Abstract
Human parainfluenza viruses (PIVs) cause acute respiratory illness in children, the elderly, and immunocompromised patients. PIV3 is a common cause of bronchiolitis and pneumonia, whereas PIV1 and 2 are frequent causes of upper respiratory tract illness and croup. To assess how PIV1, 2, and 3 differ with regard to replication and induction of type I interferons, interleukin-6, and relevant chemokines, we infected primary human airway epithelium (HAE) cultures from the same tissue donors and examined replication kinetics and cytokine secretion. PIV1 replicated to high titer yet did not induce cytokine secretion until late in infection, while PIV2 replicated less efficiently but induced an early cytokine peak. PIV3 replicated to high titer but induced a slower rise in cytokine secretion. The T cell chemoattractants CXCL10 and CXCL11 were the most abundant chemokines induced. Differences in replication and cytokine secretion might explain some of the differences in PIV serotype-specific pathogenesis and epidemiology.
Keywords: Human parainfluenza virus, Human airway epithelium, cytokines, chemokines, interferon, pathogenesis
Introduction
PIV infections are a common cause of acute respiratory illness (ARI) in all age groups. In healthy young adults, illness is typically mild, self-limited, and restricted to the upper respiratory tract. In infants and young children, the elderly, and patients with cardiopulmonary disease or immunodeficiency, however, PIVs can cause LRTI, including croup, bronchiolitis, and pneumonia (Karron and Collins, 2007). Globally, LRTI is the most common cause of under-five mortality, and viral LRTI represents a large share of this burden of disease (Nair et al., 2010). PIVs and respiratory syncytial virus (RSV) are the most frequently detected viruses in lung tissue specimens from infants who died of LRTI (do Carmo Debur et al., 2010).
The PIVs are enveloped, cytoplasmic viruses of Family Paramyxoviridae with single-stranded negative-sense RNA genomes of approximately 15 kb. Four different PIV serotypes exist, but PIV4 is generally thought to be infrequently associated with severe disease and its epidemiology is less well characterized (Weinberg et al., 2009). PIV3, like RSV (another member of the family), causes bronchiolitis and pneumonia in young infants while PIV1 and PIV2 are best known for epidemics of croup (Marx et al., 1997). Although PIV1 and PIV2 disease is seen most commonly in 1- to 5-year-olds, hospitalization rates for all three PIVs are highest in the first six months of life, with bronchiolitis, fever,/possible sepsis, URTI, pneumonia, croup, and apnea as the most frequent discharge diagnoses (Weinberg et al., 2009).
PIV mortality is highest in bone marrow transplant (BMT) patients, and PIVs and RSV are reported to be the most frequent viral etiologies of respiratory illness in both pediatric and adult bone marrow transplant patients (Campbell et al., 2010; Srinivasan et al., 2011). Immunohistochemistry (IHC) and virology studies provide evidence that PIV replicates predominantly in respiratory epithelial cells and that, in general, infection is restricted to the respiratory tract (Bartlett et al., 2008; Schaap-Nutt et al., 2010c; Zhang et al., 2005). Only in severely immunocompromised patients, such as patients with severe combined immunodeficiency or following BMT, has systemic spread reproducibly been detected by IHC (Madden et al., 2004).
The histopathology of viral bronchiolitis and pneumonia is not known to have clear virus-specific differences, and there is wide overlap between PIV and RSV lung pathology (do Carmo Debur et al., 2010). Fatal RSV LRTI is dominated by mononuclear cell infiltrates and strong neutrophil movement toward the bronchiolar epithelium (Johnson et al., 2007; Welliver et al., 2008). In a child who died from trauma one day after being diagnosed with RSV LRTI, inflammatory infiltrates were found around bronchial and pulmonary arterioles and consisted mostly of monocytes, neutrophils, and double-negative T cells. Neutrophils were concentrated between arterioles and airways whereas mononuclear cells were found in airways and lung parenchyma (Johnson et al., 2007). Although RSV has often been described as unique in that it induces a weak T helper type 1 (Th1) response and a bias towards Th2, more recent studies suggest that this observation might not be RSV specific but a consequence of infection very early in life. For example, mucosal interleukin (IL)-4, CCL4, and eotaxin concentrations were reported not to differ significantly between RSV and PIV or influenza-infected infants ≤ 3 months of age (Kristjansson et al., 2005).
PIVs encode one or more proteins that function to block cellular innate responses to viral infection and gene expression, thus helping the virus remain undetected in epithelial cells for as long as possible and facilitating efficient virus replication. PIV1 and PIV3 (both of genus Respirovirus) encode a nested set of C proteins, whereas PIV2 (genus Rubulavirus) encodes a V protein bearing a characteristic cysteine-rich zinc finger. Although the V and C proteins are unrelated in sequence or mechanism of action, both proteins block the induction of type I interferons (IFN) as well as IFN-induced signaling (Bartlett et al., 2010; Boonyaratanakornkit et al., 2011; Boonyaratanakornkit et al., 2009; Schaap-Nutt et al., 2010a; Schaap-Nutt et al., 2010b; Schomacker et al., 2012). The innate immune response to PIV infection helps restrict viral replication but also is thought to contribute to disease. Therefore, an understanding of the cytokine response of epithelial cells – the cells that support PIV replication – is important to understanding PIV pathogenesis. Local production of inflammatory cytokines has been described in case series of children with PIV disease, and nasal wash samples were found to contain elevated concentrations of IFN (Hall et al., 1978) and chemokines such as IL-8/CXCL8, MIP1a+1b/CCL3+4, RANTES/CCL5, and CXCL9 (El Feghaly et al., 2010; Gern et al., 2002). IL-8 and IP-10 concentrations were found to have a positive correlation with PIV disease (El Feghaly et al., 2010; Gern et al., 2002). PIV viral load also has been reported to correlate with severity of illness (Utokaparch et al., 2011). However, the kinetics of PIV replication and cytokine secretion have not, to our knowledge, been compared in a single study in primary respiratory epithelial cells. While increases in nasal wash (i.e., lumenal or apical) cytokine concentrations are consistent with the neutrophil and monocyte infiltrations seen in histopathology, chemotaxis and transmigration of white cells from the blood stream likely depend on local basolateral (rather than apical) cytokine concentrations, which cannot be measured in vivo in humans. In addition, the timing of the inflammatory response relative to virus replication is impossible to establish in naturally acquired infection, and experimental primary infection of PIV-naïve infants and young children with wild type PIV would be unethical. An additional layer of complexity is that nasal wash and tracheal lavage fluids do not permit the assessment of the relative contribution of hematopoietic versus epithelial cells to cytokine production.
To examine PIV replication and apical and basolateral cytokine secretion simultaneously in a well-controlled setting that mimics infection in humans as closely as possible, we used an ex vivo model of fully differentiated human ciliated airway epithelium (HAE). HAE cells from human donors post mortem were grown on a filter support at an air-liquid interface to yield an epithelium that closely mimics the morphological and physiological characteristics of HAE in vivo (Pickles et al., 1998). We have previously shown that PIVs infect fully differentiated ciliated cells but not basal cells or goblet cells, and they do so without causing extensive cytopathic effect (Bartlett et al., 2008; Schaap-Nutt et al., 2010c; Zhang et al., 2005; Zhang et al., 2011). Here, we compared replication and apical and basolateral cytokine secretion in replicate HAE cultures from two donors infected with PIV1, PIV2, or PIV3 in order to understand the contribution of bronchial epithelial cells to the immune response and to PIV pathogenesis, and to test whether the PIV serotypes differ in the inflammatory response they induce.
