Abstract
Introduction:
The acceptance of portable home-based polysomnography together with auto-titrating CPAP has bypassed the need for a laboratory polysomnography. Since bilevel airway pressure (BPAP) is titrated in the sleep lab, patients diagnosed using portable home-based polysomnography may not have the opportunity to receive BPAP. It is unknown whether the patients who would have ordinarily received a BPAP would benefit from it. We determine correlates of receiving BPAP and of being switched from BPAP to CPAP. We examine whether patients with these correlates have better adherence to BPAP versus CPAP.
Methods:
Retrospective Cohort Study (Correlates at baseline) of 2,513 VA patients with a sleep study between January 2003 and October 2006 and receiving continuous or bilevel positive airway pressure (CPAP [N = 2,251]) or BPAP [N = 262]) by the end of 2007. PAP adherence up to 30 months was assessed.
Results:
Significant correlates of BPAP were older age (p < 0.001), higher BMI and CHF (p < 0.01), COPD (p < 0.001), higher blood CO2 (p < 0.05), higher AHI and OSA severity (p < 0.001), lower nadir SpO2 (p < 0.001), and greater sleepiness (ESS) (p < 0.01). Patients on BPAP were more adherent to PAP therapy (p < 0.01), but the association largely disappeared following adjustment for BPAP correlates. There was preliminary evidence that these correlates predict long-term adherence to PAP therapy regardless of mode.
Conclusions:
We identified baseline factors that can help clinicians decide whether to prescribe an auto-BPAP as first-line therapy and that predict good long-term PAP adherence.
Commentary:
A commentary on this article appears in this issue on page 337.
Citation:
Schwartz SW; Rosas J; Iannacone MR; Foulis PR; Anderson WM. Correlates of a prescription for bilevel positive airway pressure for treatment of obstructive sleep apnea among veterans. J Clin Sleep Med 2013;9(4):327-335.
Keywords: Bilevel positive airway pressure, CPAP adherence, epidemiology, general, obstructive sleep apnea, veterans
Obstructive sleep apnea (OSA) afflicts 1 in 5 adults in the US.1,2 Continuous positive airway pressure (CPAP) is a highly effective treatment for OSA, eliminating almost all apneas, improving quality of life,3 and reducing accident rates4–6 and coronary events, including mortality.7–9 However, adherence to CPAP may be as low as 50%,10,11 thus limiting benefit. A probable reason for CPAP discontinuance is pressure intolerance12,13; Lojander reported that 29% of his study patients had difficulty expiring against pressure.12
A remedy for pressure intolerance is bilevel continuous airway pressure (BPAP).14,15 BPAP is more expensive than CPAP16 but allows for a difference between inspiratory and expiratory pressures, resulting in more normal breathing for some patients.15 While two randomized clinical trials showed no difference in compliance (at 1 and 3 months, respectively) between BPAP and CPAP in small groups of OSA patients,16–18 patients non-adherent on CPAP often became adherent when switched to BPAP.19,20 BPAP is helpful to patients with hypoventilation15,21,22: one study showed excellent compliance with BPAP in patients with alveolar hypoventilation, resulting in marked reduction of hypercapnia.15
Sleep laboratories generally have a CPAP titration protocol that includes provisions for recommending BPAP instead. Due to the expense and limited availability of the sleep laboratory, however, many OSA patients are instead diagnosed at home using portable equipment, then prescribed auto-titrating CPAP if there is a positive OSA finding. In the James A. Haley Veterans hospital (JAHVA), one of the largest VA hospitals in the United States, 44% of patients prescribed CPAP are diagnosed outside the sleep lab.26 The opportunity for such patients to initially receive a BPAP is thus severely curtailed. Because long-term adherence to CPAP is highly associated with initial comfort,27 it is possible that inability to prescribe BPAP may be a factor in long-term non-adherence: many patients may simply stop using CPAP rather than request an alternative. Knowledge of patient factors that correlate strongly with BPAP preference would allow clinicians to priority-triage patients for in-laboratory full CPAP titration protocol or to prescribe auto-titrating BPAP.
BRIEF SUMMARY
Current Knowledge/Study Rationale: Sleep laboratories generally have a CPAP titration protocol that includes provisions for recommending BPAP, but many OSA patients are now diagnosed at home using portable equipment. Knowledge of patient factors that correlate strongly with BPAP preference would allow clinicians to priority-triage patients for in-laboratory full CPAP titration protocol or to prescribe auto-titrating BPAP.
Study Impact: Our data indicate that, when laboratory titration is not available, correlates of a BPAP prescription, including severity of OSA and concomitant COPD, among others, may be strong and robust enough to be useful in the decision to use a BPAP as first line therapy. We suggest that evidenced-based recommendations could be developed just based on specific comorbidities for first-line prescription of CPAP alternatives including but not limited to BPAP.
