Abstract
The aim of this study was to examine the effects of 7-epiclusianone, a new prenylated benzophenone isolated from the plant Rheedia gardneriana, on some of the virulence properties of Streptococcus mutans associated with biofilm development and acidogenicity. The synthesis of glucans by glucosyltransferases B (GTF B) and C (GTF C) was markedly reduced by 7-epiclusianone showing more than 80% inhibition of enzymatic activity at a concentration of 100 μg mL−1. Double-reciprocal analysis (Lineweaver–Burk plots) revealed that the inhibition of GTF B activity was noncompetitive (mixed) while GTF C was inhibited uncompetitively. The glycolytic pH drop by S. mutans cells was also disrupted by 7-epiclusianone without affecting the bacterial viability, an effect that can be attributed, in part, to inhibition of F-ATPase activity (61.1 ± 3.0% inhibition at 100 μg mL−1). Furthermore, topical applications (1-min exposure, twice daily) of 7-epiclusianone (at 250 μg mL−1) disrupted biofilm formation and physiology. The biomass (dry-weight), extracellular insoluble polysaccharide concentration and acidogenicity of the biofilms were significantly reduced by the test agent (P <0.05). The data show that 7-epiclusianone disrupts the extracellular and intracellular sugar metabolism of S. mutans, and holds promise as a novel, naturally occurring compound to prevent biofilm-related oral diseases.
Keywords: 7-epiclusianone, glucosyltransferases, glycolysis, Streptococcus mutans, biofilm
Introduction
Streptococcus mutans has been regarded as an important microbial agent in the pathogenesis of dental caries, although additional acidogenic microorganisms may be involved (Fitzgerald & Keyes, 1960; Hamada et al., 1984; Loesche, 1986; Beighton, 2005). The ability of this bacterium to synthesize extracellular polysaccharides (mainly glucans) from sucrose using glucosyltransferases (GTFs) is a critical virulence factor involved in the formation of a pathogenic biofilm (de Stoppelaar et al., 1971; Gibbons & van Houte, 1975; Hamada & Slade, 1980; Schilling & Bowen, 1992; Yamashita et al., 1993). Glucans promote bacterial accumulation on the tooth surface and contribute to the formation of the extracellular polysaccharide matrix, which confers bulk and structural integrity to biofilms (Bowen, 2002; Paes Leme et al., 2006). Furthermore, S. mutans survives and performs glycolysis at low pH values attained within the matrix of the biofilms, which results in demineralization of the adjacent dental enamel (Belli & Marquis, 1991; Bowen, 2002). Streptococcus mutans has developed mechanisms to alleviate the influences of acidification by increasing proton-translocating F-ATPase activity in response to low pH (Sturr & Marquis, 1992; Quivey et al., 2000). F-ATPase transports protons out of cells in association with ATP hydrolysis to maintain intracellular pH more alkaline than the extracellular environment pH (Sturr & Marquis, 1992). Therefore, disruption of the ability of S. mutans to utilize sucrose to form acids and glucans could be a precise and selective therapeutic approach to reducing the cariogenicity of this ubiquitous oral pathogen.
Natural products are still major sources of innovative therapeutic agents for infectious diseases (Cragg et al., 1997; Harvey, 2000; Newman et al., 2003). Exploration of biodiversity from rich environments such as in Brazil has led to the discovery of many pharmacologically active chemicals (Basso et al., 2005). For example, phytochemical investigations of the fruits of Rheedia gardneriana, a native plant from Amazon region in Brazil (Corrêa, 1978), resulted in the isolation and identification of several potentially active compounds, including sesquiterpenes, methyl esters of fatty acids (palmitate, estearate, oleate, linoleate), triterpene (oleanolic acid), stigmasterol, sisterol and benzophenones (Santos et al., 1998). Among them, a tetraprenylated benzophenone (7-epiclusianone) has shown several pharmacological activities, including antioxidant and anti-Trypanossoma cruzi activities (Alves et al., 1999; Cruz et al., 2006). Recently, a bioassay-guided fractionation of R. gardneriana has identified 7-epiclusianone as a putative active compound against S. mutans, including antiadherence and antibacterial effects (Murata et al., 2006). Thus, the aim of this study was to investigate further the influence of 7-epiclusianone on S. mutans virulence, including glucan synthesis and acid production, and on its ability to form biofilms using our saliva-coated hydroxyapatite disc biofilm model (Koo et al., 2003).
Materials and methods
Plant material
The fruits of R. gardneriana Pl. Triana were collected at the Campus of Universidade Federal de Viçosa (UFV), Viçosa, Minas Gerais State, Brazil and identified by a botanist at UFV. A voucher specimen is deposited in the Horto Botanico of UFV (26240). 7-Epiclusianone was extracted, isolated and purified from the fruit pericarp as detailed elsewhere (Santos et al., 1998). The substance was identified from the infrared, UV, mass spectrum and nuclear magnetic resonance spectral data as confirmed by Santos et al., 1998; the purity level was >98% as determined by HPLC (Santos et al., 1998).
