Abstract
Background
Chronic idiopathic urticaria (CIU) is considered a complex and multifactorial disease. Excessive histamine intake may induce an attack of urticaria. The main enzyme for histamine metabolism is diamine oxidase (DAO).
Objective
Plasma histamine concentrations and DAO activities were evaluated to determine whether there are abnormalities in the histamine metabolism of CIU patients.
Methods
Seventy-five CIU patients and twenty-five healthy control subjects were included in the study. Blood was taken from all subjects to measure plasma levels of the histamine and DAO.
Results
Mean plasma histamine levels were significantly higher in CIU patients (11.59±10.98 nM) than in the control subjects (8.75±2.55 nM) (p=0.04). Mean DAO activities were lower in patients of CIU (80.86±26.81 histamine degrading unit [HDU]/ml) than in the controls (81.60±9.67 HDU/ml), but without significant difference. In 15 CIU patients with gastrointestinal symptoms, the mean histamine concentration was higher (12.43±7.97 nM) and DAO activity was lower (77.93±27.53 HDU/ml) than in the remaining 60 CIU patients without gastrointestinal symptoms (11.38±11.67 nM and 81.58±26.82 HDU/ml), without significant difference. The relationship between DAO activity and plasma histamine concentrations showed a significant negative linear value (p=0.001). There were no significant relationships between plasma histamine concentrations and symptom severity score.
Conclusion
In CIU patients, a high plasma histamine concentration may not be explained by DAO activity. CIU patients with gastrointestinal (GI) symptoms showed no significantly lower DAO activity. Larger group studies are required to elucidate the relationship between plasma histamine concentrations and DAO activity, especially of CIU patients with GI symptomsto understand the difference in CIU patients with and without GI symptoms.
Keywords: Chronic urticaria, Diamine oxidase, Gastrointestinal, Histamine, Pseudoallergic reaction
INTRODUCTION
Chronic idiopathic urticaria (CIU) is defined as frequent episodes of urticaria of unknown origin for more than 6 weeks1. Food allergies, food additives, infection, hormonal abnormalities, metabolic diseases, and malignancyare among the possible causes of CIU2. CIU is generally considered a complex and multifactorial disease, so establishing etiological diagnoses remains difficult2.
Histamine is one of the most important mediators in urticaria. Ingestion of histamine-rich food such as scombroid fish, processed meat, cheese, wine and drugs can induce symptoms mimicking allergic reactions3,4. Gastrointestinal (GI) symptoms are not frequent but can accompany severe attacks of urticaria1. Excessive intake of histamine-rich food may induce an attack of urticaria, which is described as histamine-mediated pseudo-allergic reactions or pseudo-food allergies5. Pseudo-allergic reactions are defined as clinical reactions resembling allergic reactions without distinct immunologic sensitization6. As a result, some cases of CIU could be clinical manifestations of pseudoallergic reactions. The main causes of pseudo-allergic reactions include not only drugs or contrast media, but also altered histamine metabolism6.
The main enzyme for histamine metabolism is diamine oxidase (DAO), which is mainly present in intestinal epithelial cells7,8. Defects in histamine degradation are due to reduced DAO activity and related to excessive histamine-induced pseudo-allergic reactions9. However, there have been only a few reports on the pathophysiology of histamine-mediated pseudo-allergic reactions involving plasma histamine and DAO activity, especially in CIU9-12.
This is a study to determine the relationship between plasma histamine concentrations and DAO activities in CIU.
MATERIALS AND METHODS
Subjects
This study included patients who were diagnosed with CIU at the Department of Dermatology, Kangnam Sacred Heart Hospital, Seoul, Korea between September 2007 and March 2010. Two dermatologists in the hospital diagnosed patients according to their symptoms and history. Subjects with any abnormalities in complete blood cell counts, liver functions tests, urinalysis, thyroid function tests (including anti-thyroid peroxidase antibody and antithyroglobulin antibody), autologous skin tests and radioallergosorbent tests (CAP-RASTs) or skin prick tests for specific allergens were excluded from the present study. Patients who had received any medical treatment within 2 weeks or had a tendency to excessive alcohol drinking were also excluded.