We are aware of only one small study of correlates of a BPAP prescription.13 It found that patients who required BPAP were more obese, had higher apnea-hypopnea index (AHI), lower mean SpO2, lower FEV1 and FVC, and were more likely to have COPD and hypercapnia. More information is needed to guide clinical decisions. Our objectives were to (1) determine correlates of an initial BPAP prescription; (2) determine correlates of later being switched from CPAP to BPAP; and (3) examine whether adherence differs depending on PAP mode and whether these correlates predict better adherence to BPAP versus CPAP.
METHODS
The data come from a retrospective chart review of JAHVA patients to investigate the consequences of a procedural change from laboratory to home-based diagnosis and treatment of OSA. In mid-2006, 3,415 unique patients were identified from among 4 databases: (1) JAHVA Vista with a CPT code indicating a full lab polysomnogram; (2) pulmonary office prior-appointment schedule for the sleep lab; (3) pulmonary staff's log-out list for portable sleep diagnostic equipment; and (4) pulmonary quality control (QC) PAP adherence database.
Patients who never received a PAP (N = 304), had no Pap adherence data (N = 313), received a sleep study at JAHVA but received therapy and follow-up elsewhere (N = 198), whose PAP records started before January 1, 2002, or after December 31, 2007, or with no visit records in the year prior to their PAP (N = 87) were excluded. The latter exclusions ensured that all patients in the analysis would have a year of preexisting morbidity data and ≥ 3 years of PAP adherence data. Thus, our final dataset included 2,513 patients with sleep studies between January 2003 and October 2006 and who received CPAP or BPAP by December 2007.
The 2,513 patients included 1,220 patients with a sleep study in JAHVA lab, 870 patients with a sleep study from an outside lab, and 423 patients diagnosed in their home with portable equipment.
JAHVA Procedures for BPAP Receipt
Although data were obtained retrospectively, an understanding of how a patient receives BPAP is necessary for context. To date, patients at JAHVA do not receive a BPAP without a sleep laboratory titration, occurring either inside or outside the VA. For initial BPAP prescription JAHVA Sleep laboratory technicians follow a PAP titration protocol that includes specific provisions for recommending BPAP rather than CPAP—for example, when CPAP exceeds 15 cm water and/or the patient begins to complain about exhaling against the pressure. A patient initially receiving a CPAP may be switched from CPAP to BPAP as follows: PAP compliance data is downloaded, and patients with problems (non-compliance or unresolved apnea) are sent a form letter requesting they make an appointment at the respiratory PAP clinic. The PAP technician then refers the patient to the sleep laboratory for a titration study if: (1) the patient stills feels sleepy; (2) download data show uncorrected apnea although the patient is using the PAP, and/or (3) the PAP is set on maximum pressure (> 15 cm) with unresolved apnea.
PAP Adherence Measures
PAP adherence data from April 1, 2003, through October 2011 were obtained. Patients were asked to return their PAP card for download at 1 month, 1 year, and annually thereafter. PAP adherence data included therapy (BPAP or CPAP) and daily adherence records from the first date PAP was turned on. We defined 4 intervals: 2 weeks (days 1-21), 6 months (days 169-198), 18 months (days 534-563), and 30 months (days 899-928). We calculated average daily usage by taking the total number of hours used divided by the number of days in the interval and defined good adherence as average use ≥ 4 h per day. For patients who switched from CPAP to BPAP, adherence was measured separately for time on the respective therapy modes. Four patients who switched to BPAP within the first 30 days of PAP use did not contribute to CPAP adherence data.
Covariates
Measures from sleep studies (apnea-hypopnea index [AHI], nadir oxygen saturation [SpO2], and total score on the Epworth Sleepiness Scale [ESS]) were obtained from the last baseline lab study if the patient had one; from the last laboratory pretitration period from the split study if the patient only had a split study; and from the last portable sleep study if no lab sleep study was available. For some patients, particularly those with sleep studies outside the JAHVA, a diagnosis including severity of apnea was available, but not actual AHI. When AHI was available, we used it to define OSA severity as none/mild (0-14.9), moderate (15-29.9), and severe (≥ 30). There was a difference in completeness of sleep data available to us for in-house versus external lab polysomnography and for portable diagnosis. For patients bringing in their sleep study results from outside, a severity of apnea measure was available, but an explicit AHI or nadir SpO2 was somewhat less likely to be captured in the pulmonary database. ESS was only rarely captured from outside lab studies. Patients diagnosed using a portable system often did not have an ESS.
