Abstract
Purpose:
The objective of this study was to evaluate the interrater reliability, construct validity, and sensitivity of Toronto Rehabilitation Institute–Hand Function Test (TRI-HFT), within an interventional randomized control trial.
Method:
Twenty-one participants with subacute C4 to C7 spinal cord injury (SCI) were recruited. Based on randomization, participants were allocated to either the functional electrical stimulation therapy group or the conventional occupational therapy group. Baseline and follow-up assessments of participants were videotaped. For testing interrater reliability, videotaped images were transferred to DVDs that were later observed by 2 observers. Construct validity was determined by comparing total scores on TRI-HFT to self-care subscore components of the Spinal Cord Independence Measure (SCIM) and FIM. To establish sensitivity of TRI-HFT, we compared pre- and posttreatment scores on all 3 measures (ie, TRI-HFT, FIM, and SCIM).
Results:
TRI-HFT was found to have high interrater reliability with an intercorrelation coefficient (ICC) of 0.98. Moderate to strong correlations were found between TRI-HFT total scores and self-care components of FIM and SCIM for both hands individually post therapy. Due to a floor effect of the FIM and SCIM, there was weak correlation between pretherapy scores of the said measures and TRI-HFT. TRI-HFT was found to be highly sensitive in determining difference in function pre and post therapy.
Conclusions:
This study demonstrated that the TRI-HFT is a reliable and sensitive measure to assess unilateral hand gross motor function in persons with tetraplegia, with moderate to strong construct validity.
Keywords: construct validity, reliability, sensitivity, spinal cord injury, Toronto Rehabilitation Institute–Hand Function Test
There has been a growing interest amongst clinicians and researchers in the development of therapies aimed at restoring upper extremity function, especially in the population of spinal cord injured individuals, to enhance level of independence and reduce burden of care. Conventional occupational and physiotherapeutic techniques and other rehabilitation modalities such as functional electrical stimulation (FES) and robotic-assisted therapies are focusing on restoring reach and grasp function in individuals with tetraplegia.1-8 Lateral pinch, pulp pinch, and palmar grasps are the primary motor hand functions these therapies are trying to improve or restore, as they are necessary to perform various activities of daily living (ADLs) that may improve independence and quality of life. With the evolution of new therapies, there has been development of novel assessment tools to evaluate the efficacy of these therapies.3,9-11 Based on literature review, a need was identified to develop a tool that is user-friendly, evaluates unilateral gross motor function of the hand to perform power grasp (ie, palmar grasp) and precision grip (ie, lateral pinch and pulp pinch), and is easy to replicate in clinical settings. This need resulted in the development of the Toronto Rehabilitation Institute–Hand Function Test (TRI-HFT). We designed a test to measure palmar grasp, lateral pinch, and pulp pinch, as these are the most frequently used hand postures in ADLs.
Thus far, a number of attempts have been made to develop different assessment methods for assessing gross motor hand function in different patient populations.3,9-11
Grasp and Release Test
As early as 1994, Wuolle et al9 proposed using the Grasp and Release Test, which consisted of 6 different objects to be grasped and released, for patients with tetraplegia. Four of the 6 test objects (eg, can, peg, block, and videotape) can be easily acquired, because they are objects commonly used in ADLs (although a videotape is already an obsolete object, as video recorders are no longer used in many countries). The remaining 2 test objects, the paperweight and the object used to simulate the use of a fork, were nonstandardized objects. The “fork” was a spring-loaded item that was difficult to manufacture and could not be easily replicated by other researchers. The paperweight, which had to be manufactured as well, was not described in sufficient detail (ie, design specifications were not provided). As a result, the feasibility of using the Grasp and Release Test for measuring hand function in individuals with spinal cord injury (SCI) was somewhat limited. More important, 2 of the 6 tests (peg and block) were not discriminative with respect to the ability of individuals with C5 to C7 SCI to grasp and release these objects. Specifically, the individuals with SCI who used a neuroprosthesis for grasping1 were able to achieve high scores on these 2 objects with or without the use of a neuroprosthesis.9 With the small sample size (5 participants) and the interrater and intrarater reliability not having been fully established, this approach is considered to have many limitations.
Memberg and Crago10 developed 2 instrumented objects to quantitatively assess hand function while using a neuroprosthesis for grasping. The 2 objects used were a book-shaped instrumented object consisting of 2 parallel plates made from a carbon fiber and epoxy laminate and an instrumented pen/fork made of 2 aluminum beams. The 2 objects recorded force data and object orientation data throughout palmar and lateral prehension simulated functional tasks. However, these instrumented objects had design specifications that were difficult to replicate, limiting the practicality of the test for universal clinical or research applications. Furthermore, because the objects were manufactured from metal, they did not replicate real life challenges.
Upper Extremity Function Test
A test proposed by Popovic et al,3 the Upper Extremity Function Test, assesses the participant’s ability to manipulate objects typically used in ADLs. It was specifically designed to assess unilateral gross motor function of the hand in individuals with SCI who were trained to use a neuroprosthesis for grasping. This test is also a timed test and only takes into account whether the task is completed or not, as all tasks are scored on an ordinal yes/no scale. The test protocol has not been standardized, and it requires specific test items that may be difficult to obtain. This inconsistency, along with limited information about the instrument’s validity and reliability, limits its practical use.
Instrumented Workstation
Gritsenko et al12,13 developed a therapeutic system that consisted of a workstation and an FES stimulator. The workstation included a desk with a number of instrumented objects. The objects used represented household items. An example is a doorknob and a handle attached via a cord to a set of weights that are instrumented with potentiometers to monitor the displacement and velocity of the doorknob and handle. The other objects were 3 rectangular blocks and a cylinder, which were transferred by the subjects between 2 bays. These were instrumented with sensors to measure the time required to move the objects between the 2 bays. This therapeutic system was used on a small sample size (6 participants); as yet, its sensitivity has not been established. In addition, the instrumented objects have design specifications that make them difficult to replicate, thus limiting the practicality of the test in clinical applications. Currently, efforts are being made to further simplify and standardize this test (the new test/therapy device is called “ReJoyce”) and to make it available to the general public.14
Sollerman Hand Function Test
Wuolle et al9 explored standard hand function assessments, unrelated to the use of a neuroprosthesis for grasping, to ascertain their effectiveness in measuring changes in grasping function in individuals with SCI. The Sollerman Hand Function Test (SHFT)11 was one of the few tools assessed by this team. This test required the participant to perform 20 tasks using 7 grasp styles. Wuolle et al9 reported that the SHFT was an inappropriate test to evaluate hand function in individuals with C5 to C7 SCI, as these individuals are often unable to perform the required 7 grasp strategies and consequently perform poorly with this measurement instrument.
