Abstract
Many pathogenic structural variants of the human genome are known to cause facial dysmorphism. During the past decade, pathogenic structural variants have also been found to be an important class of genetic risk factor for epilepsy. In other fields, face shape has been assessed objectively using 3D stereophotogrammetry and dense surface models. We hypothesized that computer-based analysis of 3D face images would detect subtle facial abnormality in people with epilepsy who carry pathogenic structural variants as determined by chromosome microarray. In 118 children and adults attending three European epilepsy clinics, we used an objective measure called Face Shape Difference to show that those with pathogenic structural variants have a significantly more atypical face shape than those without such variants. This is true when analysing the whole face, or the periorbital region or the perinasal region alone. We then tested the predictive accuracy of our measure in a second group of 63 patients. Using a minimum threshold to detect face shape abnormalities with pathogenic structural variants, we found high sensitivity (4/5, 80% for whole face; 3/5, 60% for periorbital and perinasal regions) and specificity (45/58, 78% for whole face and perinasal regions; 40/58, 69% for periorbital region). We show that the results do not seem to be affected by facial injury, facial expression, intellectual disability, drug history or demographic differences. Finally, we use bioinformatics tools to explore relationships between facial shape and gene expression within the developing forebrain. Stereophotogrammetry and dense surface models are powerful, objective, non-contact methods of detecting relevant face shape abnormalities. We demonstrate that they are useful in identifying atypical face shape in adults or children with structural variants, and they may give insights into the molecular genetics of facial development.
Keywords: epilepsy, dysmorphism, structural variants, genomics, dense surface models
Introduction
Human face shape is strongly influenced by genetic factors. Studies in twins, siblings and populations show significant heritability for craniofacial dimensions (Kohn, 1991; Martínez-Abadías et al., 2009). Conversely, 30–40% of genetic disorders have craniofacial manifestations (Hart and Hart, 2009). Some of these disorders are caused by pathogenic genomic rearrangements or pathogenic structural variants that comprise duplications, deletions, inversions and translocations (Winter, 1996; Slavotinek, 2008). Many such syndromes have a characteristic facial ‘gestalt’ that is important in clinical genetic diagnosis and management (Hennekam et al., 2010). Traditionally, karyotyping has been used to identify large structural variants.
The advent of next-generation sequencing and chromosome microarrays, comprising single nucleotide polymorphism genotyping or array comparative genomic hybridization, has allowed detection of smaller novel pathogenic structural variants (Alkan et al., 2011), which are being increasingly recognized as an important contributor to neurological and psychiatric disorders, such as epilepsy. Collectively, pathogenic structural variants are currently the most common known genetic risk factor for epilepsy, being present in 4–5% of individuals with the condition (Sisodiya and Mefford, 2011). They are implicated in different types of epilepsy (de Kovel et al., 2009; Dibbens et al., 2009; Helbig et al., 2009; Heinzen et al., 2010; Striano et al., 2012; Galizia et al., 2012), including those previously ascribed to structural changes, such as hippocampal sclerosis (Catarino et al., 2011). Individual pathogenic structural variants are also associated with a range of neurological, psychiatric and other illnesses (Girirajan and Eichler, 2010). For example, the 15q13.3 microdeletion has been linked with autism (Miller et al., 2009), schizophrenia (Stefansson et al., 2008), epilepsy (Helbig et al., 2009) and intellectual disability with facial dysmorphism (Sharp et al., 2008).
Identifying genomic changes improves clinical management. In a study of an adult clinical genetics service, a genetic or genomic diagnosis led to appropriate specialty referral, better symptom management, diagnosis-specific preventive care, prenatal and family testing, recurrence risk information and referral to support organizations (Maves et al., 2007). In epilepsy, testing may end the ‘diagnostic odyssey’ and assist in management (Ottman et al., 2010; Kasperavičiūt ė et al., 2011). However, although newer genetic techniques may sometimes reveal an underlying cause, the amount of data emerging from such newer methods, and the current comparative lack of control data, can make interpretation difficult, for example, which variant, if any, in an individual’s genetic data set is relevant (Buysse et al., 2009; Vermeesch et al., 2011), and which may simply be irrelevant or a rare polymorphism? Additional phenotyping might assist in establishing the significance of detected variants (Hennekam and Biesecker, 2012).
Face shape analysis may be able to help identify people with underlying genetic abnormalities, including pathogenic structural variants, particularly in those with neurological and psychiatric disorders, and could, thus, also help in interpretation of genetic findings. The ready identification of Down syndrome by recognition of its facial gestalt is one familiar example. Embryologically, face and forebrain precursors develop closely together and activate similar genetic pathways (Marcucio et al., 2011). Neural crest cells, derived from neural ectoderm, are primarily responsible for facial morphogenesis and are dependent on signals from the developing forebrain (Cordero et al., 2011). Clinically, disturbances of early craniofacial development are associated with brain abnormalities, in disorders such as cleft lip/palate or schizophrenia (Waddington et al., 1999; Nopoulos et al., 2002).
A powerful basis for investigating facial shape is 3D stereophotogrammetry, which allows for rapid, accurate, non-contact capture of face images, generating surfaces available for further analysis. The technique has been used in orthodontics (Lane and Harrell, 2008), forensic science (Evison et al., 2010), dysmorphology (Hammond, 2007) and to study variation across ethnic groups (Kau et al., 2010). Dense surface modelling is a statistical method that can be used to analyse surface images, for example, to discriminate between well-known genomic disorders, including Williams syndrome, Smith–Magenis syndrome, 22q11 deletion syndrome, Noonan syndrome, Fabry disease and Cornelia de Lange syndrome (Hammond et al., 2005; Cox-Brinkman et al., 2007). It has also been used to detect previously unrecognized facial dysmorphism in Bardet–Biedl syndrome, which is thought to be caused by defects in genetic pathways affecting neural crest cell migration (Tobin et al., 2008). A similar morphometric approach using laser surface imaging has identified subtle facial abnormalities in individuals with schizophrenia and bipolar disorder (Hennessy et al., 2007, 2010).
Pathogenic structural variants contributing to neurological and psychiatric diseases may also affect facial shape, either directly or by affecting brain structure or function. We hypothesized that, among people with epilepsy, dense surface models can distinguish between those who do or do not have pathogenic structural variants. We explored this using an objective measure of face shape variation, called face shape difference (FSD), in three different regions of the face. We used this measure to predict the presence or absence of pathogenic structural variants in a second group of people with epilepsy. We then investigated factors that underlie or contribute to facial shape and excluded a number of potential confounders. As changes in facial shape related to pathogenic structural variants may be subtle and missed by clinicians caring for people with neuropsychiatric conditions (Galizia et al., 2012), adjuncts to diagnosis may be helpful.
Subjects and methods
The study was approved by the relevant ethics committees or institutional review boards. Written informed consent was obtained from study participants or informed assent was obtained from parents in accordance with local requirements and national standards.
Patients
Patients were recruited in two phases over a period of 2 years. In the first phase, a training cohort of children and adults was recruited at the National Hospital for Neurology and Neurosurgery (UK), Meyer Children’s Hospital (Italy), Erasmus Hospital (Belgium) and University Hospital Gasthuisberg (Belgium). All adults had a diagnosis of epilepsy, made or reviewed by an epileptologist. Children were recruited if they were being investigated for epilepsy or if they had a diagnosis of epilepsy by a paediatric neurologist. People with known Mendelian epilepsy disorders or known chromosome imbalances were excluded.
In the second phase, during the following year, a validation sample of individuals with epilepsy from the same institutions was analysed after image capture and chromosome microarray analysis. They were included in a second set of face shape models and were used to determine the accuracy of the technique. These images were analysed and landmarked with the operator blinded to the results of the chromosome microarray analysis. All were patients in whom chromosome microarray testing had been requested independently of this study.
All participants were white Europeans. Non-Europeans were excluded from analysis because of insufficient ethnically matched control subjects. Participants who were outside the age range to have sufficient age-matched control subjects for comparison (<2 years; >52 years for male subjects or >54 years for female subjects) were also excluded. Medical records were reviewed for further information. Brain MRI results were categorized as normal, normal with incidental findings or abnormal based on clinical reporting by an experienced neuroradiologist. Intellectual disability was determined from neuropsychology reports, full-scale or verbal intelligence quotient (IQ) scores and clinical documentation of level of functioning in daily activities (Salvador-Carulla et al., 2011). Because of the difficulty of accurate retrospective assessment of intellectual disability, especially in cases without formal neuropsychometry, only the following three categories were used: normal/mild, moderate or severe/profound; applying the definitions used for the same terms in the International Classification of Diseases, 10th Revision (World Health Organization, 1992). For adults, the earliest available neuropsychometric and clinical records were used to minimize confounding from potential effects on intellectual performance of chronic epilepsy, medical and surgical treatments and neurodegeneration.