Microorganisms
The bacterial strains used for the production of glucosyltransferases were: Streptococcus anginosus KSB8, which harbors the gtfB gene (for GTF B production), and S. mutans WHB 410, in which the gtfB, gtfD and ftf genes were deleted (for GTF C production). The cloning procedures and construction of S. anginosus KSB8 (previously known as Streptococcus milleri KSB8) and S. mutans WHB 410 are described in Fukushima et al. (1992) and Wunder & Bowen (1999), respectively. The S. mutans UA159, a proven virulent cariogenic pathogen and the strain selected for genomic sequencing (Ajdic et al., 2002), was used for F-ATPase, glycolytic pH drop and biofilm studies. The cultures were stored at −80 °C in tryptic soy broth containing 20% glycerol.
GTF B and C assays
The GTF B and C enzymes (EC 2.4.1.5) were prepared from culture supernatants and purified to near homogeneity by hydroxyapatite column chromatography as described by Venkitaraman et al. (1995) and Wunder & Bowen (1999). Glucosyltransferase activity was measured by the incorporation of [14C]glucose from labeled sucrose (NEN Research Products, Boston, MA) into glucans (Venkitaraman et al., 1995).
Purified GTF B and C (1.0–1.5 U) were mixed with a twofold dilution series of the test agent (concentrations ranging from 12.5 to 100 μg mL−1) or vehicle control (15% ethanol, v/v) and incubated with a [14C]glucose-sucrose substrate (0.2 mCi mL−1; 200 mM sucrose, 40 μM dextran 9000 and 0.02% sodium azide in a buffer consisting of 50 mM KCl, 1 mM KPO4, 1 mM CaCl2 and 0.1 mM MgCl2 at pH 6.5) at 37 °C with rocking for 4 h as described elsewhere (Koo et al., 2002). Glucosyltransferase activity was measured by the incorporation of [14C]glucose from labeled sucrose (NEN Research Products, Boston, MA) into glucans (Venkitaraman et al., 1995). The radiolabeled glucan was determined by scintillation counting (Venkitaraman et al., 1995).
The mode of inhibition of glucosyltransferase activity by 7-epiclusianone was examined using Lineweaver–Burk plot (expressed in 1/v vs. 1/[S]) (Lineweaver & Burk, 1934) and the nonlinear regression (Cleland, 1963; Engel, 1981) using the ENZPACK 1.4 KINETICS software (Biosoft, Ferguson, MO).
Glycolytic pH-drop and F-ATPase assays
The effects of 7-epiclusianone on glycolysis were measured by standard pH drop with dense cell suspensions (2 mg cell -dry-weight mL−1) as described previously by Belli et al. (1995). Cells of S. mutans UA159 from suspension cultures were harvested, washed once with salt solution (50 mM KCl plus 1 mM MgCl2) and resuspended in a salt solution containing the test agent (12.5–100 μg mL−1) or vehicle control (15% ethanol, v/v). The pH was adjusted to 7.2 with 0.1 M KOH solution, sufficient glucose was added to obtain a concentration of 1% (w/v) and the decrease in pH was assessed by means of a glass electrode over a period of 2 h (Futura Micro Combination pH electrode, 5 mm diameter, Beckman Coulter Inc., CA) (Belli et al., 1995). Biocidal activity was determined by plating aliquots of cell suspension at each time point, and counting the CFU mL−1; the cell suspension was sonicated twice before plating, each consisting of three 10-s pulses at 5-s intervals, at 50 W (Branson Ultrasomics Co., Danbury, CT) (Koo et al., 2003).
An F-ATPase assay was performed using permeabilized cells of S. mutans UA159 by subjecting the cells to 10% toluene (v/v), followed by two cycles of freezing and thawing as described by Belli et al. (1995). F-ATPase activity was measured in terms of the release of phosphate in the following reaction mixture: 75 mmol of Tris-maleate buffer (pH 7.0) containing 5 mM ATP, 10 mmol MgCl2, permeabilized cells and the test agent (12.5–100 μg mL−1) or vehicle control (15% ethanol, v/v). The phosphate released (over a 10-min reaction time) was determined using the method of Bencini et al. (1983).