Results and Discussion
Side-by-side comparison of PIV replication in tracheobronchial epithelium
PIV1, 2, and 3 replication was compared in parallel in human tracheobronchial airway epithelium cultures. For each virus, three cultures from each of two individual donors were infected apically, i.e., from the side that would correspond to the lumenal surface. Virus stocks used in these infections were inoculated at low multiplicity of infection (MOI) from low passage viruses to minimize contamination by defective interfering (DI) particles. Virus particles were purified from the cell culture supernatant by centrifugation and banding in discontinuous sucrose gradients to remove cytokines and other molecules produced by the infected cultures. The ratio between the infectivity titer and the titer of physical particles measured by hemagglutination assay (Materials and Methods) was similar for each of the viruses, indicating that none of the viruses contained a disproportionate content of inactivated particles or DI particles.
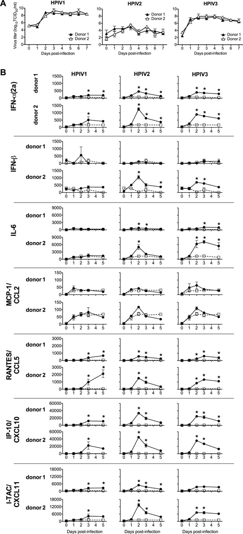
Virus release into the apical and basolateral compartments was monitored daily over the course of seven days after infection (Fig. 1A). For all three viruses, apical wash titers peaked on day 2 or 3 post-infection (pi) and then plateaued or decreased slightly over the next several days (Figure 1A). PIV1- and PIV3-infected epithelium yielded much higher apical wash titers (mean values of 108.9 and 107.9 TCID50/ml, respectively) than PIV2-infected cells (105.3 TCID50/ml). Previous studies in HAE suggested that PIV1 replicated better than PIV2, but those studies involved different donors and could not be directly compared (Bartlett et al., 2008; Schaap-Nutt et al., 2010c). PIV3 replication in HAE was previously shown to peak at day 2 pi, though at a lower peak titer than in the present experiment (Palermo et al., 2009). PIV1, 2, and 3 exhibit similar growth kinetics in standard cell lines, reaching peak titers of 108–109 log10 TCID50/ml (see supplemental figure). Since high titers of PIV and RSV replication in vivo generally correlates with the severity of disease and contributes to transmissibility (Karron et al., 1997; Utokaparch et al., 2011), the lower level of replication observed with PIV2 could explain why this virus causes the least burden of disease of these three serotypes (Weinberg et al., 2009). For any serotype, virus replication was similar in the two donors examined (Fig. 1A).
Figure 1.
A) Replication of PIV1, PIV2, and PIV3 in HAE. HAE were infected via the apical surface and titers of virus shed into the apical compartment were determined at the indicated times post-infection (pi). Virus titers shown are the means of three cultures per individual tissue donor ± SE (standard error). The limit of detection was 1.2 log10TCID50/ml. B) Apical cytokine secretion patterns of PIV-infected HAE. After apical infection, samples from the apical compartment were analyzed for protein concentrations of secreted IFN-α(2a), IFN-β, IL-6, MCP-1 (CCL2), RANTES (CCL5), IP-10 (CXCL10), and I-TAC (CXCL11) by sandwich immunoassay using MesoScale Discovery cytokine detection assays. Mean cytokine concentrations are expressed in pg/ml ± SE (triplicate cultures from each donor). Solid lines (
) show mean cytokine concentrations for PIV-infected cultures, and dashed lines (
) show cytokine concentrations from mock-infected cultures from the same donor. The lower limit of detection was 2.4 pg/ml. Cytokine concentrations in infected culture fluids were compared to those in mock-infected cultures using two-way analysis of variance (ANOVA) with Bonferroni post-test; an asterisk (*) indicates a significant difference, P < 0.05.
En face immunostaining for PIV antigens showed a significant number of cells staining positive for each of the three PIVs through day 7 pi (25% HPIV1+, 9% HPIV2+, and 14% HPIV3+), and the ranking of PIV positive cells for each serotype correlated with the ranking of virus titers in the apical compartment (PIV1>PIV3>PIV2, data not shown). However, the difference in the number of infected cells (three-fold between PIV1 and PIV2) did not explain the much larger difference in peak virus titers (4000-fold between PIV1 and PIV2), suggesting that the virus yield per infected cell is the major determinant of the peak virus titer.
Previous studies of PIV infection of HAE indicated that PIVs are primarily released from the apical surface of ciliated HAE, and this directional budding was proposed to help limit PIV replication to the respiratory tract (Bartlett et al., 2008; Palermo et al., 2009; Schaap-Nutt et al., 2010c; Zhang et al., 2005; Zhang et al., 2011). Our study confirmed that apically infected HAE cultures release virus from the apical/lumenal surface only. None of the three PIVs could be detected in the basolateral compartment (data not shown). Although our data suggest that polarized budding and possibly the innate epithelial immune response contribute to the absence of viremia and systemic spread in infected individuals, it remains to be elucidated whether the systemic spread seen in severely immunodeficient patients is due to a leaky epithelium (possibly as a result of the adaptive immune response) or the ability of the virus to leave the respiratory tract within leukocytes, e.g. within mucosal dendritic cells (Le Nouen et al., 2009).
Cytokine secretion from tracheobronchial epithelium in response to PIV infection
One of the principal triggers of the cellular innate response to viral infection is the detection of viral nucleic acid by cytosolic pattern recognition receptors such as RIG-I and MDA5, which initiate signaling cascades that lead to the activation of cellular transcription factors and expression of type I IFNs, resulting in the induction of an antiviral state in the infected cell as well as neighboring cells, and expression of pro-inflammatory cytokines (Boonyaratanakornkit et al., 2011; Schaap-Nutt et al., 2011). Side-by-side comparison of cytokine secretion showed that PIV2 induced significant apical and basolateral IFN-α secretion by day 2 pi, while PIV3 took three days to induce basolateral IFN-α, and PIV1 did not induce much apical IFN-α at all (Figures 1B and 2). This was particularly surprising because PIV2 titers on day 2 pi were approximately 1000-fold lower than those of PIV1 and PIV3 (Figure 1A). Whether the relative restriction of PIV2 is a viral property (i.e., a lack of viral fitness), or an effect of the early IFN-α response on PIV2 replication, or both, cannot be deduced from this study. However, using PIV1 mutants that cannot inhibit the IFN response as well as wild type PIV1, we previously observed that the type I IFN response can restrict PIV1 replication in HAE approximately 100-fold (Bartlett et al., 2008). Similar to our results, PIV3 was previously shown to induce type I IFN release at the basolateral surface, while UV-inactivated PIV3 did not induce IFN (Zhang et al., 2011).
Figure 2.
Basolateral cytokine secretion patterns of PIV-infected HAE cells. After apical infection, cytokine concentrations in the basolateral compartment of HAE cultures were determined for the indicated proteins, as described in Figure 1B. Mean cytokine concentrations are expressed in pg/ml ± SE (triplicate cultures from each donor). Solid lines (
) show mean cytokine concentrations for PIV-infected cultures, and dashed lines (
) show cytokine concentrations from mock-infected cultures from the same donor. The lower limit of detection was 2.4 pg/ml. The amount of I-TAC/CXCL11 secreted basolaterally from HPIV3-infected cultures from donor 1 was above the limit of detection for this assay (>105 pg/ml) at day 5 pi in all three replicates and is therefore reported as “ADL” (above detection limit). Cytokine concentrations in infected culture fluids were compared to those in mock-infected cultures using two-way analysis of variance (ANOVA) with Bonferroni post-test; an asterisk (*) indicates a significant difference, P < 0.05.
