Abstract
Background
Traditional agro-systems in arid areas are a bulwark for preserving soil stability and fertility, in the sight of “reverse desertification”. Nevertheless, the impact of desert farming practices on the diversity and abundance of the plant associated microbiome is poorly characterized, including its functional role in supporting plant development under drought stress.
Methodology/Principal Findings
We assessed the structure of the microbiome associated to the drought-sensitive pepper plant (Capsicum annuum L.) cultivated in a traditional Egyptian farm, focusing on microbe contribution to a crucial ecosystem service, i.e. plant growth under water deficit. The root system was dissected by sampling root/soil with a different degree of association to the plant: the endosphere, the rhizosphere and the root surrounding soil that were compared to the uncultivated soil. Bacterial community structure and diversity, determined by using Denaturing Gradient Gel Electrophoresis, differed according to the microhabitat, indicating a selective pressure determined by the plant activity. Similarly, culturable bacteria genera showed different distribution in the three root system fractions. Bacillus spp. (68% of the isolates) were mainly recovered from the endosphere, while rhizosphere and the root surrounding soil fractions were dominated by Klebsiella spp. (61% and 44% respectively). Most of the isolates (95%) presented in vitro multiple plant growth promoting (PGP) activities and stress resistance capabilities, but their distribution was different among the root system fractions analyzed, with enhanced abilities for Bacillus and the rhizobacteria strains. We show that the C. annuum rhizosphere under desert farming enriched populations of PGP bacteria capable of enhancing plant photosynthetic activity and biomass synthesis (up to 40%) under drought stress.
Conclusions/Significance
Crop cultivation provides critical ecosystem services in arid lands with the plant root system acting as a “resource island” able to attract and select microbial communities endowed with multiple PGP traits that sustain plant development under water limiting conditions.
Introduction
The “reverse desertification” includes a series of interventions aimed to sustain soil stability and productivity in arid lands, providing tools and strategies to support crop production for human feeding while preserving biodiversity and counteracting climate changes. Desert farming represents a strategy to protect soil fertility and aims at gaining arable land at expenses of desert soil, subjected to low resources landscape [1]. Traditional and more technologically efficient desert farming systems are well established in North Africa and their spread represents an impellent necessity to provide food for the increasing world population that will rapidly reach 9 billion people in few decades [2]. Desert farming primarily relies on irrigation in an ecosystem where water is a limiting and often polluted resource. Water stress is a primary cause of crop losses, reducing average yields by more than 50% [3]. Such a decrease in productivity is attributable to a direct negative effect of water scarcity on plant physiology. Despite the recognized importance of root associated microorganisms for plant growth and health, few studies are available on how desert farming affects the diversity of the crop associated-microbiome and whether the selected microorganisms still retain plant growth abilities to sustain plant development under water limiting conditions [4]. In particular, it is poorly explored whether desert farming may promote the selection of microbes capable of enhancing a key primary ecosystem service like plant tolerance to drought.
In the family Solanaceae, Capsicum annum L. is one of the horticulture plants most sensitive to water stress [5], [6]. Pepper has great economic, agricultural and food relevance, and despite it is largely cultivated where climatic conditions are generally characterized by high temperatures and scarce water availability [7], it requires a relatively high water supply during the whole crop life cycle to obtain high yield productivity [5], [8], [9], [10], [11]. Pepper has gained the role of a model plant in physiology studies, like those conducted on the effects that plant growth promoting (PGP) bacteria have in increasing the plant resistance to stress conditions such as salinity [12], [13], [14], [15], [16]. Nevertheless, little information is available either about the distribution and diversity of the autochthonous PGP microbiome of pepper cultivated in arid lands, or the potential of the associated PGP bacteria in directly promoting plant development through a stimulation of plant drought tolerance.
Therefore, this study is aimed to assess the impact of desert farming on plant-microbe association in pepper cultivated in arid conditions. We aimed to assess the diversity and topological repartition of bacteria in the pepper root system grown under desert farming and investigate whether under such a crop management practice the root system enriches bacteria capable of supporting the plant resistance to drought and water stress.
With this aim we adopted both culture-independent and -dependent approaches. Cluster analysis was applied to DGGE (Denaturing Gradient Gel Electrophoresis) to dissect the structure and the composition of the microbiome associated to pepper endosphere, rhizosphere and root surrounding soil in comparison to unvegetated soil (bulk). A large collection of isolates from different fractions of the plant root system was established and screened in vitro for PGP activities. The rhizo-competence of the bacterial strains was evaluated through an adhesion assay on both Arabidopsis thaliana and pepper rhizoplane. Finally we assessed the capacity of selected strains to support plant growth under water deficiency.
We demonstrated that the application of desert greening techniques in arid lands generate hotspots of microbial diversity in the rhizosphere of plants. These techniques include a virtuous use of water for irrigation, field fertilization with organic fertilizers originating from residues of crops and animal manure and other similar traditional agricultural management practises. Furthermore we documented that plant rhizosphere and endosphere are repository for selected and specialized microbial populations, able to promote plant growth under drought. Thus, desert farming hampers desertification by establishing fertility islands and allows to achieve crop yields despite the adverse environmental conditions.
Results
Variability of the Bacterial Community Structure as Revealed by Community Fingerprinting
A 16S rRNA gene PCR-DGGE analysis was performed to explore the structure of the microbial communities associated to the pepper root system. The rhizosphere (R), composed of the soil particles tightly adhering to the rhizoplane, the root surrounding soil (S), composed of the soil particles not attached to the root system, and surface sterilized root tissues (E, endosphere) were compared to the non cultivated soil (B, bulk soil) (Fig. S1 and 1). While all soil fractions resulted inhabited by a complex microbiome, represented by a multiple band pattern, the pepper endosphere was represented by a restricted community (Fig. S1). Cluster analysis of the DGGE band profiles revealed a sharp difference in the microbial community structure associated to the different fractions (Fig. 1). The composition of the microbiome associated to the soil fractions R and S hosting the plant clearly differed from the arid root-free soil, indicating that farming practices profoundly affect soil microbiome structure (Fig. 1). A rhizosphere effect could be also observed since the closeness of the root tissues determined a change of bacterial community structure in the R samples respect to the S samples. The pepper endosphere resulted rather different from the soil-borne fractions by approximately 50% of the detected bands, indicating a strong selection pressure determined by the plant tissues (Fig. 1).
Figure 1. Cluster analysis of total microbial communities according to 16S rRNA DGGE profiles.

The cluster analysis of the plot line was obtained from 16S rRNA PCR-DGGE bacterial community profiles, according to Pearson correlation. The analyzed fractions were root tissues (E), rhizosphere (R), root-surrounding soil (S) and bulk soil (B) of three replicate plants of pepper.
The dominant taxa associated with the PCR-DGGE profiles were identified by partial 16S rRNA band sequencing and their prevalence in the pepper root system and the non-cultivated arid soil was determined (Table 1). The major taxa associated to the pepper root system were affiliated to Actinobacteria, Bacilli, Alpha, Beta and Gammaproteobacteria. A certain taxa specificity was associated to the different fractions of the root system (Table 1). R and S fractions were dominated by Proteobacteria and spore forming bacteria of the genus Bacillus and related genera. Actinobacteria were retrieved only associated to plant root tissues and uncultivated root-free arid soil (Table 1). A differential repartition between the fractions was also observed for some Proteobacteria: Thiobacillus sp. was found only in the bulk soil, while some Pseudoxanthomonas sp. were typical of the endosphere fraction (Table 1).
Table 1. Phylogenetic identification and distribution of bacteria excised and sequenced from DGGE bands.
| Band | Class (RDP) | Closest Relative (accession number) | % | Closest type strain or described cultivable strain (accession number) | % | Fraction of the pepper root system | |||||||||
| E1 | E2 | E3 | R1 | R2 | R3 | S1 | S2 | S3 | B | ||||||
| 4 | Actinobacteria | Microbacterium phyllosphaerae (HM355641) | 100 | Microbacterium phyllosphaerae (HM355641) | 100 | X | |||||||||
| 22 | Actinobacteria | Uncultured Bacterium (DQ129271) | 97 | Nocardioides mesophilus (EF466117) | 97 | X | |||||||||
| 1 | Bacilli | Uncultured Bacterium (FN563205) | 98 | Paenibacillus taichungensis (FJ944633) | 95 | X | X | X | X | X | X | ||||
| 8 | Paenibacillus gansuensis (NR_043219) | 95 | |||||||||||||
| 3 | Uncultured Bacterium (FN563205) | 97 | Paenibacillus motobuensis (EU982886) | 94 | X | X | X | X | X | X | X | X | |||
| 16 | Bacilli | Uncultured Paenibacillus sp. (JX501979) | 99 | Paenibacillus chitinolyticus (AB680938) | 95 | X | X | X | X | X | X | ||||
| 20 | 98 | Paenibacillus chitinolyticus (FJ944683) | 96 | ||||||||||||
| 21 | Bacilli | Bacillus megaterium (JX312633) | 98 | Bacillus megaterium (JX312633) | 98 | X | X | X | X | X | X | X | X | ||
| 2 | Alphaproteobacteria | Unclassified Alphaproteobacterium (AY162055) | 98 | Sphingobium ummariense (NR_044171) | 98 | X | X | X | X | X | X | X | |||
| 11 | Betaproteobacteria | Uncultured Bacterium (HQ272664) | 98 | Thiobacillus thioparus (HM173633) | 97 | X | X | X | X | X | X | X | X | X | |
| 19 | Betaproteobacteria | Thiobacillus denitrificano (EU546130) | 98 | Thiobacillus denitrificano (EU546130) | 98 | X | X | X | X | X | X | X | |||
| 5 | Gammaproteobacteria | Rhodanobacter lindaniclasticus (AB245366) | 100 | Rhodanobacter lindaniclasticus (AB245366) | 100 | X | |||||||||
| 13 | Gammaproteobacteria | Rhodanobacter lindaniclasticus (AB245366) | 97 | Rhodanobacter lindaniclasticus (AB245366) | 97 | X | X | X | X | X | |||||
| 17 | Gammaproteobacteria | 99 | 99 | ||||||||||||
| 6 | Gammaproteobacteria | Pseudoxanthomonas ginseng isoli (JF778717) | 99 | Pseudoxanthomonas ginseng isoli (JF778717) | 99 | X | X | ||||||||
| 10 | Pseudoxanthomonas ginseng isoli (JF778717) | 99 | Pseudoxanthomonas ginseng isoli (JF778717) | 99 | X | X | X | X | X | ||||||
| 15 | 99 | 99 | |||||||||||||
| 7 | Gammaproteobacteria | Pseudoxanthomonas ginseng isoli (JF778717) | 99 | Pseudoxanthomonas ginseng isoli (JF778717) | 99 | X | X | ||||||||
| 9 | Gammaproteobacteria | Dyella yeojuensis (FN796854) | 99 | Dyella yeojuensis (FN796854) | 99 | X | |||||||||
| 12 | Gammaproteobacteria | Uncultured Thermomonas sp. (EF072902) | 99 | Lysobacter pocheonensis (EU273938) | 98 | X | X | X | X | X | |||||
| 14 | Gammaproteobacteria | Uncultured Thermomonas sp. (EF072902) | 99 | Lysobacter pocheonensis (EU273938) | 98 | X | X | X | X | X | X | ||||
| 18 | 98 | 97 | |||||||||||||
Identification of the dominant bands in the PCR-DGGE fingerprinting profiles (marked in Fig. S1) and their distribution in the different fractions of the pepper root system. The codes of the different fractions of the pepper root systems are as follow: E, Endosphere; R, rhizosphere; S, root-surrounding soil; B, non-cultivated root-free arid soil. The numbers following the codes indicate the different replicates.
