Abstract
Three experiments investigated whether 14- and 15-month-old infants use information for both friction and slant for prospective control of locomotion down slopes. In Experiment 1, high and low friction conditions were interleaved on a range of shallow and steep slopes. In Experiment 2, friction conditions were blocked. In Experiment 3, the low friction surface was visually distinct from the surrounding high friction surface. In all three experiments, infants could walk down steeper slopes in the high friction condition than in the low. Infants detected affordances for walking down slopes in the high friction condition, but in the low friction condition, they attempted impossibly slippery slopes and fell repeatedly. In both friction conditions, when infants paused to explore slopes, they were less likely to attempt slopes beyond their ability. Exploration was elicited by visual information for slant (Experiments 1 and 2) or a visually distinct surface that marked the change in friction (Experiment 3).
Keywords: Infant locomotion, perception of affordances, friction, prospective control, perceptual exploration
Friction is a ubiquitous force in locomotion. Every walking step involves the foot contacting the ground surface and whether the foot slips or grips the ground affects possibilities for locomotion. Surface slant is also critical. When walking downhill, gravity pulls the body forward in addition to the downward direction. The steeper the slope, the larger the forward force and the larger the build up of walking speed and impact force. Moreover, changes in slant create changes in friction because steeper slopes require more frictional force to prevent slipping. Previous work showed that infants can perceive possibilities for walking down slopes, but did not address the basis for prospective control of locomotion. Therefore, in three experiments, we asked whether infants are sensitive to variations in both friction and slant when deciding whether they can walk down slopes.
Changing Affordances for Locomotion
The probability of walking safely (or falling) depends on the current conditions of the ground surface relative to walkers’ physical capabilities—what J. J. Gibson (1979) termed “affordances” for locomotion. Changes in friction and slant pose special challenges for walking because the two factors are interrelated. Under low friction conditions, even a shallow slope can greatly increase the probability of falling. For example, while walking over a surface coated with motor oil, 25% of adults fell when the walkway was flat, 50% fell when the walkway was slanted 5°, and 100% fell when the slope was increased to 10° (Cham & Redfern, 2002b). Similarly, small increases in slant can radically change affordances for walking. On average, adults could maintain balance on 16°, 26°, and 37° slopes covered in slippery vinyl, plush carpet, and sticky rubber, respectively, but when slant increased by 2°-3° in each condition, they slipped and fell (Joh et al., 2007).
For infants, development imposes additional constraints. Due to large individual differences in encounters with the environment, burgeoning motor skills, and physical growth, affordances for locomotion can vary widely between infants in the same situation, and within infants under different conditions. For example, at the same testing age, infants with more walking experience, better walking skills, and more adult-like body dimensions can walk down steeper slopes than their inexperienced, poorly skilled, immaturely proportioned counterparts (Adolph, 1995, 1997; Adolph & Avolio, 2000; Adolph et al., 1993). Moreover, in the same test session, infants’ ability to walk down slopes can be altered dramatically by loading them with lead weights or dressing them in Teflon-soled shoes (Adolph & Avolio, 2000; Lobo et al., 2005). Similarly, adults’ ability to keep balance on slopes is decreased when they carry a load on their back compared with their front or if the load is placed higher rather than lower on their body (Malek & Wagman, 2008; Regia-Corte & Wagman, 2008).
Perceiving Affordances for Locomotion: Prospective Versus Reactive Control Prospective control is critical for coping with changing affordances for locomotion. Walkers must continually monitor features of the environment relative to their own capabilities so as to perceive the current constraints on action. They must detect upcoming threats to balance and then use perceptual information to control locomotion adaptively. For optimal prospective control, the critical perceptual information should be gathered a few steps ahead to allow walkers sufficient time to plan and execute the necessary adjustments (Patla, 1991, 1997). On moderate, high friction slopes, walkers need to modify their ongoing gait patterns by slowing down, braking forward momentum, shortening their step lengths, and pulling their bodies to a more vertical position (Cham & Redfern, 2002a; Redfern et al., 2001). On slippery or steep slopes, walking becomes impossible and an alternative sliding position or detour is warranted.
Without sufficient perceptual information, walkers are not prompted to use available resources for coping with variations in friction. Instead of adjusting ongoing gait patterns prospectively before stepping onto treacherous ground, walkers must resort to reactive corrections after balance is disrupted. In the best case scenario, reactive post-hoc corrections in the midst of a fall (waving the arms, bending the torso, taking extra steps, etc.) cause actions to be jerky and inefficient because of the neural time lag in transmitting information through the body and the mechanical time lag in getting the various body parts to move. In the worst case scenario, actions are irreversible and reactive responses result in dire consequences (slips and falls).
By 14 months of age, most infants have several weeks of walking experience, and they can guide locomotion prospectively over slopes. In previous studies, 14-month-olds matched their locomotor decisions to the actual affordances for walking down slopes (Adolph, 1995, 1997; Adolph & Avolio, 2000; Adolph et al., 1993; Eppler et al., 1996). Infants stood on a flat starting platform facing an adjustable slope. On the shallowest slopes, infants walked straight down after only a brief glance at the slope. On difficult but manageable slopes, infants slowed down as they approached the brink. They stopped at the edge to peer downward and generated visual, tactile, and proprioceptive information by exploring the slanting surface with an outstretched foot or rocking back and forth with both feet straddling the brink. On impossibly steep slopes, infants sometimes switched immediately from walking to safer alternative strategies and slid down. More typically, they showed increased hesitation and exploratory foot touching and they searched for alternative strategies to descend. On some trials, they avoided descent entirely. Similarly, adults discern different possibilities for maintaining balance on slopes based on visual inspection of surface slant while standing at a distance, haptic information when instructed to touch the sloping surface with a stick while blindfolded, and visual, tactile, and proprioceptive information when instructed to place their foot over the edge of the slope with their eyes open (Fitzpatrick et al., 1994; Joh et al., 2007; Kinsella-Shaw et al., 1992; Malek & Wagman, 2008; Regia-Corte & Wagman, 2008).
Current Studies: Friction and Slant
Despite strong evidence that experienced walking infants and adults perceive affordances for locomotion over slopes, a crucial question remains: Are locomotor decisions based on friction, slant, or both factors? Previous work with infants does not provide an answer because the surface covering the sloping walkways and/or infants’ feet did not vary. However, previous work with adults suggests that both factors are relevant (Joh et al., 2007). Participants stood on a flat starting platform facing an adjustable downward slope. In one set of studies, the starting platform and slope were covered in a single surface that varied across trials—slippery vinyl, plush carpet, and sticky rubber—and participants wore nylon tights to keep effects of footwear constant. In another set of studies, participants wore shoes with interchangeable soles made of slippery Teflon, typical shoe sole material, and sticky rubber, and the walkway was always covered in plush carpet. In both sets of studies, participants could make small swaying and stepping movements on the flat starting platform but were not allowed to touch the slope with their feet. Based on visual information for slant, the feeling of slip or grip of their feet against the flat surface, and changes in proprioceptive information and patterns of optic flow resulting from swaying and stepping, participants judged that they could keep balance on steeper slopes in the high friction rubber condition and shallower slopes in the low friction vinyl condition than in the moderate carpet condition.
Adults’ use of visual information for slant seems straightforward, but information about friction warrants further comment. Without touching the slope, participants must have perceived that their action capabilities were altered by the various friction conditions on the flat starting platform and taken those changes into account while gauging affordances for standing and walking on slopes. Nonetheless, participants underestimated their abilities in the high friction condition and over-estimated them in the low friction condition unless instructed to feel the slope with their feet. After exploring slopes by touching, judgments were more closely aligned to the actual affordances for maintaining balance.
In the current studies, we examined whether walking infants, like adults, base their locomotor decisions on both friction and slant, and whether friction may play a more important role on trials where infants explore slopes by touching with their feet. Several lines of evidence suggest that infants should use information for friction. First, friction is a factor in every walking step. Given a variety of ground coverings, foot gear, walking speeds, and so on, by 14 months, infants have had ample opportunities to learn about differential effects of friction (Adolph & Joh, 2009). Second, infants do show sensitivity to friction, at least in the case of reactive balance control (Stoffregen et al., 1997). When 14-month-olds were placed on a novel, low friction surface, they modified their movements as soon as their feet began to slip. They locked their ankles and hips to maintain an upright posture and held onto poles for manual support. Third, in previous studies, on trials when infants explored slopes by touching, they were more likely to make adaptive locomotor decisions (Adolph, 1997). As infants rubbed their feet against the slope, rocked back and forth with their feet at the brink, and tentatively pressed their weight onto the slope, they were in essence testing whether frictional forces and slant were adequate to support locomotion over the slope. Finally, 14-month-olds updated their decisions for locomotion over slopes based on changes in their walking skill (Adolph & Avolio, 2000). For example, shoulder packs filled with lead weights adversely affected infants’ ability to walk down slopes compared with feather weight shoulder packs. Like the adults in Joh et al’s (2007) study, infants perceived their altered abilities as they stood on the flat starting platform and correctly attempted to walk down steeper slopes while wearing the feather weight packs compared with the lead weight packs. Given their rapid recalibration, it seems reasonable to expect that infants would adapt to altered walking abilities induced by changes in friction.