Control subjects
All patients’ face surfaces were compared with a group of control subjects’ face surfaces to calculate FSD. All of the control subjects were also white Europeans. They were recruited as volunteers, unaffected relatives of patients or healthy infants attending a routine postnatal clinic, from the UCL Institute of Child Health (London, UK). Control subjects had no known syndrome, previous craniofacial surgery or trauma. Control subjects had not been tested using chromosome microarrays, but as pathogenic structural variants are individually rare even in populations enriched for them and even less common in healthy individuals (Helbig et al., 2009; Itsara et al., 2009; Heinzen et al., 2010), it is unlikely that bias resulted from lack of screening in control subjects.
Pathogenic structural variant detection
Patients were included if they had undergone array comparative genomic hybridization as part of research or clinical workup, or they had had genome-wide genotyping of single nucleotide polymorphisms. We collectively refer to these methods as ‘chromosome microarrays’ after Mefford et al. (2012).
Oligonucleotide array comparative genomic hybridization was performed using the Nimblegen 135 K microarray (Roche Nimblegen) or Agilent 44 K/60 K/75 K/105 K microarrays (Agilent Technologies) in an accredited clinical laboratory in accordance with manufacturer’s instructions. Additional fluorescence in situ hybridization and/or karyotyping were performed in some cases. The laboratory determined whether a detected structural variant was pathogenic by comparison with public and internal databases.
For some individuals, pathogenic structural variants were identified using genome-wide single nucleotide polymorphism data as previously published (Heinzen et al., 2010): in brief, structural variants were deemed to be pathogenic if they were >1 Mb in size or if found in specific regions known to be associated with epilepsy.
We acknowledge that debate continues about methods for determining the clinical significance of structural variants (Vermeesch et al., 2011). For our purposes here, one of the standardized methods aforementioned was used to determine if people had pathogenic structural variants. Our aim was not to discover pathogenic structural variants per se, but to determine the utility of face shape analysis with respect to these predetermined pathogenic structural variants. To investigate whether our arbitrary threshold of 1Mb affected our results, we repeated the analysis using thresholds of 500 kb and 250 kb. Standard quality control measures were still applied as before (Heinzen et al., 2010).
Bioinformatic analysis
Gene content in pathogenic structural variants was determined using the University of California, Santa Cruz Genome Browser (http://genome.ucsc.edu, hg version 18), accessed through the Genetic Diseases/Gene Discovery interface (http://gedi.ci.uchicago.edu/). Gene expression levels in the human foetal forebrain were acquired from the Human Brain Transcriptome database (http://hbatlas.org/). We noted only the peak level of expression in the human forebrain, between 50 and 200 days gestation. Gene expression in the forebrain was noted to be present if signal intensity was >10 (log2 scale), and the number of such genes within a given pathogenic structural variant was counted.
Image capture
For all patients, 3D face images were captured with a commercial stereophotogrammetric device (Vectra CR 3D; Canfield Scientific). For control subjects, images were captured using the MU2 commercial camera (3dMD) and the Vectra CR 3D. There is no significant difference between face images captured on different stereophotogrammetric cameras (Weinberg et al., 2006), and multiple cameras have been used in previous studies (Hammond et al., 2005).
Face images were captured with the subjects seated, facing directly towards the camera and with the face and chin fully uncovered. A bright target was used to direct gaze, and up to three images were taken with the subject’s face as close to a neutral expression as possible.
Image review and landmarking
A physician (J.N.) reviewed all patient images for any visible acquired face deformity, and those patients were later excluded from the relevant face shape model(s) in a sensitivity analysis. One operator (K.C.), always blinded to genomic data, manually annotated each patient image with 22 facial landmarks, termed ‘landmarking’ (Supplementary Table 1). The chosen landmarks have been previously shown to be accurate and reproducible (Gwilliam et al., 2006; Toma et al., 2009). Control subject images were annotated previously by another operator (P.H.). We assessed intra- and inter-operator reproducibility in this study by randomly selecting 20 images, which were landmarked twice. Mean landmark error was <1.5 mm (Supplementary Table 2), and intra-class correlation coefficients were 0.999–1.000. For further details, see Supplementary material.
Dense surface modelling
Dense surface modelling, described previously (Hutton et al., 2003; Hammond, 2007), uses custom in-house software (ShapeFind; UCL, London, UK) to create a ‘dense surface model’ of the face by co-registration of landmarked images and the interpolation of densely corresponded points (Supplementary Fig. 1). The resulting surfaces are described by a set of principal components that can collectively describe >99% of the shape variation (Supplementary Fig. 2). For further details, see Supplementary material.
The following three models were created from control subjects and the training cohort together: for the whole face (Face1), the periorbital region only (Eyes1) or the perinasal region only (Nose1), using pre-existing templates (Fig. 1; Hammond et al., 2005). Three further models (Face2, Eyes2, Nose2) were generated subsequently by addition of the validation cohort to the original control subjects and the training cohort. In this second model set, only the validation cohort was used to retest the FSD threshold.
Figure 1.
Dense surface models of the face. Three regions of the face were used as base meshes to restrict the extent of the models. The upper image is also annotated with the landmarks used in model construction. The perinasal and periorbital regions are shown on the bottom left and bottom right, respectively. Landmarks A–F are in the midline. Landmarks 1–8 are paired and only shown for the right side of the face. They are as follows: A = nasion; B = pronasale; C = subnasale; D = labiale superius; E = labiale inferius; F = gnathion; 1 = exocanthion; 2 = palpebrale superius; 3 = endocanthion; 4 = palpebrale inferius; 5 = ala nasi; 6 = christa philtri; 7 = cheilion; 8 = lower auricular attachment. Landmark 8 is applied to all unprocessed face surface images, but the ears are omitted from the base mesh because of variable loss of surface at the image periphery because of occluding hair.
Face shape difference
We matched every patient to the 30 closest sex-matched control subjects by age using contiguous running means. We then calculated the distance between each face and its matched mean control face in terms of the square root of the sum of squared differences of the respective principal components. This was called FSD and can be expressed algebraically as follows:
![]() |
where
indexes the
principal components capturing 99% shape variation in dense surface model
,
is an arbitrary face and
is its matched mean in
. FSD provides a simple measure of the difference in face shape between a patient and their matched control mean in the model. An FSD value is not an absolute measurement: a given FSD value is always ≥0, and it can only be compared with FSD values for other faces in the same model, because it is dependent on the underlying model whose principal components in turn reflect the faces analysed. FSD is measured in arbitrary units, and there are no predetermined values or thresholds for ‘normal’ shape. Principal components and FSD have been used previously (Hammond et al., 2004, 2008).
The validity of FSD as a predictor of an underlying pathogenic structural variant was tested in the second cohort as follows: first, we demonstrated a linear relationship with strong positive correlation between FSD values in corresponding models of the same region of the face but with different composition of subjects (Face1 to Face2, Eyes1 to Eyes2 and Nose1 to Nose2). Then we used simple linear regression using least squares to quantify the exact relationship between FSD values in the corresponding models. Finally, we determined FSD threshold values with a chosen sensitivity and specificity in each of the original models (Face1, Eyes1, Nose1) and converted the values into equivalent inferred FSD threshold values in the second set of models (Face2, Eyes2, Nose2). These threshold values were then used to predict the presence or absence of pathogenic structural variants in the validation cohort. We then tested the prediction against laboratory results for presence or absence of pathogenic structural variants.
Statistical methods
As the data were not normally distributed, we used the Mann–Whitney test with the null hypothesis that, in people with epilepsy, FSD was not different between those with pathogenic structural variants and those without pathogenic structural variants for the face, periorbital or perinasal areas. For data on ethnicity and intellectual disability, with >2 categories, the Kruskal–Wallis test was used. A receiver operating characteristic curve was calculated to assess sensitivity and specificity of the models. Fisher’s exact test was performed for differences in categorical data. For correlation, the intra-class correlation coefficient was used to compare repeated measurements and Spearman’s rank correlation coefficient for other data (weak correlation if 0.25 ≤ ρ < 0.5, moderate if 0.5 ≤ ρ < 0.75, strong if 0.75 ≤ ρ < 0.90, very strong if 0.90 ≤ ρ < 1.00). A P-value < 0.05 was considered significant. Bonferroni correction was applied for multiple comparisons. Analysis was conducted using SPSS version 20 software (SPSS Inc.).
