Abstract
Objective:
Few longitudinal studies have examined the relationship between illicit drug use and academic outcomes among college students. This study characterized drug use patterns of a cohort of young adults who were originally enrolled as first-time, first-year college students in a longitudinal study. It evaluated the association between these drug use patterns and continuous enrollment during college, holding constant demographic characteristics, high school grade point average, fraternity/sorority involvement, personality/temperament characteristics, nicotine dependence, and alcohol use disorder.
Method:
Participants (n = 1,133; 47% male) were purposively selected from one university and interviewed annually for 4 years, beginning with their first year of college, regardless of continued college attendance. Enrollment data were culled from administrative records. Group-based trajectory analyses characterized 4-year longitudinal drug use patterns. Two grouping variables were derived based on (a) marijuana use frequency and (b) number of illicit drugs used other than marijuana. Seventy-one percent of the sample was continuously enrolled in the home institution during the first 4 years of study.
Results:
Multivariable logistic regression models demonstrated that infrequent, increasing, and chronic/heavy marijuana use patterns were significantly associated with discontinuous enrollment (adjusted odds ratio = 1.66, 1.74, and 1.99, respectively), compared with minimal use, holding constant covariates. In separate models, drug use other than marijuana also was significantly associated with discontinuous enrollment.
Conclusions:
Marijuana use and other illicit drug use are both associated with a decreased likelihood of continuous enrollment in college, independent of several other possible risk factors. These findings highlight the need for early intervention with illicit drug users to mitigate possible negative academic consequences.
Alcohol and other drug use among college students has long been recognized as a public health concern. In the United States, estimates indicate that 20.5% of full-time college students meet Diagnostic and Statistical Manual of Mental Disorders, Fourth Edition (DSM-IV; American Psychiatric Association, 1994), criteria for past-year alcohol or illicit drug abuse or dependence, similar to their non-college-attending peers (20.3%; Substance Abuse and Mental Health Services Administration [SAMHSA], 2010). Almost 23% of full-time college students have used an illicit drug during the past 30 days, with prevalence estimates for marijuana use increasing significantly from 2008 to 2009 (SAMHSA, 2010). Caldeira et al. (2008) documented that 24.6% of marijuana-using college students at one large university met DSM-IV criteria for a marijuana use disorder. Another recent study of students at the same university estimated that 13% of students used cocaine at some point during their 4 years of college (Kasperski et al., 2011). Additionally, nonmedical use of prescription drugs, especially stimulants and analgesics, has received increasing attention recently, and the prevalence appears to vary significantly among campuses (Arria and DuPont, 2010; Ford and Schroeder, 2008; Garnier-Dykstra et al., 2012; McCabe et al., 2007).
In the substance use field, considerable attention has been directed toward understanding alcohol- and drug-related consequences such as accidental injuries, alcohol poisoning, and violence (Hingson et al., 2005; National Institute on Alcohol Abuse and Alcoholism, 2002). A growing body of literature focuses on possible academic consequences. Although informative, many of these studies have significant limitations, such as cross-sectional designs (Gliksman et al., 1997; Musgrave-Marquart et al., 1997; Pascarella et al., 2007; Paschall and Freisthler, 2003; Singleton, 2007) and a focus on heavy alcohol consumption without accounting for illicit drug use (Martinez et al., 2008). Results of several cross-sectional studies demonstrated a significant association between excessive alcohol consumption and lower college grade point average (GPA; Gliksman et al., 1997; Musgrave-Marquart et al., 1997; Pascarella et al., 2007; Singleton, 2007), but other studies failed to replicate this finding (Mc-Cabe, 2002; Paschall and Freisthler, 2003). A few studies have highlighted the importance of examining intermediary variables in this relationship, including the amount of time spent studying (Wolaver, 2002), missed classes, late assignments (McCabe, 2002), and the degree of student engagement in college activities (Martinez et al., 2008).
Three studies have examined the association between drug use and graduation from college. First, King et al. (2006) conducted a prospective study of children of alcoholics and matched community controls. Using longitudinal growth curve modeling, they observed that growth of drug use predicted decreased likelihood of college completion and mediated the statistical effects of parental alcoholism and externalizing behavior on later college completion. Notably, the authors found no similar relationships for alcohol use growth trajectories. Second, using data from the National Comorbidity Survey, Breslau et al. (2008) investigated the association between early onset of several psychiatric disorders and educational milestones. Controlling for childhood adversities and demographic characteristics, they found that having either an alcohol use disorder or an illicit drug use disorder was associated with premature termination from college. Third, Hunt et al. (2010) analyzed data from the National Epidemiologic Survey on Alcohol and Related Conditions and reported that the presence of a marijuana, cocaine, or amphetamine use disorder, but not an alcohol use disorder, was associated with significantly decreased chances of graduation among individuals who started college.
In the educational research literature, an important area of investigation is the prediction of academic outcomes, but seldom are drug and alcohol use investigated as contributors to academic performance. Sociodemographic characteristics and high school aptitude are associated with college completion (Harvey, 2003; Robbins et al., 2004), and sex and race/ethnicity differences exist in college completion rates (Harvey, 2003; Horn, 2006) but may vary depending on institutional characteristics (Pascarella and Terenzini, 2005). Educational researchers also have focused on understanding the predictors of discontinuous enrollment, which encompasses both “stopping out”—a temporary interruption, whereby a student withdraws for one or more semesters but returns later, either to the same institution or elsewhere (see Chen and DesJardins, 2010)—and dropping out, which usually implies permanent departure from the entire educational system, not just from the home institution. Discontinuous enrollment is seen as a negative outcome primarily because it places one at risk for dropping out (Ganderton and Santos, 1995) or at least experiencing a temporary setback from fulfilling one’s academic goals (see Berkner et al., 2002; Stratton et al., 2008). Even transferring to a different school has been linked to decreased likelihood of degree completion (Ishitani, 2008). Given that continuous enrollment appears to be related to academic and social engagement in college (Allen et al., 2008; Cabrera et al., 1993), one might expect that individuals who join fraternities/sororities or other extracurricular activities would have a higher chance of staying enrolled continuously, relative to individuals lacking these affiliations.
A number of plausible mechanisms suggest that drug use during college could be associated with discontinuous enrollment. First, drug use during college has been linked with skipping class and poorer academic performance (Arria et al., in press; Arria et al., 2008c; McCabe et al., 2006), which, if persistent, could lead to academic failure or dismissal. Second, a drug violation might automatically result in suspension for at least a semester. Third, during the development of a substance use disorder, drug use typically gains prominence in one’s life, relative to other activities that were previously enjoyed or meaningful. Therefore, the desire to pursue a college degree might wane in the face of escalating involvement with drugs and drug-using peers, who can reinforce disengagement from academic routines such as attending class and studying for exams. These mechanisms most likely operate simultaneously. Moreover, it is reasonable to believe that severe drug involvement would be more strongly related to discontinuous enrollment than would minor or transient involvement, which might not be associated with the sort of academic disengagement described earlier.
The aforementioned mechanisms tacitly assume that drug use is the primary culprit underlying disengagement from academic pursuits. Alternatively, the association between drug use and discontinuous enrollment could be explained by the presence of personality/temperament characteristics that are common to both drug users and individuals who fail to complete college. Externalizing behavior, conduct problems, deviant peer affiliation, and disturbances in emotion or cognitive regulation are all commonly seen in individuals with drug problems (Arria et al., 2009; Button et al., 2007; Falls et al., 2011; Kirisci et al., 2009; Mezzich et al., 2001) and might also be related to difficulty staying in college. Similarly, low conscientiousness could reflect a disregard for authority and rules and, thus, both increase the likelihood of drug taking and result in incomplete assignments or poor performance. At least three studies have shown a significant association between low conscientiousness and low GPA (Bauer and Liang, 2003; Conard, 2006; Noftle and Robins, 2007). Therefore, it is important to account for the possible confounding influence of personality/temperament characteristics when examining the relationship between drug use and continuous enrollment.