Seventy-five CIU patients (45 males and 30 females) and 25 healthy control subjects (14 males and 11 females) were enrolled in the study. Of the 75 CIU patients, 60 (35 males and 25 females) had no GI symptoms (group A) and the remaining 15 (10 males and 5 females) reported that they frequently experienced more than one of the following GI symptoms related to the episodes of urticaria: diffuse stomachache, colic, flatulence and diarrhea (group B). Control subjects were chosen from the healthy volunteers those who were without a previous history of urticaria or other allergic diseases including asthma, atopic dermatitis and allergic rhinitis (group C) (Table 1).
Table 1.
Demographics of study subjects

Values are presented as number or mean±standard deviation. Group A: patients without gastrointestinal symptoms, Group B: patients with gastrointestinal symptoms, Group C, healthy control subjects. There were no significant differences between the 3 groups in sex ratio, mean age at visit, and mean duration of disease. M: male, F: female.
This study protocol was approved by the Institutional Review Board of Kangnam Sacred Heart Hospital. Informed consent was obtained from all participants.
Assessment of demographic information and symptom severity
We examined the demographic information including gender, mean age at visit, mean duration of disease and symptom severity. The severity of symptoms was rated on a 4 point scale of symptom severity13. The score included the total number of lesions, number of separate episodes of wheals, average size of lesions, average duration of lesions, and episodes of pruritus for the previous 24 hours. The items were given a score of 0~3, so total score for 5 items ranged from 0 to 15.
Plasma histamine assay
Blood samples were drawn from all patients and control subjects between 10 a.m. and noon, during urticaria skin reactions. All subjects were confirmed as not having eaten histamine-rich foods (sausages, tuna, mackerel, and other histamine-rich foods in Korea) within the previous day, because the uncontrolled intake of histamine-rich foods could alter the plasma histamine concentrations4. The samples were immediately centrifuged at 4℃ (1,600 g for 20 minutes). Plasma was separated and kept at -20℃ until needed. Histamine assay was performed in one run with a histamine enzyme immunoassay kit (SPI-Bio, Montigny le Bretonneux, France).
DAO activity assay
Blood samples were obtained and collected by the aforementioned method. DAO in plasma samples was measured by enzyme immunoassay for the quantitative determination of histamine degradation by DAO (Sciotec, Tulln, Austria). The result was given in histamine degrading unit (HDU)/ml indicating DAO activity that degrades 1 pmol/ml (0.11 ng/ml) of histamine. The reference values from the manufacturer's instructions for DAO are as follows: DAO>80 HDU/ml indicates normal activity, 40~80 HDU/ml indicates reduced activity, and <40 HDU/ml indicates markedly reduced activity.
Statistical analysis
All statistical analyses were conducted by using SPSS 12.0 for Windows (SPSS Inc., Chicago, IL, USA). The results obtained from the patient and control groups were compared by using Student's t-test, Pearson's correlation, simple linear regression analysis and Pearson's chi-square test. Null hypotheses of no difference were rejected if p-values were less than 0.05.
RESULTS
Assessment of demographic information and symptom severity
The baseline characteristics of subjects (patient group, group A+B; control group, group C) are summarized in Table 1. There were no significant differences in sex ratio, mean age at visit or mean duration of disease. Group A did not differ significantlyin symptom severity score (8.91±4.93) from group B (8.74±3.54) (p=0.458) (Table 2).
Table 2.
Symptom severity scores of chronic urticaria patients

Values are presented as mean±standard deviation or number (%). Group A: patients without gastrointestinal symptoms, Group B: patients with gastrointestinal symptoms. *The severities of urticaria were classified as follows; no symptoms (0 point), mild uriticaria (1~4 points), moderate urticaria (5~9 points), severe urticaria (≥10 points). There were no significant differences between groups A and B (p=0.458).
Plasma histamine assay
The mean plasma histamine concentration was 11.59±10.98 nM in the patient group (group A+B) and 8.75±2.55 nM in the control group (group C), a significant difference (p=0.04). However, when the patient group was separated by GI symptoms and compared to group C, neither group A (11.38±11.67 nM) nor Group B (12.43±7.97 nM) showed significantly higher mean plasma histamine concentrations than group C (p=0.102 and 0.102, respectively). The mean plasma histamine concentration was higher in group B than in group A, but the difference was not statistically significant (p=0.743) (Fig. 1).
Fig. 1.
The patients group (groups A and B) shows significantly higher mean plasma histamine concentrations than group C (p=0.04). Group B shows the highest plasma histamine level among the 3 groups. Group A: patients without gastrointestinal symptoms, Group B: patients with gastrointestinal symptoms, Group C: healthy control subjects. *p<0.05.
