Abstract
Background
Prior studies suggest that serotoninergic neurotransmission reduces β-amyloid (Aβ) production.
Objective
To determine whether serotoninergic system degeneration in Parkinson disease promotes Aβ deposition, using in vivo positron emission tomographic probes of serotonin system integrity and Aβ deposition.
Design, Setting, and Patients
Cross-sectional study of 13 subjects with Parkinson disease from the movement disorders clinics at the University of Michigan Health System and Veterans Affairs Ann Arbor Healthcare System, with positron emission tomography using the serotonin transporter ligand carbon 11 ([11C])–labeled 3-amino-4-(2-dimethylaminomethyl-phenylsulfaryl)-benzonitrile (DASB) and the Aβ ligand [11C]Pittsburgh compound B.
Results
Inverse correlations were found between DASB and Pittsburgh compound B distribution volume ratios in the neocortex (ρ=−0.577; P=.04) and striatum (ρ=−0.780; P=.002).
Conclusion
Serotoninergic system degeneration in Parkinson disease may promote the development of cerebral amyloidopathy.
Production and deposition of β-amyloid (Aβ) are probably central to the pathogenesis of Alzheimer disease and related disorders such as dementia with Lewy bodies. Experimental evidence suggests that Aβ production is modulated by synaptic activity and by activation of specific neurotransmitter receptors, including N-methyl-D–aspartic acid receptors, M1 muscarinic cholinergic receptors, and serotonin receptors.1–5 Recent animal studies suggest that augmentation of serotoninergic neurotransmission by selective serotonin reuptake inhibitors (SSRIs) may have a neuroprotective influence on the development of cerebral amyloidopathy.6 Cirrito et al6 also reported retrospective human data suggesting that SSRI use reduced Aβ deposition in humans as measured by carbon 11 ([11C])–labeled Pittsburgh compound B (PiB) positron emission tomography (PET).
These results suggest that there should be an inverse correlation between regional cerebral Aβ deposition and serotoninergic innervation. Variable degeneration of serotoninergic projections occurs early in Parkinson disease (PD), as does variable Aβ deposition.7,8 Regional serotonin projection integrity can be estimated in vivo with PET and the serotonin transporter ligand [11C]3-amino-4-(2-dimethylaminomethyl-phenylsulfaryl)-benzonitrile (DASB). We performed a cross-sectional study of serotonin projection system integrity and regional Aβ deposition in 13 subjects with PD to test the hypothesis of an inverse correlation between regional serotoninergic denervation and cerebral amyloidopathy.
METHODS
SUBJECTS
This study involved 13 subjects (12 male, 1 female) with PD, all of whom underwent DASB serotonin transporter and PiB Aβ PET imaging (Table 1). Subjects were recruited from the movement disorders clinics at the University of Michigan Health System and Veterans Affairs Ann Arbor Healthcare System. No subjects in our cohort were on serotoninergic medications at enrollment or at the time of PET imaging. No subjects endorsed a previous history of antidepressant use. All subjects met the UK Parkinson Disease Society Brain Bank clinical diagnostic criteria for PD.9 Diagnosis of PD was confirmed by the presence of typical nigrostriatal dopaminergic denervation on [11C]dihydrotetrabenazine (DTBZ) PET imaging. Subjects underwent a detailed clinical evaluation, including physical examination by a movement disorders specialist. The University of Michigan Institutional Review Board approved this study.
Table 1.
Demographic Information for 13 Subjects With Parkinson Disease
| Characteristic | Value |
|---|---|
| Age, mean (SD), y | 68.38 (4.77) |
| Male/female, No. | 12/1 |
| Duration of disease, mean (SD), y | 4.77 (4.02) |
| Score, mean (SD) | |
| Hoehn and Yahr scale | 2.65 (0.47) |
| MDS-UPDRS motor subscale | 33.7 (12.4) |
| MoCA | 24.3 (2.0) |
| GDS | 9.15 (6.34) |
Abbreviations: GDS, Geriatric Depression Scale; MDS-UPDRS, Movement Disorders Society–Unified Parkinson’s Disease Rating Scale; MoCA, Montreal Cognitive Assessment.
IMAGING TECHNIQUES
All subjects underwent brain magnetic resonance imaging for anatomic coregistration, DTBZ-PET, DASB-PET, and PiB-PET.
