Abstract
Inquiry-based learning is a unique student-centered alternative to traditional instruction. This form of active learning is ideal for the organic chemistry laboratory as it encourages critical thinking and hands on problem solving to complete an experiment. Electrophilic Aromatic Substitution is immediately associated with the undergraduate organic chemistry course. However, nucleophilic aromatic substitution is not. The N-arylation of aniline derivatives is a useful reaction for implementing nucleophilic aromatic substitution into the undergraduate curriculum. Under the framework of inquiry-based learning, a straightforward procedure has been developed for the undergraduate laboratory. This experiment explores the reaction rate of the nucleophilic aromatic substitution using various electrophiles. The reaction is conducted under microwave irradiation and the experiment is completed in one laboratory setting.
Introduction
“How to extract knowledge from experimental results is at the heart of science, yet for the most part we don’t attempt to teach this skill in traditional labs [1].” Recently, there has been significant interest in addressing this missing element in the curriculum. Inquiry-based laboratory experiments are a form of active learning that has the potential to enhance the student’s critical thinking and analytical skills. We have applied this pedagogical concept to a traditional organic reaction, the N-arylation of aniline derivatives. The reaction is a practical way to introduce nucleophilic aromatic substitution into the undergraduate organic chemistry laboratory. There is also an expectation that the experiment will encourage students to see the connection between concepts and will give them the opportunity to constructively challenge what they know. Providing such an opportunity for reflection will enhance the intellectual climate of the organic chemistry course.
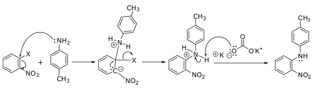
Often, the topic of nucleophilic aromatic substitution is presented with primary emphasis on the benzyne mechanism (Scheme 1), but with less discussion than is given to electrophilic aromatic substitution. Under the framework of inquiry-based learning, a straightforward laboratory procedure has been developed that focuses on the addition-elimination mechanism, Scheme 2. The experiment can be presented as an exploration of the trends in reactivity for the electrophile. Students are encouraged to draw upon their fundamental knowledge of chemical bonds and use that information to develop conclusions relating to the kinetic characteristics of the reaction. By doing so, students apply previously learned lecture concepts (i.e. resonance effects, nucleophilicity, leaving group trends, characteristics of polar covalent bonds, etc.) to the interpretation of laboratory results. In addition to promoting critical thinking, the experiment incorporates techniques such as acid/base extraction, microwave assisted organic synthesis (MAOS), TLC, HPLC, and IR.
Scheme 1.
Scheme 2.
The results obtained in this experiment differ from what students will expect for leaving group ability; but, the results do coincide with what is understood for polar covalent bonds. This provides an opportunity for the students to develop new knowledge through the logical and constructive discussion of results. Therefore, the experiment will reinforce useful laboratory techniques and instrumental methods while exposing the students to critical thinking in the analysis of data.
The preparation of (2-nitrophenyl)arylamines (3) has been well-studied utilizing traditional heating methods and organometallic reagents [2–5]. Nevertheless, many of these reactions require long reaction times and tedious extractions while producing only modest yields [3, 6]. The recent emergence of microwave assisted organic synthesis (MAOS) has created new opportunities for improving reaction conditions and outcomes. One such procedure has been adapted for the N-arylation of an aniline derivative. The reaction utilizes stoichiometric equivalents and is conducted under microwave irradiation, Scheme 3. The MAOS procedure employs an inexpensive basic clay (KF/K2CO3 in the reaction shown) to generate heat in the reaction, which proceeds without the use of solvents or organometallic reagents. Often, the procedure results in the complete conversion of the starting material to product.
Scheme 3.
Overview of the Experiment
The N-arylation of toluidine is used to represent the nucleophilic aromatic substitution. Since the reaction can be completed in less than 15 minutes, there is sufficient time for the extraction and the HPLC analysis of the reaction outcome in one class period. Therefore, the procedure was adapted to create a facile undergraduate laboratory experiment that is safe and can be repeated in the same laboratory setting if necessary. Our modified procedure does not give complete conversion of starting material to product. However, TLC of the final reaction mixture shows that only starting compounds (1 and 2) and the desired product (3) are present. When this mixture is washed with a 10% solution of HCl, the TLC shows that only the substituted nitrobenzene (1) and the product (3) are present in the organic layer. Subsequently, the mixture is analyzed by HPLC. If an HPLC is not available, the experiment can be conducted over two lab periods to allow the isolation of the product by column chromatography.
The experiment is designed so that students can work independently to complete their experiment and the results can be compiled and disseminated for discussion. Primarily, the results of the experiment will demonstrate the impact of electronegativity on bond strength and the rate of the reaction. In this reaction, the amount of starting material reacted is equal to the amount of product, 3, formed. Therefore, the analysis of the reaction mixture by HPLC will indicate the amount of product obtained. Questions were given to the students to guide them in interpreting the HPLC data and developing conclusions based on these results. The questions that were given are as follows:
Consider what is known about polar covalent bonds. How does the electronegativity affect bond strength? Is this knowledge consistent with your results?