Results
Subject population
The training cohort consisted of 148 individuals with epilepsy. Twenty-four were excluded due to lack of sufficient age-matched control subjects, and a further six were excluded because of lack of ethnically matched control subjects for comparison (Table 1), leaving 118 patients. Of these, 74 (63%) underwent genome-wide single nucleotide polymorphism array, with the remainder undergoing array comparative genomic hybridization with or without fluorescent in situ hybridization/karyotyping. Thirty-eight patients had pathogenic structural variants; this subset was compared with the remaining 80 without pathogenic structural variants. Those with pathogenic structural variants were younger, but age-matching accounts for this in all analyses. To create the models and calculate FSD, we added the face surfaces of 388 control subjects.
Table 1.
Subject recruitment
| Variable or measure | Patients with pathogenic structural variants | Patients without pathogenic structural variants | Control subjects |
|---|---|---|---|
| Training cohort | 42 | 106 | NA |
| Excluded because of age; n (%) | 2 (4.8) | 22 (20.8) | – |
| Excluded because of ethnicity; n (%) | 2 (4.8) | 4 (3.7) | – |
| Number included; n (%) | 38 (90.4) | 80 (75.5) | – |
| Validation cohort | 6 | 75 | NA |
| Excluded because of age; n (%) | 0 | 11 (14.7) | – |
| Excluded because of ethnicitiy; n (%) | 1 (16.7) | 6 (8.0) | – |
| Number included; n (%) | 5 (83.3) | 58 (77.3) | – |
| Total number included in study | 43 | 138 | 388 |
| Age; mean age, years (range) | 25.8 (3.3–53.9) | 38.8 (2.8–56.3) | 21.3 (2.4–53.2) |
| Adults aged > 18 years; n (%) | 29 (67) | 135 (98) | 207 (53) |
| Male subjects; n (%) | 23 (53) | 54 (39) | 196 (51) |
| MRI findings; n (%) | |||
| Normal | 16 (37) | 51 (37) | |
| Incidental findings | 2 (5) | 8 (6) | |
| Abnormal | 19 (44) | 75 (54) | |
| Not performed/unavailable | 6 (14) | 4 (3) | |
| Intellectual disability; n (%) | |||
| Normal/mild | 22 (51) | 131 (95) | |
| Moderate | 7 (16) | 4 (3) | |
| Severe/profound | 12 (28) | 3 (2) | |
| Unknown | 2 (5) | 0 | |
| Detection method; n (%) | |||
| Array CGH | 31 (72) | 21 (15) | – |
| SNP array | 8 (19) | 117 (85) | – |
| FISH/karyotyping | 4 (9) | 0 | |
| Centre; n (%) | |||
| London | 19 (44) | 135 (98) | 388 (100) |
| Brussels/Leuven | 6 (14) | – | – |
| Florence | 18 (42) | 3 (2) | – |
Summary of all subjects who were recruited for 3D stereophotogrammetry, the number of subjects excluded and the number of subjects used in dense surface models. In the group with pathogenic structural variants, children were included, there were more male subjects, and subjects were recruited from three different centres. All patients were matched to control subjects based on age and sex for further analysis. MRI findings, intellectual disability and detection methods were obtained from clinical records and investigation reports.
CGH = comparative genomic hybridization; FISH = fluorescent in situ hybridization; NA = not applicable; SNP = single nucleotide polymorphism.
Face shape difference in the training cohort
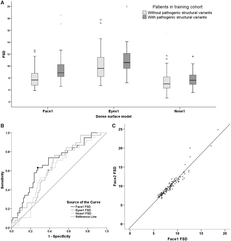
For each of the three models (Face1, Eyes1, Nose1), we calculated FSD for every patient. Those with pathogenic structural variants were then compared with those without pathogenic structural variants. The median FSD was significantly greater in those with pathogenic structural variants (Fig. 2A) than those without for all measures (whole face: 8.86 versus 7.65; P = 0.001, periorbital region: 10.6 versus 9.60; P = 0.013, perinasal region: 7.62 versus 7.01; P = 0.031, for pathogenic structural variant versus no pathogenic structural variant, respectively).
Figure 2.
FSD in the training cohort. (A) Box plots of the median, interquartile range and range of FSD for the three different models using the training cohort (n = 118). FSD is significantly greater for the whole face model (Face1: 8.86 versus 7.65; P = 0.001), the periorbital model (Eyes1: 10.6 versus 9.60; P = 0.013) and the perinasal model (Nose1: 7.62 versus 7.01; P = 0.031) in patients with pathogenic structural variants. Outliers >1.5 or 3 times the interquartile range from the upper quartile are shown in circles or asterisks, respectively. Excluding all outliers does not alter significance. (B) Receiver operating characteristic curves of face FSD, periorbital FSD and perinasal FSD used for detecting pathogenic structural variants in the training cohort. The areas under the curve are 0.69, 0.64 and 0.61, respectively. The filled circles mark the optimal FSD threshold for equal sensitivity and specificity, used for prediction in the validation cohort in the second set of models (Face2, Eyes2, Nose2). (C) For the training cohort, there was very strongly positive correlation for FSD between the Face1 and Face2 models (ρ = 0.96; P < 0.001). This was also true for the periorbital and perinasal region (not shown; Eyes1 versus Eyes2: ρ = 0.96; P < 0.001, Nose1 versus Nose2: ρ = 0.93; P < 0.001). Best-fit linear regression lines were used to convert the optimal FSD threshold values from the original model to the corresponding second model so that it could be used to predict the presence of pathogenic structural variants in the validation cohort. The formula for the line above is: Face2 FSD = (1.30 × Face1 FSD) − 0.99.
The distribution of FSD values reveals outliers for all models, in those with and those without pathogenic structural variants (Fig. 2A). FSD was still significantly greater in those with pathogenic structural variants after exclusion of all outliers (whole face: P = 0.001, periorbital region: P = 0.018, perinasal region: P = 0.018).
FSD of the whole face shows a strong positive correlation with the periorbital region (ρ = 0.78; P < 0.001). The perinasal region is less strongly correlated with FSD in other facial regions (ρ = 0.50; P < 0.001 with whole face, ρ = 0.60; P < 0.001 with periorbital region).
Face shape difference in the validation cohort
To substantiate the validity of FSD as a reflection of an underlying pathogenic structural variant in individual subjects, we tested how useful the models would be at an individual level. We created receiver operating characteristic curves (Fig. 2B). The area under the curve was 0.69 [95% confidence interval (CI) 0.60–0.80; P < 0.001] for the Face1 model. An FSD value of 8.47 was the optimal threshold for equal sensitivity and specificity (65.8%) in categorizing an individual face surface as one from a subject with a pathogenic structural variant. FSD threshold values were found for the Eyes1 and Nose1 models using the same approach (Table 2).
Table 2.
Predictive accuracy of different dense surface models
| Face region | Whole face | Periorbital region | Perinasal region |
|---|---|---|---|
| First models | Face1 | Eyes1 | Nose1 |
| Number in training cohort | 118 | 118 | 118 |
| Area under the curve | 0.69 | 0.64 | 0.61 |
| Cut-off value | 8.47 | 10.22 | 7.39 |
| Predicted sensitivity | 66% (25/38) | 61% (23/38) | 63% (24/38) |
| Predicted specificity | 65% (52/80) | 61% (49/80) | 63% (50/80) |
| Second models | Face2 | Eyes2 | Nose2 |
| Number in validation cohort | 63 | 63 | 63 |
| Equivalent cut-off value | 9.99 | 12.96 | 8.66 |
| Actual sensitivity | 80% (4/5) | 60% (3/5) | 60% (3/5) |
| Actual specificity | 78% (45/58) | 69% (40/58) | 78% (45/58) |
| Positive predictive value | 26% (4/17) | 14% (3/21) | 19% (3/16) |
| Negative predictive value | 98% (45/46) | 95% (40/42) | 96% (45/47) |
Accuracy of models of the three different facial regions in identifying the presence of pathogenic structural variants in our validation cohort. The first set of models was created using the training cohort only, and from this, receiver operating characteristic curves were calculated, and an optimal cut-off value of FSD was chosen for equal sensitivity and specificity. An equivalent FSD threshold was used in the second set of models to predict the presence or absence of pathogenic structural variants in 63 new patients (see text for details). Prediction was most accurate using the whole face, in which measured sensitivity was 80% and specificity was 78%. The periorbital and perinasal regions are less sensitive and less specific.
In the 81-subject validation cohort, 63 were analysed and 18 were excluded due to lack of matched control subjects. All these individuals had also undergone chromosome microarray testing for pathogenic structural variants (81% by genome-wide single nucleotide polymorphism array; 19% by array comparative genomic hybridization). For our training cohort, FSD values in the original and second (including the 63 patients) set of models showed strong positive correlation (Face1 versus Face2: ρ = 0.96; P < 0.001, Eyes1 versus Eyes2: ρ = 0.96; P < 0.001, Nose1 versus Nose2: ρ = 0.93; P < 0.001; n = 118 for all), and a linear relationship was demonstrated (Fig. 2C).