IFN-β induction was modest in HAE, regardless of the PIV serotype (Figures 1B and 2). PIV1 did not induce a significant amount of IFN-β in either donor. Compared to mock-infected cells, PIV2 and PIV3 induced 3.5-fold and 2.3-fold rises in apical IFN-β, respectively, but only in donor 2 was this rise statistically significant. We and others had previously reported that the PIV1 C proteins inhibit the induction of type I IFNs in HAE (Bartlett et al., 2008) and showed that in the respiratory A549 cell line this phenotype is due to the inhibition of viral dsRNA synthesis, which results in delayed activation of the MDA5/IFN pathway (Boonyaratanakornkit et al., 2011). Although viral dsRNA accumulation was not examined here, the lack of type I IFN induction by PIV1 suggests that the underlying mechanism in HAE might be the same (Bartlett et al., 2008). For PIV2, the binding of the viral V protein to MDA5 is known to play a role in inhibiting IFN-β expression (Schaap-Nutt et al., 2011).
IL-6 plays an important role in acute and chronic inflammation since it controls the shift between the recruitment of neutrophils (early) and monocytes (late) to the site of inflammation (Silver and Hunter, 2010). In children with PIV-positive ARI, IL-6 concentrations were found to be significantly elevated in nasal wash fluid (El Feghaly et al., 2010), and elevated serum IL-6 has been associated with prolonged hospital stays for RSV bronchiolitis (Vieira et al., 2010). In our study, IL-6 was significantly elevated only in HAE infected with PIV2 or PIV3 (except for a single time point for PIV1), and the kinetics of basolateral IL-6 secretion were similar to those observed for IFN-α: in PIV2 infected cells, basolateral IL-6 rose early and then waned whereas concentrations in PIV3 infected cells increased gradually through day 5 pi (Fig. 2). For PIV1, we previously observed that the viral C proteins strongly inhibit the activation of transcription factors such as IRF3 and NF-kB that are needed for both IL-6 and IFN-α expression (Boonyaratanakornkit et al., 2011; Van Cleve et al., 2006).
Since the peak apical IL-6 secretion in donor 2 HAE was significantly higher than in donor 1 HAE, and because a polymorphism in the IL-6 promoter at position −174 was reported to be associated with IL-6 expression and with a number of inflammatory diseases (Fishman et al., 1998), we genotyped the two donors for this polymorphism. Donor 1 had a G/C genotype, while donor 2 (with higher levels of IL-6 in the apical compartment) had a G/G genotype (data not shown). The C allele at -174 has been associated with lower IL-6 expression, more severe symptoms following rhinovirus and RSV infection, and an increased frequency of otitis media (Alper et al., 2009; Doyle et al., 2010). In general, HAE from donor 2 secreted higher levels of most of the cytokines examined than HAE from donor 1 did, suggesting a stronger pro-inflammatory response by donor 2. Although the genotype of donor 1 could explain the lower apical secretion of IL-6 by HAE cells of donor 1, it is important to point out that our results do not determine an association between PIV-induced IL-6 secretion and the examined polymorphism; a study of that type would require a very large sample size and would likely not be feasible.
We also examined the kinetics of expression of two CC chemokines that are thought to play a role in viral ARI (McNamara et al., 2005): MCP-1/CCL2, which acts as a macrophage chemoattractant, and RANTES/CCL5, which attracts monocytes, T-helper cells and eosinophils (Figures 1B and 2). Apically, MCP-1 was not significantly induced by any of the PIVs (Figure 1B), similar to what was reported for MCP-1 in PIV-infected children (El Feghaly et al., 2010). Basolateral MCP-1 concentrations were elevated on days 2 and 3 in PIV2-infected epithelium and through day 5 in PIV3-infected HAE (Figure 2). RANTES was secreted by the HAE in response to all three of the viruses, both apically and basolaterally. Basolateral RANTES secretion kinetics followed the kinetics of the majority of cytokines, i.e., it peaked early in PIV2 infected HAE, increased steadily in PIV3 infected cells, and was not significantly elevated in PIV1-infected cells until day 5 pi (Figure 2). Peak RANTES concentrations ranged from 580 to 2130 pg/ml apically (10- to 30-fold over mock) and from 660 to 3220 pg/ml (17- to 85-fold over mock) basolaterally. Previously, a six-fold rise in RANTES levels was detected basolaterally in RSV-infected HAE at 2 days pi, while no significant rise was detected in the apical supernatants (Mellow et al., 2004). A separate study in RSV-infected bronchial epithelium found much lower peak concentrations than in the present study (Oshansky et al., 2010), but this difference is likely due to the different time periods examined (1 day versus 5 days). In our hands, most cytokines did not peak until 2 days pi, and for PIV1 and PIV3 the concentrations increased until the last day of sampling (day 5). We feel that the longer follow-up is meaningful since severe PIV and RSV disease is generally not seen until 2 to 3 days past the onset of URTI symptoms, which is likely 5 to 7 days pi. Our results do agree with findings in the nasal wash fluid of children naturally infected with RSV (Becker et al., 1997; Noah et al., 1995).
Finally, we examined the kinetics of expression of three CXC chemokines (IL-8/CXCL8 [not shown], IP-10/CXCL10, and I-TAC/CXCL11), based on previous clinical reports on their induction during viral ARI (McNamara et al., 2005) (Figures 1B and 2). IP-10 and I-TAC are structurally and functionally related chemokines that attract CXCR3-positive activated Th1 cells to the mucosa (Groom and Luster, 2011). In addition to attracting Th1 cells, these CXCR3 ligands also antagonize CCR3-mediated Th2 cell migration, further enhancing Th1 polarization of effector T cell recruitment (Loetscher et al., 2001; Sallusto et al., 1998; Xanthou et al., 2003). With regards to respiratory illness, IP-10 has been suggested as a biomarker for viral (as opposed to non-viral) ARI, and our data indicate that all three PIV serotypes are potent inducers of IP-10 (Bafadhel et al., 2011; Sumino et al., 2010). CXC chemokine concentrations were much higher than those of the CC chemokines, with basolateral IP-10 and I-TAC concentrations above 100 and 50 ng/mL, respectively. Again, the kinetics of basolateral secretion differed by PIV serotype, with PIV2 inducing an early peak, PIV3 causing a slow rise, and PIV1 remaining undetected until day 5 pi. IP-10 concentrations as high as we observed were reported in BAL fluid from RSV-infected infants with severe bronchiolitis, and it was speculated that neutrophils might be the source of this cytokine since they were the predominant cell type in BAL fluid (McNamara et al., 2005). Our data indicate that the airway epithelium itself is an important source of IP-10 following PIV infection, and that neither neutrophils nor IFN-γ (the best known inducer of IP-10) from immune cells are needed for induction. IP-10 and I-TAC were predominantly secreted into the basolateral compartment (Figures 1B and 2), in line with the idea that CXCR3 ligands facilitate transmigration of Th1 cells across the endothelium and into inflamed tissue (Xie et al., 2003). High levels of IP-10 and I-TAC induction were reported in response to infection with either RSV or influenza A viruses in human airway epithelial cells, also with marked basolateral polarization (Ioannidis et al., 2012). Potent I-TAC induction was also recently reported for influenza A virus infection of primary, differentiated type II alveolar cells in culture (Wang et al., 2011), supporting the notion that CXCR3 ligands are the most abundant chemokines in viral ARI and an important determinant of a Th1-dominated adaptive immune response.
