Abstract
The lithio-anion of isoxazole 2 was found to ring open propylene oxide in good yields with complete regioselectivity. Vinylic and benzylic epoxides were utilized as key examples of electrophiles and found to produce a mixture of regioisomeric adducts. Additionally, the use of chiral epoxides was explored, and absolute configuration was determined by X-ray crystallography to prove that nucleophilic attack at the benzylic carbon of (R)-styrene oxide proceeds with 100% inversion at the benzylic carbon to afford the (S)-alcohol (4b).
Epoxides have found vast utility in the synthesis of natural products and novel molecules with potential therapeutic value.1 With a myriad of methods available for facile synthesis of chiral epoxides, the chemistry of epoxide ring opening is of ever expanding importance.2 A recent noteworthy application is the use of intramolecular epoxide ring opening using a functionalized isoxazole in Myers’s practical and versatile tetracycline synthesis.3 Reports4 exist which demonstrate the reaction of resonance-stabilized anions with epoxides, exemplified by the poor ability of lithium enolates of ketones and esters to efficiently react with epoxides,5 and a few reports have illustrated achiral or racemic epoxide opening with simple isoxazolyl anions.6–10 Herein we report the usefulness of a branched and highly functionalized resonance stabilized lithio alkyl isoxazole carbanion, which – in fact –reacts stereoselectively with chiral epoxides (Scheme 1).
Scheme 1.
Isoxazolyl DHPs function as robust L-type Ca2+ channels ligands.
In our studies of isoxazolyl-1,4-dihydropyridines (DHPs, 1) of (Figure 1, Scheme 1), we have found that bioisoteric replacement of a 4-aryl by substituted isoxazole results in robust antagonists of the L-type Ca2+ channel.11 The synthetic route utilizes a lateral metalation technique12,13 coupled with the venerable Hantzsch dihydropyridine synthesis.14 Lateral metalation is a versatile method for introducing a wide variety of substituents at the C-5 position of the isoxazole. Deprotection and Hantzsch synthesis offers a reliable method for conversion of the C-4 oxazoline to a DHP (Figure 1).15
Figure 1.

Hypothetical DHP docked into our homology model of the L-type Ca2+ channel.15 Preparation of this ligand requires stereoselective access to isoxazole 4.
Furthermore, the DHP can be considered a privileged template,16,17 and renewed interest has been piqued by the recent observation that DHPs appear to inhibit the p-glycoprotein transporter.18,19
In order to adequately delve into an examination of the reaction pathway presented, three key classes of epoxides were examined—aliphatic, vinylic, and benzylic—to determine what role, if any, the substitution on the epoxide would play. Lateral metalation of isoxazole 2 followed by treatment with propylene oxide gave exclusively terminal attack to afford the 2° alcohol 3a in 66% yield. This reaction proceeded much more efficiently than anticipated, in light of the reported low degree of reactivity of resonance stabilized anions toward epoxides.5 We were able to then show that lateral metalation followed by electrophilic quenching with two other key classes of epoxides resulted in the formation of compounds 3b-c and 4b-c in fair to good yields. Note that the vinylic and benzylic epoxides resulted in a mixture of regioisomers corresponding to attack at the most and the least substituted carbons of the epoxide. This trend has been well noted in other systems, and is apparently due to competing steric and electronic influences.20 The more electrophilic (i.e. benzylic) carbon is less sterically accessible to the anion than is the less electrophilic (terminal) carbon of the epoxide. For styrene oxide, 86% combined yield was obtained with a ratio of 70:30 for 3b:4b. The vinylic epoxide butadiene monoxide gave a ratio for 3c:4c of 41:59, with a 47% combined yield (no SN2′ product was observed). This result clearly illustrates the competing effects of steric hindrance and resonance stabilization at the secondary carbon, showing that an aromatic moiety at the α-position results in greater stabilization of a developing positive charge than does an α-vinyl moiety.