Jebsen Hand Function Test
Wuolle et al9 also evaluated the Jebsen Hand Function Test15 to determine whether it would be an effective assessment tool to measure hand function change(s) in patients with SCI who were using a neuroprosthesis for grasping. This test evaluates various hand activities using 7 test items15,16: (1) writing; (2) turning over cards that are 7.62 x 12.70 cm (simulated page turning); (3) picking up small common objects; (4) simulated feeding; (5) stacking checkers; (6) picking up large objects; and (7) picking up large heavy objects. Wuolle et al9 found that the test was inadequate for evaluating the hand function of individuals with SCI, because there were no guidelines for scoring if they dropped the item(s), substituted a different grasp pattern, or exceeded the maximum time permitted for completing the task. All these issues are prevalent in individuals with tetraplegia. Wuolle et al9 also felt that the manner in which test items were administered during the test may have had an influence on the score obtained by individuals with SCI. They reported that poor trunk control and balance have the potential to make it difficult for these individuals to perform tasks that require crossing the midline to grasp an object, which would negatively skew the hand function score; the results would not be a true reflection of the individual’s grasping function.
Minnesota Manual Dexterity Test
This test has been used to measure an individual’s ability to perform simple, but rapid, eye-hand-finger movements.17-19 It does not differentiate between the size and shape of the objects that the individual is required to manipulate during the test. Moreover, poor balance and muscle fatigue, common in the SCI patient populations, may have a negative impact on the Minnesota Manual Dexterity Test score.
Action Research Arm Test (ARAT)
ARAT was described by Lyle20,21 in 1981 as a tool to evaluate upper limb motor function recovery following a stroke or other brain injuries. Nineteen tasks were used to examine both fine and gross distal and proximal arm motor functions. One of the positive points about ARAT is that it incorporates reaching within the test; however, it demands reaching without grading it. The tasks utilized objects that could be readily purchased in a hardware store and required minimal assembly. Similar to the TRI-HFT, the ARAT is simple to administer and requires minimal time to complete (5 to 30 minutes).20,21 ARAT has been validated in the stroke population, and the reported interrater and intrarater reliabilities were 0.99 and 0.98, respectively.22 More recently, the ARAT has been standardized and has shown to be sensitive to functional motor change in patients who have sustained a stroke or other brain injuries.23 Through use in research laboratory, the main limitation identified with this tool is the height at which some of the tasks are performed. Not all tasks are performed at a comfortable height for seated individuals. Because this test involves upward reaching, the ability to regulate sitting balance affects the test scores. For example, many tasks require the participant to grasp and manipulate objects at shoulder height. Many SCI individuals are unable to perform these maneuvers due to lack of trunk stability and, as a result, may score poorly on the ARAT, despite the fact that their gross motor hand function has improved considerably over time. Also, the grading system of the test is such that if the participant is able to complete the first task, which is labeled as the most difficult task, then subsequent testing of that subset is not required. If the participant is unable to complete the first task, then the second task, which is labeled as the easiest task, is attempted. If the participant is unable to complete that task, then that subset of the test is abandoned, or the participant is moved on to the next subset of the test. It is our opinion that the difficulty of performing tasks in the stroke and SCI population is very different due to initial neuropathology. Also, validity and reliability of the ARAT has not been studied in SCI individuals.
Graded Redefined Assessment of Strength, Sensibility and Prehension (GRASSP)
GRASSP is one of the more recently developed tests. Based on preliminary work done by Kalsi-Ryan et al,24 the items included in the test are (a) sensory assessment of both the dorsal and palmar surface of the hand using Semmes Weinstein monofilaments; (b) manual muscle testing for 10 upper extremity muscles; and (c) prehension testing using a modified Sollerman test (6 items instead of 20). The GRASSP takes about 45 to 60 minutes to administer bilaterally and was developed for assessing subtle changes in the neurological status of the hand post cervical SCI during different phases post injury.22 Reliability and validity have been well established,22,25 and responsiveness is currently being tested. The GRASSP is not best suited for assessing the force generated during unilateral lateral pinch, pulp pinch, and palmar grasp in individuals with SCI. More specifically, GRASSP prehension components of the tests [(1) take the bottle and pour the water into the cup, approximately three-fourths full; (2) pull the 9 pegs, 1 by 1, out of the block and place them back into the markings on the opposite side; and (3) unscrew the lids of the 2 jars and place them on the table] are discriminative with respect to the FES therapy and neuroprosthesis for grasping, as these 3 tests can show improvement due to these 2 interventions (ie, FES therapy and implanted neuroprosthesis). However, GRASSP prehension components of the tests [(4) take the key from the table, insert it in the lock, and turn it 90°; (5) pick up the 4 coins, 1 by 1, from the table and drop them through the slot; and (6) pick up the 4 nuts, 1 by 1, from the table and screw them onto the matching screws] are tests that SCI subjects who took part in the FES therapy for grasping or who are using a neuroprosthesis for grasping may not necessarily be able to perform, as they require fine finger dexterity. At the present time, the FES technology (both the FES therapy for grasping and the neuroprosthesis for grasping) is not developed for fine finger dexterity. Because FES therapy and the use of a neuroprosthesis for pinch and grasp are the 2 most promising interventions for restoring hand function in individuals with tetraplegia, a test that specifically evaluates gross motor unilateral lateral pinch, pulp pinch, and palmar grasp is needed. For a further discussion on the intricacies of measuring hand function in SCI, refer to references 22, 24, and 25.
AuSpinal
Another recently developed assessment tool is the AuSpinal. This tool was developed by Coates et al in February 201126 and consists of 7 different tasks selected from 3 existing hand function measures – Sollerman Hand Function Test, Rehabilitation Engineering Laboratory Hand Function Test (Rehabilitation Engineering Laboratory Hand Function Test is identical to TRI-HFT and is the first name used for TRI-HFT when this test was originally proposed in 200527), and the Upper Extremity Function Test. This test does address one of the common limitations of the other tests in that it looks at unilateral gross motor function, however the test was designed to solely measure function irrespective of type of grasp used and hence is restricted in terms of guiding therapy progression. Also the psychometric properties of the test require further investigation.26
The TRI-HFT is the first clinical assessment tool to measure specifically unilateral gross motor function focusing on lateral pinch, pulp pinch, and palmar grasp. These 3 prehension patterns were chosen for mainly 2 reasons. First, they are frequently needed in manipulating day to day objects. Second, this test was developed with the aim of being able to detect changes in function secondary to use of FES that is commonly restoring 1 or all 3 of these prehension patterns. Furthermore, in the last 10+ years, it has been shown that FES is able to induce neuroplasticity and restore voluntary hand function. Hence, the hope was that TRI-HFT will be used to help detect improvements in function secondary to neuroplasticity. Recent articles published by our team2,8,27,28 suggest that TRI-HFT is very effective in detecting improvements in function secondary to neuroplasticity.
