Abstract
A comprehensive and facile method for the synthesis of new functionalized bis-heterocyclic compounds containing a thieno[2,3-b]thiophene motif is described. The hitherto unknown bis-pyrazolothieno[2,3-b]thiophene derivatives 2a–c, bis-pyridazin othieno[2,3-b]thiophene derivatives 4, bis-pyridinothieno[2,3-b]thiophene derivatives 6a,b, and to an analogous bis-pyridinothieno[2,3-b]thiophene nitrile derivatives 7 are obtained. Additionally, the novel bis-pyradazinonothieno[2,3-b]thiophene derivatives 9, and nicotinic acid derivatives 10, 11 are obtained via bis-dienamide 8. The structures of all newly synthesized compounds have been elucidated by 1H, 13C NMR, GCMS, and IR spectrometry. These compounds represent a new class of sulfur and Nitrogen containing heterocycles that should also be of interest as new materials.
Keywords: pyrazole; nicotinic acid; thieno[2,3-b]thiophene; enaminone; heterocycle
1. Introduction
Heterocycles are well known for displaying a wide range of biological properties [1]. The structural diversity and biological importance of N-containing heterocycles have made them attractive synthetic targets over many years. Pyrazole and pyrazoline derivatives are in general well-known five-membered N-containing heterocyclic compounds [2,3]. Compounds with pyrazole ring are of interest due to their broad spectrum of biological activities as NOS inhibitors [4], monoamine oxidase inhibitor [5], antibacterial [6], and antiamoebic compounds [7]. Moreover, N-phenylpyrazole derivatives play an important role in antitumor screening [8] as well as potent antimicrobial products [9,10]. Furthermore, a number of pyridine and pyridazine derivatives are gaining synthetic interest in recent years due to their broad spectrum of biological activities [11]. On the other hand, many thiophene-containing compounds, including annulated compounds, exhibit biological activities [12,13]. Thienothiophene derivatives have been developed for different purposes in the pharmaceutical field and have been tested as potential antitumor, antiviral and antibiotic, antiglaucoma drugs, or as inhibitors of platelet aggregation [14–18]. In addition, thienothiophenes have potential applications in a wide variety of optical and electronic systems [19–21]. Furthermore, bis-heterocyclic have received great attention as being model compounds for main chain polymers [22–26]. It is also reported that many biologically active natural and synthetic products have molecular symmetry [27]. Keeping the above facts in mind and in continuation of our interest in the synthesis of bis(hetrocycles) [28–31], we describe herein a simple and efficient route for the synthesis of novel bis(enaminones) and studied their synthetic utilities as key intermediates for the synthesis of novel bis-heterocycles pyrazoles, pryridines, and pyridazine derivatives.
2. Results and Discussion
Recently, enaminones 1 were prepared by different synthetic approaches and their use as building blocks for the synthesis of a wide variety of heterocycles has been investigated [3,32–35]. The new bis(enaminones) 1 being now available to us prompted us to study its synthetic utility as key intermediate for novel bis(5- and 6-membered) heterocycles with the thieno[2,3-b]thiophene core. Thus, heating the bis(enaminone) with ethyl-2-(2-arylhydrazono)-2-chloroacetate which is commercially available in dry benzene and TEA (Tri ethyl amine) resulted in the formation of the bis(1-Phenyl-1-H-pyrazole-3-carboxylate) derivatives (2a) in 62% yield as depicted in Scheme 1.
Scheme 1.
The synthesis of bis-pyrazole derivatives 2a–c.
The structure of compound 2a was determined from its elemental and spectroscopic analyses. Its IR spectrum showed the presence of an absorption band characteristic for C=O as well as the presence of C=N absorption at 1627 cm−1. The 1H NMR spectrum of 2a showed a singlet at 10.6 ppm due to the pyrazole ring (5-CH). It is noteworthy to mention that the bis(pyrazoles) 2a, 2b could also be prepared from 1 in 67 and 70% yields, respectively, using the above synthetic methodology (Scheme 1). The formation of the bis(pyrazole) 2a from 2b or 2c is supposed to proceed through the formation of the nonisolable intermediates followed by the elimination of two molecules of the secondary amines.
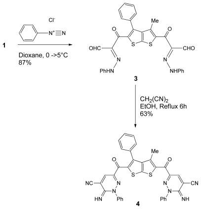
Our study is now extended to include the synthesis of new bis(pyridines) and bis(pyridazines) derivatives. Thus, 1 was allowed to react with benzenediazoniumchloride which was prepared in situ from aniline in a HCl with aqueous NaNO2 in dioxane at 0–5°C to give a single product as examined by TLC. Elemental analyses and mass spectrum of the isolated product were completely in agreement with the molecular formula C31H22N4O4S2. The structure of the product, obtained in 87% yield, is assumed to be 3 according to the rationale outlined in Scheme 2. The later compound reacts with malononitrile in refluxing EtOH which undergoes intramolecular cyclization to give compound 4 in 63% yield. The 1H NMR spectrum of compound 4 was free of aldehydic proton and exhibited one characteristic singlet at 7.89 pmm integrated for 1H (for C–H of the pyridazine moiety). In addition, one singlet at 8.16 pmm integrated for 1H (for the NH-Pyridazine moietiy). Furthermore, the appearance of CN, and NH absorption at 2187, 3305 cm−1, respectively in the IR spectrum as well as its appearance as a broad singlet (8.16 pmm) in the 1H NMR spectrum strongly supported this assignment.