The oxazoline nitrogen is by far the most basic atom in the isoxazole-oxazoline system, and we suspect that this heteroatom could be in part responsible for the observed reactivity of the C-5 methyl isoxazole oxazoline.21,22 Presence of an appropriately spaced basic nitrogen has been shown to result in an increased rate of chemoselective deprotonation as exemplified by the use of hemilabile carbanolamine ligands,23 and functionally similar systems containing dipole-stabilized anions through the use of mono-24 or bi-dentate25 ligands which coordinate lithium. The crystal structure of an oxazoline-containing benzylic lithio-anion species nicely illustrates the structure of the oxazoline-coordinated lithio-benzyl anion,26 suggesting a prominent role in the increased rate of lithiation.
The scope of this reaction was examined to determine if epoxides could be used as a chiral pool for the synthesis of enantio-enriched isoxazolyl alcohols. Lateral metalation followed by quenching with optically active epoxides would be expected to give optically active alcohols, but the degree of conservation of chirality was not necessarily ensured. Attack of the anion at the terminal carbon atom would result in no perturbation of the chiral center, and therefore would be expected to retain its chirality intact. Attack at the benzylic carbon, however has been shown in many systems to proceed by an impure SN2 mechanism,27 tainted with at least small amounts of an SN1 product. The isoxazole system succeeded in perfect inversion at the benzylic carbon to give optically pure (+)-3b in addition to the other regioisomer, (−)-4b, in optical purity, as determined by HPLC analysis. A halogenated derivative of compound (−)-4b was synthesized to afford x-ray quality crystals of (+)-5 (Scheme 2), which were examined by anomalous scattering. In this manner, the absolute configuration at the benzylic carbon was determined to be (S) (Figure 2) when the isoxazolyl anion was quenched with (R)-Styrene Oxide. This corresponds to inversion at the benzylic carbon. Optically active propylene oxide was also examined, and complete stereoselectivity was observed by HPLC for all desired products formed (3a, 3b, 4b).
Scheme 2.
Electrophilic quenching of isoxazolyl anion with monosubstituted epoxides.
Figure 2.

Molecular structure (thermal displacement 30%) of (S)-(+)-5. Hydrogen atoms omitted for clarity.
With the stereochemistry of this reaction determined, it was desirable to alter reaction conditions in an attempt to reverse or enhance the trend of regioselectivity found for the reaction of the isoxazole anion with an epoxide. Styrene oxide is an inexpensive, thoroughly studied system, and reliably produces a mixture of regioisomers. Therefore, it was chosen as a model substrate. We expected that addition of a Lewis acid should further increase the C-O bond length at the carbon most able to accommodate a developing positive charge (benzylic carbon), resulting in a product distribution favoring the production of 4b.28 Unfortunately, however, for cases in which the relative ratio of 3b:4b was substantially altered, overall yield was also significantly reduced. A table summarizing the Lewis acids and reaction conditions used is given in the Supplementary Data.
The use of a catalytic amount (2 mol%) of Sm(HMDS)3 resulted in little change in the ratio of products 3b:4b (66:34), though the overall yield was cut in half to 42% combined yield.28a A full equivalent of Sm(HMDS)3 resulted in further improvement in distribution to give complete reversal in the ratio of products formed (27:73 ratio of 3b:4b, respectively), though the yield was reduced to 30%. Interestingly, changing the solvent to ether resulted in the exclusive formation of 4b, albeit in only 10% yield.
Lipshutz showed that the use of Li-2-Thienyl CuCN in combination with a lithio-nucleophile formed a higher-order cuprate species that selectively and efficiently transfers the nucleophile to epoxides or other electrophiles.28b However, in our hands the use of Li-2-Thienly CuCN showed virtually no effect on the addition of the lithio-isoxazole anion to styrene oxide save for the reduction in the yield to 45%. Using ether as solvent yielded a similar situation: The ratio of 3b:4b was very little different from the reaction sans Lewis Acid in ether, except that again the yield was dramatically reduced (to 19%). Since starting material was not recovered, we attribute the reduction in yield to oligomeric or polymeric baseline TLC material.