The TRI-HFT evaluation requires participants to manipulate (for the purpose of this article, “manipulate” refers to gross motor function not fine finger movements) standardized objects, which they may encounter in their daily lives. The objects used in the evaluation tool are readily available anywhere in the world and require only simple, if any, modifications. Individuals may or may not use a neuroprosthesis to assist them in manipulating the objects during the TRI-HFT. The TRI-HFT has been designed to be used to assess the effectiveness of (a) hand therapies; (b) neuroprosthesis for grasping as an orthosis (ie, as a permanent assistive device) in ADLs; (c) FES therapy for restoring voluntary grasping function1,2,8; and (d) surgical restoration options such as tendon transfer surgeries.29
The purpose of this study was to establish the reliability, construct validity, and sensitivity of the TRI-HFT as an evaluation tool for use in patients with SCI and to assess the unilateral gross motor function of their hand to perform lateral pinch, pulp pinch, and palmar grasp.
The Toronto Rehabilitation Institute–hand Function Test
The TRI-HFT consists of 2 parts. The first part of the test assesses the individuals’ ability to manipulate objects that they may encounter in their daily lives (Figure 1, Items 1-11). To manipulate these objects, they are required to use one of the following: a lateral pinch, a pulp pinch, or a palmar grasp (Figures 2 and 3). The second part of the test measures the strength of their lateral pinch or pulp pinch and palmar grasp (Figure 1, Items 12-14). The objects have been constructed to demonstrate the influence of different weight and texture on performance and to allow objective measurement of pinch force and circular torque (Figure 3). The scoring system is designed to pay special emphasis to the type of grasp used, that is, whether an active or a passive grasp is used to accomplish the task. An active grasp refers to the ability to develop active finger forces to accomplish the grasp, lift, and manipulation, whereas passive grasp refers to the passive tension in fingers secondary to the positioning of the proximal joints (eg, tenodesis grasp).
Figure 1.
Itemized objects used in the Toronto Rehabilitation Institute–Hand Function Test. Items 1-10 are used to assess object manipulation. Item 11: Wooden blocks is used to assess how subjects manipulate objects that have same dimensions but have different weight and texture. Item 12: Instrumented cylinder measures a torque that the subjects can resist with his/her palmar grasp. Item 13: Instrumented credit card measures a force that the subjects can resist with his/her pulp pinch or lateral pinch grip. Item 14: Wooden bar measures how well the subject is able to handle eccentric loading .
Figure 2.
Demonstration of how to manipulate Items 1, 3, 5, 7, and 9 during the test. These objects are assessing palmar grasp. The numbers in the figure refer to items in the TRI-HFT and the items in the score sheet (see Appendix).
Figure 3.
Demonstration of how to manipulate Items 2, 4, 6, 8 and 10 during the test. Objects 2, 4, and 8 are assessing lateral pinch. Objects 6 and 10 are assessing pulp pinch. The numbers in the figure refer to items in the TRI-HFT and the items in the score sheet (see Appendix).
The 2 parts of the TRI-HFT should be administered sequentially, and each test component should be presented to the individual in the order shown on the scoring form (Appendix). It is imperative that the administrator of the test demonstrates clearly each task that the individual is to perform and that the administrator emphasizes the type of grasp to be used to manipulate the objects (Figures 2-4). The individual may take as much time as required and is scored when he/she completes the task or when he/she stops trying to accomplish the task. There is no time limit within which the task must be performed. The results of the test are entered on a paper record (Appendix). The TRI-HFT should preferably be administered by a hand or upper extremity specialist (physiotherapist or occupational therapist). The entire evaluation for both hands can be completed in less than 30 minutes. When the assessment is to be recorded on videotape, the camera should be positioned at a 45° angle opposite the involved upper extremity at 1 m height.
Figure 4. Demonstration of how to manipulate Items 11, 12, 13, and 14 during the test. These objects are assessing strength. The numbers in the figure refer to items in the TRI-HFT and the items in the score sheet (see Appendix).
Part 1: Evaluation of object manipulation for lateral or pulp pinch grasp and palmar grasp
The object manipulation subtest was developed to evaluate manual hand dexterity. It evaluates the ability to use lateral pinch, pulp pinch, and palmar grasp to manipulate common objects in 3 different gravity-related positions – against gravity (supination), toward gravity (pronation), and in a gravity-eliminated plane (mid-prone position). A complete description of the objects used in this test can be found in Table 1. Each item is given a score from 0 to 7.
Table 1.
Detailed description and rationale for the items used in the TRI-HFT
| Object | Description | Rationale |
| 01. Mug | A standard mug with a handle that accommodates at least 3 (preferably 4) of the subjects’ fingers | Simulates drinking out of a mug/cup. |
| Fill the mug with wax until the total weight is approximately 350-400 g. | The wax simulates the liquid that would normally be in the mug. Wax was chosen for safety in the event that the mug is dropped. | |
| The total weight of the mug, with wax, is approximately 350-400 g. | The weight simulates the average weight of a mug filled with coffee | |
| 02. Paper | A single sheet of standard 8 ½ x 11 in. or A4 paper | A typical ADL task |
| 03. Book | A standard paperback book weighing approximately 200-300 g (approximately 150-200 pages) | A typical ADL task |
| 04. Ziploc bag | A closed Ziploc bag filled with 5 golf balls | Simulated picking up a bag filled with popcorn, muffins, peas, etc |
| The bag is approximately 170 x 200 mm. The golf balls areUSGA and R&A regulation size/weight. | ||
| The balls should be allowed to move freely in the bag. The total weight of the bag with balls should be approximately 200 g. | ||
| 05. Pop can | Use a full pop can (355 mL). | Picking up and drinking from a pop can is a typical ADL task. |
| 06. Dice | Standard dice for gambling | Picking up a die/sugar cube is a component of a typical ADL task. |
| 07. Sponge | Isosceles triangle with dimensions: height 40 cm, base 20 cm, thickness 10 cm | Mimics picking up a soft, deforming object, such as a pillow or clothing |
| 08. Credit card | A standard credit card should be used. | Picking up/using a credit card is a typical ADL task. |
| 09. Wireless phone | A standard mobile phone should be used. Approximate weight between 80-100 g | Picking up and holding a cellular phone is a typical ADL task. |
| 10. Pencil | A standard HB pencil should be used. | Picking up a pencil is a component of a typical ADL task. |
| 11. Rectangular wooden blocks | Nine rectangular wooden blocks (40 x 40 x 120 mm)Weights: 3 blocks x 100 g; 3 blocks x 200 g; 3 blocks x 300 g A hole is drilled into the middle of each wooden block and metal rod inserted into the block to achieve the desired weight. (Figure 1) The surfaces of each block in the set of 3 had a different surface: Low friction: overhead transparency sheet High friction: Dycem nonslip material Polished wood: polished wood surface |
To test the strength of palmar grasp To assess the ability of the participant to manipulate objects of identical size but varying weights and surfaces |
| 12. Instrumented cylinder | A polished wooden bar (diameter 10 mm and length 15 cm) is attached to the top edge of a wooden cylinder (30 mm in diameter) so that it protrudes from the cylinder through its center and is orthogonal to the long axis of the cylinder (Figure 4). Ten cm from the center of the cylinder, a string is attached which fits into a groove of the side of the semicircle. The other end of the string is attached to a hand-held force sensora capable of reading forces from 1-50 N with a resolution of 0.5 N. | To test the strength of grasping torque of the participant’s palmar grasp This activity is required to grasp and use objects such as a knife, toothbrush, hairbrush, and shaver without allowing the object to slip. |
| 13. Credit card & dynamometer | A credit card is attached to a dynamometer (the same dynamometer as used in test 12). | Measures the grasping force of pulp/lateral pinch grasp |
| 14. Wooden bar | A straight wooden bar that has an elliptical cross-section of 35 mm and 40 mm, a length of 80 cm, and a weight of 600 g (eg, an axe handle) | Measures the amount of eccentric load that can be held using a pronated palmar grip when the object is manipulated |
| The bar is scored with horizontal lines 10 mm apart. The line in the middle is marked as zero. The neighboring lines are marked sequentially from the middle line outwards from 1 to 30. | Mimics the use of a frying pan, fishing pole, etc |
Note: ADL = activity of daily living; USGA = United States Golf Association; HB = hard black; R&A = Royal and Ancient Golf Club; TRI-HFT = Toronto Rehabilitation Institute–Hand Function Test.