IL-8, the third CXC chemokine examined here, is a neutrophil chemoattractant and is elevated during RSV and PIV ARI in children (El Feghaly et al., 2010; Larranaga et al., 2009; McNamara et al., 2005). Unfortunately, in our study, IL-8 concentrations were very high in all cultures, infected or not, from day 1 pi onwards (not shown), which might have been induced by manipulation of the cultures as has been previously reported (Mellow et al., 2004).
In summary, our study represents the first side-by-side comparison of PIV serotype-specific induction of cytokines in primary well-differentiated human airway epithelium. We detected serotype-specific differences in virus replication as well as in the kinetics of cytokine induction. The kinetics of the innate immune responses suggested that (i) PIV1 is better able than PIV2 and PIV3 to stay undetected for several days post infection; (ii) PIV2 is less able than PIV1 and PIV3 to inhibit an early immune response, and (iii) PIV3 induces a slow but steady increase in basolaterally-secreted cytokines. We report that IFN-γ from immune cells is not necessary for the induction of IP-10 in PIV infection, and our findings confirm previous clinical reports that CXCR3 ligands such as IP-10 and I-TAC are dominant chemokines in PIV infection, and likely mediate recruitment of Th1 cells into the infected epithelium. With regard to the potential clinical implications of the differences in cytokine secretion kinetics, one could speculate that the ability of PIV1 to stay undetected for so long contributes to its ability to re-infect PIV1-experienced children and adults more efficiently than PIV2 and PIV3 (Clements et al., 1991; Smith et al., 1966; Tremonti et al., 1968). PIV2 stands out in that an early innate immune response is followed by restricted replication, a finding that could explain why PIV2 circulates less widely and is responsible for less disease than PIV1 and PIV3. PIV3 was notable for its ability to induce a steadily increasing inflammatory response over several days, which fits well with the observation that PIV3 is a more frequent etiology of bronchiolitis and pneumonia than PIV1 and 2.
Materials and Methods
Cells and Viruses
Human tracheobronchial epithelial cells were isolated from airway specimens of patients without underlying lung disease by the UNC Cystic Fibrosis Center Tissue Culture Core, which obtained airway specimens with informed consent under University of North Carolina at Chapel Hill Institutional Review Board-approved protocols from the National Disease Research Interchange (NDRI, Philadelphia, PA) or as excess tissue following lung transplantation. Primary cells were expanded on plastic for one passage and plated at a density of 3 × 105 cells per well on permeable Transwell-Col (12-mm-diameter) supports. HAE cultures were grown at an air-liquid interface for 4 to 6 weeks to form differentiated, polarized cultures, as previously described (Pickles et al., 1998).
Recombinant (r) PIVs were derived from clinical isolates: rPIV1 was from strain Washington/20993/1964 (Bartlett et al., 2005); rPIV2 was from strain V9412-6 (V94) (Skiadopoulos et al., 2003); and rPIV3 was from the JS strain (Durbin et al., 1997). rPIV1 was constructed from the biologically-derived PIV1 wild-type (wt) strain Washington/20993/1964, which was isolated in primary African green monkey (AGM) kidney cells from a clinical sample from a child with upper respiratory tract illness and subsequently passaged two additional times in primary AGMs kidney cells (Murphy et al., 1975) and once in LLC-MK2 cells (Bartlett et al., 2005). rPIV1, previously referred to as HPIV1LLC1 (GenBank ID: AF457102), has a wt phenotype in AGMs (Bartlett et al., 2005).
rPIV2 was constructed from the biologically-derived HPIV2 strain V9412-6 (V94), kindly provided by Peter Wright of Vanderbilt University. The V94 strain (Genbank ID: AF533010) was isolated in Vero cells from the nasal wash specimen of an infected infant and was biologically cloned and amplified on Vero cells for a total of nine passages (Tao et al., 2000), followed by one passage on LLC-MK2 cells (Skiadopoulos et al., 2003). rPIV2, previously referred to as rV94(15T), was derived from an antigenomic cDNA copy of the HPIV2 V94 genome and has a wt phenotype in AGMs (Nolan et al., 2007). rPIV2 differs from HPIV2 V94 by the addition of a phenotypically silent NotI restriction site in the upstream non-translated region of the N gene (HPIV2 nucleotide positions 149–156) and a silent C to T substitution at position 6265 in the coding region of the F gene (Nolan et al., 2007).
rPIV3 was constructed from HPIV3 JS strain (GenBank ID: Z11575) and differs at seven nucleotide positions: six silent changes as well as one coding change at amino acid 263 of the HN gene (Durbin et al., 1997). The HPIV3 JS strain was isolated in primary bovine embryonic kidney cells from a clinical isolate (Wash/47885/57) from an infant with lower respiratory tract illness, and the virus was subsequently biologically cloned and passaged in primary AGM or rhesus monkey kidney cells (Belshe and Hissom, 1982; Stokes et al., 1992; Stokes et al., 1993).
All three sucrose-purified virus stocks used for HAE infections were inoculated from the second low MOI passage (“working pool”) virus following plaque purification (HPIV3) or terminal dilution (HPIV1 and HPIV2) of virus recovered from cDNA. Virus titers are expressed as 50% tissue culture infectious dose (TCID50) per ml and were determined by titration on LLC-MK2 cells. LLC-MK2 cells were infected with serial 1/10 dilutions of virus at 32°C and hemadsorption with guinea pig red blood cells (gp RBCs) was performed at day 7 post-infection. Titers of sucrose-purified virus stocks were 7.7 log10 TCID50/ml (HPIV1), 8.1 log10 TCID50/ml (HPIV2), and 9.8 log10 TCID50/ml (HPIV3). The ratio between infectious viral particles and total viral particles was also calculated to confirm that the virus preparations did not have high concentrations of DI particles, as previously described (Johnston, 1981; Yount et al., 2006). To determine total particle titers in virus preparations, we used a hemagglutination (HA) assay based on the binding of gp RBCs to the external HN protein of HPIV particles. Viruses were diluted 1/2 in 0.5% gp RBCs and incubated one hour at 4°C. HA of RBCs indicates the presence of virus particles. The infectivity to HA ratios were similar for all three viruses (1.6 × 105 for HPIV1, 2.0 × 105 for HPIV2, and 3.1 × 105 for HPIV3) and indicate a low level of DI particle contamination.
Viral infection of HAE
Prior to infection, the apical surfaces of HAE cultures were washed with phosphate-buffered saline (PBS) and fresh medium was supplied to the basolateral compartments. PIVs diluted in culture medium were applied to the apical surface at a MOI of 5.0 TCID50/cell (3 × 105 cells per well) in a 200 µl inoculum. After incubation for two hours at 37°C, the inoculum was removed, and cells were washed three times for 5 min each with PBS and then incubated at 37°C. Virus and cytokines released into the apical compartment were harvested by performing apical washes with 425 µl of media for 30 min at 37°C. Basolateral samples were collected directly from the basolateral compartment, and the removed volume (500 µl out of 1 ml total volume) was replaced with fresh media. Samples were collected at 2 hours and on days 1–7 post-infection and stored at −80°C until analysis.