In the validation cohort, the inferred whole face FSD threshold value (FSD = 9.99) correctly identified that 4 of 63 patients had pathogenic structural variants. One additional patient was also found to have a pathogenic structural variant (i.e. 4/5, 80% sensitivity). Similarly, whole face FSD correctly predicted that 45 patients had no pathogenic structural variants (45/58, 78% specificity). Using periorbital and perinasal FSD resulted in reduced sensitivity (3/5, 60% for both) and similar specificity (40/58, 69% and 45/58, 78%, respectively). Results are shown in Table 2.
Exploration of face shape in patients with pathogenic structural variants
We next looked at whether there were any shared facial features in people with epilepsy and pathogenic structural variants. Given the diversity of pathogenic structural variants, we did not expect to find any common features. We examined every principal component for each patient’s face surface and looked for any significant difference between those with and without pathogenic structural variants, using Bonferroni correction for multiple testing. Each principal component delineates a particular variation in face shape (Supplementary Fig. 2), and it can reflect a shared facial feature. No individual principal components were significantly different in those with pathogenic structural variants and those without in any of the models. There was also little difference between the average face of patients with pathogenic structural variants and the average face of those without pathogenic structural variants (Supplementary Fig. 3). Thus, we found no evidence for shared facial features across pathogenic structural variants.
Genomic and clinical findings
We used the three models incorporating the training and validation cohort (Face2, Eyes2, Nose2) to explore the genomic and clinical data.
Exact breakpoints of the pathogenic structural variants were known for 39 patients (Supplementary Table 4). Four others with pathogenic structural variants had translocations or inversions detected by fluorescent in situ hybridization or karyotyping, and so full data on pathogenic structural variant size were not available. There was no correlation between whole face FSD and the size of the pathogenic structural variant in terms of number of base pairs in the interval (ρ = 0.20; P = 0.22) or number of genes contained (ρ = 0.19; P = 0.25; Fig. 3A). Periorbital FSD showed weak correlation with the number of genes contained (ρ = 0.38; P = 0.018), but not the number of bases (ρ = 0.25; P = 0.13).
Figure 3.
Analysis of face FSD with structural variant interval, intellectual disability and age in all patients. (A) There was no significant correlation between whole face FSD and the number of genes in the pathogenic structural variant interval (ρ = 0.19; P = 0.25), within all patients with available data (n = 39). (B) Within the same group of patients, we identified genes in the structural variant interval that were highly expressed in the foetal forebrain. The number of such genes was correlated to whole face FSD (ρ = 0.34; P = 0.036; n = 39), but when looking at those with deletions and those with duplications separately, there was no significant difference. (C) FSDs for the whole face, periorbital region or perinasal region were all significantly greater with increasing intellectual disability (P < 0.001, P < 0.001, P = 0.026, respectively; n = 179). (D) We also assessed patients only undergoing array comparative genomic hybridization to exclude bias from different techniques to detect pathogenic structural variants, and found the median face FSD was still significantly different (11.1 versus 9.26; P = 0.005; n = 52). (E) Although patients with pathogenic structural variants were younger than those without pathogenic structural variants, no correlation was seen with age and whole face FSD.
Within each pathogenic structural variant, we assessed the number of genes that were highly expressed in the human fetal forebrain (at 50–200 days gestation). Considering all participants with known pathogenic structural variant breakpoints, there was a weak positive correlation between the number of genes highly expressed in prenatal forebrain and whole face FSD (ρ = 0.34; P = 0.036; n = 39; Fig. 3B). We looked at patients with deletions and duplications separately and excluded two patients with both types of pathogenic structural variants. A greater correlation coefficient was seen in patients with deletions (ρ = 0.36; P = 0.07; n = 26) than in those with duplications (ρ = 0.15; P = 0.67; n = 11), but this was not significant. Mean pathogenic structural variant size and gene content were larger in patients with duplications than with deletions (11.5 Mb versus 2.48 Mb; P = 0.009, 49 genes versus 13.5 genes; P = 0.002) as expected (Hanemaaijer et al., 2012), but mean FSD was not significantly different for all three models.
Brain MRI results were available for 171 of 181 patients, of which 67 were normal, 94 were abnormal and 10 were reported as normal with incidental findings (Table 1). Incidental findings comprised mild cortical atrophy, non-specific white matter lesions and in one case a cyst. There was no significant difference in class of MRI findings between the groups with and without pathogenic structural variants (Fisher’s exact test; P = 0.71). Patients with MRI abnormalities had a significantly greater FSD of the whole face than those with normal MRI findings (9.58 versus 8.81; P = 0.039), but this was not true for the periorbital and perinasal models.
Intellectual disability was classified in our study population on the basis of formal neuropsychometry assessment in 127 subjects and clinical records alone in a further 52 individuals. Two patients could not be categorized. There were significantly more people with moderate or severe/profound intellectual disability in the group with pathogenic structural variants. For all three regions of the face, FSD was significantly greater with increasing intellectual disability (Fig. 3C). For those who underwent formal neuropsychometric estimation of IQ, there was also a significant, but weakly negative, correlation between IQ score and FSD (ρ = −0.31; P = 0.001; n = 122). We conducted a sensitivity analysis of only people with normal intellectual function or mild intellectual disability and found that FSD was still greater in people with pathogenic structural variants (whole face: P = 0.009, periorbital region: P = 0.048, perinasal region: P = 0.004).
Sensitivity analyses
Ethnicity and age
We looked for any confounding factors in the combined patient cohorts using a series of sensitivity analyses, which are summarized in Supplementary Table 3. We found no significant difference in FSD due to age or ethnicity, noting our study population comprised children and adults from Belgium, Italy and UK (Supplementary material).
Method of structural variant detection
The following three methods of analysis for pathogenic structural variants were used in this study: single nucleotide polymorphism arrays, array comparative genomic hybridization and fluorescent in situ hybridization/karyotyping in four of the subjects who also had array comparative genomic hybridization. Single nucleotide polymorphism arrays typically have poorer coverage of regions with structural variants than array comparative genomic hybridization (Cooper et al., 2008; Alkan et al., 2011). In our study, 72% of patients with pathogenic structural variants underwent array comparative genomic hybridization, in contrast with only 15% of patients without pathogenic structural variants. We analysed only the people who underwent array comparative genomic hybridization (n = 52) and still found a significantly greater median FSD in those with pathogenic structural variants, using the whole face model (11.1 versus 9.26; P = 0.005; Fig. 3D) or the periorbital region (13.7 versus 12.0; P = 0.03), but not the perinasal region (9.11 versus 8.21; P = 0.27). This suggests the use of single nucleotide polymorphism array data is not necessarily a significant bias.
Threshold of structural variant size used to determine pathogenicity
We had used a threshold of 1Mb as the lower limit for determining pathogenic structural variants from single nucleotide polymorphism array data (Heinzen et al., 2010), because there may be an increasing chance of ‘false positive’ calling of pathogenic structural variants with small threshold sizes (Itsara et al., 2009). We explored whether FSD was still significantly different for patients with structural variants if the lower limit for pathogenicity was set at 500 kb instead of 1Mb. At this threshold, three patients who had undergone single nucleotide polymorphism array were reclassified as having pathogenic structural variants. Repeat analysis showed that FSD remained significantly greater in patients with pathogenic structural variants (n = 46) for the whole face (10.9 versus 8.87; P < 0.001), the periorbital region (13.4 versus 11.4; P < 0.001) and the perinasal region (8.91 versus 7.93; P = 0.001). A further repeat analysis was conducted with the structural variant threshold size set at 250 kb, and now a further set of eight patients were reclassified with pathogenic structural variants (n = 54), with no loss of significance for any of the models (whole face: P < 0.001, periorbital region: P = 0.002, perinasal region: P = 0.003).
Facial injuries and facial expression
A clinician (J.N.) reviewed all unprocessed 3D face images, blinded to all clinical details, and then excluded patients with probable acquired facial deformity. There was no significant difference in the number of images, thus, excluded between those with pathogenic structural variants and those without pathogenic structural variants (Fisher’s exact test; whole face, P = 0.19; periorbital region, P = 1.0, perinasal region, P = 0.12). For the whole face model, 35 images were excluded. FSD was still significantly greater in people with pathogenic structural variants (10.9 versus 8.67; P < 0.001). This was also true for the periorbital model after 15 exclusions (13.4 versus 11.2; P < 0.001) and the perinasal model after 10 exclusions (8.99 versus 7.87; P < 0.001). Facial expression was also analysed, and this too was not a confounder in our study (Supplementary material).
