Abstract
Background
Despite increasing attention on reducing relatively costly hospital practices while maintaining the quality of care, few studies have examined how hospitals use the intensive care unit (ICU), a high-cost setting, for patients admitted with heart failure (HF). We characterized hospital patterns of ICU admission for patients with HF and determined their association with the use of ICU-level therapies and patient outcomes.
Methods and Results
We identified 166,224 HF discharges from 341 hospitals in the 2009–10 Premier Perspective® database. We excluded hospitals with <25 HF admissions, patients <18 years old, and transfers. We defined ICU as including medical ICU, coronary ICU, and surgical ICU. We calculated the percent of patients admitted directly to an ICU. We compared hospitals in the top-quartile (high ICU admission) with the remaining quartiles. The median percentage of ICU admission was 10% (Interquartile Range 6% to 16%; range 0% to 88%). In top-quartile hospitals, treatments requiring an ICU were used less often: percentage of ICU days receiving mechanical ventilation (6% top quartile versus 15% others), non-invasive positive pressure ventilation (8% versus 19%), vasopressors and/or inotropes (9% versus 16%), vasodilators (6% versus 12%), and any of these interventions (26% versus 51%). Overall HF in-hospital risk standardized mortality was similar (3.4% versus 3.5%; P = 0.2).
Conclusions
ICU admission rates for HF varied markedly across hospitals and lacked association with in-hospital risk-standardized mortality. Greater ICU use correlated with fewer patients receiving ICU interventions. Judicious ICU use could reduce resource consumption without diminishing patient outcomes.
Keywords: congestive heart failure, mortality
Introduction
One in 5 patients hospitalized with heart failure (HF) in the U.S. is admitted to an intensive care unit (ICU), a resource-intense setting that accounts for 20–35% of total hospital costs.1–3 Despite the high cost of ICU admission, there are no standard, evidence-based guidelines for ICU triage of patients with HF.4 The decision to admit patients to an ICU, therefore, may be a result of multiple factors, including the patients’ clinical status, practitioner discretion, institutional policies and procedures, and hospital capacity.5 Several patient-level studies conducted more than a decade ago demonstrated that patients are frequently admitted to the ICU who never receive ICU-level therapies during their hospitalization.6, 7 However, we lack information about contemporary practice for patients with heart failure and hospital-level variation.
The primary aim of this study is to describe patterns of ICU use for patients with HF among a diverse group of U.S. hospitals. Once we observed the variation in the use of ICUs, we compared groups of hospitals with distinct patterns of ICU use in terms of their management of HF within the ICU. We hypothesized that hospitals that more frequently triage patients with HF to the ICU admit, on average, lower-risk patients to the ICU and therefore provide fewer ICU-level therapies and have lower risk-adjusted mortality rates for these patients compared with hospitals that have lower rates of ICU triage. Because we did not expect higher ICU triage to be associated with better patient outcomes, we expected that overall in-hospital risk-standardized mortality rates (RSMRs) for all patients with HF would be similar across hospitals regardless of triage patterns.
Methods
Data Source
We conducted a cross-sectional study using data from Perspective®, a voluntary, fee-supported database developed by Premier, Inc. for measuring quality and healthcare utilization. Premier is a private consortium of hospitals that pools finances and a limited set of clinical data from hundreds of U.S. hospitals into a common database.8 As of 2010, Perspective® contained data from more than 130 million cumulative hospital discharges. These inpatient discharges represent about 20% of all acute care inpatient hospitalizations nationwide. In addition to the information available in the standard hospital discharge file, Perspective® contains a date-stamped log of all billed items at the individual patient level including medications and laboratory, diagnostic, and therapeutic services, as well as limited clinical data about each patient. For this study, patient data were de-identified in accordance with the Health Insurance Portability and Accountability Act and a random hospital identifier assigned by Premier was used to identify the hospitals. The Yale University Human Investigation Committee reviewed the protocol for this study and determined that it is not considered to be Human Subjects Research as defined by the Office of Human Research Protections.
Study Cohort
We included hospitalizations from January 1, 2009 to December 31, 2010. To qualify for inclusion in the study cohort, patients must have had a principal discharge diagnosis of HF (International Classification of Diseases, Ninth Revision, Clinical Modification (ICD-9-CM) code 402.01, 402.11, 402.91, 404.01, 404.03, 404.11, 404.13, 404.91, 404.93, 428.xx).9 This code captures the reason, in retrospect, for the admission and is determined after discharge. Patients could contribute more than 1 hospitalization to the study cohort. Only hospitals that participated in Premier’s research program in 2009–2010 and had at least 25 cases of HF during that period were considered for inclusion in the study. Hospitalizations were excluded if patients were less than 18 years of age at the time of admission, assigned a pediatrician as the attending of record, transferred in from another hospital, or received cardiac surgery during their stay. Excluded cardiac surgeries were coronary artery bypass grafting, valvular surgery, peripheral vascular surgery, ventricular assist device placement, and heart transplantation.