Biofilm assays
Biofilms of S. mutans UA159 were formed on saliva-coated hydroxyapatite discs placed in a vertical position (HAP ceramic–calcium hydroxyapatite, 0.5″ diameter – Clarkson Calcium Phosphates, Williamsport, PA) in batch cultures at 37 °C and 5% CO2 (Koo et al., 2003). Biofilms of S. mutans were formed in ultrafiltered (Amicon 10 kDa molecular weight cut-off membrane; Millipore Co., MA) tryptone-yeast extract broth with addition of 30 mM sucrose (Koo et al., 2003). The biofilms were grown undisturbed for 24 h to allow initial biofilm formation. At this point (24 h old), the biofilms were treated twice daily (10 a.m. and 4 p.m.) until the fifth day of the experimental period (120 h old biofilm) with 7-epiclusianone (250 μg mL−1) or vehicle control (15% ETOH). In our model, biofilms continuously form and accumulate on the hydroxyapatite surface until 120 h of incubation. The biofilms were exposed to the treatments for 1 min, double-dip rinsed in a sterile saline solution and transferred to fresh culture medium as detailed elsewhere (Koo et al., 2003). The culture medium was replaced daily. Each biofilm was exposed to the respective treatments a total of eight times. The treated biofilms were analyzed for biomass (dry weight) and bacterial viability (CFU mg−1 of biofilm dry weight). The biofilms were subjected to sonication using three 30-s pulses at an output of 7 W (Branson Sonifier 150; Branson Ultrasomics Co., Danbury, CT); the homogenized suspension was plated on blood agar by means of a spiral plater (Eddy Jet; IUL Instruments S.A., Barcelona, Spain). This sonication procedure provided the maximum recoverable counts as determined experimentally (Koo et al., 2003). The extra-cellular insoluble polysaccharide was extracted using 1 M NaOH (1 mg biofilm dry weight/0.3 mL of 1 M NaOH) and quantified by colorimetric assays as detailed in Koo et al. (2003).
Furthermore, aliquots (0.2 mL) of the culture medium were taken daily at specific time points (4, 8, 12 and 24 h after medium replacement), and pH values were measured by a glass electrode (Futura Micro Combination pH electrode, 5 mm diameter, Beckman Coulter Inc., CA).
Statistical analyses
Triplicates from at least three separate experiments were conducted in each of the assays. An exploratory data analysis was performed to determine the most appropriate statistical test; the assumptions of equality of variances and normal distribution of errors were also checked. The data were then analyzed using ANOVA, and the F-test was used to determine any difference among the groups. When significant differences were detected, pairwise comparisons were made between all the groups using Tukey’s method to adjust for multiple comparisons. Statistical software JMP version 3.1 (SAS Institute, Cary, NC) was used to perform the analyses. The level of significance was set at 5%.
Results
The isolation and purification methods used in this study yielded highly purified 7-epiclusianone (≥98% purity) from fruits of R. gardneriana.
The effects of 7-epiclusianone on the activity of GTF B and C are shown in Table 1. The test agent effectively reduced the glucan synthesis by GTF B (91.7 ± 4.7%) and GTF C (84.1 ± 2.8%) at a concentration of 100 μg mL−1. However, 7-epiclusianone displayed distinct inhibitory effects on glucosyltransferase activity; GTF C was inhibited at more lower concentrations of 7-epiclusianone (e.g. 12.5 and 25 μg mL−1) than GTF B.
Table 1.
Effects of 7-epiclusianone on the activities of GTF B and GTF C
| 7-Epiclusianone (μg mL−1) | GTF B (% of inhibition) | GTF C (% of inhibition) |
|---|---|---|
| 100.0 | 91.7 ± 4.7 | 84.1 ± 2.8 |
| 50.0 | 74.1 ± 5.3 | 73.2 ± 5.0 |
| 25.0 | 11.5 ± 2.1 | 68.6 ± 5.2 |
| 12.5 | ND | 62.3 ± 6.9 |
The percentage of inhibition was calculated considering the vehicle control as 100% GTF activity. Values (SD, n = 9) from each of the concentrations tested are significantly different from vehicle control (P < 0.05, ANOVA, comparison for all pairs using Tukey’s test), except at 12.5 μg mL−1 for GTF B (P >0.05).
ND, not detected.
