Abstract
Forest degradation in West Africa is generally thought to have negative consequences on rural livelihoods but there is little overview of its effects in the region because the importance of forests to rural livelihoods has never been adequately quantified. Based on data from 1014 rural households across Burkina Faso and Ghana this paper attempts to fill this knowledge gap. We demonstrate that agricultural lands and the non-forest environment including parklands are considerably more valuable to poor as well as more well-off rural households than forests. Furthermore, product types supplied by the non-forest environment are almost identical with those from forests. Accordingly, forest clearance/degradation is profitable for and, hence, probably performed by rural people at large. We attribute rural people’s high reliance on non-forest versus forest resources to the two countries’ restrictive and inequitable forest policies which must be reformed to promote effective forest conservation, e.g., to mitigate climate change.
Keywords: Agricultural expansion, Climate change, Environmental incomes, Forest rights, Population pressure, REDD+
Introduction
There is a general consensus among policy-makers, researchers, and development practitioners that environmental resources contribute to rural livelihoods in developing countries by supporting current consumption and providing households with a form of ‘natural insurance’ against hardships (e.g., Mamo et al. 2007). The literature abounds in evidence of forests and other environmental resources’ contribution to household income in different regions around the world. In Africa, a study involving seven countries across the continent has shown that the forestry sector plays a significant role in national economies, and that informal activities in the sector (fuelwood and non-timber forest product (NTFP) collection) contribute to household income and employment generation (Whiteman and Lebedys 2006). In the dry forests of South Africa, Shackleton et al. (2007) show that forest income represents around 20 % of average total household income. The comprehensive study by Cavendish (2000) in Zimbabwe showed that 35 % of average total household income (cash and subsistence) came from non-cultivated environmental goods. In Northern Nigeria, wild foods consumption and marketing forms an important coping strategy for rural populations (Harris and Salisu 2003). In Mali, NTFPs may be as important as cultivated crops for rural people, and 90 % of the NTFPs are collected in natural forests, 63 % from the fallow lands, and 51 % from the crop fields (Gakou et al. 1994). Overall, the general wisdom is that forest dependence increases with decreasing income, i.e., forest income’s share of total income is highest for the poorest households (e.g., Vedeld et al. 2004).
However, West African forests are generally being cleared or degraded as a result of evolving human utilization including the effects of climate change (e.g., Gonzalez 2001; IPCC 2007) (see also below). This environmental degradation is expected to affect rural livelihoods tremendously (Shackleton et al. 2011)—especially for poor and marginalized households who are hypothesized to be most dependent on environmental resources. Meanwhile, slowing down or reversing tropical deforestation and forest degradation to reduce greenhouse gas emissions from deforestation and forest degradation (REDD) remains a cornerstone in IPCC’s recommendations to prevent an irreversible and potentially disastrous increase in global temperatures because this would ‘buy’ rich countries time to maintain their energy consumption (and hence living standards) while gradually inventing and switching to fossil free/neutral energy sources (IPCC 2007). Accordingly, it appears that rural people in poor countries and people in rich yet fossil fuel dependent nations are ‘natural allies’ because they share a common interest in conserving existing tropical forest resources. The political implications of how much rural people in poor countries rely on forest and non-forest environmental resources for their livelihoods should, however, be considered in the context of these people’s access to these resources, i.e., their ability to benefit from these whether or not they hold officially recognized rights to do so (c.f. Ribot and Peluso 2003). If rural people do not hold meaningful and enforceable rights to benefit from forests, it is reasonable to expect that they would rather convert than conserve them, unless forests supply important products that cannot be substituted or accessed elsewhere.
We argue that at present there is little overview of the likely overall as well as distributive effects of continued forest degradation on rural livelihoods in the West African region because the users of forests and the importance of income from forest and other environmental resources to rural livelihoods have not been adequately quantified. Therefore, this paper aims at: (i) providing empirical evidence of the economic importance of forest and other environmental incomes to rural households in four areas of Burkina Faso and Ghana; and (ii) assessing the likely effects on rural livelihoods of continued forest degradation through a product-specific comparison of incomes that rural people derive from forests and non-forest environmental resources, respectively.
Deforestation and Forest Degradation
FAO’s (2010) forest resource assessment reports significant deforestation in Burkina Faso and Ghana as well as in most other West African countries during the periods 1990–2000, 2000–2005, and 2005–2010 (Table 1).
Table 1.
Trends in population (2008) and extent of forest area 1990–2010 in West Africa
| Country | Population 2008 | Forest area (1000 ha) | Annual change rate (%)a | ||||||||
|---|---|---|---|---|---|---|---|---|---|---|---|
| Total (1000) | Density (Population/km2) | Annual growth rate | Rural population (% of total) | 1990 | 2000 | 2005 | 2010 | 1990–2000 | 2000–2005 | 2005–2010 | |
| Benin | 8662 | 78 | 3.2 | 59 | 5761 | 5061 | 4811 | 4561 | −1.29 | −1.01 | −1.06 |
| Burkina Faso | 15 234 | 56 | 3.5 | 81 | 6847 | 6248 | 5949 | 5649 | −0.91 | −0.98 | −1.03 |
| Côte d’Ivoire | 20 591 | 65 | 2.3 | 51 | 10 222 | 10 328 | 10 405 | 10 403 | 0.10 | 0.15 | n.s. |
| Gambia | 1660 | 166 | 2.7 | 44 | 442 | 461 | 471 | 480 | 0.42 | 0.43 | 0.38 |
| Ghana | 23 351 | 103 | 2.1 | 50 | 7448 | 6094 | 5517 | 4940 | −1.99 | −1.97 | −2.19 |
| Guinea | 9833 | 40 | 2.3 | 66 | 7264 | 6904 | 6724 | 6544 | −0.51 | −0.53 | −0.54 |
| Guinea-Bissau | 1575 | 56 | 2.2 | 70 | 2216 | 2120 | 2072 | 2022 | −0.44 | −0.46 | −0.49 |
| Liberia | 3793 | 39 | 4.6 | 40 | 4929 | 4629 | 4479 | 4329 | −0.63 | −0.66 | −0.68 |
| Mali | 12 706 | 10 | 2.4 | 68 | 14 072 | 13 281 | 12 885 | 12 490 | −0.58 | −0.60 | −0.62 |
| Niger | 14 704 | 12 | 4.0 | 84 | 1945 | 1328 | 1266 | 1204 | −3.74 | −0.95 | −1.00 |
| Nigeria | 151 212 | 166 | 2.4 | 52 | 17 234 | 13 137 | 11 089 | 9041 | −2.68 | −3.33 | −4.00 |
| Senegal | 12 211 | 63 | 2.7 | 58 | 9348 | 8898 | 8673 | 8473 | −0.49 | −0.51 | −0.47 |
| Sierra Leone | 5560 | 78 | 2.6 | 62 | 3118 | 2922 | 2824 | 2726 | −0.65 | −0.68 | −0.70 |
| Togo | 6459 | 119 | 2.5 | 58 | 685 | 486 | 386 | 287 | −3.37 | −4.50 | −5.75 |
Good quality empirical national-level data on the trends in forest and tree cover in Burkina Faso and Ghana are not available (Hansen et al. 2009; Westholm and Kokko 2011), but a number of satellite image-based land cover change studies in the two countries may serve to generally assess the tree cover trends—and to verify/assess the Forest Resources Assessment (FRA) data presented in Table 1.