Scheme 2.
The synthesis of bis-pyridazine derivatives 4.
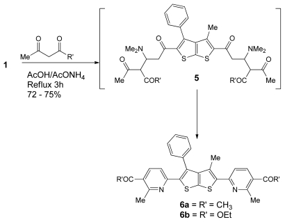
Next, we have also described the synthesis of the new bis(pyridine) derivatives 6a,b in 72–75% by the reaction of 1 with the corresponding acetone derivatives. Thus, reaction of 1 with acetylacetone in refluxing AcOH in the presence of NH4OAc afforded the corresponding bis(pyridine) derivative 6a in 72% yields. Similarly, reaction of 1 with ethyl acetoacetate under the same reaction conditions gave the target bis(pyridine) 6b in 75% yields as outlined in Scheme 3. It is assumed that enolates are initially added via 1,4-addition to the enaminones 1 to give the nonisolable intermediate 5. Subsequent intermolecular cyclization via dimethylamine elimination gave the target compounds 6a,b. The structures of compounds 6a,b were inferred from different spectroscopic and analytical data.
Scheme 3.
The synthesis of bis-pyridine derivatives 6a,b.
It is noteworthy to mention here that the bis-(heterocycle) 7 was also prepared from the corresponding enaminones 1 but in moderate yield, as depicted in Scheme 4.
Scheme 4.
Synthesis of bis-pyridine nitrile derivatives 7.
When enaminone 1 was treated with malononitrile in ethanolic piperidine under reflux for 1h which was a red crystalline product, bis-dienamide derivatives 8 was obtained in 62% yield (Scheme 5), used as key intermediate for the synthesis of a wide variety of bis-(pyridazinones) 9, and bis-(pyridinones) 10, 11 as drawn in Schemes 6 and 7.
Scheme 5.
Synthesis of bis-dienamide 8.
Scheme 6.
Synthesis of bis-(pyradazinone) derivatives 9.
Scheme 7.
The synthesis of nicotinic acid derivatives 10, 11.
In consideration of the reported data we believe that 8 was formed [36] via initial 1,4-addition of malononitrile across the C=C bond to yield 12 that cyclized to 13 and then rearranged to 14 via an allowed 1,3-nitrogen shift (Figure 1).
Figure 1.
Proposed mechanism for the formation of bis-dienamide 8.
It is noteworthy to mention that the bis(pyradazinone) derivatives 9 could also be prepared from the appropriate bis-dienamide 8 [36]. Two methods were studied for the synthesis of 9. In the first method, treating 8 with NaNO2/HCl in refluxing dioxane in the presence of NaOAc for 4 h afforded the final product in 72% yield. Alternatively, by coupling of 8 with phenyl diazonium salt gave the authentic product in 68% yield as drawn in Scheme 6.
Consequently, a plausible mechanism for the formation of compounds 9 is illustrated in Figure 2. It is assumed that the initially formed 15 is subject to a cyclization to 16, which is further hydrolysed to 17 under the reaction conditions. Finally, the lone pairs on the amide N-atom react with the oxime N-atom kicking out H2O producing 9.
Figure 2.
Proposed mechanism for the nitrozation and coupling reactions.
Conversions of 8 into nicotinic acid derivatives 10 were achieved by boiling in EtOH/HCl. When, however, 8 was heated under reflux in AcOH, nicotinic nitrile derivative 11 was obtained. The novel bis pyridinones 10, 11 were assumed to be formed via nucleophilic attack of NH at the activated C=C bond of the enamine derivative to eliminate two molecules of Me2NH affording the final product as depicted in Scheme 7. The structures of compounds 10, 11 were inferred from their spectroscopic and analytical data.
3. Experimental Section
M.P. were measured on a Gallenkamp melting point apparatus in open glass capillaries and are uncorrected. IR spectra were measured as KBr pellets on a Perking Elmer FT 1000 spectrophotometer. The NMR spectra were recorded on a Varian Mercury Jeol-400 NMR spectrometer. 1H-NMR (400 MHz) and 13C-NMR (100 MHz) were run in (DMSO-d6). Chemical shifts (δ) are referred in ppm and coupling constants J are given in Hz. Abbreviations for multiplicity are as follows: s (singulet), d (doublet), t (triplet), q (quadruplet), m (multiplet). Mass spectra were recorded on a Shimadzu GCMS-QP 1000 EX mass spectrometer at 70 eV. Elemental analysis was carried out on an Elementar Vario EL analyzer.
General procedure for the synthesis of compounds 2a–c (GP1). To a soln of 1 (0.5 mmol, 0.21 g) in dry benzene (20 mL), ethyl 2-(2-arylhydrazono)-2-chloroacetate derivative (2 equiv., 1 mmol) was added in the presence of few drops of Et3N, thus the reaction mixture was heated under reflux for 8 h. The solid product was collected by filtration, and recrystallized from EtOH.