The present study aims to contribute new knowledge on the relationship between drug use during college and possible academic consequences. It specifically focuses on examining the relationship between longitudinal drug use patterns—as opposed to a single measure or diagnosis—and discontinuous enrollment. To that end, we used group-based trajectory modeling (Jones and Nagin, 2007; Nagin, 1999) to create empirically derived groups of students based on their rates of change in drug use. This method has proved successful in prior studies of drug use among adolescents (King et al., 2006) and college students (Caldeira et al., 2012). Moreover, this study examines the drug use–enrollment relationship in a college student sample where several other possible influences on academic outcomes were measured. In this way, the influence of drug use patterns can be evaluated in the context of these other suspected risk factors for discontinuous enrollment.
We first characterized the sample with respect to their longitudinal trajectories of drug use, focusing separately on marijuana and other illicit drugs. Second, we evaluated the relationship between these longitudinal drug use patterns and continuous enrollment in college at the home institution, holding constant demographic characteristics, high school GPA, fraternity/sorority involvement, alcohol use disorder, nicotine dependence, and personality/temperament characteristics.
Method
Study design
This study uses data from the first 4 years of the College Life Study (Arria et al., 2008a; Vincent et al., 2012), an ongoing, prospective study examining health-related behaviors among college students attending a single university in the mid-Atlantic region of the United States. During summer orientation in 2004, first-time, first-year students ages 17–19 years (N = 3,401) completed a brief survey that was used to select a sample for longitudinal follow-up. Students who had used an illicit drug or used a prescription drug nonmedically at least once before college entry were oversampled. All other participants were randomly sampled. After sampling, 87% (n = 1,253) participated in a baseline (Year 1) assessment during their first year of college and were assessed annually thereafter via personal interviews and self-administered questionnaires. Sampling and recruitment procedures have been described in detail elsewhere (Arria et al., 2008a; Vincent et al., 2012). Follow-up rates for Years 2 through 4 were high (91.1%, n = 1,142; 87.9%, n = 1,101; and 87.6%, n = 1,097, respectively). Substantial efforts were made to maintain contact with participants regardless of their continued college attendance. Per informed consent, academic records were obtained for each semester from the home institution. Administrative records could not be obtained from any other institution except the home institution. Trained interviewers administered all assessments. Cash incentives were offered. University institutional review board approval, written informed consent, and a Federal Certificate of Confidentiality were obtained.
Participants
The analytic sample was 1,133 individuals with complete data on demographic variables and drug use. Reasons for exclusion included completion of only one assessment (n = 59), which precluded characterizing their longitudinal drug use patterns, and missing demographic data (n = 61). Excluded individuals were more likely than included individuals to be male, but no other demographic differences were observed. There were no significant differences between included and excluded individuals with respect to baseline measures of alcohol use disorder, marijuana use disorder, number of illicit drugs used, or nicotine dependence.
Measures
Continuous enrollment at the home university.
Enrollment and graduation data were obtained from university records as allowed by informed consent. Continuous enrollment was defined as being enrolled at the home university for at least one credit during each fall and spring semester for the first 4 years of the study (i.e., through spring semester of Year 4). For students who graduated before the spring of Year 4, continuous enrollment was defined based only on the semesters before graduation. In the analytic sample, 800 (71%) were continuously enrolled and 333 (29%) were not continuously enrolled. The timing of enrollment gaps varied widely among the noncontinuously enrolled subset: 36 never came back to the home institution after Year 1, another 40 did not return after Year 2, another 25 did not return after Year 3, and the remaining 232 had heterogeneous patterns of discontinuity, meaning that they had intermittent gaps in enrollment at varying times and of varying length. Transferring to and attending another institution was coded as noncontinuous enrollment. In light of the study’s 4-year time frame and the heterogeneity of pathways to college graduation, we concluded that it would be premature to attempt to definitively classify students as having dropped out of college versus returning after a hiatus.
Alcohol and other drug use.
Annually, participants were asked about the number of times they had used each of the following substances: alcohol, marijuana, inhalants, cocaine, hallucinogens, heroin, amphetamines/methamphetamine, and 3,4-methylenedioxymethamphetamine (MDMA; Ecstasy) as well as nonmedical use of three classes of prescription drugs (i.e., stimulants, analgesics, and tranquilizers). Separate questions assessed use during the past 12 months (“During the past 12 months, on how many days have you used <type of drug>?”) and the past 30 days (“During the past 30 days, on how many days did you use <type of drug>?”), similar to the National Survey on Drug Use and Health (SAMHSA, 2003). From the responses to the questions regarding past-year use, we constructed dichotomous variables representing use versus nonuse during the entire 4-year interval. We also computed the total number of drugs each participant used at least once during the entire 4-year interval.
Personality/temperament characteristics
Three self-administered scales given at Year 1 measured personality/temperament characteristics. The 60-item NEO–Five Factor Inventory (NEO-FFI; Costa and McCrae, 1992) measures five personality factors: neuroticism (Cronbach’s α for study sample = .84), extraversion (α = .81), openness (α = .73), agreeableness (α = .74), and conscientiousness (α = .84). This scale has good test–retest reliability and internal consistency among young adults (Costa and McCrae, 1992; Robins et al., 2001). The 35-item Zuckerman–Kuhlman Personality Questionnaire Short Form assesses impulsive sensation seeking (α = .74), sociability (α = .68), neuroticism/anxiety (α = .73), aggression/hostility (α = .68), and activity (α = .75). The scale has shown good reliability and validity elsewhere (Zuckerman, 2002). The 92-item Dysregulation Inventory measures the level of affective (α = .88), behavioral (α = .90), and cognitive dysregulation (α = .84) and has demonstrated good psychometric properties among college students (Mezzich et al., 2001). For all of the personality/temperament subscales used, higher scores indicate higher levels of that characteristic.
Alcohol use disorder.
Annually, a series of questions adapted from the National Survey on Drug Use and Health was asked to assess the presence of DSM-IV criteria for past-year alcohol abuse and dependence (American Psychiatric Association, 1994; SAMHSA, 2003). All available data were used for participants completing at least two annual assessments. A three-level alcohol use disorder variable was derived for use as a covariate: no disorder (including nondrinkers and drinkers who never met alcohol use disorder criteria during the 4 years; n = 399), alcohol abuse (met criteria for alcohol abuse at least once during the 4 years but never met criteria for alcohol dependence; n = 373), and alcohol dependence (met criteria for alcohol dependence at least once during the 4 years; n = 361).
Marijuana use disorder.
Similar to alcohol use disorder, a three-level variable was derived for marijuana dependence, abuse, and no disorder (Caldeira et al., 2008).
Nicotine dependence.
The Fagerström Test of Nicotine Dependence (FTND) was administered annually (Heatherton et al., 1991). Annual scores were averaged to provide an overall mean FTND score.
Control variables.
Sex was recorded as observed at Year 1. Race was self-reported and later dichotomized as White versus non-White because of the predominance of Whites (73%). Adjusted gross income of the participants’ ZIP code during their senior year of high school was used as an approximation of neighborhood income (MelissaDATA, 2003). Cumulative high school GPA was captured from university administrative data sets. Both neighborhood income and GPA were continuous variables. Involvement in fraternities/sororities was assessed annually and dichotomized from all available data into regular involvement in at least 1 year versus irregular/no involvement.
Data analyses
Group-based trajectory modeling, which was developed as a specialized application of finite mixture modeling (Nagin, 1999; Jones and Nagin, 2007), was used to estimate the rate of change (i.e., growth trajectories) in drug use over time. Group-based trajectory modeling can be seen as an integration of conventional growth curve modeling and latent class growth curve modeling in that it estimates a mean growth curve for each latent class and allows for random individual variation around the growth curve in each class. The potential strength of the use of group-based trajectory modeling in the present study is that it allowed us to identify discrete subgroups in our data with different types of growth, or change across time, in their drug use.