The index date for evaluating comorbidities is the date the patient first received a PAP prescription. Demographics, laboratory, vital signs, pharmacy, outpatient and inpatient records from 2002 through March 2010 were reviewed. We determined comorbidities, using ICD-9 codes for any outpatient or inpatient visit from 1 year prior to PAP start through 6 months after PAP start. We also summarized data for hypertension (ICD 401-405), diabetes mellitus (ICD 6), heart failure (ICD 402, 425, 428), COPD (ICD 491-494, 496, 415.0, 416.8, 416.9), thyroid disorders (ICD 242-244), depression (ICD 311), traumatic stress disorder (ICD 309.81), and combined physical neurologic disorders (ICDs 323, 331-337, 340-342, 344, 358). The Charlson Morbidity Index was calculated using the method of Deyo.28 Tobacco abuse was evaluated across all available records pre or post PAP start. BMI was taken as the mean of the value closest to the index date within one year before PAP start and the value closest to the index date within one year after PAP start, if both were available; otherwise, only one measure was used. The closest venous sample CO2 taken within one year prior to PAP initiation was used. Most were plasma samples, but for 30 patients without CO2 measures, we used arterial bicarbonate measure (Table 1).
Table 1.
Number of patients with non-missing values for each covariate or outcome

Population Subsamples and Analysis Methods
Objective 1. Determine correlates of an initial BPAP receipt among patients diagnosed in a sleep lab
We did two complete sets of analyses using patients with full laboratory polysomnography to meet this objective: (1) an analysis restricted to patients with a study conducted at JAHVA sleep lab; (2) an analysis that included all patients diagnosed in a sleep lab, whether at JAHVA or from outside. The most obvious difference between JAHVA and outside lab patients was the presence of an ESS measure, but there might also be patient differences between groups; during some of the baseline years, there was a 2-year wait for the JAHVA sleep lab, so patients going outside might have had alternate insurance or be more concerned about their health.
The Wilcoxon rank-sum test (continuous variables) or χ2 test (categorical variables) were used to screen correlates. Associations are presented as odds ratios (BPAP vs CPAP), given levels of categorical variables (or categorized continuous variables) from logistic regression. To find the best predictive models, covariates in Table 2 were entered into stepwise logistic regression procedure, with selection probabilities to 0.2 to enter and 0.1 to stay in the model. For continuous variables, we examined both the raw variable and categorized variable for better fit. Lastly, we re-ran the final stepwise model on the full dataset to minimize loss of observations due to missing values. Because ESS was usually available only for patients diagnosed in the JAHVA lab, it was included in stepwise analyses only when the analysis was restricted to JAHVA lab patients.
Table 2.
Objective 1: Summary* of potential correlates of an initial BPAP vs CPAP prescription

Objective 2. Determine correlates of being switched from CPAP to BPAP
This analysis included all patients in our dataset except those initially prescribed BPAP. Patients who were originally diagnosed using portable equipment were included along with lab-diagnosed patients, as they provide more cases of patients initially prescribed CPAP who were switched later to BPAP. This objective is evaluated by comparing CPAP patients switched to BPAP vs. those remaining on CPAP using the same analysis methods and strategy described for objective 1.
Objective 3a. Determine whether adherence was better with BPAP than CPAP, controlling for patient differences
Adherence was compared between CPAP and BPAP recipients within the entire cohort (N = 2,513), separately by time period, using univariate logistic regression. To determine if differences in adherence were due to differences in patient characteristics (e.g., comorbidities) or qualities of BPAP itself, we conducted the comparison controlling for patient differences as described below. These analyses used the 1,765 (of 2,513) with non-missing covariate data (Table 1).
Simultaneous control of all covariates was accomplished using propensity scores (PS).29 The PS is an individual's probability of BPAP receipt based on his/her covariates, as calculated from logistic regression. The PS can be considered a summary of that person's covariates, where high PS reflects a patient whose covariates are associated with receiving BPAP and low PS a patient whose covariates are associated with receiving CPAP, irrespective of actual mode received. Propensity scores for patients diagnosed with portable equipment were calculated using coefficients from the model developed from sleep lab patients, as exp (α + βX) / [1 + exp(α + βX)] where βX denotes the sum of age, BMI, COPD, any neurology diagnosis, AHI, and SpO2, each multiplied by its respective logistic coefficient.
We divided patients into two groups: those with covariates likely to lead to BPAP prescription (PS in top 25%) vs. those less likely (PS in bottom 75%), irrespective of mode prescribed. Then within each of these PS strata, we evaluated the difference in adherence for BPAP recipients vs. CPAP recipients separately by time point. Secondly, we ran bivariate models comparing therapy mode (BPAP versus CPAP), controlling for PS stratum (top quartile vs. lower three).
