Abstract
Exposure to the industrial solvent, styrene, induces locomotor and cognitive dysfunction in rats, and parkinsonian-like manifestations in man. The antipsychotic, haloperidol (HP), well known to induce striatal toxicity in man and animals, and styrene share a common metabolic pathway yielding p-fluoro phenylglyoxylic acid and phenylglyoxylic acid (PGA), respectively. Using an exposure period of 30 days and the vacous chewing movement (VCM) model as an expression of striatal-motor toxicity, we found that incremental PGA dosing (220–400 mg/kg) significantly increased VCMs up to day 25, but decreased to control levels shortly after reaching maximum dose. However, a diminishing dose of PGA (400–200 mg/kg) did not evoke an immediate worsening of VCMs but precipitated a significant increase in VCMs following dosage reduction to 200 mg/kg on day 22. PGA exposure, therefore, compromises striatal-motor function that is especially sensitive to changes in exposure dose. Longer alternating dose exposure studies are needed to establish whether motor dysfunction is progressive in severity or longevity. These findings are of significance for the environmental toxicology of styrene in the chemical industry.
Keywords: Styrene Phenylglyoxylic acid, Haloperidol, Vacuous chewing movements, Striatum, Dose variation
Exposure to environmental toxins and chemicals can increase the risk of developing neurodegenerative diseases, such as Parkinson’s disease, or parkinsonian-like disorders (Betarbet et al. 2000). Styrene is extensively used in the manufacture of various polymers and co-polymers. It is known, however, that humans (Cherry et al. 1981) and animals (Chakrabarti 2000) exposed to high levels of styrene present with various neurological symptoms, including parkinsonism-like manifestations and progressive worsening of motor function.
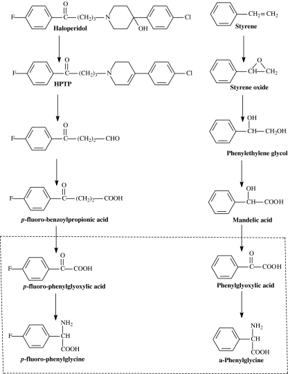
It is believed that phenylglyoxylic acid (PGA), one of the major metabolites of styrene (Sumner and Fennel 1994), is responsible for the neurotoxic effects of styrene via its amination product, α-phenylglycine (α-PG; Fig. 1) leading to depletion of striatal dopamine (DA; Romanelli et al. 1986). Mienie et al. (1999) reported the presence of p-fluorophenylglycine (p-FPG) in the urine of baboons treated with the tetrahydropyridine (HTPT) dehydration product of the antipsychotic drug, haloperidol (HP), also demonstrating the pre-requisite inter-conversion of p-fluorophenylglyoxylic acid (p-FPGA) to p-FPG (Fig. 1). The formation of the unfluorinated congener of p-FPGA, PGA, from styrene has been detected in urine, as well as the aminotransferase product, α-PG (Manini et al. 2002). The similarities in the metabolic pathways of HP and styrene (Fig. 1) and the identification of the p-fluoro-substituted analog of HPTP could possibly explain the incidence of parkinsonian symptoms induced by these compounds. Although the behavioral manifestation of striatal-motor toxicity for styrene and HP are known, this has not yet been fully explored for PGA. Moreover, with recent evidence suggesting that styrene toxicity may more be related to the parent compound itself and not PGA (Ladefoged et al. 1998), further confirmation of this assumption is required.
Fig. 1.
Proposed similarities between haloperidol (or HPTP) and styrene metabolism (Mienie et al. 1999), yielding p-fluoro phenylglyoxylic acid and phenylglyoxylic acid (PGA), respectively
First generation antipsychotics like HP are well known to worsen striatal-motor dysfunction after acute and chronic treatment (Andreassen and Jørgensen 2000), while dose reduction may also worsen motor symptoms (Anand and Dewan 1996). Considering this, we have used the vacuous chewing movement (VCM) model (Andreassen and Jørgensen 2000), and a dosage escalation and reduction treatment protocol, to access the striatal-motor toxicity potential of PGA in rats following chronic (30 days) exposure.
Adult male Sprague-Dawley rats (180–220 g, ±4 months) were housed four rats/cage at the Animal Research Centre of North-West University under constant conditions of temperature (21 ± 1°C) and humidity (50 ± 10%), with a 12:12 h light–dark cycle and free access to food and water. The Ethics Committee of the North-West University, Potchefstroom, approved all the procedures performed on the animals (ethics number NWU-00020-09-S5).