Cytokine measurements
Cytokine concentrations were determined using an electro-chemiluminescence multiplex system, Sector Imager 2400 from MesoScale Discovery, according to the manufacturer’s instructions. Custom human multiplex cytokine tissue culture kits (for IFN-α(2a), IL-6, IL-8, IP-10, I-TAC, MCP-1, and RANTES) and singleplex tissue culture kits for human IFN-β and human IP-10 were purchased from MesoScale. Cytokine concentrations were determined based on a standard curve generated on each plate using the manufacturer-supplied cytokine standards and analyzed using the Discovery Workbench 3.0 software (MesoScale).
Analysis of IL-6 G–174C polymorphism
Genomic DNA was isolated from HAE cells, and Custom TaqMan Genotyping Assays were designed using primer and probe sequences 5’-TAGCCTCAATGACGACCTAAGCT (forward primer), 5’-GGGCTGATTGGAAACCTTATTAAG (reverse primer), TGTCTTGCGATGCTA (VIC probe, G allele), and TGTCTTGCCATGCTA (FAM probe, C allele). Genotyping was performed using the TaqMan Universal PCR Master mix according to the manufacturer’s protocol. Samples were run on a 7900HT fast real-time PCR system and quantitative analysis was performed using SDS 2.3 software (all from Applied Biosystems).
Supplementary Material
Comparison of replication of PIV1, PIV2, and PIV3 in HAE cultures (apical wash) and in LLC-MK2 and Vero cell lines. Virus titers from HAE apical wash samples were averaged from the two donors shown in Figure 1A and are shown ± standard error. For cell lines, confluent monolayer cultures in 6-well plates were infected at a MOI of 5.0 TCID50/cell and incubated at 32°C. Aliquots of medium from each well were harvested and replaced with fresh medium at 24 h intervals and stored at −80°C until analysis. Media used for HPIV1 cultures contained 1.2% TrypLE Select, a recombinant trypsin-like protease (Gibco-Invitrogen, Inc.), to activate the HPIV1 F protein. Virus present in each sample was quantified by titration on LLC-MK2 cells and detected by hemadsorption. The mean titer (log10) and standard error for triplicate cultures infected with each virus are indicated for each time point.
Acknowledgements
We thank Susan Burkett, Sonja Surman, and Emerito Amaro-Carambot for technical assistance. We also thank the directors and teams of the UNC Cystic Fibrosis Center Tissue Culture Core, the Morphology and Morphometry Core, and the Michael Hooker Microscopy Facility for supplying reagents and technical expertise.
This work was supported by the National Institutes of Health (grant numbers R01 HL77844 to R.J.P. and 5-T32-AI007419) and the Intramural Research Program of the National Institute of Allergy and Infectious Diseases at the National Institutes of Health. The views expressed in this report are the personal opinions of the authors and are not the official opinion of the National Institutes of Health or the Department of Health and Human Services. The funders had no role in study design, data collection and analysis, decision to publish, or preparation of the manuscript.
Footnotes
Publisher's Disclaimer: This is a PDF file of an unedited manuscript that has been accepted for publication. As a service to our customers we are providing this early version of the manuscript. The manuscript will undergo copyediting, typesetting, and review of the resulting proof before it is published in its final citable form. Please note that during the production process errors may be discovered which could affect the content, and all legal disclaimers that apply to the journal pertain.
References
- Alper CM, Winther B, Hendley JO, Doyle WJ. Cytokine polymorphisms predict the frequency of otitis media as a complication of rhinovirus and RSV infections in children. Eur Arch Otorhinolaryngol. 2009;266:199–205. doi: 10.1007/s00405-008-0729-2. [DOI] [PMC free article] [PubMed] [Google Scholar]
- Bafadhel M, McKenna S, Terry S, Mistry V, Reid C, Haldar P, McCormick M, Haldar K, Kebadze T, Duvoix A, Lindblad K, Patel H, Rugman P, Dodson P, Jenkins M, Saunders M, Newbold P, Green RH, Venge P, Lomas DA, Barer MR, Johnston SL, Pavord ID, Brightling CE. Acute Exacerbations of COPD: Identification of Biological Clusters and Their Biomarkers. Am J Respir Crit Care Med. 2011 doi: 10.1164/rccm.201104-0597OC. [DOI] [PubMed] [Google Scholar]
- Bartlett EJ, Amaro-Carambot E, Surman SR, Newman JT, Collins PL, Murphy BR, Skiadopoulos MH. Human parainfluenza virus type I (HPIV1) vaccine candidates designed by reverse genetics are attenuated and efficacious in African green monkeys. Vaccine. 2005;23:4631–4646. doi: 10.1016/j.vaccine.2005.04.035. [DOI] [PubMed] [Google Scholar]
- Bartlett EJ, Cruz AM, Boonyaratanakornkit J, Esker J, Castano A, Skiadopoulos MH, Collins PL, Murphy BR, Schmidt AC. A novel human parainfluenza virus type 1 (HPIV1) with separated P and C genes is useful for generating C gene mutants for evaluation as live-attenuated virus vaccine candidates. Vaccine. 2010;28:767–779. doi: 10.1016/j.vaccine.2009.10.069. [DOI] [PMC free article] [PubMed] [Google Scholar]
- Bartlett EJ, Hennessey M, Skiadopoulos MH, Schmidt AC, Collins PL, Murphy BR, Pickles RJ. Role of interferon in the replication of human parainfluenza virus type 1 wild type and mutant viruses in human ciliated airway epithelium. J Virol. 2008;82:8059–8070. doi: 10.1128/JVI.02263-07. [DOI] [PMC free article] [PubMed] [Google Scholar]
- Becker S, Reed W, Henderson FW, Noah TL. RSV infection of human airway epithelial cells causes production of the beta-chemokine RANTES. Am J Physiol. 1997;272:L512–L520. doi: 10.1152/ajplung.1997.272.3.L512. [DOI] [PubMed] [Google Scholar]
- Belshe RB, Hissom FK. Cold adaptation of parainfluenza virus type 3: induction of three phenotypic markers. J Med Virol. 1982;10:235–242. doi: 10.1002/jmv.1890100403. [DOI] [PubMed] [Google Scholar]
- Boonyaratanakornkit J, Bartlett E, Schomacker H, Surman S, Akira S, Bae YS, Collins P, Murphy B, Schmidt A. The C proteins of human parainfluenza virus type 1 limit double-stranded RNA accumulation that would otherwise trigger activation of MDA5 and protein kinase R. J Virol. 2011;85:1495–1506. doi: 10.1128/JVI.01297-10. [DOI] [PMC free article] [PubMed] [Google Scholar]