Magnetic resonance imaging was performed on a 3-T Achieva system (Philips) using an 8-channel head coil and the ISOVOX examination card protocol primarily designed to yield isotropic spatial resolution. A standard T1-weighted series of a 3-dimensional inversion recovery–prepared turbo field echo was performed in the sagittal plane using the following parameters: repetition time, 9.8 milliseconds; echo time, 4.6 milliseconds; inversion time, 1041 milliseconds; turbo factor, 200; single average; field of view, 240 × 200 × 160 mm; and acquired matrix, 240 × 200. One hundred sixty slices were reconstructed to 1-mm isotropic resolution. This sequence maximizes contrast among gray matter, white matter, and cerebrospinal fluid and provides high-resolution delineation of cortical and subcortical structures.
Imaging with DTBZ-PET, DASB-PET, and PiB-PET was performed in 3-dimensional imaging mode using an ECAT HR+ tomograph (Siemens Molecular Imaging, Inc), which acquires 63 transaxial slices (slice thickness, 2.4 mm; intrinsic in-plane resolution, 4.1 mm; full width at half maximum; 15.2-cm axial field of view). A NeuroShield head holder and shielding unit (Scanwell Systems) was attached to the patient’s bed to reduce the contribution of detected photon events originating from the body outside the scanner’s field of view. Prior to DTBZ, DASB, and PiB injections, a 5-minute transmission scan was acquired using rotating germanium 68 rods for attenuation correction of emission data using the standard vendor-supplied segmentation and reprojection routines. All subjects were studied in the supine position, with eyes and ears unoccluded, resting quietly in a dimly lit room.
Monoaminergic DTBZ was prepared as reported previously.10 Dynamic PET scanning was performed for 60 minutes immediately following a bolus injection of 55% of a 555-MBq (15 mCi) dose of (+)-[11C]DTBZ (containing <50 μg of cold DTBZ mass) over the first 15 to 30 seconds of the study, while the remaining 45% of the dose was continuously infused over the next 60 minutes, resulting in stable arterial tracer levels and equilibrium with brain tracer levels after 30 minutes.11 A series of 15 scan frames over 60 minutes was obtained as the following: 4 scan frames over 30 seconds; 3 scan frames over 1 minute; 2 scan frames over 2.5 minutes; 2 scan frames over 5 minutes; and 4 scan frames over 10 minutes.
Serotoninergic DASB-PET studies were acquired as 17 sequential emission scans. A series of 17 scan frames over 80 minutes was obtained as the following: 4 scan frames over 30 seconds; 3 scan frames over 1 minute; 2 scan frames over 2.5 minutes; 2 scan frames over 5 minutes; and 6 scan frames over 10 minutes. Radiotracer was administered as a bolus (666 MBq [18 mCi] of [11C]DASB containing <8 μg of cold DASB) plus constant infusion using 70% as a slow bolus over 30 seconds, followed by constant infusion of the remaining 30% over the 80-minute study duration.7 The Aβ [11C]PiB-PET scans were performed similarly using a bolus and infusion protocol acquiring 17 frames over 80 minutes, with a priming bolus of 40% of the radioactive dose followed by continuous infusion of the remaining 60% over the 80-minute study using a dose of 666 MBq (18 mCi).12 Ten of 13 subjects had DASB-PET and PiB-PET scans acquired on the same day, with the longest interval between scans being 70 days.
Interactive Data Language image analysis software (Research Systems Inc) was used to manually trace volumes of interest (VOIs) on magnetic resonance images including the striatum and cerebellum. Mesencephalic VOIs were defined by the mean of the substantia nigra and midbrain raphe complex. Total neocortical VOI was defined using semiautomated threshold delineation of the cortical gray matter signal. All image frames were spatially coregistered within subjects with a rigid-body transformation to reduce the effects of subject motion during the imaging session. Motion-corrected PET frames were spatially coregistered to the T1-weighted magnetic resonance image using standard coregistration procedures in SPM8b implemented in Matlab 2010b software (MathWorks). Time activity curves for each VOI were generated from the spatially aligned PET frames. The DTBZ, DASB, and PiB distribution volume ratios (DVRs) were estimated by the Logan plot graphical analysis method,13 with the time-activity curves as the input function and with the inferior posterior cerebellum as reference tissue for both PiB and DASB14,15 and the neocortex as reference tissue for [11C]DTBZ.13,16,17 Spearman rank order correlation was used to estimate the association between DASB and PiB DVR values (SAS version 9.1 statistical software; SAS Institute, Inc). Multiple regression analysis with rank transformation of striatal DASB and DTBZ was used to determine whether findings of striatal amyloidopathy are associated with these 2 markers of progressive neurodegeneration in PD.