X: presence of the band in the DGGE profile of the indicated fraction; in bold are indicated the bands that were actually sequenced.
Sequences of bands with the same mobility in the DGGE gel are reported in the same white/grey boxes. In some cases the different bands showed slightly different sequences whit few nucleotide variations. When the variation resulted within the 3% divergence on the 16S rRNA sequence, the bands where assumed to belong to the same OTU at the 97% identity threshold, as evaluated using DOTUR [68].
Quantitative Analysis of Bacterial Abundance
Statistically higher microbial counts were recorded for the culturable bacteria associated to R fraction in both R2A and KB media [(5.13±3.44)×109 and (1.28)×108 CFU g−1 fresh weight, respectively] in comparison to the non-cultivated arid soil [(1.28±0.72)×108 and (3.74±2.64)×107 CFU g−1 fresh weight, respectively] as shown in Table 2. While the culturable microbiome associated to S fraction showed viable counts with intermediate values between R and B fractions, significantly lower CFU [(9.62±4.53)×106 and (1.92±1.07)×105 CFU g−1 fresh weight, respectively] were observed in the pepper endosphere (Table 2). In contrast, the abundance of culturable ACC-deaminase (ACCd) bacteria showed a dramatic reduction in the non cultivated soil [(9.81±2.64)×104 CFU g−1 fresh weight] in comparison to plant associated fractions, where bacterial counts were detected at least four order of magnitude higher (Table 2).
Table 2. Abundance of culturable bacteria associated to the different fractions of the pepper root system.
| Fraction | Bacterial Count (CFU g−1 fresh weight) | N° isolates | ACCd haplotypes | ||||
| R2A | KB | ACC | R2A | KB | ACC | ||
| E | (9.62±4.53) 106 | (1.92±1.07) 105 | (1.60±4.53) 108 | 12 | 12 | 53 | 5 |
| R | (5.13±3.44) 109 | (1.28±0.00) 108 | (2.24±4.53) 109 | 12 | 12 | 50 | 8 |
| S | (5.83±4.06) 108 | (2.47±1.81) 107 | (2.48±2.28) 109 | 12 | 12 | 49 | 6 |
| B | (1.28±0.72) 108 | (3.74±2.64) 107 | (9.81±2.64) 104 | 12 | 12 | 51 | 5 |
The isolation was performed on different cultivation media. In the table it is reported the amount of bacterial isolates composing the strain collection associated to pepper endosphere and root-associated soil fractions. E, Endosphere; R, rhizosphere; S, root-surrounding soil; B, non-cultivated arid soil.
Phylogenetic Analysis of Cultivable Bacteria Associated to Pepper Root System
The generated microbial collection from the root system of pepper included a total of 299 bacterial strains (Table 3). Phylogenetic affiliation was performed by 16S rRNA partial sequencing; prior to this procedure, ACCd bacteria were de-replicated by strain typing through ribosomal spacers fingerprinting in order to define the different haplotypes. (Table 2).
Table 3. Distribution of microbial taxa in the collection of culturable bacterial isolates associated to pepper plants.
| Phylogenetic group | Genus | E (77) | R (74) | S (73) | B (75) | Species | E (77) | R (74) | S (73) | B (75) |
| Firmicutes | Bacillus | 52 | 21 | 20 | 25 | B. acidiceler | 1 | |||
| B. altitudinis | 5 | |||||||||
| B. amyloliquefaciens | 1 | 3 | 2 | |||||||
| B. antraci | 1 | |||||||||
| B. aquimaris | 1 | |||||||||
| B. cereus | 3 | 6 | 2 | 3 | ||||||
| B. endophyticus | 3 | 1 | 1 | |||||||
| B. firmus | 1 | |||||||||
| B. funiculus | 1 | |||||||||
| B. massiliensis | 1 | |||||||||
| B. megaterium | 13 | 7 | 7 | 13 | ||||||
| B. pumilus | 1 | 2 | ||||||||
| B. subtilis | 30 | 5 | 4 | 1 | ||||||
| B. thuringiensis | 2 | 1 | 1 | |||||||
| Lysinibacillus | 2 | 1 | L. fusiformis | 2 | ||||||
| Paenibacillus | 23 | P. illinoisensis | 23 | |||||||
| Betaproteobacteria | Achromobacter | 1 | A. xylosoxidans | 1 | ||||||
| Gammaproteobacteria | Acinetobacter | 1 | A. calcoaceticus | 1 | ||||||
| Citrobacter | 3 | 12 | C. freundii | 3 | 12 | |||||
| Klebsiella | 45 | 32 | 1 | K. oxytoca | 12 | |||||
| K. pneumoniae | 33 | 32 | 1 | |||||||
| Pseudomonas | 3 | 3 | P. fluorescens | 1 | ||||||
| P. koreensis | 1 | |||||||||
| P. mediterranea | 2 | |||||||||
| P. plecoglossicida | 1 | |||||||||
| P. putida | 1 | |||||||||
| Raoultella | 5 | R. planticola | 5 | |||||||
| Actinobacteria | Cellulosimicrobium | 43 | C. cellulans | 43 | ||||||
| Rhodococcus | 2 | R. fascians | 2 | |||||||
Numbers indicate the number of strains assigned to each genus or species, respectively.
The numbers in parentheses are the total number of isolates for each fraction.
Isolates were assigned to four phyla, namely Firmicutes, Beta and Gamma-subgroups of Proteobacteria and Actinobacteria, similarly to what observed by the cultivation-independent approach (Table 3). A differential distribution pattern of the major bacterial taxa among the different fractions of the pepper root system was observed (Table 3). According to cluster analysis, the composition of the cultivable community associated to R and S fractions shared a high similarity (83%), whereas that associated to the non-cultivated arid bulk soil differed significantly (Fig. 2). Despite being rather different under DGGE analysis (Fig. S2), the pepper root endosphere and the non-cultivated arid root-free soil resulted less distant according to cluster analysis (Fig. 2), presumably because of the abundance of the Bacillus isolates in both fractions (68% and 39%, respectively). Bacillus, Klebsiella and Cellulosimicrobium represented the most abundant genera in the bacterial collection (41%, 26% and 14%, respectively). In more detail, the pepper endosphere was dominated by the Firmicutes phylum and the strains were assigned to 3 genera: Bacillus, Paenibacillus and Lysinibacillus, which accounted for 68%, 30% and 3% of the isolates, respectively (Table 3 and Fig. S2). Thus E fraction was colonized by a restricted and peculiar community, as reflected by Shannon and Evenness indices (Table 4). In contrast, the R fraction showed the greatest biodiversity in terms of community structure (Table 3–4 and Fig. S2). The strains isolated from R were grouped within the Proteobacteria phylum (71%), comprising mainly Gammaproteobacteria (70%) and Betaproteobacteria (1%). Members of the Gammaproteobacteria group belonged to the genera Klebsiella (61%), Pseudomonas (4%), Citrobacter (4%) and Acinetobacter (1%). The Betaproteobacteria were represented by a single genus, Achromobacter. Members of the phylum Firmicutes were the second most abundant group in the rhizosphere (R fraction) and all the isolates belonged to the genus Bacillus (Table 3 and Fig. S2).
Figure 2. Cluster analysis of the cultivable bacteria associated to pepper fractions.

The cultivable fraction of pepper-associated bacteria was compared to uncultivated soil, by performing a cluster analysis according to Pearson correlation.