- Boonyaratanakornkit JB, Bartlett EJ, Amaro-Carambot E, Collins PL, Murphy BR, Schmidt AC. The C proteins of human parainfluenza virus type 1 (HPIV1) control the transcription of a broad array of cellular genes that would otherwise respond to HPIV1 infection. J Virol. 2009;83:1892–1910. doi: 10.1128/JVI.01373-08. [DOI] [PMC free article] [PubMed] [Google Scholar]
- Campbell AP, Chien JW, Kuypers J, Englund JA, Wald A, Guthrie KA, Corey L, Boeckh M. Respiratory virus pneumonia after hematopoietic cell transplantation (HCT): associations between viral load in bronchoalveolar lavage samples, viral RNA detection in serum samples, and clinical outcomes of HCT. J Infect Dis. 2010;201:1404–1413. doi: 10.1086/651662. [DOI] [PMC free article] [PubMed] [Google Scholar]
- Clements ML, Belshe RB, King J, Newman F, Westblom TU, Tierney EL, London WT, Murphy BR. Evaluation of bovine, cold-adapted human, and wild-type human parainfluenza type 3 viruses in adult volunteers and in chimpanzees. J Clin Microbiol. 1991;29:1175–1182. doi: 10.1128/jcm.29.6.1175-1182.1991. [DOI] [PMC free article] [PubMed] [Google Scholar]
- do Carmo Debur M, Raboni SM, Flizikowski FB, Chong DC, Persicote AP, Nogueira MB, Rosele LV, de Almeida SM, de Noronha L. Immunohistochemical assessment of respiratory viruses in necropsy samples from lethal non-pandemic seasonal respiratory infections. J Clin Pathol. 2010;63:930–934. doi: 10.1136/jcp.2010.077867. [DOI] [PubMed] [Google Scholar]
- Doyle WJ, Casselbrant ML, Li-Korotky HS, Doyle AP, Lo CY, Turner R, Cohen S. The interleukin 6-174 C/C genotype predicts greater rhinovirus illness. J Infect Dis. 2010;201:199–206. doi: 10.1086/649559. [DOI] [PMC free article] [PubMed] [Google Scholar]
- Durbin AP, Hall SL, Siew JW, Whitehead SS, Collins PL, Murphy BR. Recovery of infectious human parainfluenza virus type 3 from cDNA. Virology. 1997;235:323–332. doi: 10.1006/viro.1997.8697. [DOI] [PubMed] [Google Scholar]
- El Feghaly RE, McGann L, Bonville CA, Branigan PJ, Suryadevera M, Rosenberg HF, Domachowske JB. Local production of inflammatory mediators during childhood parainfluenza virus infection. Pediatr Infect Dis J. 2010;29:e26–e31. doi: 10.1097/INF.0b013e3181d5da2a. [DOI] [PMC free article] [PubMed] [Google Scholar]
- Fishman D, Faulds G, Jeffery R, Mohamed-Ali V, Yudkin JS, Humphries S, Woo P. The effect of novel polymorphisms in the interleukin-6 (IL-6) gene on IL-6 transcription and plasma IL-6 levels, and an association with systemic-onset juvenile chronic arthritis. J Clin Invest. 1998;102:1369–1376. doi: 10.1172/JCI2629. [DOI] [PMC free article] [PubMed] [Google Scholar]
- Gern JE, Martin MS, Anklam KA, Shen K, Roberg KA, Carlson-Dakes KT, Adler K, Gilbertson-White S, Hamilton R, Shult PA, Kirk CJ, Da Silva DF, Sund SA, Kosorok MR, Lemanske RF., Jr Relationships among specific viral pathogens, virus-induced interleukin-8, and respiratory symptoms in infancy. Pediatr Allergy Immunol. 2002;13:386–393. doi: 10.1034/j.1399-3038.2002.01093.x. [DOI] [PubMed] [Google Scholar]
- Groom JR, Luster AD. CXCR3 in T cell function. Exp Cell Res. 2011;317:620–631. doi: 10.1016/j.yexcr.2010.12.017. [DOI] [PMC free article] [PubMed] [Google Scholar]
- Hall CB, Douglas RG, Jr, Simons RL, Geiman JM. Interferon production in children with respiratory syncytial, influenza, and parainfluenza virus infections. J Pediatr. 1978;93:28–32. doi: 10.1016/s0022-3476(78)80594-0. [DOI] [PubMed] [Google Scholar]
- Ioannidis I, McNally B, Willette M, Peeples ME, Chaussabel D, Durbin JE, Ramilo O, Mejias A, Flano E. Plasticity and Virus Specificity of the Airway Epithelial Cell Immune Response during Respiratory Virus Infection. J Virol. 2012;86:5422–5436. doi: 10.1128/JVI.06757-11. [DOI] [PMC free article] [PubMed] [Google Scholar]
- Johnson JE, Gonzales RA, Olson SJ, Wright PF, Graham BS. The histopathology of fatal untreated human respiratory syncytial virus infection. Mod Pathol. 2007;20:108–119. doi: 10.1038/modpathol.3800725. [DOI] [PubMed] [Google Scholar]
- Johnston MD. The characteristics required for a Sendai virus preparation to induce high levels of interferon in human lymphoblastoid cells. J Gen Virol. 1981;56:175–184. doi: 10.1099/0022-1317-56-1-175. [DOI] [PubMed] [Google Scholar]
- Karron RA, Collins PL. Chapter 42. Parainfluenza Viruses. In: Knipe DM, Howley PM, editors. Fields Virology. Fifth ed. Philadelphia: Lippincott Williams & Wilkins; 2007. pp. 1497–1526. [Google Scholar]
- Karron RA, Wright PF, Crowe JE, Jr, Clements ML, Thompson J, Makhene M, Casey R, Murphy BR. Evaluation of two live, cold-passaged, temperature-sensitive respiratory syncytial virus (RSV) vaccines in chimpanzees, adults, infants and children. J. Infect. Dis. 1997;176:1428–1436. doi: 10.1086/514138. [DOI] [PubMed] [Google Scholar]
- Kristjansson S, Bjarnarson SP, Wennergren G, Palsdottir AH, Arnadottir T, Haraldsson A, Jonsdottir I. Respiratory syncytial virus and other respiratory viruses during the first 3 months of life promote a local TH2-like response. J Allergy Clin Immunol. 2005;116:805–811. doi: 10.1016/j.jaci.2005.07.012. [DOI] [PubMed] [Google Scholar]
- Larranaga CL, Ampuero SL, Luchsinger VF, Carrion FA, Aguilar NV, Morales PR, Palomino MA, Tapia LF, Avendano LF. Impaired immune response in severe human lower tract respiratory infection by respiratory syncytial virus. Pediatr Infect Dis J. 2009;28:867–873. doi: 10.1097/INF.0b013e3181a3ea71. [DOI] [PubMed] [Google Scholar]
- Le Nouen C, Munir S, Losq S, Winter CC, McCarty T, Stephany DA, Holmes KL, Bukreyev A, Rabin RL, Collins PL, Buchholz UJ. Infection and maturation of monocyte-derived human dendritic cells by human respiratory syncytial virus, human metapneumovirus, and human parainfluenza virus type 3. Virology. 2009;385:169–182. doi: 10.1016/j.virol.2008.11.043. [DOI] [PMC free article] [PubMed] [Google Scholar]
- Loetscher P, Pellegrino A, Gong JH, Mattioli I, Loetscher M, Bardi G, Baggiolini M, Clark-Lewis I. The ligands of CXC chemokine receptor 3, I-TAC, Mig, and IP10, are natural antagonists for CCR3. J Biol Chem. 2001;276:2986–2991. doi: 10.1074/jbc.M005652200. [DOI] [PubMed] [Google Scholar]
- Madden JF, Burchette JL, Jr, Hale LP. Pathology of parainfluenza virus infection in patients with congenital immunodeficiency syndromes. Hum Pathol. 2004;35:594–603. doi: 10.1016/j.humpath.2003.11.012. [DOI] [PubMed] [Google Scholar]