RESULTS
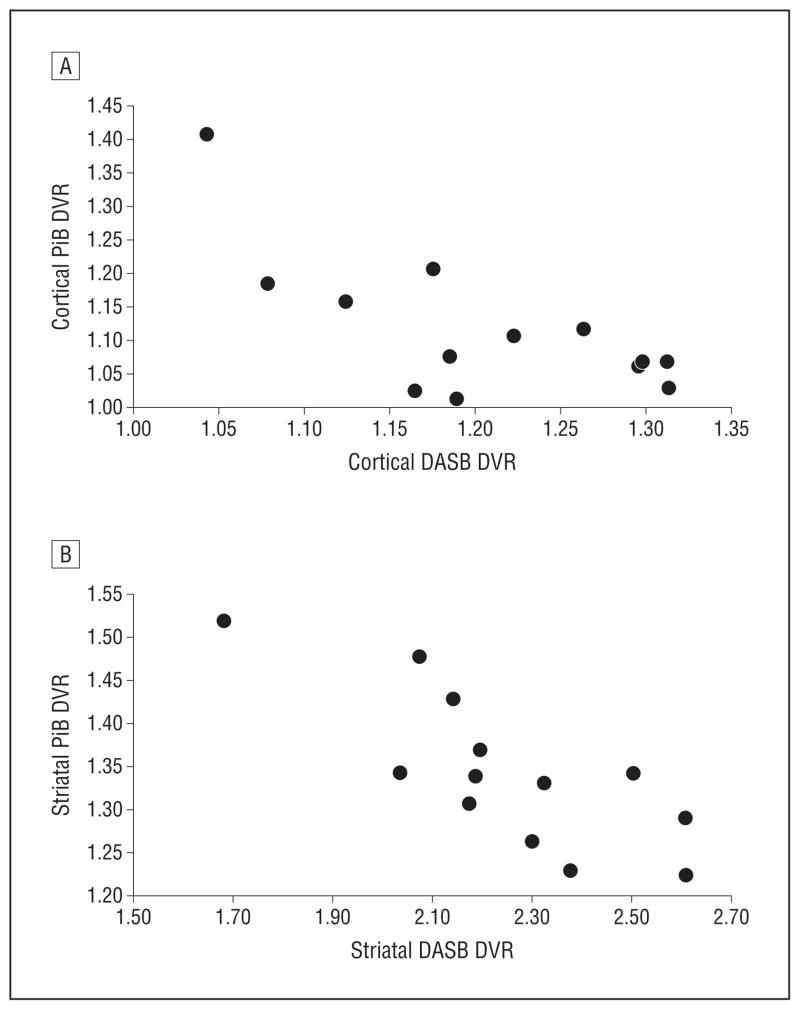
An inverse relationship between the DASB and PiB DVRs was noted in the cortex (ρ = −0.577; P = .04) and striatum (ρ = −0.780; P = .002). The Figure1 shows the distribution of the neocortical and striatal DASB and PiB DVRs for the 13 subjects in our cohort. Table 2 shows Spearman correlation coefficients between the PiB and DASB DVRs in the 2 regions of interest. Table 3 shows limited region-specific DVRs for DTBZ-PET, DASB-PET, and PiB-PET.
Figure.
Scatterplots depicting the relationships between carbon 11 ([11C])–labeled 3-amino-4-(2-dimethylaminomethyl-phenylsulfaryl)-benzonitrile (DASB; serotonin transporter measure) and [11C]Pittsburgh compound B (PiB; amyloid measure) distribution volume ratios (DVRs) in the neocortex (A) and striatum (B).
Table 2.
Spearman Correlation Coefficients Between Regional DASB and PiB Distribution Volume Ratios
| Region of Interest | ρ | P Value |
|---|---|---|
| Cortical PiB and cortical DASB | −0.577 | .04 |
| Cortical PiB and midbrain DASB | −0.615 | .02 |
| Striatal PiB and striatal DASB | −0.780 | .002 |
| Striatal PiB and midbrain DASB | −0.681 | .01 |
Abbreviations: DASB, carbon 11–labeled 3-amino-4-(2-dimethylaminomethyl-phenylsulfaryl)-benzonitrile; PiB, carbon 11–labeled Pittsburgh compound B.
Table 3.