Results of these analyses allowed for identification of two categorical variables that could be used to characterize rates of change in drug use over the 4 years of college based on the four annual observations of (a) past-30-day marijuana use frequency and (b) number of illicit drugs used during the past 12 months other than marijuana, respectively (see above). Models assumed a zero-inflated Poisson distribution to allow for the large proportion of nonusers expected in this population and allowed for up to a third-degree polynomial to define rates of change over time. All one- to six-group solutions were evaluated. Model selection was based on the Bayesian information criterion and the Bayes factor, as well as the interpretability of the competing models under examination. From the best-fitting models, trajectory group membership was coded into a five-level marijuana trajectory variable and a three-level other illicit drug trajectory variable using PROC TRAJ in SAS Version 9.2 (SAS Institute Inc., Cary, NC).
Next, we computed descriptive statistics to compare the five marijuana trajectory groups and the three other illicit drug trajectory groups on the basis of demographic variables (sex, race, neighborhood income), high school GPA, fraternity/sorority involvement, nicotine dependence, illicit and nonmedical drug use, alcohol use disorder, marijuana use disorder, continuous enrollment, and personality/temperament characteristics. To understand the correlates of continuous enrollment at the bivariate level, we compared the continuously enrolled subset with the noncontinuous subset on the basis of demographic variables, high school GPA, fraternity/sorority involvement, nicotine dependence, number of drugs used annually, alcohol use disorder, and personality/temperament characteristics.
Finally, a series of logistic regression models evaluated the association between drug use trajectories and continuous enrollment, independent of personality/temperament variables and control variables. Logistic regression modeling proceeded in stages, beginning with bivariate models, followed by simultaneous entry of all independent and control variables into one multivariable model, and subsequent “refitting” to select the most parsimonious model in which only statistically significant effects were retained. Alpha was set at .05. This procedure was replicated first using the marijuana trajectory variable and second using the other illicit drug trajectory variable. The two drug use trajectory variables were not entered simultaneously in any model because of excess multicollinearity.
Results
Group-based trajectory models
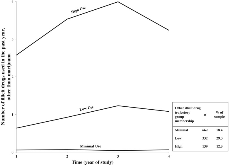
Table 1 summarizes the model fit statistics for the group-based trajectory analyses. For marijuana use frequency, the preferred model identified five empirically distinct trajectories: minimal use, infrequent use, decreasing use, increasing use, and chronic/heavy use (Figure 1). The six-group solution had a slightly smaller Bayesian information criterion but yielded two very small trajectory groups (i.e., <5% of the sample) and was therefore rejected. For other illicit drug use, a three-group solution emerged as the best fit: minimal, low, and high illicit drug use (Figure 2).
Table 1.
Model fit statistics for group-based trajectory models on past-30-day marijuana use frequency and number of other illicit drugs used during the past year (n = 1,133)
| Marijuana use frequency |
No. of other illicit drugs used |
|||
| No. of trajectory groups in solution | BIC | Bayes factor | BIC | Bayes factor |
| 1 | -22,886.88 | N/A | -5,946.96 | N/A |
| 2 | -10,670.86 | -24,432.04 | -4,371.40 | -3,151.12 |
| 3 | -9,127.09 | -3,087.54 | -4,213.97 | -314.86 |
| 4 | -8,519.24 | -1,215.7 | -4,218.10 | 8.26 |
| 5 | -8,081.65 | -875.18 | -4,220.61 | 5.02 |
| 6 | -7,916.28 | -330.74 | -4,237.91 | 34.6 |
Notes: BIC = Bayesian information criterion; N/A = not applicable.
Figure 1.
Marijuana use trajectories (n = 1,133)
Figure 2.
Other illicit drug use trajectories (n = 1,133)
Correlates of longitudinal drug use patterns
Tables 2 and 3 compare the five marijuana trajectory groups and the three other illicit drug trajectory groups, respectively, on demographics, high school GPA, fraternity/sorority involvement, nicotine dependence, illicit and nonmedical drug use, alcohol use disorder, marijuana use disorder, continuous enrollment, and personality/temperament characteristics. As expected, the groups differed dramatically on measures of drug use over the 4-year period as well as on alcohol and marijuana use disorders. Discontinuous enrollment was most prevalent among chronic/heavy marijuana users (40.8%) and lowest among minimal marijuana users (24.9%). Significant differences existed between drugusing groups on all demographic variables, such that males, Whites, and individuals with higher neighborhood incomes were overrepresented in the drug-using groups.
Table 2.
Comparison of marijuana trajectory groups on continuous enrollment, demographics, substance use, DSM-IV substance use disorders, and personality/temperament characteristics during the first 4 years of the study (n = 1,133)
| Variable | Minimal use (n = 682) | Infrequent use (n = 230) | Decreasing use (n = 59) | Increasing use (n = 86) | Chronic/heavy use (n = 76) | p |
| Enrollment, % discontinuously enrolled | 24.9 | 36.1 | 30.5 | 36.1 | 40.8 | .001 |
| Demographic characteristics | ||||||
| Sex, % male | 40.5 | 48.7 | 64.4 | 65.1 | 67.1 | <.001 |
| Race, % White | 68.8 | 76.1 | 93.2 | 80.2 | 80.3 | <.001 |
| Neighborhood income, M (SD)a | 7.2 (3.3) | 7.6 (3.5) | 7.1 (2.7) | 7.4 (3.7) | 8.4 (3.8) | .031 |
| Fraternity/sorority involvement, % regularly involved | 26.3 | 38.3 | 37.3 | 43.0 | 32.9 | .001 |
| High school grade point average, M (SD) | 3.9 (0.4) | 3.8 (0.4) | 3.8 (0.4) | 3.9 (0.5) | 3.8 (0.4) | .431 |
| Inhalants use, % | 3.1 | 11.6 | 30.2 | 23.4 | 42.9 | <.001 |
| Cocaine use, % | 5.7 | 22.6 | 72.6 | 60.8 | 69.9 | <.001 |
| Hallucinogens use, % | 5.4 | 24.4 | 66.1 | 64.6 | 88.0 | <.001 |
| Heroin use, % | 0.2 | 1.4 | 2.0 | 4.1 | 3.2 | .004 |
| Amphetamines/methamphetamine use, % | 0.8 | 4.7 | 14.0 | 2.7 | 11.1 | <.001 |
| 3,4-methylenedioxymethamphetamine (MDMA; Ecstasy) use, % | 2.0 | 13.8 | 23.5 | 34.2 | 47.2 | <.001 |
| Prescription stimulants, nonmedical use, % | 23.4 | 56.2 | 89.7 | 73.5 | 86.3 | <.001 |
| Prescription analgesics, nonmedical use, % | 14.7 | 35.2 | 69.0 | 67.5 | 79.2 | <.001 |
| Prescription tranquilizers, nonmedical use, % | 5.1 | 23.7 | 53.7 | 44.9 | 68.1 | <.001 |
| Mean number of drugs used annually, M (SD) | 0.2 (0.4) | 0.8 (0.9) | 2.1 (1.2) | 1.7 (1.3) | 2.9 (1.6) | <.001 |
| Mean nicotine dependence score, M (SD)b | 0.1 (0.3) | 0.0 (0.1) | 0.2 (0.6) | 0.2 (0.5) | 0.4 (1.0) | <.001 |
| Alcohol use disorder, % | ||||||
| No disorder | 47.5 | 23.9 | 13.6 | 9.3 | 5.3 | |
| Alcohol abuse | 29.8 | 35.7 | 37.3 | 43.0 | 38.2 | |
| Alcohol dependence | 22.7 | 40.4 | 49.2 | 47.7 | 56.6 | |
| Marijuana use disorder, % | <.001 | |||||
| No disorder | 93.6 | 53.9 | 15.3 | 9.3 | 0.0 | |
| Marijuana abuse | 4.7 | 30.9 | 39.0 | 46.5 | 21.1 | |
| Marijuana dependence | 1.8 | 15.2 | 45.8 | 44.2 | 79.0 | |
| Dysregulation Inventoryc | ||||||
| Affective dysregulation, M (SD) | 23.8 (10.7) | 24.0 (10.0) | 20.5 (11.0) | 24.0 (11.5) | 23.0 (9.4) | .221 |
| Behavioral dysregulation, M (SD) | 27.5 (11.9) | 28.6 (11.3) | 29.6 (13.5) | 27.8 (12.2) | 31.1 (10.5) | .113 |
| Cognitive dysregulation, M (SD) | 28.6 (9.0) | 29.6 (9.1) | 28.8 (10.0) | 30.4 (8.6) | 31.3 (8.0) | .072 |
| Zuckerman–Kuhlman Personality Questionnaired | ||||||
| Impulsive sensation seeking, M (SD) | 3.1 (2.1) | 4.0 (2.0) | 4.5 (2.2) | 4.3 (2.2) | 4.4 (1.9) | <.001 |
| Neuroticism/anxiety, M (SD) | 2.7 (2.0) | 2.6 (2.1) | 2.1 (1.7) | 2.5 (2.2) | 2.2 (1.9) | .107 |
| Aggression/hostility, M (SD) | 2.8 (2.0) | 3.2 (2.0) | 3.1 (2.2) | 3.4 (2.0) | 3.6 (1.9) | .002 |
| Activity, M (SD) | 3.8 (2.0) | 3.7 (1.9) | 3.5 (2.0) | 3.7 (1.9) | 3.7 (1.9) | .088 |
| Sociability, M (SD) | 4.5 (2.1) | 5.5 (1.7) | 5.1 (2.0) | 5.5 (1.7) | 5.3 (1.9) | <.001 |
| NEO–Five Factor Inventorye | ||||||
| Neuroticism, M (SD) | 19.7 (7.9) | 19.9 (7.9) | 17.6 (7.4) | 19.0 (7.6) | 19.8 (6.8) | .339 |
| Extraversion, M (SD) | 31.1 (6.4) | 32.4 (5.6) | 32.3 (6.6) | 31.6 (6.1) | 31.2 (5.9) | .070 |
| Openness, M (SD) | 28.0 (6.1) | 29.4 (6.7) | 31.3 (6.7) | 28.9 (5.8) | 30.8 (5.8) | <.001 |
| Agreeableness, M (SD) | 31.2 (6.0) | 30.4 (5.2) | 30.0 (6.1) | 29.8 (5.2) | 28.9 (5.1) | .002 |
| Conscientiousness, M (SD) | 31.4 (6.5) | 30.0 (6.5) | 30.2 (7.7) | 29.9 (6.2) | 28.8 (6.6) | .002 |
Notes: Bivariate associations with the five-level drug variable were evaluated using one-way analysis of variance for scale and count variables, and chi-square test of independence for categorical variables. DSM-IV = Diagnostic and Statistical Manual of Mental Disorders, Fourth Edition.
