Abstract
Momordica charantia: is used to treat various diseases, including inflammatory conditions. Previous reports indicated that the extract of this plant inhibits activation of nuclear transcription factor-κB (NF-κB) but activates peroxisome proliferator-activated receptor (PPAR). Additionally, cucurbitane-type triterpene glycosides are the main bioactive components of the fruit of M. charantia. Therefore, we investigated the anti-inflammatory activity of 17 cucurbitane-type triterpene glycosides (1–17) isolated from this plant. Their inhibition of NF-κB and activation of PPAR activities in HepG2 cells were measured using luciferase reporter and PPAR subtype transactivation assays. Compounds 6 and 8 were found to inhibit NF-κB activation stimulated by tumor necrosis factor-α (TNFα) in a dose-dependent manner. With 50% inhibition concentration (IC50) values of 0.4 μM, compounds 6 and 8 were more potent inhibitors than the positive control, sulfasalazine (IC50=0.9 μM). Compounds 4, 6, and 8 also inhibited TNFα-induced expressions of inducible nitric oxide synthase and cyclooxygenase-2 mRNA. However, only compound 13 significantly increased PPARγ transactivation.
Key Words: Cucurbitaceae, cucurbitane-type triterpene glycoside, Momordica charantia, nuclear transcription factor-κB, peroxisome proliferator-activated receptor γ
Introduction
Nuclear transcription factor-κB (NF-κB) represents a family of Rel domain-containing proteins including RelA, RelB, c-Rel, NF-κB1, and NF-κB2. The activation of NF-κB has been linked to multiple pathophysiological conditions such as cancer, arthritis, asthma, inflammatory bowel disease, and other inflammatory conditions.1 NF-κB can be activated by various stimuli, such as microbial and viral products, cytokines, DNA damage, and noxious chemicals. The induction of several pro-inflammatory mediators occurs as the results of increased inducible nitric oxide (NO) synthase (iNOS) and cyclooxygenase-2 (COX-2) activities.2 Therefore, suppression of iNOS and COX-2 activities can be an important approach to preventing inflammation in organs. NF-κB and the signaling pathways that regulate many physiological processes, including the innate and adaptive immune responses, cell death, and inflammation, have become a focal point for intense drug discovery and development efforts.3 Indeed, increasing evidence has validated NF-κB as a target for anti-inflammatory and anticancer agents.
Peroxisome proliferator-activated receptor (PPAR) is a member of the nuclear receptor superfamily of ligand-dependent transcription factors that is predominantly expressed in adipose tissue,4 the adrenal glands, and the spleen.5 Originally identified as an essential protein in glucose metabolism, PPARγ has since been shown to be important in cellular processes in endothelial cells, vascular smooth muscle cells, dendritic cells, and platelets.5 It can dampen macrophage inflammatory responses through inhibition of pro-inflammatory molecules, such as tumor necrosis factor-α (TNFα), interleukin (IL)-6, and iNOS. Developing specific inhibitors of COX-2 and iNOS with lower toxicity and higher anti-inflammatory activity in therapeutic applications is of great interest.
Bitter melon, the fruit of Momordica charantia L. (Cucurbitaceae), a traditional herbal medicine, is used worldwide. It is widely used as a bitter stomachic, a laxative, an antidiabetic agent, an anti-inflammatory agent, and an anticancer agent and in the treatment of rheumatoid arthritis.6 Herbal drugs have potential therapeutic application because of their effectiveness, lesser side effects, and relatively low cost. Therefore, investigation of agents from traditional medicinal plants has become more important, and researchers are competing to find new, effective, and safe therapeutic agents for the treatment of cancer, inflammatory disease, and diabetes. Bitter melon has various documented anti-inflammatory effects. It reduces prostaglandin E2, IL-1β, IL-6, IL-7, TNFα, and lipopolysaccharide levels7–9 and increases the secretion of transforming growth factor-β, IL-10 in RAW 264.6 macrophages, Caco-2 cells, and THP-1 cells.8,10 Numerous cucurbitane-type triterpenes and their glycosides have been isolated from the roots,12 fruits,13–23 seeds,24,25 leaves, and vines26–29 of this plant. However, the anti-inflammatory activity of these cucurbitane-type triterpene glycosides has not been evaluated and reported. Recently, one compound with the same skeleton, 23,24-dihydroxycucurbitacin D from the plant Bryonia alba L., was reported to exert anti-inflammatory activity by inhibiting NO generation through blocking NF-κB activation and iNOS gene transcription.30 Additionally, in previous studies, we isolated and identified 17 compounds from the methanol extract of M. charantia fruits, six of which were new and eleven were known.31,32
Here we continued our previous work in screening active compounds for their effects against inflammation and type 2 diabetes. Their inhibitory effects on NF-κB activation and iNOS and COX-2 expressions as well as transactivations of a PPAR response element (PPRE) and members of the PPAR family (PPARα, PPARβ/δ, and PPARγ) were also evaluated. This study provides new insights into the ways in which bitter melon modulates metabolic functions in human HepG2 cells.