Distribution Volume Ratios of DTBZ, DASB, and PiB for Each Region of Interest
| Region of Interest | DVR, Mean (SD)
|
||
|---|---|---|---|
| DTBZ | PiB | DASB | |
| Striatum | 1.972 (0.328) | 1.344 (0.089) | 2.247 (0.253) |
| Neocortex | 1.118 (0.106) | 1.205 (0.089) | |
| Midbrain | 2.467 (0.388) | ||
Abbreviations: DASB, carbon 11–labeled 3-amino-4-(2-dimethylaminomethyl-phenylsulfaryl)-benzonitrile; DTBZ, carbon 11–labeled dihydrotetrabenazine; DVR, distribution volume ratio; PiB, carbon 11–labeled Pittsburgh compound B.
To explore whether the association between regional serotoninergic terminal integrity and amyloidopathy was attributable to advancing nonspecific neurodegeneration, we performed multiple regression analysis using a rank transformation for each variable to allow for linear regression of striatal findings, with PiB DVR as the dependent variable and DASB and DTBZ DVRs as the independent variables. The overall model (F = 5.50; P = .02) was significant only for DASB (t = −2.90; P = .02) and not for DTBZ (t = −0.54; P = .60) as independent variables, consistent with a specific association between striatal serotoninergic denervation and striatal amyloid deposition.
The inverse correlations between neocortical and striatal amyloid burden and neocortical and striatal serotoninergic terminal integrity should be reflected in similar correlations between mesencephalic DASB and supratentorial amyloid binding. Therefore, a post hoc analysis was performed. It confirmed the relationship between mesencephalic serotoninergic system integrity (the primary source of forebrain serotoninergic projections) and cortical and striatal amyloid burden (cortex: ρ = −0.615, P = .02; striatum: ρ = −0.681, P = .01) (Table 2).
COMMENT
Our results suggest that the degree of regional forebrain serotoninergic denervation correlates inversely with neocortical and striatal cerebral amyloidopathy in PD. These findings are consistent with those of Cirrito et al,6 who described decreased amyloid burden in cognitively normal elderly subjects with a history of SSRI treatment compared with cognitively normal elderly subjects without a history of SSRI treatment. This group also demonstrated that SSRI treatment reduces brain interstitial fluid Aβ levels and amyloid plaque deposition in a murine transgenic Alzheimer disease model. Prior experimental in vitro and murine genetic model studies indicated that increasing serotoninergic neurotransmission reduces Aβ production and deposition.1,18
Strong association between regional serotoninergic denervation and amyloidopathy was found in both the striatum and the neocortex. The relatively large size of these VOIs, particularly the neocortical VOI, provides robust statistics for our analyses. Post hoc analysis of midbrain DASB binding is also consistent with an inverse association between amyloid burden and serotonin system pathology. Prominent striatal changes may reflect the pathobiology of amyloidopathy in PD without dementia, which is characterized by greater involvement of the striatum compared with the neocortex.19 Longitudinal DASB-PET and PiB-PET studies of cognitively normal elderly subjects with varying amyloid burden may be useful in assessing relationships between serotoninergic projection integrity and amyloidopathy.
Limitations of our study include our small sample size and cross-sectional design, which can suggest only an association rather than a causal relationship between serotonin projection system degeneration and amyloidopathy. The gender distribution within our cohort (12 male, 1 female) was skewed, which may relate to an increased prevalence of PD among men20 as well as subject recruitment from a Veterans Affairs Healthcare System clinic. We also note that we are interpreting a decreased DASB DVR as evidence of terminal degeneration, although it could conceivably represent dysregulation of the serotonin transporter expression within intact presynaptic terminals. Given strong postmortem evidence for loss of serotoninergic perikarya in PD,21 we feel this possibility is less likely. Another limitation was that subjects eligible for this study were at risk for cognitive impairment based on older age, balance impairments, or cognitive symptoms. This sample may not be representative of the PD population at large.
Our results support the concept that serotoninergic neurotransmission is a physiologically relevant modulator of Aβ production. If this idea is correct, it may help to explain variations in Aβ deposition found in PD, PD with dementia, and dementia with Lewy bodies. Larger studies are needed to confirm this association. Longitudinal observational studies are needed to determine the relationship between serotonin terminal integrity and progressive cerebral amyloidopathy. Our results also support the idea that manipulation of serotoninergic neurotransmission with well-tolerated agents such as SSRIs is a viable investigational approach to preventing or slowing Aβ production and deposition.