In the Sissili province of Burkina Faso, which lies immediately west of site 1, Ouedraogo et al. (2010) found a drastic reduction of dense forest land from 69.7 % in 1986 to 31.4 % in 2002 and 40.6 % in 2006 (1.45 % decrease per annum; 1986–2002). The Sissili Protected Forest went from 100 % dense forest in 1986 to about 50 % dense forest and 50 % open woodland in 2006 and the total area of open woodlands within the province went from 22.8 % in 1986 to 32.1 % in 2006 (an average increase of 0.46 % per annum). Yet, this latter land cover type has been spatially very dynamic with large areas going from dense forest to open woodland and back. During the period 1992–2002, open woodland went from 20 to 44 %. In 2006, some areas had grown back into dense forest albeit in smaller patches than was the case in 1992. The coverage of cropland had steadily increased from 7.5 % in 1986 to 26.6 % in 2006. Wardell et al. (2003) arrive at largely similar results. In Maro reserve, immediately north of site 2, Idinoba et al. (2010) found that, during the period 1986–2002, riparian forest had decreased from 3775 to 2958 ha (0.17 % decrease per annum), savannah woodland had decreased from 13 881 to 9382 ha (0.25 % decrease per annum) while scrub savannah had increased from 24 865 to 27 552 ha (0.08 % increase per annum).
Accordingly, the general picture of land cover change in Southern Burkina Faso appears to be that larger areas of dense forest are converted to open woodland, rain-fed cropland and smaller patches of dense forest. Ouedraogo et al. (2009) document a very strong correlation between forest degradation/deforestation/agricultural expansion and in-migration of people from northern Burkina Faso to the Sissili province where higher soil fertility and more rainfall offer better agricultural potentials. The drivers of this general north to south migration appear to be a combination of increasing population density and increasing aridity in the northern part of the country. For the period 1962–2006, Idinoba et al. (2010) document an increase in the mean annual temperature of 1.5 °C and a 20-mm rainfall decrease in Burkina Faso. While urbanization is prominent in Burkina Faso, the most common destination for domestic migrants from rural areas is in fact other rural areas (Henry et al. 2004a). Migrants are moving from the northern and central regions to the western and southern parts of the country (Sawadogo 2006), and decreasing rainfall appears to be a strong determinant, which increases the likelihood of long-term migration to the southern and western parts of the country (Henry et al. 2004b). The strong impact on forest cover of this southward migration is believed to be clearance for agriculture amplified by newcomers’ tendency to also produce charcoal and firewood for cash such that they can buy food until their first crop matures (Ouedraogo et al. 2009).Open woodland in Southern Burkina Faso and Northern Ghana should, however, not be interpreted only as ‘degraded’ forest. Rather, these areas are in many cases parklands that are extremely variable landscapes in which mature trees, usually a few dominant species, occur scattered in cultivated or recently fallowed fields (Boffa 1999). Human manipulation of the natural tree vegetation to suit certain needs has determined the composition and density of trees in parklands, which constitute the predominant agro-forestry system in semi-arid West Africa (op. cit.). Parklands are, moreover, quite dynamic systems and variations in tree cover may reflect everything from degeneration (due to over-utilization) to farmer strategies for long-term parkland development to reach appropriate tree-crop combinations and high fruit production (op. cit.).
Idinoba et al. (2010) show that within Wenchi district in Ghana’s transition zone (immediately west of site 3), open forest went from 32 % in 1972 to only 5 % land coverage in 2000 (1.2 % reduction per annum) and closed savannah woodland went from 59.4 to 21.2 %. In the high forest zone district of Wassa Armani, which is immediately north-west of site 4, they found that closed forest coverage went from 57.6 % in 1985 to 34.2 % in 2000, moderately closed tree cover (>15 trees/ha) went from 7.2 % in 1972 to 5.9 % in 2000 while moderately open forest (<15 trees/ha) increased from 35.0 % in 1972 to 60 % in 2000.
Agricultural expansion driven by population increase, control of diseases (river blindness), and road network expansion is, together with uncontrolled bush fires, the most prominent reasons for reduced tree coverage in Ghana’s savannah and transition zones (Wardell et al. 2003; Appiah et al. 2009). While conversion of off-reserve forest to palm oil, rubber and cocoa plantation is believed to be the main cause of deforestation/loss of tree coverage in the high forest zone (Amanor 1996; Appiah et al. 2009; Idinoba et al. 2010; Mayers et al. 2010), unsustainable timber harvest is an additional factor. Based on official harvest and export volumes as well as the 1996 high forest zone timber inventory, Hansen and Treue (2008) document that, over the period 1996–2005, all the commercially most valuable timber species have been harvested considerably above their regenerative capacity. This is particularly the case for areas outside forest reserves where the most valuable timber species are almost depleted. Over-harvesting inside forest reserves may not reduce the crown coverage and carbon storage as the commercially less valuable species are either not harvested at all or harvested well below their regenerative capacity. However, unrecorded yet sizable and seemingly accelerating illegal chainsaw lumbering is taking place within the entire high forest zone, thus adding to the general depletion of forest resources (Hansen et al. 2009).
The annual deforestations rates of 0.91–1.03 % for Burkina Faso in Table 1 are, thus, not in obvious conflict with the available case studies. The dramatic annual deforestation rates of 1.99–2.19 % for Ghana might be on the high side (c.f. Hansen et al. 2009). Yet, the available case studies leave no doubt that forests in the high forest, transition as well as the savannah zones are being cleared, fragmented, and degraded—and trees on fallow and farmlands are getting fewer and further apart.
The economic dependence of rural people on forest and non-forest environmental resources in Southern Burkina Faso as well as the whole of Ghana should, therefore, be considered in a context of declining forest and general tree cover. The political implications of this trend are obviously compounded if the general picture of deforestation in most other West African countries (c.f. Table 1) share similarities with those of Burkina Faso and Ghana. This appears likely as the population growth rates in these countries are either similar to or higher than those of Burkina Faso and Ghana. With the exception of The Gambia and Liberia, the rural share of the population in these countries is also higher or equal to that of Ghana (c.f. Table 1).
Forest and Tree Tenure
In Burkina Faso, the state owns all forests. Classified lands comprise 14 % of the national territory and are sub-divided into classified forests, national parks, and animal reserves (MECV 2004). Strict, de jure, restrictions apply to classified lands, where local peoples’ use rights only include subsistence extraction of dead wood, fruits and plants for food or medicinal uses. Commercial extraction is illegal. The 1991 constitution in Burkina Faso kicked off a decentralization process which is still ongoing. According to Bouda et al. (2009), this process has two main objectives: (i) to transfer powers and resources to local governments, and (ii) to agree nationally on a standard model for rural municipalities. Many studies have, however, found that decentralization laws are ineffective and thus promote foresters’ and elites’ capture of control over forests (e.g., Bouda et al. 2009; Westholm and Kokko 2011) while rural populations’ forest tenure rights are eroded (Sawadogo 2006; Brännlund et al. 2009; Coulibaly-Lingani et al. 2009).