Materials and Methods
General experimental procedures
The optical rotation was determined on a Jasco (Easton, MD, USA) model DIP-370 digital polarimeter. Electrospray ionization mass spectra were obtained using an Agilent (Palo Alto, CA, USA) model 1200 LC-MSD Trap spectrometer. High-resolution electrospray ionization mass spectra were obtained using a JEOL (Tokyo, Japan) model JMS-T100LC spectrometer. The 1H-nuclear magnetic resonance (600 MHz) and 13C-nuclear magnetic resonance (150 MHz) spectra were recorded on a JEOL model ECA 600 spectrometer, and trimethylsilane was used as an internal standard. Gas chromatography was performed on a Shidmazu (Kyoto, Japan) model 2010 instrument. Column chromatography was performed using silica gel (Kieselgel 60, 70–230 mesh and 230–400 mesh; Merck, Darmstadt, Germany) and YMC (Fujisilisa Chemical Ltd., Kasugai, Aichi, Japan) RP-18 resins.
Plant material
The fruit of M. charantia was collected in Vuthu, Thaibinh Province, Vietnam, in June 2009 and identified by Dr. Ninh Khac Ban, Institute of Marine Biochemistry, Vietnam Academy of Science and Technology, Hanoi, Vietnam. A voucher specimen (IMBC MC0609) was deposited at the herbarium of the Institute of Marine Biochemistry, Vietnam Academy of Science and Technology.
Cell culture and reagents
Human hepatocarcinoma HepG2 cells were maintained in Dulbecco's modified Eagle's medium (Invitrogen, Carlsbad, CA, USA) containing 10% heat-inactivated fetal bovine serum, 100 units/mL penicillin, and 10 μg/mL streptomycin at 37°C and 5% CO2. Human TNFα was purchased from ATgen (Seoul, Korea). Cells were counted with a hemocytometer, and the number of viable cells was determined through trypan blue dye exclusion.
Cytotoxicity assay
A 3-(4,5-dimethylthiazol-2-yl)-5-(3-carboxymethoxyphenyl)-2-(4-sulfophenyl)-2H-tetrazolium, inner salt (MTS) assay (CellTiter 96® AQueous One Solution Assay, Promega, Madison, WI, USA) was performed to analyze the effect of the different compounds on cell viability. Cells were cultured overnight in 96-well plates (1×104 cells per well). Cell viability was assessed after the incubation with the compounds at a concentration of 5 μM for 24 h. The number of viable cells was determined by measuring the absorbance at 490 nm of the dissolved formazan product after addition of MTS for 30 min as described by the manufacturer.
Luciferase assay
Cells were seeded at 1.5×105 cells per well in a 12-well plate and grown for 24 h. All cells were transfected using Lipofectamine™ LTX (Invitrogen) according to the manufacturer's protocol. Luciferase (Luc) activity was assayed using an LB 953 Autolumat (EG&G Berthold, Nashua, NH, USA) as described previously.33 NF-κB-Luc and PPRE-Luc plasmids were kindly provided by Dr. Kyoon E. Kim (Chungnam National University, Daejeon, Korea). All experiments were performed in triplicate.