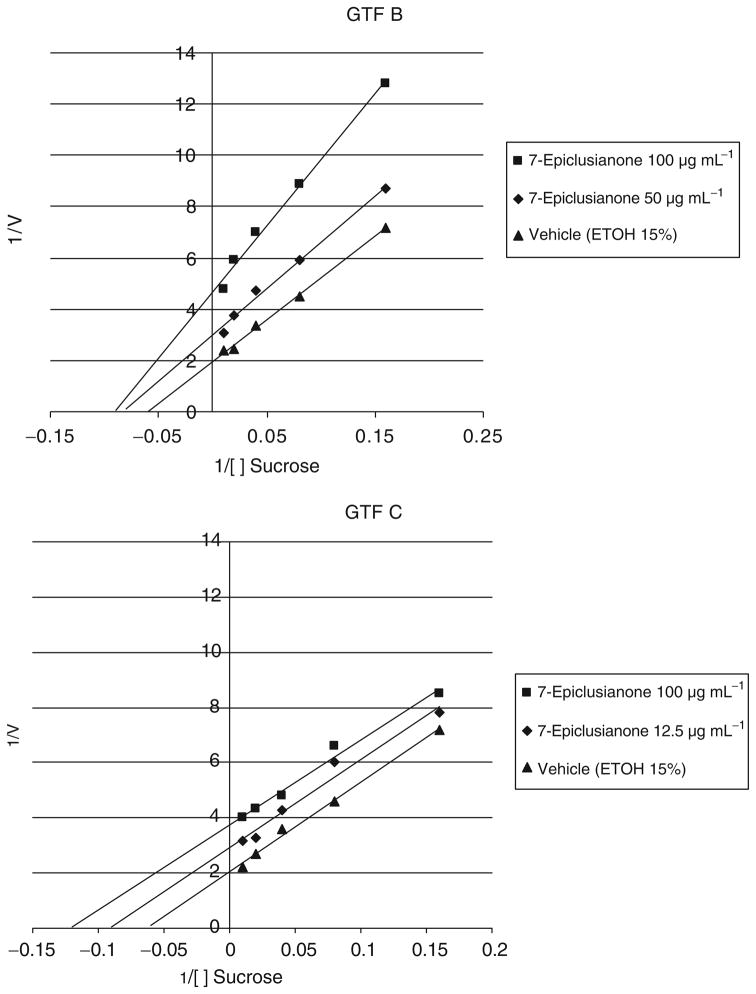
Furthermore, the mechanisms of inhibition of GTF B and C by 7-epiclusianone were investigated by kinetic studies. Figure 1 shows the double-reciprocal plots obtained in the presence of various concentrations of substrate (sucrose) with or without an inhibitor (7-epiclusianone at two different concentrations). The mode of inhibition by 7-epiclusianone was noncompetitive (mixed inhibition) for GTF B as indicated by plots with different 1/V axis-intercepts and the lines intersecting below the abscissa (Km decrease) whereas GTF C activity was inhibited in an uncompetitive manner (parallel lines with different 1/V and 1/[S] axis-intercepts with the same slope) (Cleland, 1963; Engel, 1981).
Fig. 1.
Double-reciprocal (Lineweaver–Burk) plots of glucosyltransferase activity vs. the amount of sucrose in the presence of 7-epiclusianone or vehicle control.
The influence of 7-epiclusianone on glycolytic pH drop by S. mutans UA159 cells in the presence of excess glucose is shown in Fig. 2. The acid production by S. mutans cells was significantly disrupted by 7-epiclusianone at 50 and 100 μg mL−1 (P <0.05) without displaying any biocidal activity. In addition, the enzymatic activity of the proton-translocating F-ATPase was partially inhibited by 7-epiclusianone at 50 and 100 μg mL−1 (Table 2); these same concentrations of the agent also showed significantly higher final pH values in the glycolytic pH drop experiments (Fig. 2).
Fig. 2.
Influence of 7-epiclusianone on glycolytic pH-drop of Streptococcus mutans UA159 in suspensions. Values (SD, n = 9) from vehicle control are significantly different from 7-epiclusianone at 50 and 100 μg mL−1 at all time points (P < 0.05, ANOVA, comparison for all pairs using Tukey’s test).
Table 2.
Influence of the 7-epiclusianone on F-ATPase of permeabilized cells of Streptococcus mutans UA159
| 7-Epiclusianone (μg mL−1) | F-ATPase (% of inhibition) |
|---|---|
| 100.0 | 61.09 ± 3.0 |
| 50.0 | 15.40 ± 6.7 |
| 25.0 | ND |
| 12.5 | ND |
The percentage of inhibition was calculated considering the vehicle control as 100% F-ATPase activity. Values (SD, n = 9) from 7-epiclusia-none at 50 and 100 μg mL−1 are significantly different from vehicle control (P <0.05, ANOVA, comparison for all pairs using Tukey’s test).
ND, not detected.
Finally, we assessed the effects of 7-epiclusianone on biofilm formation by S. mutans on a saliva-coated hydro-xyapatite surface. Topical applications of 7-epiclusianone (at 250 μg mL−1; 1-min exposure, twice daily) significantly reduced the formation and accumulation of S. mutans biofilms compared with those treated with the vehicle control (P <0.05) (Table 3). Treatments with 7-epiclusia-none resulted in more than 50% less biomass (dry-weight) than did the vehicle control treatment. The total amount of extracellular-insoluble polysaccharides in the biofilms treated with 7-epiclusianone was significantly less that in those treated with the vehicle control (P <0.05). Furthermore, 7-epiclusianone also reduced the acidogenic properties of the biofilms as indicated by higher pH values of the surrounding medium at various time points compared with those from vehicle-treated biofilms (Fig. 3).
Table 3.
Biomass (dry-weight) and total amount of extracellular insoluble polysaccharides in the biofilms after treatments
| Treatments | Dry-weight (mg) | Extracellular insoluble polysaccharides (mg) |
|---|---|---|
| 7-Epiclusianone (250 μg mL−1) | 2.2 ± 0.2 | 0.86 ± 0.16 |
| Vehicle control (15% ethanol, v/v) | 5.0 ± 0.1 | 1.67 ± 0.24 |
Values (SD, n = 9) from vehicle control and 7-epiclusianone treatments are significantly different from each other (P < 0.05, ANOVA, comparison for all pairs using Tukey’s test).