Table 4. Diversity indexes of the microbial collection.
| Diversity Index(OTUs 99%) | E | R | S | B |
| Taxa | 9 | 12 | 15 | 10 |
| Individuals | 77 | 74 | 73 | 75 |
| Dominance | 0.262 | 0.252 | 0.240 | 0.372 |
| Shannon | 1.586 | 1.799 | 1.930 | 1.429 |
| Simpson | 0.738 | 0.748 | 0.760 | 0.628 |
| Evenness | 0.543 | 0.504 | 0.459 | 0.417 |
The indexes were calculated for the sequences of bacterial strains isolated from the different fractions of the pepper root system and the non-cultivated arid soil. Sequences have been grouped in OTUs based on nucleotide similarity at 99%.
Similarly to the rhizosphere, in the S fraction two dominant phyla were detected: Gammaproteobacteria (71%) and Firmicutes (28%), with 4 genera in total: Klebsiella (44%), Bacillus (27%), Citrobacter (16%) and Raoultella (7%). The non-cultivated arid root-free soil was affected by the lowest Shannon and Evenness indices, pointing to a highly stable microbial community. The isolates from the B fraction were affiliated to three phyla: Actinobacteria (60%), Firmicutes (35%) and Gammaproteobacteria (5%). The genus Cellulosimicrobium was the major taxon (57%), followed by the genera Bacillus (39%), Rhodococcus (3%) and Klebsiella (1%) (Table 3 and Fig. S2).
A comparative analysis highlighted that strains of Paenibacillus (30%) were isolated only from fraction E. While members of Gammaproteobacteria were retrieved only in soil fractions, some genera showed a specific distribution: Pseudomonas was found only in R and S fractions; Acinetobacter only in R, strains of the Raoultella genus only in S and bacteria affiliated to Cellulosimicrobium and Rhodococcus only in B (Table 3).
Plant Growth Promoting Activities and Tolerances to Abiotic Stress of the Isolates
The potential functionality of pepper associated isolates to sustain plant growth under drought was assessed by a large screening for PGP abilities in relation to drought tolerance, and the resistance to abiotic stresses occurring in arid soils (Table 5). We assessed whether PGP abilities are differentially distributed in the different microhabitats of the pepper root system. All the fractions demonstrated to be colonised with a similar frequency by potential beneficial strains, even though in the non-cultivated arid soil PGP traits were less abundant (Table 5). While none of the isolates showed all the assayed PGP activities, 31,7% and 22,5% of strains presented respectively four and five PGP activities (Fig. S1). All the isolates presented the potential to adapt to unfavourable environmental conditions of arid soils, showing a certain halotolerance, resistance to low water availability and to variable temperature range (Table 5). Similarly, bacteria isolated from the E, R and S plant-associated fractions exhibited a large number of PGP traits compared to isolates from arid non-cultivated root-free soil (B fraction) (Table 5). Nevertheless, some abilities like nutrient supply (phosphate solubilisation, siderophore release), are more frequent in soil bacteria, while auxin synthesis, directly affecting plant hormone homeostasis, was primarily presented by endophytes (Table 5). PGP traits distribution among the different bacterial genera revealed that the Bacillus and Klebsiella showed a predominant role, even though other genera less frequently isolated, like Pseudomonas, Raoultella and Paenibacillus, exhibited a higher number of PGP potential activities (Table 6 and Table S2).
Table 5. PGP potential of the microbial collection.
| Isolationmedia | Plantfraction(N° ofisolates) | PGP activities and Tolerance to Abiotic stress (%) | |||||||||||||
| Aux. | P sol. | EPS | Sid. | NH3 | Prot | 5%NaCl | 8%NaCl | 10%NaCl | 10%PEG | 20%PEG | 4°C | 42°C | 50°C | ||
| ACCd(Haplotypes) | E (5) | 80 | 20 | 20 | 20 | 60 | 20 | 20 | 20 | 20 | 100 | 60 | 0 | 100 | 20 |
| R (8) | 38 | 88 | 63 | 75 | 88 | 0 | 75 | 0 | 0 | 100 | 100 | 88 | 100 | 0 | |
| S (6) | 83 | 100 | 83 | 100 | 100 | 0 | 100 | 0 | 0 | 100 | 100 | 67 | 100 | 0 | |
| B (5) | 20 | 100 | 40 | 20 | 100 | 40 | 100 | 0 | 0 | 100 | 100 | 20 | 100 | 0 | |
| R2A/KB | E (24) | 92 | 58 | 8 | 29 | 100 | 83 | 88 | 75 | 17 | 100 | 100 | 4 | 92 | 0 |
| R (24) | 79 | 50 | 17 | 33 | 100 | 92 | 96 | 79 | 42 | 100 | 100 | 8 | 83 | 29 | |
| S (24) | 92 | 42 | 29 | 17 | 92 | 79 | 88 | 58 | 33 | 100 | 100 | 13 | 96 | 46 | |
| B (24) | 92 | 50 | 13 | 8 | 100 | 63 | 83 | 67 | 42 | 100 | 100 | 0 | 96 | 25 | |
Percentage distribution of plant growth promoting activities and tolerance to abiotic stress among the isolates of the bacterial collection obtained from the different fractions of the pepper root system and the non-cultivated arid soil.
Auxin = auxin production; P Sol. = inorganic phosphate solubilization; EPS = exopolysaccharide release; Sid. = siderophores production; NH3 = ammonia production; Prot. = protease activity; PEG = poly-ethylen-glycol.
Table 6. Bacterial genera distribution of the PGP potential.
| Genus | N° ofIsolates | PGP activities and Tolerance to Abiotic stress (%) | |||||||||||||
| Auxin | P sol | EPS | Sid | NH3 | Prot | 5% NaCl | 8% NaCl | 10% NaCl | 10% PEG | 20% PEG | 4°C | 42°C | 50°C | ||
| Achromobacter | 1 | 0 | 0 | 0 | 0 | 100 | 0 | 0 | 0 | 0 | 100 | 100 | 100 | 100 | 0 |
| Acinetobacter | 1 | 0 | 100 | 0 | 0 | 0 | 0 | 0 | 0 | 0 | 100 | 100 | 100 | 100 | 0 |
| Bacillus | 92 | 88 | 48 | 18 | 18 | 98 | 79 | 89 | 70 | 35 | 100 | 100 | 43 | 94 | 27 |
| Cellulosimicrobium | 2 | 0 | 100 | 50 | 0 | 100 | 0 | 100 | 0 | 0 | 100 | 100 | 0 | 100 | 0 |
| Citrobacter | 2 | 0 | 100 | 0 | 100 | 100 | 0 | 100 | 0 | 0 | 100 | 100 | 50 | 100 | 0 |
| Klebsiella | 8 | 75 | 100 | 100 | 100 | 100 | 0 | 100 | 0 | 0 | 100 | 100 | 62 | 100 | 0 |
| Lysinibacillus | 1 | 100 | 0 | 0 | 0 | 1 | 0 | 0 | 0 | 0 | 100 | 100 | 0 | 100 | 0 |
| Paenibacillus | 3 | 100 | 33 | 0 | 0 | 33 | 0 | 0 | 0 | 0 | 100 | 33 | 0 | 100 | 0 |
| Pseudomonas | 6 | 100 | 83 | 0 | 50 | 100 | 83 | 83 | 67 | 17 | 100 | 100 | 33 | 50 | 0 |
| Raoultella | 3 | 100 | 100 | 100 | 100 | 100 | 0 | 100 | 0 | 0 | 100 | 100 | 100 | 100 | 0 |
| Rhodococcus | 1 | 0 | 100 | 0 | 0 | 100 | 100 | 100 | 0 | 0 | 100 | 100 | 100 | 100 | 0 |
Percentage distribution of plant growth promoting activities and tolerance to abiotic stress according to the genera of the bacterial collection obtained from the pepper root system and the non-cultivated arid soil.
Auxin = auxin production; P Sol. = inorganic phosphate solubilization; EPS = exopolysaccharide release; Sid. = siderophores production; NH3 = ammonia production; Prot. = protease activity; PEG = poly-ethylen-glycol.
In vitro Rhizoplane Colonization
To assess the ability of soil bacteria to adhere and colonize the rhizoplane, an adhesion assay was performed in vitro on Arabidopsis thaliana roots by taking advantage of a gfp-labelled bacterium. Root colonization is a key requirement to ensure an intimate association with the plant and thus a support against water stress. Of the different strains assayed for transformation with plasmids carrying a gfp (Green Fluorescent Protein) cassette, we succeeded in transforming a Klebsiella pneumoniae strain. The gfp-tagged isolate was used to track the bacterial adhesion on Arabidopsis and pepper root system. After 15 h of exposure to the gfp-tagged bacterial suspension, confocal microscopy analysis revealed that Arabidopsis primary root and root hairs were massively colonized by gfp-tagged cells. The gfp-labelled bacterium completely enwrapped root hairs, with an adherence profile that was adapted to the root hair morphology (Fig. 3A–B). In pepper the strain was massively detected on the rhizoplane but only few cells were found on root hairs (Fig. 3C–D), suggesting a differential colonization profile according to the model plant.
Figure 3. Rhizocompetence of gfp-labelled bacteria on different plant models.
Plant root colonization experiments performed with a Klebsiella pneumoniae strain isolated from the pepper rhizosphere genetically labeled with a gfp. (A) and (B) colonization of Arabidospis thaliana rhizoplane; (C) and (D) colonization of the pepper rhizoplane. Red spots represent root autofluorescence as acquired through the TRICT filter. The scale bars of the different images in the figure correspond to 100 µm.