Anti-epileptic drug history
We assessed the effect of previous or current anti-epileptic drugs, because some are known to affect facial appearance after long-term use. Drug history was available for 170 of 181 patients (Supplementary Table 5). We compared adults with pathogenic structural variants to adults without pathogenic structural variants and found no significant difference in the number of anti-epileptic drugs used (six versus six; n = 158; P = 0.12). There was no significant difference between the number of adults with pathogenic structural variants who had used any given anti-epileptic drug and the number of those without pathogenic structural variants who had used it.
Discussion
The findings support the hypothesis that for people with epilepsy, those with pathogenic structural variants have an objectively more atypical face shape compared with those without. This was true when analysing the whole face or just two feature-rich parts of the face, the periorbital region and perinasal region. Our technique had a sensitivity of 60–80%, specificity of 69–78%, positive predictive value of 14–26% and negative predictive value of 95–98% in an independent validation sample of people with epilepsy, although only five individuals had pathogenic structural variants in this sample. These findings were not explained by age, ethnicity, facial injury, facial expression, anti-epileptic drug history or the technique used to detect pathogenic structural variants, including structural variant threshold size. Our method comprised computer-based facial shape analysis based on dense surface modelling. To our knowledge, this is the first time that dense surface modelling has been shown to discriminate, to a degree, between people with epilepsy with (different) pathogenic structural variants and those without pathogenic structural variants.
Of the three models, the whole face model is best at discriminating atypical facial shape at individual level, in the receiver operating characteristic curve analysis, and at group level, with a higher median FSD. This is in keeping with previous findings comparing the whole face with periorbital and perinasal regions in four known clinical syndromes (Hammond et al., 2005). With an appropriate threshold, the expected and actual sensitivity and specificity of whole face FSD were 66–80% in detecting pathogenic structural variants. These findings were in spite of the heterogeneous nature of the group, comprising children and adults from three different European centres with different types of epilepsy and different pathogenic structural variants. Indeed, 31 of 43 patients have pathogenic structural variants that do not overlap with any others. Greater discrimination could be expected in more homogeneous groupings (Hammond et al., 2005) and may emerge as more people with particular pathogenic structural variants are identified. We had only five patients with a recurrent pathogenic structural variant (16p13.11 deletion); no similarity was found in their face shape.
Evaluation for dysmorphism should be part of the clinical examination in epilepsy. Dysmorphism may be missed by untrained clinicians, and even clinical geneticists may take years to learn to recognize some patterns of facial dysmorphism (Reardon and Donnai, 2007). FSD is a quantitative analytical construct that can identify novel patterns of abnormality of facial anatomy. FSD changes identified in this study do not directly translate to clinically observable dysmorphism. Indeed, some of the study participants with high FSD values were not thought to be dysmorphic when evaluated by their regular physician. We also found no difference for individual principal components in patients with and without pathogenic structural variants. This implies there are no shared facial features in people with diverse underlying genomic abnormalities, which is supported by visual inspection of the average face (Supplementary Fig. 3). FSD may become more widely used as numbers of people with a given pattern of quantitative abnormality (FSD or other construct) increase, and may become of direct clinical use.
Compounding the lack of dysmorphology training in most clinicians caring for people with epilepsy, adult medicine is divided into different specialties, and physicians often do not consider a potential unifying genomic or genetic cause in patients (Maves et al., 2007; Williams, 2007). Being able to recognize and classify facial dysmorphism can lead physicians to consider alternative diagnoses or to request further relevant investigations, and this could be aided by the increasing use of 3D stereophotogrammetry in clinical settings (Heike et al., 2010). MRI abnormalities and intellectual disability are known to correlate with pathogenic structural variants (Hochstenbach et al., 2009; Sagoo et al., 2009; Xiang et al., 2010), as seen in our study population. Any of these observations should prompt detailed genetic studies (Galizia et al., 2012).
Array comparative genomic hybridization is now part of clinical genetics practice, whereas whole exome and genome sequencing are just beginning to make their mark as clinical tests (Johnson et al., 2012; Need et al., 2012). Although in some cases, a clear genetic diagnosis will emerge, in others the mass of data from such tests will need additional interpretation (Hennekam and Biesecker, 2012). Dense surface models could be used for this purpose. We note that whole face FSD was not correlated with the number of genes in the pathogenic structural variant interval when looking at all types of structural variants collectively. People with deletions are, in general, thought to have a more severe phenotype than those with duplications (Hanemaaijer et al., 2012). We found that our patients with deletions had a similar FSD, but a significantly smaller structural variant interval size, by a factor of three to four, than those with duplications. This suggests that for a given interval size, deletions may indeed affect face shape more than duplications. Our findings may seem to be in contrast to a recent study that suggested no difference in duplication length and deletion length in a group of people with epilepsy and pathogenic structural variants (Striano et al., 2012), but this may simply reflect differences in methodology and case numbers. We have only analysed structural variants that were considered pathogenic; facial development is likely to be complex, and in due course, the wider complement of individual genetic variation might be studied using dense surface modelling. Determination of the pathogenicity of structural variants is still an evolving area, and so the contribution of structural variants to phenotypes may be overestimated or underestimated (Craddock et al., 2010; Vermeesch et al., 2011), including those structural variants found in individuals with epilepsy (Striano et al., 2012). Face shape analysis has already been successfully used to help determine the pathogenicity of a novel microdeletion (Hannes et al., 2012), and quantified face shape may help to identify new syndromes in the new generation of multicentre studies (Firth et al., 2011).
Genes expressed in the forebrain during early development are known to affect human face formation (Marcucio et al., 2011), and we considered the foetal expression of genes contained in the pathogenic structural variants of our patients using public resources. The level of gene expression is a crude measure and does not account for gene interactions or effects of a pathogenic structural variant on genes outside its interval. We found that although whole face FSD was not correlated with the number of genes in a pathogenic structural variant interval, it showed significant positive correlation with the number of contained genes expressed highly in the foetal forebrain (50–200 days). Facial structures develop in late embryonic and early foetal life, driven by complex molecular interactions between surface ectoderm and underlying forebrain and neural crest cells. It is conceivable, therefore, that these forebrain-expressed genes may be candidates for facial development and dysmorphism, and possibly also epilepsy. Also, we noted a trend between a greater number of deleted forebrain-expressed genes and a higher FSD, which needs confirmation in a larger group. It may also be possible to identify individual genes contributing to face shape using dense surface models. A recent genome-wide association study suggests a developmental gene, PAX3, may influence the height of the nasal root (Paternoster et al., 2012). PAX3 is known to be necessary for neural crest cell development and migration, and mutations in PAX3 are associated with spina bifida and sensorineural hearing loss as well as facial dysmorphism (Pingault et al., 2010). The authors used landmark-based anthropometry, which is less able to detect differences in some facial regions than dense surface modelling (Hammond and Suttie, 2012).
Other related uses for stereophotogrammetry and dense surface models include the further investigation of consequences of structural variants that are already known to be pathogenic. We have used a model previously to show reduced facial fat in a subject with a deletion encompassing a gene involved in fatty acid metabolism (Kasperavičiūt ė et al., 2011). The technique may be useful to characterize facial differences in people with novel syndromes, or when pleiotropy is found, such as for 16p13.11 microdeletion.
Our aim was to explore the utility of objective face shape analysis in relation to presence or absence of a known pathogenic structural variant, not in relation to presence or absence of epilepsy itself as a phenotype. We point out that we were not seeking to identify a ‘face’ associated with epilepsy per se. Given the heterogeneity of epilepsy in every aspect, this concept is dangerous nonsense, which we raise specifically to dismiss explicitly. Even in patients with pathogenic structural variants, there were no shared facial features, suggesting actual facial shapes are as varied as the underlying pathogenic structural variants.
There are limitations that need consideration. Landmarking of facial features is the one subjective step in stereophotogrammetry and dense surface modelling. With more experience and optimization of the landmarks used, the intra-operator and inter-operator reproducibility might be further improved as noted in studies using radiographic landmarks (Houston, 1983). In our study, the operator who landmarked control images was different to the one who landmarked patient images, and a small non-significant reproducibility error was identified. A further potential confounding factor is facial injury. Individuals with epilepsy have a 1.6 times greater risk of accident than the general population (van den Broek and Beghi, 2004), and this is related to the type and frequency of seizures (Tiamkao et al., 2009). Such injuries include fractures, contusions and burns, which often affect the face. Previous facial morphometric studies have ignored facial injuries or excluded such cases on the basis of patients’ recall of injuries (Hammond et al., 2005; Evison et al., 2010; Kau et al., 2010). Our findings held after blinded exclusion of cases with suspected acquired facial deformity. The effect of facial expression is less easy to discern. Children and people with intellectual disability may be less likely to maintain a neutral expression during image capture. We used a surrogate marker, lip closure, to determine if expression was neutral in an objective manner; lip closure was associated with differences in FSD and may account for part of the increase in FSD in those with intellectual disability. Point mutations, chromosomal translocations and inversions, and small pathogenic structural variants, with sizes below the threshold for detection by our methods, could also contribute to atypical face shape, and would have been missed. With more comprehensive methods of detecting pathological genetic changes, such as next-generation sequencing techniques, re-evaluation of dense surface models in future datasets will allow further exploration of abnormalities of face shape.