- Marx A, Torok TJ, Holman RC, Clarke MJ, Anderson LJ. Pediatric hospitalizations for croup (laryngotracheobronchitis): biennial increases associated with human parainfluenza virus 1 epidemics. J Infect Dis. 1997;176:1423–1427. doi: 10.1086/514137. [DOI] [PubMed] [Google Scholar]
- McNamara PS, Flanagan BF, Hart CA, Smyth RL. Production of chemokines in the lungs of infants with severe respiratory syncytial virus bronchiolitis. J Infect Dis. 2005;191:1225–1232. doi: 10.1086/428855. [DOI] [PubMed] [Google Scholar]
- Mellow TE, Murphy PC, Carson JL, Noah TL, Zhang L, Pickles RJ. The effect of respiratory synctial virus on chemokine release by differentiated airway epithelium. Exp Lung Res. 2004;30:43–57. doi: 10.1080/01902140490252812. [DOI] [PubMed] [Google Scholar]
- Murphy BR, Richman DD, Chalhub EG, Uhlendorf CP, Baron S, Chanock RM. Failure of attenuated temperature-sensitive influenza A (H3N2) virus to induce heterologous interference in humans to parainfluenza type 1 virus. Infect Immun. 1975;12:62–68. doi: 10.1128/iai.12.1.62-68.1975. [DOI] [PMC free article] [PubMed] [Google Scholar]
- Nair H, Nokes DJ, Gessner BD, Dherani M, Madhi SA, Singleton RJ, O'Brien KL, Roca A, Wright PF, Bruce N, Chandran A, Theodoratou E, Sutanto A, Sedyaningsih ER, Ngama M, Munywoki PK, Kartasasmita C, Simoes EA, Rudan I, Weber MW, Campbell H. Global burden of acute lower respiratory infections due to respiratory syncytial virus in young children: a systematic review and meta-analysis. Lancet. 2010;375:1545–1555. doi: 10.1016/S0140-6736(10)60206-1. [DOI] [PMC free article] [PubMed] [Google Scholar]
- Noah TL, Henderson FW, Wortman IA, Devlin RB, Handy J, Koren HS, Becker S. Nasal cytokine production in viral acute upper respiratory infection of childhood. J Infect Dis. 1995;171:584–592. doi: 10.1093/infdis/171.3.584. [DOI] [PubMed] [Google Scholar]
- Nolan SM, Skiadopoulos MH, Bradley K, Kim OS, Bier S, Amaro-Carambot E, Surman SR, Davis S, St Claire M, Elkins R, Collins PL, Murphy BR, Schaap-Nutt A. Recombinant human parainfluenza virus type 2 vaccine candidates containing a 3' genomic promoter mutation and L polymerase mutations are attenuated and protective in non-human primates. Vaccine. 2007;25:6409–6422. doi: 10.1016/j.vaccine.2007.06.028. [DOI] [PMC free article] [PubMed] [Google Scholar]
- Oshansky CM, Barber JP, Crabtree J, Tripp RA. Respiratory syncytial virus F and G proteins induce interleukin 1alpha, CC, and CXC chemokine responses by normal human bronchoepithelial cells. J Infect Dis. 2010;201:1201–1207. doi: 10.1086/651431. [DOI] [PMC free article] [PubMed] [Google Scholar]
- Palermo LM, Porotto M, Yokoyama CC, Palmer SG, Mungall BA, Greengard O, Niewiesk S, Moscona A. Human parainfluenza virus infection of the airway epithelium: viral hemagglutinin-neuraminidase regulates fusion protein activation and modulates infectivity. J Virol. 2009;83:6900–6908. doi: 10.1128/JVI.00475-09. [DOI] [PMC free article] [PubMed] [Google Scholar]
- Pickles RJ, McCarty D, Matsui H, Hart PJ, Randell SH, Boucher RC. Limited entry of adenovirus vectors into well-differentiated airway epithelium is responsible for inefficient gene transfer. J Virol. 1998;72:6014–6023. doi: 10.1128/jvi.72.7.6014-6023.1998. [DOI] [PMC free article] [PubMed] [Google Scholar]
- Sallusto F, Lanzavecchia A, Mackay CR. Chemokines and chemokine receptors in T-cell priming and Th1/Th2-mediated responses. Immunol Today. 1998;19:568–574. doi: 10.1016/s0167-5699(98)01346-2. [DOI] [PubMed] [Google Scholar]
- Schaap-Nutt A, D'Angelo C, Amaro-Carambot E, Nolan SM, Davis S, Wise SM, Higgins C, Bradley K, Kim O, Mayor R, Skiadopoulos MH, Collins PL, Murphy BR, Schmidt AC. Recombinant human parainfluenza virus type 2 with mutations in V that permit cellular interferon signaling are not attenuated in non-human primates. Virology. 2010a;406:65–79. doi: 10.1016/j.virol.2010.07.011. [DOI] [PMC free article] [PubMed] [Google Scholar]
- Schaap-Nutt A, D'Angelo C, Scull MA, Amaro-Carambot E, Nishio M, Pickles RJ, Collins PL, Murphy BR, Schmidt AC. Human parainfluenza virus type 2 V protein inhibits interferon production and signaling and is required for replication in non-human primates. Virology. 2010b;397:285–298. doi: 10.1016/j.virol.2009.11.018. [DOI] [PMC free article] [PubMed] [Google Scholar]
- Schaap-Nutt A, Higgins C, Amaro-Carambot E, Nolan SM, D'Angelo C, Murphy BR, Collins PL, Schmidt AC. Identification of human parainfluenza virus type 2 (HPIV-2) V protein amino acid residues that reduce binding of V to MDA5 and attenuate HPIV-2 replication in nonhuman primates. J Virol. 2011;85:4007–4019. doi: 10.1128/JVI.02542-10. [DOI] [PMC free article] [PubMed] [Google Scholar]
- Schaap-Nutt A, Scull MA, Schmidt AC, Murphy BR, Pickles RJ. Growth restriction of an experimental live attenuated human parainfluenza virus type 2 vaccine in human ciliated airway epithelium in vitro parallels attenuation in African green monkeys. Vaccine. 2010c;28:2788–2798. doi: 10.1016/j.vaccine.2010.01.050. [DOI] [PMC free article] [PubMed] [Google Scholar]
- Schomacker H, Hebner RM, Boonyaratanakornkit J, Surman S, Amaro-Carambot E, Collins PL, Schmidt AC. The C proteins of human parainfluenza virus type 1 block IFN signaling by binding and retaining Stat1 in perinuclear aggregates at the late endosome. PLoS One. 2012;7:e28382. doi: 10.1371/journal.pone.0028382. [DOI] [PMC free article] [PubMed] [Google Scholar]
- Silver JS, Hunter CA. gp130 at the nexus of inflammation, autoimmunity, and cancer. J Leukoc Biol. 2010;88:1145–1156. doi: 10.1189/jlb.0410217. [DOI] [PMC free article] [PubMed] [Google Scholar]
- Skiadopoulos MH, Vogel L, Riggs JM, Surman SR, Collins PL, Murphy BR. The genome length of human parainfluenza virus type 2 follows the rule of six, recombinant viruses recovered from non-polyhexameric-length antigenomic cDNAs contain a biased distribution of correcting mutations. J Virol. 2003;77:270–279. doi: 10.1128/JVI.77.1.270-279.2003. [DOI] [PMC free article] [PubMed] [Google Scholar]
- Smith CB, Purcell RH, Bellanti JA, Chanock RM. Protective effect of antibody to parainfluenza type 1 virus. N Engl J Med. 1966;275:1145–1152. doi: 10.1056/NEJM196611242752101. [DOI] [PubMed] [Google Scholar]