Mean adjusted gross income for each participant’s home ZIP code during his or her last year in high school, measured in 10,000s (U.S. $).
Nicotine dependence was measured using the Fagerström Test of Nicotine Dependence; higher scores indicate greater levels of nicotine dependence (range: 0–9).
Ranges for Dysregulation Inventory subscale scores were as follows: affective (2–67), behavioral (2–77), and cognitive (3–63); higher scores indicate greater levels of dysregulation.
Zuckerman–Kuhlman Personality Questionnaire subscale scores all ranged from 0 to 7; higher scores indicate greater levels of each characteristic.
Ranges for NEO–Five Factor Inventory subscale scores were as follows: neuroticism (0–46), extraversion (10–48), openness (10–45), agreeableness (10–46), conscientiousness (8–48); higher scores indicate greater levels of each characteristic.
Table 3.
Comparison of other illicit drug trajectory groups on continuous enrollment, demographics, substance use, DSM-IV substance use disorders, and personality/temperament characteristics during the first 4 years of the study (n = 1,133)
| Variable | Minimal drug use (n = 662) | Low drug use (n = 332) | High drug use (n = 139) | p |
| Enrollment, % discontinuously enrolled | 24.2 | 34.9 | 41.0 | <.001 |
| Demographic characteristics | ||||
| Sex, % male | 41.5 | 53.3 | 58.3 | <.001 |
| Race, % White | 68.1 | 78.3 | 84.9 | <.001 |
| Neighborhood income, M (SD)a | 7.0 (3.2) | 7.9 (3.5) | 7.7 (3.7) | <.001 |
| Fraternity/sorority involvement, % regularly involved | 24.8 | 41.3 | 36.0 | <.001 |
| High school grade point average, M (SD) | 3.9 (0.4) | 3.8 (0.4) | 3.8 (0.4) | .002 |
| Inhalants use, % | 1.3 | 10.5 | 53.9 | <.001 |
| Cocaine use, % | 0.7 | 30.6 | 92.6 | <.001 |
| Hallucinogens use, % | 1.8 | 35.3 | 91.0 | <.001 |
| Heroin use, % | 0.0 | 0.7 | 7.0 | <.001 |
| Amphetamines/methamphetamine use, % | 0.2 | 2.7 | 19.5 | <.001 |
| 3,4-methylenedioxymethamphetamine (MDMA; Ecstasy) use, % | 0.5 | 14.3 | 54.8 | <.001 |
| Prescription stimulants, nonmedical use, % | 10.2 | 79.3 | 95.7 | <.001 |
| Prescription analgesics, nonmedical use, % | 7.1 | 47.7 | 95.6 | <.001 |
| Prescription tranquilizers, nonmedical use, % | 2.0 | 24.0 | 84.6 | <.001 |
| Mean number of drugs used annually, M (SD) | 0.1 (0.1) | 1.0 (0.5) | 3.3 (1.0) | <.001 |
| Mean nicotine dependence score, M (SD)b | 0.0 (0.2) | 0.1 (0.4) | 0.3 (0.7) | <.001 |
| Alcohol use disorder, % | <.001 | |||
| No disorder | 50.8 | 15.7 | 7.9 | |
| Alcohol abuse | 30.7 | 38.3 | 30.9 | |
| Alcohol dependence | 18.6 | 46.1 | 61.2 | |
| Marijuana use disorder, % | <.001 | |||
| No disorder | 88.5 | 51.2 | 16.6 | |
| Marijuana abuse | 8.5 | 25.9 | 28.8 | |
| Marijuana dependence | 3.0 | 22.9 | 54.7 | |
| Dysregulation Inventoryc | ||||
| Affective dysregulation, M (SD) | 23.3 (10.5) | 23.9 (10.2) | 24.4 (11.7) | .491 |
| Behavioral dysregulation, M (SD) | 26.6 (11.5) | 29.5 (11.9) | 31.8 (12.1) | <.001 |
| Cognitive dysregulation, M (SD) | 28.3 (8.8) | 29.9 (9.2) | 31.6 (8.8) | <.001 |
| Zuckerman—Kuhlman Personality Questionnaired | ||||
| Impulsive sensation seeking, M (SD) | 3.0 (2.1) | 4.2 (2.1) | 4.5 (2.0) | <.001 |
| Neuroticism/anxiety, M (SD) | 2.7 (2.0) | 2.4 (2.0) | 2.5 (2.0) | .156 |
| Aggression/hostility, M (SD) | 2.8 (2.0) | 3.3 (2.0) | 3.3 (2.1) | <.001 |
| Activity, M (SD) | 3.8 (2.1) | 3.7 (1.9) | 3.3 (2.0) | .048 |
| Sociability, M (SD) | 4.5 (2.1) | 5.4 (1.7) | 5.2 (1.9) | <.001 |
| NEO—Five Factor Inventorye | ||||
| Neuroticism, M (SD) | 19.3 (7.9) | 19.5 (7.7) | 20.7 (7.5) | .150 |
| Extraversion, M (SD) | 31.1 (6.3) | 32.3 (6.2) | 31.5 (6.0) | .024 |
| Openness, M (SD) | 28.1 (6.2) | 29.2 (6.3) | 30.3 (6.4) | <.001 |
| Agreeableness, M (SD) | 31.3 (6.0) | 30.1 (5.5) | 29.5 (5.2) | <.001 |
| Conscientiousness, M (SD) | 31.8 (6.3) | 29.4 (6.6) | 28.9 (6.9) | <.001 |
Notes: Bivariate associations with the three-level drug variable were evaluated using one-way analysis of variance for scale and count variables and chi-square test of independence for categorical variables. DSM-IV = Diagnostic and Statistical Manual of Mental Disorders, Fourth Edition.
Mean adjusted gross income for each participant’s home ZIP code during his or her last year in high school, measured in 10,000s (U.S. $).