Our findings are in Europeans referred to neurology clinics with a diagnosis of epilepsy. Ethnicity influences facial appearance, and at least in certain genomic disorders, either makes dysmorphic features less obvious or less easily detected by physicians (McDonald-McGinn et al., 2005). We were unable to investigate other ethnicities because of lack of ethnicity matched control subjects for comparison, but we found no difference in the three different groups used here. We found that age had no effect on FSD. This was important to exclude, as it is known that some genetic conditions show greater dysmorphism in childhood, such as Noonan or Beckwith–Wiedemann syndromes (Choufani et al., 2010; Romano et al., 2010).
Anti-epileptic drugs may also be a source of bias in this population. Some drugs, especially ‘older’ ones (those licensed before ∼1990), may have adverse effects on the face, such as gingival hyperplasia, acne, facial coarsening or weight gain (Collaborative Group for Epidemiology of Epilepsy, 1988). The number of drugs and the proportion that took each drug were not significantly different between patients with or without pathogenic structural variants (Supplementary Table 5). Finally, the role of other potential confounding factors, such as body weight, has not been elucidated.
In conclusion, we have shown that 3D stereophotogrammetry and dense surface modelling offer a promising avenue for further evaluation of the full phenotype of epilepsy related to clinically relevant genomic structural variants. We show the technique is robust and reproducible for analysing facial shape. As technical and bioinformatics advances make genomic analysis more comprehensive and available, equal sophistication in phenotyping methods is likely to prove necessary. Face shape analysis may contribute to deepening phenotypic evaluation.
Funding
Wellcome Trust [084730]; UCLH CRDC [F136]; Epilepsy Society; The Freemasons’ Grand Charity; The Katy Baggott Foundation; the National Institute for Health Research [08-08-SCC]; Action Medical Research; the Henry Smith Charity; the Fonds National de la Recherche Scientifique [FC 63 574/3.4.620.06F to C.D.],the Fonds Erasme, Université Libre de Bruxelles. The development of the ShapeFind software at UCL: UK charity NewLife and the US National Institutes of Health. The Swiss National Science Foundation-Fellowships for prospective researchers and the SICPA Foundation, Prilly, Switzerland (to J. N.). This work was undertaken at University College London Hospitals/University College London, which received a proportion of funding from the Department of Health's National Institute for Health Research Biomedical Research Centres funding scheme.
Supplementary material
Supplementary material is available at Brain online.
Acknowledgements
The authors thank patients and their families for participating in this study, control subjects and the physicians that assisted with recruitment. The authors are also grateful to Dr Dalia Kasperavičiūt ė and Dr Mar Matarin for providing bioinformatics assistance.
Glossary
Abbreviations
- FSD
face shape difference
References
- Alkan C, Coe BP, Eichler EE. Genome structural variation discovery and genotyping. Nat Rev Genet. 2011;12:363–76. doi: 10.1038/nrg2958. [DOI] [PMC free article] [PubMed] [Google Scholar]
- Buysse K, Delle Chiaie B, Van Coster R, Loeys B, De Paepe A, Mortier G, et al. Challenges for CNV interpretation in clinical molecular karyotyping: lessons learned from a 1001 sample experience. Eur J Med Genet. 2009;52:398–403. doi: 10.1016/j.ejmg.2009.09.002. [DOI] [PubMed] [Google Scholar]
- Catarino CB, Kasperavičiūt ė D, Thom M, Cavalleri GL, Martinian L, Heinzen EL, et al. Genomic microdeletions associated with epilepsy: not a contraindication to resective surgery. Epilepsia. 2011;52:1388–92. doi: 10.1111/j.1528-1167.2011.03087.x. [DOI] [PMC free article] [PubMed] [Google Scholar]
- Choufani S, Shuman C, Weksberg R. Beckwith-Wiedemann syndrome. Am J Med Genet C Semin Med Genet. 2010;154C:343–54. doi: 10.1002/ajmg.c.30267. [DOI] [PubMed] [Google Scholar]
- Collaborative Group for Epidemiology of Epilepsy. Adverse reactions to antiepileptic drugs: a follow-up study of 355 patients with chronic antiepileptic drug treatment. Epilepsia. 1988;29:787–93. doi: 10.1111/j.1528-1157.1988.tb04236.x. [DOI] [PubMed] [Google Scholar]
- Cooper GM, Zerr T, Kidd JM, Eichler EE, Nickerson DA. Systematic assessment of copy number variant detection via genome-wide single nucleotide polymorphism genotyping. Nat Genet. 2008;40:1199–203. doi: 10.1038/ng.236. [DOI] [PMC free article] [PubMed] [Google Scholar]
- Cordero DR, Brugmann S, Chu Y, Bajpai R, Jame M, Helms JA. Cranial neural crest cells on the move: their roles in craniofacial development. Am J Med Genet A. 2011;155A:270–9. doi: 10.1002/ajmg.a.33702. [DOI] [PMC free article] [PubMed] [Google Scholar]
- Cox-Brinkman J, Vedder A, Hollak C, Richfield L, Mehta A, Orteu K, et al. Three-dimensional face shape in Fabry disease. Eur J Hum Genet. 2007;15:535–42. doi: 10.1038/sj.ejhg.5201798. [DOI] [PubMed] [Google Scholar]
- Craddock N, Hurles ME, Cardin N, Pearson RD, Plagnol V, Robson S, et al. Genome-wide association study of CNVs in 16,000 cases of eight common diseases and 3,000 shared controls. Nature. 2010;464:713–20. doi: 10.1038/nature08979. [DOI] [PMC free article] [PubMed] [Google Scholar]
- de Kovel CG, Trucks H, Helbig I, Mefford HC, Baker C, Leu C, et al. Recurrent microdeletions at 15q11.2 and 16p13.11 predispose to idiopathic generalized epilepsies. Brain. 2009;133:23–32. doi: 10.1093/brain/awp262. [DOI] [PMC free article] [PubMed] [Google Scholar]
- Dibbens LM, Mullen S, Helbig I, Mefford HC, Bayly MA, Bellows S, et al. Familial and sporadic 15q13.3 microdeletions in idiopathic generalized epilepsy: precedent for disorders with complex inheritance. Hum Mol Genet. 2009;18:3626–31. doi: 10.1093/hmg/ddp311. [DOI] [PMC free article] [PubMed] [Google Scholar]
- Evison M, Dryden I, Fieller N, Mallett X, Morecroft L, Schofield D, et al. Key parameters of face shape variation in 3D in a large sample. J Forensic Sci. 2010;55:159–62. doi: 10.1111/j.1556-4029.2009.01213.x. [DOI] [PubMed] [Google Scholar]
- Firth HV, Wright CF, DDD Study The Deciphering Developmental Disorders (DDD) study. Dev Med Child Neurol. 2011;53:702–3. doi: 10.1111/j.1469-8749.2011.04032.x. [DOI] [PubMed] [Google Scholar]
- Galizia EC, Srikantha M, Palmer R, Waters JJ, Lench N, Ogilvie CM, et al. Array comparative genomic hybridization: results from an adult population with drug-resistant epilepsy and co-morbidities. Eur J Med Genet. 2012;55:342–8. doi: 10.1016/j.ejmg.2011.12.011. [DOI] [PMC free article] [PubMed] [Google Scholar]
- Girirajan S, Eichler EE. Phenotypic variability and genetic susceptibility to genomic disorders. Hum Mol Genet. 2010;19:R176–87. doi: 10.1093/hmg/ddq366. [DOI] [PMC free article] [PubMed] [Google Scholar]
- Gwilliam JR, Cunningham SJ, Hutton T. Reproducibility of soft tissue landmarks on three-dimensional facial scans. Eur J Orthod. 2006;28:408–15. doi: 10.1093/ejo/cjl024. [DOI] [PubMed] [Google Scholar]