Selection of Rhizobacteria for Plant Growth Promotion under Drought Stress
Rhizobacteria were evaluated for the capability of promoting plant growth under water stress. A cluster analysis performed by combining the rhizobacteria PGP phenotypic traits (Fig.4) grouped the strains in three major clusters. Cluster I is the largest and summed Bacillus spp., Klebsiella spp. and Pseudomonas spp. The great majority of bacteria exhibiting ACCd activity were in this cluster that, moreover, included the strains with the highest number of potential PGP abilities. Clusters II and III displayed only one strain, respectively an ACCd-producing Achromobacter xylosoxidans and an Acinetobacter calcoaceticus. Both isolates exhibited just one PGP trait (Fig. 4). Consistent with ACCd activity in lowering plant ethylene under abiotic stress conditions, ACCd-producing rhizobacteria from the three clusters were selected to be further assayed in their ability to sustain plant growth in vivo under drought. These isolates were affiliated to genera Citrobacter (R16ACCd), Klebsiella (R01ACCd, R05ACCd, R08ACCd and R15ACCd), Achromobacter (R10ACCd) and Acinetobacter (R04ACCd), with Klebsiella spp. as the most frequent, as showed in the phylogenetic tree (Fig. 4 and S3).
Figure 4. Analysis of the PGP potential of pepper associated rhizobacteria.
Cluster analysis of the distribution of PGP activities in the rhizobacterial collection, according to Pearson correlation coefficient. Total PGP potential is indicated as a score value resulting from the sum of the number of the different PGP abilities exhibited by each strain. Cluster group were defined based on a cluster cutoff value of 42% of similarity.
Plant Growth Promotion of Rhizobacteria Associated to Pepper Plants under Water Stress
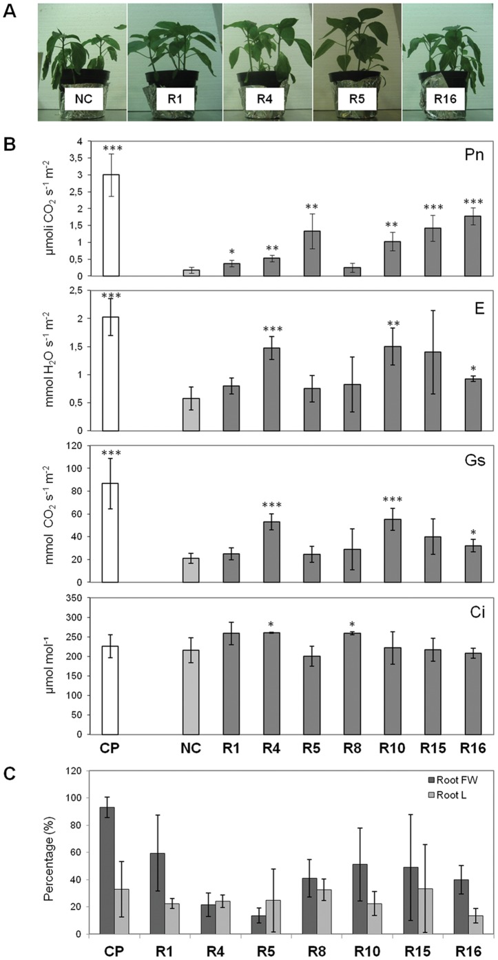
Well irrigated pepper seedlings inoculated or not with the rhizobacterial suspensions were suddenly exposed to a twelve days period of water stress. After eight days of water stress, control plants were severely affected, whereas plants exposed to ACCd-producing rhizobacteria exhibited a higher shoot turgor (Fig. 5A). Pepper plants inoculated with ACCd rhizobacteria R4, R10 and R16 showed net photosynthesis (Pn), evaporation/transpiration (E), stomatal conductance (Gs) significantly higher than untreated plants (NC), while R1, R5 and R15 strains positively affected water-stressed plants only at a photosynthetic level (Fig. 5B). At the end of the twelve days drought period, three days of re-watering were applied and plants were carefully harvested for biomass and length measure analysis. All plants exposed to the selected bacteria exhibited a more robust root system with a quantitative effect depending on the strain (Fig. 5C). A similar increase of about 20% in root length was observed both in non-stressed plants and in those inoculated with rhizobacteria respect to the plants exposed to drought (Fig. 5C). Root fresh weight in the inoculated plants showed a 40–60% increase depending on the bacterial strain, compared to the non inoculated stressed control plants (Fig. 5C).
Figure 5. Rhizobacteria increased plant resistance to drought stress.
Abbreviations for the figure: CP, (positive) abiotic control, irrigated at the water holding capacity of the soil along all the experiment; NC, (negative) abiotic control, subjected to drought by interrupting water supply for 12 days. (A) Representative images of plants exposed to rhizobacteria compared to untreated plants eight days after the induction of drought. (B) Leaf physiological parameters in treated and untreated plants eight days after the induction of drought.Abbreviations: Pn, net photosynthesis; E, evapo-transpiration; Gs, stomatal conductance; Ci, internal carbon dioxide (CO2). Student t-test was adopted to statistically analyse the data. *:p≤0,05; **:p≤0,01; ***:p≤0,001. The data reported in the graphs are representative of one replicate experiment. (C) Percentage increase in root fresh weight (FW) and root length (L) of water stressed plants, compared to the abiotic stressed control, set as 0%.
Discussion
The traditional management of agriculture in arid ecosystems is essential to preserve land from soil degradation and maintain food production ensuring a sustainability and preserving soil biodiversity [17]. A signature feature of arid and semi-arid lands is plant patchiness with scattered plant clumps dispersed in a bare landscape [18]. While the structure of the microbiota under and inter desert shrubs and canopies has been largely investigated [19], little attention was paid to the effect of desert farming on the structure and functionality of the microbiomes associated to plant root system. Recently, in a farm located at north-east Cairo, Egypt, Köberl et al. [4] reported higher biodiversity indices in cultivated fields than in the desert soil and the enrichment in bacteria with antagonistic activity against plant pathogens. Similarly, in cultivated fields at north-west Cairo, we found dramatic changes in the structure and activity of the bacteria associated to pepper root system compared to non-cultivated soil. A strong rhizosphere effect in terms of higher bacterial densities and species richness was observed in the soil fractions more closely associated to the root system, the R and S fractions, compared to the bulk root-free soil, whereas the endophytic fraction showed the lowest values, presumably because root tissues selected specific bacterial colonizers [20]. A certain variability was detected among endosphere replicates that could originate from multiple factors, including: microvariability in the soil field [20], [21], [22], [23], plant physiological condition [24], [25], growth stage [22], extent of root exudation [26], bacteria inter-species interactions and even random events [20]. Despite the sampled plants were coeval, the variability of the field conditions may have influenced the plant physiological state preventing to exclude a certain effect on the endosphere composition. Which combination of driving forces has determined the differences in the three replicates remains unresolved, however, the difference of the endosphere microbiome from the microbiome of the rest of the root system was clearly evident. This differential distribution is presumably triggered by the burst of microbial biomass that can use the organics rhizodeposed by the root determining the realization of a “resource island” effect typical of desert ecosystems where plant growth and interaction with the soil microbiome locally improves soil properties that in turn sustain the overall soil activity and biotic diversity [19]. Such a repartition of bacteria abundance and diversity observed in the pepper root system found analogies in other plant cultivated in arid soils, such as sugarcane [27], bamboo [28], chick pea [29], and olive tree (Marasco et al., unpublished data).
The distribution of the bacterial genera reflects adaptation to the different microhabitats. The Bacillus genus was isolated in all the pepper fractions, with higher prevalence in the endosphere. Garbeva et al. [30] showed that the majority of Gram-positive bacteria in soils under different types of management regimes (permanent grassland, grassland turned into arable land and arable land), were putative Bacillus species. Bacillus spp. are also commonly found in arid land as a consequence of their ability to form endospores that allow bacterial survival for extended time periods under adverse environmental conditions [31]. Bacillus and related genera have been already reported to be associated to and promote the growth of a wide range of plants [32].
In our study Paenibacillus and Lysinibacillus genera were isolated only from pepper root endosphere. Paenibacillus is a common soil bacterium that has been described to present PGP properties. In particular, P. polymyxa has multiple plant beneficial activities, such as nitrogen fixation, soil phosphorus solubilisation and production of exopolysaccharides, hydrolytic enzymes, antibiotics and cytokinin [33]. Inoculation of Arabidopsis and wheat with a P. polymyxa strain, isolated from rhizosphere of wild barley in northern Israel, resulted in enhanced drought tolerance [34]. The presence in the pepper root tissue of Lysinibacillus spp., a poorly studied genus isolated also from rather different plants such as bamboo [28], citrus [35], tomato [36], medicinal plants [37] and halophytes [38] needs a clarification of its role in the microbe-plant interaction.
The pepper root systems in the arid Egyptian soil showed to host endophytes only within the Firmicutes class, while previous studies for endophytes in both herbaceous and arboreal plants reported a diverse array of bacterial species, including members of Acetobacter, Arthrobacter, Bacillus, Burkholderia, Enterobacter, Herbaspirillum, Serratia and Pseudomonas [16], [39], [40], [41], [42]. In sweet pepper, culturable endophytes were assigned to high-G+C Gram-positive Microbacterium, Micrococcus and Rhodococcus but also to Firmicutes of the Bacillus and Staphylococcus genera. In other studies, the variability in the diversity of culturable endophytic bacteria has been associated to different selective pressures determined by the different pepper cultivars [43].
In all the soil fractions strains belonging to Gammaproteobacteria were predominant with many of the isolates assigned to the Enterobacteriaceae family. It comprises many species with enteric habitat, which origin could be attributable to the low hygienic quality of the irrigation water. The decline in the availability of pristine freshwater for irrigation due to allocation to urban and/or industrial supply, often results, especially in arid and semi-arid regions, in the intensive use of low-quality water to satisfy the increasing demand for irrigation. Representative species of Enterobacteriaceae genera, especially Klebsiella, Enterobacter, Citrobacter, have been isolated from different plant species grown in arid lands [44], [45], [46], [47]. In non-cultivated soil not subjected to irrigation and soil amendment, Enterobacteriaceae decreased in favour of Actinobacteria, with the prevailing genera Cellulosomicrobium and Rhodococcus. Together with Bacillus spp., Actinobacteria can survive as spores under adverse environmental conditions, hence making them typical desert taxa [4], [48].