- Srinivasan A, Wang C, Yang J, Shenep JL, Leung WH, Hayden RT. Symptomatic Parainfluenza Virus Infections in Children Undergoing Hematopoietic Stem Cell Transplantation. Biol Blood Marrow Transplant. 2011 doi: 10.1016/j.bbmt.2011.03.001. [DOI] [PMC free article] [PubMed] [Google Scholar]
- Stokes A, Tierney EL, Murphy BR, Hall SL. The complete nucleotide sequence of the JS strain of human parainfluenza virus type 3: comparison with the Wash/47885/57 prototype strain [published erratum appears in Virus Res 1993 Jan;27(1):96] Virus Res. 1992;25:91–103. doi: 10.1016/0168-1702(92)90102-f. [DOI] [PubMed] [Google Scholar]
- Stokes A, Tierney EL, Sarris CM, Murphy BR, Hall SL. The complete nucleotide sequence of two cold-adapted, temperature- sensitive attenuated mutant vaccine viruses (cp12 and cp45) derived from the JS strain of human parainfluenza virus type 3 (PIV3) Virus Res. 1993;30:43–52. doi: 10.1016/0168-1702(93)90014-e. [DOI] [PubMed] [Google Scholar]
- Sumino KC, Walter MJ, Mikols CL, Thompson SA, Gaudreault-Keener M, Arens MQ, Agapov E, Hormozdi D, Gaynor AM, Holtzman MJ, Storch GA. Detection of respiratory viruses and the associated chemokine responses in serious acute respiratory illness. Thorax. 2010;65:639–644. doi: 10.1136/thx.2009.132480. [DOI] [PMC free article] [PubMed] [Google Scholar]
- Tao T, Skiadopoulos MH, Davoodi F, Riggs JM, Collins PL, Murphy BR. Replacement of the ectodomains of the hemagglutinin-neuraminidase and fusion glycoproteins of recombinant parainfluenza virus type 3 (PIV3) with their counterparts from PIV2 yields attenuated PIV2 vaccine candidates. J Virol. 2000;74:6448–6458. doi: 10.1128/jvi.74.14.6448-6458.2000. [DOI] [PMC free article] [PubMed] [Google Scholar]
- Tremonti LP, Lin JS, Jackson GG. Neutralizing activity in nasal secretions and serum in resistance of volunteers to parainfluenza virus type 2. J Immunol. 1968;101:572–577. [PubMed] [Google Scholar]
- Utokaparch S, Marchant D, Gosselink JV, McDonough JE, Thomas EE, Hogg JC, Hegele RG. The relationship between respiratory viral loads and diagnosis in children presenting to a pediatric hospital emergency department. Pediatr Infect Dis J. 2011;30:e18–e23. doi: 10.1097/INF.0b013e3181ff2fac. [DOI] [PubMed] [Google Scholar]
- Van Cleve W, Amaro-Carambot E, Surman SR, Bekisz J, Collins PL, Zoon KC, Murphy BR, Skiadopoulos MH, Bartlett EJ. Attenuating mutations in the P/C gene of human parainfluenza virus type 1 (HPIV1) vaccine candidates abrogate the inhibition of both induction and signaling of type I interferon (IFN) by wild-type HPIV1. Virology. 2006;352:61–73. doi: 10.1016/j.virol.2006.04.011. [DOI] [PubMed] [Google Scholar]
- Vieira RA, Diniz EM, Ceccon ME. Correlation between inflammatory mediators in the nasopharyngeal secretion and in the serum of children with lower respiratory tract infection caused by respiratory syncytial virus and disease severity. J Bras Pneumol. 2010;36:59–66. doi: 10.1590/s1806-37132010000100011. [DOI] [PubMed] [Google Scholar]
- Wang J, Nikrad MP, Phang T, Gao B, Alford T, Ito Y, Edeen K, Travanty EA, Kosmider B, Hartshorn K, Mason RJ. Innate Immune Response to Influenza A Virus in Differentiated Human Alveolar Type II cells. Am J Respir Cell Mol Biol. 2011 doi: 10.1165/rcmb.2010-0108OC. [DOI] [PMC free article] [PubMed] [Google Scholar]
- Weinberg GA, Hall CB, Iwane MK, Poehling KA, Edwards KM, Griffin MR, Staat MA, Curns AT, Erdman DD, Szilagyi PG. Parainfluenza virus infection of young children: estimates of the population-based burden of hospitalization. J Pediatr. 2009;154:694–699. doi: 10.1016/j.jpeds.2008.11.034. [DOI] [PubMed] [Google Scholar]
- Welliver TP, Reed JL, Welliver RC., Sr Respiratory syncytial virus and influenza virus infections: observations from tissues of fatal infant cases. Pediatr Infect Dis J. 2008;27:S92–S96. doi: 10.1097/INF.0b013e318168b706. [DOI] [PubMed] [Google Scholar]
- Xanthou G, Duchesnes CE, Williams TJ, Pease JE. CCR3 functional responses are regulated by both CXCR3 and its ligands CXCL9, CXCL10 and CXCL11. Eur J Immunol. 2003;33:2241–2250. doi: 10.1002/eji.200323787. [DOI] [PubMed] [Google Scholar]
- Xie JH, Nomura N, Lu M, Chen SL, Koch GE, Weng Y, Rosa R, Di Salvo J, Mudgett J, Peterson LB, Wicker LS, DeMartino JA. Antibody-mediated blockade of the CXCR3 chemokine receptor results in diminished recruitment of T helper 1 cells into sites of inflammation. J Leukoc Biol. 2003;73:771–780. doi: 10.1189/jlb.1102573. [DOI] [PubMed] [Google Scholar]
- Yount JS, Kraus TA, Horvath CM, Moran TM, Lopez CB. A novel role for viral-defective interfering particles in enhancing dendritic cell maturation. J Immunol. 2006;177:4503–4513. doi: 10.4049/jimmunol.177.7.4503. [DOI] [PubMed] [Google Scholar]
- Zhang L, Bukreyev A, Thompson CI, Watson B, Peeples ME, Collins PL, Pickles RJ. Infection of ciliated cells by human parainfluenza virus type 3 in an in vitro model of human airway epithelium. J Virol. 2005;79:1113–1124. doi: 10.1128/JVI.79.2.1113-1124.2005. [DOI] [PMC free article] [PubMed] [Google Scholar]
- Zhang L, Collins PL, Lamb RA, Pickles RJ. Comparison of differing cytopathic effects in human airway epithelium of parainfluenza virus 5 (W3A), parainfluenza virus type 3, and respiratory syncytial virus. Virology. 2011;421:67–77. doi: 10.1016/j.virol.2011.08.020. [DOI] [PMC free article] [PubMed] [Google Scholar]
Associated Data
This section collects any data citations, data availability statements, or supplementary materials included in this article.
Supplementary Materials
Comparison of replication of PIV1, PIV2, and PIV3 in HAE cultures (apical wash) and in LLC-MK2 and Vero cell lines. Virus titers from HAE apical wash samples were averaged from the two donors shown in Figure 1A and are shown ± standard error. For cell lines, confluent monolayer cultures in 6-well plates were infected at a MOI of 5.0 TCID50/cell and incubated at 32°C. Aliquots of medium from each well were harvested and replaced with fresh medium at 24 h intervals and stored at −80°C until analysis. Media used for HPIV1 cultures contained 1.2% TrypLE Select, a recombinant trypsin-like protease (Gibco-Invitrogen, Inc.), to activate the HPIV1 F protein. Virus present in each sample was quantified by titration on LLC-MK2 cells and detected by hemadsorption. The mean titer (log10) and standard error for triplicate cultures infected with each virus are indicated for each time point.