Nicotine dependence was measured using the Fagerström Test of Nicotine Dependence. Higher scores indicate greater levels of nicotine dependence (range: 0–9).
Ranges for Dysregulation Inventory subscale scores were as follows: affective (2–67), behavioral (2–77), and cognitive (3–63); higher scores indicate greater levels of dysregulation.
Zuckerman—Kuhlman Personality Questionnaire subscale scores all ranged from 0 to 7; higher scores indicate greater levels of each characteristic.
Ranges for NEO–Five Factor Inventory subscale scores were as follows: neuroticism (0–46), extraversion (10–48), openness (10–45), agreeableness (10–46), conscientiousness (8–48); higher scores indicate greater levels of each characteristic.
Correlates of continuous enrollment
Overall, 71% of the sample (n = 800) was continuously enrolled at the home university for 4 years or until early graduation (Table 4). Continuous enrollment was associated with a slightly higher high school GPA and slightly lower neighborhood income but was not related to sex, race, or fraternity/sorority involvement. Of the 13 personality/temperament variables tested, five were significantly associated with continuous enrollment (cognitive dysregulation, aggression/hostility, openness, agreeableness, and conscientiousness).
Table 4.
Comparison of participant characteristics based on continuous enrollment statusa
| Variable | Total (n = 1,133)a | Noncontinuously enrolled (n = 333) | Continuously enrolled (n = 800) | p |
| Demographic characteristics | 533 (47.04) | 145 (43.54) | 388 (48.50) | .128 |
| Sex, n (% male) | 829 (73.17) | 250 (75.08) | 579 (72.38) | .350 |
| Race, n (% White) | 7.3 (0.10) | 7.7 (0.20) | 7.2 (0.11) | .045 |
| Neighborhood income, M (SE)b | ||||
| Fraternity/sorority involvement, n (% regularly involved) | 351 (30.98) | 100 (30.03) | 251 (31.37) | .656 |
| High school grade point average, M (SE) | 3.9 (0.01) | 3.8 (0.02) | 3.9 (0.01) | .001 |
| Mean number of drugs used annually, M (SE) | 0.7 (0.03) | 1.0 (0.07) | 0.6 (0.04) | <.001 |
| Mean nicotine dependence score, M (SE)c | 0.1 (0.01) | 0.1 (0.02) | 0.1 (0.01) | .099 |
| Alcohol use disorder | .430 | |||
| No disorder, n (%) | 399 (35.22) | 115 (34.53) | 284 (35.50) | |
| Alcohol abuse, n (%) | 373 (32.92) | 103 (30.93) | 270 (33.75) | |
| Alcohol dependence, n (%) | 361 (31.86) | 115 (34.53) | 246 (30.75) | |
| Dysregulation Inventoryd | ||||
| Affective dysregulation, M (SE) | 23.6 (0.32) | 24.5 (0.64) | 23.3 (0.37) | .087 |
| Behavioral dysregulation, M (SE) | 28.1 (0.36) | 29.1 (0.65) | 27.7 (0.43) | .083 |
| Cognitive dysregulation, M (SE) | 29.2 (0.27) | 30.0 (0.50) | 28.8 (0.33) | .042 |
| Zuckerman–Kuhlman Personality Questionnairee | ||||
| Impulsive sensation seeking, M (SE) | 3.5 (0.07) | 3.7 (0.12) | 3.4 (0.08) | .052 |
| Neuroticism/anxiety, M (SE) | 2.6 (0.06) | 2.6 (0.11) | 2.6 (0.07) | .752 |
| Aggression/hostility, M (SE) | 3.0 (0.06) | 3.3 (0.11) | 2.9 (0.07) | .020 |
| Activity, M (SE) | 3.7 (0.06) | 3.6 (0.11) | 3.8 (0.07) | .149 |
| Sociability, M (SE) | 4.8 (0.06) | 5.0 (0.11) | 4.8 (0.07) | .083 |
| NEO–Five Factor Inventoryf | ||||
| Neuroticism, M (SE) | 19.6 (0.23) | 20.2 (0.45) | 19.3 (0.27) | .079 |
| Extraversion, M (SE) | 31.5 (0.19) | 31.4 (0.36) | 31.5 (0.22) | .732 |
| Openness, M (SE) | 28.7 (0.19) | 29.4 (0.34) | 28.4 (0.22) | .010 |
| Agreeableness, M (SE) | 30.7 (0.17) | 29.9 (0.32) | 31.1 (0.20) | .001 |
| Conscientiousness, M (SE) | 30.7 (0.20) | 29.3 (0.37) | 31.3 (0.23) | <.001 |
Notes: Between-group differences were evaluated using one-way analysis of variance for scale and count variables, and chi square test of independence for categorical variables.
Because of missing data, the sample sizes ranged from 1,072 to 1,133.
Mean adjusted gross income for each participant’s home ZIP code during his or her last year in high school, measured in 10,000s (U.S. $).
Nicotine dependence was measured using the Fagerström Test of Nicotine Dependence; higher scores indicate greater levels of nicotine dependence (range: 0–9).
Ranges for Dysregulation Inventory subscale scores were as follows: affective (2–67), behavioral (2–77), and cognitive (3–63); higher scores indicate greater levels of dysregulation.
Zuckerman-Kuhlman Personality Questionnaire subscale scores all ranged from 0 to 7; higher scores indicate greater levels of each characteristic.
Ranges for NEO–Five Factor Inventory subscale scores were as follows: neuroticism (0–46), extraversion (10–48), openness (10–45), agreeableness (10–46), conscientiousness (8–48); higher scores indicate greater levels of each characteristic.
Results of regression modeling
Table 5 shows that both marijuana use frequency and other illicit drug involvement were strongly associated with the risk for discontinuous enrollment. Specifically, infrequent, increasing, and chronic/heavy marijuana use patterns were associated with significantly increased risk for discontinuous enrollment (adjusted odds ratio = 1.66, 1.74, and 1.99, respectively) compared with minimal use. With regard to other drug use, both low and high drug use trajectory groups were significantly more likely to be discontinuously enrolled than minimal drug users (adjusted odds ratio = 1.56 and 1.98, respectively). High school GPA remained negatively associated with discontinuous enrollment, and females were more likely than males to be discontinuously enrolled. Conscientiousness and agreeableness were the only personality/temperament variables that retained significance in the final models. For both sets of analyses (i.e., using the marijuana trajectory variable and the other illicit drug trajectory variable), the results did not change appreciably between the preliminary full model (results not shown in a table) and the final model, with one important exception. In the final model using the marijuana trajectory variable, the “increasing” marijuana use group was significantly more likely to be discontinuously enrolled than the reference group (minimal use), whereas in the full multivariable model, this difference only approached significance (p = .07, data not shown in a table).
Table 5.