- Hammond P, Suttie M. Large-scale objective phenotyping of 3D facial morphology. Hum Mutat. 2012;33:817–25. doi: 10.1002/humu.22054. [DOI] [PMC free article] [PubMed] [Google Scholar]
- Hammond P, Forster-Gibson C, Chudley AE, Allanson JE, Hutton TJ, Farrell SA, et al. Face-brain asymmetry in autism spectrum disorders. Mol Psychiatry. 2008;13:614–23. doi: 10.1038/mp.2008.18. [DOI] [PubMed] [Google Scholar]
- Hammond P. The use of 3D face shape modelling in dysmorphology. Arch Dis Child. 2007;92:1120–6. doi: 10.1136/adc.2006.103507. [DOI] [PMC free article] [PubMed] [Google Scholar]
- Hammond P, Hutton TJ, Allanson JE, Buxton B, Campbell LE, Clayton-Smith J, et al. Discriminating power of localized three-dimensional facial morphology. Am J Hum Genet. 2005;77:999–1010. doi: 10.1086/498396. [DOI] [PMC free article] [PubMed] [Google Scholar]
- Hammond P, Hutton TJ, Allanson JE, Campbell LE, Hennekam RC, Holden S, et al. 3D analysis of facial morphology. Am J Med Genet A. 2004;126A:339–48. doi: 10.1002/ajmg.a.20665. [DOI] [PubMed] [Google Scholar]
- Hanemaaijer NM, Sikkema-Raddatz B, van der Vries G, Dijkhuizen T, Hordijk R, van Essen AJ, et al. Practical guidelines for interpreting copy number gains detected by high-resolution array in routine diagnostics. Eur J Hum Genet. 2012;20:161–5. doi: 10.1038/ejhg.2011.174. [DOI] [PMC free article] [PubMed] [Google Scholar]
- Hannes F, Hammond P, Quarrell O, Fryns JP, Devriendt K, Vermeesch JR. A microdeletion proximal of the critical deletion region is associated with mild Wolf-Hirschhorn syndrome. Am J Med Genet A. 2012;158A:996–1004. doi: 10.1002/ajmg.a.35299. [DOI] [PubMed] [Google Scholar]
- Hart TC, Hart PS. Genetic studies of craniofacial anomalies: clinical implications and applications. Orthod Craniofac Res. 2009;12:212–20. doi: 10.1111/j.1601-6343.2009.01455.x. [DOI] [PMC free article] [PubMed] [Google Scholar]
- Heike CL, Upson K, Stuhaug E, Weinberg SM. 3D digital stereophotogrammetry: a practical guide to facial image acquisition. Head Face Med. 2010;6:18. doi: 10.1186/1746-160X-6-18. [DOI] [PMC free article] [PubMed] [Google Scholar]
- Heinzen EL, Radtke RA, Urban TJ, Cavalleri GL, Depondt C, Need AC, et al. Rare deletions at 16p13.11 predispose to a diverse spectrum of sporadic epilepsy syndromes. Am J Hum Genet. 2010;86:707–18. doi: 10.1016/j.ajhg.2010.03.018. [DOI] [PMC free article] [PubMed] [Google Scholar]
- Helbig I, Mefford HC, Sharp AJ, Guipponi M, Fichera M, Franke A, et al. 15q13.3 microdeletions increase risk of idiopathic generalized epilepsy. Nat Genet. 2009;41:160–2. doi: 10.1038/ng.292. [DOI] [PMC free article] [PubMed] [Google Scholar]
- Hennekam RC, Krantz ID, Allanson JE. 5th edn. Oxford; New York: Oxford University Press; 2010. Gorlin’s syndromes of the head and neck. [Google Scholar]
- Hennekam RC, Biesecker LG. Next-generation sequencing demands next-generation phenotyping. Hum Mutat. 2012;33:884–6. doi: 10.1002/humu.22048. [DOI] [PMC free article] [PubMed] [Google Scholar]
- Hennessy RJ, Baldwin PA, Browne DJ, Kinsella A, Waddington JL. Three-dimensional laser surface imaging and geometric morphometrics resolve frontonasal dysmorphology in schizophrenia. Biol Psychiatry. 2007;61:1187–94. doi: 10.1016/j.biopsych.2006.08.045. [DOI] [PubMed] [Google Scholar]
- Hennessy RJ, Baldwin PA, Browne DJ, Kinsella A, Waddington JL. Frontonasal dysmorphology in bipolar disorder by 3D laser surface imaging and geometric morphometrics: comparisons with schizophrenia. Schizophr Res. 2010;122:63–71. doi: 10.1016/j.schres.2010.05.001. [DOI] [PMC free article] [PubMed] [Google Scholar]
- Hochstenbach R, van Binsbergen E, Engelen J, Nieuwint A, Polstra A, Poddighe P, et al. Array analysis and karyotyping: workflow consequences based on a retrospective study of 36,325 patients with idiopathic developmental delay in the Netherlands. Eur J Med Genet. 2009;52:161–9. doi: 10.1016/j.ejmg.2009.03.015. [DOI] [PubMed] [Google Scholar]
- Houston WJ. The analysis of errors in orthodontic measurements. Am J Orthod. 1983;83:382–90. doi: 10.1016/0002-9416(83)90322-6. [DOI] [PubMed] [Google Scholar]
- Hutton TJ, Buxton BF, Hammond P, Potts HW. Estimating average growth trajectories in shape-space using kernel smoothing. IEEE Trans Med Imaging. 2003;22:747–53. doi: 10.1109/TMI.2003.814784. [DOI] [PubMed] [Google Scholar]
- Itsara A, Cooper GM, Baker C, Girirajan S, Li J, Absher D, et al. Population analysis of large copy number variants and hotspots of human genetic disease. Am J Hum Genet. 2009;84:148–61. doi: 10.1016/j.ajhg.2008.12.014. [DOI] [PMC free article] [PubMed] [Google Scholar]
- Johnson JO, Gibbs JR, Megarbane A, Urtizberea JA, Hernandez DG, Foley AR, et al. Exome sequencing reveals riboflavin transporter mutations as a cause of motor neuron disease. Brain. 2012 doi: 10.1093/brain/aws161. Advance Access published on Jun 26, 2012. doi: 10.1093/brain/aws161. [DOI] [PMC free article] [PubMed] [Google Scholar]
- Kasperavičiūt ė D, Catarino CB, Chinthapalli K, Clayton LM, Thom M, Martinian L, et al. Uncovering genomic causes of co-morbidity in epilepsy: gene-driven phenotypic characterization of rare microdeletions. PLoS One. 2011;6:e23182. doi: 10.1371/journal.pone.0023182. [DOI] [PMC free article] [PubMed] [Google Scholar]
- Kau CH, Richmond S, Zhurov A, Ovsenik M, Tawfik W, Borbely P, et al. Use of 3-dimensional surface acquisition to study facial morphology in 5 populations. Am J Orthod Dentofacial Orthop. 2010;137:S56.e1–9. doi: 10.1016/j.ajodo.2009.04.022. [DOI] [PubMed] [Google Scholar]
- Kohn L. The role of genetics in craniofacial morphology and growth. Annu Rev Anthropol. 1991;20:261–78. [Google Scholar]
- Lane C, Harrell W., Jr Completing the 3-dimensional picture. Am J Orthod Dentofacial Orthop. 2008;133:612–20. doi: 10.1016/j.ajodo.2007.03.023. [DOI] [PubMed] [Google Scholar]
- Marcucio RS, Young NM, Hu D, Hallgrimsson B. Mechanisms that underlie co-variation of the brain and face. Genesis. 2011;49:177–89. doi: 10.1002/dvg.20710. [DOI] [PMC free article] [PubMed] [Google Scholar]
- Martínez-Abadías N, Esparza M, Sjøvold T, González-José R, Santos M, Hernández M. Heritability of human cranial dimensions: comparing the evolvability of different cranial regions. J Anat. 2009;214:19–35. doi: 10.1111/j.1469-7580.2008.01015.x. [DOI] [PMC free article] [PubMed] [Google Scholar]
- Maves SN, Williams MS, Williams JL, Levonian PJ, Josephson KD. Analysis of 88 adult patients referred for genetics evaluation. Am J Med Genet C Semin Med Genet. 2007;145C:232–40. doi: 10.1002/ajmg.c.30141. [DOI] [PubMed] [Google Scholar]
- McDonald-McGinn DM, Minugh-Purvis N, Kirschner RE, Jawad A, Tonnesen MK, Catanzaro JR, et al. The 22q11.2 deletion in African-American patients: an underdiagnosed population? Am J Med Genet A. 2005;134:242–6. doi: 10.1002/ajmg.a.30069. [DOI] [PMC free article] [PubMed] [Google Scholar]
- Mefford HC, Batshaw ML, Hoffman EP. Genomics, intellectual disability and autism. N Engl J Med. 2012;366:733–43. doi: 10.1056/NEJMra1114194. [DOI] [PMC free article] [PubMed] [Google Scholar]