In Ghana, forest reserves cover about 11 % of the national territory while national parks, wildlife sanctuaries, game and nature reserves cover about 5 % (World Bank 2006). Local communities, “Stools” and “Skins”, are the, de jure, owners of practically all land, but the state is the sole, de jure, manager and, de facto, owner, of forest and timber resources. Accordingly, the Forestry Commission (FC) allocates standing trees to timber companies on a concession basis (Hansen et al. 2009). Official timber rights are, however, being monopolized by integrated wood exporting companies through substantial unofficial payments while producers for the expanding domestic timber market have turned to chainsaw lumbering, which was officially banned in 1998, but in practice is allowed to continue. Rural communities in Ghana are, however, effectively restricted in accessing the substantial timber revenues because their share is administratively defined as a fraction (currently 50 %) of the politically defined low official felling fees and because inflation erodes their share due to long delays in payments (Treue 2001; FC 2009; Mayers et al. 2010; Hansen and Lund 2011). Individual farmers have no rights to official timber revenues whatsoever and their right to compensation for crop damages by timber companies is often violated without consequences for the operators causing the damage (Marfo and Schanz 2009; Hansen 2010). Without official permission, it is illegal to graze livestock inside or collect, transport and market products from forest reserves (Forest Protection (Amendment) Act 2002). Yet, in practice, rural people hunt, collect NTFPs, and produce chainsaw lumber in forest reserves for subsistence and commercial purposes without permits.
With the exceptions of Sierra Leone and Togo, all forests in West Africa are in practice government owned (FAO 2010). Moreover, contrary to many countries in Eastern and Southern Africa, communities have only been granted management rights to a very small fraction of government forests (Sunderlin et al. 2008; FAO 2010; Ribot et al. 2010). We cannot document a causal relationship between centralized forest ownership/management and deforestation/forest degradation in Burkina Faso and Ghana—or other West African countries. Yet, centralized forestry administrations in developing countries have generally failed to conserve their nation’s forest resources. This, together with the objective of improving rural livelihoods, has promoted forest decentralization in a large and growing number of developing countries (Sunderlin et al. 2008).
Materials and Methods
Study Area and Context
Figure 1 is an adapted version of the European Space Agency’s GLOBCOVER interactive map source (ESA/GLOBCOVER 2008) and depict the land cover types in the sub-Saharan part of West Africa as well as the location of sites 1–4. Figure 1 provides the map legend including the relative extent of land cover types.
Fig. 1.

Land cover types of West Africa (Bicheron et al. 2008 and ESA/GLOBCOVER 2008) and location of sites 1–4
As Fig. 1 indicates, the sites in Burkina Faso (1 and 2) are located within areas dominated by three land cover types: (i) Closed to open (>15 %) scrubland (<5 m), (ii) Mosaic: Forest/Scrubland (50–70 %)/Grassland (20–50 %), and (iii) Rain-fed croplands. Together, the land cover types within which sites 1 and 2 are located, account for 41.1 % of the land area shown in Fig. 1. Site 3 in Ghana is located in the transition zone between high forest and savannah. This area is dominated by three land cover types: (i) Mosaic: Cropland, Tree cover, and Natural Vegetation, (ii) Closed to open (>15 %) evergreen and/semi-deciduous forest (>5 m) and to a lesser extent (iii) Rain-fed croplands. Site 4 is located within the wet-evergreen/semi-deciduous part of Ghana’s high forest zone, of which most has been converted to farming purposes. The land cover is dominated by two types: (i) Mosaic: Cropland, Tree cover, and Natural Vegetation and (ii) Closed to open (>15 %) evergreen and/semi-deciduous forest (>5 m).
In total, sites 1–4 are located within land cover types that account for about 61.6 % of the sub-Saharan land area in Fig. 1. Areas with no scrub or trees cover about 17.4 % of the land. Accordingly, sites 1–4 fall within land cover types that account for almost 75 % of land with some tree or scrub cover. Since West Africa is among the most densely populated areas on the continent (FAO 2008; Table 1), land cover types which include some tree and scrub cover must logically support the livelihoods of millions of rural people.
Burkina Faso is one of the poorest countries of the world: it ranked 181st of 187 countries in UNDP’s human development index (UNDP 2011); more than half of the country’s population (56.5 %) lives on less than 1.25$/day (UNDP 2011) and the 2010 adult literacy rate was estimated at 28.7 % (UNDP 2011). By contrast, Ghana is one of the better-off countries in sub-Saharan Africa: in 2010, it ranked 135th in the human development index and people living under 1.25$/day and the adult literacy rate were estimated at 30.0 and 66.6 %, respectively (UNDP 2011).
Pouliot et al. (2008) and Obiri et al. (2011) offer detailed descriptions of the study sites. In summary, the basic characteristics are:
Site 1, 11°30′N and 00°58′W, is situated in the centre-south region of Burkina Faso. This region is one of poorest of Burkina Faso, as some 66 % of the population lives below the national poverty line at 0.41$/day. The climate is dry with annual rainfall ranging between 800 and 1000 mm in the region. This site is located on the main road between Ouagadougou (140 km) and the Ghanaian border (60 km). The Nobéré site borders the nature reserve “Parc National Kaboré Tambi” where land cover consists mainly of open forest with patches of savannah. The park is an important source of fuelwood, fodder, food, construction materials, and medicines for local people’s subsistence. Outside the park, the land cover is mainly savannah, fallow, and parklands. People in the area practice subsistence agriculture dominated by millet, sorghum, and to some extent maize. Agriculture is complemented with animal husbandry.
Site 2, 10°38′0″N and 4°54′0″W, is situated in the south-western part of Burkina Faso, Cascades region. This is one of the regions where the incidence of poverty is lowest, as some 39 % of the population lives below the national poverty line. Annual rainfall ranges between 1000 and 1200 mm. It is the most forested region of the country and less disturbed forests can be found due to a relatively low population density. People in the area practice subsistence agriculture dominated by millet, sorghum, and maize, but commercial agriculture is also a common activity with sweet potato, yam, and cotton as the main crops. Agriculture is complemented with animal husbandry.
Site 3 comprises 15 villages around 7°28′00″N and 1°50′00″W in Brong-Ahafo region, which covers the middle portion of Ghana. The villages lie in the transition between the high forest and the savannah zones where the annual rainfall is around 1100 mm. Three of the villages are situated in the vicinity of Boabeng-Fiema Monkey Sanctuary while the remaining 12 surround the connected and rather degraded (open canopy) forest reserves of Asubima and Afrensu-Brohuma. Combined subsistence and commercial agriculture is the main economic activity and products include maize, yam, vegetables, cassava, groundnut, cowpea, cocoyam, plantain, cashew, cotton, and tobacco. Livestock rearing also forms part of many households’ activity portfolio. In Brong-Ahafo, 29 % of the population lives below the national poverty line of 1.00$/day which coincides with the national average.