The PGP features of bacteria associated to the pepper root system indicated that arid soils are excellent reservoir of bacteria responsible for the efficient functioning of the plant-soil ecosystem services. Twenty three percent of the assayed isolates exhibited multiple PGP activities, which may promote plant growth directly, indirectly or synergistically. Moreover, gfp labelling of a rhizobacterium demonstrated a versatile colonization capabilities being capable of colonizing the roots of two different plant models, as previously described for other bacteria [49].
A relative large range of PGP activities was recorded for bacteria isolated from non-cultivated soil, with 38% of isolates displaying more than 4 PGP activities, compared to 58% for isolates from R and S fractions. As the boundary between the non-cultivated soil and the desert areas around the farm was labile, we can perceive the still unexplored biotechnological potential of arid lands. Chanal and colleagues [50] found new radiotolerant bacterial species in Tataouine desert and recently Ramlibacter tataouinensis genome annotation revealed unexpected adaptation mechanisms to hot and dry environments, including sensitivity to light and to water availability at the dew time [50], [51]. A survey of PGP bacteria associated to Hordeum spontaneum in the “Evolution canyon” in Israel reported a significant higher population of osmotic tolerant, phosphate solubiliser, EPS producer and ACCd bacteria in the stressful sunny site than in the shadowed site [34]. According to these data it was assumed that the foundations for the adaptability to the harsh conditions of agriculture in arid lands are based on the co-evolution of the association between plant and microbes under harsh environmental conditions [34], [52]. In our bacterial collection from the pepper root system 88% of isolates showed multiple PGP activities and were able to grow at high temperature and at low water potential indicating that they can be active and hence express their PGP features in vivo under water stress conditions.
Drought is responsible for the weakening of ecosystem services, even at temperate latitudes. In 2003, a summer heat wave along with a prolonged drought event in Europe caused a reduction of 36% in the net productivity of maize in the Po valley in Italy and dramatically compromised agricultural production in France (−17%) and Eastern Europe (−20%) [53]. In Egypt agriculture strongly relies on the exploitation of the water from the Nile river, considering the limited availability of groundwater. In such general condition of water limitation it is supposed that other factors, like the root-bacteria association are selected for contributing to alleviate plant water stress. A candidate group of PGP bacteria that can have a potential protecting effect against water stress are ACCd rhizobacteria. ACCd bacteria are capable of lowering the concentration of ethylene that is overproduced in response to stressful conditions [54]. ACCd bacteria have been shown to recover plants from different stresses [55]. Different plant models have been successfully recovered from a variety of stressful conditions such as salinity [56] drought [57] and heavy metals [58] following the exposure to ACCd bacteria [59]. Hence, we have selected the collection of ACCd bacteria isolated from the pepper root system for assessing the capability of protecting the plant from drought and water stress.
Early responses to water stress include a decrease in photosynthesis efficiency [60]. Pepper plants treated with ACCd rhizobacteria recorded higher values for the photosynthesis processes and even a higher tissue turgor. These beneficial effects result in the increase of root biomass and length, up to 50% respect to non-inoculated plants. Although the rhizobacterial strains exhibited a variable extent in the improvement of plant drought tolerance, the most pronounced protection against drought was obtained with strains of the genera Achromobacter, Klebsiella and Citrobacter. Considering the root-colonization capacity of these genera it is conceivable that such protecting activity can be performed also in field conditions.
Desert bloom remains a general vision, although the real efficacy of PGP treatment of plants for desert restoration remains contradictory. A three-years field trial in the Sonoran desert with different tree species exposed to AM fungi and Azospirillum brasilense to restore degraded lands showed that the treatments were only partially successful. Positive results were obtained only with autochthonous leguminous trees while other combination of tree-inoculant-amendment resulted in small negative or no effect at all [1]. Our data indicate that consolidated traditional desert farms represents “resource islands” were topsoil is preserved from destruction by the wind or other soil erosion agents, contributing to act as a sink for organic matter and beneficial microbes. Desert farming remains a bulwark for protecting soil fertility in desert ecosystems and an effective strategy for enriching plant growth promoting microorganisms capable of directly protecting plants from drought stress.
Materials and Methods
Site Description and Sampling
Plant and soil samples were collected in a cultivated field in a private traditional farm located in the north-western desert region in Egypt, near El-Tawheed Village. The permission for sample collection was obtained by the Department of Horticulture of the University of Ain Shams, Egypt. Crop irrigation was performed using the water from the Nile river and groundwater. Four different fractions were collected in triplicates: E (endosphere), R (rhizosphere) and S (root surrounding soil) of Capsicum annum L. plants and B (bulk soil) as control. Intact roots were collected after plant eradication, with soil particles still adhering on the rhizoplane (E+R fractions). Soil around the collected roots and not attached to plant root system was sampled (S fraction). Uncultivated soil (B fraction) was kept as control at 4 m far from the cultivated field, in an area not subjected to irrigation and that was not cultivated in the last years. All soils and roots samples were collected under sterile condition using sterile tools. Recovered samples were stored at 4°C for microbiological isolation or stored at −20°C for molecular analysis.
PCR-DGGE Analysis of Pepper Associated Bacterial Communities
Primers 907R and 357F with a GC-clamp were used in this study for the amplification of bacterial 16S rDNA genes [61]. PCR reaction was performed in 0.2 ml tubes using 50 µl reaction volume. The reaction mixture contained the diluted buffer 1 X, 1,5 mM MgCl2, 5% of DMSO, 0,12 mM of a mixture of dNTPs, 0,3 µM of each primer, 1 U Taq polymerase, and 10 ng of template. If necessary, DNA was properly diluted. Cycling conditions used to amplify the 16S rDNA gene fragment were 94°C for 4 min, followed by 10 cycles of 94°C for 0.5 min, 61°C for 1 min, and 72°C for 1 min; followed by further 20 cycles of 94°C for 0.5 min, 56°C for 1 min, and 72°C for 1 min; and a final extension at 72°C for 7 min. 2 µl of the PCR products were visualized by electrophoresis in 1.5% agarose gels stained with ethidium bromide prior to DGGE. For DGGE analysis, 100–150 ng of the PCR products generated from each sample were separated using polyacrylamide gel (8% of a 37∶1 acrylamide–bisacrylamide mixture in a Tris acetate EDTA (TAE) 1X buffer, 0.75 mm thick, 16×10 cm) with a 40–60% denaturant gradient). Gel was run overnight at 90 V in TAE 1X buffer at 60°C in DCode apparatus (Bio-Rad, Milan, Italy). The gel was stained with 1X Syber Green (Life Technologies) in TAE buffer and the gel was scanned with gel photo GS-800 system.
The DGGE bands were excised from the gel using a sterile cutter and eluted in 50 µl water at 37°C for 6 hours. The reamplification of DNA eluted from DGGE bands was performed using 907R and 357F primers without the GC-clamp, using the following protocol: 95°C for 5 min, 30 cycles of 95°C for 1 min, 61°C for 1 min, and 72°C for 1 min and a final extension at 72°C for 7 min. PCR products were checked by electrophoresis in 1% agarose gel. The sequencing service was performed by Macrogen Inc. (Korea). The band profile of fragments in the DGGE gel was converted in line plots with ImageJ software [62], and the x/y values obtained were imported into an Excel file. The matrix of x/y values of rRNA 16S line profiles was subjected to cluster analysis using the Pearson correlation coefficient. The multivariate analysis were conducted using XLSTAT software (vers. 7.5.2 Addinsoft, France).
Isolation of Bacteria, Media and Culture Condition
R fraction, the soil particles tightly adhering to the rhizoplane, were separated from the root tissue (E) by applying the “pull and shake method”. Root surface was sterilized as described by Sun et al. [63] and the efficacy of the sterilization method was verified by plating the last wash water on King’s medium [64]. One gram of smashed E, R, S and B were suspended in 9 ml of sterile physiological solution (9 g/L NaCl) and shaken for 15 min at 200 rpm at room temperature. Suspension were diluted in 10-fold series and plated in triplicate onto KB medium and on R2A medium (Oxoid). After 3 days at 30°C, Colony Forming Units (CFU) per gram were determined. 12 colonies per medium per fraction were randomly selected and spread on the original medium for three times to avoid contamination risks. Moreover, 1 g of sample from each fraction was used as inoculum for ACC-deaminase enrichments as described by Penrose and Glick [65]. 50 colonies were randomly picked and propagated three times on PAF medium (10 g/L proteose peptone, 10 g/L hydrolyzed casein, 3 g/L MgSO4, 1,5 g/L K2HPO4, 10 mL/L glycerol and 15 g/L agar for solid medium). Pure strains were frozen in 25% glycerol at −80°C. A total of 299 isolates were collected and further characterized in this study.
Phylogenetic Affiliation of Bacterial Strains
DNA was extracted from isolates by boiling lysis. The bacterial cells were resuspended in 50 µl of sterile TE (10 mM Tris/HCl, pH 8, 1 mM EDTA) in 1.5 ml tubes and incubated at 100°C for 8 min. After centrifugation (13000 g, 10 min), the supernatant containing the released DNA was stored at −20°C and used as template for PCR amplification. The bacterial collection originated from ACC enrichments was de-replicated by fingerprinting analysis of the rRNA 16S-23S Intergenic Transcribed Spacer (ITS) region. The ITS-PCR protocol was performed as described by Cardinale et al. [66]. The PCR products were separated by gel electrophoresis in 2% agarose gel and the fingerprinting profiles were visualized using Gel Doc system (Bio-Rad, Milan, Italy). Isolates which showed the same banding pattern were grouped in haplotypes, and for each haplotype a representative strain was selected for further analysis. Phylogenetic identification of isolates was performed by partially sequencing of the 16S rRNA gene, using universal primers 27F and 1492R. PCR products were checked by electrophoresis in 1% agarose gel. The sequencing service was performed by Macrogen Inc. (Korea). The sequences were compared with those deposited in the GenBank database, using the online software BLAST.