Diethyl-4,4′-(3-Methyl-4-phenylthieno[2,3-b]thiophene-2,5-dicarbonyl)bis(1-phenyl-1H-pyrazole-3-carboxylate) (2a)
2a was prepared from ethyl 2-(2-phenylhydrazono)-2-chloroacetate following GP1, pale brown crystals, yield (62%); m.p. 206–208 °C; IR (νmax): 1716–1732 (C=O), 1627 (C=N) cm−1; 1H-NMR (400 MHz, DMSO-d6): 1.30 (t, 3H, J = 6.9 Hz, CH3, ester), 1.96 (s, 3H, CH3), 4.25 (q, 2H, J = 16.6 Hz, CH2, ester), 7.36–7.76 (m, 15H, Ar-H), 10.6 (s, 1H, pyrazolo-H); 13C-NMR (100 MHz, DMSO-d6) δ (ppm): 14.49, 21.70, 66.25, 168.27, 192.12; MS m/z (%): 714 [M+, 1%], 240 (74), 166 (100), 98 (72); Anal. Calcd for C39H30N4O6S2: C, 65.53; H, 4.23; N, 7.84; S, 8.97; Found: C, 65.57; H, 4.21; N, 7.82; S, 9.
Diethyl-4,4′-(3-methyl-4-phenylthieno[2,3-b]thiophene-2,5-dicarbonyl)bis(1-(4-chlorophenyl)-1H-pyrazole-3-carboxylate) (2b)
2b was prepared from Ethyl 2-(2-(4-chlorophenyl)hydrazono)-2-chloroacetate following GP1 as a yellow crystal, yield (67%); m.p. 236–238 °C; IR (νmax): 1710 (C=O), 1624 (C=N) cm−1; 1H-NMR (400 MHz, DMSO-d6) δ (ppm): 1.30 (t, 3H, J = 6.9 Hz, CH3, ester), 1.96 (s, 3H, CH3), 4.25 (q, 2H, J = 16.6 Hz, CH2, ester), 7.36–7.96 (m, 13H, Ar-H), 10.6 (s, 1H, pyrazolo-H); 13C-NMR (100 MHz, DMSO-d6): 14.49, 21.70, 66.25, 168.27, 192.12; MS m/z (%): 782 [M+, 1.5%]; Anal. Calcd for C39H28Cl2N4O6S2: C, 59.77; H, 3.60; Cl, 9.05; N, 7.15; O, 12.25; S, 8.18; Found: C, 59.80; H, 3.58; Cl, 9.07; N, 7.14; S, 8.18.
Diethyl-4,4′-(3-methyl-4-phenylthieno[2,3-b]thiophene-2,5-dicarbonyl)bis(1-(4-methoxyphenyl)-1H-pyrazole- 3-carboxylate) (2c)
2c was prepared from Ethyl 2-(2-(4-methylphenyl) hydrazono)-2-chloroacetate following GP1 as a yellow crystal, yield (70%); m.p. 240–242 °C; IR (νmax): 1728 (C=O), 1624 (C=N) cm−1; 1H-NMR (400 MHz, DMSO-d6) δ (ppm): 1.2 (t, 3H, J = 6.9 Hz, CH3, ester), 1.96 (s, 3H, CH3), 2.22 (s, 3H, CH3), 4.25 (q, 2H, J = 16.6 Hz, CH2, ester), 7.13–7.66 (m, 13H, Ar-H), 10.5 (s, 1H, pyrazolo-H); 13C-NMR (100 MHz, DMSO-d6) δ (ppm): 8.2, 14.49, 21.70, 66.25, 168.27, 192.12; MS m/z (%): 742 [M+, 1.8%]; Anal. Calcd for C41H34N4O6S2: C, 66.29; H, 4.61; N, 7.54; O, 12.92; S, 8.63; Found: C, 66.32; H, 4.60; N, 7.52; S, 8.58.
3,3′-(3-Methyl-4-phenylthieno[2,3-b]thiophene-2,5-diyl)bis(3-oxo-2-(2-phenylhydrazono)propanal) (3)
To a stirred soln. of 1 (0.5 mmol, 0.21 g) in dioxane (15 mL) was cooled in an ice bath at 0–5 °C, a soln. of the benzenediazonium chloride [Freshly prepared by diazotizing aniline (1 mmol) in HCl (0.28 mL) with NaNO2 (2 mmol) in H2O (4 mL)] was added drop wise over a period of 20 min. The reaction mixture was kept in a refrigerator overnight. The solid product was collected by filtration, and recrystallized from EtOH to give yellow crystal, yield (87%); m.p. 176–178 °C; IR (νmax): 1591 (C=N), 1627–1639 (C=O), 3435 (NH) cm−1; 1H-NMR (400 MHz, DMSO-d6) δ (ppm): 2.08 (s, 3H, CH3), 7.19–7.61 (m, 15H, Ar-H), 7.69 (s, 1H, N-H), 8.66 (s, 1H, CHO); 13C-NMR (100 MHz, DMSO-d6) δ (ppm): 14.13, 122.46, 128.62, 129.35, 129.96, 130.36, 130.54, 136.37, 145.83, 147.23, 187.13, 188.86. MS m/z (%):578 [M+, 45%]; Anal. Calcd for C31H22N4O4S2: C, 64.34; H, 3.83; N, 9.68; O, 11.06; S, 11.08; Found: C, 64.37; H, 3.80; N, 9.63; S, 11.14.