Fig. 3.
Influence of 7-epiclusianone on the pH values in the culture medium during Streptococcus mutans biofilm formation. The medium was replaced daily with fresh medium. The pH values (n = 9) were determined after 4, 8, 12 and 24 h of incubation.
Discussion
Access to biodiversity is fundamental to expanding the range of natural products to be used in the search for new pharmaceutical drugs or leads (Harvey, 2000; Newman et al., 2003). The results presented in this study revealed a novel naturally occurring molecule, 7- epiclusianone, that effectively disrupts specific virulence traits of S. mutans involved in biofilm formation and acidogenicity.
Initially, we examined the effects of 7-epiclusianone on the activity of glucosyltransferases. Streptococcus mutans produces three glucosyltransferases: GTF B, which synthesizes mostly insoluble glucan (α-1,3-linked); GTF C, which synthesizes a mixture of insoluble and soluble glucan (α-1, 6-linked); and GTF D, which synthesizes soluble glucan (Loesche, 1986). Glucosyltransferase enzymes have been shown to be essential virulence factors of S. mutans associated with the pathogenesis of dental caries. Mutant strains of this organism defective in gtf genes are far less cariogenic than parent strains in vivo, especially those defective in gtfB and/or gtfC (Yamashita et al., 1993). The insoluble glucans synthesized by these enzymes impart structural integrity and bulk to biofilms (Bowen, 2002). Therefore, the effective inhibition of the activity of GTF B and GTF C by 7-epiclusianione may disrupt the development of virulent biofilms related to dental caries. In order to further understand the inhibitory effects of 7-epiclusianone on glucosyltransferase, we determined the mode of action of this compound on the enzyme activity. The 7-epiclusianone inhibited GTF B activity in a noncompetitive manner (mixed inhibition), indicating that the test agent interacted with enzyme and the enzyme–substrate complex. On the other hand, the mode of inhibition of GTF C by 7-epiclusianone was uncompetitive in nature, suggesting that the inhibitor combines with enzyme–substrate complex only. Nevertheless, the net result of either type of inhibition is the decrease of the Vmax and Km of both enzymes by the test agent based on Lineweaver–Burk plots (Engel, 1981). The glucosyltransferases catalyze two reactions: the cleavage of sucrose into fructose and an enzyme-bound glucosyl moiety (sucrase activity), and the subsequent transfer of the latter to the C-3/C-6 position of the glucose residue of glucan (transferase activity) or to water (Russell, 1990); thus, glucosyltransferases have a catalytic domain and a glucan-binding domain (Mooser & Wong, 1988). It is apparent that the glucosyltransferase inhibition by 7-epiclusianone does not involve the catalytic domain because it was non- or uncompetitive with the substrate sucrose (Engel, 1981). The effective inhibition of GTF C may involve a tight and irreversible binding to the enzymes once complexed. However, further kinetic and binding assays shall be conducted to elucidate the mechanistic details of the inhibitory effects of 7-epiclusianone on glucosyltransferase enzymes, including GTF D; analysis of the inhibition profile of GTF D, which catalyzes a similar reaction but involving distinct glycosidic linkages, would contribute to a better understanding of the mechanisms of action of 7-epiclusianone.
The effects of 7-epiclusianone on the acidogenic and aciduric properties of S. mutans were examined by glycolytic pH-drop assays and F-ATPase activity. The S. mutans can survive and carry out glycolysis at a low pH, which can lead to the demineralization of the adjacent dental enamel, leading to formation of carious lesions (Loesche, 1986). Streptococcus mutans cells rapidly degrade glucose and lower the pH value of the suspension until they can no longer maintain a cytoplasmatic pH compatible with the activity of glycolytic enzymes. Acid sensitization can be rapidly seen in glycolytic pH-drop experiments in which cells are given excess glucose. Thus, the rate of pH drop reflects the acidogenic capacities of the cells, while the final pH values of the suspensions reflect acid tolerance. The presence of 7-epiclusianone (at 50 and 100 μg mL−1) affected both the acid production and the acid tolerance of S. mutans cells as indicated by higher final pH values in the pH-drop experiments. The test agent sensitized the cells to acidification to the point that the final pH values were significantly higher (0.7–0.9 U) than those in the presence of vehicle control (P <0.05). The effects may be related to disturbances of the net membrane permeability to protons based on the pH-drop curves (Fig. 2) and lack of any biocidal activity (or effects on growth rate within 2 h of incubation) by 7-epiclusianone at the concentrations tested. Protons from the environment diffuse inward across the cell membrane after acidification of the suspension but can be extruded by the F-ATPase of the cell membrane. Thus, the F-ATPase protects S. mutans against environmental acid stress by regulating pH homeostasis, which is critical for the optimum function of glycolysis in S. mutans (Sturr & Marquis, 1992). Enolase and other enzymes of the glycolytic pathway and the sugar transport system are sensitive to cytoplasmic acidification (Belli et al., 1995). Our data suggest that one of the mechanisms by which 7-epiclusianone modulates the acidogenicity of S. mutans involves partial inhibition of proton-translocating F-ATPase activity. Overall, the F-ATPase sensitivities to 7-epiclusianone agree well with the pH-drop data. Furthermore, weak acids, such as 7-epiclusianone (Santos et al., 1999), are known to cause acidification of the cytoplasm of cells in an acid environment by acting as a transmembrane proton transporter (Marquis et al., 2003). The combination of a weak-acid effect and inhibition of F-ATPase may have affected the DpH across the membrane, which could disrupt the glycolysis by S. mutans cells. Whether 7-epiclusianone can inhibit the glycolytic enzymes directly awaits further evaluation.
