Abstract
Mitochondrial membrane potential (ΔΨM) is a central intermediate in oxidative energy metabolism. Although ΔΨM is routinely measured qualitatively or semi-quantitatively using fluorescent probes, its quantitative assay in intact cells has been limited mostly to slow, bulk-scale radioisotope distribution methods. Here we derive and verify a biophysical model of fluorescent potentiometric probe compartmentation and dynamics using a bis-oxonol-type indicator of plasma membrane potential (ΔΨP) and the ΔΨM probe tetramethylrhodamine methyl ester (TMRM) using fluorescence imaging and voltage clamp. Using this model we introduce a purely fluorescence-based quantitative assay to measure absolute values of ΔΨM in millivolts as they vary in time in individual cells in monolayer culture. The ΔΨP-dependent distribution of the probes is modelled by Eyring rate theory. Solutions of the model are used to deconvolute ΔΨP and ΔΨM in time from the probe fluorescence intensities, taking into account their slow, ΔΨP-dependent redistribution and Nernstian behaviour. The calibration accounts for matrix:cell volume ratio, high- and low-affinity binding, activity coefficients, background fluorescence and optical dilution, allowing comparisons of potentials in cells or cell types differing in these properties. In cultured rat cortical neurons, ΔΨM is −139 mV at rest, and is regulated between −108 mV and −158 mV by concerted increases in ATP demand and Ca2+-dependent metabolic activation. Sensitivity analysis showed that the standard error of the mean in the absolute calibrated values of resting ΔΨM including all biological and systematic measurement errors introduced by the calibration parameters is less than 11 mV. Between samples treated in different ways, the typical equivalent error is ∼5 mV.
Key points
Within cells, mitochondria oxidize carbohydrates, and fatty and amino acids to use the released energy to form ATP, and in the process, they also generate reactive oxygen species. Their maximal rates are linked to the magnitude of the mitochondrial membrane potential.
Here we derive a model of fluorescent potentiometric probe dynamics, and on these principles we introduce an absolute quantitative method for assaying mitochondrial membrane potential in millivolts in individual cultured cells.
This is the first micro-scale method to enable measurement of differences in mitochondrial membrane potential between cells with different properties, e.g. size, mitochondrial density and plasma membrane potential, including cases when plasma membrane potential fluctuates.
Mitochondrial membrane potential in cultured rat cortical neurons is −139 mV at rest. In response to electrical stimulation of the cells, it is regulated between −108 mV and −158 mV by concerted increases in energy demand and metabolic activation.
Introduction
The mitochondrial membrane potential (ΔΨM) is the major component of the proton motive force (Δp) (Brand, 1995; Nicholls, 2004), which is in turn the central intermediate of aerobic energy production, and driving force of other physiological processes in mitochondria, such as Ca2+ uptake, antioxidant defence (NADPH generation at the transhydrogenase) or heat production of brown fat. In isolated mitochondria the maximal rate of mitochondrial ATP production approximately doubles with each 10 mV increase in ΔΨM (Brand et al. 1993; Rolfe et al. 1994; Chinopoulos et al. 2009; Kawamata et al. 2010), while the rate of reactive oxygen species emission by the electron transport chain rises exponentially at strongly polarized ΔΨM (Starkov & Fiskum, 2003). These observations illustrate that the magnitude of ΔΨM and its regulation can be key determinants of health, disease and ageing (Green et al. 2004; Nicholls, 2004). In terms of human physiology, fluctuations of ΔΨM play a central role in regulation of insulin secretion in pancreatic β cells (Duchen et al. 1993). H2O2 emitted by mitochondria (secondarily linked to the magnitude of ΔΨM) has a mediator role in regulating vascular tone (Michelakis et al. 2002).
Our current understanding of the regulation of mitochondrial energy metabolism is limited by the technical difficulty of unbiased measurement of the membrane potential of mitochondria in their natural, intracellular milieu (Brand & Nicholls, 2011). Our textbook-level knowledge on mitochondrial energy metabolism originates from classical experiments performed in isolated mitochondria placed in media of artificial ionic composition and with unlimited substrate supply. Absolute assays of ΔΨM in cells have been limited to few reports using end-point measurements with radioisotope tracers in cell suspensions (Hoek et al. 1980; Scott & Nicholls, 1980; Davis et al. 1981; Brand & Felber, 1984; Nobes et al. 1990; Piwnica-Worms et al. 1991; Buttgereit et al. 1994; Porteous et al. 1998; Krauss et al. 2002). These cellular assays revealed striking differences in mitochondrial physiology between cells and isolated suspensions, such as a smaller ΔΨM (−120 to −160 mV) in situ as compared to isolated mitochondria (−180 to −190 mV; Kamo et al. 1979; Hafner et al. 1990), and a marked dependence of oxidative phosphorylation on the substrate supply from the cytosol to the mitochondria (Brown et al. 1990; Ainscow & Brand, 1999).
Here, we introduce a fluorescence microscopy-based method that calculates time courses of absolute values of ΔΨM in milliviolts in adherent cell cultures, in single or in grouped cells. All practical ΔΨM measurement techniques, radioisotopic or voltammetric (Brand, 1995) and fluorescence methods (Nicholls & Ward, 2000), rely on the Nernstian equilibrium distribution of lipophilic cations (Dykens & Stout, 2001). These cations accumulate in negative-inside membrane-bound compartments, primarily the cytosol and the mitochondrial matrix. There they bind lipids and proteins, and may undergo aggregation and spectral shifts (Brauner et al. 1984; Rottenberg, 1984; Emaus et al. 1986; Scaduto & Grotyohann, 1999). These phenomena enable particular fluorophores to give convenient signals that are related to the potentials. In practice, many of these signals are impossible to interpret correctly as potentials, for example the fluorescence ratio of JC1, because of its non-equilibrium accumulation (see Nicholls & Ward, 2000; Perry et al. 2011). In contrast, dyes that reach electrochemical equilibrium, e.g. tetramethylrhodamine methyl ester (TMRM), in quench or non-quench mode, provide fluorescence read-outs that have a defined relationship to ΔΨM (Nicholls & Ward, 2000). However, this fluorescence readout is a function not only of ΔΨM, but also of ΔΨP, the matrix:cell volume ratio, its activity coefficients and binding in the matrix and the cytosol, and spectral changes imposed by the binding. In disequilibrium the fluorescence intensity is also a function of time. Therefore, despite the commercial abundance of ‘fluorescence probes for mitochondrial membrane potential’ absolute quantitative use of fluorescence probes has rarely been attempted and such attempts were limited to special cases like single mitochondria visualized in cellular processes and cells with large mitochondria or with low mitochondrial density (Loew et al. 1993; Chacon et al. 1994; Diaz et al. 2000; Gautier et al. 2000; Huang et al. 2004). In this paper we have characterized and modeled these phenomena and incorporated them into a mathematical model. As a result, using a specific calibration paradigm and an algorithm compatible with spreadsheet formula calculations, we interpret fluorescence time courses of TMRM and a bis-oxonol type plasma membrane potential indicator (PMPI), cancel the effects of the phenomena listed above, and calculate absolute values of potentials as they change in time. In addition, volume and activity coefficient ratios are assayed by confocal microscopy.
This work builds on the model-based approach introduced by the Nicholls group (Ward et al. 2000) to interpret fluorescence changes of rhodamine dyes in whole cells, which involved matching a priori guessed ΔΨM and ΔΨP with measured fluorescence intensities. This approach was later extended by incorporating a MATLAB based fitting algorithm (Ward et al. 2007). Nicholls introduced the use of a dye from a commercial kit (dubbed PMPI; ‘pum-pee’) to assay ΔΨP in parallel to recording TMRM fluorescence, resulting in more accurate assay of ΔΨM (Nicholls, 2006). The current study is based on this model-based approach with the following fundamental differences: (1) here we provide a finer and validated biophysical modelling of plasma membrane fluxes of lipophilic cationic and anionic probes; (2) we measure and model high- and low-affinity binding, activity coefficients, background fluorescence, and optical dilution; (3) most importantly, we back-calculate (deconvolute) ΔΨP and ΔΨM from time courses of fluorescence changes measured in a specific calibration paradigm yielding time courses of absolute values of potentials without a priori expectations; (4) the resting (baseline) values of both ΔΨP and ΔΨM are calculated. This allows the comparison of absolute values of potentials in different samples.
Below, we derive the calculations from basic biophysical principles, devise calibration protocols and validate the method at the levels of modelling, electrophysiology and cell physiology. Using cultured rat cortical neurons as validation system we also show that these cells have a resting ΔΨM of −139 ± 5 mV. Sustained depolarization of ΔΨP using high [K+] medium increases ATP demand and depolarizes ΔΨM to −108 ± 4 mV, while Ca2+-dependent metabolic activation triggers hyperpolarization of ΔΨM to −158 ± 7 mV when effects of increased demand are blocked. During physiological-like metabolic activation, ΔΨM changes between −126 ± 3 mV and −154 ± 8 mV in a Ca2+-dependent manner, a hallmark of physiological regulation of substrate oxidation rate. Using simulation-based sensitivity analysis and propagation of errors for all calibration parameters we show that the total error in the determination of resting ΔΨM is less than 11 mV, including all systematic errors introduced by model parameters. Importantly these systematic errors do not affect comparison of different samples, in which case the equivalent error of resting ΔΨM is ∼5 mV. Preliminary versions of the calibration technique have been applied previously (Gerencser et al. 2009a; Chinopoulos et al. 2010; Birket et al. 2011).
Methods
Cell culture
Primary cortical neurons were prepared from E18 rat cortices as described previously (Gerencser et al. 2008) on poly-ornithine-coated 12 mm coverglasses or Lab-Tek eight-well chambered coverglasses (Nalgene Nunc International, Rochester, NY, USA). Cortices were either obtained from BrainBits LLC (Springfield, IL, USA), or for the electrophysiology experiments were dissected from Sprague–Dawley rat embryos. All procedures involving rats were carried out according to the local animal care and use committee (Egyetemi Allatkiserleti Bizottsag) guidelines. INS-1E cells were grown and maintained as described previously (Merglen et al. 2004) in RPMI 1640 medium containing 11 mm glucose on Lab-Tek eight-well chambered coverglasses or on thermanox coverslips.
Electrophysiological recordings using the perforated mode of the whole-cell configuration
Patch pipettes were pulled from borosilicate glass to resistances of 2.5–4.5 MΩ, tip-filled with solution containing (in mm): 17.5 KCl, 136.5 potassium gluconate, 9 NaCl, 10 Hepes, 5 MgCl2, 1 CaCl2, 11 EGTA, pH 7.25, and back-filled with the same solution including 0.3 mg ml−1 nystatin (from a stock of 30 mg ml−1 methanol). The bath solution contained (in mm): 120 NaCl, 3.5 KCl, 20 Hepes, 2 MgCl2, 1.3 CaCl2, 15 D-glucose, pH 7.4, with 1 μm TTX, 12 μm MK-801, 10 μm CNQX and 10 μm nimodipine. Seal resistances were routinely >5 GΩ and patches were stable for >10 min. Recording started when the access resistance was 30–60 MΩ upon diffusion of nystatin onto the patched membrane. Controls using neurons preloaded with fura2-AM showed that cytosolic fluorescence remained intact if access resistance remained >20 MΩ. Whole cell capacitance, series resistance and pipette capacitance currents were all compensated prior to recordings. Cells were discarded if leak currents exceeded ±50 pA at −60 mV holding potential. Leak currents were not subtracted for any of the recordings. Currents were acquired at ambient room temperature (22°C) at 1 kHz, amplified using an Axopatch 200B amplifier (Axon Instruments, Union City, CA, USA), digitized at a sampling rate of 10 kHz (Digidata 1322A, Axon Instruments), and recorded using pCLAMP 10.2 software (Axon Instruments). Meta-analysis was performed using Clampfit software version 10.2 (Axon Instruments). The voltage-clamp was performed on an Olympus BX 51WI upright microscope, equipped with a 40× 0.8 NA water immersion lens, Xe-arc illumination (Polychrome II, Till, Munich, Germany) and a Micromax cooled CCD-camera (Princeton Instruments, Trenton, NJ, USA), controlled by Metafluor 3.5 (Universal Imaging, West Chester, PA, USA). The filter set used to image PMPI was as stated below; for TMRM, 531/40 nm excitation filter, 562LP dichroic mirror and 593/40 emission filter (Semrock, Rochester, NY, USA) were used. TMRM was added 30–60 min before experiment at 400 nm, and prior to recording, mitochondria were depolarized by a combination of stigmatellin (1.25 μm), oligomycin (10 μg ml−1) and the uncoupler SF6847 (5 μm). PMPI was used at the dilution stated below.
Epifluorescence imaging
Cortical cultures were incubated at 37°C in imaging medium containing (in mm): 120 NaCl, 3.5 KCl, 1.3 CaCl2, 1 MgCl2, 0.4 KH2PO4, 20 N-Tris-(hydroxymethyl)-methyl-2-amino-ethanesulphonic acid (Tes), 5 NaHCO3, 1.2 Na2SO4, 15 d-glucose, pH 7.4, with TMRM (7.5 nm) plus tetraphenylborate (TPB; 1 μm) and the bis-oxonol-type plasma membrane potential indicator PMPI (at 1:200 dilution of the Loading Buffer as specified by the manufacturer; no. R8042 FLIPR Membrane Potential Assay Explorer Kit from Molecular Devices; Sunnyvale, CA, USA) for at least 90 min before experiment. TPB was required to facilitate the diffusion of TMRM (and PMPI) through the plasma membrane to speed the equilibration of the fluorophores (Bakeeva et al. 1970; Nicholls, 2006). To maintain constant TMRM and PMPI concentrations while varying [K+], imaging medium was prepared as follows: one part 2× common buffer (in mm, 7 KCl, 0.8 KH2PO4, 40 Tes, 10 NaHCO3, 2.4 Na2SO4, pH 7.6 at room temperature set by NaOH to yield pH 7.4 after reconstitution at 37°C) was mixed with appropriate amounts of CaCl2, MgCl2, glucose, TMRM, PMPI and TPB, and then diluted by one part 240 mm NaCl or alternatively by one part 240 mm KCl. Appropriate mixtures of these two media were used for K+ steps or high K+ stimulations.
Imaging was performed on an Olympus IX-81 inverted microscope with UAPO 20× air 0.75NA lens, Lambda LS Xe-arc light source (175 W), Lambda 10–2 excitation and emission filter wheels (Sutter Instruments, Novato, CA, USA), ProScan linear encoded xy-stage (Prior, Rockland, MA, USA) and Coolsnap HQ cooled digital CCD camera (Photometrics, Tucson, AZ, USA; −30°C, 10 MHz readout, low gain, 12 bit depth). Full frames at 4 × 4 binning were taken in every 1 s using MetaFluor 6.3 (Molecular Devices). To illuminate both PMPI and TMRM, a 500/24 nm excitation filter and a 520 nm dichroic mirror (Semrock) were used. Emissions were detected at 542/27 nm (Semrock) for PMPI and 620/40 (Chroma, Rockingham, VT, USA) for TMRM. The cross-talk of TMRM and PMPI emissions was eliminated by linear spectral unmixing in Mathematica 5.2 or 8 (Wolfram Research, Champaign, IL, USA) as previously described (Gerencser et al. 2009a) and this is also implemented in the online Supplemental Material Excel calibration workbooks. Superfusion was performed at 0.5 ml min−1 using a custom-made insert in eight-well Lab-Tek plates. Biphasic field stimulation was performed at 100 Hz, 20 mA, 1 ms pulse using a Digitimer MultiStim System D330 (Digitimer Ltd, UK).