6-(5-(5-Cyano-6-imino-1,6-dihydropyridazine-3-carbonyl)-3-methyl-4-phenylthieno [2,3-b]thiophene-2-carbonyl)-3-imino-2,3-dihydropyridazine-4-carbonitrile (4)
To a stirred solution of 1 (0.5 mmol, 0.21 g) in EtOH (10 mL). Malononitrile (1 mmol, 0.07 g) was added and the resulting reaction mixture was heated under reflux for 6 h. The solid product was collected by filtration, and recrystallized from (EtOH). B was obtained as yellow crystal, yield (63%); m.p. > 320–322 °C; IR (νmax): 1593 (C=N), 1627 (C=O), 2187 (CN),3305 (NH) cm−1; 1H-NMR (400 MHz, DMSO-d6) δ (ppm): 2.01 (s, 3H, CH3), 7.23–7.63 (m, 15H, Ar-H), 7.89 (s, 1H, CH, pyridazyl), 8.16 (s, 1H, N-H); 13C-NMR (100 MHz, DMSO-d6) δ (ppm): 14.13, 107.98, 115.98, 122.42, 128.42, 129.45, 129.96, 130.36, 130.54, 136.37, 145.83, 147.23, 154.22, 187.33; MS m/z (%): 674 [M+, 45%]; Anal. Calcd for C37H22N8O2S2: C, 65.86; H, 3.29; N, 16.61; O, 4.74; S, 9.50; Found: C, 65.84; H, 3.29; N, 16.63; S, 9.50.
General procedure for the synthesis of compounds 6a–c (GP2). To a solution of 1 (0.5 mmol, 0.21 g) in acetic acid glacial (10 mL). Acetyl acetone derivatives (2 equiv., 1 mmol) was added in the presence of catalytic amount of ammonium acetate. The reaction mixture was heated under reflux for 3 h. The solid product was collected by filtration, and recrystallized from (EtOH).
1,1′-(6,6′-(3-methyl-4-phenylthieno[2,3-b]thiophene-2,5-diyl)bis(2-methylpyridine-6,3-diyl))diethanone (6a)
6a was prepared from acetylacetone following GP2 as a dark yellow crystal, yield (72%); m.p. 241–243 °C; IR (νmax): 1682 (C=O), 1624 (C=N) cm−1; 1H-NMR (400 MHz, DMSO-d6) δ (ppm): 1.96 (s, 3H, CH3), 2.51 (s, 3H, COCH3), 2.62 (s, 3H, CH3, pyridyl), 7.29–7.59 (m, 5H, C6H5), 7.95 (d, 1H, J = 6.6 Hz, CH, pyridyl), 8.25 (d, 1H, J = 8.0 Hz, CH, pyridyl); 13C-NMR (100 MHz, DMSO-d6) δ (ppm): 14.49, 29.37, 30.55, 129.23, 129.55, 129.87, 134.79, 138.82, 141.84, 147.68, 151.23, 166.13, 194.1; MS m/z (%): 496 [M+, 3%]; Anal. Calcd for C29H24N2O2S2: C, 70.13; H, 4.87; N, 5.64; S, 12.91; Found: C, 70.18; H, 4.84; N, 5.6; 1; S, 12.96.
Diethyl-6,6′-(3-methyl-4-phenylthieno[2,3-b]thiophene-2,5-diyl)bis(2-methylnicotinate) (6b)
6b was prepared from ethylacetoacetate following GP2 as a yellow crystal, yield (75%); m.p. 228–230 °C; IR (νmax): 1714 (C=O), 1622 (C=N) cm−1; 1H-NMR (400 MHz, DMSO-d6) δ (ppm): 1.29 (t, 3H, J = 8.0Hz, CH3, ester), 1.98 (s, 3H, CH3), 2.5 (s, 3H, CH3, pyridyl), 4.25 (q, 3H, J = 8.0 Hz, CH3, ester), 7.14–7.58 (m, 5H, C6H5), 7.85 (d, 1H, J = 6.5 Hz, CH, pyridyl), 8.20 (d, 1H, J = 7.5 Hz, CH, pyridyl); 13C-NMR (100 MHz, DMSO-d6) δ (ppm): 14.49, 29.37, 30.55, 62.17, 129.23, 129.55, 129.87, 134.79, 138.82, 141.84, 147.68, 151.23, 166.13, 194.1; MS m/z (%): 556 [M+, 38%], 435 (12), 363 (48), 250 (55), 98 (100), 97 (45); Anal. Calcd for C31H28N2O4S2: C, 66.88; H, 5.07; N, 5.03; S, 11.52; Found: C, 66.91; H, 5.04; N, 5.02; S, 11.52.