Based on your results and your answer to question 1, what is the connection between bond strength and leaving group ability?
What is the relative trend of leaving group ability in SNAr reaction?
What is the effect of electronegativity of the leaving group on the reactivity of the electrophile?
How does the electronegativity of the leaving group affect the ability of the reaction to take place?
The questions are purposely interrelated and model for the students how the results should be interpreted at various levels of inquiry. Collectively with the mechanism, the interpreted HPLC results aid the students in discussing how the electronegativity of the leaving group affects the rate of the reaction.
Procedure
The aniline derivative (0.25 g, 1 equiv) along with potassium fluoride (1 equiv) and potassium carbonate (1 equiv) are made into a powder using a mortar and pestle. The mixture is transferred to a vial. 2-fluoronitrobenzene (1 equiv; 1a–c) is added to the mixture and thoroughly mixed with a glass rod. Then the mixture is placed in the microwave (CEM MSP 1000, 100W, 160 °C) for 10 minutes [7]. The mixture is allowed to cool for 10 min. Water (10-mL) is added and the mixture is extracted into ethyl acetate (3 × 15-mL). The ethyl acetate solution is then washed with a solution of 10% HCl followed by a solution of saturated Na2CO3. The organic layer is dried over anhydrous sodium sulfate and analyzed by HPLC to determine the relative yield of the reaction (ration of starting material to product present in the mixture). The TLC analysis of the ethyl acetate layer is conducted utilizing silica plates with UV indication and 20% ethyl acetate/80% hexane as the developing solvent.
Discussion
Successful completion of the experiment using 2-halo substituted nitrobenzenes illustrated the following trend in increasing leaving group ability: Cl < Br < F. Since electrophilicity can be directly related to leaving group ability, it can be observed in this experiment that by using the fluoro substituted nitrobenzene the reactivity of the electrophile will be increased. Based on this, the experiment indirectly illustrates how the electronegativity of the leaving group affects bond strength (the highest reaction yields are obtained when the bond between the leaving group and the ring is weakest). The results of the reaction can lead to further discussion relating to the polarization of bonds, aromaticity, and inductive effects.
Conclusion
We have developed a microwave procedure that is a good illustration of the reaction between the aryl halide and the aniline derivative. The nucleophilic aromatic substitution reaction gives results that can be used to guide students understanding of basic organic trends surrounding the reaction. The newly developed laboratory module will contribute to the growing collection of inquiry-based activities that are available for organic chemistry. This procedure can be modified to include experiments relating to the reactivity of the nucleophile that will also be suitable for the undergraduate curriculum. In addition, the experiment reinforces key skills and instrumental techniques (TLC, HPLC, acid/base extraction). With the additional points of inquiry, the experiment would be excellent for use as a standalone experiment or capstone project.
Supplementary Material
Table 1.
List of possible electrophiles
| Electrophiles |
|---|
![]() |
Acknowledgements
We are grateful that this work has been funded in part by awards from Research Infrastructure in Minority Institutions/National Center on Minority Health Disparities (Grant No. MD00215), Minority Biomedical Research Support Research Initiative for Scientific Enhancement (MBRS-RISE) #R25 GM060566-06, the Model Institution for Excellence (MIE) Program NCC8-2267, and a CEM Microwave-Enhanced Grant.
Footnotes
Supplemental information. Detailed notes for the instructor, possible products and yields, chemical information, IR spectra, student handouts (including pre-lab, safety and post lab questions) are on available The Chemical Educator website.
References and Notes
- 1.Mohrig J. J. Chem. Ed. 2004;81:1083. [Google Scholar]
- 2.Xu Z-B, Lu Y, Guo Z-R. Synlett. 2003:564–566. (and references cited therein). [Google Scholar]
- 3.Tietze M, Iglesias A, Merisor E, Conrad J, Klaiber I, Beifuss U. Org. Letts. 2005;7:1549–1552. doi: 10.1021/ol050198y. [DOI] [PubMed] [Google Scholar]
- 4.Özden S, Karataş H, Yildiz S, Göker H. Arch. Pharm. Pharm. Med. Chem. 2004;337:556–562. doi: 10.1002/ardp.200400884. (and references cited therein). [DOI] [PubMed] [Google Scholar]
- 5.Chauhan S, Singh R, Geetanjali Syn. Comm. 2003;33:2899–2906. [Google Scholar]
- 6.a.) Musiol R, Tyman-Szram B, Polanski J. J. Chem. Educ. 2006;83:632–633. [Google Scholar]; b.) Abdel-Latif E, Kaupp G, Metwally M. J. Chem. Res. 2005;3:187–189. [Google Scholar]; c.) Bose A, Manhas M, Ganguly S, Sharma A, Banik B. Synthesis. 2002;11:1578–1591. [Google Scholar]
- 7.The reaction can also be conducted in a CEM Discovery microwave (160 °C, 300 W) for 10 minutes.
Associated Data
This section collects any data citations, data availability statements, or supplementary materials included in this article.