DAO activity assay
DAO activity was 80.86±26.81 HDU/ml in the patient group (group A+B), and 81.60±9.67 HDU/ml in the control group (group C), but the difference was not statistically significant (p=0.839). DAO activity was 77.93±27.53 HDU/ml in group B and 81.58±26.82 HDU/ml in group A, but the difference was not statistically significant (p=0.640) (Fig. 2). The differences between group B and C and between A and C were not significant (p=0.545 and 0.997, respectively). The patient group showed a 57.3% decrease in DAO activity compared to the reference value (DAO less than 80 HDU/ml), while the control group (group C) showed a 40% decrease in DAO activity, but the difference was not statistically significant (p=0.133).
Fig. 2.
DAO activity in the patients group (groups A and B) and group C dose not show significant differences (p=0.839). Group B shows the lowest DAO activity among the 3 groups. Group A: patients without gastrointestinal symptoms, Group B: patients with gastrointestinal symptoms, Group C: healthy control subjects. DAO: diamine oxidase, HDU: histamine degrading unit.
Correlation between plasma histamine concentrations, DAO activity and symptom severity score
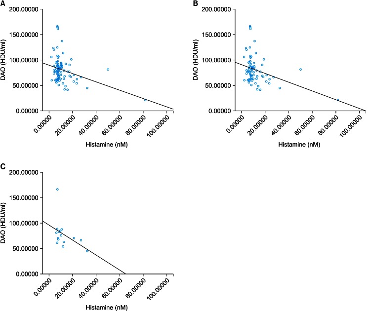
In all subjects, the relationship between DAO activity and plasma histamine concentrations was evaluated by Pearson's correlation coefficients, showing a significant negative linear correlation (r=-0.335, p=0.001). The negative linear values were more evident in the patient group (group A+B) (n=75, r=-0.352, p=0.002) than group B alone (n=15, r=-0.462, p=0.114) (Fig. 3). Higher absolute values of r meant a higher slope value, indicating a steeper incline. Regression analysis was performed to confirm the relationship. In all subjects, R-square was 0.112 and modified R-square was 0.103 (p=0.001). In the patient group, R-square was 0.124 and modified R-square was 0.112 (p=0.002), while in group B alone, R-square was 0.181 and modified R-Square was 0.118 (p=0.114). An R-square value of 0.103 meant that changes in DAO activity account for 10.3% of changes in plasma histamine concentration. Modified R-square is the revised value while accounting for the number of independent variables.
Fig. 3.
Correlation coefficients between the plasma histamine level and DAO activity, show significant negative linear values in all subjects (A: n=100, r=-0.335, p=0.001). The negative linear values are more evident in group A+B (B: n=75, r=-0.352, p=0.002). In group B alone, there was no significant correlation (C: n=15, r=-0.462, p=0.114). Group A: patients without gastrointestinal symptoms, Group B: patients with gastrointestinal symptoms, Group C: healthy control subjects. DAO: diamine oxidase, HDU: histamine degrading unit.
The relationship between plasma histamine concentration and the symptom severity score was not statistically significant (n=75, r=0.072, p=0.371).
DISCUSSION
The aim of the present study was to evaluate plasma histamine concentration and DAO activity in CIU patients and to determine whether there are abnormalities in histamine metabolism in CIU patients.
The main mechanism for histamine increase in CIU patients is mast cell degranulation and histamine release, and many CIU patients relate their symptoms to food14. Thus, in approaching CIU patients, the relationship between foods and 'histamine intolerance' should be considered. Histamine intolerance results from the disequilibrium of histamine stores and the ability to degrade histamine15. Increased plasma histamine concentration can be induced by several causes: endogenous histamine overproduction due to allergic reactions, mastocytosis, bacteria or gastrointestinal bleeding, and increased exogenous ingestion of histidine or histamine through food or alcohol. Impaired histamine degradation is a more significant cause of histamine intolerance than increased total histamine levels15. Histamine is mainly metabolized in two ways: the oxidative deamination of DAO and the ring methylation of histamine-N-methyltransferase (HNMT)16. Impaired histamine degradation is caused by genetic or acquired impairment of the enzymatic function of DAO or HNMT10. Alcohol, drugs and other biogenic amines competitively inhibit histamine degradation of DAO17,18.