Experiments 1 and 2 were designed to extend previous work to the question of whether infants use information for both friction and slant for prospective control of locomotion over slopes. We observed 14-month-olds on an adjustable sloping walkway, similar to the apparatus used in previous research with infants (Adolph, 1995, 1997; Adolph & Avolio, 2000) and adults (Joh et al., 2007), in which flat starting and landing platforms flanked a middle sloping section. As in the study with adults, on some trials, the surface of the walkway was covered with low friction vinyl and on other trials with high friction rubber, and infants wore nylon tights. Note, because friction depends on the foot-floor interface, manipulating friction by changing the walkway covering while keeping footgear constant is equivalent to manipulating friction by changing the material on the soles of participants’ shoes while keeping the floor covering constant—Joh et al. (2007) showed that both types of friction manipulations yield equivalent results with adults. We tested 14-month-olds because several previous studies showed that infants in this age group perceive affordances for locomotion over slopes (Adolph, 1995, 1997; Adolph & Avolio, 2000; Adolph et al., 1993; Eppler et al., 1996). Experiment 3 was designed to assess infants’ use of information for friction in a simpler situation in which slant was held constant over the entire length of the walkway, including the starting and landing platforms. In addition, the low friction area was visually distinct from the rest of the walkway in texture, color, and shine. We tested 15-month-olds—infants a month older than those tested in Experiments 1 and 2—on the assumption that an additional month of walking experience might facilitate greater attention to variations in friction.
In all three experiments, we examined individual differences in infants’ locomotor decisions using an age-matched-control design, in which extraneous age-related factors are held constant while the putative variables of interest—walking experience, walking skill, and spontaneous exploratory behavior—vary freely. At 14 months of age, infants show a range of experience and skill: Some infants have just begun walking and their balance and coordination is tenuous while others have been walking for several months and can walk down steep slopes with ease (Adolph, 1995, 1997; Adolph & Avolio, 2000). At 15 months, infants may have gained another month of walking experience, but there is still a wide range in individual locomotor experience. In contrast to studies with adults, we could not instruct infants to explore the slopes in various ways; all exploratory behavior was self-initiated in form and duration. Therefore, we used various measures of infants’ walking experience, walking skill, and spontaneous touching and hesitation as predictors of their behaviors while coping with slopes.
Across experiments, the primary dependent measure was infants’ locomotor decisions: whether they attempted to walk down the slopes. On no-walk trials, they could descend using an alternative strategy or avoid descent entirely. We sought evidence for prospective control by observing infants’ exploratory touching, latency, and gait modifications on the starting platform. Based on previous work, we predicted that infants would detect the changing affordances for walking down slopes due to variations in both friction and slant, and that locomotor decisions would be more closely geared to affordances on the trials where infants explored slopes by touching with their feet. In addition, we expected that infants with more walking experience and higher levels of walking skill on flat ground would be able to walk down steeper slopes, and moreover, would respond more adaptively to variations in friction and slant.
Experiment 1: Interleaved Low and High Friction Conditions
Given the wide range in walking ability in 14-month-olds, we began the experiment with a psychophysical staircase procedure to estimate an affordance threshold (the steepest slope infants could walk down without falling) for each infant in each friction condition. Then, we presented infants with additional test trials that were normalized to their affordance thresholds. We interspersed low and high friction conditions across shallow and steep slopes to provide a rigorous test of prospective control of locomotion: Infants were required to detect changing affordances on a trial-to-trial basis. In previous work using the same psychophysical procedure with interleaved protocols for feather weight and lead weight loads, 14-month-olds updated their decisions from trial to trial to take their altered body dimensions and skills into account (Adolph & Avolio, 2000, Experiment 2).
We analyzed the data in two ways. First, in each friction condition, we normalized the outcome measures to each infant’s affordance threshold. This method allowed us to compare the adaptiveness of locomotor decisions across infants with a wide range of abilities, and also across the two friction conditions, which were designed to produce different affordance thresholds. For example, an infant with a high friction threshold of 22° should treat a 14° slope as possible and attempt to walk with little hesitation or prior exploratory touching; but, an infant with a high friction threshold of 6° should treat that same 14° slope as impossible by displaying increased latency, touching, and refusing to walk. Second, to assess infants’ sensitivity to both friction and slant—regardless of whether they scaled motor decisions to their own abilities—we compared behaviors across the two friction conditions in terms of the absolute degree of slope. Thus, if infants are sensitive to the interaction between friction and slant, they should show greater hesitation and touching and be less likely to walk at a given slope in the low friction condition compared with the same slope in the high friction condition. An infant with a high friction threshold of 22°, for example, should recognize that the same slant is too risky for walking in the low friction condition.
Method
Participants
Sixteen 14-month-olds (± 1 week, half girls and half boys) were recruited through commercial mailing lists. At the start of the session, parents reported infants’ walking experience in a structured interview (Adolph, 2002). Walking experience, calculated from the first day infants walked 10 feet independently, ranged from 36 to 147 days (M = 76.07 days). All infants had weekly experience walking over multiple surfaces varying in friction (e.g., carpet, wood, linoleum, sand, concrete, grass, wet tile) with multiple types of footwear (e.g., barefoot, rubber soled shoes, socks); all had weekly experience walking or playing on surfaces varying in slant (e.g., hills, wheelchair ramps, slides). We excluded data from 3 additional infants who became too fussy to complete testing.
Sloping Walkway with Low and High Friction Conditions
Infants were tested on a raised wooden walkway with adjustable slope in which flat starting and landing platforms were connected to a middle sloping platform (each 86 cm wide and 92 cm long) as shown in Figure 1. The starting platform remained at a stationary height of 116 cm. Using a protractor on the side of the walkway as a guide, an experimenter pushed a remote control button to adjust the middle sloping platform from 0° to 90° in 2° increments (height of the landing platform varied from 116 cm to 25 cm)
Figure 1.
Adjustable sloping walkway used in Experiments 1 and 2. Depending on the friction condition, the entire walkway was covered with a high or low friction surface.
During warm-up trials, the flat walkway was covered with plush carpet. For test trials, the walkway was overlaid with vinyl Naugahyde in the low friction condition and rubber Dycem in the high friction condition. The two coverings were visually similar (bright blue), but had different coefficients of friction. We dressed infants in nylon tights to keep footwear constant. We determined the static coefficient of friction (μS) by placing a block of wood wrapped in the nylon tights on the flat walkway and then measuring the amount of force required to initiate movement. The μS for each covering was calculated as FR/FN (resistive force required to initiate sliding divided by normal force or, in this case, weight of the object) with lower μS signifying a greater probability of slipping and falling. Nylon tights on vinyl Naugahyde produced a μS of 0.33 (similar to leather-soled shoes on ice), and nylon tights on rubber Dycem produced a μS of 1.20 (similar to rubber-soled sneakers on a basketball court).
Procedure
Sessions lasted 90 to 120 minutes. First, infants warmed up to the testing situation by walking across the flat, carpeted walkway several times. Next, infants were tested on slopes in the low and high friction conditions. Infants began each trial standing on the flat starting platform. Trials ended after 60 s if infants refused to descend. An experimenter followed alongside infants to ensure their safety. To allow infants to experience the feeling of slipping and falling, the experimenter caught infants only after they lost their balance, but before their bodies hit the slope. Parents stood at the far end of the landing platform and coaxed infants to come down without warning infants (e.g., “be careful”) or telling them how to descend (e.g., “sit down”). After the test trials, we collected footfall measures of infants’ walking skill on flat ground. The entire session was videotaped with a side view of the walkway and a view of the protractor mixed onto a single video frame.
Psychophysical staircase
We used a psychophysical staircase procedure to estimate infants’ ability to walk down slopes. As in perceptual psychophysics, we assumed an underlying probability function for each participant, with a threshold value partway along each curve. Unlike functions drawn from perceptual psychophysics, which run from 100% correct to 50% guessing, affordance functions run from 100% successful walking to 0% successful walking (Adolph & Berger, 2006). Staircase procedures minimize the total number of required trials—an important consideration for testing infants—by placing most trials around the threshold and determining each test increment based on participants’ last responses.
We interleaved low and high friction trials in a double staircase procedure (Adolph & Avolio, 2000), running separate protocols for each friction condition in tandem. Half of the infants began with high friction trials first, and half with low. Each protocol began with two initial trials on the flat 0° walkway. Next, infants were introduced to a small, 2° slope. On subsequent trials, the degree of slope increased or decreased in intervals of 4° according to a “2-up, 1-down” rule depending on the outcome of the previous trial. The experimenter coded each trial on-line as a success (walked safely), failure (tried to walk but fell), or refusal to walk (slid down or avoided going). For the purpose of establishing affordance thresholds, we treated failures and refusals as equivalent unsuccessful outcomes. After successful trials, the experimenter increased the slope by 8°. After unsuccessful trials, the experimenter presented infants with easy 0° or 2° baseline trials to maintain their motivation. Then, the experimenters changed the walkway covering and switched to the other staircase protocol. In this way, infants received two or more consecutive trials in one friction condition between switches. Upon re-entering a protocol, the degree of slope was set 4° shallower than the previous unsuccessful trial for that surface.