Electron microscopic stereology
INS-1E cells grown on a Thermanox (Nalgene Nunc International) coverslip were preincubated in imaging buffer for 2 h then fixed for 30 min in 2% (w/v) paraformaldehyde and 2.5% (w/v) glutaraldehyde in 0.1 m sodium cacodylate. Cells were post-fixed in 1% (w/v) osmium tetroxide and 0.8% (w/v) potassium ferrocyanide in 0.1 m sodium cacodylate for 60 min, then stained with 2% (w/v) uranyl acetate for 30 min. Dehydrated and EMbed-812 infiltrated samples were embedded in EMbed-filled BEEM (Electron Microscopy Sciences, Hatfield, PA, USA) capsules at 60°C for 72 h. The cell-monolayer was exhaustively sectioned through the monolayer using a MT-7000 ultramicrotome generating 60 nm-thick serial sections. Cells were imaged on a Phillips Technai 12 transmission electron microscope at 80 kV. A uniform random approach to imaging was employed by choosing one section out of 152 serial sections at random and imaging a subset of evenly spaced sections thereafter. Individual cells on these sections were imaged, selected by stepping across each grid in a pre-determined x/y meander. Two sets of images were collected, one to analyse the mitochondria:cell volume fraction, taken at 20,500×, and another to measure the mitochondrial matrix: mitochondria volume fraction, taken at 105,000×. Images were analysed using the volume estimator Cavalieri probe in Stereo-investigator (MBF Bioscience; Williston, VT, USA). Probe grid spacing was 60 nm and 30 nm, respectively.
Laser scanning confocal microscopic stereology
INS-1E cells or primary cortical neurons were loaded with MitoTracker Red CMXRos (30 nm) and calcein-AM (1 μm) for 30 min at 37°C. Calcein (showing the whole cell) and MitoTracker Red (showing the shape of the mitochondrial inner boundary membrane) were imaged on a Zeiss LSM 510 laser scanning confocal microscope using a Plan-Apochromat 100×/1.4 oil lens. Single planes of 1024 × 1024 pixels were recorded at 44 nm pixel size at 1 Airy unit pinhole at high quality (31 s frame−1 scan time). Calcein and MitoTracker Red were simultaneously excited at 488 nm (30 mW Ar-ion laser at 10% power) and at 543 nm (1.2 mW He–Ne laser at 100%) and emissions were detected at 500–530 nm and above 560 nm, respectively. These settings caused significant photodamage, therefore each view field was scanned only once, and no z-stacking was used. Instead, the focal plane was successively elevated after acquisition of ∼5 images in each plane moving in a sparse tile pattern, sectioning across the thickness of the culture at 1.5 μm z-spacing. Recorded images were analysed in Image Analyst MKII (Novato, CA, USA). Mitochondria to cell volume fractions were calculated using image binarization and counting the total number of mitochondrial and cellular pixels (see Results and Supplemental Material Fig. S1).
Modelling and mathematics
Derivations of calibration equations and numeric calculations were performed in Mathematica 8.0 and are presented in the Supplemental Material. The temporal derivative (
) was calculated by kernel convolution using a Savitzky–Golay differentiation kernel (Gerencser & Nicholls, 2008) with width = 15 or 21, order = 2 for PMPI or 3 for TMRM (see Supplementary Material, Excel calibration workbooks). Data are given as means ± SEM of n= 4–8 recordings divided amongst at least three different cell culture preparations, with the exception of EM stereology data. For statistical comparison, a two-tailed non-paired Welch's test was used. Statistical significances of depolarizations or hyperpolarizations were determined by a one-tailed paired Welch's test, as the direction of change was known.
Materials
All materials were from Sigma, except PMPI (Molecular Devices), SF 6847 (EI-215; Biomol GmbH, Hamburg, Germany) and Neurobasal medium, B27 supplement, calcein-AM, MitoTracker Red CMXRos, TMRM (Invitrogen), and IAA-94 (Enzo Life Sciences, Farmingdale, NY, USA).
Results
Kinetic modelling of PMPI and TMRM redistribution across the plasma membrane
PMPI is a lipophilic anion, bis-oxonol-type probe that is expelled from the cytosol by ΔΨP. The extracellular fluorescence of PMPI is attenuated by a quencher reagent while intracellular fluorescence is amplified by membrane binding. Therefore the PMPI fluorescence (fP) measures the amount of dye present in the cytosol as a function of time. Conversely, TMRM is a lipophilic cation that is accumulated into the cytosol and mitochondria (Fig. 1A). TMRM fluorescence (fT) is the sum of cytosolic and mitochondrial fluorescence as a function of time. fP and fT are expressed here as normalized to unitary baseline. To describe the ΔΨP-dependent redistribution of the fluorophore through the plasma membrane, the Eyring rate theory (barrier) model was used (Fig. 1B, eqn 1), which provides a simple formalism for transport rates of lipophilic ions through a single energy barrier in the presence of electric potential (Boork & Wennerstrom, 1984; Hall et al. 1973):
Figure 1. Model for PMPI and TMRM redistribution across the plasma and mitochondrial membranes.

A, the redistribution of the two lipophilic ions between the extracellular space and the cytosol was kinetically modelled. The potential-dependent uptake and efflux rate equations corresponding to eqn (1) are indicated above and below the arrows. TMRM was assumed to be in Nernstian equilibrium between the mitochondrial matrix and the cytosol. B, electrostatic or Eyring barrier in the plasma membrane, illustrating the simplified potentials (Ψ) that affect the diffusion of lipophilic probes across the membrane. s denotes the position of the peak of the potential barrier (Ψbarrier). s is between 0 and 1 and is 0.5 if the membrane behaves symmetrically.
![]() |
(1) |
In eqn (1),
, where R is the molar gas constant (8.314 J K−1 mol−1), T is the temperature (295 K in the voltage clamp experiments, 310 K elsewhere), F is the Faraday constant (96,485 C mol−1), z is the signed apparent charge of PMPI or TMRM and ΔΨP is signed. EC denotes extracellular space and C denotes the cytosol. This model accommodates an asymmetric energy barrier in the membrane; the position of the barrier, s, has a value between 0 (outside; see Fig. 1B) and 1 (inside) (Boork & Wennerstrom, 1984). k′ is the rate constant of dye translocation at zero potential (with units s−1), VC is the volume of the cell. Both TMRM (Scaduto & Grotyohann, 1999) and PMPI (oxonols in general; Brauner et al. 1984; Klapperstück et al. 2009) exhibit significant membrane binding. In our model this binding and the fluorescence enhancement upon binding are embedded into apparent activity coefficients. aC is the apparent activity coefficient of the probe in the cytosol.
To validate the electrostatic barrier model (eqn (1)) and determine the values of s and b, cultured rat cortical neurons were equilibrated with TMRM (400 nm; in the presence of mitochondrial inhibitors) or PMPI (1:200). Fluorescence was imaged with wide-field epifluorescence microscopy combined with voltage-clamp in whole cell, perforated mode (Fig. 2A). To obtain s and b, eqn (1) was written in a general format for fluorescence (eqn (2)), with the following considerations: (1) f is the fluorescence of
at time t (fluorescence yields cancel therefore are not shown); (2) at ΔΨP= 0 mV,
, and therefore the fluorescence at ΔΨP= 0 mV (f0) is the fluorescence of
; (3) f and f0 are detected in the same compartment (cytosol), and therefore volume terms cancel, and fluorescence intensities can be used directly instead of concentrations; (4) the measured fluorescence intensity is offset by a potential independent, background fluorescence emission, fX. Equation (2) describes disequilibrium of the dye between the extracellular space and the cytosol, while eqn (4) is written for equilibrium, which is equivalent to the Nernst equation.
Figure 2. Characterization of the behaviour of TMRM and PMPI at the plasma membrane by fluorescence imaging combined with electrophysiology.

Aa–Da, cortical neurons were equilibrated for 30–60 min with TMRM (400 nm) in the presence of stigmatellin (1.25 μm), oligomycin (10 μg ml−1) and the uncoupler SF6847 (5 μm), to discharge ΔΨM. Ab–Db, cortical neurons were equilibrated with PMPI (1:200). A, fluorescence (black squares) recorded under voltage-clamp (red) in perforated mode of the whole-cell configuration. Green traces illustrate the fits performed for each decay or rise (eqn (5); see below). B, relationship of the equilibrium fluorescence intensities and the holding potentials (extrapolation of a single exponential function was used if no obvious equilibrium was reached). The red line is the best fit of eqn (4) for parameters f0, fX and b. C, relationship of the rate constants k1 (triangles) and k2 (squares) to the holding potential. Each pair of k1 and k2 values is the result of fits performed for each voltage step-triggered decay or rise (eqn (5); green traces in A). Functions fitting the k1 and k2 values were generated by first seeking the values of k and s using eqn (6), then plotting the functions of k1 (red) and k2 (green) according to eqn (3). See values of z, fX and k in Table 1. D, overlay of the fluorescence intensity calibrated in millivolts (black) and the holding potential (red). The calibration was performed by numeric solution of eqn (2) for the determined s values. Data are representative recordings from 8 cells in both conditions.
| (2) |
where
| (3) |
| (4) |
First z, the apparent charge of PMPI or TMRM, was determined from the equilibrium fluorescence intensities (Fig. 2A black symbols) at different potentials achieved by voltage steps (Fig. 2A red), using non-linear fit of eqn (4) for the parameters f0, fX and z (Fig. 2B and Table 1). The apparent charges (z) of the probes were fractional (Table 1), despite their real charges of +1 for TMRM and −1 for PMPI (see Discussion). f0 and fX are specific to each sample and are not constants for the probes. This is reflected in their greater SEM compared to the z values (Table 1).
Table 1.
Kinetic parameters of the plasma membrane redistribution of TMRM and PMPI with or without TPB (1 μm), at 22°C
| index (i) | TMRM(TM) | TMRM/TPB (T) | PMPI- | PMPI/TPB (P) |
|---|---|---|---|---|
| zi | 0.71 ± 0.05 | 0.80 ± 0.04 | −0.78 ± 0.03*** | −0.55 ± 0.024*** |
| fiX (%) | 22 ± 6 | 18 ± 6 | 32 ± 8 | 25 ± 8 |
| fi0 (%) | 16 ± 2.7 | 16 ± 2.1 | 337 ± 68 | 208 ± 27 |
| si | 0.49 ± 0.06 | 0.41 ± 0.04 | 0.47 ± 0.04* | 0.65 ± 0.05* |
| ki (s−1) | 0.084 ± 0.014*** | 0.28 ± 0.03*** | 0.16 ± 0.012** | 0.38 ± 0.05** |
Indices are as used in the text. Values are means ± SEM (n= 8). *P < 0.05; **P < 0.01; ***P < 0.001 significance with Student's t test between TPB and no TPB conditions for each probe.
The values of k and s were determined by non-linear fit of the exponential decay or rise curves of fluorescence triggered by the voltage steps (Fig. 2A green). To do this, k and s were expressed as k1 and k2 (eqn (3)) and eqn (2) was solved for
at the
initial condition (eqn (5)). This and all other equation derivations are detailed in the Supplemental Material Mathematica notebook file.
| (5) |
k1 and k2 were determined for all well-resolved voltage steps by fitting eqn (5) to the fluorescence traces (Fig. 2A green). The resulting Fig. 2C demonstrates that influx and efflux rate constants are indeed dependent on ΔΨP. Next k and s were determined from this data by a weighted least squares approach minimizing the expression in eqn (6):
![]() |
(6) |
In eqn (6), k1i and k2i are the pairs of k1 and k2 and values shown in Fig. 2C corresponding to voltage step i to ΔΨPi, and b (given as z) is as determined above. Fit curves in Fig. 2C show k1 and k2 calculated using eqn (3) and the resultant values of k and s, indicating that optimization using a single error function (eqn (6)) resulted in good fits for both k1 and k2.
Finally, the complete fluorescence time course was calibrated by numerically solving eqn (2) for ΔΨP after substituting the parameter values, the normalized fluorescence intensities and their first temporal derivatives. The calculated ΔΨP closely matched the voltage steps (Fig. 2D), showing that the kinetic model (eqn (1)) accurately predicts the behaviour of TMRM and PMPI.
Effects of tetraphenylborate (TPB)
We included tetraphenylborate (TPB; 1 μm) in all experiments below to facilitate the diffusion of TMRM through the plasma membrane and to speed its equilibration (Bakeeva et al. 1970; Nicholls, 2006). The TPB concentration in the cytosol is very small due to its negative charge, and therefore we assume that TMRM behaves in the mitochondrial inner membrane as it does in the plasma membrane in the absence of TPB. Therefore the kinetics of PMPI and TMRM uptake were measured both in the absence (Fig. 2) and in the presence of TPB (Table 1). TPB increased the rate of uptake of both TMRM and PMPI and caused significant asymmetry in the Eyring energy barrier, giving s other than 0.5, suggesting an effect of TPB on the dipole potential profile inside the membrane (Flewelling & Hubbell, 1986). The accumulation of PMPI was decreased by TPB as signified by the decreased apparent charge, while this effect on TMRM was not significant (Table 1). An explanation of these effects is presented in the Discussion.
Quantitative measurement of ΔΨP and ΔΨM in cultured cortical neurons
To demonstrate and validate the potentiometric assays, neurons were equilibrated with TMRM (7.5 nm) and PMPI (1:200) in the presence of TPB (1 μm) and imaged with wide-field fluorescence microscopy. A prototype experiment for calibration of both potentials in a single experiment is described below and shown separately in Fig. 3 for PMPI and Fig. 4 for TMRM.
Figure 3. Complete calibration of plasma membrane potential in cortical neurons.

Cortical neurons were equilibrated with TMRM (7.5 nm) and PMPI (1:200) in the presence of TPB (1 μm) for >90 min and imaged with wide-field fluorescence microscopy at 1 frame s−1. Only the PMPI data is shown here, for TMRM see Fig. 4. A, PMPI fluorescence micrographs after spectral unmixing from TMRM fluorescence bleed-through, depicting the first (a) and last (b) cropped frames of the experiment. Coloured, numbered shapes indicate the regions of interest (ROIs) used for averaging fluorescence intensity. The arrow shows the cell corresponding to the insets below. B, normalized PMPI fluorescence intensities, indicating mean ± SEM of fluorescence measured over n= 12 neurons in a representative experiment. The corresponding image recording is shown cropped in A. The anti-excitotoxicity cocktail (AEC), anti-swelling cocktail (ASC), mitochondrial depolarization cocktail (MDC) and complete depolarization cocktail (CDC; Table 2) were mixed into the experimental buffer as indicated. [K+]EC was incremented when indicated by fractional replacement of the experimental buffer with identical, but KCl-based, buffer containing all previously added drugs. The green fit curve and the red diamonds mark data ranges of analysis performed below. The red circle indicates the position of measuring fP0. C, calibrated ΔΨP showing mean ± SEM of the 12 neurons. Calibration was performed cell-by-cell using eqn (8). Top inset, example of the determination of fPX, [K+]C and ΔΨP,rest, by linear regression (eqns (10)–(12)) in a single neuron (marked by the arrow in A). Red diamonds correspond to the ones in B. Bottom inset, example of the determination of kP by linear regression (eqns (15)–(17)) in a single neuron (marked by the arrow in A). Data points were transformed from the equivalent of the segment of B marked by green. Main graphs show the average of 12 neurons in one representative experiment, while insets depict a single cell from the 12 neurons in this experiment (marked by the arrow in A). Table 3 summarizes the parameters and potentials determined in all similar experiments (n= 8).