Two groups of rats were treated with daily oral dosages of PGA (Sigma-Aldrich Chemical Co.,South Africa), administered at 0800 h each day, for a period of 30 days. Group 1 animals (study 1) were treated with an initial dosage of 220 mg/kg body mass PGA, subsequently increased to 400 mg/kg body mass over the first 15 days of treatment (days 1–4 220 mg/kg; days 5–9 250 mg/kg; days 10–15 350 mg/kg, days 16–30 400 mg/kg), and maintained as such for the last 15 days of treatment. Group 2 animals (study 2) were treated with an initial daily oral dose of 400 mg/kg body mass PGA, but which was decreased to 330 mg/kg on day 17 and to 200 mg/kg on day 20 (days 1–16 400 mg/kg; days 17–19 330 mg/kg; days 20–30 200 mg/kg). The control groups received equivalent volumes of the vehicle only (distilled water). Group 1 consisted of 12 PGA-treated and 12 control rats, with VCMs scored on days 0, 4, 8, 11, 22, 25, and 29. Group 2 consisted of eight PGA-treated rats and four control rats, with VCMs scored on days 0, 5, 8, 11, 22, 26, and 30. Behavioral assessments were carried out in raised transparent cages (34 × 28 × 30 cm with wire mesh bottom) between 1400 and 1530 h, the time delay to insure that oral movements observed were not a result of irritation from the orally administered PGA. After a 2-min habituation period, each rat was observed for 2 min by three trained and treatment-blind observers, with VCMs graded and quantified as follows: single chewing movements (a single movement not directed toward an object and unrelated to grooming, gnawing, or mouthing food); chew bursts (two or more movements rapidly following one another); and tongue protrusions, with each of the above counted as one separate movement (Harvey and Bester 2000). Individual observed scores were tallied for each rat and expressed as total VCMs/2 min.
The overall effects of PGA on VCMs were analyzed with a repeated measures analysis of variance (ANOVA). Differences between control and PGA groups in both studies were analyzed with a two-way ANOVA with a fixed effect on grouping and repeated measure factor over time, followed by analysis of covariance (ANCOVA) to compare the means of the two groups adjusting for the baseline value. Due to deviations from normality in group 1, each day’s data was first transformed by using the Box–Cox transformation. In all the cases, data are expressed as mean ± SEM with P < 0.05 deemed significant.
A definite increase in VCMs versus control was observed as the dose of PGA escalated over time from the start of treatment (Study 1; Fig. 2), with PGA inducing higher VCMs already on day 8 of treatment, reaching significance by day 11 (2.33 ± 1.032 vs. 4.50 ± 1.031; F = 4.52; P = 0.046) and peaking on day 22 (3.75 ± 1.497 vs. 7.67 ± 1.497; F = 5.58; P = 0.044). Interestingly, VCMs decreased after day 22, i.e. shortly after dose escalation to 400 mg/kg, although was still significantly higher than control on day 25 (2.50 ± 0.906 vs. 6.33 ± 0.906; F = 9.34; P = 0.005; Fig. 2). On the last day of treatment (day 30), VCMs associated with PGA had reached equivalence with control (Fig. 2). In the study 2 protocol, we observed no noteworthy increase in VCMs during the early stages of PGA treatment when the dose of PGA was highest (400 mg/kg; Fig. 3). However, VCMs were significantly worse on day 22 compared to control (3.20 ± 1.279 vs. 9.17 ± 0.929; F = 12.31; P = 0.008) following a decrease in PGA dosage to 330 mg/kg on day 17 and a further reduction to 200 mg/kg on day 20. A progressive worsening of VCMs then ensued, with VCMs reaching even higher levels compared to control on day 26 (0.47 ± 2.151 vs. 13.16 ± 1.548; F = 19.69; P = 0.002) and day 30 (1.66 ± 2.121 vs. 13.19 ± 1.526; F = 16.70; P = 0.004; Fig. 3).
Fig. 2.
Time course of PGA treatment and the effect of increasing dosages on the days indicated, on average VCMs in PGA and vehicle treated rats as determined in Group 1 (mean ± SEM). Day 11 * P = 0.046, day 22 * P = 0.044, day 25 * P = 0.005 (ANCOVA)
Fig. 3.