Reverse transcription–polymerase chain reaction
Total RNA was extracted from cells using easy-BLUE™ (iNtRON Biotechnology, Seoul). Approximately 2 μg of total RNA was reverse-transcribed using Moloney murine leukemia virus reverse transcriptase and oligo(dT) primers (Promega) for 1 h at 42°C. The resulting cDNA was polymerase chain reaction–amplified using Taq polymerase premixture (TaKaRa, Shiga, Japan). Polymerase chain reaction products were subjected to electrophoresis on 1% agarose gels and stained with ethidium bromide. Polymerase chain reaction was conducted with the following primer pairs: iNOS sense 5′-TCATCCGCTATGCTGGCTAC-3′, iNOS antisense 5′-CTCAGGGTCACGGCCATTG-3′, COX-2 sense 5′-GCCCAGCACTTCACGCATCAG-3′, COX-2 antisense 5′-GACCAGGCACCAGACCAAAGACC-3′, glyceraldehyde 3-phosphate dehydrogenase sense 5′-TGTTGCCATCAATGACCCCTT-3′, and glyceraldehyde 3-phosphate dehydrogenase antisense 5′-CTCCACGACGTACTCAGCG-3′. The specificity of the products generated using each set of primers was examined using gel electrophoresis and further confirmed using a melting curve analysis.
PPAR subtype transactivation assay
The pFA-Gal4-PPARα ligand binding domain (LBD), pFA-PPARβ/δ LBD, and pFA-PPARγ LBD expression plasmids were provided by Dr. Young Yang (Sookmyung Women's University, Seoul). HepG2 cells were seeded at 1.5×105 cells in 12-well plates and grown for 24 h. All cells were transiently co-transfected with one of the expression vectors for pFA-Gal4-PPAR LBDs together with pFR-Luc using the WelFect-M™ GOLD transfection reagent (WelGENE, Seoul) as described by the manufacturer. Following a 24-h incubation, the cells were treated with various concentrations of compounds and incubated for 20 h. Luc assays were performed using a dual-Luc reporter assay system according to the instructions of the manufacturer (Promega, Sunnyvale, CA, USA), and the activity was determined in a microplate luminometer (Centro LB 960, EG&G Berthold, Bad Wildbad, Germany) by measuring light emission for 5 s.
Statistical analysis
All results are expressed as mean±SD values. Data were analyzed by one-factor analysis of variance. Quantification of polymerase chain reaction products was performed using Image Lab™ software (Bio-Rad). If a statistically significant effect was found, the Newman–Keuls test was performed to isolate the difference between the groups. P<.05 was considered to be significant.
Results
Chemistry
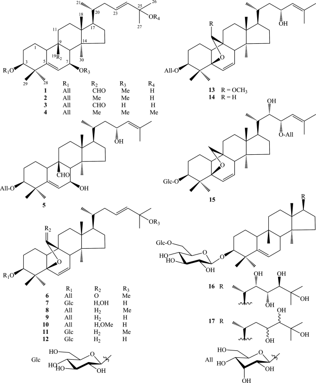
Seventeen compounds (1–17) were previously isolated from the methanol extract of M. charantia fruits (Figs. 1 and 2). These compounds included six new compounds—charantosides A–C (1, 5, and 6) and momordicosides U–W (13, 14, and 7)—and 11 known compounds: karaviloside III (2),17 7β,25-dihydroxycucurbita-5,23(E)-dien-19-al 3-O-β-d-allopyranoside (3),21 karaviloside II (4),17 momordicoside G (8),22 momordicoside F2 (9),22 goyaglycoside-b (10),15 momordicoside F1 (11),22 momordicoside I (12),22 momordicoside M (15),20 momordicoside A (16),24 and momordicoside C (17).25
FIG. 1.
Structures of cucurbitane-type triterpene glycosides 1–17 from the fruit of M. charantia.
FIG. 2.
Scheme of extraction of cucurbitane-type glycosides 1–17 from the fruit of M. charantia.
Biological activities
In our continuing study, the methanol extract of bitter melon has displayed the ability to markedly reduce prostaglandin E2-, IL-1β–, IL-6–, IL-7–, and lipopolysaccharide-stimulated TNFα levels and increased PPARα and PPARγ expression.11 Thus, the 17 compounds listed above were further evaluated for their effects on NF-κB activation, iNOS and COX-2 expressions, and PPRE, PPARα, PPARβ/δ, and PPARγ transactivations.
To investigate cellular toxicity of the 17 isolated compounds, they were applied at various concentrations to HepG2 cells for 24 h, after which cell viability was measured in an MTS assay as described in Materials and Methods. None of the compounds displayed any cellular toxicity at the concentration of 5.0 μM (data not shown). They were therefore used in subsequent experiments at concentrations of 0.05, 0.5, and 5.0 μM.