Objective 3b. To examine whether correlates of a BPAP prescription predict better adherence to BPAP vs. CPAP
If the “right” patients are receiving BPAP then we expect superior adherence with BPAP (vs. CPAP) would be greater among patients with a higher propensity score for receiving BPAP. We addressed this by adding a therapy-by-PS-stratum interaction term to the models for this objective.
RESULTS
Patients ranged in age from 21 to 90 years (mean 59.7 ± 11.1). The sample was 95% male and 86% white, and BMI ranged from 15 to 69 (mean 34.6 ± 7.1; data not shown).
Unadjusted results (means or percentages) for Objectives 1 and 2 are given in Tables 2 and 3, respectively. Unadjusted odds ratios are given for important covariates (both objectives) in Table 4. For Objective 1, results for JAHVA-lab and anylab diagnosed patients diagnosed were very similar (Table 2), so we refer here only to the latter. Baseline factors that differed significantly between groups, predicting both the initial BPAP prescription (Tables 2, 4) and a later change to BPAP (Tables 3, 4) were higher BMI (OR 2.69 and 1.67, respectively), heart failure (OR 1.82 and 1.91, respectively), higher blood CO2 (OR 1.74 and 2.11, respectively), severe OSA (OR 4.27 and 2.52, respectively), and a lower nadir SpO2 (OR 2.97 and 1.88, respectively) (Tables 2–4). Additional factors associated with the initial BPAP prescription were COPD (OR 2.37), the overall morbidity index 2+ vs < 2 (OR 1.80, not shown); and ESS (OR 2.17 modeled only with patients with a JAHVA lab sleep study).
Table 3.
Objective 2: Summary* of potential correlates of being switched from CPAP to BPAP vs remaining on CPAP

Table 4.
Odds ratios for BPAP receipt for categories of selected characteristics

The final stepwise models showed BMI, COPD, and AHI as independent joint predictors of both an initial BPAP prescription and a later change from CPAP to BPAP. Additional predictors of an initial BPAP prescription were age and nadir SpO2. Among the JAHVA-lab tested patients, ESS was selected by the stepwise procedure. In the final stepwise models, a neurologic disorder was also a predictor of receiving BPAP, and blood CO2 emerged as a predictor of later change from CPAP to BPAP (Table 5), though this was due to the liberal modeling criteria: p = 0.2 and p = 0.1 for entry and staying, respectively.
Table 5.
Final multivariate models: results of stepwise selection*

Adherence
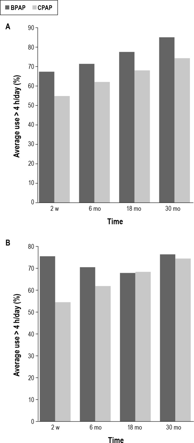
Patients prescribed BPAP appeared more compliant than those prescribed CPAP, both immediately and long-term (Table 6, Figure 1). Initial (2-week) adherence was 67% and 55% on BPAP and CPAP, respectively, and at 30 months 85% vs. 74%, respectively (OR 1.98, 95%CI 1.16-3.38). CPAP patients later switched to BPAP were initially much more compliant than those not switched (75% versus 54%), with a trend toward better adherence with BPAP persisting at later time points.
Table 6.
Comparisons between groups on PAP adherence, total unadjusted, stratified by propensity score, and adjusted for propensity score*

Figure 1.

(A) Percentage of patients, initially prescribed BPAP versus CPAP, using PAP on average more than 4 h/day (based on entire cohort of 2,513 patients). (B) Percentage of patients switched to BPAP versus remaining on CPAP, using PAP on average more than 4 h/day.
Adjusting for patient differences between BPAP and CPAP reduced the observed improved adherence with BPAP to nonsignificance for all time points except 2 weeks (Table 6). Associations were sometimes lower for each propensity group than overall, which indicates that patient correlates confound and are partially responsible for the association between BPAP and adherence.
Interestingly, propensity score stratum turned out to be a highly significant predictor of adherence for all time points after 2 weeks, even when controlling for therapy mode (Table 6). The interaction between therapy mode and PS was not signifi-cant (p > 0.25), nor was there evidence of interaction between propensity score and being switched to BPAP (data not shown).
DISCUSSION
We determined that independent correlates of a BPAP prescription include older age, higher BMI, COPD, elevated blood CO2, severe OSA, low nadir SpO2, and sleepiness. We found that these correlates tended to be robust. Further, we found that a summary measure of these indicators predicts long-term adherence to PAP therapy.