Time course of PGA treatment and the effect of decreasing dosages on the days indicated, on average VCMs in PGA and vehicle treated rats as determined in Group 2 (mean ± SEM). Day 22 * P = 0.008, day 26 * P = 0.002, day 30 * P = 0.004 (ANCOVA)
Treatment with PGA at incremental dosages resulted in a gradual increase in spontaneous VCMs over time to significant levels (Fig. 2). The presence of background VCM’s observed in control animals is not unusual and is known to be highly variable in rats (Glenthøj and Hemmingsen 1991; Andreassen and Jørgensen 2000). The worsening of spontaneous VCMs by PGA is not unlike that seen following treatment with HP (Andreassen and Jørgensen 2000; Harvey and Bester 2000). In the case of HP, this phenomenon has been linked to striatal dopamine depletion and dopamine receptor hypersensitivity (Andreassen and Jørgensen 2000). Indeed, earlier studies in rabbits have found that prolonged PGA exposure significantly depletes striatal dopamine (Romanelli et al. 1986), and which we also have observed in rats following a 30-day exposure to oral PGA (Terre’Blanche, unpublished observation). Since both styrene and HP are associated with in vivo conversion to PGA (Fig. 1), it could be argued that PGA underlies the striatal toxicity inherent in both styrene and HP.
Sub-chronic and long-term treatment with HP engenders a rapid and sustained elevation in VCMs which worsens following an increase in dose, or sudden discontinuation (Steinpreis et al. 1997; Andreassen and Jørgensen 2000). In this study, however, higher dosages of PGA given during the latter stages of treatment (Group 1, Fig. 2) evoke fewer VCMs than lower dosages of the compound. Here VCMs escalated as the dose of PGA increased from 200 to 400 mg/kg over the first 3 weeks of treatment, but in the last week of treatment at maximum dose VCMs gradually returned to control levels (Fig. 2). This apparent lessening of motor toxicity in the final week of treatment at maximum dose suggests that PGA-induced striatal toxicity, unlike that with HP, normalizes at some point, or alternatively is a product of an adaptive phenomenon at another level of striatal functioning. It is, however, interesting given the earlier mentioned observation that PGA decreases striatal dopamine levels, suggesting that a disturbance in dopamine persists in spite of an apparent improvement in symptoms.
Interestingly, when we consider more closely the results from Group 2, initiating PGA treatment at a starting dose of 400 mg/kg and sustained over the first 16 days of treatment was not associated with an expected exacerbation of VCMs (Fig. 3), also unlike that seen with HP (Andreassen and Jørgensen 2000). In fact, VCMs increased rapidly only after the dosage was reduced to 330 mg/kg (on day 17) and then to 200 mg/kg (on day 20; Fig. 3). Together these data suggest an increased sensitivity to developing striatal-motor dysfunction following variations in daily/weekly PGA exposure. Changes in motor function after dose escalation and/or reduction are also noted with first generation antipsychotics (Anand and Dewan 1996; Andreassen and Jørgensen 2000).
Considering the continued awareness of the potential of styrene as an environmental toxin (Seeber et al. 2009), this study provides new evidence concerning the striatal-motor toxicity of PGA, one of the major metabolites of styrene. We have demonstrated that rats treated orally with increasing dosages of PGA over a period of 30 days, as is typically observed with HP, is associated with a significant worsening of VCMs, suggestive of striatal-motor toxicity. However, unlike HP these behaviors are transient as VCMs returned to control values later on in treatment. Importantly, initial high dosages of PGA did not worsen VCMs, yet later on dosage reduction significantly exacerbated VCMs. Thus, PGA exposure distinctly compromises striatal-motor function that may be especially sensitive to week-by-week changes in exposure dose. However, our data suggest that these effects are not progressive in severity or longevity after dose escalation, possibly supportive of earlier studies that have failed to implicate PGA in the long-term neurotoxic effects of styrene (Ladefoged et al. 1998), although may not apply to dose reduction. This would, by implication, apply to its possible role in HP toxicity as well. Consequently, longer alternating dose exposure studies with PGA are needed to shed more light on whether its apparent benign profile remains transient, whether striatal-motor function worsens over time, and whether striatal neurotransmitters are affected in any way.
Acknowledgments
For the welfare of the animals, we thank Dr. Douw van der Nest, Cor Bester and Antoinette Fick of the Animal Research Center at North-West University Potchefstroom Campus. This study was financially supported by the National Research Foundation, South Africa.
Open Access
This article is distributed under the terms of the Creative Commons Attribution Noncommercial License which permits any noncommercial use, distribution, and reproduction in any medium, provided the original author(s) and source are credited.