Site 4 comprises 15 villages around 5°13′00″N and 2°00′00″W in Ghana’s Western Region, which covers the south-western part of the country. The villages are situated in the mosaic agricultural landscape between Nueng, Nueng South, Bonsa River, and Subri River forest reserves which belong to the tropical wet evergreen ecology zone that has an annual rainfall of around 2000 mm. Subsistence and commercial agriculture are the main occupations and products include cocoa, palm oil, rubber, cassava, plantain, and yam. Animal husbandry is extremely limited. The Western Region is among the wealthiest in Ghana and ‘only’ 18 % of the population lives below the national poverty line.
Data Collection
Following the formats and approaches described in Angelsen et al. (2011), data covering a full year was collected through four quarterly surveys between November 2007 and December 2008 with a total of 1014 households (279 in site 1; 257 in site 2; 244 in site 3; and 234 in site 4). Group discussions were carried out at the beginning and at the end of the 1-year survey period in each of the participating villages, where information about collected forest products, institutions, infrastructure, trends in forest resource availability and major agricultural products was gathered. The quarterly household surveys were used to collect information on households’ income sources so as to establish the absolute and relative economic importance of different income sources. The recall period used for the income and activity reports was 1 month for common forest products (e.g., fuelwood), environmental, small livestock (e.g., poultry), wage, and business incomes. A 3-month recall period was used for crop, larger livestock (e.g., cattle, goat, and sheep), seasonal forest products (e.g., Bombax costatum flowers), and transfer payment incomes.
Forests “[…] is used to refer to land with a tree canopy cover of more than 10 percent and area of more than 0.5 ha. [They] are determined both by the presence of trees and the absence of other predominant land uses” (FAO 2000). Forest income is defined as a type of income (in cash or kind) obtained from the harvesting of forest resources. Non-forest environmental income refers to the cash or consumption value of products that are collected outside forests and provided through natural processes. Accordingly, forest and non-forest environmental products are, contrary to agricultural products, not the result of intensive or any cultivation efforts. The collection of environmental products may, however, be subject to more or less intensive management (regulatory) systems, i.e., to rules of extraction that might be more or less effectively enforced. In the parklands, trees are to a large extent, although not entirely, the result of a management system (c.f. above). However, since most parkland trees are naturally established and subsequently conserved (as opposed to cultivated) by land-using communities, such trees are considered to yield environmental products in this study.
Data Analysis
Value estimates for all products whether sold or consumed were obtained from the respondents’ own reports (stated selling and buying prices, willingness to pay or the price of comparable substitutes), which were valid and reliable—and for traded products quite similar to but not always equaling local market prices (Pouliot et al. 2008; Obiri et al. 2011). Total net incomes were calculated as gross values minus the total costs of all purchased inputs including hired (not family) labor. To allow comparisons, all households’ incomes were divided by their adult equivalent units (aeu) through assigning the value 1 to the first adult household member, 0.7 to each additional adult and 0.5 to each child (below 15 years of age) (c.f. OECD 2005). Furthermore, all values were converted to international dollars using the Purchasing power parity (PPP) conversion factor of 0.581 Ghanaian cedis and 248.429 CFA francs in 2008 (UNstats 2010). Based on PPP adjusted per aeu incomes, households are, by country, wealth-grouped into the 50 % poorest and 50 % richest (poor/better-off). Through t tests, we tested the statistical significance of differences between means of household incomes between poor and better-off households.
Results
The Contribution of Forest and Other Environmental Resources to Rural Incomes
Table 2 presents results on the contribution of different income sources to total income for poor and better-off households in Ghana and Burkina Faso. A first striking result is that non-forest environmental resources contributed very substantially to rural incomes, especially for the poorest half of households, both in Ghana (23 %) and in Burkina Faso (28 %). In Burkina Faso, these households’ reliance on non-forest environmental income was also significantly higher than that of any other income source, while it was second to crop income in Ghana. Better-off households also relied on the non-forest environment, although to a lesser extent than poor households (on average 13 % for both countries). Forest income, on the other hand, accounted for a considerably lower share of income (8–13 %), and interestingly it did not vary significantly between rich and poor households, or even between countries.
Table 2.
Total annual income by sources and income group surveyed in Burkina Faso and Ghana
| Income groups, Ghana | P value (t test) | Income groups, Burkina Faso | P value (t test) | |||
|---|---|---|---|---|---|---|
| Poor (n = 227) | Better-off (n = 239) | Poor (n = 262) | Better-off (n = 268) | |||
| Total net income ($(PPP adjusted) per aeu) ± standard error of the mean | 462 ± 15 | 3014 ± 270 | 0.0000 | 211 ± 6 | 1054 ± 59 | 0.0000 |
| Crop share | 0.33 | 0.53 | 0.0000 | 0.22 | 0.29 | 0.0001 |
| Livestock share | 0.10 | 0.07 | 0.0184 | 0.23 | 0.29 | 0.0033 |
| Non-forest environmental share | 0.23 | 0.13 | 0.0001 | 0.28 | 0.13 | 0.0000 |
| Forest share | 0.13 | 0.10 | 0.1067 | 0.08 | 0.10 | 0.9136 |
| Non-farm income share | 0.21 | 0.17 | 0.1431 | 0.19 | 0.19 | 0.2703 |
Households with negative net yearly income (n = 12 for Ghana and n = 6 for Burkina Faso) were not included in this analysis. Negative household income was due to, e.g., crop failure, loss of livestock, etc
To reduce the influence of extreme individual household values, income shares are here calculated as the means of individual household’s shares for each group of income sources (instead of the share of aggregated income by sources in aggregated total income across all households within each income group)
Although our results show that rural households generated their income from many types of activities, agriculture was clearly the main source of income for both household groups in Ghana. In Burkina Faso, livestock rearing and agriculture generated an equally large share of household income. Non-farm income, including income from businesses, wage, pension, remittances and gifts, contributed 17–21 % of total net household income in our sample.