DAO, formerly called histaminase, is a degradation enzyme for the catabolic pathway of polyamines. It is regarded as the primary enzyme in histamine metabolism8,15,19 and is expressed in mucous membranes of the small bowel, ascending colon, placenta and kidney, especially in the intestinal mucosa20. DAO activity is decreased in patients with intestinal mucosal damage from inflammatory and neoplastic diseases or in those who are undergoing chemotherapy21. Plasma DAO originates from the intestine and is in concordance with mucous DAO activity12,22. HNMT is expressed in the kidneys, liver, spleen, colon, prostate, ovaries, spinal cord cells, bronchi and trachea, and is most abundant in the bronchial epithelium23. In our study, CIU patients were classified by the presence of frequent GI symptoms because GI symptoms are one of the most frequent symptoms of histamine intolerance, and DAO is mainly expressed and active in the gut mucosa. Our analysis of 75 patients indicated that the mean plasma histamine concentration was higher in CIU patients, especially those with GI symptoms, than in the control subjects. However, DAO activity did not showed a significant difference between CIU patients and controls. DAO activity in the control subjects and patients without GI symptoms were almost the same, while in patients with GI symptoms showed a slightly lower DAO activity. The mean plasma histamine concentration and DAO activity showed a negative relationship (Modified R-square value 0.103), suggesting that a high plasma histamine level is related to low DAO activity.
Previous studies have attempted to determine the relationship between histamine plasma concentration and DAO activity in CIU patients. Guida et al.19 reported that plasma histamine concentration is higher in CIU patients than in the control subjects and that the reduced level of DAO activity is not affected by the ingestion of oligoantigenics and histamine-free diets. Lessof et al.22 suggested that patients with urticaria express low DAO activity, especially in those with GI symptoms. Jarisch et al.24 found decreased DAO activities and normal plasma histamine levels in patients with recurrent urticaria. Pollock et al.9 noted that in CIU patients, histamine levels are not elevated at the resting state, similar to the control subjects, but the levels are elevated after histamine infusion unlike the control subjects. They also indicated that DAO activity decreases in CIU patients, causing prolonged half-life of plasma histamine levels after histamine infusion. In summary, previous studies found a tendency for higher plasma histamine levels and lower DAO activities in CIU patients, but their results are inconsistent because of insufficient numbers of subjects, different methods and different patient groups.
In this study, higher plasma histamine concentrations in CIU patients agreed with previous studies. This result was significant because it was obtained from a relatively large number of subjects (n=100). However, there was no significant relationship between plasma histamine concentration and the mean symptom severity score, which could be due to difference in individual threshold for histamine-induced symptoms9. DAO activity showed a slightly decreasing tendency in CIU patients with GI symptoms as opposed to CIU patients without GI symptoms or the control subjects, although there were no significant differences. These insignificant outcomes regarding low DAO activity in CIU patients with GI symptoms could be due to the small number of subjects (n=15). Since DAO is mainly distributed in intestinal epithelial cells, abnormalities in these cells could result in low intestinal DAO activities25. GI symptoms are the most common symptom of histamine intolerance, so CIU patients with GI symptoms could have damaged barrier function leading to excessive histamine absorption in the GI tract although the effect on CIU is limited. In contrast, most CIU patients without GI symptoms did not show any relationship between their DAO activity and high plasma histamine concentration, suggesting that the DAO activity is not the main inducing factor in CIU. This indicates that larger group studies are required to elucidate the relationship between plasma histamine concentrations and DAO activity in CIU patients with GI symptoms, as well as the role of other histamine metabolic pathways such as HNMT should be considered in CIU. Recent studies have revealed that HMNT polymorphism may increase the risk of allergic disease such as asthma or atopic dermatitis26,27. In addition, the histamine synthesis from histidine by L-histidine decarboxylase (HDC) also could be considered, as polymorphism in the HDC gene could be related to the other allergic disease, allergic rhinitis28.
In conclusion, the results of this study suggest that a high plasma histamine concentration in CIU patients may not be explained by DAO activity. CIU patients with GI symptoms showed a slightly lower DAO activity, although the relationship was not statistically significant. Further studies are needed that include larger numbers of subjects, especially of CIU patients with GI symptoms in order to understand the differences in the mechanism of urticaria between CIU patients with and without GI symptoms, including the difference in the response to low histamine diets and the role of other histamine metabolic pathways in CIU patients.