Figure 4. Complete calibration of mitochondrial membrane potential in cortical neurons.

Only the TMRM data are shown here; for PMPI see Fig. 3. A, TMRM fluorescence micrographs after spectral unmixing from PMPI fluorescence bleed-through, depicting the first (a) and last (b) frames of the experiment detailed in Fig. 3. B, TMRM fluorescence intensities, indicating mean ± SEM of fluorescence over n= 12 neurons in a representative experiment. The corresponding image recording is shown cropped in A. AEC, MDC and CDC (Table 2) were mixed into the experimental buffer as indicated. C, calibrated ΔΨM, showing mean ± SEM (n= 12). Calibration was performed cell-by-cell using eqn (22) and the time course of ΔΨP determined in Fig. 3C. Inset, example of the determination of fTX, fTE, kP and ΔΨM,rest by linear regression (eqns (24)–(26)) in a single neuron (marked by the arrow in A). Data points were transformed from the equivalent of the segment of B marked by green. Main graphs show the average of 12 neurons in one representative experiment, while the inset depicts a single cell from the 12 neurons in this experiment. The following constants were used for the calculations: RAV= 1.179, zP=−0.55, zTM= 0.71, zT= 0.8, sT= 0.41. Table 3 summarizes the parameters and potentials determined in all similar experiments (n= 8).
Determination of ΔΨP; derivation of the calibration equation
First we obtain the mathematical formulae for calibration of PMPI fluorescence (Fig. 3A). Equation (1) has an algebraic solution only if s is 0, 0.5 or 1. Because s for PMPI (sP) in the presence of TPB is closest to 0.5 (Table 1), as a simplification we write eqn (7) with sP= 0.5. The actual value of s affects the calculations only at disequilibrium, but not the ΔΨP determined when the probe is in equilibrium. In addition, the sensitivity analysis provided below shows that the value of sP has negligible effect on calibrated potentials in disequilibrium, too (see below, Table 4, last column).
Table 4.
Sensitivity of calculated potentials to errors in the calibration parameters
| Bias in calibrated potentials (mV) caused by 10% increase of the calibration parameter (bias10%) | ||||||||
|---|---|---|---|---|---|---|---|---|
| ΔΨP at | ΔΨM at | |||||||
| Calibration parameter | Value | Typical error (SEMtypical) | Rest −52 mV |
Depol. −20 mV |
Rest −139 mV |
Depol. −126 mV |
Hyperpol. −154 mV |
During ΔΨP depol. −
|
| zTM | 0.71 | 0.05 | 0 | 0 | 14 | 13 | 16 | 0.15 |
| zT | 0.8 | 0.04 | 0 | 0 | −1.8 | −1.4 | −2.5 | −2 |
| zP | −0.55 | 0.024 | −0.23 | −0.65 | 0.2 | 0.19 | 0.22 | 0.31 |
| VF | 0.075 | 0.0008 | 0 | 0 | 3.4 | 3.4 | 3.4 | 0.0031 |
| VFM | 0.8 | 0.08 | 0 | 0 | 1.3 | 1.3 | 1.3 | 0.0012 |
| sP | 0.5 | 0.05 | 0 | 0.041 | 0.0015 | 0.001 | 0.0024 | −0.14 |
| sT | 0.41 | 0.04 | 0 | 0 | 0 | 0.035 | −0.065 | 1 |
| PN | 7.8 | 1.3 | 1.4 | 0.38 | 0.56 | 0.45 | 0.78 | 0.65 |
| fP0 | 1 | N/A # | −4.8 | −4.9 | −1.3 | −0.97 | −1.9 | 1.2 |
| fT0 | 1 | N/A # | 0 | 0 | −1.5 | −1.1 | −2.2 | 1 |
| aR′ | 0.41 | 0.007 | 0 | 0 | −3.4 | −3.4 | −3.4 | −0.0032 |
| PMPI to TMRM crossbleed coeff. (A) | 0.38 | 0.0024 | 0 | 0 | −11 | −8.4 | −17 | 2.3 |
| TMRM to PMPI crossbleed coeff. (A) | 0.07 | 0.0023 | 0.58 | 0.3 | −1.1 | −0.84 | −1.5 | 0.86 |
| PMPI to TMRM crossbleed coeff. (B) | 0.015 | N/A | 0 | 0 | −0.42 | −0.32 | −0.63 | 0.088 |
| TMRM to PMPI crossbleed coeff. (B) | 0.054 | N/A | 0.43 | 0.22 | −0.81 | −0.63 | −1.1 | 0.64 |
| Typical propagated SEM (mV) | ||||||||
| Total propagated error | 18 | 4.9 | 10 | 8.8 | 13 | 8.5 | ||
| Error of sample comparisons (propagated through RAV) | 0 | 0 | 1.1 | 1.1 | 1.1 | 0.001 | ||
PMPI and TMRM fluorescence time courses were simulated as for Fig. 8, and back-calibrated with altered calibration parameters. The bias of calibrated potentials is indicated in millivolts. Circled numbers correspond to Fig. 8A. Crossbleed coefficients are given for single excitation optical setup (see Methods) (A) or a dual excitation dual emission setup (see Birket et al. 2011) (B). #These errors are reflected in the SEM of experimental repeats and therefore were not included in the total error calculation. See corresponding simulation plots in Fig. S2.
| (7) |
In eqn (7), fP is the PMPI fluorescence (=
) after background subtraction, spectral unmixing and normalization to the baseline of 1. Fluorescence yield (not shown) and volume (VC) terms cancel in the equation as only fluorescence originating from the cytosol is used. fPX is a potential-independent, background fluorescence emission that includes non-specific, high-affinity binding of PMPI to cellular components, autofluorescence and local background.
, where zP (−0.55) is the apparent charge of PMPI in the presence of TPB (Table 1). kP is the apparent rate constant of PMPI uptake at zero ΔΨP with units of s−1 cell volume−1. Although kP is given in Table 1, its value has to be determined for each specimen, because kP depends on the permeability properties of the plasma membrane and the dimensions of the cell (see eqn (2)). fP0 is the PMPI fluorescence measured at zero potential (=
; see above). For practical reasons, fP0 is defined to contain the fluorescence background fPX, so fP0 can be simply obtained as fP after complete depolarization.
To obtain the calibration equation (eqn (8)), eqn (7) is solved for ΔΨP. The time course of normalized PMPI fluorescence intensity, and its first temporal derivative (calculated by kernel convolution filtering) are written as
and
, respectively. Working with spreadsheet data, FP is obtained with a zero differentiation order Savitzky–Golay kernel that is effectively a smoothing filter, and DP by a first order differentiating kernel from
. The latter is divided by the time values (in seconds) kernel filtered by the same first order differentiating kernel (see Supplemental Material for further explanation). Notably, at steady state, when DP= 0, eqn (8) simplifies to the Nernst equation.
![]() |
(8) |
Calibration of ΔΨP
To calculate ΔΨP from a PMPI fluorescence time course (Fig. 3A-B) using eqn (8), the values of kP, fP0 and fPX have to be determined. The calibration of PMPI is performed by establishing a K+-diffusion potential at the plasma membrane followed by stepwise increments (i) of [K+]EC (Fig. 3B red diamonds). The K+-diffusion potential is established with the K+-ionophore valinomycin. Because this also serves the calibration of ΔΨM (see below) valinomycin is delivered as a component of the mitochondrial depolarization cocktail (MDC; Table 2). This paradigm does not require knowledge of
, because it is one of the parameters calculated below. The experiment is finished by the addition of the complete depolarization cocktail (CDC; Table 2), a mixture of ionophores allowing equilibration of Na+, K+ and H+. The equilibrium fluorescence reached after CDC is fP0 (Fig. 3B red circle). Then, fPX is determined by the Goldman equation written for [K+] plus other ions and the Nernst equation written for [PMPI] (eqn (9)).
Table 2.
Compositions of calibration cocktails
| Complete depolarization cocktail (CDC) 1:500 in EtOH | Mitochondrial depolarization cocktail (MDC) 1:1000 in EtOH | Anti-swelling cocktail (ASC) 1:1000 in DMSO | ||||||
|---|---|---|---|---|---|---|---|---|
| Compound | EtOH stock (mm) | Final(μm) | Compound | EtOH stock (mm) | Final(μm) | Compound | DMSO stock (mm) | Final (μm) |
| Valinomycin | 10 | 1 | Valinomycin | 10 | 1 | IAA-94 | 1000 | 100 |
| Gramicidin | 20 | 10 | Oligomycin | 10 | 2 | DIOA | 100 | 10 |
| Nigericin | 100 | 10 | Antimycin | 20 | 1 | Bumetanide | 200 | 80 |
| Monensin | 100 | 10 | FCCP | 10 | 1 | |||
| FCCP | 10 | 1 | Anti-excitotoxicity cocktail (AEC) 1:100 in medium | |||||
| Oligomycin | 10 | 2 | ||||||
| Iodoacetate | 2000 | 500 | Compound | H2O stock (mm) | Final (μm) | |||
| Cyclosporin A | 10 | 2 | ||||||
| Antimycin A | 20 | 1 | MK-801 | 10 | 10 | |||
| NBQX | 20 | 10 | ||||||
| Nifedipine | 10 | 1 | ||||||
| Tetrodotoxin | 2 | 1 | ||||||
The complete depolarization cocktail (CDC) and the mitochondrial depolarization cocktail (MDC) were composed using the indicated amounts of the K+ ionophore valinomycin, the Na+ ionophore gramicidin, the K+/H+ exchanger nigericin, the Na+/H+ exchanger monensin, the protonophore carbonylcyanide 4-(trifluoromethoxy)phenylhydrazone (FCCP), the ATP-synthase inhibitor oligomycin, the glyceraldehyde phosphate dehydrogenase inhibitor iodoacetate, the respiratory complex III inhibitor antimycin A, and the mitochondrial permeability pore inhibitor cyclosporin A. The anti-swelling cocktail (ASC) contained the Cl− channel inhibitor R(+)-methylindazone (IAA-94), the K+–Cl− cotransport inhibitor R(+)-butylindazone (DIOA), and the Na+–K+–Cl− cotransport inhibitor bumetanide. The anti-excitotoxicity cocktail (AEC) contained the NMDA receptor antagonist MK-801, the AMPA receptor antagonist 1,2,3,4-tetrahydro-6-nitro-2,3-dioxo-benzo[f]quinoxaline-7-sulfonamide (NBQX), the voltage-gated Ca2+ channel inhibitor nifedipine, and the voltage-gated Na+-channel inhibitor tetrodotoxin. The above components have been tested not to interfere with TMRM and PMPI fluorescence recordings.
![]() |
(9) |
Permeabilities of anions (A−) and cations (M+) relative to K+ are marked by P. In the presence of valinomycin and Na+-channel inhibitors the contribution of Na+ is small, but because of the presence of protonophore in the calibration cocktail, H+ may contribute. These permeability terms are assumed to be constant while replacing extreacellular Na+ for K+, and are collected into PN (numerator) and PD (denominator) terms. In the right side of eqn (9), activity coefficients of PMPI (not shown) can be neglected, because PMPI is always measured in the same compartment and the activity coefficients for K+ are assumed to be 1 (Scott & Nicholls, 1980). By expressing
from eqn (9) we obtain the following linear relationship (eqn (10)):
| (10) |
| (11) |
To enable later routine use of linear regression analysis of eqn (10), first we determined the value of PN for valinomycin-treated cortical neurons using nonlinear fit of fPi and
value pairs. This gave 7.8 ± 1.3 mm (n= 8) for PN. Using this known PN, fPX is obtained by linear regression taking fPi (values corresponding to the red diamonds in Fig. 3B) as independent and
as dependent variables (eqn (12); Fig. 3C top inset) in all further experiments.
| (12) |
For cases where PN∼0 (e.g. in the absence of protonophore), thus when other permeabilities are negligible compared to the permeability of K+, it can be assumed that PD∼0, therefore
can be obtained with eqn (13).
| (13) |
ΔΨP,rest is obtained by solving eqn (8) for FP= 1 and DP= 0 (eqn (14)). This equation can be used only if the PMPI was in equilibrium (DP= 0) at the beginning of the recording. Parameters determined in Fig. 3 are shown in Table 3.
Table 3.
ΔΨP and ΔΨM calibration parameters in resting cortical neurons
| Calibration cocktail | |||
|---|---|---|---|
| MDC | MDC/ASC | ||
| PMPI fluorescence (Fig. 3B) | fP0 (%) | 283 ± 27 | 291 ± 13 |
| PMPI regression 1 (Fig. 3C top inset) | fPX (%) | 18 ± 9 | 2.51 ± 3.9 |
| [K+]C+PD (mm) | 93 ± 3 | 91 ± 2 | |
| ΔΨP,rest (mV) | −56.7 ± 1.3 | −52.2 ± 1.65 | |
| ΔΨP,AEC (mV) | −63.9 ± 0.9 | −57.9 ± 1.5 | |
| r2 | 0.99 ± 0.004 | 1.00 ± 0.001 | |
| PMPI regression 2 (Fig. 3C bottom inset) | kP (s−1) | 0.22 ± 0.04 | 0.18 ± 0.04 |
| r2 | 0.9 ± 0.01 | 0.93 ± 0.01 | |
| TMRM fluorescence (Fig. 4B) | fT0 (%) | 4.5 ± 2.2 | 8.59 ± 0.81 |
| TMRM regression (Fig. 4C inset) | fTX (%) | 0.58 ± 2.6 | 5.45 ± 1.18 |
| kT (s−1) | 0.04 ± 0.004 | 0.04 ± 0.005 | |
| ΔΨM,rest (mV) | −123.3 ± 2.5 | −139.1 ± 5.1 | |
| r2 | 0.62 ± 0.04 | 0.74 ± 0.05 | |
| Total n (exp.) | 6 | 8 | |
ΔΨP,AEC was measured after addition of AEC. Values are means ± SEM.
| (14) |
Next, kP is determined from the response of PMPI for one of the step-depolarizations (marked by green in Fig. 3B). In contrast to the nonlinear fit approach in eqns 5–6, to make the calculation of kP simpler, we derive a method based on linear regression. fPX and fP0 are available from the calculations above. Let L be the term within the logarithm in eqn (8). Considering a step-depolarization (ΔΨP is constant after the step), L is constant for any equilibrium or disequilibrium FP and DP values (eqn (15) left side). For the equilibrium reached at the end of the K+-step we substitute FP=fP1 and DP= 0 into L (eqn (15) right side). Then we solve eqn (15) for DP (eqn (16)).
| (15) |
| (16) |
Using eqn (16), linear regression is performed for the upstroke of the fluorescence signal upon the step depolarization by taking FP as independent and DP as dependent variables (Fig. 3C bottom inset). By substituting eqn (15) into the regression parameters, fP1 cancels and kP is expressed by eqn (17). Therefore there is no need to obtain fP1 (and thus to reach equilibrium) during the K+-step, instead an arbitrary section of the signal is sufficient for the calculation of kP.