The highly Lewis acidic BF3·Et2O was found to produce a very notable result. When styrene oxide was treated with BF3·Et2O, and subsequently cannulated into the isoxazole anion, a mixture of α- and β-attack resulted to form 3b and 4b, but an additional compound, 6, formed as well. This, we postulated, resulted from acid-induced rearrangement of the epoxide to phenyl acetaldehyde in situ, followed by attack of the isoxazolyl anion on the aldehyde (Scheme 4).29 It was expected, then, that warming of the BF3·Et2O/styrene oxide solution prior to reaction with the anion would induce complete rearrangement to 6. In the event, 6 was the only product isolated from the reaction when the Lewis acid-activated epoxide was allowed to react at room temperature prior to addition to the anion (Scheme 3). The result also indicated a higher yield of 6 than before, though still a paltry 34%. In summary, Lewis acids had little effect on the outcome of the reaction of 2 with styrene oxide in most cases. More importantly, with Lewis acids of variable strengths, we have demonstrated that the C-O bond elongation can be pushed too far to actually induce rearrangement of the epoxide.
Scheme 4.
BF3·Et2O induced rearrangement of Styrene oxide to phenyl acetaldehyde is controlled by temperature.
Scheme 3.
Derivatization of 4b for X-ray crystallography.
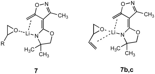
A plausible explanation for the reactivity observed is illustrated by the hemi-labile, rigid, and sterically encumbered transition state 7, shown in Scheme 5. A dihapto association (η2), might explain the enhanced rate of reaction of this - now hemi-labile23,31 - isoxazole anion system with epoxides, compared to other highly functionalized isoxazole carbanions lacking a coordinating nitrogen which failed, in our hands, to exhibit epoxide reactivity.32 In the aliphatic case, unfavorable non-bonding interactions with the geminal methyls would encourage a coordinated approaching epoxide to twist the less substituted carbon toward the C-5 anion—effectively limiting access to the more substituted carbon. Aryl pi-coordination has been postulated in a previous example of a rate enhancing hemi-labile ligand,33 and such a η2 coordination, as in 7b and c, now represents a favorable bonding interaction which suffices to bring the benzylic or allylic epoxide position into contact with the C-5 isoxazolyl wherein the anion can twist34 to attack from the antiperiplanar direction producing the inversion observed for (−)-4b and (S)-(+)-5.
Scheme 5.
Hemi-labile rationale for increased reactivity and observed regioselectivity.
We have presented an exploration into the scope and limitations of epoxides for use in racemic and chiral pool lateral metalation of isoxazoles. The isoxazole anion proved surprisingly apt at epoxide ring opening, providing a single regioisomer for the aliphatic example, and a mixture of regioisomers for cases in which the epoxide contained α,β-unsaturation. Our study of various Lewis acids to control regiochemical outcome was met with limited success. The complete inversion of configuration at a benzylic carbon attests to the potential usefulness of this method.
Supplementary Material
Table 1.
Ratios of products formed from nucleophilic ring-opening of unsymmetrical epoxides.
| Epoxide | 3:4 | Yield |
|---|---|---|
| Propylene Oxide | 100:0 | 66 |
| Styrene Oxide | 70:30 | 86 |
| Butadiene Monoxide | 41:59 | 47 |
Acknowledgments
The authors thank the National Institute of Neurological Disease and Stroke for the continuing support of Grant NS38444, and P20 RR015583. JKN acknowledges INBRE grant P20 RR16454 and the Malcolm and Carol Renfrew Scholarship Endowment, University of Idaho. The Bruker (Siemens) SMART APEX diffraction facility was established at the University of Idaho with the assistance of the NSF-EPSCoR program and the M. J. Murdock Charitable Trust, Vancouver, WA, USA.