This “plus 8°, minus 4°” rule continued for both coverings until we identified an affordance threshold to a ≥ 75% criterion—the steepest slope with at least three out of four successful trials and fewer than three out of four successes at each of the next 4° and 8° increments. If infants reached criterion for one protocol earlier than for the other, then the experimenter continued to switch coverings as dictated by the double staircase procedure and gave infants 0° and 2° baseline trials when it was time to enter the completed protocol. Note, if infants refused to walk down safe slopes, we would underestimate their walking thresholds accordingly. However, in practice, parents cheering from the bottom of the walkway and frequent baseline trials served to bias infants toward a more lenient response criterion and most infants displayed the limits of their walking abilities. Thresholds were determined based only on success and refusal trials for 6 high friction protocols and 1 low friction protocol. However, threshold estimates for these protocols spanned the same range as the threshold estimates based on successes and failures indicating that underestimations did not produce the shallowest thresholds.
Test trials
After identifying walking thresholds for both friction conditions, the experimenter presented infants with additional test trials to ensure sufficient data to assess their locomotor decisions. To compare infants with different walking abilities, these trials were presented at predetermined slope increments normalized to each infant’s affordance threshold in each friction condition. Test trials were clustered into 5 groups of slopes relative to the threshold slope so that each slope group incurred a different risk of falling: 4° shallower than the threshold slope (designated as −4°), the threshold slope (0°), 4° steeper than threshold (+4°), slopes 8° to 12° steeper than threshold (designated by the midpoint, +10°), and 16° to 20° steeper than the threshold (designated by the midpoint, +18°).
Taking into account the original staircase trials, the experimenter presented one test trial for each slope group moving from shallowest to steepest and repeated the procedure until infants accumulated a total of 4 trials in each of the 5 groups. The test trials were interleaved for the two friction conditions. After each pass through the appropriate slope groups, infants received an easy baseline trial and the experimenter switched to the other friction condition. Because staircase protocols were individualized, infants with steeper affordance thresholds had more trials than infants with shallower thresholds. The total number of trials per infant, including both staircase and additional test trials, ranged from 44 to 77 (M = 62.00).
Footprint measures of walking skill on flat ground
To assess walking skill on flat ground, we used a footprint method of gait analysis (Adolph et al., 2003). A drop-leaf on the starting platform extended the overall length of the flat walkway to 364 cm. The experimenter rolled a strip of butcher paper over the walkway and attached inked moleskin tabs to the bottom of infants’ shoes at the toe and heel. Infants walked from one end of the paper to the other on two trials, leaving behind a trail of footprints. Coders used a transparent grid to obtain the x-y coordinates for each heel and toe mark. A computer program transformed the coordinates into two standard measures of walking skill (Adolph et al., 2003): step length (front to back distance between heel strikes of two consecutive steps) and step width (lateral distance between right and left feet). Infants with more mature gait patterns typically display longer step lengths and narrower step widths. Infants’ average step length was 24.61 cm (SD = 4.41) and step width was 11.97 cm (SD = 2.68). As in earlier studies, walking experience was correlated with step length, r(14) = .67, p < .01, and infants with longer steps tended to display narrow step widths, r(15) = −.48, p < .07. Walking experience and step width were not significantly correlated.
Results and Discussion
Affordance Thresholds
A primary coder rescored each trial from videotapes for success, failure, and refusal to walk using MacSHAPA, a computerized video coding system that records the frequency and duration of user-defined behaviors (www.openshapa.org). Threshold estimates recalculated from the videotaped data matched 100% with thresholds determined on-line. For inter-rater reliability, a second coder scored 20% of trials for success, failure, and refusal; the two coders agreed on 97% of trials, κ = .94, p < .01. Disagreements were resolved through discussion.
The friction manipulation affected infants’ ability to walk down slopes. Walking thresholds were always steeper in the high friction condition (M = 12.25°, SD = 5.46) than in the low (M = 3.12°, SD = 2.06), t(15) = 6.35, p < .01. The difference between infants’ thresholds in low and high friction conditions ranged from 4° to 20° (M = 9.12°). As shown in Figure 2A, infants produced a wide range of affordance thresholds in the high friction condition (6° to 22°), attesting to the importance of normalizing outcome measures to each infant’s actual locomotor ability.
Figure 2.
Individual affordance thresholds for Experiments 1 and 2. Each pair of symbols represents high and low friction affordance thresholds for one infant.
Although we had expected that the slippery vinyl would decrease infants’ ability to walk down slopes, the low friction condition proved to be extremely difficult. Affordance thresholds were limited to an extremely narrow range of shallow slopes (0° to 6°) and the modal threshold was 2°. In earlier studies using carpeted slopes, such low threshold estimates were seen in only the most inexperienced novice walkers (Adolph, 1995, 1997; Adolph & Avolio, 2000). In fact, the low friction condition was challenging even when the walkway was flat. At 0°, more prudent walking patterns reflected the difficulty of walking over the low friction surface. On average, infants took more steps (M = 6.53, SD = 1.22) and more time (M = 2.19 seconds, SD = .72) to walk over the flat middle section of the walkway in the low friction condition than in the high (M = 5.67 steps, SD = 1.00 and M = 1.62 seconds, SD = .60), both ps < .02.
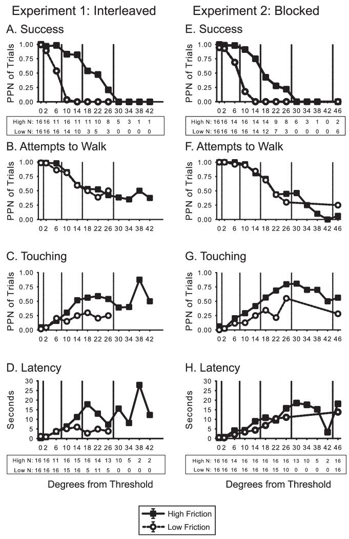
In both friction conditions, infants’ success at walking down slopes decreased as slant increased. Figure 3A shows the average success ratio, (successes)/(successes + failures), at each slope group normalized to each infant’s affordance threshold for each friction condition. In contrast to previous work where success ratios were similar across conditions (e.g., Adolph & Avolio, 2000), in the current study, success ratios differed. Variable numbers of children contributed data to success ratios because infants often refused to walk down the steepest slopes. Thus, we used paired t-tests to compare success ratios across conditions at each slope group. Infants were more likely to fall at the +4° slope group in the low friction condition (M = .36, SD = .32) than in the high friction condition (M = .59, SD = .36; p < .03), meaning that infants incurred a greater risk of falling on low friction slopes slightly steeper than their thresholds. Effects of friction condition on infants’ ability to walk is apparent in Figure 4A, which shows success ratios at each absolute degree of slope.
Figure 3.
Walking ability, locomotor decisions, and exploratory activity normalized to infants’ affordance thresholds for Experiments 1 and 2. (A and E) Proportion of trials on which infants successfully walked down slopes without falling. (B and F) Proportion of trials on which infants attempted to walk down slopes. (C and G) Proportion of trials on which infants touched the slopes. (D and H) Latency to initiate descent. The vertical line at 0° represents infants’ threshold slope for each condition. Negative numbers on the x-axis represent slope groups shallower than threshold, and positive numbers represent slope groups steeper than threshold.
Figure 4.
Walking ability, locomotor decisions, and exploratory activity against absolute degree of slope for Experiments 1 and 2. (A and E) Proportion of trials on which infants successfully walked down slopes without falling. (B and F) Proportion of trials on which infants attempted to walk down slopes. (C and G) Proportion of trials on which infants touched the slopes. (D and H) Latency to initiate descent. In each graph, the dashed vertical lines indicate the slope group into which the data were binned for analyses. Ns indicate the number of infants contributing data for each degree of slope in each friction condition; all 16 infants contributed data to each of the binned slope groups for statistical analyses. The Ns are the same for the bottom 3 graphs (B, C, and D; F, G, and H) and thus pictured only once.
Perhaps because of a narrower range of walking experience, in contrast to earlier studies (e.g., Adolph, 1995; Adolph, 1997; Adolph & Avolio, 2000; Adolph et al., 1993), we failed to find independent corroboration that more skilled and experienced walkers on flat ground displayed steeper affordance thresholds on slopes. However, correlations in the present study were generally in the right direction. Infants with longer step lengths on flat ground tended to succeed at walking down steeper slopes in the high friction condition, r(14) = .46, p = .08; no other relationships were significant.
Locomotor Decisions
We indexed infants’ locomotor decisions by their attempts to walk. On trials in which they refused to walk, infants slid down in sitting (58.4% of refusal trials) or backing positions (16.2%), walked holding onto the experimenter for support (13.0%), crawled (4.3%), or avoided descent altogether (8.1%). There were no differences in strategies between friction conditions. If decisions were scaled to affordances for locomotion, then attempts to walk should decrease at normalized slope groups steeper than the thresholds. Moreover, given that success ratios decreased more rapidly in the low friction condition than in the high friction condition, infants should be more reticent to attempt walking in the low friction condition. That is, the low friction curve should be displaced beneath the high friction curve. However, it was not. As shown in Figure 3B, infants were more—not less—likely to attempt to walk down risky low friction slopes compared with high friction slopes at the same normalized slope groups. Because one infant had a 0° affordance threshold in the low friction condition and could not receive trials in the -4° slope group, we used only the 0° to +18° slope groups for statistical analyses so that all 16 infants contributed data for every slope group. A 2 (friction condition) × 4 (normalized slope group) repeated measures ANOVA confirmed main effects for friction condition, F(1,15) = 10.43, p < .01, η2 = .41, and slope group, F(3,45) = 27.12, p < .01, η2 = .64. As in previous studies (Adolph, 1995, 1997; Adolph & Avolio, 2000), a significant linear trend indicated that attempts to walk decreased as slope increased, F(1,15) = 37.36, p < .01, η2 = .71.