6,6′-(3-methyl-4-phenylthieno[2,3-b]thiophene-2,5-diyl)bis(2-ethoxynicotinonitrile) (7)
To a solution of 1 (0.5 mmol, 0.21 g) in EtONa (Na 0.02g/EtOH 10 mL), malononitrile (1 mmol, 0.07 g) was added and the resulting reaction mixture was heated under reflux for 4 h. The solid product was collected by filtration, 7 was obtained as red crystal, yield (52%); m.p. > 330–332 °C; IR (νmax) : 1573 (C=N), 2200 (CN) cm−1; 1H-NMR (400 MHz, DMSO-d6) δ (ppm): 1.32 (t, 3H, J = 8.0 Hz, CH3), 1.89 (s, 3H, CH3), 5.15–5.90 (q, 2H, J = 8.0 Hz, CH2), 7.22 (d, 1H, J = 7.5 Hz, CH), 7.36–7.43 (m, 5H, Ar-H), 8.44 (d, 1H, J = 7.5 Hz, CH). 13C-NMR (100 MHz, DMSO-d6) δ (ppm): 14.8, 29.58, 69.92, 103, 115, 119, 128.68, 128.81, 129.98, 133.61, 143,8, 149.1, 176, 180; MS m/z (%): 522 [M+, 12%], 492(6), 403(14), 149(100), 91(64); Anal. Calcd for C29H22N4O2S2: C, 66.64; H, 4.24; N, 10.72; S, 12.27; Found: C, 66.67; H, 4.23; N, 10.71; S, 12.25.
5,5′-(3-methyl-4-phenylthieno[2,3-b]thiophene-2,5-diyl)bis(2-cyano-5-(dimethylamino)penta-2,4- dienamide) (8)
To a solution of 1 (0.5 mmol, 0.21 g) in EtOH (10 mL), malononitrile (1 mmol, 0.07 g) was added in the presence of catalytic amount of piperidine. The reaction mixture was heated under reflux for 1 h. The solid product was collected by filtration, 8 was obtained as red crystal, yield (62%); m.p. 201–203 °C; IR (νmax): 1616 (C=O), 2193 (CN), 3388 (NH2) cm−1; 1H-NMR (400 MHz, DMSO-d6) δ (ppm): 1.95 (s, 3H, CH3), 2.99–3.00 (s, 12H, N-CH3), 5.9(d, 1H, J = 12.8 Hz, CH), 7.2 (d, 1H, J = 12.8 Hz, CH), 7.32–7.90 (m, 5H, Ar-H), 8.2 (s, 2H, NH2); 13C-NMR (100 MHz, DMSO-d6) δ (ppm): 180.04, 176.68, 160.58, 149.18, 148.6, 133.6, 129.98, 128.80, 128.68, 119.20, 103, 79.12, 43.2, 14.85; MS m/z (%): 556 [M+, 1.2], 191 (6.1), 149 (100),73 (34); Anal. Calcd for C29H28N6O2S2: C, 62.57; H, 5.07; N, 15.10; S, 11.52; Found: C, 62.60; H, 5.04; N, 15.08; S, 11.48.
6-(5-(5-cyano-6-oxo-1,6-dihydropyridin-2-yl)-3-methyl-4-phenylthieno[2,3-b]thiophen-2-yl)-2-oxo-1,2-dihydropyridine-3-carboxylic acid (11)
To a solution of 8 (0.5 mmol, 0.28 g) in a mixture of EtOH/HCl (3:1, 10 mL) was refluxed for 1 h. The solid product was collected by filtration, and recrystallized from (EtOH). 11 was obtained as deep red crystal, yield (67%); m.p. 287–289 °C; IR (νmax): 1722–1631 (C=O), 3174 (OH), 3450 (NH) cm−1; 1H-NMR (400 MHz, DMSO-d6) δ (ppm): 1.95 (s, 3H, CH3), 5.86 (d, 1H, J = 7.5 Hz, CH), 7.02 (s, 1H, NH), 7.14–7.90 (m, 5H, Ar-H), 8.34 (d, 1H, J = 7.5 Hz, CH), 11.35 (s, 1H, OH); 13C-NMR (100 MHz, DMSO-d6) δ (ppm): 14.44, 105.89, 123.71, 128.57, 129.87, 151.36, 162.88, 175.10; MS m/z (%): 485 [M+, 45%]; Anal. Calcd for C25H15N3O4S2: C, 61.84; H, 3.11; N, 8.65; S, 13.21; Found: C, 61.85; H, 3.10; N, 8.67; S, 13.24.