![]() |
(17) |
Fig. 3C shows ΔΨP calculated by eqn (8) from the fluorescence intensity data in Fig. 3B. The mean ΔΨP,rest and the determined parameters are given in Table 3.
Determination of ΔΨM; derivation of calibration equations
Here, we obtain the mathematical formulae for the absolute calibration of non-quench mode TMRM fluorescence (Fig. 4A). TMRM redistributes slowly through the plasma membrane. Using the time course of ΔΨP determined above, the rate of change of [TMRM]C is described by eqn (18), based on eqn (1) minus the uptake by mitochondria:
![]() |
(18) |
The indices have the following meanings: EC, extracellular space; C, cytosol; M, matrix; P, plasma membrane; T, TMRM. In eqn (18),
, where zT (−0.80) is the apparent charge of TMRM in the presence of TPB (Table 1). aC is the apparent activity coefficient (or correction for low-affinity binding) of TMRM in the cytosol relative to the medium, and
is the rate constant of TMRM distribution through the plasma membrane (s−1).
During the assay, the total normalized fluorescence of TMRM in single cells is measured as a function of time (fT; Fig. 4B). It is the sum of fluorescence originating from the matrix, the cytosol (including nucleosol) and a constant, potential-independent background fluorescence (fTX), including TMRM in the medium (eqn (19)). fT is a unitless, normalized number and because fluorescence yields cancel, we use the simplification that it equals concentration times volume. The measured fluorescence and its change in time are expressed by the concentration terms as follows:
| (19) |
| (20) |
FT and DT denote processed signals, kernel smoothed TMRM fluorescence intensity and its kernel differentiated first temporal derivative, respectively, using a Savitzky–Golay kernel filtering. When both ΔΨP and ΔΨM are zero, we measure fT0 total TMRM fluorescence, which is proportional to [TMRM]EC in all compartments, but affected by affinity coefficients, binding and background (eqn (21)):
| (21) |
Importantly, eqns (19)–(21) are valid only with the assumption that volume and activity coefficient terms, and the background do not change during the recording. The mitochondrial inner membrane has a large surface-to-volume ratio, and therefore TMRM is considered to be in equilibrium between the matrix and the cytosol at all times. Therefore ΔΨM is calculated by the Nernst equation between the matrix and cytosol (eqn (22)). [TMRM]M and [TMRM]C are expressed by solving eqns (18)–(20) with the elimination of the differentiated concentration terms. Using the following substitutions:
,
,
,
and
we obtain eqn (22):
![]() |
(22) |
where
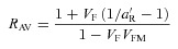
and zTM (0.71) is the apparent charge of TMRM in the absence of TPB (Table 1). The substitutions above were introduced to collect all volume and activity coefficient terms in a single constant (RAV) that is a function of activity coefficient (or low-affinity binding) ratios and volume ratios between the matrix and the cytosol. Equation (22) is the main ΔΨM calibration equation that converts the time course of TMRM fluorescence (defined by FT, and DT and the endpoint fluorescence fT0), the time course of ΔΨP (E) and three constants fTX, kT, and RAV into absolute millivolt values. Next, we determine the values of these constants.
Calibration of ΔΨM
In typical experiments it is often unfeasible to achieve equilibrium of TMRM within the time frame of the assay at potentials other than baseline and zero ΔΨM and ΔΨP. In addition, ΔΨP does not necessarily remain constant while ΔΨM is manipulated. We derive below a method to calculate fTX and kT without the requirements for equilibrium and constant ΔΨP. The only calibration point of ΔΨM that can be achieved unambiguously in situ with pharmacological tools is the zero potential. Therefore the calibration parameters are calculated from the decay kinetics of TMRM fluorescence triggered by a complete, step depolarization of ΔΨM, using the time course of ΔΨP(t) determined in parallel, and a known RAV. This depolarization is triggered by the application of the mitochondrial depolarization cocktail (MDC; Fig. 4B). The concerted action of respiratory inhibition, a protonophore and a K+-ionophore is known to discharge ΔΨM to zero (Brown & Brand, 1986). This is because the ΔΨM is primarily sustained by the activity of the proton pumping complexes, with only a very small contribution from secondary ion diffusion across the essentially impermeable mitochondrial membrane. In the presence of valinomycin, [K+] is similar in the matrix and in the cytosol, and due to the high surface to volume ratio any diffusion potential can exist only transiently. A Donnan potential is not expected due to the similar presence of proteins in both compartments and the presence of high concentrations of K+ and Mg2+ (Rottenberg 1984).
Application of MDC triggered a characteristic decay of TMRM fluorescence (Fig. 4B green curve). FT, DT and E are redefined as time-dependent variables spanning only the duration of this decay curve and fT0 is the TMRM fluorescence after complete depolarization of both potentials, as above. To allow sufficient time for the actions of inhibitors included in the MDC, the first 30 s of the decay curve (plus the half-width of the differentiation kernel) is omitted from the calibration. The parameter calculation is simplified below to linear regression by algebraic transformation. First we solve eqn (22) for DT as an algebraic equation at ΔΨM= 0 and multiply both sides of the resultant equation by
. To obtain a linear relationship we transform FT, DT and E using eqn (23) and express the transformed solution of eqn (22) as eqn (24). Using FTE and DTE allows the determination of the values of fTX and kT by linear regression (eqn (24)).
| (23) |
| (24) |
To this end, first FTE and DTE transformed time courses are calculated using eqn (23) for each valid time point of the decay of TMRM fluorescence. Then linear regression is performed by taking FTE as the independent and DTE as the dependent variable (Fig. 4C inset). kT and fTX are calculated from the regression parameters (eqns (25)–(26); also see Table 3).
| (25) |
| (26) |
ΔΨM,rest is calculated by substituting the obtained values into eqn (22) at FT= 1 and DT= 0. Therefore this equation can be used only if the TMRM was in equilibrium (DT= 0) at the beginning of the recording.
![]() |
(27) |
Eqn (22) has non-trivial (non-zero) solutions for RAV only at non-zero ΔΨM, and therefore either the ΔΨM,rest is calculated using an independently determined RAV, or RAV can be calculated, if ΔΨM,rest is known. This can be done by substituting eqns (25) and (26) into eqn (27) and solving this equation for RAV:
![]() |
(28) |
To calibrate ΔΨM in Fig. 4 we used RAV= 1.179, which we independently determine below (Fig. 5). Finally, the complete time course of ΔΨM is calculated by substituting the values of fTX, kT and RAV into eqn (22) (Fig. 4C).
Figure 5. Measurement of mitochondria:cell and matrix:mitochondrion volume fractions in INS-1E cells with electron microscopy and laser scanning confocal microscopy.

A, electron microscopic stereology was performed in uniform random sectioned samples of INS-1E cells imaged at 20,500× (a) to determine the mitochondria (m) to cell (c) volume fraction; within these sections mitochondria with well-outlined cristae were imaged at 105,000× (b) to measure the matrix:mitochondrion volume fraction. Scale bars, 500 nm; ec, extracellular space; mx, matrix; om, outer mitochondrial membrane. B–H, confocal microscopic determination of the mitochondria to cytosol volume fraction was performed by imaging MitoTracker Red (B) and calcein fluorescence (C). D and E, MitoTracker Red images were highpass filtered (D) and binarized (E) by locally adaptive thresholding. F, calcein images were binarized by globally adaptive thresholding. G, composite image showing mitochondrial profiles in yellow and cellular profile in green. B–G, scale bars, 5 μm. Insets show magnifications of the boxed areas; scale bars in insets, 1 μm. H, effect of highpass filtering on local background fluorescence intensities. The black trace corresponds to the unfiltered fluorescence intensity profile measured across the line in B. Inset, blue and red traces depict pixel values corresponding to the same line in the highpass filtered (D) and binarized (E) images, respectively.
Determination of matrix to cell volume fraction (VF) in INS-1E cells and cortical neurons
The following two sections describe the independent measurement of RAV using confocal microscopy. To validate the confocal volume fraction measurement described below, we first employed electron microscopy (EM) stereology to determine matrix:mitochondrion and mitochondria:cell volume fractions (Fig. 5A). Because neuronal cultures are inhomogeneous, this was performed in the insulin-secreting INS-1E cell line, and the EM data were used to design and tune the processing of the confocal microscopic images. EM stereological measurements yielded a mitochondria:cell volume fraction (VF=number of probes in the area bound by the mitochondrial outer membrane / number of probes in the area bound by the plasma membrane) of 6.97 ± 1.09% and a matrix to mitochondrion volume fraction (VFM) of 63.16 ± 3.28% using a 95% confidence interval (Fig. 5Ab). Importantly, we show below that the actual value of the matrix to mitochondria volume fraction has a diminished effect when the confocal microscopic VF and aR determination are matched, therefore it is sufficient to determine VF using confocal microscopy.
Confocal microcopy was performed on live INS-1E cells loaded with MitoTracker Red and calcein-AM in a similar uniform random manner as in EM stereology (Fig. 5B–D). MitoTracker Red behaves as a quench-mode potentiometric dye, and therefore is insensitive to smaller variations of ΔΨM. In conjunction with the image segmentation algorithm devised below, volume readouts are considered to be ΔΨM independent.
The diameter of fluorescent objects at their half-maximal intensity marks their real physical diameter despite the optical blurring (Gerencser et al. 2008). Therefore, images were binarized by marking fluorescence objects at their half-maximal intensity above the local background (supplemental Fig. S1). First images were highpass filtered (Gerencser & Adam-Vizi, 2001) using a Butterworth filter at ωcuton= 1.76 cycle μm−1 (order = 1.5) (Gerencser et al. 2008). As a result, the half-maxima of object intensities shifted to zero (shown clipped at zero; Fig. 5D and H blue trace). Then, these images were binarized with a locally adaptive method that detects objects brighter than Otsu's optimum threshold level, and flood-fills the area bounded by values slightly above zero (Fig. 5E and H red trace; see details in Fig. S1 legend). The calcein images were binarized with a globally adaptive method, using Otsu's optimum threshold level (Fig. 5F). The ratio of total number of ‘1’ pixels in the complete set of MitoTracker Red images over those in the calcein images gives a raw volume fraction of mitochondria of the specimen (Fig. 5G). The raw volume fraction is systematically biased by the projection within the thickness of the optical section and by clipping objects below half-maximal intensity. Therefore, we employed the correction formula devised by Weibel & Paumgartner (1978) for clipped spherical objects in a thick section (eqn (29)):
![]() |
(29) |
where ρ is the relative radius of the smallest visible slice of a sphere, which is 1 when spheres are clipped at half, and g is the relative section thickness compared to the object. By the definition of the confocal optical section, smaller objects like mitochondria are blurred and magnified to this size, and therefore g= 1. This gives KV= 2/3 in our case, which multiplies the raw volume fraction.
The image processing algorithm was tuned in terms of ωcuton, rescaling percentiles and Otsu threshold factors (Fig. S1) and resulted in VF= 6.94 ± 0.08% (n= 4) for INS-1E cells. In similar confocal microscopic experiments performed on cortical cultures (Fig. 6A–C), image analysis was constrained to the neuronal population based on morphological criteria (Gerencser et al. 2008). VF in cortical neurons was 7.53 ± 0.08% (in 4 independent cultures) using the same algorithm. Notably, >99% of mitochondria move slower in cultured neurons (Gerencser & Nicholls 2008) than the progression of the confocal image scanning (see Methods), and therefore mitochondrial motion is not expected to interfere with the assay.
Figure 6. Measurements of volume and activity coefficient ratios in cortical neurons.

Confocal microscopic determination of mitochondria:cell volume fraction was performed by imaging MitoTracker Red (A) and calcein fluorescence (B). C, composite image showing mitochondrial profiles in yellow and cellular profile in green obtained as in Fig. 5B–G. Processes and astroglia surrounding the neuronal soma were masked manually. D, cortical neurons loaded with TMRM (50 nm; without TPB) were time-lapse imaged immediately after complete mitochondrial depolarization using MDC. White outlines indicate the regions in which nuclear fluorescence intensity was measured. E, TMRM fluorescence intensity image (from D) masked by a copy of the same image binarized for the mitochondrial pattern, performed as in C. The areas indicated by the white outlines were used to determine mitochondrial fluorescence intensities. F, relationship of mitochondrial and nuclear fluorescence intensities measured in D and E, respectively, shown normalized to the initial mitochondrial fluorescence. Note that as TMRM leaks out of the cell over time, the two fluorescence intensities decrease proportionally. This proportionality provides aR′. Scale bars, 5 μm. The regression was done cell-by-cell and aR′ (0.410 ± 0.007) is expressed as the mean ± SEM of experiments (n= 5; 5–12 neurons were observed per experiment; from 3 independent cultures).
Determination of the activity coefficient ratio (aR) in cortical neurons
aR is a correction factor that reflects the composite effect of a range of physico-chemical properties of TMRM differing between the matrix and the cytosol, including low-affinity, non-specific binding, activity coefficients and fluorescence yields. The high-affinity, concentration- and potential-independent binding of TMRM has been handled by the fluorescence background term fTX.
In Fig. 6D, TMRM fluorescence in cortical neurons was recorded after ΔΨM was completely discharged with MDC. Brighter fluorescence was observed in the mitochondria-like structures, as compared to the nucleosol, used as a surrogate for cytosol. At ΔΨM= 0, the measured fluorescence is a function of aM and aC (eqn (21)); the brighter mitochondria indicate lower activity coefficient or stronger binding of TMRM compared to the cytosol. To distinguish high-affinity binding (or concentration-independent background; fTX) from the proportional effects contributing to aR, the decay of TMRM fluorescence in the nucleoplasm and over mitochondrial profiles was recorded as a function of time after mitochondrial depolarization by MDC. TMRM fluorescence over mitochondrial profiles was measured using image masking based on the segmentation technique described above (Fig. 6E). Because VFM and 1 –VFM fraction of these profiles cover matrix, and cytosol in the intermembrane space, respectively, the assay provides an overestimated, apparent activity coefficient ratio aR′. As TMRM gradually leaked out of the cells in the presence of MDC, the intensity in the nuclei plotted as a function of the intensity over mitochondrial profiles resulted in a linear relationship (Fig. 6F). The slope of this diagram was aR′= 0.410 ± 0.007 (n= 5 exp.). Then, aR was calculated by eqn (30).
| (30) |
| (31) |
| (32) |
Equations (30)–(32) indicate that the calculation of aR from aR′ and the subsequent calculation of RAV largely diminishes the effect of VFM on the calculated potentials. This is also indicated by the sensitivity analysis given below. Therefore using VFM=0.8 in the following calculations based on the literature for neurons (Pysh & Khan, 1972) does not cause significant error even if the actual value is different. Using this VFM value and the value of VF determined above, RAV= 1.179 ± 0.009 (see Supplemental Material, eqn (S2) for error calculation).