Effect of compounds 1–17 on inhibition of NF-κB activation
To evaluate the anti-inflammatory activity of 17 compounds listed above, we first examined their inhibitory effects on NF-κB transcriptional activation in HepG2 cells (Fig. 3). Cells were treated with compounds at various concentrations prior to stimulation with TNFα (10 ng/mL). Compounds 6 and 8 were found to have potent effect on the inhibition of NF-κB activation with both 50% inhibition concentration (IC50) values of 0.4 μM (Table 1).
FIG. 3.
Effects of compounds 1–17 on tumor necrosis factor-α (TNFα)-induced nuclear transcription factor κB activation in HepG2 cells. HepG2 cells transiently transfected with pNF-κB-luciferase were pretreated for 1 h with vehicle (dimethyl sulfoxide [DMSO]) or one of the compounds, prior to 1 h of treatment with TNFα (10 ng/mL). Unstimulated HepG2 cells acted as a negative control. Cells were then harvested, and luciferase activities were assessed. Results are expressed as relative luciferase activity. Sulfasalazine was used as a positive (Pos.) control. Data are mean±SD values (n=3). P<.05 versus control.
Table 1.
50% Inhibition Concentration Values of Compounds 1–17 for Nuclear Transcription Factor-κB Activity
| Compound | IC50 (μM) |
|---|---|
| 1 | ND |
| 2 | 6.9±1.1 |
| 3 | 9.1±1.7 |
| 4 | 3.9±0.3 |
| 5 | ND |
| 6 | 0.4±0.1 |
| 7 | 7.2±1.5 |
| 8 | 0.4±0.1 |
| 9 | >10.0 |
| 10 | >10.0 |
| 11 | 4.9±0.5 |
| 12 | 3.3±0.4 |
| 13 | >10.0 |
| 14 | >10.0 |
| 15 | ND |
| 16 | >10.0 |
| 17 | 8.3±1.3 |
| Positive controla | 0.9±0.2 |
Sulfasalazine was used as positive control compound.
IC50, 50% inhibition concentration; ND, not determined.
Effects on iNOS and COX-2 expression
Seven compounds (2, 4, 6–8, 11, and 12) were chosen for further analysis effects of on iNOS and COX-2 mRNA expressions. Compounds 4, 6, and 8 dramatically reduced TNFα-induced iNOS and COX-2 mRNA expressions in a dose-dependent manner (Fig. 4).
FIG. 4.
Inhibitory effects of compounds 1–17 on TNFα-induced expression of inducible nitric oxide synthase (iNOS) and cyclooxygenase-2 (COX-2) mRNAs in HepG2 cells. Effects of compounds 2, 4, 6–8, 11, and 12 on COX-2 and iNOS mRNA expression in HepG2 cells were assessed. HepG2 cells were pretreated with one of the listed compounds for 1 h and then treated with TNFα (10 ng/mL) for 6 h. Total mRNAs were prepared from the cell pellets using TRIzol® (Invitrogen). Relative levels of mRNAs were measured by reverse transcription–polymerase chain reaction. GAPDH, glyceraldehyde 3-phosphate dehydrogenase.
PPAR
To study the modulation of PPAR activity by compounds 1–17, a PPRE cell-reporter system was used. Compounds 6, 8, 13, and 14 were found to activate the transcription of the PPRE-Luc reporter, compared with that of the positive control, troglitazone (Fig. 5). Consequently, compounds 6, 8, 13, and 14 were used to analyze PPAR subtype-specific reporter activity (PPARα, PPARβ/δ, and PPARγ). Compound 13 was found to significantly activate the transcription of PPARγ but not PPARα and PPARβ/δ (Figs. 6–8).
FIG. 5.
Effects of compounds 1–17 on peroxisome proliferator-activated receptor response element-mediated transcriptional activity. HepG2 cells were co-transfected with peroxisome proliferator-activated receptor response element luciferase and cytomegalovirus–peroxisome proliferator-activated receptor γ constructs and then incubated for 24 h with or without each compound. Troglitazone was used as a positive control. Data are mean±SD values (n=3). Significant differences in treatments versus control are indicated: *P<.05, **P<.01.
FIG. 6.
Effects of compounds 6, 8, 13, and 14 on activation of peroxisome proliferator-activated receptor (PPAR) α. HepG2 cells were transiently transfected with expression vectors for pFA-Gal4-PPARα-ligand binding domain (LBD), pFR-luciferase, and pRL-cytomegalovirus and treated with various concentrations of each compound. Ciprofibrate was used as a positive control. Data are mean±SD values (n=3). P<.05 was defined as significant.