Results of bivariate and multivariable logistic regression models evaluating predictive models for discontinuous enrollment based on demographic characteristics, alcohol use disorder, tobacco use, and longitudinal drug use patterns
| Variable | Bivariate models OR [95% CI] | Multivariable Model 1a,b eOR [95% CI] | Multivariable Model 2a,c eOR [95% CI] |
| Demographic characteristics | |||
| Sex = female | 1.22 [0.94, 1.58] | 1.48 [1.12, 1.94]** | 1.45 [1.10, 1.90]** |
| Race = non-White | 0.87 [0.65, 1.17] | ||
| Neighborhood incomed | 1.04 [1.00, 1.08]* | ||
| Fraternity/sorority involvement = not regularly involved | 1.07 [0.81, 1.41] | ||
| High school grade point average | 0.58 [0.43, 0.80]** | 0.66 [0.47, 0.92]* | 0.67 [0.48, 0.93]* |
| Marijuana trajectory group | |||
| Minimal use | Reference | Reference | |
| Infrequent use | 1.70 [1.24, 2.34]* | 1.66 [1.19, 2.30]** | |
| Decreasing use | 1.32 [0.74,2.36] | 1.32 [0.73, 2.41] | |
| Increasing use | 1.70 [1.06, 2.73]* | 1.74 [1.07, 2.83]* | |
| Chronic/heavy use | 2.08 [1.27, 3.39]** | 1.99 [1.20, 3.30]** | |
| Other illicit drug trajectory group | |||
| Minimal drug use | Reference | Reference | |
| Low drug use | 1.69 [1.26, 2.25]** | 1.56 [1.16, 2.10]** | |
| High drug use | 2.18 [1.49, 3.20]** | 1.98 [1.33, 2.94]** | |
| Mean nicotine dependence score | 1.28 [0.95, 1.72] | ||
| Alcohol use disorder | |||
| No disorder | Reference | ||
| Alcohol abuse | 0.94 [0.69, 1.29] | ||
| Alcohol dependence | 1.15 [0.85, 1.57] | ||
| Dysregulation Inventory | |||
| Affective dysregulation | 1.01 [1.00, 1.02] | ||
| Behavioral dysregulation | 1.01 [1.00, 1.02] | ||
| Cognitive dysregulation | 1.02 [1.00, 1.03]* | ||
| Zuckerman—Kuhlman Personality Questionnaire | |||
| Impulsive sensation seeking | 1.06 [1.00, 1.13] | ||
| Neuroticism/anxiety | 1.01 [0.95, 1.08] | ||
| Aggression/hostility | 1.08 [1.01, 1.15]* | ||
| Activity | 0.95 [0.89, 1.02] | ||
| Sociability | 1.06 [0.99, 1.13] | ||
| NEO—Five Factor Inventory | |||
| Neuroticism | 1.02 [1.00, 1.03] | ||
| Extraversion | 1.00 [0.98, 1.02] | ||
| Openness | 1.03 [1.00, 1.05]* | ||
| Agreeableness | 0.96 [0.94, 0.99]** | 0.98 [0.95, 1.00]* | 0.98 [0.95, 1.00]* |
| Conscientiousness | 0.96 [0.94, -0.97]** | 0.97 [0.95, 0.99]** | 0.97 [0.95, 1.00]** |
Notes: OR = odds ratio; aOR = adjusted odds ratio.
Because of missing data, the sample sizes for multivariable Model 1 and Model 2 were both 1,128.
Model 1 includes the marijuana-trajectory-group variable, adjusting for all other effects shown after nonsignificant effects were eliminated from the re-fitted model shown.
Model 2 includes the other illicit drug trajectory group variable, adjusting for all other effects shown after nonsignificant effects were eliminated from the re-fitted model shown.
Mean adjusted gross income for each participant’s home ZIP code during his or her last year in high school, measured in 10,000s (U.S. $).
p < .05;
p < .01.
Discussion
In this longitudinal cohort of college students, drug users were more likely than nonusers to experience disruptions in college attendance at their home institution, even after statistical adjustment for a wide variety of other factors. The non-substance-related variables that remained statistically significant in our explanatory model of continuous enrollment were sex, high school GPA, agreeableness, and conscientiousness. Interestingly, marijuana use and other illicit drug use were significantly related to discontinuous enrollment, whereas alcohol use disorder was not observed to be significantly associated. Although others have speculated that excessive alcohol consumption is a proxy for engagement in college activities (Martinez et al., 2008), it is important to recognize that many of the illicit drug users in our sample also had alcohol-related problems. Therefore, individuals who are identified as excessive drinkers could still be at risk for academic consequences.
Although not a primary aim of this study, the results regarding the longitudinal trajectories of marijuana use and other illicit drug use during college add to the growing body of research using longitudinal growth curve modeling to characterize substance use patterns among college students (Caldeira et al., 2012; Jackson et al., 2008; Schulenberg et al., 2005). This methodology is useful for creating empirically derived categories of substance users, taking into account the fact that substance use behaviors often change rapidly during the college years. In this instance, it was especially helpful to distinguish the effects of marijuana-trajectory-group membership from those of other drug use trajectories, given that marijuana is the most frequently used illicit drug among college students and because of its increasing prevalence in recent years (SAMHSA, 2011).
The findings of this study have important implications for educational institutions that are concerned about improving their retention rates. Much recent attention has focused on improving access to a college education, yet national concern also has been raised regarding the stagnation of college graduation rates in the United States. The latest data from the Department of Education show that only 50% of first-year students attending 4-year institutions graduate within 6 years (National Center for Education Statistics, 2011). A substantial body of literature in the educational research field has documented the factors that contribute to (or, alternatively, hinder) college persistence and completion (Allen et al., 2008; Cabrera et al., 1993; Herzog, 2005; Pascarella and Terenzini, 2005), including academic motivation, study skills, social engagement, external support, institutional characteristics, and the interactions among these factors. Unfortunately, very little discussion has focused on how alcohol and other drug use might directly influence academic motivation or study skills. The results of this study suggest that marijuana and other drug use can lead to disruptions in college attendance, and therefore resources directed toward reducing drug use could hold promise for increasing retention. Because drug use represents a potentially malleable risk factor for discontinuous enrollment, especially in the early stages of substance involvement, this study’s results suggest that alcohol and other drug prevention and early intervention strategies might hold promise for improving college graduation rates.
Moreover, this study has implications for advancing a research agenda to understand more about how drug use during college is related to academic outcomes. Little research has been conducted to evaluate the effectiveness of approaches that integrate substance use interventions into academic assistance centers, whose primary focus is to identify students who are academically struggling and to promote retention in college. Based on the findings from this study, campus staff members who work in these settings might be trained to confidentially screen for substance use and conduct brief interventions and follow-up assessments to manage an individual’s substance use problem. It is possible that college students might be more motivated to abstain from substance use if they recognize a clear connection between their behavior and the fulfillment of their personal academic goals.
The present study should be viewed as a first step to understand the possible effects of drug use on discontinuous enrollment in college, but caution is warranted in interpreting the observed relationships as unanimously negative. Although others have supported the value of using continuous enrollment as an indicator of academic success, it could be argued that discontinuous enrollment might not be disadvantageous, especially if the time not enrolled in school is spent doing something constructive. However, the economic costs to the federal government of discontinuous enrollment are significant and cannot be ignored (Schneider, 2010). As mentioned earlier, drug use could interfere with staying in college in many possible ways. Additional research is needed to understand the mechanisms underlying the observed associations. Future research also is needed to understand the heterogeneity of experiences among those who have stopped out of college and whether drug use has simply a temporary effect by delaying the achievement of individual goals, or, alternatively, a longer-lasting effect on career development. Furthermore, our sample size was not sufficient to investigate the association between drug use and dropout. Future studies with larger samples should address the possible mediating effect of discontinuous enrollment on subsequent dropping out.
Several limitations of this study should be mentioned. First, characterizing drug use patterns presented challenges, because drug use frequency was assessed annually for 10 different drugs. The heterogeneity in drug use patterns over time combined with the heterogeneity of stopping-out patterns during the 4 years of study limited our ability to make inferences regarding the temporal relationship between drug use and continuous enrollment. Finally, because our study was conducted at a single university, generalizability of the findings to students attending colleges with different characteristics (e.g., small private institutions) is unknown.
Despite these limitations, the study findings highlight the need for increased attention to college students’ drug use, not only heavy drinking. Present findings comport with previously mentioned research that observed a significant relationship between serious drug involvement and failure to complete college (Breslau et al., 2008; Hunt et al., 2010; King et al., 2006). Two of these studies reported a significant association between bipolar disorder and noncompletion of college (Breslau et al., 2008; Hunt et al., 2010). Although we did not attempt to replicate their finding, future studies should investigate the importance of comorbid psychiatric disorders and drug use for academic outcomes in college.
If confirmed, the observed relationship between persistent drug use and decreased likelihood of continuous enrollment should inspire discussions among college administrators and parents to develop strategies for early intervention. Furthermore, because it has been shown that alcohol and other drug problems in college typically have their onset in the high school years (Arria et al., 2008b; Sher and Rutledge, 2007), it is vital that prevention and intervention activities not only begin early but also are sustained through the college years.
Acknowledgments
We extend special thanks to Rebecca Baron, the interviewing team, and the participants.
Footnotes
This research was supported by National Institute on Drug Abuse Grant R01-DA14845 (to Amelia Arria, principal investigator).