Difficulty discriminating different affordances for different friction conditions is further illustrated in Figure 4B, in which attempts to walk are plotted against absolute degree of slope. With this representation of the data, if locomotor decisions were based (at least in part) on friction, then attempts to walk in the low friction condition should be limited to shallower slopes compared to the high friction condition. In other words, the line depicting low friction attempts should be displaced to the left of the line depicting high friction attempts. However, when the data were analyzed in this manner, the two curves were superimposed, indicating that infants responded primarily to slant. Because different numbers of infants contributed data at each degree of slope (see bottom of Figure 4D), we created 4 absolute slope groups so that all 16 infants contributed data at each slope group for statistical comparisons: 0°, 4° (data from 2° and 6° and designated by the midpoint), 12° (data from 10° and 14°), and 22° (data from 18°, 22°, and 26°). Because infants did not receive trials at steeper slopes in the low friction condition, high friction trials at > 26° increments were not included in statistical analyses. A 2 (friction condition) × 4 (absolute slope group) repeated measures ANOVA revealed only a main effect for slope group, F(3,45) = 25.28, p < .01, η2 = .62, meaning that infants treated slopes similarly in both friction conditions. Trend analyses confirmed both linear, F(1,15) = 29.80, p < .01, η2 = .67, and quadratic effects, F(1,15) = 17.35, p < .01, η2 = .54.
Exploration
To better understand the process of prospective control, we examined infants’ spontaneous exploration on the flat starting platform. A primary coder scored each trial for touching and latency to descend. To receive credit for touching, infants had to probe the slope with their feet or hands for at least half a second by patting or rubbing the surface, rock to and fro with their feet straddling the brink, or make small stepping movements with their feet at the top edge of the slope. Infants primarily used their feet to explore slopes by touching (97% of touch trials). To score latency, the coder identified the first video frame when infants looked down the slope from the starting platform and the first frame when they initiated descent. Latencies could range from 0 seconds (if infants started down slopes without hesitation) to 60 seconds (if they avoided descent for the duration of the trial). Latency included time engaged in touching. A second coder scored 20% of trials to ensure inter-rater reliability. Coders agreed on 98% of trials for touching, κ = .96, p < .01, and the correlation coefficient for latency was +.99.
Touching
If the low friction condition made infants leery of the impending slopes, then they should have shown elevated—not depressed—levels of touching. But they did not. Overall, infants touched slopes on 21% of trials, and they touched more frequently in the high friction condition than low. A 2 (friction condition) × 4 (normalized slope group) repeated measures ANOVA revealed only a main effect for friction condition, F(1,15) = 27.41, p < .01, η2 = .65; see Figure 3C. Analyses with absolute degree of slope also showed lower rates of touching in low friction compared with high. A 2 (friction condition) × 4 (absolute slope group) repeated measures ANOVA revealed main effects for friction condition, F(1,15) = 17.65, p < .01, η2 = .54, and slope group, F(3,45) = 31.79, p < .01, η2 = .70, and an interaction between the two factors, F(3,45) = 10.15, p < .01, η2 = .40; see Figure 4C. Trend analyses revealed a significant linear trend, F(1,15) = 51.38, p < .01, η2 = .77. Pairwise comparisons with Bonferroni corrections showed that the interaction effect was explained by differences between friction conditions at the 12° (Ms = .19 and .41 for low and high friction, respectively), and 22° slope groups (Ms = .22 and .58 for low and high friction, respectively); both ps < .01. Less touching in the low friction condition at 22° was unexpected because attempts to walk showed a sharp decline in the low friction condition at the same increment, and the decline was comparable to that in the high friction condition. Possibly, touching was constrained by the difficulty of keeping balance on the slippery starting platform while poking out one foot or rocking at the brink.
However, in both friction conditions, touching reduced the likelihood of falling. On risky slopes (i.e., increments steeper than affordance thresholds), infants were more likely to fall on trials when they did not touch than on trials when they did. In the high friction condition, they fell on 48.9% of no-touch trials versus 17.1% of touch trials; in the low friction condition, infants fell on 65.1% of no-touch but only 21.1% of touch trials. As in previous work (e.g., Adolph, 1997; Joh et al., 2007), infants benefited from exploratory touching with their feet. Possibly, they fell on slopes in the low friction condition because they were not prompted to touch the shallow slopes or because they could not maintain balance on the slippery starting platform while touching slopes.
Latency
Latency did not increase over baseline trials, r(389) = −.01, providing assurance that hesitation on steeper slopes was not due to fatigue or changes in motivation. Overall, infants rarely hesitated (median latency = 0 seconds). Longer latencies were reserved primarily for high friction trials and for steeper slopes, despite the fact that infants were likely to fall on shallow slopes in the low friction condition. Figure 3D shows latency normalized to affordance thresholds in each friction condition. A 2 (friction condition) × 4 (normalized slope group) repeated measures ANOVA confirmed main effects for friction condition, F(1,15) = 11.47, p < .01, η2 = .43, and slope group, F(3,45) = 4.14, p < .02, η2 = .22. A significant linear trend confirmed longer hesitation at increasingly steeper slopes, F(1,15) = 13.42, p < .01, η2 = .47.
Figure 4D shows the data plotted by absolute degree of slope. A 2 (friction condition) × 4 (absolute slope group) repeated measures ANOVA revealed main effects for friction condition, F(1,15) = 7.45, p < .02, η2 = .33, and slope group, F(3,45) = 13.56, p < .01, η2 = .48, and an interaction between the two factors, F(3,45) = 7.84, p < .01, η2 = .34. Trend analyses revealed a significant linear trend, F(1,15) = 20.20, p < .01, η2 = .57. Bonferroni-corrected pairwise comparisons showed that the interaction effect was explained by lower latencies at the 22° slope group in the low friction condition (M = 4.46 seconds) compared with the high friction condition (M = 13.63 seconds), p < .01. Possibly, steep slopes elicited more hesitation in the high friction condition because in the low friction condition, the difficulty of keeping balance on the flat starting platform hampered exploration such as touching with the feet and peering over the edge; latency and touching were correlated in both high and low friction conditions; r(534) = .57 and r(456) = .43, respectively, both ps < .01.
Like touching, increased hesitation reduced the frequency of falling. Infants were more likely to fall if they did not hesitate (latency = 0 seconds) than if they hesitated even for a brief instant (latency > 0 seconds): 66.7% of no-hesitation trials versus 22.2% of hesitation trials in the high friction condition and 80.2% of no-hesitation trials versus 34.7% of hesitation trials in the low.
Individual Differences
Individual differences in responses to risky slopes were stable over friction conditions as indicated by correlations between attempts to walk, r(16) = .78, p < .02; touching, r(16) = .44, p = .09; and latency, r(16) = .50, p < .05, in the high and low friction conditions. Spontaneous exploration predicted individual differences in locomotor decisions: In the high friction condition, touching, r(16) = −.69, p < .02, and latency, r(16) = −.48, p = .06, were negatively correlated with attempts to walk down risky slopes. Similarly, in the low friction condition, touching, r(16) = −.75, p < .02, and latency, r(16) = −.79, p < .02, were negatively correlated with attempts to walk. In addition, more experienced walkers tended to display fewer attempts to walk, r(14) = −.45, p = .11, in the high friction condition and less skilled walkers used less sophisticated descent strategies on refusal trials: Infants with larger step widths were more likely to avoid or walk holding the experimenter, r(13) = .63, p < .02.
Experiment 2: Blocked Low and High Friction Conditions
Overall, the pattern of findings from Experiment 1 suggested that infants’ locomotor decisions were based primarily on slant rather than friction, although accuracy increased on trials where infants touched the slope and hesitated. These results were unexpected given previous work showing that infants were able to update their locomotor decisions from trial to trial when their walking abilities were worsened by the addition of weights (Adolph & Avolio, 2000). The low friction manipulation in the current study had more deleterious effects on infants’ walking skill than the lead weight shoulder packs in the earlier study and it seemed likely that infants would have recognized the increased threats to balance as they stepped and occasionally slipped on the flat starting platform before reaching the slope. Therefore, before concluding that infants rely mostly on slant, not friction, to detect affordances for walking down slopes, we tested infants using a simpler experimental design: test trials were blocked by condition, rather than interleaved. Our goal was to provide infants with repeated opportunities to learn that the low friction condition diminished their ability to walk. Blocked trials also eliminated the distraction of switching surfaces between trials in the interleaved protocol. In addition, we reduced the number of test trials at each slope group from four to three to make the procedure less grueling. Finally, we added two trials at an impossibly steep 46° in each condition to anchor comparisons by absolute degree of slope.