Diversity and Phylogenetic Analyses
16S rRNA gene sequences were aligned using the ClustalX software [67] and the output file was used to define operational taxonomic units (OTUs) using DOTUR [68]. A quantitative matrix was created basing on the absence/presence of each polymorphic OTU calculated at 99% nucleotide similarity. Cluster analysis has been performed with the XLSTAT software using the Pearson correlation coefficient.
Number of Taxa, Shannon, Evenness, Simpson and Dominance indexes of the OTUs, defined at 99% of similarity, have been calculated using the PAST software [69].
The alignment of ACCd rhizobacteria sequences and the construction of the phylogenetic tree were performed using the neighbor-joining method [70] of MEGA version 4 [71].
Nucleotide Sequence Accession Numbers
The partial 16S rRNA gene sequences (800–900 bp) from the isolates and the partial 16S rRNA gene sequences (500 bp) from the DGGE bands have been deposited in the GeneBank database from the accession numbers HE610774 to HE610892 and from HE856290 to HE856311 respectively.
Evaluation of Direct and Indirect Plant Growth Promoting Activity and Tolerance to Abiotic Stresses
Indolacetic acid production was estimated following the protocol described by Brick et al. [72]. The mineral P-solubilizing ability of the strains was determined on Pikovskaya’s liquid medium amended with 0.5% [Ca3(PO4)2] as described by Mehta and Nautiyal [73]. Siderophore release was determined as described by Schwyn and Neilands [74]. Exopolysaccharides (EPS) production was estimated as described by Santaella et al. [75], using modified Weaver mineral media enriched with sucrose.
Ammonia production was evaluated as described by Cappuccino and Sherman [76]; protease production was determined in 5% agar skimmed milk [77]. Resistance to salt was assessed by adding 5–8–10% NaCl to the culture media and incubating the plates at 30°C for 5 days. Tolerance to osmotic stress was evaluated by adding to liquid media 10–20% of Poly-Ethylen-Glycol (PEG). The ability to growth at 4°, 42° and 50°C was verified in solid media by incubation at the indicated temperatures and the growth was qualitatively scored after 5 days of incubation.
In vitro Bacterial Rhizocompetence Assay
The plasmid pHM2-gfp [78] was used to label R1-ACCd strain, affiliated to Klebsiella spp. Overnight culture of R1-ACCd was re-inoculated in fresh KB medium and the growth was monitored spectrofotometrically. When the culture reached 0.3 OD, 1 ml aliquot of cells were centrifuged (4000 rpm, 4°C) and washed twice with MilliQ water prior to be resuspended in 50 µl of MilliQ water and 10% glycerol. 30 µl of cells were used to be transformed by electroporation (Eppendorf 2510) with 50 ng of pHM2-gfp plasmid. Successful transformation was checked by growth on a selective medium (KB+50 µg/ml of kanamicin). To evaluate R1-gfp colonization ability, three-days Arabidopsis thaliana seedlings or seven-days Capsicum annuum L. seedlings were exposed to 108 cells/mL. Seedlings dipped in sterilized water were used as negative control. After 15h, plants were rapidly washed to remove weakly bound bacteria and observed under a confocal laser scanning microscope (Leica TCSNT). Images were acquired using Leica Confocal Software, using BP530/30 GFP filter (exitation at 488 nm) and LP590 TRITC filter (excitation length at 568 nm). For pepper rhizocompetence analysis, images were acquired also using the TRICT filter to observe root architecture by exploiting root autofluorescence in this channel. The acquired images were analyzed by using the MBF ImageJ software.
Plant Growth Promotion under Water Atress in Soil
Pepper seeds were sown in trays in wet agriperlite. After 1 week, uniform-sized seedlings were selected and planted in soil, three plants per 14-cm plastic pot. The seedlings were maintained in a growth chamber at a day/night temperature of 25/20°C with ∼100 µmol photons m–2 s–1 of light supplied for 12 h during the daytime. During the second week, the seedlings were fertilized once with a bacterial suspension at the concentration of 108 cells/g of soils, while uninoculated plants were watered with tap water. One week after bacteria treatment, water was withhold for 12 days. A (positive) abiotic control, PC, was included and was properly irrigated all the experiment long. Seven-eight days after drought induction, physiological measures have been performed. To characterize photosynthesis performance, gas exchange measurements were taken with a portable photosynthesis system (CIRAS-2, PP System, USA). Measurements were taken on young, fully expanded, intact leaves of capsicum plants. Net CO2 assimilation rate, stomatal conductance and transpiration were assessed at a CO2 concentration of 400 µmol mol−1, 50% relative humidity, 28°C chamber temperature, 500 ml min−1 airflow and a photon flux density of 1500 µmol m−2 s−1. The instrument was stabilized according to manufacturer guidelines. After drought, water irrigation was resumed for three days and plants were harvested for biomass and length measures. Three independent experiments were performed with three replicate plants each. The statistical analysis was performed by analysing data by the T student test with (p<0,05).
Supporting Information
16S rRNA PCR-DGGE analysis of the bacterial communities in soil and endosphere of pepper plants. (A) 16S rRNA gene PCR-DGGE profiles in different plant fractions (E, R, S and B) obtained from three replicate plants (indicated as 1, 2 and 3). Circles on the bands indicate the DNA fragments that were excised from the gel and successfully amplified and sequenced (see also Table 1). (B) Plot line conversion for each DGGE fingerprinting profile obtained using Image-J software.
(TIF)
Diversity of culturable bacteria in pepper plant fractions. Distribution of bacterial isolate genera associated to different fractions of the pepper root system compared to non-cultivated root free arid soil.
(TIF)
Phylogenetic affiliation of pepper ACCd rhizobacteria. Neighbour-joining phylogenetic tree based on 16S rRNA gene sequences of ACCd rhizospheric bacteria and their closest phylogenetic neighbours. Bootstrap values are indicated at nodes. Scale bar represents observed number of changes per nucleotide position.
(TIF)
Percentages of bacteria displaying PGP activities in different fractions of the pepper root system. Isolates recovered from the pepper root system and its different fractions, presenting different numbers (from 0 to 6) of PGP activities.
(DOCX)
Distribution of the PGP potential according to the microbial genera. The percentage of isolates displaying different numbers (from 0 to 6) of PGP activities are classified according to genus level, considering the whole microbial collection.
(DOCX)
Acknowledgments
The authors would like to thank Dr. Umberto Fascio (CIMA, Centro Interdipartimentale di Microscopia avanzata of the University of Milan) for technical support at the confocal microscope, Dr. Isabella Tamagnini for the contribution in sampling activities, Dr. Gian Attilio Sacchi and BIOGESTECA project (n° 15083/RCC “Fondo per la promozione di accordi istituzionali”) for helpful discussion on the biology of plant microbe interaction under water stress and Mr. Andrea Fiorentini for his availability for the recovery of soil, seeds and pots for the microcosm experiments.
Funding Statement
This work was financially supported by the FIRB project n° RBIN047MBH “Strategy to improve crop productivity under water stress” of the Italian Ministry of University and Research, the European Union in the ambit of project BIODESERT (European Community’s Seventh Framework Programme CSA-SA REGPOT-2008-2 under grant agreement n° 245746). ER and FM are supported by Università degli Studi di Milano, European Social Found and Regione Lombardia (contract “Dote Ricerca”). The funders had no role in study design, data collection and analysis, decision to publish, or preparation of the manuscript.
References
- 1. Bashan Y, Salazar BG, Moreno M, Lopez BR, Linderman RG (2012) Restoration of eroded soil in the Sonoran Desert with native leguminous trees using plant growth-promoting microorganisms and limited amounts of compost and water. J Environ Manage 102: 26–36. [DOI] [PubMed] [Google Scholar]
- 2.FAO website. Available: http://www.fao.org/news/story/en/item/35571/icode/. Accessed 2012 May 15.
- 3. Boyer JS, Westgate ME (2004) Grain yields with limited water. J Exp Bot 55: 2385–2394. [DOI] [PubMed] [Google Scholar]
- 4. Köberl M, Müller H, Ramadan EM, Berg G (2011) Desert farming benefits from microbial potential in arid soils and promotes diversity and plant health. PLoS ONE 6: e24452–e24452. [DOI] [PMC free article] [PubMed] [Google Scholar]
- 5. Gonzalez-Dugo V, Orgaz F, Fereres E (2007) Responses of pepper to deficit irrigation for paprika production. Sci Hortic 114: 77–82. [Google Scholar]
- 6. Showemimo FA, Olarewaju JD (2007) Drought tolerance indices in sweet pepper (Capsicum annuum L.). Int J Plant Breed Genet 1: 29–33. [Google Scholar]
- 7.FAOSTAT website. Available: http://faostat.fao.org/site/339/default.aspx. Accessed 2012 May 17.