Streptococcus mutans in the mouth are primarily in plaque biofilms, and so we assessed the effects of a short-term topical application (1-min exposure, twice daily) on the biomass and extracellular insoluble polysaccharide content of S. mutans biofilms formed on an apatic surface covered by a salivary pellicle. A regimen of 1-min exposure and daily treatments was selected for this experiment to simulate the likely exposure of test agents at the clinical level. A higher level of the agent was used for biofilms because of the higher biomass densities of biofilms and previous findings that biofilms are less sensitive to 7-epiclusianone than cells in suspension, depending on the biomass concentration; the test concentration of 250 μg mL−1 was selected based on our preliminary dose–response studies and the lack of solubility of higher concentrations in the vehicle solution (Murata et al., 2006).
The viability of the biofilms (as assessed by determination of CFU mg−1 of biofilm dry weight) was not impacted by topical applications of 7-epiclusianone (data not shown) likely due to the brief exposure to the agent and higher bacterial densities in biofilms. Nevertheless, 7-epiclusianone significantly disrupted the accumulation and polysaccharide composition of S. mutans biofilms compared with the control, reducing both the biomass and the total amount of insoluble polysaccharides. The insoluble polysaccharides, which are comprised of mostly 1 → 3 and 1 → 6 linkages, and branch points of 3,4-, 3,6- and 3,4,6-linked glucose (synthesized mostly by GTF B and C), are the major components of the extracellular polysaccharide matrix, which are associated with the development, bulk and cariogenicity of dental biofilms (Bowen, 2002; Paes Leme et al., 2006). The reduction of the biomass of biofilms treated with 7-epiclusianone is proportional to that of extracellular-insoluble polysaccharides in the biofilm matrix. This observation is consistent with the effective inhibition of GTF B and C observed in this study, suggesting that disruption of insoluble glucan synthesis is one of the mechanisms by which the test agent reduced biofilm formation and accumulation. Although S. mutans cells within biofilms were less sensitive to the test agent than those in suspensions, the rate of biofilm acid production was still inhibited even with brief exposures to 7-epiclusianone, which agrees to some extent with the pH-drop studies using cells of S. mutans in suspension.
Overall, the data show that the 7-epiclusianone is a promising naturally occurring agent displaying multiple inhibitory effects that may be working in concert to inhibit the development and acidogenicity of S. mutans biofilms in vitro. The putative pathways by which 7-epiclusianone affect S. mutans virulence may involve at least three routes: (1) inhibition of glucan synthesis, particularly those synthesized by GTF C, (2) disruption of acid production and (3) acid tolerance. We are currently assesing the potential antibiofilm and cariostatic properties of 7-epiclusianone in vivo.
Acknowledgments
We are grateful to Stacy Gregoire and Kathy Scott-Anne for technical assistance. This research was supported by USPHS Research Grant R03 DE015441 from the National Institute of Dental and Craniofacial Research, National Institutes of Health and by Brazilian Government Agency – CAPES Foundation Grant BEX 0154/06-7 (Scholarship to R.M.M.).