Method
A second group of 16 14-month-olds (± 1 week, 8 girls and 8 boys) were recruited and compensated as before. Compared with Experiment 1, walking experience included more children with less than one month of experience; the range was from 4 to 119 days (M = 58.69 days). All infants had weekly experience walking over multiple surfaces that varied in friction and slant. We excluded data from 5 additional infants who became too fussy to complete testing in both conditions.
The sloping walkway, low friction vinyl, and high friction rubber coverings were identical to those used in Experiment 1. Low and high friction trials were blocked using a single psychophysical staircase procedure for each condition (Adolph, 1995, 1997, 2000) followed by test trials. The staircase procedure was the same as in Experiment 1. By reducing the number of test trials at each slope group from 4 to 3, we reduced the total number of trials (M = 55.06, range = 46 to 65). Infants were counterbalanced for condition order.
Following the test trials, we again collected measures of walking skill on flat ground. Step length averaged 24.75 cm (SD = 5.81) and step width averaged 12.06 cm (SD = 3.50). Longer step lengths were associated with narrower step widths, r(16) = −.55, and walking experience predicted improvements in both step length, r(16) = .71, and step width, r(16) = −.77; all ps < .03.
Results and Discussion
Data were scored as in Experiment 1. Thresholds recalculated from videotape matched 100% with thresholds determined on-line, and only 3 thresholds in the high friction condition were determined based solely on successes and refusals. A second coder scored 20% of trials for inter-rater reliability and agreed on 99% of trials for success, failure, and refusal, κ = .99, p < .01; and 98% of trials for touching, κ = .93, p < .01. The correlation coefficient for latency was +.99. The order in which infants received friction conditions had no effects.
Affordance Thresholds
As shown in Figure 2B, high friction affordance thresholds ranged from 6° to 26° and low friction thresholds ranged from 0° to 6°. Thresholds were steeper in the high friction condition (M = 14.00°, SD = 6.02) than in the low (M = 4.37°, SD = 2.22), t(15) = 7.51, p < .01, with an average difference of 9.62°. Three high friction and 0 low friction protocols were estimated based only on successes and refusals; these estimates were in the middle of the distribution suggesting that refusals to walk were not responsible for the large individual differences in walking ability on slopes. Unlike Experiment 1, Figure 3E shows that success ratios, (successes)/(successes + failures), did not differ between friction conditions when compared across normalized slope groups (all ps > .10), meaning that a change in slope incurred the same relative risk across conditions. Figure 4E shows the discrepancy between infants’ ability to walk in the low and high friction conditions at each absolute degree of slope.
In contrast to Experiment 1, walking experience and walking skill on flat ground provided independent verification of the validity of the threshold estimates (Adolph, 1995, 1997; Adolph & Avolio, 2000). More walking experience, r(16) = .56 and .69; longer step lengths, r(16) = .72 and .62; and narrower step widths, r(16) = −.63 and −.67, predicted steeper high and low friction thresholds, respectively; all ps < .03. High and low friction boundaries were correlated, r(16) = .56, p < .03.
Locomotor Decisions
As in Experiment 1, on trials in which they refused to walk down the slope, infants used a variety of descent strategies in both friction conditions. On success and failure trials, analyses by relative risk and by absolute slope indicated that attempts to walk were based primarily on slant. Although infants fell repeatedly on shallow slopes in the low friction block of trials, they continued to attempt to walk, showing that blocking friction conditions did not facilitate more adaptive locomotor decisions in the low friction condition. In fact, at the same normalized slope group, attempts to walk were higher in the low friction condition (Figure 3F). A 2 (friction condition) × 4 (normalized slope group) repeated measures ANOVA confirmed main effects for friction condition, F(1,15) = 22.94, p < .01, η2 = .61, and slope group, F(3,45) = 37.14, p < .01, η2 = .71; note, trials at 46° were not included in the ANOVA. Trend analyses confirmed a linear effect for slope, F(1,15) = 54.09, p < .01, η2 = .78. The ANOVA also revealed an interaction between friction condition and slope group, F(3,45) = 5.64, p < .02, η2 = .27. Pairwise comparisons showed fewer attempts to walk on high friction trials compared to low at the +4° (Ms = .60 and .96 for high and low friction, respectively) and +10° slope groups (Ms = .44 and .85 for high and low friction, respectively); both ps < .01. Plotted against absolute degree of slope, high and low friction curves were superimposed, not displaced (Figure 4F). A 2 (friction condition) × 5 (absolute slope group: 0°, 4°, 8°, 12°, 22°, and 46°) repeated measures ANOVA revealed only a main effect for slope group, F(4,60) = 82.61, p < .01, η2 = .85, followed up with significant linear and quadratic effects, both ps < .01.
Exploration
Infants touched the slope on 26% of trials prior to descent. As in Experiment 1, most touches involved the feet (89% of touch trials) and occurred on risky high friction slopes. Both normalized slope and absolute slope analyses showed depressed levels of touching in the low friction condition (Figure 3G and Figure 4G). A 2 (friction condition) × 4 (normalized slope group) repeated measures ANOVA showed only main effects for friction condition, F(1,15) = 42.64, p < .01, η2 = .74 and slope group, F(3,45) = 11.08, p < .01, η2 = .43, with a linear trend, F(1, 15) = 18.95, p < .01, η2 = .56. A 2 (friction condition) × 5 (absolute slope group) repeated measures ANOVA showed main effects for friction condition, F(1,15) = 26.73, p < .01, η2 = .64, and slope group, F(4,60) = 18.48, p < .01, η2 = .55, and a friction by slope interaction, F(4,60) = 2.62, p < .05, η2 = .15. There was a significant linear trend for slope, p < .01. Pairwise comparisons revealed lower levels of touching at the 22° slope group in the low friction condition (M = .22) compared with the high friction condition (M = .58), p < .01. As before, exploratory touching was inversely related to falling. On high friction slopes, infants fell on 52.3% of risky trials when they did not touch slopes, but on 21.2% after touching. On low friction slopes, they fell on 70.1% of trials when they did not touch, but on 25.5% of trials when they did.
Overall, infants hesitated (latency > 0 seconds) on only 43% of trials (median latency = 0 seconds) and latencies on baseline trials did not change over the course of the experiment to suggest fatigue, r(321) = .01. As in Experiment 1, infants hesitated more on risky slopes in the high friction condition. Both ways of analyzing the data showed lower latencies in the low friction condition (Figure 3H and Figure 4H). A 2 (friction condition) × 4 (normalized slope group) repeated measures ANOVA showed main effects for friction, F(1,15) = 19.28, p < .01, η2 = .56, and slope group, F(3,45) = 9.33, p < .01, η2 = .38, and a significant linear effect, F(1,15) = 12.26, p < .01, η2 = .45. Similarly, a 2 (friction condition) × 5 (absolute slope group) repeated measures ANOVA revealed a main effect for slope group, F(4,60) = 16.86, p < .01, η2 = .53, and both linear, F(1,15) = 19.54, p < .01, η2 = .57, and quadratic effects, F(1,15) = 7.50, p < .02, η2 = .33. As before, latency was related to falling in both friction conditions, suggesting that infants could benefit from the additional information obtained by pausing prior to descent. On risky high friction slopes, infants fell on 82.4% of trials when they did not hesitate (latency = 0 seconds) compared with 20.8% of trials when they did (latency > 0 seconds). On low friction risky slopes, they fell on 82.4% of trials when they did not hesitate and on 38.4% of trials when they did.
Individual Differences
As in Experiment 1, individual differences were stable across high and low friction conditions: attempts to walk, r(16) =.57; touching, r(16) = .68; and latency, r(16) = .84, all ps < .03. Again, more touching, r(16) = −.78 and −.57, and longer latencies, r(16) = −.49 and −.49, were associated with fewer attempts to walk down risky slopes in high and low friction conditions, respectively; all ps < .05. Moreover, in the high friction condition, walking experience, r(16) = .58, p < .03, and walking skill as indexed by step width, r(16) = −.82, p < .02, and high friction thresholds, r(16) = .51, p < .05, predicted more touching on risky slopes; narrower step widths tended to be related to lower attempt rates, r(16) = .48, p = .06. In the low friction condition, narrower step widths predicted more touching on risky slopes, r(16) = −.61, p < .02.
Experiment 3: Friction with Constant Slant and Visual Cues
Experiment 2 was designed to improve performance in the low friction condition by giving infants the opportunity to learn about the low friction condition over consecutive trials, reducing the overall number of trials, and eliminating the distraction of switching surfaces between trials. However, performance did not improve. As in Experiment 1, infants responded primarily to the degree of slant, not to friction. Even after slipping and falling repeatedly on blocked low friction trials, infants did not re-evaluate their ability to walk down shallow, low friction slopes and they did not increase their exploratory touching at those increments. Instead, infants attempted to walk down slopes beyond their ability and fell.
Therefore, in Experiment 3, we sought evidence that infants could use information for friction by simplifying the problem even farther. We eliminated all variations in slant—even the differences between flat starting/landing platforms and the middle sloping section—by testing infants on a walkway with a constant shallow slope (7°). We made the high and low friction surfaces visually distinct. In the high friction condition, the entire walkway was covered in dark carpet. In the low friction condition, we inserted a large, slippery piece of Teflon in the middle of the walkway. The Teflon was white, shiny and resembled ice. Because the high friction carpet surrounded the Teflon, the low friction surface was visually distinct from the starting and landing areas. Finally, we eliminated the possibility that depressed levels of touching in the low friction condition in the earlier experiments were due to the difficulty of keeping balance on the slippery starting platform: The starting area was covered with high friction carpet on all trials.