Footnotes
The supplementary data is available online with the paper in ScienceDirect. This includes the Experimental Section and full characterization of all compounds, a table detailing Lewis acids and conditions used, the procedure for x-ray analysis, tables of crystallographic information files (CIFs), HPLC-CSP traces of chiral compounds, and a table of additional racemic examples from references 7 and 8.
Publisher's Disclaimer: This is a PDF file of an unedited manuscript that has been accepted for publication. As a service to our customers we are providing this early version of the manuscript. The manuscript will undergo copyediting, typesetting, and review of the resulting proof before it is published in its final citable form. Please note that during the production process errors may be discovered which could affect the content, and all legal disclaimers that apply to the journal pertain.
References
- 1.Padwa A, Murphree S Shaun. Progress in Heterocyclic Chemistry I. 2002;14:52–74. [Google Scholar]
- 2.(a) Jacobsen EN, Wu MH. In: Comprehensive Asymmetric Catalysis II. Jacobsen EN, Pfaltz A, Yamamoto H, editors. Vol. 2. Springer; Berlin: 1999. pp. 621–677. [Google Scholar]; (b) Katsuki T, Martin VS. Org React. 1996;48:1–300. [Google Scholar]; (c) Aggarwal VK, Richardson J. Chem Commun. 2003:2644–2651. doi: 10.1039/b304625g. [DOI] [PubMed] [Google Scholar]; (d) Denmark SE, Wu Z. Synlett. 1999;(Spec):847–859. [Google Scholar]
- 3.Charest MG, Lerner CD, Brubaker JD, Siegel DR, Myers AG. Science. 2005;308:395. doi: 10.1126/science.1109755. [DOI] [PubMed] [Google Scholar]
- 4.Taylor SK. Tetrahedron. 2000;56:1149–1163. [Google Scholar]
- 5.Fairlamb IJS. Annu Rep Prog Chem, Sect B. 2003;99:138–160. [Google Scholar]
- 6.Brunelle DJ. Tetrahedron Lett. 1981:3699–3702. [Google Scholar]
- 7.Smith MP. Ph D Dissertation. University of Idaho; 1993. [Google Scholar]
- 8.Burns CT, Natale NR. 49th Northwest Regional ACS Meeting; Anchorage Alaska. June 15–18, 1994. [Google Scholar]
- 9.Diana G, Volkots D, Nitz TJ, Bailey TR, Long MA, Vescio N, Aldous S, Pevear DC, Dutko FJ. J Med Chem. 1994;37:2421–2436. doi: 10.1021/jm00041a022. [DOI] [PubMed] [Google Scholar]
- 10.Dannhardt G, Kiefer W, Lambrecht G, Laufer S, Mutschler E, Schweiger J, Striegel HG. Eur J Med Chem. 1995;30:839–850. [Google Scholar]
- 11.McKenna JI, Schlicksupp L, Natale NR, Maryanoff BE, Flaim SF, Willett RD. J Med Chem. 1988;31:473–6. doi: 10.1021/jm00397a035. [DOI] [PubMed] [Google Scholar]
- 12.Natale NR, Niou CS. Tetrahedron Lett. 1984:3943–6. [Google Scholar]
- 13.Natale NR, Mirzaei YR. Org Prep Proced, Int. 1993;25:515–556. [Google Scholar]
- 14.Hantzsch A. Justus Liebigs Ann Chem. 1882;215:1. [Google Scholar]
- 15.Zamponi GW, Stotz SC, Staples RJ, Andro TM, Nelson JK, Hulubei V, Blumenfeld A, Natale NR. J Med Chem. 2003;46:87–96. doi: 10.1021/jm020354w. [DOI] [PubMed] [Google Scholar]
- 16.Mueller G. In: Chemogenomics in Drug Discovery. Kubinyi H, Mueller G, editors. John Wiley; 2004. p. 19. [Google Scholar]
- 17.Triggle DJ. Cell Mol Neurobiol. 2003;23:293–303. doi: 10.1023/A:1023632419813. [DOI] [PMC free article] [PubMed] [Google Scholar]
- 18.Nobili S, Landini I, Giglioni B, Mini E. Curr Drug Targets. 2006;7:861–879. doi: 10.2174/138945006777709593. [DOI] [PubMed] [Google Scholar]
- 19.Voigt B, Coburger C, Monar J, Hilgroth A. Bioorg Med Chem. 2007;15:5110–5113. doi: 10.1016/j.bmc.2007.05.036. [DOI] [PubMed] [Google Scholar]
- 20.Zuidema GD, Cook PL, Van Zyl G. J Am Chem Soc. 1953;75:294–6. [Google Scholar]
- 21.Natale NR, McKenna JI, Niou CS, Borth M, Hope H. J Org Chem. 1985;50:5660–5666.(b) for an improved procedure for the preparation of unhindered isoxazolyl-oxazolines, see: Zhou P, Blubaum JE, Burns CT, Natale NR. Tetrahedron Lett. 1997;38(40):7019–7020.