References
- Ajdic D, McShan WM, McLaughlin RE, et al. Genome sequence of Streptococcus mutans UA159, a cariogenic dental pathogen. Proc Natl Acad Sci USA. 2002;99:14434–14439. doi: 10.1073/pnas.172501299. [DOI] [PMC free article] [PubMed] [Google Scholar]
- Alves TM, Alves R, Romanha AJ, Zani CL, dos Santos MH, Nagem TJ. Biological activities of 7-epiclusianone. J Nat Prod. 1999;62:369–371. doi: 10.1021/np9803833. [DOI] [PubMed] [Google Scholar]
- Basso LA, da Silva LH, Fett-Neto AG, et al. The use of biodiversity as source of new chemical entities against defined molecular targets for treatment of malaria, tuberculosis, and T-cell mediated diseases-a review. Mem Inst Oswaldo Cruz. 2005;100:475–506. doi: 10.1590/s0074-02762005000600001. [DOI] [PubMed] [Google Scholar]
- Beighton D. The complex oral microflora of high-risk individuals and groups and its role in the caries process. Community Dent Oral Epidemiol. 2005;33:248–255. doi: 10.1111/j.1600-0528.2005.00232.x. [DOI] [PubMed] [Google Scholar]
- Belli WA, Marquis RE. Adaptation of Streptococcus mutans and Entercoccus hirae to acid stress in continuous culture. Appl Environ Microbiol. 1991;57:239–246. doi: 10.1128/aem.57.4.1134-1138.1991. [DOI] [PMC free article] [PubMed] [Google Scholar]
- Belli WA, Buckley DH, Marquis RE. Weak acid effects and fluoride inhibition of glycolysis by Streptococcus mutans GS-5. Can J Microbiol. 1995;41:785–791. doi: 10.1139/m95-108. [DOI] [PubMed] [Google Scholar]
- Bencini DA, Shanley MS, Wild JR, O’Donovan GA. New assay for enzymatic phosphate release: application to aspartate transcarbamylase and other enzymes. Anal Biochem. 1983;132:259–264. doi: 10.1016/0003-2697(83)90005-2. [DOI] [PubMed] [Google Scholar]
- Bowen WH. Do we need to be concerned about dental caries in the coming millennium? Crit Rev Oral Biol Med. 2002;13:126–131. doi: 10.1177/154411130201300203. [DOI] [PubMed] [Google Scholar]
- Cleland WW. The kinetics of enzyme-catalyzed reactions with two or more substrates or products. II. Inhibition: nomenclature and theory. Biochim Biophys Acta. 1963;67:173–187. doi: 10.1016/0006-3002(63)91815-8. [DOI] [PubMed] [Google Scholar]
- Corrêa MP. Dicionário de Plantas Úteis do Brasil e das Exóticas Cultivadas. Imprensa Nacional; Rio de Janeiro: 1978. [Google Scholar]
- Cragg GM, Newman DJ, Snader KM. Natural products in drug discovery and development. J Nat Prod. 1997;60:52–60. doi: 10.1021/np9604893. [DOI] [PubMed] [Google Scholar]
- Cruz AJ, Lemos VS, dos Santos MH, Nagem TJ, Cortes SF. Vascular effects of 7-epiclusianone, a prenylated benzophenone from Rheedia gardneriana, on the rat aorta. Phytomedicine. 2006;13:442–445. doi: 10.1016/j.phymed.2005.01.014. [DOI] [PubMed] [Google Scholar]
- de Stoppelaar JD, Konig KG, Plasschaert AJ, van der Hoeven JS. Decreased cariogenicity of a mutant of Streptococcus mutans. Arch Oral Biol. 1971;16:971–975. doi: 10.1016/0003-9969(71)90186-5. [DOI] [PubMed] [Google Scholar]
- Engel PC. Enzyme Kinetics. Chapman and Hall; New York: 1981. [Google Scholar]
- Fitzgerald RJ, Keyes PH. Demonstration of the etiologic role of streptococci in experimental caries in the hamster. J Am Dent Assoc. 1960;61:9–19. doi: 10.14219/jada.archive.1960.0138. [DOI] [PubMed] [Google Scholar]
- Fukushima K, Ikeda T, Kuramitsu HK. Expression of Streptococcus mutans gtf genes in Streptococcus milleri. Infect Immun. 1992;60:2815–2822. doi: 10.1128/iai.60.7.2815-2822.1992. [DOI] [PMC free article] [PubMed] [Google Scholar]
- Gibbons RJ, van Houte J. Dental caries. Annu Rev Med. 1975;26 :121–136. doi: 10.1146/annurev.me.26.020175.001005. [DOI] [PubMed] [Google Scholar]
- Hamada S, Koga T, Ooshima T. Virulence factors of Streptococcus mutans and dental caries prevention. J Dent Res. 1984;63 :407–411. doi: 10.1177/00220345840630031001. [DOI] [PubMed] [Google Scholar]
- Hamada S, Slade HD. Biology, immunology and cariogenicity of Streptococcus mutans and dental caries prevention. J Dent Res. 1980;63:407–411. doi: 10.1177/00220345840630031001. [DOI] [PubMed] [Google Scholar]
- Harvey A. Strategies for discovering drugs from previously unexplored natural products. Drug Discov Today. 2000;5:294–300. doi: 10.1016/s1359-6446(00)01511-7. [DOI] [PubMed] [Google Scholar]