Forest and Non-forest Environmental Products
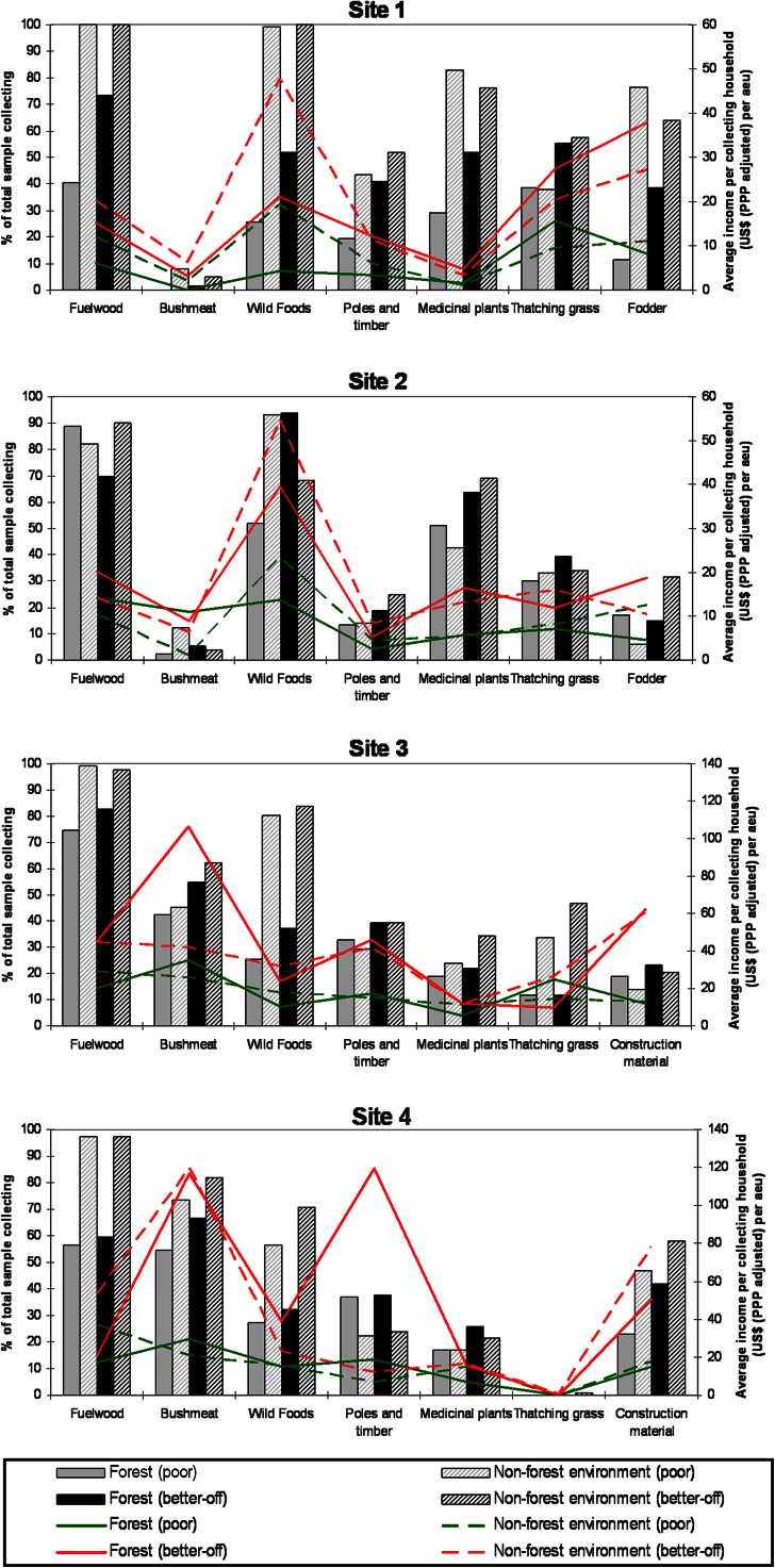
Figure 2 summarizes the importance of the most collected product categories by showing the percentage of households that collected them at least once during the recording year (bars) as well as their value (points connected with straight lines). In terms of collection frequency, fuelwood dominates with 69 % of the Ghanaian and 74 % of the Burkinabe households collecting it at least once a year in the forest while 98 % of the Ghanaian and 89 % of Burkinabe households collected fuelwood in the environment outside forests. Collection of wild foods (e.g., nuts, fruits, leaves) was also a common activity, especially in Burkina Faso where 50 % of the households collected these at least once from the forest and 97 % from the non-forest environment. In Ghana, 41 % of the households collected wild foods in the forest while 86 % did it in the non-forest environment. Medicinal plants and fodder (site 1) were also commonly collected in Burkina Faso and bushmeat was frequently reported by Ghanaian households.
Fig. 2.
Percentage of households collecting (bars referring to the left hand side y-axis) and average income per adult equivalent unit by collecting households (lines referring to the right hand side y-axis), by household and product categories, sites 1–4
The product categories which, on average, generated the highest total income for collecting households in site 1 were: (i) wild foods, fodder, and thatching grass for better-off households, and (ii) wild foods, thatching grass, and fuelwood for poor households. In site 2, the products which generated highest income were: (i) wild foods, fuelwood, and medicinal plants for better-off households, and (ii) wild foods, fuelwood, and bushmeat for poor households. In sites 3 and 4, those products were: (i) bushmeat, timber, and construction materials for better-off households, and (ii) bushmeat, fuelwood, thatching grass (site 3), and timber (site 4) for poorer households.
Moreover, livestock was often reported to browse and graze in forest areas of Burkina Faso. In total, 178 or 33 % of the 536 households reported sending livestock to the forest, at least during some parts of the year and especially during the agricultural season. During that period, 128 households reported sending their livestock to graze in the forest for, on average, 64 % of the time. No browsing and grazing in forests was reported by the Ghanaian households.
Figure 2 also shows households’ reliance on the non-forest environment versus forests for each product category. The pattern is that all product categories are collected both in forests and the non-forest environment but most are collected more often in the non-forest environment by the poor and the better-off households. A few products were collected as often in forests as in the non-forest environment (e.g., thatching grass by better-off households in site 1) and only in one of the four sites a product category was collected more often inside than outside forests (poles and timber by both poor and better-off households in site 4).
Average per aeu incomes are generally higher for better-off than poor households, for all product categories. Furthermore, income from most product categories seem unrelated to their origin (i.e., forest vs. non-forest environment as solid and broken green/red lines generally lie close to each other). Yet, (i) in Burkina Faso, all households generated much higher wild food revenues from the non-forest environment than from forests, (ii) in site 3, better-off households generated much higher bushmeat revenues from forests than from the non-forest environment and (iii) poles and timber from the forests in site 4, generated particularly high revenues for better-off households.
Discussion
Importance of Forest and Non-forest Environmental Incomes
Although the rural households in Ghana generated considerably higher absolute income than the rural households in Burkina Faso, the relative economic importance of forests and non-forest environmental resources are strikingly similar across countries. The general pattern being that, in combination, forest and non-forest environmental incomes account for more than a third of the poorest households’ annual income (36 % in Ghana and Burkina Faso; Table 2) while contributing as much as 23 % to the better-off households’ income. This echoes other studies which document that, in developing countries, all rural households and particularly the poorest depend considerably on non- or less intensively cultivated resources (e.g., natural forests and parklands, respectively) for their livelihoods (e.g., Cavendish 2000; Vedeld et al. 2004; Mamo et al. 2007; Kamanga et al. 2009). It is, however, remarkable that in both Burkina Faso and Ghana, the poorest households depend much more on the non-forest environment than on forests, which contradicts that forests are particularly important for the rural poor. Whether this is a result of poor people’s access to forests being socially more restricted or whether the most collected products, e.g., fuelwood and wild foods, are simply more plentiful and physically easier to access outside than inside forests is not possible to say based on this study’s data—except in the case of wild foods in Burkina Faso where one of the dominant products, Shea nuts, is almost exclusively collected outside forests because of its abundance in agroforestry parklands (Breman and Kessler 1995). However, since parklands (and possibly also the fallow lands in Southern Ghana) are under some kind of management to serve human needs (c.f. above), one should perhaps expect rather than be surprised to find that non-forest environmental products make up such an important share of rural people’s livelihoods. Since poor households, in absolute terms, generate less income from the non-forest environment than the more well-off households (c.f. Fig. 2), we may speculate that poor households’ access to non-forest environmental products is socially regulated and that their economic status does not warrant them special privileges in this respect.