FIG. 8.
Effects of compounds 6, 8, 13, and 14 on activation of PPARγ. HepG2 cells were transiently transfected with expression vectors for pFA-Gal4-PPARγ-LBD, pFR-luciferase, and pRL-cytomegalovirus and treated with various concentrations of each compound. Troglitazone was used as a positive control. Data are mean±SD values (n=3). P<.05 was defined as significant.
FIG. 7.
Effects of compounds 6, 8, 13, and 14 on activation of PPARβ/δ. HepG2 cells were transiently transfected with expression vectors for pFA-Gal4-PPARβ/δ-LBD, pFR-luciferase, and pRL-cytomegalovirus and treated with various concentrations of each compound. L-165,041 was used as a positive control. Data are mean±SD values (n=3). P<0.05 was defined as significant.
Discussion
The pharmacological properties of local food plants are an attractive area for investigation. Accumulating evidence suggests that many locally consumed foods have functional properties, notably anti-inflammatory activity.34 The results of the present study demonstrate the inhibitory effects of the tested compounds on NF-κB transcriptional activation in HepG2 cells stimulated with TNFα. Compounds 6 and 8 strongly inhibited NF-κB activation with both having IC50 values of 0.4 μM, compared with the positive control, sulfasalazine (0.9 μM). Compounds 4, 11, and 12 also exhibited significant inhibitory activity with IC50 values of 3.9, 4.9, and 4.3 μM, respectively. The remaining compounds showed moderate activity. It is interesting that in the structure–activity relationship, compounds 4, 6, 8, and 11, which showed potent and significant activity, have the same branch chain at C-17 (a double bond at C-23/24 and a methoxy group at C-25). Activation of NF-κB and subsequent transcriptional induction of pro-inflammatory mediators play a critical role in inflammation.35 In a previous report, an extract of bitter melon was shown to inhibit lipopolysaccharide-induced NF-κB activation.8 Additionally, several studies have described the anti-inflammatory activity of cucurbitane-type triterpenes.36 Therefore, we assessed the ability of seven compounds (2, 4, 6–8, 11, and 12) that significantly inhibited TNFα-mediated NF-κB activation to modulate iNOS and COX-2 gene expressions. The results indicated that compounds 4, 6, and 8 (dramatically) and compounds 2, 7, and 11 slightly reduced TNFα-induced iNOS and COX-2 gene expressions in a dose-dependent manner.
In a previous report, the ethyl acetate extract of M. charantia was found to activate both PPARα and PPARγ.11 However, the effects of the cucurbitane-type triterpene glycosides 1–17 on PPARs have not previously been described. Therefore, we next evaluated the effects of compounds 1–17 on PPAR activity using a nuclear transcription PPRE cell-reporter system. The PPAR-responsive Luc reporter construct we used carries a copy of the firefly Luc gene under the control of a minimal cytomegalovirus promoter and tandem repeats of a PPRE sequence. Activated PPAR binds to the PPRE and activates transcription of the Luc reporter gene. Troglitazone, a well-known PPARγ agonist, was used as a positive control.37 HepG2 cells were co-transfected with the PPRE-Luc reporter and PPAR expression plasmids. As shown in Figure 5, compounds 6, 8, 13, and 14 significantly activated transcription of the luciferase reporter, compared with that of the positive control, troglitazone. To determine how the cucurbitane-type triterpene glycosides 6, 8, 13, and 14 influence the responses to inflammatory stimuli, their effects on the expressions of PPARα, PPARβ/δ, and PPARγ were also evaluated. The results of this study provide new insights into the ways in which bitter melon affects metabolic function in human HepG2 cells. PPARγ, an important target in type 2 diabetes and metabolic syndrome, proved to be a key transcription factor.38 Separately, a new feature of PPARγ, namely its anti-inflammatory activity, was revealed and developed in parallel.39 Our results showed that compound 13 significantly activated PPARγ but not PPARα or PPARβ/δ. The remaining tested compounds 6, 8, and 14 did not activate any PPAR subtypes.
In conclusion, the current study is a preliminary in vitro result of cucurbitane-type triterpene glycosides from bitter melon, which requires further investigations using in vivo and human studies to prove the efficacy.