- 8. Dalla Costa L, Gianquinto G (2002) Water stress and water table depth influence yield, water use efficiency and nitrogen recovery in bell pepper, lysimeter studies. Aust J Agric Res 53: 201–210. [Google Scholar]
- 9. Delfine S, Loreto F, Alvino A (2001) Drought-stress effects on physiology, growth and biomass production of rainfed and irrigated bell pepper plants in the mediterranean region. J Am Soc Hortic Sci 126: 297–304. [Google Scholar]
- 10. Dorji K, Behboudian MH, Zegbe-Dominguez JA (2005) Water relations, growth, yield and fruit quality of hot pepper under deficit irrigation and partial rootzone drying. Scientia Hortic 104: 137–149. [Google Scholar]
- 11. Sezen SM, Yazar A, Eker S (2006) Effect of drip irrigation regimes on yield and quality of field grown bell pepper. Agric Water Manage 81: 115–131. [Google Scholar]
- 12. Mayak S, Tirosh T, Glick B (2004a) Plant growth-promoting bacteria confer resistance in tomato plants to salt stress. Plant Physiol Biochem 42: 565–572. [DOI] [PubMed] [Google Scholar]
- 13. Mayak S, Tirosh T, Glick B (2004b) Plant growth-promoting bacteria that confer resistance to water stress in tomatoes and peppers. Plant Sci 166: 525–530. [Google Scholar]
- 14. Kokalis-Burelle N, Vavrina CS, Rosskopf EN, Shelby RA (2002) Field evaluation of plant growth-promoting rhizobacteria amended transplant mixes and soil solarization for tomato and pepper production in Florida. Plant Soil 238: 257–266. [Google Scholar]
- 15. Kang S, Zhang L, Hu X, Li Z, Jerie P (2001) An improved water use efficiency for hot pepper grown under controlled alternate drip irrigation on partial roots. Sci Hortic 89: 257–267. [Google Scholar]
- 16. Sziderics AH, Rasche F, Trognitz F, Sessitsch A, Wilhelm E (2007) Bacterial endophytes contribute to abiotic stress adaptation in pepper plants (Capsicum annum L.). Can J Microbiol 53: 1195–2102. [DOI] [PubMed] [Google Scholar]
- 17. Mäder P, Fliessbach A, Dubois D, Gunst L, Fried P, et al. (2002) Soil fertility and biodiversity in organic farming. Science 296: 1694–1697. [DOI] [PubMed] [Google Scholar]
- 18.Goberna M, Sànchez J, Pascual G, Garcìa C (2007) Pinus halepensis Mill. plantations did not restore organic carbon, microbial biomass and activity levels in a semi-arid Mediterranean soil. Appl Soil Ecol 36; 107–115.
- 19. Bachar A, Soares MIM, Gillor O (2012) The effect of resource islands on abundance and diversity of bacteria in arid soils. Microb Ecol 63: 694–700. [DOI] [PubMed] [Google Scholar]
- 20. Hardoim PR, van Overbeek LS, van Elsas JD (2008) Properties of bacterial endophytes and their proposed role in plant growth. Trends Microbiol 16: 463–471. [DOI] [PubMed] [Google Scholar]
- 21. Ryan RP, Germaine K, Franks A, Ryan DJ, et al. (2008) Bacterial endophytes: recent developments and applications. FEMS Microbiol. Lett. 278: 1–9. [DOI] [PubMed] [Google Scholar]
- 22. Lundberg DS, Lebeis SL, Peredes SH, Yourstone S, et al. (2012) Defining the core Arabidopsis thaliana root microbiome. NATURE 488: 86–90. [DOI] [PMC free article] [PubMed] [Google Scholar]
- 23. Bulgarelli D, Rott M, Schaleppi K, Ver Loren van Themaat E, et al. (2012) Revealing structure and assembly cues for arabidopsis root-inhabiting bacterial microbiota. NATURE 488: 91–95. [DOI] [PubMed] [Google Scholar]
- 24. Kniskern JM, Traw MB, Bergelson J (2007) Salycilic acid and jasmonic acid signalling defense pathway reduce natural bacterial diversity on Arabidopsis thaliana . MPMI 20: 1512–1522. [DOI] [PubMed] [Google Scholar]
- 25. Long HH, Sonntag DG, Schmidt DD, Baldwin IT (2010) The structure of the culturable root bacterial endophyte community of Nicotiana attenuata is organized by soil composition and host plant ethylene production and perception. New Phytol 185: 554–567. [DOI] [PubMed] [Google Scholar]
- 26. Balachandar D, Sandhiya GS, Sugitha TKC, Kumar K (2006) Flavonoids and growth hormones influence endophytic colonization and in planta nitrogen fixation by a diazotrophic Serratia sp in rice. World Journal of Microbiology and Biotechnology 22: 707–712. [Google Scholar]
- 27. Mendes R, Pizzirani-Kleiner AA, Araújo WL, Raaijmakers JM (2007) Diversity of cultivated endophytic bacteria from sugarcane: genetic and biochemical characterization of Burkholderia cepacia complex isolates. Appl Environ Microbiol 73: 7259–7267. [DOI] [PMC free article] [PubMed] [Google Scholar]
- 28. Han J, Xia D, Li L, Sun L, Yang K, et al. (2009) Diversity of Culturable Bacteria Isolated from Root Domains of Moso Bamboo (Phyllostachys edulis). Microbial Ecology 58: 363–373. [DOI] [PubMed] [Google Scholar]
- 29. Joseph B, Ranjan Patra, Lawrence R (2007) Characterization of plant growth promoting rhizobacteria associated with chickpea (Cicer arietinum L.). Int J Plant Production 1: 141–152. [Google Scholar]
- 30. Garbeva P, van Veen JA, van Elsas JD (2003) Predominant Bacillus spp. in Agricultural Soil under Different Management Regimes Detected via PCR-DGGE. Microbial Ecology 45: 302–316. [DOI] [PubMed] [Google Scholar]
- 31. Benardini JN, Sawyer J, Venkateswaran K, Nicholson WL (2003) Spore UV and acceleration resistance of endolithic Bacillus pumilus and Bacillus subtilis isolates obtained from Sonoran desert basalt: implications for lithopanspermia. Astrobiology 3: 709–717. [DOI] [PubMed] [Google Scholar]
- 32. Francis I, Holsters M, Vereecke D (2010) The Gram-positive side of plant–microbe interactions. Environ Microbiol 12: 1–12. [DOI] [PubMed] [Google Scholar]
- 33. Lal S, Tabacchioni S (2009) Ecology and biotechnological potential of Paenibacillus polymyxa: a minireview. Indian Journal of Microbiology 49: 2–10. [DOI] [PMC free article] [PubMed] [Google Scholar]
- 34. Timmusk S, Paalme V, Pavlicek T, Bergquist J, Vangala A, et al. (2011) Bacterial Distribution in the Rhizosphere of Wild Barley under Contrasting Microclimates. PLoS ONE 6: e17968–e17977. [DOI] [PMC free article] [PubMed] [Google Scholar]
- 35. Trivedi P, Spann T, Wang N (2011) Isolation and Characterization of Beneficial Bacteria Associated with Citrus Roots in Florida. Microbial Ecology 62: 324–336. [DOI] [PubMed] [Google Scholar]
- 36. Kavroulakis N, Ntougias S, Besi MI, Katsou P, Damaskinou A, et al. (2010) Antagonistic bacteria of composted agro-industrial residues exhibit antibiosis against soil-borne fungal plant pathogens and protection of tomato plants from Fusarium oxysporum f.sp. radicis-lycopersici . Plant Soil 333: 233–247. [Google Scholar]
- 37. Kumar G, Kanaujia N, Bafana A (2012) Functional and phylogenetic diversity of root-associated bacteria of Ajuga bracteosa in Kangra valley. Microbiol Res 167: 220–225. [DOI] [PubMed] [Google Scholar]
- 38. Sgroy V, Cassán F, Masciarelli O, Florencia Del Papa M, Lagares A, et al. (2009) Isolation and characterization of endophytic plant growth-promoting (PGPB) or stress homeostasis-regulating (PSHB) bacteria associated to the halophyte Prosopis strombulifera. . Appl Microbiol Biotechnol 85: 371–381. [DOI] [PubMed] [Google Scholar]
- 39. Aravind R, Kumar A, Eapen SJ, Ramana KV (2009) Endophytic bacterial flora in root and stem tissues of black pepper (Piper nigrum L.) genotype: isolation, identification and evaluation against Phytophthora capsici . Lett Appl Microbiol 48: 58–64. [DOI] [PubMed] [Google Scholar]
- 40. Khan Z, Doty SL (2009) Characterization of bacterial endophytes of sweet potato plants. Plant Soil 322: 197–207. [Google Scholar]
- 41. Lodewyckx C, Vangronsveld J, Porteous F, Moore ERB, Taghavi S, et al. (2002) Endophytic bacteria and their potential applications. Plant Sci 21: 583–606. [Google Scholar]
- 42. Sturz AV, Christie BR, Nowak J (2000) Bacterial endophytes: potential role in developing sustainable systems of crop production. Plant Sci 19: 1–30. [Google Scholar]
- 43. Rasche F, Trondl R, Naglreiter C, Reichenauer TG, Sessitsch A (2006) Chilling and cultivar type affect the diversity of bacterial endophytes colonizing sweet pepper (Capsicum anuum L.). Can J Microbiol 52: 1036–1045. [DOI] [PubMed] [Google Scholar]
- 44. Ambrosini A, Beneduzi A, Stefanski T, Pinheiro FG, Vargas LK, et al. (2012) Screening of plant growth promoting Rhizobacteria isolated from sunflower (Helianthus annuus L.). Plant Soil 356: 245–264. [Google Scholar]
- 45. Hayat R, Ali S, Amara U, Khalid R, Ahmed I (2010) Soil beneficial bacteria and their role in plant growth promotion: a review. Annal Microbiol 60: 579–598. [Google Scholar]
- 46. Park MS, Jung SR, Lee MS, Kim KO, Do JO, et al. (2005) Isolation and characterization of bacteria associated with two sand dune plant species, Calystegia soldanella and Elymus mollis . The Journal of Microbiology 43: 219–227. [PubMed] [Google Scholar]
- 47. Shankar M, Ponraj P, Ilakkiam D, Gunasekaran P (2011) Root colonization of a rice growth promoting strain of Enterobacter cloacae . J Basic Microbiol 51: 523–530. [DOI] [PubMed] [Google Scholar]
- 48.Madigan MT, Martinko JM, Dunlap PV, Clark DP (2009) Brock Biology of Microorganisms. San Francisco: Pearson Benjamin Cummings. 12th ed.