Acknowledgments
Funding/Support: This work was supported by the Michael J. Fox Foundation, the Department of Veterans Affairs, grants P01 NS015655 and R01 NS070856 from the National Institutes of Health, and a gift from an anonymous donor.
Footnotes
Additional Contributions: Christine Minderovic, BA, assisted in human subject study coordination, Virginia Rogers, BA, assisted in PET imaging study coordination, and PET technologists, cyclotron operators, and chemists provided assistance.
Author Contributions: Dr Kotagal had full access to all of the data in the study and takes responsibility for the integrity of the data and the accuracy of the data analysis. Study concept and design: Kotagal, Frey, and Albin. Acquisition of data: Kotagal, Bohnen, Müller, and Koeppe. Analysis and interpretation of data: Kotagal, Bohnen, Müller, Koeppe, Frey, and Albin. Drafting of the manuscript: Kotagal and Albin. Critical revision of the manuscript for important intellectual content: Kotagal, Bohnen, Müller, Koeppe, Frey, and Albin. Statistical analysis: Kotagal, Bohnen, Müller, and Koeppe. Obtained funding: Bohnen, Frey, and Albin. Administrative, technical, and material support: Koeppe. Study supervision: Bohnen, Müller, and Albin.
Financial Disclosure: Dr Kotagal receives funding from the Clinical Research Training Fellowship of the American Academy of Neurology. Dr Bohnen has received grant funding from the National Institutes of Health. Dr Frey has been a consultant for Avid Radiopharmaceuticals, Bayer Schering Pharma, and MIMvista, has received grants from General Electric, and has stock or stock options in General Electric. Dr Albin has received compensation for acting as an expert witness in litigation concerning dopamine agonist–induced impulse control disorders, receives research funding from the National Institutes of Health and the Department of Veterans Affairs, is on the editorial boards of Neurology, Neurobiology of Disease, and Experimental Neurology, and serves on the Data Monitoring and Safety Committee for the QE3 trial.
References
- 1.Shen F, Smith JA, Chang R, et al. 5-HT(4) receptor agonist mediated enhancement of cognitive function in vivo and amyloid precursor protein processing in vitro: a pharmacodynamic and pharmacokinetic assessment. Neuropharmacology. 2011;61(1–2):69–79. doi: 10.1016/j.neuropharm.2011.02.026. [DOI] [PubMed] [Google Scholar]
- 2.Caccamo A, Oddo S, Billings LM, et al. M1 receptors play a central role in modulating AD-like pathology in transgenic mice. Neuron. 2006;49(5):671–682. doi: 10.1016/j.neuron.2006.01.020. [DOI] [PubMed] [Google Scholar]
- 3.Fisher A. M1 muscarinic agonists target major hallmarks of Alzheimer’s disease: an update. Curr Alzheimer Res. 2007;4(5):577–580. doi: 10.2174/156720507783018163. [DOI] [PubMed] [Google Scholar]
- 4.Hoey SE, Williams RJ, Perkinton MS. Synaptic NMDA receptor activation stimulates alpha-secretase amyloid precursor protein processing and inhibits amyloid-beta production. J Neurosci. 2009;29(14):4442–4460. doi: 10.1523/JNEUROSCI.6017-08.2009. [DOI] [PMC free article] [PubMed] [Google Scholar]
- 5.Perry EK, Court JA, Lloyd S, et al. Beta-amyloidosis in normal aging and transmitter signaling in human temporal lobe. Ann N Y Acad Sci. 1996;777:388–392. doi: 10.1111/j.1749-6632.1996.tb34450.x. [DOI] [PubMed] [Google Scholar]
- 6.Cirrito JR, Disabato BM, Restivo JL, et al. Serotonin signaling is associated with lower amyloid-β levels and plaques in transgenic mice and humans. Proc Natl Acad Sci U S A. 2011;108(36):14968–14973. doi: 10.1073/pnas.1107411108. [DOI] [PMC free article] [PubMed] [Google Scholar]