Sensitivity analysis
The calibration of ΔΨM relies on TMRM and PMPI fluorescence time courses, independent VF and aR′ measurements, and on the errors associated with these values. In addition, measured biophysical constants (e.g. apparent charges) introduce a systematic error to all examined specimens. The accuracy of the calibration also depends on how well the assumptions made during derivation of the calibration equations are satisfied, primarily whether the volume terms are constant in time. We performed sensitivity analysis using three approaches: (1) we challenged the analysis of experimental data, (2) we determined propagation of parameter errors through the calculations, and (3) we calibrated simulated PMPI and TMRM fluorescence time courses.
By challenging the data analysis we found that the method of background subtraction during image analysis (e.g. the percentile at which the background is determined) and the accuracy of drawing of the region of interest (ROI) have negligible effects on the calibrated potentials from a representative experiment (data not shown).
Sensitivity analysis using error propagation
Error propagation was calculated for those calibration parameters for which ΔΨM is a direct differentiable function: FP, FT and the effect of spectral unmixing on these values (excluding effects propagating through the calibration paradigm), VF, VFM, aR′ and the regression parameters (see Supplemental Material eqn (S1)). Because the error in ΔΨM determination also depends on the actual potentials, errors were calculated for a range of values of ΔΨM and ΔΨP. Figure 7 visualizes the potential dependence of the SEM of the calculated ΔΨM, considering typical signal-to-noise ratios of these parameters in single cells from experiments shown in Figs 3 and 4. A major source of error in the calibration is the uncertainty of the linear regression calculated from the MDC-triggered decay of TMRM fluorescence (Fig. 7A). This error appears in ΔΨM,rest and also in any other points of the calibrated time course. When an arbitrary time point of the time course is examined (other than ΔΨM,rest where FP=FT=1 by definition), the noise of the recording also contributes (Fig. 7B). Recording noise plays a stronger role when both potentials are depolarized. FP and FT are also burdened with error resulting from inaccuracy in spectral unmixing, contributing to the error of ΔΨM mostly at low potentials (Fig. 7C). The error caused by the actual SEM of the determination of VF and aR′ (above) and a hypothetical 10% error of using an arbitrary VFM= 0.8 are shown in Fig. 7D-E. These errors are negligible compared to those originating from the fluorescence intensity measurements. The total error in ΔΨM_rest caused by errors in VF, VFM and aR′ is calculated by propagating their errors through RAV (eqn (S2)), and then through eqn (27) (eqn (S3)). There was a total of 1.5 mV SEM for the error specified above.
Figure 7. Sensitivity analysis using error propagation.

The errors in single-cell ΔΨM calibration caused by the error of the indicated parameter(s) are shown as a function of ΔΨM and ΔΨP. Values associated with contours are given as SEM in mV. A, error caused by typical error in MDC-triggered decay parameters (slope = 0.035 ± 0.0016 and intercept = 0.0021 ± 0.00009 mean ± mean of parameter ± mean of SEMs of the regressions performed on single cells). B, error caused by typical fluorescence signal to noise ratio (mean/SD = 80 for PMPI and 110 for TMRM), without errors propagating through fPX and fTX. C, error caused by the determination of PMPI to TMRM crossbleed correction coefficient (0.379 ± 0.003 mean ± SEM; n= 3). D, error caused by the SEM of aR′= 0.410 ± 0.007 (n= 5). E, error caused by the SEM of VF= 7.53 ± 0.08% (n= 4). F, error caused by 10% deviation in the assumed value VFM= 0.8. Errors were calculated for parameters given in Table 3 column 2 with a Savitzky–Golay kernel width of 21.
Sensitivity analysis using simulation of PMPI and TMRM fluorescence
Next, we investigated the effects of cell or mitochondrial swelling and parameter errors on the fidelity of the calibration. To estimate how these errors propagate through the whole calibration, including the regression analysis of the K+ steps and the MDC-triggered decay curve, fluorescence traces were simulated and then calibrated. First, model time courses of ΔΨP(t) and ΔΨM(t) were designed, to test how effectively the calibration separates the effects of ΔΨM and ΔΨP (Fig. 8A). The time courses also included modelling of the calibration paradigm (arrows): PMPI calibration using K+ steps and TMRM calibration using the depolarization-triggered decay curve (MDC). FT(t) and FP(t) (e.g. Fig. 8C and D light blue (middle) traces) were simulated based on these ΔΨM(t) and ΔΨP(t) time courses using numerical differential equation solving in Mathematica. The model equations were derived from eqn (1) without eliminating volume and activity coefficient terms (eqns (S7)–(S9)). Then the modelled fluorescence traces were calibrated with the method used for Figs 3 and 4. Potentials calibrated from the simulated fluorescence traces were a good match to the simulated values of ΔΨM(t) and ΔΨP(t) (Fig. 8E–H black and light blue traces). Because the simulation and calibration were based on the same model, this cannot verify the model, but it verifies the correct derivation and linearization of the calibration formulae.
Figure 8. Sensitivity analysis using simulation.

Aa–Ha and Ab–Hb, PMPI and TMRM fluorescence was simulated during swelling (or contraction) of the whole cell volume (VT) with constant mitochondrial volume fraction (Aa–Ha), and during swelling (or contraction) of mitochondria (Ab–Hb) (a change of VF with constant total cellular volume). A, the model experiment simulated a transient depolarization of ΔΨP (green) followed by calibration K+ steps, stable ΔΨM (red) during the ΔΨP transient, a hyperpolarization and a depolarization followed by mitochondrial (MDC) and complete (CDC) depolarization. Numbered discs correspond to Table 4. B, time course of modelled volume change, simulating swelling during the stimulation, and during the calibration. C and D, PMPI (C) and TMRM (D) fluorescence traces were calculated from the potential time courses (A) assuming that VT (originally 1) or VF (originally 7.53%) changes as shown in B. Trace colours correspond to the modelled volume changes in (B). The inset in C shows the linear regression performed on the K+ steps (eqn (10)–(12)). The inset in D shows the linear regression performed on the complete mitochondrial depolarization-induced decay curve (marked by the bracket; for eqns (24)–(26)). E, ΔΨP was calculated from C by assuming unchanged volumes. F, ΔΨM was calculated from D and E by performing the calibration protocol shown in Fig. 4 and assuming unchanged volumes. E and F, black traces (mostly overlaid by the light blue) correspond to the modelled potentials (A). The insets in E and F plot the obtained resting potentials as functions of the maximal alteration of the volume term. G and H, calibrated potentials as in E and F but assuming a 25-fold binding of TMRM to mitochondrial and 5-fold binding of PMPI to cellular membranes. Simulations were performed using parameter values as shown in Table 4, with the exception that PN= 5 was used to provide a hyperpolarization of ΔΨP upon modelled MDC addition.
To estimate the effect of cell swelling (Fig. 8Ca–Ha) or mitochondrial swelling (Fig. 8Cb–Hb), we modelled a physiologically likely scenario: swelling during the ΔΨP transient followed by recovery and further swelling during the calibration steps. We included time courses of VT(t) =VM(t) +VC(t) or VF(t), defined in Fig. 8B, in the differential equations and generated solutions of FT(t) and FP(t) now modelling swelling (or contraction; Fig. 8C and D; colours correspond to Fig. 8B). Then, each of the modelled fluorescence traces was calibrated as above, neglecting the volume changes (Fig. 8E and F). Cellular swelling that commenced after ‘recording’ the baseline caused estimation of larger ΔΨP and smaller ΔΨM at baseline, but the potentials calibrated more accurately right before the start of the calibration paradigm (Fig. 8Ea and Fa). Mitochondrial swelling after baseline ‘recording’ did not bias the measurement of ΔΨM,rest, but caused the estimation of larger potentials during the experiment (Fig. 8Eb and Fb). Importantly, Fig. 8E and F overestimate the effects of volume changes because, in a real cell partitioning of the dyes into membranes (of constant volume) makes the total fluorescence less sensitive to volume changes (O’Reilly et al. 2003; Klapperstück et al. 2009). Therefore we repeated fluorescence simulation assuming a 25-fold binding of TMRM (Scaduto & Grotyohann, 1999) to mitochondrial and 5-fold binding of PMPI (based on confocal microscopy; data not shown) to cellular membranes, and re-ran the calibrations (Fig. 8G and H), resulting in mitigated effects of volume changes.
In the next set of simulations, the calibration was performed with altered (but constant in time) calibration parameters, and the bias of the potentials measured at the sections of the model experiment indicated in Fig. 8A (numbered discs) caused by a 10% increase in the parameter are shown in Table 4 (bias10%). The calibrated value of ΔΨM is trivially directly proportional to zTM. In contrast, the internal calibration largely attenuates the effects of zP and zT. Errors of other parameters propagate through the logarithm calculation, and therefore a proportional effect is 3.6 mV/10% (at zTM= 0.71). The internal normalization provided by the calibration paradigm resulted in less than proportional error for most of the calibration parameters (Table 4). Effects of ΔΨP transients on the calibrated ΔΨM were efficiently cancelled in each case tested (Table 4 last column). The total error assuming independent contribution of errors in each calibration parameter is calculated by eqn (33) (Table 4 bottom rows). Using eqn (33) and data in Table 4, the absolute ambiguity of the resting ΔΨM measured in cortical neurons (−139.1 ± 5.1 mV, mean ± SEMexp; Table 3) is 11 mV. However, this is mostly because of systematic errors introduced by the apparent charge measurements and the total error of comparison of independent specimens (requiring measurement of RAV, but not the re-measurement of apparent charges) is only 5.2 mV (Table 4 bottom row and eqn (33)).
| (33) |
Validation of the calibration technique in cultured cortical neurons
A major advantage of the calibration technique presented here, besides calculation of absolute membrane potentials, is that it enables dynamic monitoring of ΔΨM in the presence of fluctuating ΔΨP. To demonstrate and validate this feature, we measured ΔΨM in cultured cortical neurons challenged by high-[K+] media. The increase of [K+] in the extracellular space depolarizes the plasma membrane but also has a series of bioenergetic consequences: the workload on mitochondria increases as Na+,K+-ATPase and Ca2+-ATPases hydrolyse ATP at increased rates, while energy metabolism is stimulated by the increasing cytosolic and matrix [Ca2+]. The stimulations were performed by timed switching superfusion, allowing calculation of the mean of fluorescence traces (Fig. 9Aa and Ba) and calibrated responses (Fig. 9Ca and Da) for a set of independent runs. The calibration was performed by pipetting and steps were not synchronized between runs (typical traces are shown as insets). ΔΨP was calibrated by eqn (8). To do this, K+ steps were applied in cultures treated with AEC/MDC/ASC (Table 3), and the PMPI fluorescence corresponding to zero potential (fP0) was measured after addition of CDC (Fig. 9Aa inset). Calibration parameters were calculated with linear regression (eqns (10)–(12)) using the PN= 7.8 non-K+ permeability term determined above. ΔΨM was calibrated by eqn (22), using the calculated ΔΨP time course (Fig. 9Ca), the MDC-triggered decay curve (marked by the arrowhead in Fig. 9Ba inset) and the TMRM fluorescence corresponding to zero potential (fT0) measured after CDC addition in eqns (23)–(26). The calibration was performed cell by cell, and cells within experiments were handled as technical replicates. Criteria to accept or reject cells based on fit parameters were used as above (Table S1).
Figure 9. Measurement of ΔΨP and ΔΨM in cortical neurons during K+-evoked plasma membrane depolarization.

A and B, PMPI (A) and TMRM (B) fluorescence intensities after background correction and spectral unmixing. Data points are means ± SEM of n= 3–5 experiments. Only time points preceding the calibration steps (MDC and CDC addition) are shown. Insets show the complete time lapse for a representative experiment (mean ± SEM of n= 11, 8 and 15 cells for a, b and c, respectively). The bracketed parts of the insets correspond to the main graphs. C, ΔΨP was calibrated as in Fig. 3, in single cells using fPi measured after each K+ step and fP0 measured after CDC addition. D, ΔΨM was calibrated as in Fig. 4 using C and the MDC-triggered decay curve (marked by the arrowhead in B inset) and fT0 measured after CDC addition. Aa–Da, the effect of isosmotic application 40 mm KCl to the cultures using rapid exchange of the superfusion medium (n= 5). In Ab–Db, KCl was added in the presence of oligomycin (2 μg ml−1) as indicated on the top (n= 5). In Ac–Dc, cultures were pretreated (∼15 min) and all media were supplemented with oligomycin (2 μg ml−1) and AEC in the (nominal) absence of Ca2+ (n= 3).
The complete calibration performed after neurons were challenged by high K+ gave similar ΔΨM,rest to the calibration performed immediately following recording of the baseline (Fig. 4 and Table 3). This suggests that cell swelling was negligible in these experiments (because swelling leads to smaller ΔΨM,rest; Fig. 8Fa), and indicates that the calibration algorithm can be correctly used at the end of neuronal stimulation experiments.
Bioenergetic consequences of high K+ stimulation of cultured cortical neurons
Application of isosmotic 40 mm[K+] medium triggered a depolarization of ΔΨP from −53.7 ± 1.8 mV to −10.2 ± 3.4 mV (Fig. 9Ca) and a depolarization of ΔΨM from −141.1 ± 5.7 mV to −107.8 ± 4.4 mV (Fig. 9Da; n= 5). A representative trace of these recordings is provided in the Supplemental Material, Excel calibration workbooks. The mitochondrial depolarization is likely to be the consequence of increased cellular ATP turnover, and the value of ΔΨM after this depolarization is about the maximum that supports ATP synthesis (Chinopoulos et al. 2010). To exclude the possibility that the measured ΔΨM transient is a reflection of the ΔΨP depolarization, 40 mm[K+] medium was applied in the presence of the ATP-synthase inhibitor oligomycin (2 μg ml−1) in Fig. 9Ab–Db. Oligomycin alleviates the effects of increased plasma membrane and cytosolic ATP turnover on mitochondria, but not of the intracellular and mitochondrial Ca2+ signalling that activates metabolism. In the presence of oligomycin, the ΔΨP depolarizations triggered mitochondrial hyperpolarization to −157.7 ± 7.1 mV (n= 7). When oligomycin was added in the presence of the Na+ and Ca2+ channel inhibitor cocktail AEC (in nominally Ca2+-free medium), stimulation-evoked transients of ΔΨM were absent (Fig. 9Ac–Dc).