Livelihood Consequences of Forest Degradation in West Africa
The significant economic importance of forest and non-forest environmental products to rural people raises concern over the social consequences of deforestation and forest degradation (e.g., de Sherbinin et al. 2008; Shackleton et al. 2011). Moreover, if population growth and Sahelian people’s adaptation to climate change by migrating southwards lead to the observed loss of tree coverage in West Africa, then the predicted social problems are likely to materialize very soon in this part of the world. This scenario is, however, conditional on the degree to which rural people actually depend on forests and whether they are capable of adapting to an environment with less and smaller forests (c.f. similarities with the fuelwood crises predicted in the 1970s, e.g., Vermeulen 2001). Ideally, panel data should be used to document such trade-offs, but the observed pattern of product collection in forests and the non-forest environment provides useful insight as they reflect the sum of individuals’ decisions on what pays to collect where, given the, de facto, accessibility of forest and non-forest environmental resources that the governance system, demographic development and changes in land cover types have shaped.
Figure 2 may therefore be interpreted to illustrate that, in the likely event of more forests being converted into, e.g., woodlands, very few important products are liable to become critically scarce simply because most products collected in forests are also collected in the non-forest environment. Two important exceptions are timber and bushmeat in Ghana. When collected in forests, these products generated very high incomes, but only to better-off households. Moreover, since products from the non-forest environment are in total more valuable to rural people in general and the poorest in particular (Table 2), then an average area of land converted from forest to agriculture and non-forest land types (e.g., parklands, woodlands, fallows, and bush lands) actually increases the value of such land to rural people. Accordingly, during the process of agricultural expansion and what scholars and environmentalists tend to label forest ‘degradation’, rural people cannot be expected to conserve forests because they are of particularly high value to them, on the contrary, in fact.
This general and historically well know picture across the world of poor people adding value to land for themselves by removing (certain) trees is, however, not entirely straight forward. In absolute terms, the richest households in Ghana extract around five times more value from forests than the poorest (Table 2). This is because, in comparison to the poorest households, they generate much higher absolute incomes from the categories “bushmeat” and “poles and timber”, which are not nearly as prominent in the non-forest environment where bushmeat is also sourced in substantial amounts (Fig. 2). Pastoralists in Burkina Faso might also suffer if they end up with a shrinking area to graze their cattle during the cropping season. Yet, unless the reserved forests are encroached by permanent agriculture and associated settlements, these areas might still be available for cattle browsing irrespective of a declining tree cover. A gradual replacement of unreserved forest by agriculture will, however, decrease the total area of cropping season ‘cattle stations’.
These considerations assume that converted forests add to the stock of non-forest environmental areas, which is of course not necessarily the case if, as the land cover change analyses document, the area under agriculture is expanded. However, as Table 2 indicates, cropland seems, not surprisingly, to be the most valuable land use to rural people except for the poorest half of Burkinabe households. Accordingly, the poorest might end up as losers if forests are converted to more open land types while even more of the non-forest environment is captured for cultivation by better-off households. This is, however, not (yet) the situation because, over the past 20–30 years, the areas of agriculture as well as the areas of more or less open wood lands seem to have increased (c.f. the above quoted land cover change studies).
In sum, the bottom line appears to be that forests do provide important environmental products to rural people but their option value as land banks are in fact much higher when migration (possibly climate change induced) and the general population increase as well as infrastructural developments make remote areas more accessible thus enhancing the demand pressure for cropland. Accordingly, if rich countries should transfer funds to poor West African countries in an effort to mitigate climate change through REDD+, then it needs to be associated with making forests more valuable to rural people as forests. This would, however, require radical reform of land and forest tenure such that rural people may get tangible and legally enforceable rights to REDD+ revenues. Otherwise, REDD+ may well repeat the development in Ghana’s high forest zone where the political and the timber elites, through their control over timber rights and harvesting fees, capture the biggest forest revenues but gradually lose control over the forest area and timber resources, both of which are dwindling. In other words, REDD+ payments to ‘save’ some of the remaining forest resources in Burkina Faso and Ghana will in all likelihood fail in the absence of radical reform of forest rights. The central states may obviously control REDD+ revenue flows but these will be performance-based and are thus unlikely to ever materialize unless new forest governance approaches replace the current and, in terms of forest conservation, rather unsuccessful forest governance systems (c.f. above). This aspect of REDD+ is, however, not particularly prominent in the ongoing processes where Burkina Faso and Ghana happen to be pilot REDD+ countries (Mayers et al. 2010; Westholm and Kokko 2011).
Conclusion
Environmental resources, and especially non-forest resources, were shown to be a major source of income for rural households in Burkina Faso and Ghana. Together, forest and non-forest environmental resources represent 36 and 23 % of total income for the poorest and better-off households, respectively, in Burkina Faso and Ghana. In the likely event that agriculture and non-forest land types continue to replace forests, rural people would not lose much and many might actually gain because, in comparison to forests, rural people generally derive higher or equally high values from cropping and from the non-forest environment. This is in part due to rural people’s restricted access to the most valuable forest resources (timber in particular). Better-off households relying on timber and/or bushmeat in Ghana could, however, be affected negatively due to the apparent low availability of these resources in the non-forest environment. Moreover, forest degradation could have a negative impact on Burkinabe cattle herders who use forests as seasonal grazing reservoirs.
Accordingly, if West African forests should be conserved, e.g., to mitigate climate change through REDD+ schemes, they must be made more valuable to rural people as forests -not as land banks. This can only be achieved through a combination of sufficiently high REDD+ payments and a reform of forest rights and revenues, which will ensure that local people favor forest conservation over other land uses.
Acknowledgments
We wish to express our gratitude to the 1014 households who have participated in this study. Field work for this research was supported by the Center for International Forestry Research (CIFOR), the Danish International Development Agency (Danida), and the University of Copenhagen. We also thank the participants in the PEN science workshop at the University of East Anglia in June 2011 for their inputs to an earlier draft of this paper. Finally, we are grateful for the constructive and critical comments from two anonymous reviewers.
Biographies
Mariève Pouliot
is a doctoral candidate at the Danish Centre for Forest, Landscape and Planning, University of Copenhagen, Denmark. Her research focuses on forests and livelihoods, including the link between forests and human health, in West Africa.