- 22.Gawley RE, Hart GC, Bartolotti LJ. J Org Chem. 1989;54:175–181. [Google Scholar]
- 23.Ramiréz A, Lobkovsky E, Collum DB. J Am Chem Soc. 2003;125:15376–15387. doi: 10.1021/ja030322d. [DOI] [PubMed] [Google Scholar]
- 24.Gawley RE, Hart G, Goicoechea-Pappas M, Smith AL. J Org Chem. 1986;51:3076–3078. [Google Scholar]
- 25.Beak P, Reitz DB. Chem Rev. 1978;78:275–316. [Google Scholar]
- 26.Stol M, Snelders DJM, de Pater JJM, van Klink GPM, Kooijman H, Spek AL, van Koten G. Organometallics. 2005;24:743–749. [Google Scholar]
- 27.(a) Lin B, Whalen DL. J Org Chem. 1994;59:1638–1641. [Google Scholar]; (b) Sankawa U, Sato T. Tetrahedron Lett. 1978;19:981–4. [Google Scholar]; (c) Biggs J, Chapman NB, Wray V. J Chem Soc B. 1971:71. [Google Scholar]
- 28.(a) Mukerji I, Wayda AL, Dabbagh G, Bertz SH. Angew Chem. 1986;98:756–757. [Google Scholar]; (b) Lipshutz BH, Moretti R, Crow R. Organic Syntheses. 1990;69:80–88. [Google Scholar]
- 29.This effect has been noted elsewhere: House HO. J Am Chem Soc. 1955;77:3070.Conversion of styrene oxide to phenyl acetaldehyde has been optimized. Kim Jong Dae, Cha Jin Soon. Taehan Hwahakhoe Chi. 1983;27:73–5.
- 30.Unpublished result. No starting material or desired product is recovered on attempted oxidation with the Dess-Martin periodinane, whereas the secondary alcohol 3b is readily oxidized in high yields, see: Nelson JK, Burkhart DJ, McKenzie A, Natale NR. Synlett. 2003;14:2213–2215.
- 31.Ramirez A, Collum DB. J Am Chem Soc. 1999;121:11114–11121. [Google Scholar]
- 32.The isoxazole anions cited below did not react with epoxides: Burkhart DJ, Zhou P, Blumenfeld A, Twamley B, Natale NR. Tetrahedron. 2001;57:8039–8046.Han X, Li C, Rider KC, Blumenfeld A, Twamley B, Natale NR. Tetrahedron Lett. 2002;43:7673–7677.
- 33.de Bruin TJM, Magna L, Raybaud P, Toulhoat H. Organometallics. 2003;22:3404–3413. [Google Scholar]
- 34.Just such a η2 coordination has been observed in the solid state: Dohmeier C, Baum E, Ecker A, Koppe R, Schnockel H. Organometallics. 1996;15:4702–4706.Haslam E. Shikimic Acid Metabolism and Metabolites. John Wiley & Sons; New York: 1993.
Associated Data
This section collects any data citations, data availability statements, or supplementary materials included in this article.