6-(5-(5-cyano-6-oxo-1,6-dihydropyridin-2-yl)-3-methyl-4-phenylthieno[2,3-b]thiophen-2-yl)-2-oxo-1,2-dihydropyridine-3-carbonitrile (10)
To a solution of 8 (0.5 mmol, 0.28 g) in acetic acid glacial (10mL), and the resulting mixture was refluxed for 30 min. The solid product was collected by filtration, and recrystallized from (EtOH). 10 was obtained as red crystal, yield (67%); m.p. > 320–322 °C; IR (νmax): 1737 (C=O), 2206 (CN), 3390 (C=N), cm−1; 1H-NMR (400 MHz, DMSO-d6) δ (ppm): 1.91 (s, 3H, CH3), 6.70 (d, 1H, J = 8.6, CH), 7.42–7.90 (m, 5H, Ar-H), 8.13 (d, 1H, J = 8.6, CH), 11.97 (s, 1H, NH); 13C-NMR (100 MHz, DMSO-d6) δ (ppm): 14.46, 106.18, 98.86, 115.20, 129.86, 151.36, 162.89. MS m/z (%): 466 [M+, 45%]; Anal. Calcd for C25H14N4O2S2: C, 64.36; H, 3.02; N, 12.01; S, 13.75; Found: C, 64.38; H, 3.02; N, 12.03; S, 13.75.
6,6′-(3-methyl-4-phenylthieno[2,3-b]thiophene-2,5-dicarbonyl)bis(3-oxo-2,3-dihydropyridazine-4-carboxylic acid) (9)
Procedure A: To a solution of compound 8 (0.5 mmol, 0.278 g) in a mixture of dioxane (15 mL) and HCl (2 mL). A solution of NaNO2 (0.069 g, 1 mmol) and sodium acetate (1.5 mmol) in water (6 mL) was added dropwise. The resulting reaction mixture was heated under reflux for 4 h. The solid product was collected by filtration, and recrystallized from dioxane.
Procedure B: Coupling reaction to a stirred solution of the compound 8 (0.5 mmol, 0.28 g) in dioxane (15 mL) and the mixture was cooled in an ice bath to 0–5 °C. A solution of the benzenediazonium chloride, [freshly prepared by diazotizing the respective aniline (1 mmol) in hydrochloric acid (0.28 mL) with sodium nitrite solution (2 mmol) in (4 mL) water] was added drop wise over 20 min. The whole mixture was then left in a refrigerator overnight. The solid product was collected by filtration, and recrystallized from (EtOH). 9 was obtained as brown crystal, yield (72a, 68b%); m.p. > 320–322 °C; IR (νmax): 1579 (C=N),1666–1643 (C=O), 3444 (OH), 3444 (NH) cm−1; 1H-NMR (400 MHz, DMSO-d6) δ (ppm): 2.08 (s, 3H, CH3), 6.68 (s, 1H, NH) 7.42–7.80 (m, 5H, Ar-H), 8.09 (s, 1H, CH), 8.35 (s, 1H, OH); 13C-NMR (100 MHz, DMSO-d6) δ (ppm): 14.89, 125.68, 128.92, 129.96, 131.56, 149.85, 152.16, 163.76, 178.22, 191.62; MS m/z (%): 562 [M+, 45%]; Anal. Calcd for C25H14N4O8S2: C, 53.38; H, 2.51; N, 9.96; S, 11.40; Found: C, 53.40; H, 2.50; N, 9.94; S, 11.42.
4. Conclusions
In conclusion, the present investigation describes an efficient method for access toward novel bis-(heterocycles) containing two biologically active moieties. We believe that these new series of bis-(hetrocycles) may exhibit potentially diverse useful applications in the field of medicinal chemistry. Also, development of the above synthetic methodology should lead to the synthesis of a large number of bis-(hetrocycles) with a wide variety of substituent as well as different bridges.
Acknowledgments
This project was supported by King Saud University, Deanship of Scientific Research, College of Science Research Center.
References
- 1.Shen D., Shu M., Chapman K.T. Versatile and efficient solid-phase syntheses of pyrazoles and isoxazoles. Org. Lett. 2000;2:2789–2792. doi: 10.1021/ol006197h. [DOI] [PubMed] [Google Scholar]
- 2.Dadiboyena S., Valente E.J., Hamme A.T., II A novel synthesis of 1,3,5-trisubstituted pyrazoles through a spiro-pyrazoline intermediate via a tandem 1,3-dipolar cycloaddition/elimination. Tetrahedron Lett. 2009;50:291–294. doi: 10.1016/j.tetlet.2008.10.145. [DOI] [PMC free article] [PubMed] [Google Scholar]
- 3.Mabkhot N.Y., Barakat A., Al-Majid A.M., Al-Othman Z.A., Alamary A.S. A facile and convenient synthesis of some novel hydrazones, Schiff’s base and pyrazoles incorporating thieno[2,3-b]thiophenes. Int. J. Mol. Sci. 2011;12:7824–7834. doi: 10.3390/ijms12117824. [DOI] [PMC free article] [PubMed] [Google Scholar]