Calcium-dependent hyperpolarization of ΔΨM in firing neurons
Finally, we looked at the bioenergetic consequences of physiological-like neuronal signalling in cultured cortical neurons. Cultures were field-stimulated at 100 Hz, 20 mA, 1 ms pulse while recording PMPI and TMRM fluorescence, under constant superfusion (Fig. 10A and B). Calibration of potentials was performed as in Fig. 9 with the difference that 15 width differentiation kernels were used to resolve the faster transients. Trains of 10 s of tetanic stimulation led to ΔΨP depolarization to −39.7 ± 3.6 mV from the resting −53.0 ± 1.7 mV (Fig. 10Ca; P < 0.01; n= 5). The ΔΨP transients coincided with transient depolarization of ΔΨM and were followed by a hyperpolarization of ΔΨM from the resting −138.9 ± 4.2 mV to −125.7 ± 3.1 mV (P < 0.01) and −153.7 ± 8.3 mV (P < 0.05), respectively (Fig. 10Da). Peak values shown reflect the mean of the six stimulations at 5–8 s and 20–25 s after the start of each 10 s-long stimulus train. The hyperpolarization was absent when Ca2+ was (nominally) omitted from the superfusion medium (Fig. 10Db; baseline −128.7 ± 3.8 mV; after stimulation −127.8 ± 4.5 mV P > 0.05); however, the stimulation still caused a depolarization to −119.5 ± 3.6 mV (P < 0.001). The amplitude of the ΔΨP depolarization (from −58.8 ± 0.5 to −45.2 ± 1.8 mV; P < 0.001) was similar to the control conditions. The ΔΨM hyperpolarization suggests that following repetitive action potential firing, the feed-forward activation of energy metabolism of cortical neurons has a greater effect on ΔΨM than the increase in ATP turnover.
Figure 10. Calcium-dependent mitochondrial hyperpolarization in firing neurons.

Cortical neurons were field stimulated at 100 Hz, 20 mA, 1 ms pulse width in 10 s trains (indicated by the bars on the top), while cultures were superfused with fresh medium. A and B, PMPI (A) and TMRM (B) fluorescence intensities after background correction and spectral unmixing. See the description of the insets in Fig. 9 legend. C, ΔΨP was calibrated as in Fig. 3, in single cells using fPi measured after each K+ step and fP0 measured after CDC addition. D, ΔΨM was calibrated as in Fig. 4 using C and the MDC-triggered decay curve (marked by the arrowhead in B inset) and fT0 measured after CDC addition. Aa–Da were performed in normal medium (mean ± SEM of n= 5 experiments), and Ab–Db in the (nominal) absence of Ca2+ (n= 9). Note that the transients in C and D are slightly smeared in time as compared to the recorded fluorescence (A and B) because of the application of smoothing and differential kernels (width = 15), and that the ΔΨM hyperpolarizations followed the ΔΨP depolarizations.
Discussion
We have designed and implemented a purely fluorescence microscopy-based mitochondrial membrane potential assay to calculate time courses of absolute values of ΔΨM in millivolts in monolayer cell cultures. A model describing dye distributions was built on biophysical principles, verified, and a calibration paradigm was derived. We kept robustness and feasibility upfront by assuming typical, realistic performance of signal acquisition, obeying biological constraints of working with living cells and providing a simplified, spreadsheet-compatible design at the end. To achieve these goals we have introduced several new key elements into the calibration of TMRM fluorescence compared to previous methods (Ward et al. 2000; Nicholls, 2006).
The most important technological advance is that ΔΨP and ΔΨM are back-calculated (deconvoluted) from time courses of fluorescence intensities without a priori expectations. To do this, we algebraically solved the equations of the model (eqn (7) and eqns (18)–(21)) for ΔΨP (eqn (8)) and ΔΨM (eqn (22)) and used substitutions to eliminate or collect all terms additional to fluorescence intensities. As a result, the calibration is purely fluorescence microscopy-based and does not require assumption of values of any calibration parameters, other than assuming that values we have determined using electrophysiology (zP, zTM, zTP and sT) are the same for all specimens. Remarkably, knowledge of resting potentials, matrix to mitochondrion volume ratio or [K+]C are not required. The ΔΨP calibration requires only three further parameters: fP0, measured PMPI fluorescence at zero potential, fPX, calculated fluorescence background including high-affinity binding, and kP, the rate constant of the PMPI diffusion through the plasma membrane at zero potential. The ΔΨM calibration requires four parameters: fT0, fTX and kT are analogous to those of PMPI, while RAV is a collective term expressing the effects on the calculated ΔΨM of activity coefficients, low-affinity binding and ratios of volume spaces. The equations are contingent upon a few assumptions, which are therefore essential for the correct calibration. Most important of these is that volume, activity coefficient/binding and background fluorescence terms are assumed to be constant in time (including during the calibration). Requirements of equilibrium of TMRM or PMPI are minimal (see below). Assumptions on specific ion permeabilities were made only for the ΔΨP calibration paradigm. The distributions of TMRM and PMPI are governed by ΔΨP and ΔΨM, and membrane permeabilities for charge carriers affect dye accumulation only through these potentials. During the calibration steps, ΔΨP is calculated by the Goldman equation (eqn (9)). Therefore changing ion permeabilities during the experiment can affect the calibrated potentials only through the ΔΨP calibration, if they persist and interfere during the calibration steps. The accurate calibration of ΔΨM requires only complete discharge of ΔΨM, and therefore it is not dependent on the actual permeability of the mitochondrial inner membrane to any specific charge carrier.
We assumed typical, realistic performance of signal acquisition applicable for relatively long time-lapse experiments over single cells without photodamage. To do this, the calibration equations were arranged to contain only parameters that can be acquired at low light levels and require a small dynamic range of the detection. In our assays, the typical dynamic range was 7–8 (Fig. 3) for PMPI and 11–23 (Fig. 4) for TMRM (Table 3, see fP0 and fT0, compared to 100%). This is in stark contrast to previous single-mitochondrion ratioing approaches that required a theoretical dynamic range of over 1000 (Chacon et al. 1994; Farkas et al. 1989), exceeding the specifications of most commonly used detectors. We assessed the effects of noise levels associated with low light level imaging using error propagation (Fig. 7).
Another major innovation is that absolute values of potential are calculated for whole cells from a fluorescence time course, while the resting (baseline) ΔΨM is calculated and not assumed. To do this, we designed a calibration paradigm that we believe is compatible with most typical monolayer cell cultures. We have performed successful calibration on embryonic and neuronal stem cells and fibroblasts (Birket et al. 2011), and on INS-1E, PC12, HEK and C2C12 cells (data not shown). This requires recording of the decay of TMRM fluorescence during a complete, step-depolarization of ΔΨM at (somewhat) polarized ΔΨP, without the requirement of a constant ΔΨP or equilibrium of TMRM over the plasma membrane. Moreover, there is no general requirement for equilibrium of probes at the plasma membrane except during K+ steps, fP0 and fT0 fluorescence intensity measurements, and at the beginning of the recording if the ΔΨP,rest or ΔΨM,rest is used or calculated (eqn (14), (27) and (28)). The absolute potential calculation takes into account volume ratios, and binding and activity coefficients specific for the specimen, and therefore it allows the comparison of potentials in different samples, e.g. in different cell types (Birket et al. 2011). We mathematically showed that the combined activity coefficient–volume ratio term (RAV) cannot be calculated from TMRM/PMPI fluorescence traces unless ΔΨM is known at a potential other than zero. Therefore to calculate ΔΨM,rest (or ΔΨM at other time points) an independent RAV determination is required. We have devised two confocal microscopic protocols to measure the volume and activity coefficient ratios. The combination of these two assays makes knowledge of the ratio of the matrix and intercristal plus intermembrane space unnecessary, and therefore RAV can be precisely determined at the resolution of conventional light microscopy.
We used biophysical modelling to describe PMPI and TMRM fluxes over the plasma membrane. This refined model was required because the kinetic equation used previously (Nicholls, 2006) failed to precisely describe effects of sudden ΔΨP depolarizations on PMPI fluorescence in cortical neurons. We solved this problem by modelling dye diffusion using voltage-dependent rates (Eyring barrier model). Our data also indicate that the sub-Nernstian behaviour of PMPI observed previously (Nicholls, 2006) can be precisely recapitulated by assuming a Nernstian distribution with a fractional apparent charge. To obtain this result it was crucial to include the back-calculated fluorescence background and high-affinity (concentration- and potential-independent) binding correction terms (fPX and fTX). In contrast to the use of the triphenylphosphonium ion in radioisotopic studies of ΔΨM (Deutsch et al. 1979; Lichtshtein et al. 1979), we are not aware of previous studies verifying the Nernstian behaviour of fluorescent lipophilic probes in non-quench mode on the plasma membrane with a sufficient precision to distinguish unitary and fractional apparent charges (Waggoner, 1976; Ehrenberg et al. 1988; Ubl et al. 1996; Mandala et al. 1999).
That PMPI and TMRM behave as if fractionally charged was surprising, but this behaviour can be explained by known properties of these or other similar probes. Oxonols in general exhibit significant fluorescence enhancement upon membrane binding, resulting in a sublinear relationship between fluorescence and concentration (Krasznai et al. 1995; Klapperstück et al. 2009). The logarithm calculation in the Nernst equation converts this sublinearity into a multiplier of calculated potentials, and therefore it is mathematically equivalent to a less than unitary charge. The sublinear fluorescence–concentration relationship can be also the result of the inner filter effect and of spectral changes related to the hydrophobic environment (Brauner et al. 1984; Emaus et al. 1986; Scaduto & Grotyohann, 1999), as in quench mode, but to a lesser extent. We expect that the technique is insensitive to such effects when a measured apparent charge is used. In addition, we used red-shifted, wide band-pass filters to collect TMRM emission, minimizing the effects of spectral changes (Scaduto & Grotyohann, 1999); however such spectral changes are not expected to occur between cytosol and mitochondria (Scaduto & Grotyohann, 1999). Another possibility has been indicated for another group of potentiometric dyes: long chain cyanine dyes form dye–anion complexes (Krasne, 1980). Co-permeation of complexed with uncomplexed dyes could also result in a fractional apparent charge. While normal neurons do not express multidrug transporters (van Vliet et al. 2005; Volk et al. 2005), active pumping of dyes could also result in fractional apparent charges.
TPB accumulates asymmetrically below the membrane surface in the presence of ΔΨP (Andersen & Fuchs, 1975), and decreases the dipole potential inside the membrane (Flewelling & Hubbell, 1986). This primarily facilitates the transport of cations, but also to a lesser extent of anions, by lowering the dipole energy barrier (Flewelling & Hubbell, 1986). Thus our data on increased rates of uptake of both TMRM and PMPI (Table 1 ki) are likely to be explained by a generic depression of the membrane dipole potential by TPB, rather than by selective facilitation of TMRM transport through ion pairs as proposed by (Stark, 1980). However, TPB also had an effect on the apparent equilibrium accumulation of PMPI that cannot be explained by altered uptake kinetics. We observed no significant alteration of the accumulation of TMRM in the presence of TPB, as found for other lipophilic cationic probes (Deutsch et al. 1979; Scott & Nicholls, 1980; but see Bakeeva et al. 1970; Piwnica-Worms et al. 1991). The decreased PMPI accumulation could be (at least partially) due to a differential effect of TPB on the transport of different dye species (complexed and non-complexed) with different charge. Notably, TPB displaced the position of the energy barrier in opposite ways for PMPI and TMRM as expected from their opposite charges (see Table 1 si).
To our knowledge, our calibration is the first to attempt a comprehensive correction for known biophysical phenomena during calibration of non-quench mode TMRM (or TMRE) fluorescence. High- and low-affinity binding and activity coefficients of the probes have generally been used for radioisotopic assays (Rottenberg, 1984), and also considered for fluorescence probes (Ehrenberg et al. 1988; Scaduto & Grotyohann, 1999; O’Reilly et al. 2003). Optical dilution (Ubl et al. 1996; Fink et al. 1998; Huang et al. 2004) has been considered, but rarely for TMRM microscopy. Papers calculating ratios of mitochondria to cytosolic fluorescence of TMRM deliberately neglected these parameters because potentials calculated from these ratios were in the expected range (Chacon et al. 1994; Diaz et al. 2000; Gautier et al. 2000). In contrast, both PMPI and TMRM are known to exhibit substantial partitioning into membranes. This behaviour of PMPI is clearly reflected in the reticular pattern of its fluorescence, with a void in the nucleus (Fig. 3Ab). This has two interesting implications. Firstly, the detected fluorescence originates mainly from membranes, where the total amount of dye is proportional to the concentration in the aqueous phase, but not the total amount of dye in the aqueous phase. Therefore volume changes of aqueous spaces, e.g. swelling or shrinking of cells (or mitochondria) do not affect the relationship between aqueous concentration and measured fluorescence of the probe. This phenomenon was modelled in Fig. 8G and H. Secondly, this, together with our data, explains why previous studies calculated ΔΨM in the expected physiological range even though they neglected all of the biasing factors. Scaduto & Grotyohann (1999) determined 25-fold binding of TMRM to mitochondria in vitro, while Fink et al. (1998) calculated a 7.6-fold optical dilution, considering the point spread function of a wide field microscope and typical mitochondrial dimensions. In addition, this fluorescence is diluted by the ∼80% of matrix:mitochondrion volume fraction. When matrix and cytosolic TMRM are equilibrated in the absence of membrane potential, the prediction from these data is that the measured fluorescence over the mitochondria is 0.8 × 25/7.6 = 2.63 times the fluorescence in the aqueous medium. We determined an apparent activity coefficient ratio (aR′) of 0.41, and thus the (whole) mitochondrial fluorescence of TMRM at completely depolarized ΔΨM was 2.43 times the cytosolic value. Therefore binding and optical dilution almost cancel each other if we neglect TMRM binding in the cytosol. The 2.43 times factor between mitochondria and cytosol yields a 24 mV greater measured value of ΔΨM if these intensities are used directly to calculate potentials.
All practical ΔΨM measurement techniques rely on the Nernstian equilibrium distribution of lipophilic cations (see Introduction). Electrophysiological confirmation of in situΔΨM in contrast to ΔΨP is prevented by technological and geometrical obstacles. Electrophysiological recordings are performed in isolated mitochondrial inner membrane vesicles (mitoplasts) by patch clamp and also in whole mitoplast mode to study channel behaviour (see Zoratti et al. 2009). Intracellular patch clamp has been employed to study in situ mitochondrial outer membrane channel activity (Jonas et al. 1999). In contrast, we are not aware of any precedent or possibility of determination of ΔΨM by current clamping whole or perforated mitoplasts or in situ mitochondria.
A practical advantage of the technique presented here is that no numerical optimization is required to calculate potentials, and therefore the calibration of both ΔΨP and ΔΨM can be performed using the formulae available in standard spreadsheets (Supplemental Material, Excel calibration workbooks). However, to produce the figures of the present paper we used Mathematica to automate the processing of larger numbers of fluorescence traces recorded in single cells.