Cooper Instruments and Systems dynamometer.
To test the palmar grasp, an individual is presented with the following 5 items: mug, book, soda can, isosceles triangular sponge, and wireless home telephone (Figure 1, Items 1, 3, 5, 7 and 9, respectively). In spite of the fact that holding a book requires intrinsic muscle activity, specifically the lumbricals, it was included in the test due to its frequent use in day to day life and because previous studies using FES have shown an improvement in this type of grip.2,8 To test lateral pinch and precision grip, the individual is presented with the following 5 items: paper sheet, Ziploc bag filled with 5 golf balls, dice, credit card, and pencil (Figure 1, Items 2, 4, 6, 8, and 10, respectively). To test the strength of the power grasp, the individual is presented with the following items: 9 rectangular blocks, instrumented cylinder, credit card attached to a dynamometer, and wooden bar (Figure 1, Items 11, 12, 13, and 14, respectively).
With the exception of the instrumented cylinder, credit card attached to a dynamometer, and wooden bar, all test objects in Figure 1 are placed on a desk 20 to 30 cm in front of the participant, one after another in the order from Item 1 to Item 11. The participant is expected to pick up the object, lift it completely off the supporting surface, manipulate it, and place it back down on the table. The exact manner in which the test objects should be presented to an individual is presented in Figures 2, 3, and 4. The scoring system for TRI-HFT (scale 0-7) is as follows:
0 = No movement elicited, ie, subject unable to reach for the object.
1 = Subject able to reach for the object but unable to grasp the object
2 = Subject able to reach and grasp using passive grasp but unable to lift the object successfully off the supporting surface
3 = Subject able to reach and grasp using active grasp but unable to lift the object successfully off the supporting surface
4 = Subject able to reach, grasp, and lift the object completely off the supporting surface using passive grasp but unable to manipulate the object
5 = Subject able to reach, grasp, and lift the object completely off the supporting surface using active grasp but unable to manipulate the object
6 = Subject able to reach, grasp, and lift the object completely off the supporting surface and manipulate the object using passive grasp appropriately
7 = Subject able to reach, grasp, and lift the object completely off the supporting surface and manipulate the object using active grasp appropriately/normal function
The rationale behind this scoring is to look at the 3 important components of grasp and manipulation – reach, grasp, and manipulation. This scoring system is applied to Items 1 to 11 in Figure 1 (ie, mug to wooden blocks).
Part 2: Evaluation of strength of lateral or pulp pinch grasp and palmar grasp
The instrumented cylinder, credit card, and wooden bar are used to measure the torque generated by palmar grasp, the force that the pinch (lateral or pulp) grasp could resist, and the eccentric load that the palmar grasp could sustain, respectively. First of all, we recorded whether the individual was able to hold the instrumented cylinder, instrumented credit card, and the wooden bar using the same 0-7 scoring; and if the individual was able to, then torque, force, and eccentric load were measured respectively. This part of the TRI-HFT is not validated, because the test results are actual torque, force, and displacement measurements. The exact manner in which the test objects should be presented to the subject and manipulated by the subject is presented in Figure 4.
Materials and Methods
Participants and observers
An interventional randomized control trial (RCT) was conducted at an inpatient rehabilitation setting in Toronto to evaluate the benefits of FES therapy for grasping over conventional hand therapies.8 Participants with traumatic incomplete SCI with level of injury between C4 to C7 were invited to participate in the study. Participants were recruited based on the inclusion/exclusion criteria. The inclusion criteria were as follows: (a) AIS B, C or D; (b) time since injury less than 6 months at time of baseline assessment; (c) 18 years of age or older; and (d) unable to grasp and manipulate objects unilaterally or bilaterally to allow independent performance of activities of daily living. Exclusion criteria were as follows: participants who (a) had contraindications for FES such as cardiac pacemaker, skin lesions, or a rash at potential electrode site; (b) suffered from cardiovascular conditions such as uncontrolled hypertension or autonomic dysreflexia requiring medication; or (c) had denervated muscles. The psychometric properties of the TRI-HFT were studied within this RCT. Gross motor hand function of both upper extremities was assessed in 21 participants with C4 to C7 SCI using the TRI-HFT. The other outcome measures used were FIM and SCIM (both total and self-care subscores).30,31 The mean age of the 21 participants in this study was 43 years of age (range, 16-70). All of the participants had met the inclusion criteria for participation in the interventional RCT evaluating the potential benefits of using FES therapy to restore grasping ability.8 In the RCT, 12 participants received an additional hour of occupational therapy (control group), whereas 9 participants randomized to the intervention group (FES group) received an additional hour of FES therapy over and above 1 hour of conventional occupational therapy for grasping.8 Both groups received 1 hour of therapy 5 days a week for 8 weeks. For the definition of conventional occupational therapy and FES therapy, please consult references 2 and 8. After 8 weeks of participation in the therapy program, the TRI-HFT was administered again to the 21 participants.