References
- Anand VS, Dewan MJ. Withdrawal-emergent dyskinesia in a patient on risperidone undergoping dosage reduction. Ann Clin Psychiatry. 1996;8:179–182. doi: 10.3109/10401239609147755. [DOI] [PubMed] [Google Scholar]
- Andreassen OA, Jørgensen HA. Neurotoxicity associated with neuroleptic-induced oral dyskinesias in rats. Implications for tardive dyskinesia? Prog Neurobiol. 2000;61:525–541. doi: 10.1016/S0301-0082(99)00064-7. [DOI] [PubMed] [Google Scholar]
- Betarbet R, Sherer TB, MacKenzie G, Garcia-Osuna M, Panov AV, Greenamyre JT. Chronic systemic pesticide exposure reproduces features of Parkinson’s disease. Nat Neurosci. 2000;3:1301–1306. doi: 10.1038/81834. [DOI] [PubMed] [Google Scholar]
- Chakrabarti SK. Altered regulation of dopaminergic activity and impairment in motor function in rats after subchronic exposure to styrene. Pharmacol Biochem Behav. 2000;66:523–532. doi: 10.1016/S0091-3057(00)00216-1. [DOI] [PubMed] [Google Scholar]
- Cherry N, Rodgers B, Venables H, Waldron HA, Wells GG. Acute behavioral effects of styrene exposure: a further analysis. Br J Ind Med. 1981;38:346–350. doi: 10.1136/oem.38.4.346. [DOI] [PMC free article] [PubMed] [Google Scholar]
- Glenthøj B, Hemmingsen R. Development of vacuous chewing movements in rats: role of housing environment. Life Sci. 1991;48:2137–2140. doi: 10.1016/0024-3205(91)90146-3. [DOI] [PubMed] [Google Scholar]
- Harvey BH, Bester A. Withdrawal-associated changes in peripheral nitrogen oxides and striatal cyclic GMP after chronic haloperidol treatment. Behav Brain Res. 2000;111:203–211. doi: 10.1016/S0166-4328(00)00156-X. [DOI] [PubMed] [Google Scholar]
- Ladefoged O, Lam HR, Ostergaard G, Hansen EV, Hass U, Lund SP, Simonsen L. Toxicity of the styrene metabolite, phenylglyoxylic acid, in rats after three months’ oral dosing. Neurotoxicology. 1998;19:721–737. [PubMed] [Google Scholar]
- Manini P, Andreoli R, Poli D, De Palma G, Mutti A, Niessen WM. Liquid chromatography/electrospray tandem mass spectrometry characterization of styrene metabolism in man and rat. Rapid Commun Mass Spectrom. 2002;16:2230–2248. doi: 10.1002/rcm.848. [DOI] [PubMed] [Google Scholar]
- Mienie LJ, Bergh JJ, Bloomquist JR, Castagnoli N, Steyn SJ, Van der Schyf CJ. p-Fluorophenylglycine in the urine of baboons treated with HPTP, the tetrahydropyridine analog of haloperidol. Life Sci. 1999;65:535–542. doi: 10.1016/S0024-3205(99)00274-X. [DOI] [PubMed] [Google Scholar]
- Romanelli A, Falzoi A, Mutti A, Bergamaschi E, Franchini I. Effects of some monocyclic aromatic aromatic solvent and their metabolites on brain dopamine in rabbits. J Appl Toxicol. 1986;6:431–436. doi: 10.1002/jat.2550060609. [DOI] [PubMed] [Google Scholar]
- Seeber A, Bruckner T, Triebig G. Occupational styrene exposure and neurobehavioural functions: a cohort study with repeated measurements. Int Arch Occup Environ Health. 2009;82:969–984. doi: 10.1007/s00420-008-0382-5. [DOI] [PubMed] [Google Scholar]
- Steinpreis RE, Parret F, Summ RM, Panos JJ. Effects of clozapine and haloperidol on baseline levels of vacuous jaw movements in aged rats. Behav Brain Res. 1997;86:165–169. doi: 10.1016/S0166-4328(96)02262-0. [DOI] [PubMed] [Google Scholar]
- Sumner SJ, Fennel TR. Review of the metabolic fate of styrene. Crit Rev Toxicol. 1994;24:11–13. doi: 10.3109/10408449409020138. [DOI] [PubMed] [Google Scholar]