We have validated the technique on rat cortical neuronal cultures, yielding ΔΨM values similar to those given by earlier radioisotope studies in suspension cultures of other cell types (Hoek et al. 1980; Davis et al. 1981; Brand & Felber, 1984; Nobes et al. 1990; Piwnica-Worms et al. 1991; Buttgereit et al. 1994; Porteous et al. 1998; Krauss et al. 2002). We found that when secondary effects of plasma membrane depolarization on oxidative phosphorylation were prevented by attenuating Ca2+ signalling and inhibiting ATP-synthase, the effects of ΔΨP on the measured ΔΨM were largely cancelled and the calculated ΔΨM was close to constant in time (Fig. 9Dc and to a lesser extent in Fig. 10Db). Calibration performed after baseline recording (e.g. Figs 3 and 4) and after stimuli (Figs 9 and 10) resulted in similar resting potentials indicating that the employed stimulation protocols did not interfere with the calibration. Nevertheless, experimental conditions that interfere with the calibration (e.g. ΔΨP or ΔΨM overtly depolarizes before the calibration steps) can be calibrated using resting potentials measured by this technique and calibration between resting and zero potentials of stimulation experiments, as previously reported (Chinopoulos et al. 2010).
Isolated mitochondria de- and then hyperpolarize upon the uptake of small amounts of Ca2+ (Komary et al. 2010). Metabolic stimulatory effects of Ca2+, measured as an increase in the reduction state of the mitochondrial pyridine nucleotide pool, are well known in non-excitable cells (Hajnoczky et al. 1995) and biphasic responses have been shown in neurons (Duchen, 1992; Kasischke et al. 2004). The mitochondrial response on metabolic activation is further complicated by changes of ΔpH. Under most circumstances, changes in ΔpH tend to parallel those in ΔΨM, and ΔΨM contributes about 80% of the total Δp (Brand, 1995; Nicholls, 2004), and therefore ΔΨM can be used as a surrogate measure of Δp. Cellular assays of ΔpH exist (Poburko et al. 2011; Wiederkehr et al. 2009), and using both technologies, Δp can be calculated. Data on Ca2+-triggered changes of ΔΨM (excluding data related to the opening of the mitochondrial permeability transition pore) have been mostly obtained in quench mode. Electric stimulation-induced Ca2+-dependent mitochondrial depolarization was shown in hippocampal neurons (Schuchmann et al. 2000), in motor nerve terminals (Talbot et al. 2007) and in smooth muscle cells (Drummond et al. 2000). In contrast glutamate-evoked de- and hyperpolarization of ΔΨM depending on the strength of stimulation was reported in cerebellar granule neurons by TMRM non-quench mode fluorescence and computational modelling (Ward et al. 2007). While these studies obviously differ in the strength of the applied stimulus, it is also likely that quench mode potentiometric measurements are not sufficiently sensitive for detection of hyperpolarization of ΔΨM. In our experiments using field stimulation the feed-forward activation of energy metabolism by cytosolic Ca2+ was able to substantially hyperpolarize ΔΨM compared to resting levels, so after an initial depolarization caused by increased ATP demand, this increased energy supply is the dominant response to stimulation in these cells. The KCl or initial electric stimulations lead to maximal ΔΨM depolarizations to −108 mV in excellent agreement to the reversal potential of the adenine nucleotide translocase determined in isolated mitochondria (at physiologically relevant nucleotide levels) (Chinopoulos et al. 2010), as an increased ATP demand cannot depolarize mitochondria more than this potential (Chinopoulos, 2011).
An assay of mitochondrial membrane potential in situ within live cells matched with quantitative respirometry (Gerencser et al. 2009b) is an invaluable tool for modular kinetic and regulation analysis of oxidative energy metabolism (Brand, 1997). This combination of techniques will allow dissection of regulatory mechanisms or identification of defects of energy metabolism in a wide range of cultured and primary cells in the future.
Acknowledgments
This work was supported by National Institutes of Health grants P01 AG025901 and PL1 AG032118, CHDI Inc., Deutsche Forschungsgemeinschaft grant JA 1884/2-1, and Hungarian Scientific Research Fund grants NNF78905, NNF85658 and K100918 (to C.C.).
Glossary
- AEC
anti-excitotoxicity cocktail
- ASC
anti-swelling cocktail
- CDC
complete depolarization cocktail
- ΔΨM
mitochondrial membrane potential
- ΔΨP
plasma membrane potential
- DIOA
R(+)-butylindazone
- MDC
mitochondrial depolarization cocktail
- PMPI
plasma membrane potential indicator
- TMRM
tetramethylrhodamine methyl ester
Author contributions
Experiments involving electrophysiology (Fig. 2) were performed by C.C. at Semmelweis University; all other experiments were performed in the Buck Institute for Research on Aging. Conception and design of experiments: A.A.G., C.C., M.D.B. and D.G.N. Data collection: A.A.G., C.C., M.J., M.J.B. and C.V. Data analysis and interpretation: A.A.G. and M.D.B. Manuscript drafting: A.A.G., M.D.B. All authors have approved the final version of the manuscript.
Supplementary material
Supplemental Fig. S1
Supplemental Fig. S2
References
- Ainscow EK, Brand MD. Internal regulation of ATP turnover, glycolysis and oxidative phosphorylation in rat hepatocytes. Eur J Biochem. 1999;266:737–749. doi: 10.1046/j.1432-1327.1999.00856.x. [DOI] [PubMed] [Google Scholar]
- Andersen PS, Fuchs M. Potential energy barriers to ion transport within lipid bilayers. Studies with tetraphenylborate. Biophys J. 1975;15:795–830. doi: 10.1016/S0006-3495(75)85856-5. [DOI] [PMC free article] [PubMed] [Google Scholar]
- Bakeeva LE, Grinius LL, Jasaitis AA, Kuliene VV, Levitsky DO, Liberman EA, Severina II, Skulachev VP. Conversion of biomembrane-produced energy into electric form. II. Intact mitochondria. Biochim Biophys Acta. 1970;216:13–21. doi: 10.1016/0005-2728(70)90154-4. [DOI] [PubMed] [Google Scholar]
- Birket MJ, Orr AL, Gerencser AA, Madden DT, Vitelli C, Swistowski A, Brand MD, Zeng X. A reduction in ATP demand and mitochondrial activity with neural differentiation of human embryonic stem cells. J Cell Sci. 2011;124:348–358. doi: 10.1242/jcs.072272. [DOI] [PMC free article] [PubMed] [Google Scholar]
- Boork J, Wennerstrom H. The influence of membrane potentials on reaction rates. Control in free-energy-transducing systems. Biochim Biophys Acta. 1984;767:314–320. doi: 10.1016/0005-2728(84)90201-9. [DOI] [PubMed] [Google Scholar]
- Brand MD. Measurement of mitochondrial protonmotive force. In: Brown GC, Cooper CE, editors. Bioenergetics. A Practical Approach. Oxford: IRL Press; 1995. pp. 39–62. [Google Scholar]
- Brand MD. Regulation analysis of energy metabolism. J Exp Biol. 1997;200:193–202. doi: 10.1242/jeb.200.2.193. [DOI] [PubMed] [Google Scholar]
- Brand MD, Chien LF, Rolfe DFS. Control of oxidative phosphorylation in liver mitochondria and hepatocytes. Biochem Soc Trans. 1993;21:757–762. doi: 10.1042/bst0210757. [DOI] [PubMed] [Google Scholar]
- Brand MD, Felber SM. Membrane potential of mitochondria in intact lymphocytes during early mitogenic stimulation. Biochem J. 1984;217:453–459. doi: 10.1042/bj2170453. [DOI] [PMC free article] [PubMed] [Google Scholar]
- Brand MD, Nicholls DG. Assessing mitochondrial dysfunction in cells. Biochem J. 2011;435:297–312. doi: 10.1042/BJ20110162. [DOI] [PMC free article] [PubMed] [Google Scholar]
- Brauner T, Hulser DF, Strasser RJ. Comparative measurements of membrane potentials with microelectrodes and voltage-sensitive dyes. Biochim Biophys Acta. 1984;771:208–216. doi: 10.1016/0005-2736(84)90535-2. [DOI] [PubMed] [Google Scholar]
- Brown GC, Brand MD. Changes in permeability to protons and other cations at high proton motive force in rat liver mitochondria. Biochem J. 1986;234:75–81. doi: 10.1042/bj2340075. [DOI] [PMC free article] [PubMed] [Google Scholar]
- Brown GC, Lakin-Thomas PL, Brand MD. Control of respiration and oxidative phosphorylation in isolated rat liver cells. Eur J Biochem. 1990;192:355–362. doi: 10.1111/j.1432-1033.1990.tb19234.x. [DOI] [PubMed] [Google Scholar]
- Buttgereit F, Grant A, Muller M, Brand MD. The effects of methylprednisolone on oxidative phosphorylation in Concanavalin-A-stimulated thymocytes. Top-down elasticity analysis and control analysis. Eur J Biochem. 1994;223:513–519. doi: 10.1111/j.1432-1033.1994.tb19020.x. [DOI] [PubMed] [Google Scholar]
- Chacon E, Reece JM, Nieminen AL, Zahrebelski G, Herman B, Lemasters JJ. Distribution of electrical potential, pH, free Ca2+, and volume inside cultured adult rabbit cardiac myocytes during chemical hypoxia: a multiparameter digitized confocal microscopic study. Biophys J. 1994;66:942–952. doi: 10.1016/S0006-3495(94)80904-X. [DOI] [PMC free article] [PubMed] [Google Scholar]
- Chinopoulos C. Mitochondrial consumption of cytosolic ATP: not so fast. FEBS Lett. 2011;585:1255–1259. doi: 10.1016/j.febslet.2011.04.004. [DOI] [PubMed] [Google Scholar]
- Chinopoulos C, Gerencser AA, Mandi M, Mathe K, Torocsik B, Doczi J, Turiak L, Kiss G, Konrad C, Vajda S, Vereczki V, Oh RJ, Adam-Vizi V. Forward operation of adenine nucleotide translocase during F0F1-ATPase reversal: critical role of matrix substrate-level phosphorylation. FASEB J. 2010;24:2405–2416. doi: 10.1096/fj.09-149898. [DOI] [PMC free article] [PubMed] [Google Scholar]
- Chinopoulos C, Vajda S, Csanady L, Mandi M, Mathe K, Adam-Vizi V. A novel kinetic assay of mitochondrial ATP-ADP exchange rate mediated by the ANT. Biophys J. 2009;96:2490–2504. doi: 10.1016/j.bpj.2008.12.3915. [DOI] [PMC free article] [PubMed] [Google Scholar]
- Davis RJ, Brand MD, Martin BR. The effect of insulin on plasma-membrane and mitochondrial-membrane potentials in isolated fat-cells. Biochem J. 1981;196:133–147. doi: 10.1042/bj1960133. [DOI] [PMC free article] [PubMed] [Google Scholar]
- Deutsch CJ, Holian A, Holian SK, Daniele RP, Wilson DF. Transmembrane electrical and pH gradients across human erythrocytes and human peripheral lymphocytes. J Cell Physiol. 1979;99:79–93. doi: 10.1002/jcp.1040990110. [DOI] [PubMed] [Google Scholar]
- Diaz G, Falchi AM, Gremo F, Isola R, Diana A. Homogeneous longitudinal profiles and synchronous fluctuations of mitochondrial transmembrane potential. FEBS Lett. 2000;475:218–224. doi: 10.1016/s0014-5793(00)01683-5. [DOI] [PubMed] [Google Scholar]
- Drummond RM, Mix TCH, Tuft RA, Walsh JV, Jr, Fay FS. Mitochondrial Ca2+ homeostasis during Ca2+ influx and Ca2+ release in gastric myocytes from Bufo marinus. J Physiol. 2000;522:375–390. doi: 10.1111/j.1469-7793.2000.t01-2-00375.x. [DOI] [PMC free article] [PubMed] [Google Scholar]
- Duchen MR. Ca2+-dependent changes in the mitochondrial energetics in single dissociated mouse sensory neurons. Biochem J. 1992;283:41–50. doi: 10.1042/bj2830041. [DOI] [PMC free article] [PubMed] [Google Scholar]
- Duchen MR, Smith PA, Ashcroft FM. Substrate-dependent changes in mitochondrial function, intracellular free calcium concentration and membrane channels in pancreatic β-cells. Biochem J. 1993;294:35–42. doi: 10.1042/bj2940035. [DOI] [PMC free article] [PubMed] [Google Scholar]
- Dykens JA, Stout AK. Assessment of mitochondrial membrane potential in situ using single potentiometric dyes and a novel fluorescence resonance energy transfer technique. Methods Cell Biol. 2001;65:285–309. doi: 10.1016/s0091-679x(01)65018-0. [DOI] [PubMed] [Google Scholar]
- Ehrenberg B, Montana V, Wei MD, Wuskell JP, Loew LM. Membrane potential can be determined in individual cells from the nernstian distribution of cationic dyes. Biophys J. 1988;53:785–794. doi: 10.1016/S0006-3495(88)83158-8. [DOI] [PMC free article] [PubMed] [Google Scholar]
- Emaus RK, Grunwald R, Lemasters JJ. Rhodamine 123 as a probe of transmembrane potential in isolated rat-liver mitochondria: spectral and metabolic properties. Biochim Biophys Acta. 1986;850:436–448. doi: 10.1016/0005-2728(86)90112-x. [DOI] [PubMed] [Google Scholar]
- Farkas DL, Wei MD, Febbroriello P, Carson JH, Loew LM. Simultaneous imaging of cell and mitochondrial membrane potentials. Biophys J. 1989;56:1053–1069. doi: 10.1016/S0006-3495(89)82754-7. [DOI] [PMC free article] [PubMed] [Google Scholar]
- Fink C, Morgan F, Loew LM. Intracellular fluorescent probe concentrations by confocal microscopy. Biophys J. 1998;75:1648–1658. doi: 10.1016/S0006-3495(98)77607-6. [DOI] [PMC free article] [PubMed] [Google Scholar]
- Flewelling RF, Hubbell WL. The membrane dipole potential in a total membrane potential model. Applications to hydrophobic ion interactions with membranes. Biophys J. 1986;49:541–552. doi: 10.1016/S0006-3495(86)83664-5. [DOI] [PMC free article] [PubMed] [Google Scholar]
- Gautier I, Geeraert V, Coppey J, Coppey-Moisan M, Durieux C. A moderate but not total decrease of mitochondrial membrane potential triggers apoptosis in neuron-like cells. Neuroreport. 2000;11:2953–2956. doi: 10.1097/00001756-200009110-00024. [DOI] [PubMed] [Google Scholar]