Thorsten Treue
is an Associate Professor at the Danish Centre for Forest, Landscape and Planning, University of Copenhagen, Denmark. His research generally focuses on forest governance and particularly on the socioeconomic, bio-physical and democratization effects/outcomes of decentralized forest management in developing countries.
Beatrice Darko Obiri
is a research scientist at the Forestry Research Institute of Ghana, Ghana. Her research focuses on forest product markets, farming systems, sustainable land use, ethnobotany, agricultural ecological economics, livelihoods and gender analyses in Ghana.
Boureima Ouedraogo
is an Associate Professor at the Département de Sociologie, Université de Ouagadougou, Burkina Faso. His research focuses on the sociology of development and on the links between poverty and the environment in Burkina Faso.
References
- Amanor KS. Managing trees in the farming system: The perspectives of farmers. Accra, Ghana: Forestry Department; 1996. [Google Scholar]
- Angelsen A, Overgaard Larsen H, Lund JF, Smith-Hall C, Wunder S. Measuring livelihoods and environmental dependence: Methods for research and fieldwork. London: Earthscan; 2011. [Google Scholar]
- Appiah M, Blay D, Damnyag L, Dwomoh FK, Pappinen A, Luukkanen O. Dependence on forest resources and tropical deforestation in Ghana. Environment, Development and Sustainability. 2009;11:471–487. doi: 10.1007/s10668-007-9125-0. [DOI] [Google Scholar]
- Bicheron, P., P. Defourny, C. Brockmann, L. Schouten, C. Vancutsem, M. Huc, S. Bontemps, M. Leroy, et al. 2008. GLOBCOVER 2008: Products description and validation report. http://ionia1.esrin.esa.int/. Retrieved 21 Sept 2011.
- Boffa, J.-M. 1999. Agroforestry parklands in sub-Saharan Africa, FAO Conservation Guide 34, Rome.
- Bontemps, S., P. Defourny, E. Van Bogaert, O. Arino, V. Kalogirou, and J.R. Perez. 2011. GLOBCOVER 2009: Products description and validation report. European Space Agency. http://ionia1.esrin.esa.int/docs/GLOBCOVER2009_Validation_Report_2.2.pdf. Retrieved 21 Sept 2011.
- Bouda HN, Savadogo P, Tiveau D, Ouedraogo B. State, forest and community: Challenges of democratically decentralizing forest management in the centre-west region of Burkina Faso. Sustainable Development. 2009;19:275–288. doi: 10.1002/sd.444. [DOI] [Google Scholar]
- Brännlund R, Sidibe A, Gong P. Participation to forest conservation in National Kabore Tambi Park in Southern Burkina Faso. Forest Policy and Economics. 2009;11:468–474. doi: 10.1016/j.forpol.2009.05.005. [DOI] [Google Scholar]
- Breman H, Kessler JJ. Woody plants in agro-ecosystems of semi-arid regions, with an emphasis on the Sahelian countries. Berlin: Springer; 1995. [Google Scholar]
- Cavendish W. Empirical regularities in the poverty–environment relationships of rural households: Evidence from Zimbabwe. World Development. 2000;28:1979–2003. doi: 10.1016/S0305-750X(00)00066-8. [DOI] [Google Scholar]
- Coulibaly-Lingani P, Tigabu M, Savadogo P, Oden P-C, Ouadba J-M. Determinants of access to forest products in southern Burkina Faso. Forest Policy and Economics. 2009;11:516–524. doi: 10.1016/j.forpol.2009.06.002. [DOI] [Google Scholar]
- de Sherbinin A, VanWey LK, McSweeney K, Aggarwal R, Barbieri A, Henry S, Hunter LM, Twine W, Walker R. Rural household demographics, livelihoods and the environment. Global Environmental Change. 2008;18:38–53. doi: 10.1016/j.gloenvcha.2007.05.005. [DOI] [PMC free article] [PubMed] [Google Scholar]
- ESA/GLOBCOVER. 2008. European Space Agency Ionia GlobCover Portal. http://ionia1.esrin.esa.int/. Retrieved 21 Sept 2011.
- FAO. 2000. FRA 2000 on definitions of forest and forest change. http://www.fao.org/docrep/006/ad665e/ad665e00.htm#TopOfPage. Retrieved 14 Sept 2011.
- FAO. 2008. FAOSTAT. http://faostat.fao.org/site/550/default.aspx#ancor. Retrieved 14 Sept 2011.
- FAO. 2010. Forest Resource Assessment 2010. http://www.fao.org/docrep/013/i1757e/i1757e.pdf. Retrieved 14 Sept 2011.
- FC. 2009. Office of the administrator of stool lands & forestry commission stumpage/rent disbursement report for 1st January 2009–30th June, 2009. www.fcghana.com/publications/forestry_issues/stumpage_jan_jun_2009/index.htm. Retrieved 7 Sept 2011.
- Gakou M, Force JE, McLaughlin WJ. Non-timber forest products in rural Mali: A study of villager use. Agroforestry Systems. 1994;28:213–226. doi: 10.1007/BF00704757. [DOI] [Google Scholar]
- Gonzalez P. Desertification and a shift of forest species in the West African Sahel. Climate Research. 2001;17:217–228. doi: 10.3354/cr017217. [DOI] [Google Scholar]
- Hansen CP. Forest law compliance and enforcement: The case of on-farm timber extraction in Ghana. Journal of Environmental Management. 2010;92:575–586. doi: 10.1016/j.jenvman.2010.09.021. [DOI] [PubMed] [Google Scholar]
- Hansen CP, Lund JF. The political economy of timber taxation: The case of Ghana. Forest Policy and Economics. 2011;13:630–641. doi: 10.1016/j.forpol.2011.06.011. [DOI] [Google Scholar]
- Hansen CP, Lund JF, Treue T. Neither fast, nor easy: The prospects of Reducing Emissions from Deforestation and Degradation (REDD) in Ghana. International Forestry Review. 2009;11:439–455. doi: 10.1505/ifor.11.4.439. [DOI] [Google Scholar]
- Hansen CP, Treue T. Assessing illegal logging in Ghana. International Forestry Review. 2008;10:573–590. doi: 10.1505/ifor.10.4.573. [DOI] [Google Scholar]
- Harris F, Salisu M. Relying on nature: Wild foods in Northern Nigeria. AMBIO. 2003;32:24–29. doi: 10.1579/0044-7447-32.1.24. [DOI] [PubMed] [Google Scholar]
- Henry S, Piché V, Ouédraogo D, Lambin EF. Descriptive analysis of the individual migratory pathways according to environmental typologies. Population and Environment. 2004;25:397–422. doi: 10.1023/B:POEN.0000036929.19001.a4. [DOI] [Google Scholar]
- Henry S, Schoumaker B, Beauchemin C. The impact of rainfall on the first out-migration: A multi-level event-history analysis in Burkina Faso. Population and Environment. 2004;25:423–460. doi: 10.1023/B:POEN.0000036928.17696.e8. [DOI] [Google Scholar]
- Idinoba M, Nkem J, Kalame FB, Tachie-Obeng E, Gyampoh B. Dealing with reducing trends in forest ecosystem services through a vulnerability assessment and planned adaptation actions. African Journal of Science and Technology. 2010;4:419–429. [Google Scholar]
- IPCC. 2007. Fourth assessment report: Working group two, impacts, adaptation and vulnerability: Summary for policy makers. Intergovernmental panel on climate change. http://www.ipcc.ch/publications_and_data/ar4/wg2/en/spm.html. Retrieved 6 June 2011.