ACKNOWLEDGMENT
This study was supported by Basic Science Research Program through the National Research Foundation of Korea (NRF) funded by the Ministry of Education, Science and Technology (No. 2011-0013003 and No. 2012R1A1B3002196) and by a grant from Amore Pacific Co. Ltd, 2011.
References
- 1.Greaves M. Chronic urticaria. J Allergy Clin Immunol. 2000;105:664–672. doi: 10.1067/mai.2000.105706. [DOI] [PubMed] [Google Scholar]
- 2.Kaplan AP. Urticaria and angioedema. In: Wolff K, Goldsmith LA, Katz SI, Gilchrest BA, Paller AS, Leffell DJ, editors. Fitzpatrick's dermatology in general medicine. 7th ed. New York: McGraw-Hill Medical; 2008. pp. 330–343. [Google Scholar]
- 3.Bodmer S, Imark C, Kneubühl M. Biogenic amines in foods: histamine and food processing. Inflamm Res. 1999;48:296–300. doi: 10.1007/s000110050463. [DOI] [PubMed] [Google Scholar]
- 4.Choi JH, Park CW, Lee CH. A study of histamine content in food in Korea. Korean J Dermatol. 2007;45:768–771. [Google Scholar]
- 5.Kanny G, Moneret-Vautrin DA, Schohn H, Feldman L, Mallie JP, Gueant JL. Abnormalities in histamine pharmacodynamics in chronic urticaria. Clin Exp Allergy. 1993;23:1015–1020. doi: 10.1111/j.1365-2222.1993.tb00293.x. [DOI] [PubMed] [Google Scholar]
- 6.Reese I, Zuberbier T, Bunselmeyer B, Erdmann S, Henzgen M, Fuchs T, et al. Diagnostic approach for suspected pseudoallergic reaction to food ingredients. J Dtsch Dermatol Ges. 2009;7:70–77. doi: 10.1111/j.1610-0387.2008.06894.x. [DOI] [PubMed] [Google Scholar]
- 7.Silla Santos MH. Biogenic amines: their importance in foods. Int J Food Microbiol. 1996;29:213–231. doi: 10.1016/0168-1605(95)00032-1. [DOI] [PubMed] [Google Scholar]
- 8.Schwelberger HG. Histamine intolerance: a metabolic disease? Inflamm Res. 2010;59(Suppl 2):S219–S221. doi: 10.1007/s00011-009-0134-3. [DOI] [PubMed] [Google Scholar]
- 9.Pollock I, Murdoch RD, Lessof MH. Plasma histamine and clinical tolerance to infused histamine in normal, atopic and urticarial subjects. Agents Actions. 1991;32:359–365. doi: 10.1007/BF01980899. [DOI] [PubMed] [Google Scholar]
- 10.Petersen J, Drasche A, Raithel M, Schwelberger HG. Analysis of genetic polymorphisms of enzymes involved in histamine metabolism. Inflamm Res. 2003;52(Suppl 1):S69–S70. doi: 10.1007/s000110300059. [DOI] [PubMed] [Google Scholar]
- 11.Smith CH, Soh C, Lee TH. Cutaneous histamine metabolism in chronic urticaria. J Allergy Clin Immunol. 1992;89:944–950. doi: 10.1016/0091-6749(92)90216-o. [DOI] [PubMed] [Google Scholar]
- 12.Rokkas T, Vaja S, Taylor P, Murphy GM, Dowling RH. Is the intestine the sole source of heparin-stimulated plasma diamine oxidase? Acute effects of jejunectomy, ileectomy and total enterectomy. Digestion. 1990;46(Suppl 2):439–446. doi: 10.1159/000200419. [DOI] [PubMed] [Google Scholar]
- 13.Breneman D, Bronsky EA, Bruce S, Kalivas JT, Klein GL, Roth HL, et al. Cetirizine and astemizole therapy for chronic idiopathic urticaria: a double-blind, placebo-controlled, comparative trial. J Am Acad Dermatol. 1995;33:192–198. doi: 10.1016/0190-9622(95)90233-3. [DOI] [PubMed] [Google Scholar]
- 14.Kulthanan K, Jiamton S, Thumpimukvatana N, Pinkaew S. Chronic idiopathic urticaria: prevalence and clinical course. J Dermatol. 2007;34:294–301. doi: 10.1111/j.1346-8138.2007.00276.x. [DOI] [PubMed] [Google Scholar]