- 4.Carrion M.D., Lopez Cara L.C., Camacho E.V., Tapias M., Escames G., Acuna-Castroviejo D., Espinosa A., Gallo M.A., Entrena A. Pyrazoles and pyrazolines as neural and inducible nitric oxide synthase (nNOS and iNOS) potential inhibitors (III) Eur. J. Med. Chem. 2008;43:2579–2591. doi: 10.1016/j.ejmech.2008.01.014. [DOI] [PubMed] [Google Scholar]
- 5.Gokhan-Kelekçi N., Koyunoglu S., Yabanoglu S., Yelekçi K., Özgen Ö., Uçar G., Erol K., Kendi E., Yesilada A. New pyrazoline bearing 4(3H)-quinazolinone inhibitors of monoamine oxidase: Synthesis biological evaluation, and structural determinants of MAO-A and MAO-B selectivity. Bioorg. Med. Chem. 2009;17:675–689. doi: 10.1016/j.bmc.2008.11.068. [DOI] [PubMed] [Google Scholar]
- 6.Liu X.-H., Zhi L.-P., Song B.-A., Xu H.-L. Synthesis, Characterization and Antibacterial Activity of New 5-Aryl Pyrazole Oxime Ester Derivatives. Chem. Res. 2008;24:454–458. [Google Scholar]
- 7.Abid M., Bhat A.R., Athar F., Azam A. Synthesis, spectral studies and antiamoebic activity of new 1-N-substituted thiocarbamoyl-3-phenyl-2-pyrazolines. Eur. J. Med. Chem. 2009;44:417–425. doi: 10.1016/j.ejmech.2007.10.032. [DOI] [PubMed] [Google Scholar]
- 8.Farag A.M., Mayhoub A.S., Barakat S.E., Bayomi A.H. Regioselective synthesis and antitumor screening of some novel N-phenylpyrazole derivatives. Bioorg. Med. Chem. 2008;16:881–889. doi: 10.1016/j.bmc.2007.10.015. [DOI] [PubMed] [Google Scholar]
- 9.Farag A.M., Mayhoub A.S., Barakat S.E., Bayomi A.H. Synthesis of new N-phenylpyrazole derivatives with potent antimicrobial activity. Bioorg. Med. Chem. 2008;16:4569–4578. doi: 10.1016/j.bmc.2008.02.043. [DOI] [PubMed] [Google Scholar]
- 10.Hui Y., Ptak R., Paulman R., Pallansch M., Chang C.W.T. Synthesis of novel guanidine incorporated aminoglycosides, guanidinopyranmycins. Tetrahedron Lett. 2002;43:9255–9257. [Google Scholar]
- 11.Kashman Y., Rudi A., Pappo D. Recent heterocyclic compounds from marine invertebrates: Structure and synthesis. Pure Appl. Chem. 2007;79:491–505. [Google Scholar]
- 12.Chakrabarti J.K., Horsman L., Hotten T.M., Pullar I.A., Tupper D.E., Wright F.C. Heteroarenobenzodiazepines. 3. 4-Piperazinyl-10H-thieno[2,3-b][1,5]benzodiazepines as potential neuroleptics. J. Med. Chem. 1980;23:878–884. doi: 10.1021/jm00182a013. [DOI] [PubMed] [Google Scholar]
- 13.Ram V.J., Pandey H.K., Vlientick A.J. Thieno[2,3-d]pyrimidines as potential chemotherapeutic agents. II. J. Heterocycl. Chem. 1981;18:1277–1280. [Google Scholar]
- 14.Jarak I., Kralj M., Piantanida I., Suman L., Zinic M., Pavelic K., Karminski-Zamola G. Novel cyano- and amidino-substituted derivatives of thieno[2,3-b]- and thieno[3,2-b]thiophene-2-carboxanilides and thieno[3′,2′:4,5]thieno and thieno[2′,3′:4,5] thieno[2,3-c]quinolones: Synthesis, photochemical synthesis, DNA binding, and antitumor evaluation. Bioorg. Med. Chem. 2006;14:2859–2868. doi: 10.1016/j.bmc.2005.12.004. [DOI] [PubMed] [Google Scholar]
- 15.Peters D., Hornfeldt A.B., Gronowitz S. Synthesis of various 5-substituted uracils. J. Heterocycl. Chem. 1990;27:2165–2173. [Google Scholar]
- 16.Kukolja S., Draheim S.E., Graves B.J., Hunden D.C., Pfeil J.L., Cooper R.D.G., Ott J.L., Couter F.T. Orally absorbable cephalosporin antibiotics. 2. Structure-activity studies of bicyclic glycine derivatives of 7-aminodeacetoxycephalosporanic acid. J. Med. Chem. 1985;28:1896–1903. doi: 10.1021/jm00150a023. [DOI] [PubMed] [Google Scholar]
- 17.Prugh J.D., Hartman G.D., Mallorga P.J., McKeever B.M., Michelson S.R., Murcko M.A., Schwam H., Smith R.L., Sondey J.M., Springer J.P., Surgrue M.F. New isomeric classes of topically active ocular hypotensive carbonic anhydrase inhibitors: 5-substituted thieno[2,3-b] thiophene-2-sulfonamides and 5-substituted thieno[3,2-b]thiophene-2-sulfonamides. J. Med. Chem. 1991;34:1805–1818. doi: 10.1021/jm00110a008. [DOI] [PubMed] [Google Scholar]
- 18.Hartman G.D., Ansdale P.A. Substituted thieno[2,3-b]thiophene-2-sulfonamides as antiglaucoma agents. U.S. Patent 4,806,562. 1989 Feb 21; [Google Scholar]