- Kamanga P, Vedeld P, Sjaastad E. Forest incomes and rural livelihoods in Chiradzulu District, Malawi. Ecological Economics. 2009;68:613–624. doi: 10.1016/j.ecolecon.2008.08.018. [DOI] [Google Scholar]
- Mamo G, Sjaastad E, Vedeld P. Economic dependence on forest resources: A case from Dendi District, Ethiopia. Forest Policy and Economics. 2007;9:916–927. doi: 10.1016/j.forpol.2006.08.001. [DOI] [Google Scholar]
- Marfo E, Schanz H. Managing logging compensation payment conflicts in Ghana: Understanding actor-empowerment and implications for policy intervention. Land Use Policy. 2009;26:619–629. doi: 10.1016/j.landusepol.2008.08.009. [DOI] [Google Scholar]
- Mayers, J., S. Maginnis, and E. Arthur. 2010. REDD Readiness Requires Radical Reform: Prospects for making the big changes needed to prepare for REDD-plus in Ghana. The Forest Dialogue (TFD). http://www.theforestdialogue.org. Retrieved 7 Sept 2011.
- MECV. 2004. Cadre stratégique de lutte contre la pauvreté. Ministère de l’environnement et du Cadre de vie. http://www.pnud.bf/docs/CSLP.PDF. Retrieved 1 Feb 2011.
- Obiri, B.D., E. Marfo, E. Nutakor, J. Cobbinah, and T. Treue. 2011. Estimating rural forest dependency in Ghana: Contextual information, methods and preliminary results. Forest and Landscape Working paper no. 64, Copenhagen, Denmark.
- OECD. 2005. What are equivalence scales? http://www.oecd.org/dataoecd/61/52/35411111.pdf. Retrieved 15 Nov 2011.
- Ouedraogo I, Savadogo P, Tigabu M, Cole R, Odén PC, Ouadba JM. Is rural migration a threat to environmental sustainability in southern Burkina Faso? Land Degradation and Development. 2009;20:217–230. doi: 10.1002/ldr.910. [DOI] [Google Scholar]
- Ouedraogo I, Tigabu M, Savadogo P, Compaoré H, Odén PC, Ouadba JM. Land cover change and its relation with population dynamics in Burkina Faso, West Africa. Land Degradation and Development. 2010;21:453–462. [Google Scholar]
- Pouliot, M., B. Ouedraogo, C. Smith-Hall, and H.L. Simonsen. 2008. Household-level studies of forests and poverty in Burkina Faso: Contextual information, methods and preliminary results. Forest and Landscape Working paper no. 47, Copenhagen, Denmark.
- Ribot JC, Lund JF, Treue T. Democratic decentralization in sub-Saharan Africa: Its contribution to forest management, livelihoods and enfranchisement. Environmental Conservation. 2010;37:35–44. doi: 10.1017/S0376892910000329. [DOI] [Google Scholar]
- Ribot JC, Peluso NL. A theory of access. Rural Sociology. 2003;68:153–181. doi: 10.1111/j.1549-0831.2003.tb00133.x. [DOI] [Google Scholar]
- Sawadogo, L. 2006. Adapter les approches de l’aménagement durable des forêts sèches aux aptitutes sociales, économiques et technologiques en Afrique: le cas du Burkina Faso. http://www.cifor.cgiar.org/publications/pdf_files/Books/BSawadogo0601.pdf. Retrieved 6 June 2011.
- Shackleton CM, Shackleton SE, Buiten E, Bird N. The importance of dry woodlands and forests in rural livelihoods and poverty alleviation in South Africa. Forest Policy and Economics. 2007;9:558–577. doi: 10.1016/j.forpol.2006.03.004. [DOI] [Google Scholar]
- Shackleton CM, Shackleton SE, Shanley P. Building a holistic picture: An integrative analysis of current and future prospects for non-timber forest products in a changing world. In: Shackleton CM, Shackleton SE, Shanley P, editors. Non-timber forest products in the global context. Berlin: Springer; 2011. [Google Scholar]
- Sunderlin W, Hatcher J, Liddle M. From exclusion to ownership? Challenges and opportunities in advancing forest tenure reform. Washington, DC: Rights and Resources Initiative; 2008. [Google Scholar]
- Treue T. Politics and economics of tropical high forest management: A case study of Ghana. Dordrecht: Kluwer Academic Publishers; 2001. [Google Scholar]
- UNDP. 2011. Human Development Report 2011: Sustainability and equity: A better future for all. United Nations Development Programme. http://hdr.undp.org/en/media/HDR_2011_EN_Complete.pdf. Retrieved 15 Nov 2011.
- UNstats. 2010. Purchasing power parities (PPP) conversion factor, local currency unit to international dollar. http://unstats.un.org/unsd/mdg/SeriesDetail.aspx?srid=699. Retrieved 26 May 2011.
- Vedeld, P., A. Angelsen, E. Sjaastad, and G.K. Berg. 2004. Counting on the environment: Forest incomes and the rural poor. Environmental economics series 98. Washington, DC: The World Bank Environmental Department.
- Vermeulen, S. 2001. Woodfuel in Africa: Crisis or adaptation? Literature review. http://130.241.192.19/Files/nationalekonomi/eeu/publications/cifor/chapter6.pdf. Retrieved 13 Dec 2011.
- Wardell DA, Reenberg A, Tøttrup C. Historical footprints in contemporary land use systems: Forest cover changes in savannah woodlands in the Sudano-Sahelian zone. Global Environmental Change. 2003;13:235–254. doi: 10.1016/S0959-3780(03)00056-6. [DOI] [Google Scholar]
- Westholm, L., and S. Kokko. 2011. Prospects for REDD+: Local forest management and climate change mitigation in Burkina Faso. http://www.focali.se/en/articles/artikelarkiv/prospects-for-redd-local-forest-management-and-climate-change-mitigation-in-burkina-faso. Retrieved 27 May 2011.
- Whiteman A, Lebedys A. The contribution of the forestry sector to African economies. International Forestry Review. 2006;8:31–43. doi: 10.1505/ifor.8.1.31. [DOI] [Google Scholar]
- World Bank. 2006. Ghana country environmental analysis. Report No: 36985-GH. Environmentally and socially sustainable development department (AFTSD) Africa region. http://siteresources.worldbank.org/INTRANETENVIRONMENT/3635842-1175696087492/21919456/Ghana_CEA.pdf. Retrieved 15 Nov 2011.