Acknowledgments
This work was supported by the Priority Research Centers Program through the National Research Foundation of Korea funded by the Ministry of Education, Science and Technology (grant 2009-0093815). The authors would like to thank the Korean Basic Science Institute for performing the nuclear magnetic resonance and mass spectrometry experiments.
Author Disclosure Statement
No competing financial interests exist.
References
- 1.Baldwin AS. Series introduction: the transcription factor NF-κB and human disease. J Clin Invest. 2001;107:3–6. doi: 10.1172/JCI11891. [DOI] [PMC free article] [PubMed] [Google Scholar]
- 2.Surh YJ. Chun KS. Cha HH. Han SS. Keum YS. Park KK. Lee SS. Molecular mechanisms underlying chemopreventive activities of anti-inflammatory phytochemicals: down-regulation of COX-2 and iNOS through suppression of NF-κB activation. Mutat Res. 2001;480-481:243–268. doi: 10.1016/s0027-5107(01)00183-x. [DOI] [PubMed] [Google Scholar]
- 3.Perkins ND. Integrating cell-signalling pathways with NF-κB and IKK function. Nat Rev Mol Cell Biol. 2007;8:49–62. doi: 10.1038/nrm2083. [DOI] [PubMed] [Google Scholar]
- 4.Sharma AM. Staels B. Review: Peroxisome proliferator-activated receptor γ and adipose tissue—understanding obesity-related changes in regulation of lipid and glucose metabolism. J Clin Endocrinol Metab. 2007;92:386–395. doi: 10.1210/jc.2006-1268. [DOI] [PubMed] [Google Scholar]
- 5.Moraes LA. Piqueras L. Bishop-Bailey D. Peroxisome proliferator-activated receptors and inflammation. Pharmacol Ther. 2006;110:371–385. doi: 10.1016/j.pharmthera.2005.08.007. [DOI] [PubMed] [Google Scholar]
- 6.Grover JK. Yadav SP. Pharmacological actions and potential uses of Momordica charantia: a review. J Ethnopharmacol. 2004;93:123–132. doi: 10.1016/j.jep.2004.03.035. [DOI] [PubMed] [Google Scholar]
- 7.Huang CJ. Wu MC. Differential effects of foods traditionally regarded as 'heating' and 'cooling' on prostaglandin E2 production by a macrophage cell line. J Biomed Sci. 2002;9:596–606. doi: 10.1159/000067288. [DOI] [PubMed] [Google Scholar]
- 8.Lii CK. Chen HW. Yun WT. Liu KL. Suppressive effects of wild bitter gourd (Momordica charantia Linn. var. abbreviata ser.) fruit extracts on inflammatory responses in RAW264.7 macrophages. J Ethnopharmacol. 2009;122:227–233. doi: 10.1016/j.jep.2009.01.028. [DOI] [PubMed] [Google Scholar]
- 9.Lin J-Y. Tang C-Y. Strawberry, loquat, mulberry, and bitter melon juices exhibit prophylactic effects on LPS-induced inflammation using murine peritoneal macrophages. Food Chem. 2008;107:1587–1596. [Google Scholar]
- 10.Manabe M. Takenaka R. Nakasa T. Okinaka O. Induction of anti-inflammatory responses by dietary Momordica charantia L. (bitter gourd) Biosci Biotechnol Biochem. 2003;67:2512–2517. doi: 10.1271/bbb.67.2512. [DOI] [PubMed] [Google Scholar]
- 11.Chao CY. Huang CJ. Bitter gourd (Momordica charantia) extract activates peroxisome proliferator-activated receptors and upregulates the expression of the acyl CoA oxidase gene in H4IIEC3 hepatoma cells. J Biomed Sci. 2003;10:782–791. doi: 10.1159/000073966. [DOI] [PubMed] [Google Scholar]
- 12.Chen J. Tian R. Qiu M. Lu L. Zheng Y. Zhang Z. Trinorcucurbitane and cucurbitane triterpenoids from the roots of Momordica charantia. Phytochemistry. 2008;69:1043–1048. doi: 10.1016/j.phytochem.2007.10.020. [DOI] [PubMed] [Google Scholar]