All of the participants had some degree of impairment with respect to reaching, grasping, and releasing objects. In particular, all subjects had shown some level of impairment with respect to performing unilateral gross motor lateral pinch, pulp pinch, and palmar grasp tasks. The physical impairments involved varying degrees of impairment with voluntary finger flexion and extension, control of wrist flexion and extension, and forearm pronation and supination. The TRI-HFT assessment was always completed in 1 session. The total administration time varied among participants from 10 minutes to 30 minutes based on level of function.
For the purpose of determining interrater reliability, each participant’s assessments were recorded on an encrypted videotape and the data were “de-identified.” Individual copies of a DVD containing the encrypted videotaped TRI-HFT assessments of the 21 participants, described above, along with written instructions how TRI-HFT is scored were provided to 2 observers. The observers were 1 physician and 1 physiotherapist, both with expertise in working with the SCI population for over 10 years. The observers were blinded to the participants’ diagnosis, AIS classification, rehabilitation treatment history, and group allocation.
For assessment of construct validity, the scores on TRI-HFT were compared to the standardized outcome measures, FIM and SCIM. These outcome measures were administered within the same session at both baseline and follow-up (see ref. 8 for details). The results of the TRI-HFT were compared to those of the self-care components of both FIM and SCIM. The FIM and SCIM are validated and widely used disability questionnaires in SCI population.30-32
To determine the sensitivity of the TRI-HFT to detect a change in hand function, the pre and post scores of the participants were compared following their participation in the interventional RCT.
Statistical analysis
TRI-HFT construct validity
The construct validity of the TRI-HFT was established by computing Spearman’s correlation coefficient with the self-care component of the FIM and SCIM. An r value of 0.0 to 0.4 was considered as weak correlation, 0.4 to 0.7 was considered as moderate correlation, and anything above 0.7 was considered as strong correlation.33
Interrater reliability
To test the interrater reliability of the TRI-HFT, the baseline and follow-up scores were correlated between 2 individuals. All assessments were done individually, and the observers were not allowed to discuss the video clips or the assigned scores with each other. The intraclass correlation coefficient and the Spearman’s rank correlation coefficient were calculated using SPSS version 16 (SPSS, Inc., Chicago, IL).
Tool sensitivity
Using SPSS version 16, the Wilcoxon signed ranks test was used to compare scores before and after intervention. For all statistical procedures, P value of significance was set at < .05.
Results
Construct validity
The results showed that there was a weak relationship at baseline between FIM self-care subscore and TRI-HFT (total object scores Items 1 to 10) (r = 0.13) and between the TRI-HFT and SCIM self-care subscore (r = 0.18) for the right hand (Figures 5 and 7). The scores for the left hand at baseline showed a comparatively moderate correlation between TRI-HFT and FIM self-care subscore (r = 0.59) and a weak correlation between TRI-HFT and SCIM self-care subscore (r = 0.38) (Figures 6 and 8). However, stronger correlations were found between the measures for follow-up data. For the right hand, the correlations between TRI-HFT and FIM self-care subscore and between TRI-HFT and the SCIM self-care subscore were moderately strong (r = 0.56 and r = 0.48, respectively) (Figures 5 and 7). For the left hand, the correlations were moderately strong for associations between TRI-HFT and the FIM self-care subscore and between TRI-HFT and the SCIM self-care subscore (r = 0.73 and r = 0.62, respectively) (Figures 6 and 8).
Figure 8.
Construct validity of the TRI-HFT (Items 1-10 in Figure 1) score vs the SCIM self-care subscores for the left hand pre (r = 0.36) and post therapy (r = 0.61). The SCIM scores show a substantial floor effect pre therapy.
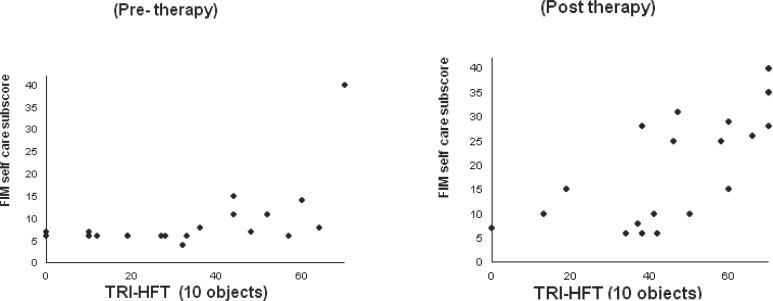
Figure 5. Construct validity of the TRI-HFT (Items 1-10 in Figure 1) score vs the FIM self-care subscore for the right hand pre (r = 0.13) and post therapy (r = 0.59). The FIM scores show a significant floor effect pre therapy.
Figure 7.
Construct validity of the TRI-HFT (Items 1-10 in Figure 1) score vs the SCIM self-care subscore for the right hand pre (r = 0.18) and post therapy (r = 0.45). The SCIM scores show a substantial floor effect pre therapy.
Figure 6.
Construct validity of the TRI-HFT (Items 1-10 in Figure 1) score vs the FIM self-care subscore for the left hand pre (r = 0.56) and post therapy (r = 0.73). The FIM scores show a substantial floor effect pre therapy.
Correlations between TRI-HFT wooden blocks (Item 11) and SCIM and FIM self-care subscores for the right hand at baseline showed weak correlations (r = 0.47 and r = 0.39, respectively). These scores were even weaker for the left hand (r = 0 and r = 0.35, respectively). However, the relationships were much stronger at follow-up. For the right hand, the association between TRI-HFT wooden blocks (Item 11) and FIM self-care subscore and between TRI-HFT wooden blocks and SCIM self-care subscore were moderately strong (r = 0.69 and r = 0.56, respectively). For the left hand, the association between TRI-HFT wooden blocks (Item 11) and FIM self-care subscore and between TRI-HFT wooden blocks and SCIM self-care subscore were moderately strong (r = 0.66 and r = 0.56, respectively).
Interrater reliability
The interrater reliability of the TRI-HFT was examined using the intraclass correlation coefficient (ICC) and Spearman’s correlation coefficient. ICC for the pretherapy total score of the right hand was 0.98 and for the left hand was 0.98 (Figure 9); the Spearman rho for the right hand was 0.96 (P < .000) and that for the left hand was 0.98 (P < .000). The ICC for the posttherapy total score of the right hand was 0.99 (P < .000) and for the left hand was 0.99 (P < .000); the Spearman rho for the right as well as the left hand was 0.96 (P < .000).The ICC was also very high for individual task and for the wooden blocks (Table 2). Hence, excellent interrater reliability was determined for both the right and left hands.
Figure 9.
The relationship between participant total pre- and posttherapy scores on TRI-HFT (Items 1-10 in Figure 1) for left hand as rated by assessor 1 and assessor 2.
Table 2.