Some comorbidities such as CHF were—on their own— highly significant predictors of BPAP, but were not significant when controlling for other factors. This only means that they are redundant with other correlates. CHF may manifest in low nadir nocturnal oxygen and possibly higher AHI.
We did obtain some preliminary evidence of an association of a BPAP prescription with neurologic disorders, which included Parkinson disease, ALS, and MS, after adjustment for other factors. Such patients may not have adequate muscle tone to exhale against higher pressures. There are several reports of the helpfulness of BPAP in patients with ALS and neuromuscular disorders.33,34 We did not find an association with diabetes, hypertension, thyroid disorders, depression, traumatic stress disorder, race, Hispanic origin, or marital status.
At JAHVA, BPAP is recommended during laboratory titration by the attending technician according to protocol. Given the VA laboratory protocol, it is highly likely that the correlates we identified are all associated with either difficult-to-treat apneas or patient difficulty expiring at higher pressure. Our findings emphasize that patients identified by this protocol tend to have specific comorbidities that are prominent indications for BPAP in the literature. For example, a recent clinical trial from Russia on COPD patients indicated that BPAP was much more effective than CPAP in affecting the desaturation index.30 It now appears that many clinicians are accepting BPAP as the standard of care in patients with hypercapnia and hypoventilation syndrome.31,32 Indeed, obesity-hypoventilation syndrome may explain the strength of the association we noted between high BMI and a BPAP prescription.
It has been stated that the benefits of BPAP and other advancements to CPAP remain unproven.37 We saw overall improved adherence among BPAP versus CPAP patients, but the difference largely disappeared after controlling for patient characteristics. In our data, the improved adherence among BPAP recipients appears to be related to patient characteristics. While others have reported that severity of OSA and/or low nadir SpO2 predict adherence,38,39 our propensity score—a summary measure of several patient characteristics—was a stronger predictor of long-term PAP adherence than BPAP itself. It appears that in finding correlates of BPAP prescription, we may have serendipitously created a method to predict long-term PAP adherence.
Previous clinical trials that found no benefit to BPAP16–18 may be misleading if interaction (persons with severe disease do better on BPAP but those with less severe do not) obscures an overall effect. We were unable to demonstrate a comparative benefit of BPAP versus CPAP among sicker patients. This may be due to relatively low statistical power to test interaction. This question should be studied further either by looking at interaction in a still larger study, or (if ethical) by a comparative randomized clinical study restricted to patients with high propensity for receiving BPAP.
The baseline measures for nearly all patients in our study were collected before the Portable Monitoring Taskforce (PMT) published their clinical guidelines on which OCST guidelines are based, in 2007.40 Prior to the PMT publication and our own quality control studies, JAHVA patients were triaged to a portable or laboratory sleep study based on patient preference and/ or the triage nurse's judgment as to whether the patient would successfully complete the unattended sleep study. Most of the correlates that we highlight—older age, COPD, CHF, and indirectly obesity hyperventilation syndrome (higher BMI and blood CO2)—are listed in the PMT guidelines either as contra-indications for portable monitoring or necessitating caution because patients with these conditions have not been adequately studied. Our study provides strong empirical support for following these guidelines: patients undergoing diagnosis with portable equipment simply do not have simultaneous access to a titration study necessary to dispense appropriate treatment to those who require devices beyond CPAP.
Our data indicate that, when laboratory titration is not available, correlates of a BPAP prescription may be strong and robust enough to be useful in the decision to use a BPAP as first line therapy. Given the high prevalence of OSA coupled with comorbidities, especially among Veterans, we pose the question of whether evidenced-based recommendations could be developed just based on specific comorbidities, for first-line prescription of CPAP alternatives including but not limited to BPAP.
Our data were retrospectively collected from patient electronic charts, and correlates, including blood CO2, could have been assessed a full year before PAP was dispensed. Since data from BPAP and CPAP patients are handled the same way, misclassification (if it occurred) would be non-differential and make groups more similar rather than exaggerate associations.35,36
Further limitations of this study include the fact that type of apneas (obstructive versus central) was not captured. Similarly, while the propensity score summarizes key comorbidities, it does not include comorbidities or other patient characteristics for which data were not available. There is a potential limitation in adherence data if the likelihood of patients returning adherence cards was related to adherence itself (i.e., poor adherers less likely to submit data). Unfortunately it is not possible to detect or correct for this analytically; however, it is unlikely that this behavior (if it occurred) would differ between BPAP and CPAP groups and therefore bias our results. There is also an additional bias at later time points created by patients being switched to BPAP. If a patient switches from CPAP to BPAP late in the study because of trouble with CPAP, he is excluded from the CPAP group at the time of the switch. The direction of the bias depends on whether these patients would have remained adherent to CPAP had they not been switched to BPAP. If not, then once again, our results are understated. We see no way to address this particular limitation analytically.