- 13.Okabe H. Miyahara Y. Yamauchi T. Studies on the constituents of Momordica charantia L. III. Characterization of new cucurbitacin glycosides of the immature fruits. Structures of momordicosides G, F1, F2 and I. Chem Pharm Bull. 1982;30:3977–3986. [Google Scholar]
- 14.Okabe H. Miyahara Y. Yamauchi T. Studies on the constituents of Momordica charantia L. IV. Characterization of the new cucurbitacin glycosides of the immature fruits. (2) Structures of the bitter glycosides, momordicosides K and L. Chem Pharm Bull. 1982;30:4334–4340. [Google Scholar]
- 15.Murakami T. Emoto A. Matsuda H. Yoshikawa M. Medicinal foodstuffs. XXI. Structures of new cucurbitane-type triterpene glycosides, goyaglycosides-a, -b, -c, -d, -e, -f, -g, and -h, and new oleanane-type triterpene saponins, goyasaponins I, II, and III, from the fresh fruit of Japanese Momordica charantia L. Chem Pharm Bull. 2001;49:54–63. doi: 10.1248/cpb.49.54. [DOI] [PubMed] [Google Scholar]
- 16.Kimura Y. Akihisa T. Yuasa N. Ukiya M. Suzuki T. Toriyama M. Motohashi S. Tokuda H. Cucurbitane-type triterpenoids from the fruit of Momordica charantia. J Nat Prod. 2005;68:807–809. doi: 10.1021/np040218p. [DOI] [PubMed] [Google Scholar]
- 17.Nakamura S. Murakami T. Nakamura J. Kobayashi H. Matsuda H. Yoshikawa M. Structures of new cucurbitane-type triterpenes and glycosides, karavilagenins and karavilosides, from the dried fruit of Momordica charantia L. in Sri Lanka. Chem Pharm Bull. 2006;54:1545–1550. doi: 10.1248/cpb.54.1545. [DOI] [PubMed] [Google Scholar]
- 18.Matsuda H. Nakamura S. Murakami T. Yoshikawa M. Structures of new cucurbitane-type triterpenes and glycosides, karavilagenins D and E, and karavilosides VI, VII, VIII, IX, X, and XI, from the fruit of Momordica charantia. Heterocycles. 2007;71:331–341. doi: 10.1248/cpb.54.1545. [DOI] [PubMed] [Google Scholar]
- 19.Akihisa T. Higo N. Tokuda H. Ukiya M. Akazawa H. Tochigi Y. Kimura Y. Suzuki T. Nishino H. Cucurbitane-type triterpenoids from the fruits of Momordica charantia and their cancer chemopreventive effects. J Nat Prod. 2007;70:1233–1239. doi: 10.1021/np068075p. [DOI] [PubMed] [Google Scholar]
- 20.Li QY. Chen HB. Liu ZM. Wang B. Zhao YY. Cucurbitane triterpenoids from Momordica charantia. Magn Reson Chem. 2007;45:451–456. doi: 10.1002/mrc.1989. [DOI] [PubMed] [Google Scholar]
- 21.Harinantenaina L. Tanaka M. Takaoka S. Oda M. Mogami O. Uchida M. Asakawa Y. Momordica charantia constituents and antidiabetic screening of the isolated major compounds. Chem Pharm Bull. 2006;54:1017–1021. doi: 10.1248/cpb.54.1017. [DOI] [PubMed] [Google Scholar]
- 22.Okabe H. Miyahara Y. Yamauchi T. Structures of momordicosides F1, F2, G, I, K, and L, novel cucurbitacins in the fruits of Momordica charantia L. Tetrahedron Lett. 1982;23:77–80. [Google Scholar]
- 23.Liu Y. Ali Z. Khan IA. Cucurbitane-type triterpene glycosides from the fruits of Momordica charantia. Planta Med. 2008;74:1291–1294. doi: 10.1055/s-2008-1081297. [DOI] [PubMed] [Google Scholar]
- 24.Okabe H. Miyahara Y. Yamauchi T. Miyahara K. Kawasaki T. Studies on the constituents of Momordica charantia L. I. Isolation and characterization of momordicosides A and B, glycosides of a pentahydroxy-cucurbitane triterpene. Chem Pharm Bull. 1980;28:2753–2762. [Google Scholar]