- 19.Litvinov V.P. The latest achievements in thienothiophene chemistry. Russ. Chem. Rev. 2005;74:217–248. [Google Scholar]
- 20.Gather M.C., Heeny M., Zhang W., Whitehead K.S., Bradley D.D.C., McCulloch I., Campbell A. An alignable fluorene thienothiophene copolymer with deep-blue electroluminescent emission at 410 nm. Chem. Commun. 2008:1079–1081. doi: 10.1039/b716510b. [DOI] [PubMed] [Google Scholar]
- 21.He M., Li J., Sorensen M.L., Zhang F., Hancock R.R., Fong H.H., Pozdin V.A., Smilgies D., Malliaras G.G. Alkylsubstituted thienothiophene semiconducting materials: Structure property relationships. J. Am. Chem. Soc. 2009;131:11930–11938. doi: 10.1021/ja903895s. [DOI] [PubMed] [Google Scholar]
- 22.Griffin A.G., Britt T.R. Effect of molecular structure on mesomorphism. 12. Flexible-center Siamese-twin liquid crystalline diesters—A “prepolymer” model. J. Am. Chem. Soc. 1981;103:4957–4959. [Google Scholar]
- 23.Galli G., Laus M., Angeloni A.S. Synthesis and thermotropic properties of new mesogenic diacrylate monomers. Makromol. Chem. 1986;187:289–296. [Google Scholar]
- 24.Finkelmann H. Liquid crystalline polymers. Angew. Chem. Int. Ed. Engl. 1987;26:816–824. [Google Scholar]
- 25.Aguilera C., Parra M., Fuentes G. Synthesis and mesomorphic properties of polymethylene-α,ω-bis [2-thio-5-(4′,4″n-alcoxybenzoyloxy)phenyl]-1,3,4-oxadiazole. Z. Naturforsch. 1998;53b:367–370. [Google Scholar]
- 26.Braun D., Langendorf R. Vitrigens. I. Synthesis and characterization of low molecular weight organic glasses. J. Prakt. Chem. 1999;341:128–137. [Google Scholar]
- 27.Ariens E.J., editor. Drug Design. Vol. 1. Academic Press; New York NY, USA: 1971. p. 1. [Google Scholar]
- 28.Elwahy A.H.M., Abbas A.A. Bis(difunctional) compounds: Versatile starting materials for novel bis(heterocycles) Synth. Commun. 2000;30:2903–2921. [Google Scholar]
- 29.Abbas A.A., Elneairy M.A.A., Mabkhout Y.N. Versatile starting materials for novel 1,ω-bis(pyridin-4-ylphenoxy)alkanes, and their corresponding bis(thieno[2,3-b]pyridin-4-ylphenoxy) derivatives. J. Chem. Res. 2001;2001:124–126. [Google Scholar]
- 30.Elneairy M.A.A., Abbas A.A., Mabkhout Y.N. Synthesis of novel bis-2-(1,3,4-thiadiazolin-3-ylphenoxy) alkane derivatives. Phosphorus Sulfur Silicon. 2003;178:1747–1757. [Google Scholar]
- 31.Abbas A.A., Rateb N.M. A Facile and Convenient Method for the Synthesis of Bis-Hydrazonoyl Halides and Bis-(1,3,4-Thiadiazol-3-ylphenoxy)ethers. Phosphorus Sulfur Silicon. 2005;180:497–511. [Google Scholar]
- 32.Elassar A.A., El-Khair A.A. Recent developments in the chemistry of enaminones. Tetrahedron. 2003;59:8463–8480. [Google Scholar]
- 33.Stanovnik B., Svete J. Synthesis of Heterocycles from Alkyl 3-(Dimethylamino)propenoates and Related Enaminones. Chem. Rev. 2004;104:2433–2480. doi: 10.1021/cr020093y. [DOI] [PubMed] [Google Scholar]
- 34.Mabkhot Y.N., Al-Majid A.M., Barakat A., Alshahrani S., Yamin S. 1,1′-(3-Methyl-4-phenylthieno[2,3-b]thiophene-2,5-diyl)diethanone as a building block in heterocyclic synthesis. Novel synthesis of some pyrazole and pyrimidine derivatives. Molecules. 2011;16:6502–6511. doi: 10.3390/molecules16086502. [DOI] [PMC free article] [PubMed] [Google Scholar]
- 35.Mabkhot Y.N., Al-Majid A.M., Alamary A.S. Synthesis and chemical characterisation of some new diheteroaryl thienothiophene derivatives. Molecules. 2011;16:7706–7714. doi: 10.3390/molecules16097706. [DOI] [PMC free article] [PubMed] [Google Scholar]
- 36.Alnajjar A.-A., Abdelkhalik M.M., Al-Enezi A., Elnagdi M.H. Enaminones as Building blocks in heterocyclic syntheses: Reinvestigating the product structures of enaminones with malononitrile. A novel route to 6-substituted-3-oxo-2,3-dihydropyridazine-4-carboxylic acids. Molecules. 2009;14:68–77. doi: 10.3390/molecules14010068. [DOI] [PMC free article] [PubMed] [Google Scholar]