Intraclass correlation coefficients (ICC) for interrater reliability for the 10 objects and the wooden blocks in the TRI-HFT test (Items 1 to 11 in Figure 1)
| Left hand. | Right hand | |||
| Objects | Pre therapy | Post therapy | Pre therapy | Post therapy |
| 01. Mug | 0.90 | 0.90 | 1.00 | 0.95 |
| 02. Paper | 0.88 | 0.87 | 0.95 | 0.97 |
| 03. Book | 0.90 | 0.95 | 0.97 | 0.98 |
| 04. Ziploc bag | 0.93 | 0.96 | 0.93 | 0.96 |
| 05. Pop can | 0.91 | 0.99 | 0.97 | 0.98 |
| 06. Dice | 0.92 | 0.97 | 0.95 | 0.97 |
| 07. Sponge | 0.90 | 1.00 | 0.95 | 0.99 |
| 08. Credit card | 0.94 | 0.93 | 0.96 | 0.95 |
| 09. Mobile | 0.96 | 1.00 | 0.97 | 0.97 |
| 10. Pencil | 0.92 | 1.00 | 0.91 | 1.00 |
| Total score (10 objects) | 0.98 | 0.99 | 0.98 | 0.99 |
| Wooden blocks | 1.00 | 1.00 | 1.00 | 1.00 |
Note: TRI-HFT = Toronto Rehabilitation Institute–Hand Function Test.
Sensitivity
The baseline scores on TRI-HFT for the 21 participants varied from 0 to 70 on the total object scores (Items 1 to 10 in Figure 1). Post scores also varied from 0 to 70. Irrespective of group allocation, all participants except 1 showed improvements on all outcome measures including the TRI-HFT. There were statistically significant differences in scores pre and post therapy for FIM and SCIM self-care subscores and for TRI-HFT object manipulation component (Table 3). No statistically significant differences in change scores between the 2 groups were obtained on the instrumented credit card, instrumented cylinder, and the wooden bar tasks. This might be due to a small sample size; however, because these components measure important characteristics of function, they were retained as subcomponents of the test.
Table 3.
Summary of the mean test results for the control and intervention groups at baseline (pre) and upon completion of the therapy (post), with corresponding P values
| Control group (n=12) | Intervention group (n=9) | P values for comparison of change scores between control and intervention groups | |||
| Test | Pre | Post | Pre | Post | |
| FIM self-care subscore | 7.8 | 17.8 | 8.1 | 28.3 | 015* |
| SCIM self-care subscore | 3.3 | 6.4 | 1.9 | 12.1 | <.0001* |
| TRI-HFT components | |||||
| 10 objects | 27.2 | 38.5 | 37.1 | 53.8 | .054 |
| Instumented cylinder (able to hold) | 1.9 | 1.33 | 1.0 | 1.7 | .033* |
| Credit card (able to hold) | 1.33 | 1.41 | 1.0 | 1.7 | .035* |
| Wooden bar (able to hold) | 0.63 | 0.96 | 0.8 | 1.5 | .065 |
Note: SCIM = Spinal Cord Independence Measure; TRI-HFT = Toronto Rehabilitation Institute–Hand Function Test.
Statistically significant.
Discussion
This study establishes the TRI-HFT as a simple but sensitive assessment tool to evaluate unilateral gross motor hand function of patients who have sustained a C4 to C7 SCI. The TRI-HFT is the first validated assessment tool designed to focus on an individual’s ability to (1) manipulate universally available standardized objects encountered in their daily lives and (2) to evaluate the dexterity and strength of 3 specific gross motor hand functions – lateral pinch, pulp pinch, and palmar grasp. Almost all objects used in the administration of this test are readily available in retail and hardware stores. Those objects that require minimal carpentry to make can be easily manufactured using readily available materials and tools. This is a very important feature of the TRI-HFT assessment tool, as the majority of the tests used today, such as FIM, GRASSP, Minnesota Manual Dexterity Test, Jebsen Hand Function Test, and ARAT, have to be purchased and/or license has to be acquired. The TRI-HFT assessment has been designed as a test that most occupational therapy clinics can manufacture, and there is no requirement for a license for use. This in turn allows for universal use of the test.
The results of this study clearly demonstrate the feasibility of the TRI-HFT. It requires minimal training and does not require a complex instruction manual. When observers viewed Figures 1 to 4 and discussed the scoring scheme, they were able to administer and score the test immediately. Interrater reliability for the TRI-HFT was excellent. There was no significant difference in participant scores between the assessments of the 2 observers.
The correlations for the left hand paper task were slightly lower (Table 2). This may have been due to the properties of the object. The way the scoring system is developed, grade 2 indicates that the subject is able to reach and grasp the object using a passive grip but is unable to lift it successfully off the table and grade 4 indicates that the participant is able to reach grasp and lift the object successfully off the table using a passive grip but is unable to manipulate the object. Considering the flimsy nature of the paper, the raters found it difficult to judge what would be considered “off the table.” This was taken into account, and we added the phrase “completely off the supporting surface” to the scoring system to prevent ambiguity.
The relationship between TRI-HFT and SCIM and FIM self-care subscores was lower for the right hand compared to the left hand. One possible explanation for this finding is that all the participants were right hand dominant prior to SCI, therefore they may have accommodated the limitations better on that side. The FIM and SCIM are functional measures and do not take into account how the task was completed, so participants who scored higher on the FIM and SCIM may have had lower scores on the TRI-HFT because of the compensatory mechanisms they used, which the TRI-HFT scoring system takes into account.
The correlations between TRI-HFT and the SCIM and FIM self-care subscores were weak at baseline and the correlations between the same measures were either moderately strong or strong post therapy. There are a few possible explanations for this. One explanation for this finding may be that most of our participants had a very low level of function at baseline, and minor changes in function could not be detected on the FIM and SCIM assessments, owing to a floor effect. At the same time, the TRI-HFT was able to distinguish slight differences in function amongst most participants. After therapy, all participants improved their function, even those participants who scored 0 at baseline improved post therapy, irrespective of their group allocation. As a result, the floor effect that was prevalent at baseline was eliminated, and we were able to demonstrate stronger relationships between TRI-HFT and FIM and SCIM post therapy. Another possible explanation for this finding is that SCIM and FIM scores do not take into account the use of compensatory movements, only the level of independence. Changes in these scores can therefore reflect training effects (subjects learning to perform tasks within the constraints of their capabilities) as well as neurological changes, particularly during in-patient stay in a rehabilitation center. In contrast, the TRI-HFT appears to prevent (take into account) the use of compensatory movement in order to focus on neurological/motor changes. This inherently limits the correlations that can be expected between the SCIM/FIM and TRI-HFT.