- Miller DT, Shen Y, Weiss LA, Korn J, Anselm I, Bridgemohan C, et al. Microdeletion/duplication at 15q13.2q13.3 among individuals with features of autism and other neuropsychiatric disorders. J Med Genet. 2009;46:242–8. doi: 10.1136/jmg.2008.059907. [DOI] [PMC free article] [PubMed] [Google Scholar]
- Need AC, Shashi V, Hitomi Y, Schoch K, Shianna KV, McDonald MT, et al. Clinical application of exome sequencing in undiagnosed genetic conditions. J Med Genet. 2012;49:353–61. doi: 10.1136/jmedgenet-2012-100819. [DOI] [PMC free article] [PubMed] [Google Scholar]
- Nopoulos P, Berg S, Canady J, Richman L, Van Demark D, Andreasen NC. Structural brain abnormalities in adult males with clefts of the lip and/or palate. Genet Med. 2002;4:1–9. doi: 10.1097/00125817-200201000-00001. [DOI] [PubMed] [Google Scholar]
- Ottman R, Hirose S, Jain S, Lerche H, Lopes-Cendes I, Noebels JL, et al. Genetic testing in the epilepsies—report of the ILAE Genetics Commission. Epilepsia. 2010;51:655–70. doi: 10.1111/j.1528-1167.2009.02429.x. [DOI] [PMC free article] [PubMed] [Google Scholar]
- Paternoster L, Zhurov AI, Toma Arshed M, Kemp JP, St Pourcain B, Timpson NJ, et al. Genome-wide association study of three-dimensional facial morphology identifies a variant in PAX3 associated with nasion position. Am J Hum Genet. 2012;90:478–85. doi: 10.1016/j.ajhg.2011.12.021. [DOI] [PMC free article] [PubMed] [Google Scholar]
- Pingault V, Ente D, Dastot-Le Moal F, Goossens M, Marlin S, Bondurand N. Review and update of mutations causing Waardenburg syndrome. Hum Mutat. 2010;31:391–406. doi: 10.1002/humu.21211. [DOI] [PubMed] [Google Scholar]
- Reardon W, Donnai D. Dysmorphology demystified. Arch Dis Child Fetal Neonatal Ed. 2007;92:F225–9. doi: 10.1136/adc.2006.110619. [DOI] [PMC free article] [PubMed] [Google Scholar]
- Romano AA, Allanson JE, Dahlgren J, Gelb BD, Hall B, Pierpont ME, et al. Noonan syndrome: clinical features, diagnosis, and management guidelines. Pediatrics. 2010;126:746–59. doi: 10.1542/peds.2009-3207. [DOI] [PubMed] [Google Scholar]
- Sagoo GS, Butterworth AS, Sanderson S, Shaw-Smith C, Higgins JP, Burton H. Array comparative genomic hybridization in patients with learning disability (mental retardation) and congenital anomalies: updated systematic review and meta-analysis of 19 studies and 13,926 subjects. Genet Med. 2009;11:139–46. doi: 10.1097/GIM.0b013e318194ee8f. [DOI] [PubMed] [Google Scholar]
- Salvador-Carulla L, Reed GM, Vaez-Azizi LM, Cooper SA, Martinez-Leal R, Bertelli M, et al. Intellectual developmental disorders: towards a new name, definition and framework for “mental retardation/intellectual disability” in ICD-11. World Psychiatry. 2011;10:175–80. doi: 10.1002/j.2051-5545.2011.tb00045.x. [DOI] [PMC free article] [PubMed] [Google Scholar]
- Sharp AJ, Mefford HC, Li K, Baker C, Skinner C, Stevenson RE, et al. A recurrent 15q13.3 microdeletion syndrome associated with mental retardation and seizures. Nat Genet. 2008;40:322–8. doi: 10.1038/ng.93. [DOI] [PMC free article] [PubMed] [Google Scholar]
- Sisodiya SM, Mefford HC. Genetic contribution to common epilepsies. Curr Opin Neurol. 2011;24:140–5. doi: 10.1097/WCO.0b013e328344062f. [DOI] [PubMed] [Google Scholar]
- Slavotinek AM. Novel microdeletion syndromes detected by chromosome microarrays. Hum Genet. 2008;124:1–17. doi: 10.1007/s00439-008-0513-9. [DOI] [PubMed] [Google Scholar]
- Stefansson H, Rujescu D, Cichon S, Pietiläinen OP, Ingason A, Steinberg S, et al. Large recurrent microdeletions associated with schizophrenia. Nature. 2008;455:232–6. doi: 10.1038/nature07229. [DOI] [PMC free article] [PubMed] [Google Scholar]
- Striano P, Coppola A, Paravidino R, Malacarne M, Gimelli S, Robbiano A, et al. Clinical significance of rare copy number variations in epilepsy: a case-control survey using microarray-based comparative genomic hybridization. Arch Neurol. 2012;69:322–30. doi: 10.1001/archneurol.2011.1999. [DOI] [PubMed] [Google Scholar]
- Tiamkao S, Sawanyawisuth K, Asawavichienjinda T, Yaudnopakao P, Arunpongpaisal S, Phuttharak W, et al. Predictive risk factors of seizure-related injury in persons with epilepsy. J Neurol Sci. 2009;285:59–61. doi: 10.1016/j.jns.2009.05.021. [DOI] [PubMed] [Google Scholar]
- Tobin JL, Di Franco M, Eichers E, May-Simera H, Garcia M, Yan J, et al. Inhibition of neural crest migration underlies craniofacial dysmorphology and Hirschsprung’s disease in Bardet-Biedl syndrome. Proc Natl Acad Sci USA. 2008;105:6714–19. doi: 10.1073/pnas.0707057105. [DOI] [PMC free article] [PubMed] [Google Scholar]
- Toma AM, Zhurov A, Playle R, Ong E, Richmond S. Reproducibility of facial soft tissue landmarks on 3D laser-scanned facial images. Orthod Craniofac Res. 2009;12:33–42. doi: 10.1111/j.1601-6343.2008.01435.x. [DOI] [PubMed] [Google Scholar]
- van den Broek M, Beghi E. Accidents in patients with epilepsy: types, circumstances, and complications: a European cohort study. Epilepsia. 2004;45:667–72. doi: 10.1111/j.0013-9580.2004.33903.x. [DOI] [PubMed] [Google Scholar]
- Vermeesch JR, Balikova I, Schrander-Stumpel C, Fryns JP, Devriendt K. The causality of de novo copy number variants is overestimated. Eur J Hum Genet. 2011;19:1112–13. doi: 10.1038/ejhg.2011.83. [DOI] [PMC free article] [PubMed] [Google Scholar]
- Waddington JL, Lane A, Scully P, Meagher D, Quinn J, Larkin C, et al. Early cerebro-craniofacial dysmorphogenesis in schizophrenia: a lifetime trajectory model from neurodevelopmental basis to “neuroprogressive” process. J Psychiatr Res. 1999;33:477–89. doi: 10.1016/s0022-3956(99)00024-2. [DOI] [PubMed] [Google Scholar]
- Weinberg SM, Naidoo S, Govier DP, Martin RA, Kane AA, Marazita ML. Anthropometric precision and accuracy of digital three-dimensional photogrammetry: comparing the Genex and 3dMD imaging systems with one another and with direct anthropometry. J Craniofac Surg. 2006;17:477–83. doi: 10.1097/00001665-200605000-00015. [DOI] [PubMed] [Google Scholar]
- Williams MS. Adult dysmorphology: perspectives on approach to diagnosis and care. Am J Med Genet C Semin Med Genet. 2007;145C:227–9. doi: 10.1002/ajmg.c.30134. [DOI] [PubMed] [Google Scholar]
- Winter RM. What’s in a face? Nat Genet. 1996;12:124–9. doi: 10.1038/ng0296-124. [DOI] [PubMed] [Google Scholar]
- World Health Organization. Geneva: World Health Organization; 1992. F70-F79 mental retardation. In: The ICD-10 classification of mental and behavioural disorders: clinical descriptions and diagnostic guidelines; pp. 174–80. [Google Scholar]
- Xiang B, Zhu H, Shen Y, Miller DT, Lu K, Hu X, et al. Genome-wide oligonucleotide array comparative genomic hybridization for etiological diagnosis of mental retardation: a multicenter experience of 1499 clinical cases. J Mol Diagn. 2010;12:204–12. doi: 10.2353/jmoldx.2010.090115. [DOI] [PMC free article] [PubMed] [Google Scholar]
Associated Data
This section collects any data citations, data availability statements, or supplementary materials included in this article.