Strengths of the study include the large sample size and the consistency of overall results (e.g., all sleep lab patients with JAHVA sleep lab patients).
In summary, we determined that such morbidity indicators as older age, high BMI, COPD, blood CO2, OSA severity, nadir SpO2, and sleepiness can perhaps be used to decide whether BPAP should be used as first-line therapy when PAP titration is not part of the diagnostic procedure. This would speed up time to appropriate treatment and make more efficient use of sleep labs. Further, we found that a summary measure of these indicators predicts long-term adherence to PAP therapy in general. We recommend future research to develop and confirm an algorithm that can be used to decide whether to prescribe an auto-BPAP and to predict long-term adherence. We also recommend that future research on the comparative efficacy and cost effectiveness of BPAP be restricted to patients who would normally be prescribed a BPAP. Lastly, our retrospective study had no opportunity to measure PAP-related quality of life. While our results highlight that sicker people are more adherent to PAP therapy, regardless of type, it may be that they are more comfortable and enjoy better quality of life using BPAP. More research is needed in this area as well.
DISCLOSURE STATEMENT
This was not an industry supported study. The authors have indicated no financial conflicts of interest.
ACKNOWLEDGMENTS
The authors gratefully acknowledge JAHVH for its support of this research. The views expressed here do not necessarily reflect the views of the Veterans Administration. This material is the result of work supported with resources and the use of facilities at the James A. Haley Veterans Hospital, Tampa Florida, Office of Research and Development Health Services Research and Development Service, and Rehabilitation Research and Development. This study was approved by the Research and Development Committee, James A. Haley Veterans Hospital and Institutional Review Board, University of South Florida. There was no financial support and no author has a conflict of interest. The authors also gratefully acknowledge the editorial assistance provided by Debra Weiner.
REFERENCES
- 1.Young T, Skatrud J, Peppard PE. Risk factors for obstructive sleep apnea in adults. JAMA. 2004;291:2013–6. doi: 10.1001/jama.291.16.2013. [DOI] [PubMed] [Google Scholar]
- 2.Young T, Palta M, Dempsey J, Peppard PE, Nieto FJ, Hla KM. Burden of sleep apnea: rationale, design, and major findings of the Wisconsin Sleep Cohort study. WMJ. 2009;108:246–9. [PMC free article] [PubMed] [Google Scholar]
- 3.Siccoli MM, Pepperell JC, Kohler M, Craig SE, Davies RJ, Stradling JR. Effects of continuous positive airway pressure on quality of life in patients with moderate to severe obstructive sleep apnea: data from a randomized controlled trial. Sleep. 2008;31:1551–8. doi: 10.1093/sleep/31.11.1551. [DOI] [PMC free article] [PubMed] [Google Scholar]
- 4.Horstmann S, Hess CW, Bassetti C, Gugger M, Mathis J. Sleepiness-related accidents in sleep apnea patients. Sleep. 2000;23:383–9. [PubMed] [Google Scholar]
- 5.George CF. Reduction in motor vehicle collisions following treatment of sleep apnoea with nasal CPAP. Thorax. 2001;56:508–12. doi: 10.1136/thorax.56.7.508. [DOI] [PMC free article] [PubMed] [Google Scholar]
- 6.Yamamoto H, Akashiba T, Kosaka N, Ito D, Horie T. Long-term effects nasal continuous positive airway pressure on daytime sleepiness, mood and traffic accidents in patients with obstructive sleep apnoea. Respir Med. 2000;94:87–90. doi: 10.1053/rmed.1999.0698. [DOI] [PubMed] [Google Scholar]
- 7.Doherty LS, Kiely JL, Swan V, McNicholas WT. Long-term effects of nasal continuous positive airway pressure therapy on cardiovascular outcomes in sleep apnea syndrome. Chest. 2005;127:2076–84. doi: 10.1378/chest.127.6.2076. [DOI] [PubMed] [Google Scholar]