Of special interest was infants’ exploratory behavior and locomotor decisions on their first encounter with the low friction surface compared with subsequent trials. If infants, like adults, rely on visual cues such as color and shine to detect slippery ground conditions (Joh et al., 2006), then they should express caution on their first encounter with the low friction surface. Alternatively, infants might require contact with the slippery surface to link its appearance with the consequences for locomotion. In this case, previous work suggests that multiple encounters might be required: 15-month-olds fell repeatedly on a deformable foam surface before showing evidence of learning from falling (Joh & Adolph, 2006).
Method
Participants
Eighteen 15-month-olds (± 1 week, half girls and half boys) were recruited and remunerated as before. Walking experience ranged from 46 to 157 days (M = 92.48 days). All infants had weekly experience locomoting on surfaces varying in friction and slant. Three additional infants were excluded from the final sample due to extreme fussiness.
Apparatus
As shown in Figure 5, a large walkway (488 cm long × 97 cm wide × 58 cm high at 0°) was tilted 7°, an angle slightly steeper than low friction thresholds in the previous experiments, and steep enough to induce a slip and fall. On high friction trials, the entire walkway was covered with dark blue, textured carpet. On low friction trials, the middle section of the carpet was removed and replaced with a slippery Teflon insert (122 cm long × 97 cm wide); the high friction carpet remained on the starting and ending areas. The static coefficient of friction (μS) of the Teflon surface was 0.29, similar to the μS of the low friction vinyl used in Experiments 1 and 2. To visually highlight the change in friction conditions, the Teflon was white, shiny, and smooth, like ice. To control for effects of footwear, all infants wore nylon tights. Beneath the carpet and Teflon was a 3.8 cm thick layer of high-density foam padding for safety. Side and front views of the walkway were mixed into a single video frame.
Figure 5.
Stationary sloped walkway used in Experiment 3. The starting and landing areas of the walkway were always covered with a high friction surface. On low friction trials, the middle portion of the walkway contained a low friction surface.
Procedure
Infants began each trial in a standing position on the high friction starting area, 60 cm from the edge of the middle test area. All trials lasted 30 s or until infants left the starting area, whichever happened first. Parents stood at the far side of the ending area. As before, they were instructed to use only positive encouragements (e.g., “Come, give Mommy a hug”) and not to draw children’s attention to the Teflon floor or caution them (“Watch out”) or provide them with alternative strategies (“Sit down”). An experimenter followed alongside infants to ensure their safety.
All sessions began with 4 high friction trials to acclimate infants to the raised walkway and ended with 2 high friction trials to ensure that refusals to walk were not due to fatigue or boredom. After the initial 4 acclimation trials, 4 blocks of 4 low friction trials were alternated with 4 blocks of 2 high friction trials. The high friction blocks served to highlight the presence of the Teflon surface and to renew infants’ motivation to walk. In total, infants received 16 low friction and 12 high friction trials (due to fussiness and equipment failure, the average number of low friction trials was 13.11 and the average number of high friction trials was 10.72).
Results and Discussion
Coders scored each trial as a success, failure, or refusal to walk over the middle test area, and noted touching, number of steps taken, and latency. Coders agreed on 97.6% to 100% of trials; κ = .79 to 1.0. Correlation coefficients were +1.00 for latency and +.99 for number of steps.
Affordances and Locomotor Decisions
As in the previous experiments, the high and low friction surfaces provided very different affordances for walking over a shallow slope. Infants walked successfully on 100% of 192 attempts on the high friction surface, but on only 7% of 202 attempts on the low friction surface (9 infants contributed successful trials). Success on the low friction trials was not related to walking experience or to the number of steps used to cross the surface. Success appeared to be accidental. Rather than employing a deliberate strategy such as decreasing step length and velocity, infants skated across the low friction surface with their bodies wobbling and arms raised in high guard position; in one instance, a child skated across taking only one step.
As in the previous experiments, on most trials, infants attempted to walk over the low friction surface despite the fact that success was highly unlikely; see Figure 6A. Seven infants attempted to walk on all 16 low friction trials. However, in contrast to Experiments 1 and 2, infants were less likely to attempt walking over the low friction surface (M proportion of trials = .79, SD = .26) compared with the high (M = .99, SD = .02). A 2 (friction condition) × 2 (measure: success versus attempts) repeated measures ANOVA confirmed main effects for friction condition, F(1, 17) = 279.45, p < .01, η2 = .94, and measure, F(1, 17) = 153.36, p < .01, η2 = .90, and an interaction between the two factors, F(1, 17) = 152.82, p < .01, η2 = .90. Bonferroni-corrected comparisons revealed a large difference between attempt and success rates on the low friction surface and no difference between these measures on the high friction surface.
Figure 6.
Walking ability, locomotor decisions, exploratory activity, and gait modifications for Experiment 3. (A) Proportion of trials on which infants attempted to walk down the middle portion of the walkway (Attempts, striped bars) and succeeded in walking without falling (Success, white bars). (B and E) Proportion of trials on which infants touched the middle area of the walkway. (C and F) Time required for infants to reach the middle of the walkway. (D) Attempts to walk over the middle portion of the walkway. For panels A-C, the x-axis represents the two friction conditions; for D-F, the x-axis represents infants’ first, second, and last trials in high friction (black bars) and low friction (white bars) trials.
As shown in Figure 6D, attempts decreased over trials. On their first exposure to the low friction surface, infants attempted to walk and fell, indicating that the mere sight of a shiny, white surface was not sufficient to curb attempts. Moments later, on their second trial, infants again attempted to walk and fell. But by their last trial, attempt rates—albeit high—had significantly decreased. Planned comparisons between friction conditions showed no differences for infants’ first or second trial, but significant differences for their last trial, t(17) = 3.29, p < .01. Similarly, in previous work (Joh & Adolph, 2006), 15-month-olds showed gradual rather than one-trial learning in an analogous experimental set-up where the rigidity of the walkway varied instead of the friction (the shiny white Teflon was replaced with a bumpy deformable foam pit and the walkway was flat rather than sloped), suggesting that infants are slow to link the distinct appearance of a ground covering with the consequences for balance and locomotion.
Exploration and Individual Differences
Providing infants with a visibly distinct low friction surface and/or a high friction surface to provide traction on the starting platform led to increased exploration on low friction trials. In contrast to Experiments 1 and 2 in which touching and latency were lower in the low friction condition, in Experiment 3, rates of exploration were elevated for low friction; see Figure 6B and 6C. Touching was rare overall but more frequent on low friction trials (M proportion of trials = .16, SD = .24) compared with high (M = .01, SD = .03), t(17) = 2.61, p < .02. Similarly, latencies were generally short, but longer on low friction trials (M = 6.35 seconds, SD = 5.26) compared with high (M = 2.22 seconds, SD = 1.24), t(17) = 3.14, p < .01. Planned comparisons between friction conditions showed that differential levels of touching and hesitation emerged slowly over trials (Figure 6E and 6F). We found no significant differences between high and low friction for touching or latency for infants’ first or second trial on each surface (although mean values were slightly higher for low friction), but significantly higher rates on low friction for both measures on their last trial, t(17) = 2.20 and 2.30, respectively, all ps < .05.
Individual differences in attempts to walk over the low friction slope were related to infants’ spontaneous exploratory activity. Touching, r(18) = −.79, and latency, r(18) = −.73, were negatively correlated with attempts to walk, all ps < .01.
General Discussion
Three experiments addressed the question of whether infants’ perception of affordances for walking down slopes is based on both friction and slant. All three experiments indicate that infants rely primarily on information for slant. Infants fell down shallow low friction slopes when high and low friction conditions were interleaved in Experiment 1, suggesting that they did not perceive increased risk based on perceptual information as they walked over the slippery starting platform. They continued to fall down shallow low friction slopes when high and low friction conditions were blocked in Experiment 2, suggesting that they did not learn over the course of dozens of trials that their abilities were diminished on the slippery surface. And they fell at high rates on repeated trials on a single shallow slope even when the slippery surface was visually distinct from the high friction starting area in Experiment 3, suggesting that they had difficulty linking the appearance of the slippery region with the consequences for locomotion. In all three experiments, higher levels of exploration were related to lower attempt rates on risky slopes. But touching and hesitation were rare at the edge of shallow, low friction slopes despite the fact that these surfaces were impossible for walking.
Infants’ difficulty coping with changing friction conditions runs contrary to their ease at adapting locomotor decisions to variations in the surface layout (Adolph & Joh, 2009). And infants’ over-reliance on information for slant compared with friction differs from findings with adults tested on the same low and high friction surfaces used in Experiments 1 and 2 (Joh et al., 2007). Here, we situate the findings in the context of previous work and speculate about why infants may have fared poorly when approaching slippery slopes.
Prospective Control Based on Changing Affordances
In previous work, experienced sitting, crawling, cruising, and walking infants showed impressive prospective control when faced with novel challenges to balance and locomotion at the brink of adjustable slopes, gaps, cliffs, and bridges (see Adolph & Berger, 2006, for review). When the surface layout presented a navigable impediment, infants attempted traversal, but when the surfaces presented an impassable obstacle, they did not. Exploration on the starting platform increased on risky increments.