We found the TRI-HFT to be very sensitive to change in function. The mean change score on TRI-HFT object manipulation component for the FES group was 16.7 (minimum change score = 0 and maximum change score = 49) and that for the control group was 11.3 (minimum change score = 0 and maximum change score = 30). This implies that the TRI-HFT is actually measuring change in terms of function. Also, as shown in Figure 5, for some participants the FIM was unable to demonstrate a change in spite of the TRI-HFT showing a significant improvement in their function post therapy; this is due in part to the granularity of the scoring system in the TRI-HFT and in part to the inherent way the health care system is set-up. Most participants in acute care may not be doing the daily tasks assessed by the FIM and instead have a caregiver or family member do them. As discussed in the literature review, most of the tests that are currently being used to assess change in function use “time required to complete the test” as the sole outcome measure and do not take into account the quality of movement, which is exactly what the TRI-HFT has been designed to avoid. Moreover, most of the hand function tests available do not give credit when participants are able to initiate the task but are unable to complete it successfully. Many of the available hand function tests may not be appropriate to assess hand function in individuals with SCI: most of the individuals with tetraplegia are able to initiate tasks but are often unable to complete them successfully, whereas after the therapy (especially FES therapy), they are able to perform the entire task voluntarily. The TRI-HFT addresses this granularity of the scoring system and is able to capture subtle but important changes in hand function before and after the therapy. This feature is of particular importance if the test were to be used in clinical trial designs, where recovery profiles of hand function are required.
Conclusion
Our findings indicate that TRI-HFT is a simple, reliable, valid, and sensitive measure to assess change in unilateral gross motor hand function in individuals with SCI. Furthermore, the TRI-HFT takes less than 30 minutes to be administered on both upper limbs and can be incorporated in a clinical setting with ease. Finally, it is a publically available test. This is a very important feature, as it creates the potential for significant universal uptake.
Acknowledgments
This work was supported by grants from the Physicians’ Services Incorporated Foundation (PSI grant 05-06), Christopher and Dana Reeve Foundation (TA1-0706-2), and Natural Sciences and Engineering Research Council of Canada. Additional financial support for this study was received from the Toronto Rehabilitation Institute and Ontario Ministry of Health and Long-Term Care.
Appendix
Toronto Rehabilitation Institute-Hand Function Test
Instructions: Please perform all tasks of the test. Each task is attempted by the participants until they are able to accomplish the task or until they stop trying. Each of the objects 1-11 are scored using the following scoring system:
0. No movement elicited/subject unable to reach for the object.
1. Subject able to reach for the object but unable to grasp the object.
2. Subject able to reach and grasp (using passive grasp) but unable to lift the object successfully completely off the supporting surface.
3. Subject able to reach and grasp (using active grasp) but unable to lift the object successfully completely off the supporting surface.
4. Subject able to reach, grasp, and lift the object completely off the supporting surface (using passive grasp) but no manipulation.
5. Subject able to reach, grasp, and lift the object completely off the supporting surface (using active grasp) but no manipulation.
6. Subject able to reach, grasp, lift the object completely off the supporting surface and manipulate the object (using passive grasp) appropriately.
7. Subject able to reach, grasp, lift the object completely off the supporting surface and manipulate the object (using active grasp) appropriately/normal grasp.
| OBJECTS 1-10 | Score | Score |
| OBJECT MANIPULATION COMPONENT | R Hand | L Hand |
| 1. Mug | ||
| 2. Paper | ||
| 3. Book | ||
| 4. Ziploc bag | ||
| 5. Pop can | ||
| 6. Dice | ||
| 7. Sponge | ||
| 8. Credit card | ||
| 9. Mobile phone | ||
| 10. Pencil | ||
| SUBTOTAL FOR OBJECTS 1-10 | ||
| Score | Score | |
| 11. RECTANGULAR WOODEN BLOCKS | R Hand | L Hand |
| 100 g block; high friction surface | ||
| 100 g block; wooden surface | ||
| 100 g block; low friction surface | ||
| 200 g block; high friction surface | ||
| 200 g block; wooden surface | ||
| 200 g block; low friction surface | ||
| 300 g block; high friction surface | ||
| 300 g block; wooden surface | ||
| 300 g block; low friction surface | ||
| SUBTOTAL FOR RECTANGULAR BLOCKS |
12. INSTRUMENTED CYLINDER
| R Hand | L Hand | |
| Cannot hold | ||
| Measurement torque (units) |
13. INSTRUMENTED CREDIT CARD
| R Hand | L Hand | |
| Cannot hold | ||
| Measurement torque (units) |
14. WOODEN BAR
| R Hand | L Hand | |
| Cannot hold | ||
| Bar displacement in thumb direction | ||
| Bar displacement in little finger direction |
References
- 1.Smith B, Peckham PH, Keith M, Roscoe D. An externally powered, multichannel, implantable stimulator for versatile control of paralyzed muscle. IEEE Trans Biomech Eng. 1987; 34 (7): 499–508 [DOI] [PubMed] [Google Scholar]
- 2.Popovic MR, Thrasher TA, Adams ME, Takes V, Zivanovic V, Tonack MI. Functional electrical therapy: retraining grasping in spinal cord injury. Spinal Cord. 2006; 44(3):143–151 [DOI] [PubMed] [Google Scholar]
- 3.Popovic D, Stojanovic A, Pjanovic A, et al. Clinical evaluation of the bionic glove. Arch Phys Med Rehabil. 1999;80 (3): 299–304 [DOI] [PubMed] [Google Scholar]
- 4.Popovic MR, Keller T. Compex motion: neuroprosthesis for grasping applications In: MacLachlan M, Gallagher, eds. Enabling Technologies: Body Image and Body Function. New York: Elsevier Science Ltd; 2004: 197–216 [Google Scholar]
- 5.Popovic MR, Curt A, Keller T, Dietz V. Functional electrical stimulation for grasping and walking: indications and limitations. Spinal Cord. 2001;39 (8): 403–412 [DOI] [PubMed] [Google Scholar]