References
- Allen J, Robbins S B, Casillas A, Oh I-S. Third-year college retention and transfer: Effects of academic performance, motivation, and social connectedness. Research in Higher Education. 2008;49:647–664. [Google Scholar]
- American Psychiatric Association. Diagnostic and statistical manual of mental disorders. 4th ed. Washington, DC: Author; 1994. [Google Scholar]
- Arria A M, DuPont R L. Nonmedical prescription stimulant use among college students: Why we need to do something and what we need to do. Journal of Addictive Diseases. 2010;29:417–426. doi: 10.1080/10550887.2010.509273. [DOI] [PMC free article] [PubMed] [Google Scholar]
- Arria A M, Caldeira K M, O’Grady K E, Vincent K B, Fitzelle D B, Johnson E P, Wish E D. Drug exposure opportunities and use patterns among college students: Results of a longitudinal prospective cohort study. Substance Abuse. 2008a;29:19–38. doi: 10.1080/08897070802418451. [DOI] [PMC free article] [PubMed] [Google Scholar]
- Arria A M, Kuhn V, Caldeira K M, O’Grady K E, Vincent K B, Wish E D. High school drinking mediates the relationship between parental monitoring and college drinking: A longitudinal analysis. Substance Abuse Treatment, Prevention, and Policy, 3. 2008b doi: 10.1186/1747-597X-3-6. 6. Retrieved from http://www.substanceabusepolicy.com/content/3/1/6. [DOI] [PMC free article] [PubMed] [Google Scholar]
- Arria A M, O’Grady K E, Caldeira K M, Vincent K B, Wish E D. Nonmedical use of prescription stimulants and analgesics: Associations with social and academic behaviors among college students. Journal of Drug Issues. 2008c;38:1045–1060. doi: 10.1177/002204260803800406. [DOI] [PMC free article] [PubMed] [Google Scholar]
- Arria A M, Vincent K B, Caldeira K M. Measuring liability for substance use disorder among college students: Implications for screening and early intervention. American Journal of Drug and Alcohol Abuse. 2009;35:233–241. doi: 10.1080/00952990903005957. [DOI] [PMC free article] [PubMed] [Google Scholar]
- Arria A M, Wilcox H C, Caldeira K M, Vincent K B, Garnier-Dykstra L M, O’Grady K E. Dispelling the myth of “smart drugs”: Cannabis and alcohol use problems predict nonmedical use of prescription stimulants for studying. Addictive Behaviors. doi: 10.1016/j.addbeh.2012.10.002. in press. [DOI] [PMC free article] [PubMed] [Google Scholar]
- Bauer K W, Liang Q. The effect of personality and precollege characteristics on first-year activities and academic performance. Journal of College Student Development. 2003;44:277–290. [Google Scholar]
- Berkner L, He S, Cataldi E F. Descriptive summary of 1995–96 beginning postsecondary students: Six years later. Washington, DC: United States Department of Education, Office of Educational Research and Improvement, National Center for Education Statistics; 2002. Retrieved from http://nces.ed.gov/pubsearch/pubsinfo.asp?pubid=2003151. [Google Scholar]
- Breslau J, Lane M, Sampson N, Kessler R C. Mental disorders and subsequent educational attainment in a US national sample. Journal of Psychiatric Research. 2008;42:708–716. doi: 10.1016/j.jpsychires.2008.01.016. [DOI] [PMC free article] [PubMed] [Google Scholar]
- Button T M M, Rhee S H, Hewitt J K, Young S E, Corley R P, Stallings M C. The role of conduct disorder in explaining the comorbidity between alcohol and illicit drug dependence in adolescence. Drug and Alcohol Dependence. 2007;87:46–53. doi: 10.1016/j.drugalcdep.2006.07.012. [DOI] [PubMed] [Google Scholar]
- Cabrera A F, Nora A, Castaneda M B. College persistence: Structural equations modeling test of an integrated model of student retention. The Journal of Higher Education. 1993;64:123–139. [Google Scholar]
- Caldeira K M, Arria A M, O’Grady K E, Vincent K B, Wish E D. The occurrence of cannabis use disorders and other cannabis-related problems among first-year college students. Addictive Behaviors. 2008;33:397–411. doi: 10.1016/j.addbeh.2007.10.001. [DOI] [PMC free article] [PubMed] [Google Scholar]
- Caldeira K M, O’Grady K E, Vincent K B, Arria A M. Marijuana use trajectories during the post-college transition: Health outcomes in young adulthood. Drug and Alcohol Dependence. 2012;125:267–275. doi: 10.1016/j.drugalcdep.2012.02.022. [DOI] [PMC free article] [PubMed] [Google Scholar]
- Chen R, DesJardins S L. Investigating the impact of financial aid on student dropout risks: Racial and ethnic differences. The Journal of Higher Education. 2010;81:179–208. [Google Scholar]
- Conard M A. Aptitude is not enough: How personality and behavior predict academic performance. Journal of Research in Personality. 2006;40:339–346. [Google Scholar]
- Costa P T, Jr, McCrae R R. Revised NEO Personality Inventory (NEO PI-R) and NEO Five-Factor Inventory (NEO-FFI) Odessa, FL: Psychological Assessment Resources; 1992. [Google Scholar]
- Falls B J, Wish E D, Garnier L M, Caldeira K M, O’Grady K E, Vincent K B, Arria A M. The association between early conduct problems and early marijuana use in college students. Journal of Child & Adolescent Substance Abuse. 2011;20:221–236. doi: 10.1080/1067828X.2011.581900. [DOI] [PMC free article] [PubMed] [Google Scholar]
- Ford J A, Schroeder R D. Academic strain and non-medical use of prescription stimulants among college students. Deviant Behavior. 2008;30:26–53. [Google Scholar]
- Ganderton P T, Santos R. Hispanic college attendance and completion: Evidence from the high school and beyond surveys. Economics of Education Review. 1995;14:35–46. [Google Scholar]
- Garnier-Dykstra L M, Caldeira K M, Vincent K B, O’Grady K E, Arria A M. Nonmedical use of prescription stimulants during college: Four-year trends in exposure opportunity, use, motives, and sources. Journal of American College Health. 2012;60:226–234. doi: 10.1080/07448481.2011.589876. [DOI] [PMC free article] [PubMed] [Google Scholar]
- Gliksman L, Newton-Taylor B, Adlaf E, Giesbrecht N. Alcohol and other drug use by Ontario university students: The roles of gender, age, year of study, academic grades, place of residence and programme of study. Drugs: Education, Prevention & Policy. 1997;4:117–129. [Google Scholar]
- Harvey W B. Minorities in higher education 20th annual status report, 2002–2003. Washington, DC: American Council on Education; 2003. [Google Scholar]
- Heatherton T F, Kozlowski L T, Frecker R C, Fagerström K O. The Fagerström Test for Nicotine Dependence: A revision of the Fagerström Tolerance Questionnaire. British Journal of Addiction. 1991;86:1119–1127. doi: 10.1111/j.1360-0443.1991.tb01879.x. [DOI] [PubMed] [Google Scholar]
- Herzog S. Measuring determinants of student return vs. dropout/stopout vs. transfer: A first-to-second year analysis of new freshmen. Research in Higher Education. 2005;46:883–928. [Google Scholar]
- Hingson R, Heeren T, Winter M, Wechsler H. Magnitude of alcohol-related mortality and morbidity among U.S. college students ages 18–24: Changes from 1998 to 2001. Annual Review of Public Health. 2005;26:259–279. doi: 10.1146/annurev.publhealth.26.021304.144652. [DOI] [PubMed] [Google Scholar]
- Horn L. Placing college graduation rates in context: How 4-year college graduation rates vary with selectivity and the size of low-income enrollment. Washington, DC: United States Department of Education, National Center for Education Statistics; 2006. [Google Scholar]
- Hunt J, Eisenberg D, Kilbourne A M. Consequences of receipt of a psychiatric diagnosis for completion of college. Psychiatric Services. 2010;61:399–404. doi: 10.1176/ps.2010.61.4.399. [DOI] [PubMed] [Google Scholar]