Several sets of findings from these earlier studies are especially relevant for interpreting the current results. First, infants discriminate small but functionally relevant variations in the surface layout (e.g., 2° differences in slopes and 2 cm differences in gaps). Second, infants perceived such small variations in the surface layout relative to the current status of their own bodies and skills. Proficient crawlers and walkers, for example, correctly attempted to descend steeper slopes and less skilled infants correctly limited their attempts to shallower slopes. Given dramatic developmental changes in infants’ crawling and walking skill from week to week (Adolph, 1997; Adolph et al., 1998; Adolph et al., 2003; Bril & Breniere, 1989), infants’ ability to scale motor decisions to their own abilities represents impressive recalibration. Third, both infants and adults benefit from exploratory touching. Locomotor decisions for walking down slopes were more accurate after probing the sloping surface with the feet than on trials when participants did not touch (Adolph, 1997; Joh et al., 2007).
Finally, infants updated their perception of affordances from trial to trial in response to experimental manipulation of their bodies and skills. In particular, Adolph and Avolio (2000) tested 14-month-olds on the same sloping walkway used in Experiments 1 and 2 and with the same interleaved protocols as in Experiment 1. In the earlier work, infants wore lead weight and feather weight shoulder packs in the two interleaved conditions so that they had to detect the different affordances for walking down slopes from trial to trial. Perceptual information during their approach on the flat starting platform was sufficient for infants to correctly treat the same degrees of slope as possible in the feather weight packs and impossible in the lead weight packs.
Why Don’t Infants Look Before They Leap?
Thus, the current experiments present a puzzle: Given infants’ success in other challenging situations, under low friction conditions, why don’t infants look before they leap? Why did the feeling of slip underfoot in Experiments 1 and 2 and the sight of the slippery Teflon in Experiment 3 fail to elicit more exploratory touching and more adaptive locomotor decisions as infants approached shallow, low friction slopes?
Several potential explanations can be eliminated. The problem is not that 14- and 15-month-olds lack the wherewithal to scale motor decisions to changing affordances for walking down slopes. Earlier work showed adaptive locomotor decisions in 14- to 15-month-olds on carpeted slopes with the same walkway and similar procedures as in Experiments 1 and 2 (Adolph, 1995; Adolph & Avolio, 2000; Gill et al., in press). The problem is not that infants are insensitive to friction underfoot; they show adaptive reactive adjustments when standing on a slippery surface (Stoffregen et al., 1997), and the infants in the current study modified their gait on the low friction surface when the walkway was flat. Similarly, infants are not insensitive to visual information for shallow slopes; even newborns can discriminate small variations in slant (Slater & Morison, 1985). Nor is the problem that the ground covering was visually continuous in Experiments 1 and 2 because in Experiment 3, where the low friction surface was visually distinct, infants walked and fell on their first encounters with the slippery surface and more than half the infants fell on their last trial. Finally, the source of errors in the low friction condition is not that 14-month-olds fail to benefit from exploration at the brink of slippery slopes. When infants hesitated on the starting platform—even for a brief instant—and touched slopes prior to initiating descent, they were less likely to attempt slopes beyond their ability and fall than when they did not hesitate and did not touch. Exploration informed decisions for future actions.
Several explanations remain viable candidates. One likely explanation for increased error rates in the low friction condition compared with the high in Experiments 1 and 2 is that infants were hampered in their ability to explore slopes. In both experiments, levels of touching and hesitation were depressed in the low friction condition, even on the steepest slopes. Typically, walking infants explore slopes by straddling the brink with both feet and rocking back and forth, pressing their weight into the slope with small stepping movements at the brink, or probing the slope by sliding one foot over the edge. If they attempted to do those movements in the low friction condition, they were likely to fall. Experiment 3 lends credence to this supposition. With the high friction carpet to provide traction at the edge of the slope, exploratory touching and hesitation were elevated in the low friction condition, and attempt rates decreased relative to the high friction condition.
A second possibility for why infants rely more on information for slant than friction for controlling locomotion prospectively is that information for surface layout is more reliable (Adolph & Joh, 2009). Multiple sources of visual information for slant (and other variations in layout) are available from a distance. Of course, perceiving affordances for locomotion over slopes depends on the relation between the degree of slant relative to walkers’ orientation as they approach the slope because affordances depend on the orientation of the surface relative to the forces that are being (or will be) applied to it (imagine floating around on the space station where the normal rules of gravity don’t apply). But information for friction is not available from a distance. Friction is an emergent force that requires two surfaces to come into contact. Without generating frictional force by touching the slope, infants see only a shallow slant that is typically navigable.
Adults mistakenly rely on shine as a visual cue for slip. But shine is not a perceptual constant: Shine perception is strongly affected by the color of the ground surface, overhead lighting conditions, and viewing distance and angle—factors that do not affect friction (Joh et al., 2006). Infants did not respond to shine on their first trial in Experiment 3, and they continued to fall on consecutive trials. Why did the visibly distinct low friction surface fail to elicit more avoidance? According to one estimate, 14-month-olds fall more than 100 times per day (Adolph et al., 2009). Most of these falls result from variability in infants’ own motor systems, not because they slipped or tripped due to variations in properties of the ground surface. The fact that falling is typically unrelated to the appearance of the ground surface may lead to learned irrelevance (Adolph & Joh, 2009). Infants may learn to ignore visual cues such as shine, color, and texture when deciding whether a surface is safe for walking. Previous work suggests that children attribute missteps to properties of the ground surface only after 2 to 3 years of walking when falling rates have substantially decreased (Joh & Adolph, 2006).
A related factor that may contribute to infants’ failure to avoid walking over shallow low friction slopes is the complex interaction between friction and slant in the context of locomotion. In the classic textbook example, a block placed on a flat surface begins to slide when the forces pushing against the block exceed the available resistive frictional forces. The situation becomes more complicated when the block sits on a sloping ramp. Now, the block will slip more readily because frictional forces must counteract additional gravitational forces. The required frictional forces to resist slipping increase nonlinearly with increase in the degree of slant.
The story becomes even more complicated when the block is replaced with a moving person who is trying to maintain balance while walking down the slope. In contrast to a block, walkers’ bodies are not rigid and stationary. The amount of frictional force required to counteract gravity depends on the manner of contact between the foot and the slope: the angle of the body, swaying and pushing movements of the body, whether the person digs in their toes, and so on (Cham & Redfern, 2002a; McVay & Redfern, 1994; Redfern et al., 2001; Redfern & DiPasquale, 1997). Thus, even adults sometimes err when extrapolating from the feeling of slip as they stand on flat ground to making decisions for walking down slopes (Joh et al., 2007). And the complexity of interacting forces may contribute to adults’ misplaced reliance on shine as a visual cue for slip (Joh et al., 2006).
What Develops
What changes between infancy and adulthood that promotes more adaptive use of information for friction in guiding locomotion over slopes? The age-matched design of the current experiments allowed us to assess the import of infants’ walking experience, walking skill, and spontaneous exploratory behavior for explaining individual differences in their ability to cope with low and high friction slopes. As in previous work (e.g., Adolph, 1997; Adolph & Avolio, 2000), infants’ walking experience and walking skill predicted individual differences in their affordance thresholds: More experienced and proficient walkers could walk down steeper slopes. Moreover, more walking experience and higher levels of walking skill were related to lower attempt rates on risky slopes. However, the most reliable predictor across experiments of infants’ attempt rates on low friction slopes was spontaneous exploration. In particular, after touching slippery slopes, infants were less likely to walk and fall. And in Experiment 2, more experienced and skillful walkers engaged in more exploratory touching.
Thus, what develops may be a set of factors that increase the probability of touching on shallow, low friction slopes—greater awareness of the significance of underfoot friction information and changes in the appearance of the ground surface, and the balance control to execute touching movements at the brink of a slippery slope. Until infants have sufficient walking experience and skill to acquire these abilities, they rely primarily on slant to guide their decisions for walking down slopes.
Conclusions: From Perceptual Information to Decisions for Action
Using perceptual information about friction is not an esoteric, academic problem. Friction is a ubiquitous factor in the control of motor action; it emerges whenever part of the body comes into contact with another surface. Clearly, friction presents a difficult problem for everyday detection of affordances for locomotion; failure to respond appropriately to variations in friction is a leading cause of accidental injury from falling across age groups (National Center for Injury Prevention and Control, 2002).
Most applied research has focused on inadequate reactive adjustments to changing friction conditions (e.g., Cham & Redfern, 2001; Cham & Redfern, 2002b; Stoffregen et al., 1997; You et al., 2001). However, the current work with infants and a handful of studies with adults (Joh et al., 2006; Joh et al., 2007) suggests that friction-related accidents may result from inadequate anticipatory adjustments. Prospective control can break down due to failure to extrapolate from the feeling of slip underfoot and failure to perceive risk of falling on shallow slopes.