- 6.Popovic MR, Popovic DB, Keller T. Neuroprostheses for grasping. Neurol Res. 2002;24: 443–452 [DOI] [PubMed] [Google Scholar]
- 7.Popovic MR, Thrasher TA.Neuroprostheses. In: Wnek GE, Bowlin GL, eds. Encyclopedia of Biomaterials and Biomedical Engineering. New York: Marcel Dekker; 2004: 1056–1065 [Google Scholar]
- 8.Popovic MR, Kapadia N, Zivanovic V, Furlan JC, Craven BC, McGillivray C. Functional electrical stimulation therapy for restoring voluntary grasping function in patients with sub-acute incomplete tetraplegia: a randomized single-blind clinical trial [published online ahead of print February 8, 2011]. Neurorehabil Neural Repair. 2011;25 (5): 433–442 [DOI] [PubMed] [Google Scholar]
- 9.Wuolle KS, Van Doren CL, Thrope GB, Keith MW, Peckham PH. Development of a quantitative hand grasp and release test for patients with tetraplegia using a hand neuroprosthesis. J Hand Surg. 1994;19 (2): 209–218 [DOI] [PubMed] [Google Scholar]
- 10.Memberg WD, Crago PE. Instrumented objects for quantitative evaluation of hand grasp. J Rehabil Res Dev. 1997;34(1):82–90 [PubMed] [Google Scholar]
- 11.Sollerman C, Ejeskar A. Sollerman hand function test. A standardized method and its use in tetraplegic patients. Scand J Plast Reconstr Surg Hand Surg. 1995;29 (2): 167–176 [DOI] [PubMed] [Google Scholar]
- 12.Gritsenko V, Prochazka A. A functional electric stimulation-assisted exercise therapy system for hemiplegic hand function. Arch Phys Med Rehabil. 2004;85 (6): 881–885 [DOI] [PubMed] [Google Scholar]
- 13.Kowalczewski J, Gritsenko V, Ashworth N, Ellaway P, Prochazka A. Upper-extremity functional electric stimulation–assisted exercises on a workstation in the subacute phase of stroke recovery. Arch Phys Med Rehabil. 2007;88: 833–839 [DOI] [PubMed] [Google Scholar]
- 14.Kowalczewski J, Chong SL, Galea M, Prochazka A. In-home tele-rehabilitation improves tetraplegic hand function [published online ahead of print March 3, 2011]. Neurorehabil Neural Repair. [DOI] [PubMed]
- 15.Jebsen RH, Corcoran PJ, Simons BC. Clinical experience with a plastic short leg brace. Arch Phys Med Rehabil. 1970;51 (2): 114–119 [PubMed] [Google Scholar]
- 16.Rudman D, Hannah S. An instrument evaluation framework: description and application to assessments of hand function. J Hand Ther. 1998;11 (4): 266–277 [DOI] [PubMed] [Google Scholar]
- 17.Lourencao MIP, Battistella LR, Martins LC, Litvoc J. Analysis of the results of functional electrical stimulation on hemiplegic patients’ upper extremities using the Minnesota manual dexterity test. Int J Rehabil Res. 2005;28: 25–31 [DOI] [PubMed] [Google Scholar]
- 18.Agnew PJ. Functional effectiveness of a myo-electric prosthesis compared with a functional split-hook prosthesis: a single subject experiment. Prosthet Orthot Int. 1981;5 (2): 92–96 [DOI] [PubMed] [Google Scholar]
- 19.Chou FF, Sheen-Chen SM, Leong CP. Neuromuscular recovery after parathyroidectomy in primary hyperparathyroidism. Surgery. 1995;117(1):18–25 [DOI] [PubMed] [Google Scholar]
- 20.Lyle RC.A performance test for assessment of upper limb function in physical rehabilitation treatment and research. Int J Rehabil Res. 1981:4 (4): 483–492 [DOI] [PubMed] [Google Scholar]
- 21.Yozbatiran N, Der-Yeghiaian L, Cramer SC. A standardized approach to performing the action research arm test. Neurorehabil Neural Repair. 2008:22(1):78–90 [DOI] [PubMed] [Google Scholar]
- 22.Rudhe C, van Hedel HJ. Upper extremity function in persons with tetraplegia: relationships between strength, capacity, and the spinal cord independence measure [published online ahead of print March 4, 2009]. Neurorehabil Neural Repair. 2009;23 (5): 413–421 [DOI] [PubMed] [Google Scholar]
- 23.Lang CE, Wagner JM, Dromerick AW, Edwards DF. Measurement of upper-extremity function early after stroke: properties of the action research arm test. Arch Phys Med Rehabil. 2006: 87:1605–1610 [DOI] [PubMed] [Google Scholar]
- 24.Kalsi-Ryan S, Curt A, Fehlings MG, Verrier MC.Assessment of the hand in tetraplegia using the Graded Redefined Assessment of Strength, Sensibility and Prehension (GRASSP): impairment versus function. Top Spinal Cord Inj Rehabil. 2009:14 (4): 34–46 [Google Scholar]
- 25.Kalsi-Ryan S, Beaton D, Curt A, Duff S, Popovic MR, Rudhe C, Fehlings MG, Verrier MC. The Graded Redefined Assessment of Strength Sensibility and Prehension (GRASSP): reliability and validity [published online ahead of print August12, 2011]. J Neurotrauma. [DOI] [PubMed] [Google Scholar]
- 26.Coates SK, Harvey LA, Dunlop SA, Allison GT. The AuSpinal: a test of hand function for people with tetraplegia [published online ahead of print August 3, 2010]. Spinal Cord. 2011;49 (2): 219–229 [DOI] [PubMed] [Google Scholar]
- 27.Popovic MR, Thrasher TA, Zivanovic V, Takaki J, Hajek V. Neuroprosthesis for restoring reaching and grasping functions in severe hemiplegic patients. Neuromodulation. 2005;8(1):60–74 [DOI] [PubMed] [Google Scholar]
- 28.Thrasher TA, Zivanovic V, McIlroy W, Popovic MR. Rehabilitation of reaching and grasping function in severe hemiplegic patients using functional electrical stimulation therapy. J Neurorehabil Neural Repair. 2008;22 (6): 706–714 [DOI] [PubMed] [Google Scholar]
- 29.Cizmar I, Zalesak B, Pilny J, Drac P, Fialova J. Possible restorations of the upper extremity motion in tetraplegic patients - 5-year clinical experience. Biomed Pap Med Fac Univ Palacky Olomouc Czech Repub. 2006;150 (2): 313–319 [DOI] [PubMed] [Google Scholar]
- 30.Dodds TA, Martin DP, Stolov WC, Deyo RA. A validation of the functional independence measurement and its performance among rehabilitation inpatients. Arch Phys Med Rehabil. 1993;74: 531–536 [DOI] [PubMed] [Google Scholar]
- 31.Catz A, Itzkovich M, Agranov E, Ring H, Tamir A. SCIM— Spinal Cord Independence Measure: a new disability scale for patients with spinal cord lesions. Spinal Cord. 1997;35: 850–856 [DOI] [PubMed] [Google Scholar]
- 32.Furlan JC, Noonan V, Singh A, Fehlings MG. Assessment of disability in patients with acute traumatic spinal cord injury: a systematic review of the literature [published online ahead of print August28, 2010]. J Neurotrauma. [DOI] [PMC free article] [PubMed]
- 33.Dawson-Saunders B, Trapp RG. Basci and Clinical Biostatistics. 2nd ed. East Norwalk CT: Appleton & Lange; 1994 [Google Scholar]









