemistry of maize carotenoid biosynthesis. In: Romeo J, editor. Recent Advances in Phytochemistry. Elsevier Ltd.; 2004. pp. 85–110. [Google Scholar]
- 36.Gallagher CE, Matthews PD, Li F, Wurtzel ET. Gene duplication in the carotenoid biosynthetic pathway preceded evolution of the grasses (Poaceae) Plant Physiol. 2004;135:1776–1783. doi: 10.1104/pp.104.039818. [DOI] [PMC free article] [PubMed] [Google Scholar]
- 37.Pampanwar V, Engler F, Hatfield J, Blundy S, Gupta G, Soderlund C. FPC web tools for rice, maize, and distribution. Plant Physiol. 2005;138:116–126. doi: 10.1104/pp.104.056291. [DOI] [PMC free article] [PubMed] [Google Scholar]
- 38.Emanuelsson O, Nielsen H, von Heijne G. ChloroP, a neural network-based method for predicting chloroplast transit peptides and their cleavage sites. Protein Sci. 1999;8:978–984. doi: 10.1110/ps.8.5.978. [DOI] [PMC free article] [PubMed] [Google Scholar]
- 39.Kumar S, Tamura K, Jakobsen IB, Nei M. MEGA2: molecular evolutionary genetics analysis software. Bioinformatics. 2001:1244–1245. doi: 10.1093/bioinformatics/17.12.1244. [DOI] [PubMed] [Google Scholar]
- 40.Marasco EK, Vay K, Schmidt-Dannert C. Identification of Carotenoid Cleavage Dioxygenases from Nostoc sp. PCC 7120 with different Cleavage Activities. Journal of Biological Chemistry. 2006;281:31583–31593. doi: 10.1074/jbc.M606299200. [DOI] [PubMed] [Google Scholar]
- 41.Kiefer C, Hessel S, Lampert JM, Vogt K, Lederer MO, Breithaupt DE, von Lintig J. Identification and characterization of a mammalian enzyme catalyzing the asymmetric oxidative cleavage of provitamin A. J Biol Chem. 2001;276:14110–14116. doi: 10.1074/jbc.M011510200. [DOI] [PubMed] [Google Scholar]
- 42.Auldridge ME, Block A, Vogel JT, Dabney-Smith C, Mila I, Bouzayen M, Magallanes-Lundback M, DellaPenna D, McCarty DR, Klee HJ. Characterization of three members of the Arabidopsis carotenoid cleavage dioxygenase family demonstrates the divergent roles of this multifunctional enzyme family. The Plant Journal. 2006;45:982–993. doi: 10.1111/j.1365-313X.2006.02666.x. [DOI] [PubMed] [Google Scholar]
- 43.Ohmiya A, Kishimoto S, Aida R, Yoshioka S, Sumitomo K. Carotenoid cleavage dioxygenase (CmCCD4a) contributes to white color formation in Chrysanthemum petals. Plant Physiol. 2006;142:1193–1201. doi: 10.1104/pp.106.087130. [DOI] [PMC free article] [PubMed] [Google Scholar]
- 44.Sorefan K, Booker J, Haurogne K, Goussot M, Bainbridge K. MAX4 and RMS1 are orthologous dioxygenase-like genes that regulate shoot branching in Arabidopsis and pea. Genes Dev. 2003;17:1469–1474. doi: 10.1101/gad.256603. [DOI] [PMC free article] [PubMed] [Google Scholar]
- 45.Redmond T, Yu S, Lee E, Bok D, Hamasaki D, Chen N, Goletz P, Ma J, Crouch R, Pfeifer K. Rpe65 is necessary for production of 11-cis-vitamin A in the retinal visual cycle. Nature Genetics. 1998;20:344–351. doi: 10.1038/3813. [DOI] [PubMed] [Google Scholar]
- 46.Redmond TM, Gentleman S, Duncan T, Yu S, Wiggert B, Gantt E, Cunningham FX. Identification, expression, and substrate specificity of a mammalian β-carotene 15,15'-dioxygenase. The Journal of Biological Chemistry. 2001;276:6560–6565. doi: 10.1074/jbc.M009030200. [DOI] [PubMed] [Google Scholar]
- 47.Auldridge ME, McCarty DR, Klee HJ. Plant carotenoid cleavage oxygenases and their apocarotenoid products. Current Opinion in Plant Biology. 2006;9:315–321. doi: 10.1016/j.pbi.2006.03.005. [DOI] [PubMed] [Google Scholar]
- 48.Floss DS, Schliemann W, Schmidt J, Strack D, Walter MH. RNA Interference-Mediated Repression of MtCCD1 in Mycorrhizal Roots of Medicago truncatula Causes Accumulation of C27 Apocarotenoids, Shedding Light on the Functional Role of CCD1. Plant Physiology. 2008;148:1267–1282. doi: 10.1104/pp.108.125062. [DOI] [PMC free article] [PubMed] [Google Scholar]
- 49.Sun Z, Hans J, Walter M, Matusova R, Beekwilder J, Verstappen F, Ming Z, van Echtelt E, Strack D, Bisseling T, Bouwmeester H. Cloning and characterisation of a maize carotenoid cleavage dioxygenase (ZmCCD1) and its involvement in the biosynthesis of apocarotenoids with various roles in mutualistic and parasitic interactions. Planta. 2008;228:789–801. doi: 10.1007/s00425-008-0781-6. [DOI] [PubMed] [Google Scholar]
- 50.Snowden KC, Simkin AJ, Janssen BJ, Templeton KR, Loucas HM. The Decreased apical dominance 1/Petunia hybrida CLEAVAGE DIOXYGENASE8 gene affects branch production and plays a role in leaf senescence, root growth, and flower development. Plant Cell. 2005;17:746–759. doi: 10.1105/tpc.104.027714. [DOI] [PMC free article] [PubMed] [Google Scholar]
- 51.Bouvier F, Suire C, Mutterer J, Camara B. Oxidative remodeling of chromoplast carotenoids: Identification of the carotenoid dioxygenase CsCCD and CsZCD genes involved in Crocus secondary metabolite biogenesis. Plant Cell. 2003;15:47–62. doi: 10.1105/tpc.006536. [DOI] [PMC free article] [PubMed] [Google Scholar]
- 52.Walter MH, Fester T, Strack D. Arbuscular mycorrhizal fungi induce the non-mevalonate methylerythritol phosphate pathway of isoprenoid biosynthesis correlated with accumulation of the 'yellow pigment' and other apocarotenoids. Plant J. 2000;21:571–578. doi: 10.1046/j.1365-313x.2000.00708.x. [DOI] [PubMed] [Google Scholar]
Associated Data
This section collects any data citations, data availability statements, or supplementary materials included in this article.