One of the Gibsons’ (E. J. Gibson, 1988; E. J. Gibson & Pick, 2000; J. J. Gibson, 1966, 1979) important insights is that exploratory movements are the link in the perception-action chain. Exploratory movements generate information relevant for planning future actions. As described in the current studies and in previous work, by 14 months of age, infants have a variety of information gathering behaviors in their repertoires. However, infants, like adults, do not deploy all of their exploratory behaviors all of the time. Such a continual state of high alert would be vastly inefficient. Instead, casual visual scans of the ground ahead (Franchak et al., 2008) and feedback from ongoing action typically prompt walkers to explore an obstacle by touching prior to stepping full force onto the risky patch of ground (Adolph et al., 2000). With an effective eliciting stimulus, walkers may slow down, pause at the brink of an obstacle, engage in tactile exploration of the obstacle, and so on. The current studies suggest that exploratory touching is more likely to be elicited by information for slant as infants approach a slope rather than the variations in shine, color, or texture, or feedback about slip from their previous steps. As a consequence, infants (and adults) may step unaware onto a slippery shallow slope and fall.
Acknowledgments
This work was supported by National Institute of Child Health and Human Development Grant R37-33486 awarded to Karen Adolph. We thank Te Wen Lo and Anthony Avolio for their many contributions to the project, and the members of the NYU Infant Action Lab for help with data collections.
References
- Adolph KE. A psychophysical assessment of toddlers’ ability to cope with slopes. Journal of Experimental Psychology: Human Perception and Performance. 1995;21:734–750. doi: 10.1037//0096-1523.21.4.734. [DOI] [PubMed] [Google Scholar]
- Adolph KE. Learning in the development of infant locomotion. Monographs of the Society for Research in Child Development. 1997;62(3) Serial No. 251. [PubMed] [Google Scholar]
- Adolph KE. Learning to keep balance. In: Kail R, editor. Advances in child development and behavior. Vol. 30. Elsevier Science; Amsterdam: 2002. pp. 1–30. [PubMed] [Google Scholar]
- Adolph KE, Avolio AM. Walking infants adapt locomotion to changing body dimensions. Journal of Experimental Psychology: Human Perception and Performance. 2000;26:1148–1166. doi: 10.1037//0096-1523.26.3.1148. [DOI] [PubMed] [Google Scholar]
- Adolph KE, Badaly D, Garciaguirre JS, Sotsky R. 15,000 steps: Infants’ locomotor experience. 2009. Manuscript in revision. [Google Scholar]
- Adolph KE, Berger SE. Motor development. In: Kuhn D, Siegler RS, editors. Handbook of child psychology. 6th ed. Vol. 2. John Wiley & Sons; New York: 2006. pp. 161–213. Cognition, Perception, and Language ed. [Google Scholar]
- Adolph KE, Eppler MA, Gibson EJ. Crawling versus walking infants’ perception of affordances for locomotion over sloping surfaces. Child Development. 1993;64:1158–1174. [PubMed] [Google Scholar]
- Adolph KE, Eppler MA, Marin L, Weise IB, Clearfield MW. Exploration in the service of prospective control. Infant Behavior and Development. 2000;23:441–460. [Google Scholar]
- Adolph KE, Joh AS. Multiple learning mechanisms in the development of action. In: Woodward A, Needham A, editors. Learning and the infant mind. Oxford University Press; New York: 2009. pp. 172–207. [Google Scholar]
- Adolph KE, Vereijken B, Denny MA. Learning to crawl. Child Development. 1998;69:1299–1312. [PubMed] [Google Scholar]
- Adolph KE, Vereijken B, Shrout PE. What changes in infant walking and why. Child Development. 2003;74:474–497. doi: 10.1111/1467-8624.7402011. [DOI] [PubMed] [Google Scholar]
- Bril B, Breniere Y. Steady-state velocity and temporal structure of gait during the first six months of autonomous walking. Human Movement Science. 1989;8:99–122. [Google Scholar]
- Cham R, Redfern MS. Lower extremity corrective reactions to slip events. Journal of Biomechanics. 2001;34:1439–1445. doi: 10.1016/s0021-9290(01)00116-6. [DOI] [PubMed] [Google Scholar]
- Cham R, Redfern MS. Changes in gait when anticipating slippery floors. Gait and Posture. 2002a;15:159–171. doi: 10.1016/s0966-6362(01)00150-3. [DOI] [PubMed] [Google Scholar]
- Cham R, Redfern MS. Heel contact dynamics during slip events on level and inclined surfaces. Safety Science. 2002b;40:559–576. [Google Scholar]
- Eppler MA, Adolph KE, Weiner T. The developmental relationship between infants’ exploration and action on slanted surfaces. Infant Behavior and Development. 1996;19:259–264. [Google Scholar]
- Fitzpatrick P, Carello C, Schmidt RC, Corey D. Haptic and visual perception of an affordance for upright posture. Ecological Psychology. 1994;6:265–287. [Google Scholar]
- Franchak JM, Adolph KE, Badaly D, Babcock JS. Navigation from the corner of the eye: Visual guidance of locomotion in children; Paper presented at the International Society for Developmental Psychobiology; Washington, DC. 2008, November. [Google Scholar]
- Gibson EJ. Exploratory behavior in the development of perceiving, acting and the acquiring of knowledge. Annual Review of Psychology. 1988;39:1–41. [Google Scholar]
- Gibson EJ, Pick AD. An ecological approach to perceptual learning and development. Oxford University Press; New York: 2000. [Google Scholar]
- Gibson JJ. The senses considered as perceptual systems. Houghton-Mifflin; Boston: 1966. [Google Scholar]
- Gibson JJ. The ecological approach to visual perception. Houghton-Mifflin; Boston: 1979. [Google Scholar]
- Gill SV, Adolph KE, Vereijken B. Change in action: How infants learn to walk down slopes. Developmental Science. doi: 10.1111/j.1467-7687.2009.00828.x. in press. [DOI] [PMC free article] [PubMed] [Google Scholar]
- Joh AS, Adolph KE. Learning from falling. Child Development. 2006;77:89–102. doi: 10.1111/j.1467-8624.2006.00858.x. [DOI] [PubMed] [Google Scholar]
- Joh AS, Adolph KE, Campbell MR, Eppler MA. Why walkers slip: Shine is not a reliable cue for slippery ground. Perception & Psychophysics. 2006;68:339–352. doi: 10.3758/bf03193681. [DOI] [PubMed] [Google Scholar]
- Joh AS, Adolph KE, Narayanan PJ, Dietz VA. Gauging possibilities for action based on friction underfoot. Journal of Experimental Psychology: Human Perception & Performance. 2007;33:1145–1157. doi: 10.1037/0096-1523.33.5.1145. [DOI] [PubMed] [Google Scholar]
- Kinsella-Shaw JM, Shaw R, Turvey MT. Perceiving “walk-on-able” slopes. Ecological Psychology. 1992;4:223–239. [Google Scholar]
- Lobo SA, Ishak S, Karasik LB, Adolph KE. Friction underfoot affects infants’ ability to cope with slopes; Poster presented at the meeting of the international society for developmental psychobiology; washington, dc. 2005, November. [Google Scholar]
- Malek EA, Wagman JB. Kinetic potential influences visual and remote haptic perception of affordances for standing on an inclined surface. The Quarterly Journal of Experimental Psychology. 2008;61:1813–1826. doi: 10.1080/17470210701712978. [DOI] [PubMed] [Google Scholar]
- McVay EJ, Redfern MS. Rampway safety: Foot forces as a function of rampway angle. American Industrial Hygiene Association Journal. 1994;55:626–634. [Google Scholar]
- National Center for Injury Prevention and Control, C. D. C Web-based injury statistics query and reporting system (wisqars) 2002 Retrieved Nov 18, 2003, from www.cdc.gov/ncipc/wisqars.
- Patla AE. Visual control of human locomotion. In: Patla AE, editor. Adaptability of human gait. Elsevier Science Publishers; North-Holland: 1991. pp. 55–97. [Google Scholar]
- Patla AE. Understanding the role of vision in the control of human locomotion. Gait and Posture. 1997;5:54–69. [Google Scholar]
- Redfern MS, Cham R, Geilo-Perczak K, Gronqvist R, Hirvonen M, Lanshammar H, et al. Biomechanics of slips. Ergonomics. 2001;44:1138–1166. doi: 10.1080/00140130110085547. [DOI] [PubMed] [Google Scholar]
- Redfern MS, DiPasquale J. Biomechanics of descending ramps. Gait and Posture. 1997;6:119–125. [Google Scholar]
- Regia-Corte T, Wagman JB. Perception of affordances for standing on an inclined surface depends on height of center of mass. Experimental Brain Research. 2008;191:25–35. doi: 10.1007/s00221-008-1492-8. [DOI] [PubMed] [Google Scholar]
- Slater AM, Morison V. Shape constancy and slant perception at birth. Perception. 1985;14:337–344. doi: 10.1068/p140337. [DOI] [PubMed] [Google Scholar]
- Stoffregen TA, Adolph KE, Thelen E, Gorday KM, Sheng YY. Toddlers’ postural adaptations to different support surfaces. Motor Control. 1997;1:119–137. [Google Scholar]
- You JY, Chou YL, Lin CJ, Su FC. Effect of slip movement of body center of mass relative to base of support. Clinical Biomechanics. 2001;16:167–173. doi: 10.1016/s0268-0033(00)00076-0. [DOI] [PubMed] [Google Scholar]