- 49. Fan B, Borriss R, Bleiss W, Wu X (2012) Gram-positive rhizobacterium Bacillus amyloliquefaciens FZB42 colonizes three types of plants in different patterns. J Microbiol 50: 38–44. [DOI] [PubMed] [Google Scholar]
- 50. Chanal A, Chapon V, Benzerara K, Barakat M, Christen R, et al. (2006) The desert of Tataouine: an extreme environment that hosts a wide diversity of microorganisms and radiotolerant bacteria. Environ Microbiol 8: 514–525. [DOI] [PubMed] [Google Scholar]
- 51. De Luca G, Barakat M, Ortet P, Fochesato S, Jourlin-Castelli C, et al. (2011) The Cyst-dividing bacterium Ramlibacter tataouinensis TTB310 genome reveals a well-stocked toolbox for adaptation to a desert environment. PLoS ONE 6: e23784–e23784. [DOI] [PMC free article] [PubMed] [Google Scholar]
- 52. Redman RS, Kim YO, Woodward CJDA, Greer C, Espino L, et al. (2011) Increased fitness of rice plants to abiotic stress via habitat adapted symbiosis: a strategy for mitigating impacts of climate change. PLoS ONE 6: e14823–e14823. [DOI] [PMC free article] [PubMed] [Google Scholar]
- 53. Ciais P, Reichstein M, Viovy N, Granier A, Ogée J, et al. (2005) Europe-wide reduction in primary productivity caused by the heat drought in 2003. Nature 437: 529–533. [DOI] [PubMed] [Google Scholar]
- 54. Glick BR, Cheng Z, Czamy J, Duan J (2007) Promotion of plant growth by ACC deaminase-containing soil bacteria. Eur J Plant Pathol 3: 329–339. [Google Scholar]
- 55. Penrose DM, Glick BR (2003) Methods for isolating and characterizing ACC deaminase-containing plant growth-promoting rhizobacteria. Physiologia Plantarum 118: 10–15. [DOI] [PubMed] [Google Scholar]
- 56. Siddikee MA, Chauhan PS, Anandham R, Han GH, Sa T (2010) Isolation, characterization, and use for plant growth promotion under salt stress, of ACC deaminase-producing halotolerant bacteria derived from coastal soil. Journal of Microbiology and Biotechnology 20: 1577–1584. [DOI] [PubMed] [Google Scholar]
- 57. Belimov AA, Dodd IC, Hontzeas N, Theobald JC, Safronova VI (2009) Rhizosphere bacteria containing 1-aminocyclopropane-1-carboxylate deaminase increase yield of plants grown in drying soil via both local and systemic hormone signaling. New Phytologist 181: 413–423. [DOI] [PubMed] [Google Scholar]
- 58.Rajkumar M, Sandhya S, Prasad MNV, Freitas H (2012) Perspectives of plant-associated microbes in heavy metal phytoremediation. Biotechnology Advances doi:10.1016/j.biotechadv.2012.04.011. [DOI] [PubMed]
- 59. Balloi A, Rolli E, Marasco R, Mapelli F, Tamagnini I, et al. (2010) The role of microorganisms in bioremediation and phytoremediation of polluted and stressed soils. Agrochimica 54: 353–369. [Google Scholar]
- 60. Bartels D, Sunkar R (2005) Drought and salt tolerance in plants. CRC Crit Rev Plant Sci 24: 23–58. [Google Scholar]
- 61. Muyzer G, De Waal EC, Uitterlinden AG (1993) Profiling of complex microbial populations by denaturing gradient gel electrophoresis analysis of polymerase chain reaction-amplified genes coding for 16S rRNA. Appl Environ Microbiol 59: 695–700. [DOI] [PMC free article] [PubMed] [Google Scholar]
- 62.Rasband WS 1997–2012 ImageJ. US National Institutes of Health. Bethesda, Maryland, USA.
- 63. Sun L, Qiu F, Zhang X, Dai X, Dong X, et al. (2008) Endophytic bacterial diversity in rice (Oryza sativa L.) roots estimated by 16S rDNA sequence analysis. Microb Ecol 55: 415–424. [DOI] [PubMed] [Google Scholar]
- 64. King EO, Ward MK, Raney DE (1954) Two simple media for the demonstration of phycocyanin and fluorescin. J Lab Clin Med 44: 301–307. [PubMed] [Google Scholar]
- 65. Penrose DM, Glick BR (2003) Methods for isolating and characterizing ACC deaminase-containing plant growth-promoting rhizobacteria. Physiol Plant 118: 10–15. [DOI] [PubMed] [Google Scholar]
- 66. Cardinale M, Brusetti L, Quatrini P, Borin S, Puglia AM, et al. (2004) Comparison of different primer sets for use in automated ribosomal intergenic spacer analysis of complex bacterial communities. Appl Environ Microbiol 70: 6147–6156. [DOI] [PMC free article] [PubMed] [Google Scholar]
- 67. Thompson JD, Gibson TJ, Plewniak F, Jeanmougin F, Higgins DG (1997) The CLUSTAL_X windows interface: flexible strategies for multiple sequence alignment aided by quality analysis tools. Nucleic Acids Res 25: 4876–4882. [DOI] [PMC free article] [PubMed] [Google Scholar]
- 68. Schloss PD, Westcott SL, Ryabin T, Hall JR, Hartmann M, et al. (2009) Introducing mothur: open-source, platform-independent, community-supported software for describing and comparing microbial communities. Appl Environ Microbiol 75: 7537–7541. [DOI] [PMC free article] [PubMed] [Google Scholar]
- 69. Hammer Ø, Harper DAT, Ryan PD (2001) PAST: paleontological statistics software package for education and data analysis. Palaeontol Electronica 4: 1. [Google Scholar]
- 70. Saitou N, Nei M (1987) The neighbor-joining method: A new method for reconstructing phylogenetic trees. Mol Biol Evol 4: 406–425. [DOI] [PubMed] [Google Scholar]
- 71. Tamura K, Dudley J, Nei M, Kumar S (2008) MEGA4: molecular evolutionary genetics analysis (MEGA) software version 4.0. Mol Biol Evol 24: 1596–1599. [DOI] [PubMed] [Google Scholar]
- 72. Brick JM, Bostock RM, Silverstone SE (1991) Rapid in situ assay for indoleacetic acid production by bacteria immobilized on nitrocellulose membrane. Appl Environ Microbiol 57: 535–538. [DOI] [PMC free article] [PubMed] [Google Scholar]
- 73. Mehta S, Nautiyal SC (2001) An efficient method for qualitative screening of phosphate-solubilizing bacteria. Curr Microbiol 43: 51–56. [DOI] [PubMed] [Google Scholar]
- 74. Schwyn B, Neilands JB (1997) Universal chemical assay for the detection and determination of siderophores. Ana Biochem 160: 46–56. [DOI] [PubMed] [Google Scholar]
- 75. Santaella C, Schue M, Berge O, Heulin T, Achouak W (2008) The exopolysaccharide of Rhizobium sp. YAS34 is not necessary for biofilm formation on Arabidopsis thaliana and Brassica napus roots but contributes to root colonization. Environ Microbiol 10: 2150–2163. [DOI] [PMC free article] [PubMed] [Google Scholar]
- 76.Cappuccino JC, Sherman N (1992) In:Microbiology: A Laboratory Manual. New York: third ed. Benjamin/cummings Pub. Co. 125–179.
- 77. Nielsen P, Sørensen J (1997) Multi-target and medium-independent fungal antagonism by hydrolytic enzymes in Paenibacillus polymyxa and Bacillus pumilus strains from barley rhizosphere. FEMS Microbiol Ecol 22: 183–192. [Google Scholar]
- 78.Favia G, Ricci I, Marzorati M, Negri I, Alma A, et al. (2008) Bacteria of the genus Asaia: a potential paratransgenic weapon against malaria. Adv Exp Med Biol 627: 49–59, 2008. [DOI] [PubMed]
Associated Data
This section collects any data citations, data availability statements, or supplementary materials included in this article.
Supplementary Materials
16S rRNA PCR-DGGE analysis of the bacterial communities in soil and endosphere of pepper plants. (A) 16S rRNA gene PCR-DGGE profiles in different plant fractions (E, R, S and B) obtained from three replicate plants (indicated as 1, 2 and 3). Circles on the bands indicate the DNA fragments that were excised from the gel and successfully amplified and sequenced (see also Table 1). (B) Plot line conversion for each DGGE fingerprinting profile obtained using Image-J software.
(TIF)
Diversity of culturable bacteria in pepper plant fractions. Distribution of bacterial isolate genera associated to different fractions of the pepper root system compared to non-cultivated root free arid soil.
(TIF)
Phylogenetic affiliation of pepper ACCd rhizobacteria. Neighbour-joining phylogenetic tree based on 16S rRNA gene sequences of ACCd rhizospheric bacteria and their closest phylogenetic neighbours. Bootstrap values are indicated at nodes. Scale bar represents observed number of changes per nucleotide position.
(TIF)
Percentages of bacteria displaying PGP activities in different fractions of the pepper root system. Isolates recovered from the pepper root system and its different fractions, presenting different numbers (from 0 to 6) of PGP activities.
(DOCX)
Distribution of the PGP potential according to the microbial genera. The percentage of isolates displaying different numbers (from 0 to 6) of PGP activities are classified according to genus level, considering the whole microbial collection.
(DOCX)