- Gerencser AA, Adam-Vizi V. Selective, high-resolution fluorescence imaging of mitochondrial Ca2+ concentration. Cell Calc. 2001;30:311–321. doi: 10.1054/ceca.2001.0238. [DOI] [PubMed] [Google Scholar]
- Gerencser AA, Doczi J, Torocsik B, Bossy-Wetzel E, Adam-Vizi V. Mitochondrial swelling measurement in situ by optimized spatial filtering: astrocyte-neuron differences. Biophys J. 2008;95:2583–2598. doi: 10.1529/biophysj.107.118620. [DOI] [PMC free article] [PubMed] [Google Scholar]
- Gerencser AA, Mark KA, Hubbard AE, Divakaruni AS, Mehrabian Z, Nicholls DG, Polster BM. Real-time visualization of cytoplasmic calpain activation and calcium deregulation in acute glutamate excitotoxicity. J Neurochem. 2009a;110:990–1004. doi: 10.1111/j.1471-4159.2009.06194.x. [DOI] [PMC free article] [PubMed] [Google Scholar]
- Gerencser AA, Neilson A, Choi SW, Edman U, Yadava N, Oh RJ, Ferrick DA, Nicholls DG, Brand MD. Quantitative microplate-based respirometry with correction for oxygen diffusion. Anal Chem. 2009b;81:6868–6878. doi: 10.1021/ac900881z. [DOI] [PMC free article] [PubMed] [Google Scholar]
- Gerencser AA, Nicholls DG. Measurement of instantaneous velocity vectors of organelle transport: mitochondrial transport and bioenergetics in hippocampal neurons. Biophys J. 2008;95:3079–3099. doi: 10.1529/biophysj.108.135657. [DOI] [PMC free article] [PubMed] [Google Scholar]
- Green K, Brand MD, Murphy MP. Prevention of mitochondrial oxidative damage as a therapeutic strategy in diabetes. Diabetes. 2004;53(Suppl 1):S110–S118. doi: 10.2337/diabetes.53.2007.s110. [DOI] [PubMed] [Google Scholar]
- Hafner RP, Brown GC, Brand MD. Analysis of the control of respiration rate, phosphorylation rate, proton leak rate and protonmotive force in isolated mitochondria using the ‘top-down’ approach of metabolic control theory. Eur J Biochem. 1990;188:313–319. doi: 10.1111/j.1432-1033.1990.tb15405.x. [DOI] [PubMed] [Google Scholar]
- Hajnoczky G, Robb-Gaspers LD, Seitz MB, Thomas AP. Decoding of cytosolic calcium oscillations in the mitochondria. Cell. 1995;82:415–424. doi: 10.1016/0092-8674(95)90430-1. [DOI] [PubMed] [Google Scholar]
- Hall JE, Mead CA, Szabo G. A barrier model for current flow in lipid bilayer membranes. J Membr Biol. 1973;11:75–97. [Google Scholar]
- Hoek JB, Nicholls DG, Williamson JR. Determination of the mitochondrial protonmotive force in isolated hepatocytes. J Biol Chem. 1980;255:1458–1464. [PubMed] [Google Scholar]
- Huang HM, Fowler C, Zhang H, Gibson GE. Mitochondrial heterogeneity within and between different cell types. Neurochem Res. 2004;29:651–658. doi: 10.1023/b:nere.0000014835.34495.9c. [DOI] [PubMed] [Google Scholar]
- Jonas EA, Buchanan J, Kaczmarek LK. Prolonged activation of mitochondrial conductances during synaptic transmission. Science. 1999;286:1347–1350. doi: 10.1126/science.286.5443.1347. [DOI] [PubMed] [Google Scholar]
- Kamo N, Muratsugu M, Hongoh R, Kobatake Y. Membrane potential of mitochondria measured with an electrode sensitive to tetraphenyl phosphonium and relationship between proton electrochemical potential and phosphorylation potential in steady state. J Membr Biol. 1979;49:105–121. doi: 10.1007/BF01868720. [DOI] [PubMed] [Google Scholar]
- Kasischke KA, Vishwasrao HD, Fisher PJ, Zipfel WR, Webb WW. Neural activity triggers neuronal oxidative metabolism followed by astrocytic glycolysis. Science. 2004;305:99–103. doi: 10.1126/science.1096485. [DOI] [PubMed] [Google Scholar]
- Kawamata H, Starkov AA, Manfredi G, Chinopoulos C. A kinetic assay of mitochondrial ADP-ATP exchange rate in permeabilized cells. Anal Biochem. 2010;407:52–57. doi: 10.1016/j.ab.2010.07.031. [DOI] [PMC free article] [PubMed] [Google Scholar]
- Klapperstück T, Glanz D, Klapperstuck M, Wohlrab J. Methodological aspects of measuring absolute values of membrane potential in human cells by flow cytometry. Cytometry A. 2009;75:593–608. doi: 10.1002/cyto.a.20735. [DOI] [PubMed] [Google Scholar]
- Komary Z, Tretter L, Adam-Vizi V. Membrane potential-related effect of calcium on reactive oxygen species generation in isolated brain mitochondria. Biochim Biophys Acta. 2010;1797:922–928. doi: 10.1016/j.bbabio.2010.03.010. [DOI] [PubMed] [Google Scholar]
- Krasne S. Interactions of voltage-sensing dyes with membranes. I. Steady-state permeability behaviors induced by cyanine dyes. Biophys J. 1980;30:415–439. doi: 10.1016/S0006-3495(80)85105-8. [DOI] [PMC free article] [PubMed] [Google Scholar]
- Krasznai Z, Marian T, Balkay L, Emri M, Tron L. Flow cytometric determination of absolute membrane potential of cells. J Photochem Photobiol B. 1995;28:93–99. doi: 10.1016/1011-1344(94)07099-a. [DOI] [PubMed] [Google Scholar]
- Krauss S, Zhang CY, Lowell BB. A significant portion of mitochondrial proton leak in intact thymocytes depends on expression of UCP2. Proc Natl Acad Sci U S A. 2002;99:118–122. doi: 10.1073/pnas.012410699. [DOI] [PMC free article] [PubMed] [Google Scholar]
- Lichtshtein D, Kaback HR, Blume AJ. Use of a lipophilic cation for determination of membrane potential in neuroblastoma-glioma hybrid cell suspensions. Proc Natl Acad Sci U S A. 1979;76:650–654. doi: 10.1073/pnas.76.2.650. [DOI] [PMC free article] [PubMed] [Google Scholar]
- Loew LM, Tuft RA, Carrington W, Fay FS. Imaging in five dimensions: time-dependent membrane potentials in individual mitochondria. Biophys J. 1993;65:2396–2407. doi: 10.1016/S0006-3495(93)81318-3. [DOI] [PMC free article] [PubMed] [Google Scholar]
- Mandala M, Serck-Hanssen G, Martino G, Helle KB. The fluorescent cationic dye rhodamine 6G as a probe for membrane potential in bovine aortic endothelial cells. Anal Biochem. 1999;274:1–6. doi: 10.1006/abio.1999.4253. [DOI] [PubMed] [Google Scholar]
- Merglen A, Theander S, Rubi B, Chaffard G, Wollheim CB, Maechler P. Glucose sensitivity and metabolism-secretion coupling studied during two-year continuous culture in INS-1E insulinoma cells. Endocrinology. 2004;145:667–678. doi: 10.1210/en.2003-1099. [DOI] [PubMed] [Google Scholar]
- Michelakis ED, Rebeyka I, Wu X, Nsair A, Thebaud B, Hashimoto K, Dyck JR, Haromy A, Harry G, Barr A, Archer SL. O2 sensing in the human ductus arteriosus: regulation of voltage-gated K+ channels in smooth muscle cells by a mitochondrial redox sensor. Circ Res. 2002;91:478–486. doi: 10.1161/01.res.0000035057.63303.d1. [DOI] [PubMed] [Google Scholar]
- Nicholls DG. Mitochondrial membrane potential and aging. Aging Cell. 2004;3:35–40. doi: 10.1111/j.1474-9728.2003.00079.x. [DOI] [PubMed] [Google Scholar]
- Nicholls DG. Simultaneous monitoring of ionophore- and inhibitor-mediated plasma and mitochondrial membrane potential changes in cultured neurons. J Biol Chem. 2006;281:14864–14874. doi: 10.1074/jbc.M510916200. [DOI] [PubMed] [Google Scholar]
- Nicholls DG, Ward MW. Mitochondrial membrane potential and cell death: mortality and millivolts. Trends Neurosci. 2000;23:166–174. doi: 10.1016/s0166-2236(99)01534-9. [DOI] [PubMed] [Google Scholar]
- Nobes CD, Brown GC, Olive PN, Brand MD. Non-ohmic proton conductance of the mitochondrial inner membrane in hepatocytes. J Biol Chem. 1990;265:12903–12909. [PubMed] [Google Scholar]
- O’Reilly CM, Fogarty KE, Drummond RM, Tuft RA, Walsh JV., Jr Quantitative analysis of spontaneous mitochondrial depolarizations. Biophys J. 2003;85:3350–3357. doi: 10.1016/S0006-3495(03)74754-7. [DOI] [PMC free article] [PubMed] [Google Scholar]
- Perry SW, Norman JP, Barbieri J, Brown EB, Gelbard HA. Mitochondrial membrane potential probes and the proton gradient: a practical usage guide. Biotechniques. 2011;50:98–115. doi: 10.2144/000113610. [DOI] [PMC free article] [PubMed] [Google Scholar]
- Piwnica-Worms D, Kronauge JF, Chiu ML. Enhancement by tetraphenylborate of technetium-99m-MIBI uptake kinetics and accumulation in cultured chick myocardial cells. J Nucl Med. 1991;32:1992–1999. [PubMed] [Google Scholar]
- Porteous WK, James AM, Sheard PW, Porteous CM, Packer MA, Hyslop SJ, Melton JV, Pang CY, Wei YH, Murphy MP. Bioenergetic consequences of accumulating the common 4977-bp mitochondrial DNA deletion. Eur J Biochem. 1998;257:192–201. doi: 10.1046/j.1432-1327.1998.2570192.x. [DOI] [PubMed] [Google Scholar]
- Poburko D, Santo-Domingo J, Demaurex N. Dynamic regulation of the mitochondrial proton gradient during cytosolic calcium elevations. J Biol Chem. 2011;286:11672–11684. doi: 10.1074/jbc.M110.159962. [DOI] [PMC free article] [PubMed] [Google Scholar]
- Pysh JJ, Khan T. Variations in mitochondrial structure and content of neurons and neuroglia in rat brain: an electron microscopic study. Brain Res. 1972;36:1–18. doi: 10.1016/0006-8993(72)90762-7. [DOI] [PubMed] [Google Scholar]
- Rolfe DFS, Hulbert AJ, Brand MD. Characteristics of mitochondrial proton leak and control of oxidative phosphorylation in the major oxygen-consuming tissues of the rat. Biochim Biophys Acta. 1994;1188:405–416. doi: 10.1016/0005-2728(94)90062-0. [DOI] [PubMed] [Google Scholar]
- Rottenberg H. Membrane potential and surface potential in mitochondria: uptake and binding of lipophilic cations. J Membr Biol. 1984;81:127–138. doi: 10.1007/BF01868977. [DOI] [PubMed] [Google Scholar]
- Scaduto RC, Jr, Grotyohann LW. Measurement of mitochondrial membrane potential using fluorescent rhodamine derivatives. Biophys J. 1999;76:469–477. doi: 10.1016/S0006-3495(99)77214-0. [DOI] [PMC free article] [PubMed] [Google Scholar]
- Schuchmann S, Luckermann M, Kulik A, Heinemann U, Ballanyi K. Ca2+- and metabolism-related changes of mitochondrial potential in voltage-clamped CA1 pyramidal neurons in situ. J Neurophysiol. 2000;83:1710–1721. doi: 10.1152/jn.2000.83.3.1710. [DOI] [PubMed] [Google Scholar]
- Scott ID, Nicholls DG. Energy transduction in intact synaptosomes: influence of plasma- membrane depolarization on the respiration and membrane potential of internal mitochondria determined in situ. Biochem J. 1980;186:21–33. doi: 10.1042/bj1860021. [DOI] [PMC free article] [PubMed] [Google Scholar]
- Stark G. Negative hydrophobic ions as transport-mediators for positive ions: evidence for a carrier mechanism. Biochim Biophys Acta. 1980;600:233–237. doi: 10.1016/0005-2736(80)90428-9. [DOI] [PubMed] [Google Scholar]
- Starkov AA, Fiskum G. Regulation of brain mitochondrial H2O2 production by membrane potential and NAD(P)H redox state. J Neurochem. 2003;86:1101–1107. doi: 10.1046/j.1471-4159.2003.01908.x. [DOI] [PubMed] [Google Scholar]
- Talbot J, Barrett JN, Barrett EF, David G. Stimulation-induced changes in NADH fluorescence and mitochondrial membrane potential in lizard motor nerve terminals. J Physiol. 2007;579:783–798. doi: 10.1113/jphysiol.2006.126383. [DOI] [PMC free article] [PubMed] [Google Scholar]
- Ubl JJ, Chatton JY, Chen S, Stucki JW. A critical evaluation of in situ measurement of mitochondrial electrical potentials in single hepatocytes. Biochim Biophys Acta. 1996;1276:124–132. doi: 10.1016/0005-2728(96)00067-9. [DOI] [PubMed] [Google Scholar]
- van Vliet EA, Redeker S, Aronica E, Edelbroek PM, Gorter JA. Expression of multidrug transporters MRP1, MRP2, and BCRP shortly after status epilepticus, during the latent period, and in chronic epileptic rats. Epilepsia. 2005;46:1569–1580. doi: 10.1111/j.1528-1167.2005.00250.x. [DOI] [PubMed] [Google Scholar]
- Volk H, Potschka H, Loscher W. Immunohistochemical localization of P-glycoprotein in rat brain and detection of its increased expression by seizures are sensitive to fixation and staining variables. J Histochem Cytochem. 2005;53:517–531. doi: 10.1369/jhc.4A6451.2005. [DOI] [PubMed] [Google Scholar]
- Waggoner A. Optical probes of membrane potential. J Membr Biol. 1976;27:317–334. doi: 10.1007/BF01869143. [DOI] [PubMed] [Google Scholar]
- Ward MW, Huber HJ, Weisova P, Dussmann H, Nicholls DG, Prehn JH. Mitochondrial and plasma membrane potential of cultured cerebellar neurons during glutamate-induced necrosis, apoptosis, and tolerance. J Neurosci. 2007;27:8238–8249. doi: 10.1523/JNEUROSCI.1984-07.2007. [DOI] [PMC free article] [PubMed] [Google Scholar]
- Ward MW, Rego AC, Frenguelli BG, Nicholls DG. Mitochondrial membrane potential and glutamate excitotoxicity in cultured cerebellar granule cells. J Neurosci. 2000;20:7208–7219. doi: 10.1523/JNEUROSCI.20-19-07208.2000. [DOI] [PMC free article] [PubMed] [Google Scholar]
- Weibel ER, Paumgartner D. Integrated stereological and biochemical studies on hepatocytic membranes. II. Correction of section thickness effect on volume and surface density estimates. J Cell Biol. 1978;77:584–597. doi: 10.1083/jcb.77.2.584. [DOI] [PMC free article] [PubMed] [Google Scholar]
- Wiederkehr A, Park KS, Dupont O, Demaurex N, Pozzan T, Cline GW, Wollheim CB. Matrix alkalinization: a novel mitochondrial signal for sustained pancreatic beta-cell activation. EMBO J. 2009;28:417–428. doi: 10.1038/emboj.2008.302. [DOI] [PMC free article] [PubMed] [Google Scholar]
- Zoratti M, De MU, Gulbins E, Szabo I. Novel channels of the inner mitochondrial membrane. Biochim Biophys Acta. 2009;1787:351–363. doi: 10.1016/j.bbabio.2008.11.015. [DOI] [PubMed] [Google Scholar]
Associated Data
This section collects any data citations, data availability statements, or supplementary materials included in this article.

