- 25.Miyahara Y. Okabe H. Yamauchi T. Studies on the constituents of Momordica charantia L. II. Isolation and characterization of minor seed glycosides, momordicosides C, D, and E. Chem Pharm Bull. 1981;29:1561–1566. [Google Scholar]
- 26.Yasuda M. Iwamoto M. Okabe H. Yamauchi T. Structures of momordicines I, II and III, the bitter principles in the leaves and vines of Momordica charantia L. Chem Pharm Bull. 1984;32:2044–2047. [Google Scholar]
- 27.Fatope MO. Takeda Y. Yamashita H. Okabe H. Yamauchi T. New cucurbitane triterpenoids from Momordica charantia. J Nat Prod. 1990;53:1491–1497. [Google Scholar]
- 28.Chang CI. Chen CR. Liao YW. Cheng HL. Chen YC. Chou CH. Cucurbitane-type triterpenoids from Momordica charantia. J Nat Prod. 2006;69:1168–1171. doi: 10.1021/np068008v. [DOI] [PubMed] [Google Scholar]
- 29.Chen JC. Liu WQ. Lu L. Qiu MH. Zheng YT. Yang LM. Zhang XM. Zhou L. Li ZR. Kuguacins F–S, cucurbitane triterpenoids from Momordica charantia. Phytochemistry. 2009;70:133–140. doi: 10.1016/j.phytochem.2008.10.011. [DOI] [PubMed] [Google Scholar]
- 30.Park CS. Lim H. Han KJ. Baek SH. Sohn HO. Lee DW. Kim Y-G. Yun H-Y. Baek KJ. Kwon NS. Inhibition of nitric oxide generation by 23,24-dihydrocucurbitacin D in mouse peritoneal macrophages. J Pharmacol Exp Ther. 2004;309:705–710. doi: 10.1124/jpet.103.063693. [DOI] [PubMed] [Google Scholar]
- 31.Nhiem NX. Kiem PV. Minh CV. Ban NK. Cuong NX. Tung NH. Minh Hl. Ha DT. Tai BH. Quang TH. Ngoc TM. Kwon YI. Jang HD. Kim YH. α-Glucosidase inhibition properties of cucurbitane-type triterpene glycosides from the fruits of Momordica charantia. Chem Pharm Bull. 2010;58:720–724. doi: 10.1248/cpb.58.720. [DOI] [PubMed] [Google Scholar]
- 32.Nhiem NX. Kiem PV. Minh CV. Ban NK. Cuong NX. Ha LM. Tai BH. Tung NH. Kim YH. Cucurbitane-type triterpene glycosides from the fruits of Momordica charantia. Magn Reson Chem. 2010;48:392–396. doi: 10.1002/mrc.2582. [DOI] [PubMed] [Google Scholar]
- 33.Kim KK. Park KS. Song SB. Kim KE. Up regulation of GW112 gene by NF kappaB promotes an antiapoptotic property in gastric cancer cells. Mol Carcinog. 2010;49:259–270. doi: 10.1002/mc.20596. [DOI] [PubMed] [Google Scholar]
- 34.Gurib-Fakim A. Medicinal plants: traditions of yesterday and drugs of tomorrow. Mol Aspects Med. 2006;27:1–93. doi: 10.1016/j.mam.2005.07.008. [DOI] [PubMed] [Google Scholar]
- 35.Tak PP. Firestein GS. NF-κB: a key role in inflammatory diseases. J Clin Invest. 2001;107:7–11. doi: 10.1172/JCI11830. [DOI] [PMC free article] [PubMed] [Google Scholar]
- 36.Chen JC. Chiu MH. Nie RL. Cordell GA. Qiu SX. Cucurbitacins and cucurbitane glycosides: structures and biological activities. Nat Prod Rep. 2005;22:386–399. doi: 10.1039/b418841c. [DOI] [PubMed] [Google Scholar]
- 37.König B. Koch A. Spielmann J. Hilgenfeld C. Hirche F. Stangl GI. Eder K. Activation of PPARα and PPARγ reduces triacylglycerol synthesis in rat hepatoma cells by reduction of nuclear SREBP-1. Eur J Pharmacol. 2009;605:23–30. doi: 10.1016/j.ejphar.2009.01.009. [DOI] [PubMed] [Google Scholar]
- 38.Evans RM. Barish GD. Wang YX. PPARs and the complex journey to obesity. Nat Med. 2004;10:355–361. doi: 10.1038/nm1025. [DOI] [PubMed] [Google Scholar]
- 39.Jiang C. Ting AT. Seed B. PPAR-γ agonists inhibit production of monocyte inflammatory cytokines. Nature. 1998;391:82–86. doi: 10.1038/34184. [DOI] [PubMed] [Google Scholar]