- Koo H, Rosalen PL, Cury JA, Park YK, Bowen WH. Effects of compounds found in propolis on mutans streptococci growth and on glucosyltransferase activity. Antimicrob Agents Chemother. 2002;46:1302–1309. doi: 10.1128/AAC.46.5.1302-1309.2002. [DOI] [PMC free article] [PubMed] [Google Scholar]
- Koo H, Hayacibara MF, Schobel BD, et al. Inhibition of Streptococcus mutans biofilm accumulation and polysaccharide production by apigenin and tt-farnesol. J Antimicrob Chemother. 2003;52:782–789. doi: 10.1093/jac/dkg449. [DOI] [PubMed] [Google Scholar]
- Lineweaver H, Burk D. The determination of enzyme dissociation constants. J Am Chem Soc. 1934;56:658–666. [Google Scholar]
- Loesche WJ. Role of Streptococcus mutans in human dental decay. Microbiol Rev. 1986;50:353–380. doi: 10.1128/mr.50.4.353-380.1986. [DOI] [PMC free article] [PubMed] [Google Scholar]
- Marquis RE, Clock SA, Mota-Meira M. Fluoride and organic weak acids as modulators of microbial physiology. FEMS Microbiol Rev. 2003;26:493–510. doi: 10.1111/j.1574-6976.2003.tb00627.x. [DOI] [PubMed] [Google Scholar]
- Mooser G, Wong C. Isolation of a glucan-binding domain of glucosyltransferase (1,6-alpha-glucan synthase) from Streptococcus sobrinus. Infect Immun. 1988;56:880–884. doi: 10.1128/iai.56.4.880-884.1988. [DOI] [PMC free article] [PubMed] [Google Scholar]
- Murata RM, Rosalen PL, Koo H, et al., inventors. University of São Paulo, State University of Campinas, University of Rochester, assignee. Oral compositions and use thereof for isolated compound from Rheedia brasiliensis. INPI/SP084864. Brazil patent BR. 2006 August 02;
- Newman DJ, Cragg GM, Snader KM. Natural products as sources of new drugs over the period 1981–2002. J Nat Prod. 2003;66 :1022–1037. doi: 10.1021/np030096l. [DOI] [PubMed] [Google Scholar]
- Paes Leme AF, Koo H, Bellato CM, Bedi G, Cury JA. The role of sucrose in cariogenic dental biofilm formation-new insight. J Dent Res. 2006;85:878–887. doi: 10.1177/154405910608501002. [DOI] [PMC free article] [PubMed] [Google Scholar]
- Quivey RGJR, Kuhnert WL, Hahn K. Adaptation of oral streptococci to low pH. Adv Microb Physiol. 2000;42:239. doi: 10.1016/s0065-2911(00)42004-7. [DOI] [PubMed] [Google Scholar]
- Russell RR. Molecular genetics of glucan metabolism in oral streptococci. Arch Oral Biol. 1990;35(Suppl):53S–58S. doi: 10.1016/0003-9969(90)90131-s. [DOI] [PubMed] [Google Scholar]
- Santos MH, Nagem TJ, Oliveira TT, Braz-Filho R. 7-Epiclusianone, the new tetraprenylated benzophenone and others chemical constituents from the fruits of Rheedia gardneriana. Quim Nova. 1999;22:654–660. [Google Scholar]
- Santos MH, Nagem TJ, Speziali NL, Oliveira TT. Epi-clusianone: a new natural product derivative of bicyclo[3.3.1]nonane-2,4,9-trione. Acta Cryst. 1998;54:1990–1992. [Google Scholar]
- Schilling KM, Bowen WH. Glucans synthesized in situ in experimental salivary pellicle function as specific binding sites for Streptococcus mutans. Infect Immun. 1992;60:284–295. doi: 10.1128/iai.60.1.284-295.1992. [DOI] [PMC free article] [PubMed] [Google Scholar]
- Sturr MG, Marquis RE. Comparative acid tolerances and inhibitor sensitivities of isolated F-ATPases of oral lactic acid bacteria. Appl Environ Microbiol. 1992;58:2287–2291. doi: 10.1128/aem.58.7.2287-2291.1992. [DOI] [PMC free article] [PubMed] [Google Scholar]
- Venkitaraman AR, Vacca-Smith AM, Kopec LK, Bowen WH. Characterization of glucosyltransferaseB, GtfC, and GtfD in solution and on the surface of hydroxyapatite. J Dent Res. 1995;74:1695–1701. doi: 10.1177/00220345950740101101. [DOI] [PubMed] [Google Scholar]
- Wunder D, Bowen WH. Action of agents on glucosyltransferases from Streptococcus mutans in solution and adsorbed to experimental pellicle. Arch Oral Biol. 1999;44:203–214. doi: 10.1016/s0003-9969(98)00129-0. [DOI] [PubMed] [Google Scholar]
- Yamashita Y, Bowen WH, Burne RA, Kuramitsu HK. Role of the Streptococcus mutans gtf genes in caries induction in the specific-pathogen-free rat model. Infect Immun. 1993;61:3811–3817. doi: 10.1128/iai.61.9.3811-3817.1993. [DOI] [PMC free article] [PubMed] [Google Scholar]