- 7.Albin RL, Koeppe RA, Bohnen NI, Wernette K, Kilbourn MA, Frey KA. Spared caudal brainstem SERT binding in early Parkinson’s disease. J Cereb Blood Flow Metab. 2008;28(3):441–444. doi: 10.1038/sj.jcbfm.9600599. [DOI] [PubMed] [Google Scholar]
- 8.Politis M, Wu K, Loane C, et al. Staging of serotonergic dysfunction in Parkinson’s disease: an in vivo 11C-DASB PET study. Neurobiol Dis. 2010;40(1):216–221. doi: 10.1016/j.nbd.2010.05.028. [DOI] [PubMed] [Google Scholar]
- 9.Hughes AJ, Daniel SE, Kilford L, Lees AJ. Accuracy of clinical diagnosis of idiopathic Parkinson’s disease: a clinico-pathological study of 100 cases. J Neurol Neurosurg Psychiatry. 1992;55(3):181–184. doi: 10.1136/jnnp.55.3.181. [DOI] [PMC free article] [PubMed] [Google Scholar]
- 10.Jewett DM, Kilbourn MR, Lee LC. A simple synthesis of [11C]dihydrotetrabenazine (DTBZ) Nucl Med Biol. 1997;24(2):197–199. doi: 10.1016/s0969-8051(96)00213-2. [DOI] [PubMed] [Google Scholar]
- 11.Innis RB, Cunningham VJ, Delforge J, et al. Consensus nomenclature for in vivo imaging of reversibly binding radioligands. J Cereb Blood Flow Metab. 2007;27(9):1533–1539. doi: 10.1038/sj.jcbfm.9600493. [DOI] [PubMed] [Google Scholar]
- 12.Koeppe RA, Frey KA. Equilibrium analysis of [11C]PIB studies. Neuroimage. 2008;41(suppl 2):T30. doi: 10.1016/j.neuroimage.2008.04.204. [DOI] [Google Scholar]
- 13.Logan J, Fowler JS, Volkow ND, Wang GJ, Ding YS, Alexoff DL. Distribution volume ratios without blood sampling from graphical analysis of PET data. J Cereb Blood Flow Metab. 1996;16(5):834–840. doi: 10.1097/00004647-199609000-00008. [DOI] [PubMed] [Google Scholar]
- 14.Meyer JH. Imaging the serotonin transporter during major depressive disorder and antidepressant treatment. J Psychiatry Neurosci. 2007;32(2):86–102. [PMC free article] [PubMed] [Google Scholar]
- 15.Ginovart N, Wilson AA, Meyer JH, Hussey D, Houle S. Positron emission tomography quantification of [(11)C]-DASB binding to the human serotonin transporter: modeling strategies. J Cereb Blood Flow Metab. 2001;21(11):1342–1353. doi: 10.1097/00004647-200111000-00010. [DOI] [PubMed] [Google Scholar]
- 16.Koeppe RA, Frey KA, Kume A, Albin R, Kilbourn MR, Kuhl DE. Equilibrium vs compartmental analysis for assessment of the vesicular monoamine transporter using (+)-alpha-[11C]dihydrotetrabenazine (DTBZ) and positron emission tomography. J Cereb Blood Flow Metab. 1997;17(9):919–931. doi: 10.1097/00004647-199709000-00001. [DOI] [PubMed] [Google Scholar]
- 17.Koeppe RA, Frey KA, Kuhl DE, Kilbourn MR. Assessment of extrastriatal vesicular monoamine transporter binding site density using stereoisomers of [11C]dihydrotetrabenazine. J Cereb Blood Flow Metab. 1999;19(12):1376–1384. doi: 10.1097/00004647-199912000-00011. [DOI] [PubMed] [Google Scholar]
- 18.Nelson RL, Guo Z, Halagappa VM, et al. Prophylactic treatment with paroxetine ameliorates behavioral deficits and retards the development of amyloid and tau pathologies in 3xTgAD mice. Exp Neurol. 2007;205(1):166–176. doi: 10.1016/j.expneurol.2007.01.037. [DOI] [PMC free article] [PubMed] [Google Scholar]
- 19.Edison P, Rowe CC, Rinne JO, et al. Amyloid load in Parkinson’s disease dementia and Lewy body dementia measured with [11C]PIB positron emission tomography. J Neurol Neurosurg Psychiatry. 2008;79(12):1331–1338. doi: 10.1136/jnnp.2007.127878. [DOI] [PubMed] [Google Scholar]
- 20.Baba Y, Putzke JD, Whaley NR, Wszolek ZK, Uitti RJ. Gender and the Parkinson’s disease phenotype. J Neurol. 2005;252(10):1201–1205. doi: 10.1007/s00415-005-0835-7. [DOI] [PubMed] [Google Scholar]
- 21.Kish SJ, Tong J, Hornykiewicz O, et al. Preferential loss of serotonin markers in caudate vs putamen in Parkinson’s disease. Brain. 2008;131(pt 1):120–131. doi: 10.1093/brain/awm239. [DOI] [PubMed] [Google Scholar]