- 8.Buchner NJ, Sanner BM, Borgel J, Rump LC. Continuous positive airway pressure treatment of mild to moderate obstructive sleep apnea reduces cardiovascular risk. Am J Respir Crit Care Med. 2007;176:1274–80. doi: 10.1164/rccm.200611-1588OC. [DOI] [PubMed] [Google Scholar]
- 9.Marin JM, Carrizo SJ, Vicente E, Agusti AG. Long-term cardiovascular outcomes in men with obstructive sleep apnoea-hypopnoea with or without treatment with continuous positive airway pressure: an observational study. Lancet. 2005;365:1046–53. doi: 10.1016/S0140-6736(05)71141-7. [DOI] [PubMed] [Google Scholar]
- 10.Weaver TE, Sawyer AM. Adherence to continuous positive airway pressure treatment for obstructive sleep apnoea: implications for future interventions. Indian J Med Res. 2010;131:245–58. [PMC free article] [PubMed] [Google Scholar]
- 11.Zozula R, Rosen R. Compliance with continuous positive airway pressure therapy: assessing and improving treatment outcomes. Curr Opin Pulm Med. 2001;7:391–8. doi: 10.1097/00063198-200111000-00005. [DOI] [PubMed] [Google Scholar]
- 12.Lojander J, Brander PE, Ammala K. Nasopharyngeal symptoms and nasal continuous positive airway pressure therapy in obstructive sleep apnoea syndrome. Acta Otolaryngol. 1999;119:497–502. doi: 10.1080/00016489950181062. [DOI] [PubMed] [Google Scholar]
- 13.Resta O, Guido P, Picca V, et al. Prescription of nCPAP and nBIPAP in obstructive sleep apnoea syndrome: Italian experience in 105 subjects. A prospective two centre study. Respir Med. 1998;92:820–7. doi: 10.1016/s0954-6111(98)90383-3. [DOI] [PubMed] [Google Scholar]
- 14.Gay P, Weaver T, Loube D, Iber C. Positive Airway Pressure Task Force. Standards of Practice Committee. American Academy of Sleep Medicine. Evaluation of positive airway pressure treatment for sleep related breathing disorders in adults. Sleep. 2006;29:381–401. doi: 10.1093/sleep/29.3.381. [DOI] [PubMed] [Google Scholar]
- 15.Laursen SB, Dreijer B, Hemmingsen C, Jacobsen E. Bi-level positive airway pressure treatment of obstructive sleep apnoea syndrome. Respiration. 1998;65:114–9. doi: 10.1159/000029241. [DOI] [PubMed] [Google Scholar]
- 16.Smith I, Lasserson TJ. Pressure modification for improving usage of continuous positive airway pressure machines in adults with obstructive sleep apnoea. Cochrane Database Syst Rev. 2009:CD003531. doi: 10.1002/14651858.CD003531.pub3. [DOI] [PubMed] [Google Scholar]
- 17.Gay PC, Herold DL, Olson EJ. A randomized, double-blind clinical trial comparing continuous positive airway pressure with a novel bilevel pressure system for treatment of obstructive sleep apnea syndrome. Sleep. 2003;26:864–9. doi: 10.1093/sleep/26.7.864. [DOI] [PubMed] [Google Scholar]
- 18.Blau A, Minx M, Decker B, et al. Respiration and sleep in OSA patients treated with CPAP vs. auto bilevel pressure relief-pap. Sleep. 2008;31:A191. [Google Scholar]
- 19.Schafer H, Ewig S, Hasper E, Luderitz B. Failure of CPAP therapy in obstructive sleep apnoea syndrome: predictive factors and treatment with bilevel-positive airway pressure. Respir Med. 1998;92:208–15. doi: 10.1016/s0954-6111(98)90097-x. [DOI] [PubMed] [Google Scholar]
- 20.Ballard RD, Gay PC, Strollo PJ. Interventions to improve compliance in sleep apnea patients previously non-compliant with continuous positive airway pressure. J Clin Sleep Med. 2007;3:706–12. [PMC free article] [PubMed] [Google Scholar]
- 21.Kakkar RK, Berry RB. Positive airway pressure treatment for obstructive sleep apnea. Chest. 2007;132:1057–72. doi: 10.1378/chest.06-2432. [DOI] [PubMed] [Google Scholar]
- 22.Pankow W, Hijjeh N, Schuttler F, et al. Influence of noninvasive positive pressure ventilation on inspiratory muscle activity in obese subjects. Eur Respir J. 1997;10:2847–52. doi: 10.1183/09031936.97.10122847. [DOI] [PubMed] [Google Scholar]
- 23.Hirshkowitz M, Sharafkhaneh A. Positive airway pressure therapy of OSA. Semin Respir Crit Care Med. 2005;26:68–79. doi: 10.1055/s-2005-864209. [DOI] [PubMed] [Google Scholar]