- Ishitani T T. How do transfers survive after “transfer shock”? A longitudinal study of transfer student departure at a four-year institution. Research in Higher Education. 2008;49:403–419. [Google Scholar]
- Jackson K M, Sher K J, Schulenberg J E. Conjoint developmental trajectories of young adult substance use. Alcoholism: Clinical and Experimental Research. 2008;32:723–737. doi: 10.1111/j.1530-0277.2008.00643.x. [DOI] [PMC free article] [PubMed] [Google Scholar]
- Jones B L, Nagin D S. Advances in group-based trajectory modeling and an SAS procedure for estimating them. Sociological Methods & Research. 2007;35:542–571. [Google Scholar]
- Kasperski S J, Vincent K B, Caldeira K M, Garnier-Dykstra L M, O’Grady K E, Arria A M. College students’ use of cocaine: Results from a longitudinal study. Addictive Behaviors. 2011;36:408–411. doi: 10.1016/j.addbeh.2010.12.002. [DOI] [PMC free article] [PubMed] [Google Scholar]
- King K M, Meehan B T, Trim R S, Chassin L. Marker or mediator? The effects of adolescent substance use on young adult educational attainment. Addiction. 2006;101:1730–1740. doi: 10.1111/j.1360-0443.2006.01507.x. [DOI] [PMC free article] [PubMed] [Google Scholar]
- Kirisci L, Tarter R, Mezzich A, Ridenour T, Reynolds M, Vanyukov M. Prediction of cannabis use disorder between boyhood and young adulthood: Clarifying the phenotype and environtype. American Journal on Addictions. 2009;18:36–47. doi: 10.1080/10550490802408829. [DOI] [PMC free article] [PubMed] [Google Scholar]
- Martinez J A, Sher K J, Wood P K. Is heavy drinking really associated with attrition from college? The alcohol-attrition paradox. Psychology of Addictive Behaviors. 2008;22:450–456. doi: 10.1037/0893-164X.22.3.450. [DOI] [PMC free article] [PubMed] [Google Scholar]
- McCabe S E. Gender differences in collegiate risk factors for heavy episodic drinking. Journal of Studies on Alcohol. 2002;63:49–56. [PubMed] [Google Scholar]
- McCabe S E, Teter C J, Boyd C J. Medical use, illicit use and diversion of prescription stimulant medication. Journal of Psychoactive Drugs. 2006;38:43–56. doi: 10.1080/02791072.2006.10399827. [DOI] [PMC free article] [PubMed] [Google Scholar]
- McCabe S E, West B T, Wechsler H. Trends and college-level characteristics associated with the non-medical use of prescription drugs among US college students from 1993 to 2001. Addiction. 2007;102:455–465. doi: 10.1111/j.1360-0443.2006.01733.x. [DOI] [PMC free article] [PubMed] [Google Scholar]
- Melissa DATA. Income tax statistics lookup. 2003 Retrieved from http://www.melissadata.com/lookups/taxzip.asp. [Google Scholar]
- Mezzich A C, Tarter R E, Giancola P R, Kirisci L. The dysregulation inventory: A new scale to assess the risk for substance use disorder. Journal of Child & Adolescent Substance Abuse. 2001;10:35–43. [Google Scholar]
- Musgrave-Marquart D, Bromley S P, Dalley M B. Personality, academic attribution, and substance use as predictors of academic achievement in college students. Journal of Social Behavior and Personality. 1997;12:501–511. [Google Scholar]
- Nagin D S. Analyzing developmental trajectories: A semiparametric, group-based approach. Psychological Methods. 1999;4:139–157. doi: 10.1037/1082-989x.6.1.18. [DOI] [PubMed] [Google Scholar]
- National Center for Education Statistics. Integrated postsecondary education data system. 2011. Retrieved from http://nces.ed.gov/ipeds/ [Google Scholar]
- National Institute on Alcohol Abuse and Alcoholism. A call to action: Changing the culture of drinking at U.S. colleges. Bethesda, MD: Author; 2002. [Google Scholar]
- Noftle E E, Robins R W. Personality predictors of academic outcomes: Big five correlates of GPA and SAT scores. Journal of Personality and Social Psychology. 2007;93:116–130. doi: 10.1037/0022-3514.93.1.116. [DOI] [PubMed] [Google Scholar]
- Pascarella E T, Terenzini P T. How college affects students: A third decade of research: Volume 2. San Francisco, CA: Wiley; 2005. [Google Scholar]
- Pascarella E T, Goodman K M, Seifert T A, Tagliapietra-Nicoli G, Park S, Whitt E J. College student binge drinking and academic achievement: A longitudinal replication and extension. Journal of College Student Development. 2007;48:715–727. [Google Scholar]
- Paschall M J, Freisthler B. Does heavy drinking affect academic performance in college? Findings from a prospective study of high achievers. Journal of Studies on Alcohol. 2003;64:515–519. doi: 10.15288/jsa.2003.64.515. [DOI] [PubMed] [Google Scholar]
- Robbins S B, Lauver K, Le H, Davis D, Langley R, Carlstrom A. Do psychosocial and study skill factors predict college outcomes? A meta-analysis. Psychological Bulletin. 2004;130:261–288. doi: 10.1037/0033-2909.130.2.261. [DOI] [PubMed] [Google Scholar]
- Robins R W, Fraley R C, Roberts B W, Trzesniewski K H. A longitudinal study of personality change in young adulthood. Journal of Personality. 2001;69:617–640. doi: 10.1111/1467-6494.694157. [DOI] [PubMed] [Google Scholar]
- Schneider M. Finishing the first lap: The cost of first-year student attrition in America’s four-year colleges and universities. Washington, DC: American Institutes for Research; 2010. [Google Scholar]
- Schulenberg J E, Merline A C, Johnston L D, O’Malley P M, Bachman J G, Laetz V B. Trajectories of marijuana use during the transition to adulthood: The big picture based on national panel data. Journal of Drug Issues. 2005;35:255–280. doi: 10.1177/002204260503500203. [DOI] [PMC free article] [PubMed] [Google Scholar]
- Sher K J, Rutledge P C. Heavy drinking across the transition to college: Predicting first-semester heavy drinking from precollege variables. Addictive Behaviors. 2007;32:819–835. doi: 10.1016/j.addbeh.2006.06.024. [DOI] [PMC free article] [PubMed] [Google Scholar]
- Singleton R A. Collegiate alcohol consumption and academic performance. Journal of Studies on Alcohol and Drugs. 2007;68:548–555. doi: 10.15288/jsad.2007.68.548. [DOI] [PubMed] [Google Scholar]
- Stratton L S, O’Toole D M, Wetzel J N. A multinomial logit model of college stopout and dropout behavior. Economics of Education Review. 2008;27:319–331. [Google Scholar]
- Substance Abuse and Mental Health Services Administration. 2002 National Survey on Drug Use and Health Questionnaire. Rockville, MD: Author; 2003. [Google Scholar]
- Substance Abuse and Mental Health Services Administration. Results from the 2009 National Survey on Drug Use and Health: Detailed tables. Rockville, MD: Author; 2010. [Google Scholar]
- Substance Abuse and Mental Health Services Administration. Results from the 2010 National Survey on Drug Use and Health: Summary of national findings. Rockville, MD: Author; 2011. [Google Scholar]
- Vincent K B, Kasperski S J, Caldeira K M, Garnier-Dykstra L M, Pinchevsky G M, O’Grady K E, Arria A M. Maintaining superior follow-up rates in a longitudinal study: Experiences from the College Life Study. International Journal of Multiple Research Approaches. 2012;6:56–72. doi: 10.5172/mra.2012.6.1.56. [DOI] [PMC free article] [PubMed] [Google Scholar]
- Wolaver A M. Effects of heavy drinking in college on study effort, grade point average, and major choice. Contemporary Economic Policy. 2002;20:415–428. [Google Scholar]
- Zuckerman M. Zuckerman-Kuhlman Personality Questionnaire (ZKPQ): An alternative five-factorial model. In: de Raad B, Perugini M, editors. Big five assessment. Seattle, WA: Hogrefe & Huber; 2002. pp. 377–396. [Google Scholar]