- 15.Maintz L, Novak N. Histamine and histamine intolerance. Am J Clin Nutr. 2007;85:1185–1196. doi: 10.1093/ajcn/85.5.1185. [DOI] [PubMed] [Google Scholar]
- 16.Schwelberger HG. Diamine oxidase (DAO) enzyme and gene. In: Falus A, Grosman N, Darvas Z, editors. Histamine : biology and medical aspects. Basel, Switzerland: Karger, Budapest, Hungary: SpringMed Pub.; 2004. pp. 43–52. [Google Scholar]
- 17.Zimatkin SM, Anichtchik OV. Alcohol-histamine interactions. Alcohol Alcohol. 1999;34:141–147. doi: 10.1093/alcalc/34.2.141. [DOI] [PubMed] [Google Scholar]
- 18.Sattler J, Lorenz W. Intestinal diamine oxidases and enteralinduced histaminosis: studies on three prognostic variables in an epidemiological model. J Neural Transm Suppl. 1990;32:291–314. doi: 10.1007/978-3-7091-9113-2_39. [DOI] [PubMed] [Google Scholar]
- 19.Guida B, De Martino CD, De Martino SD, Tritto G, Patella V, Trio R, et al. Histamine plasma levels and elimination diet in chronic idiopathic urticaria. Eur J Clin Nutr. 2000;54:155–158. doi: 10.1038/sj.ejcn.1600911. [DOI] [PubMed] [Google Scholar]
- 20.Raithel M, Küfner M, Ulrich P, Hahn EG. The involvement of the histamine degradation pathway by diamine oxidase in manifest gastrointestinal allergies. Inflamm Res. 1999;48(Suppl 1):S75–S76. doi: 10.1007/s000110050414. [DOI] [PubMed] [Google Scholar]
- 21.Raithel M, Ulrich P, Hochberger J, Hahn EG. Measurement of gut diamine oxidase activity. Diamine oxidase as a new biologic marker of colorectal proliferation? Ann N Y Acad Sci. 1998;859:262–266. doi: 10.1111/j.1749-6632.1998.tb11142.x. [DOI] [PubMed] [Google Scholar]
- 22.Lessof MH, Gant V, Hinuma K, Murphy GM, Dowling RH. Recurrent urticaria and reduced diamine oxidase activity. Clin Exp Allergy. 1990;20:373–376. doi: 10.1111/j.1365-2222.1990.tb02796.x. [DOI] [PubMed] [Google Scholar]
- 23.Yamauchi K, Sekizawa K, Suzuki H, Nakazawa H, Ohkawara Y, Katayose D, et al. Structure and function of human histamine N-methyltransferase: critical enzyme in histamine metabolism in airway. Am J Physiol. 1994;267:L342–L349. doi: 10.1152/ajplung.1994.267.3.L342. [DOI] [PubMed] [Google Scholar]
- 24.Jarisch R, Beringer K, Hemmer W. Role of food allergy and food intolerance in recurrent urticaria. Curr Probl Dermatol. 1999;28:64–73. doi: 10.1159/000060601. [DOI] [PubMed] [Google Scholar]
- 25.Schwelberger HG. Histamine intolerance: overestimated or underestimated? Inflamm Res. 2009;58(Suppl 1):51–52. doi: 10.1007/s00011-009-2004-4. [DOI] [PubMed] [Google Scholar]
- 26.Yan L, Galinsky RE, Bernstein JA, Liggett SB, Weinshilboum RM. Histamine N-methyltransferase pharmacogenetics: association of a common functional polymorphism with asthma. Pharmacogenetics. 2000;10:261–266. doi: 10.1097/00008571-200004000-00007. [DOI] [PubMed] [Google Scholar]
- 27.Kennedy MJ, Loehle JA, Griffin AR, Doll MA, Kearns GL, Sullivan JE, et al. Association of the histamine N-methyltransferase C314T (Thr105Ile) polymorphism with atopic dermatitis in Caucasian children. Pharmacotherapy. 2008;28:1495–1501. doi: 10.1592/phco.28.12.1495. [DOI] [PMC free article] [PubMed] [Google Scholar]
- 28.Gervasini G, Agúndez JA, García-Menaya J, Martínez C, Cordobés C, Ayuso P, et al. Variability of the L-Histidine decarboxylase gene in allergic rhinitis. Allergy. 2010;65:1576–1584. doi: 10.1111/j.1398-9995.2010.02425.x. [DOI] [PubMed] [Google Scholar]