- 24.Kushida CA, Chediak A, Berry RB, et al. Positive Airway Pressure Titration Task Force, American Academy of Sleep Medicine. Clinical guidelines for the manual titration of positive airway pressure in patients with obstructive sleep apnea. J Clin Sleep Med. 2008;4:157–71. [PMC free article] [PubMed] [Google Scholar]
- 25.Loube DI, Gay PC, Strohl KP, Pack AI, White DP, Collop NA. Indications for positive airway pressure treatment of adult obstructive sleep apnea patients: a consensus statement. Chest. 1999;115:863–6. doi: 10.1378/chest.115.3.863. [DOI] [PubMed] [Google Scholar]
- 26.Schwartz SW, Iannacone M, Rosas J, Anderson WM, Foulis PR. After transition from laboratory based to portable sleep studies, are patients who need bilevel airway pressure receiving it? Sleep. 2009;32:A210. [Google Scholar]
- 27.Wolkove N, Baltzan M, Kamel H, Dabrusin R, Palayew M. Long-term compliance with continuous positive airway pressure in patients with obstructive sleep apnea. Can Respir J. 2008;15:365–9. doi: 10.1155/2008/534372. [DOI] [PMC free article] [PubMed] [Google Scholar]
- 28.Deyo RA, Cherkin DC, Ciol MA. Adapting a clinical comorbidity index for use with ICD-9-CM administrative databases. J Clin Epidemiol. 1992;45:613–9. doi: 10.1016/0895-4356(92)90133-8. [DOI] [PubMed] [Google Scholar]
- 29.Newgard CD, Hedges JR, Arthur M, Mullins RJ. Advanced statistics: the propensity score—a method for estimating treatment effect in observational research. Acad Emerg Med. 2004;11:953–61. doi: 10.1197/j.aem.2004.02.530. [DOI] [PubMed] [Google Scholar]
- 30.Shoikhet IN, Markin AV. [The specific features of respiratory support in patients with obstructive sleep apnoea syndrome concurrent with chronic obstructive pulmonary disease (crossing-syndrome)]. [Russian, English Abstract] Terapevticheskii Arkhiv. 2010;82:26–8. [PubMed] [Google Scholar]
- 31.McEvoy RD, Pierce RJ, Hillman D, et al. Nocturnal non-invasive nasal ventilation in stable hypercapnic COPD: a randomised controlled trial. Australian trial of non-invasive Ventilation in Chronic Airflow Limitation (AVCAL) Study Group. Thorax. 2009;64:561–6. doi: 10.1136/thx.2008.108274. [DOI] [PubMed] [Google Scholar]
- 32.de Lucas-Ramos P, de Miguel-Diez J, Santacruz-Siminiani A, Gonzalez-Moro JM, Buendia-Garcia MJ, Izquierdo-Alonso JL. Benefits at 1 year of nocturnal intermittent positive pressure ventilation in patients with obesity-hypoventilation syndrome. Respir Med. 2004;98:961–7. doi: 10.1016/j.rmed.2004.03.014. [DOI] [PubMed] [Google Scholar]
- 33.Culebras A. Sleep and neuromuscular disorders. Neurol Clin. 1996;14:791–805. doi: 10.1016/s0733-8619(05)70285-1. [DOI] [PubMed] [Google Scholar]
- 34.Hess DR. Noninvasive ventilation in neuromuscular disease: equipment and application. Respir Care. 2006;51:896–911. [PubMed] [Google Scholar]
- 35.Szklo M, Nieto FJ. Epidemiology beyond the basics. Boston: Jones and Barlett; 2007. [Google Scholar]
- 36.Kleinbaum DC, Lawrence L, Kupper LL, Morgenstern H. Epidemiologic research. New York: van Nostrand Reinhold; 1982. [Google Scholar]
- 37.Molleyres S, Takahashi H, Contal O, Janssens JP. [Pneumology. Treatment of obstructive sleep apnea by continuous positive airway pressure: new options] Revue Medicale Suisse. 2010;6:132–6. [PubMed] [Google Scholar]
- 38.Kohler M, Smith D, Tippett V, Stradling JR. Predictors of long-term compliance with continuous positive airway pressure. Thorax. 2010;65:829–32. doi: 10.1136/thx.2010.135848. [DOI] [PubMed] [Google Scholar]
- 39.Gagnadoux F, Le Vaillant M, Goupil F, et al. IRSR sleep cohort group. Influence of marital status and employment status on long-term adherence with continuous positive airway pressure in sleep apnea patients. PLoS ONE. 2011;6:e22503. doi: 10.1371/journal.pone.0022503. [DOI] [PMC free article] [PubMed] [Google Scholar]
- 40.Portable Monitoring Task Force of the American Academy of Sleep Medicine. Clinical guidelines for the use of unattended portable monitors in the diagnosis of obstructive sleep apnea in adult patients. J Clin Sleep Med. 2007;3:737–47. [PMC free article] [PubMed] [Google Scholar]