Outcomes
We first conducted an exploratory analysis on the variation in admission rates to the ICU across hospitals within our cohort. The primary outcome for each hospital was the proportion of its HF hospitalizations that were admitted to an ICU. Admission to an ICU was defined as having a room and board charge for an ICU bed on the first day of the hospitalization. ICU beds included those located in the medical ICU, coronary care unit, or surgical ICU.
We calculated the use of ICU-level therapies among patients with HF admitted to the ICU. ICU-level therapies were defined as commonly used therapies for acute decompensated HF typically only available in a critical-care setting. These included mechanical ventilation, intravenous (IV) vasopressors, IV inotropes, IV vasodilators, intra-aortic balloon pumps (IABPs), and/or pulmonary artery catheters. We also measured the use of non-invasive positive pressure ventilation (NPPV), including continuous positive airway pressure and bi-level positive airway pressure, which requires an ICU setting in many institutions.
We compared hospitals in terms of in-hospital all-cause mortality for patients with HF triaged to an ICU. Finally, we compared hospitals by in-hospital all-cause RSMRs for all patients admitted to the hospital with HF.
Statistical Analysis
Hospitals were divided into quartiles based on the proportion of patients admitted to the ICU, with the top quartile having the highest admission rates. The bottom 3 quartiles of hospitals had similar rates of ICU admission while the top-quartile hospitals had distinctly higher rates of ICU admission. Thus, we defined the top quartile as a group of hospitals with high ICU admission rates and compared them with the rest of the hospitals in our cohort (hospitals in the bottom 3 quartiles) for the remainder of the analysis. Hospital characteristics for the top quartile of hospitals were compared with the hospital characteristics for all other hospitals using chi-square tests to assess statistical differences. The top quartile of hospitals was compared with all other hospitals using chi-square tests to assess statistical differences for ICU-level therapies and ICU in-hospital mortality. A p-value <0.05 was considered statistically significant in all cases. Continuous variables are reported with medians and interquartile ranges (IQR). We repeated the full analysis among large hospitals (>265 beds) and among small hospitals (<265 beds).
Next, we calculated the proportion of days in the ICU in which the patient received mechanical ventilation, NPPV, IV vasopressors, IV inotropes, and/or IV vasodilator drugs. Among all hospitalizations occurring at hospitals in the top quartile of ICU admission rates, we calculated the proportion of days that each therapy was given and compared this to the average among all hospitalizations occurring at other hospitals. Similarly, we calculated the frequency with which pulmonary artery catheters and IABPs were administered during each hospitalization and compared the frequency across all hospitalizations occurring at top-quartile hospitals versus other hospitals. The proportion of days without any intervention (mechanical ventilation, NPPV, vasopressors and/or inotropes, vasodilators, pulmonary artery catheters, IABP and dialysis) was also calculated and compared between top-quartile hospitals and other hospitals.
In addition, we calculated the in-hospital all-cause mortality rate for patients triaged to top-quartile hospitals and compared it with the in-hospital all-cause mortality rate at other hospitals. We calculated RSMRs for each hospital using a hierarchical logistic regression, employing methods that are used in the outcomes measures that are publicly reported by the Centers for Medicare & Medicaid Services.10–14 Adjustment was done for patient characteristics including age, gender and Elixhauser comorbidities (Supplemental Table 1) classified using the software (version 3.4, 3.5, and 3.6 for Federal fiscal years 2009, 2010, and 2011, respectively) provided by the Healthcare Costs and Utilization Project of the Agency for Healthcare Research and Quality.15 The RSMRs for top-quartile hospitals were compared with RSMRs for the other hospitals using a Wilcoxon Rank Sum test. A p-value <0.05 was considered statistically significant. All analyses were conducted with SAS version 9.2 (SAS Institute Inc., Cary, NC). Procedure GLIMMIX was used to estimate the hierarchical logistic models. The figure was generated using R (R Development Core Team, Vienna, Austria).16
Results
Hospital Characteristics
Our cohort included 166,224 patients treated at 341 hospitals from across the U.S. Of these, 19,169 patients were admitted directly to the ICU and accrued a total of 59,709 ICU days. The median hospital bed size was 265 (131, 402), volume of patients with HF was 407 (193, 709), and volume of patients with HF admitted to the ICU was 34 (20, 69). Hospitals tended to be located in the South (41%), serve an urban population (78%), and identify as non-teaching (72%; Table 1). Hospitals in the top-quartile of ICU admission rates and those in other quartiles tended to have similar characteristics in terms of geographic location and population served; however, they varied in terms of bed size (p<0.0001), ICU HF volume (p<0.0001), and teaching status (p=0.0108) (Table 1). We observed that hospitals in the bottom 3 quartiles were slightly larger (31% had more than 400 beds), had a lower number of ICU HF patients during the study period, and more teaching hospitals (32% vs. 17%). In addition, we examined hospital characteristics within each of the 4 quartiles of ICU admission rates (Supplemental Table 2). We observed similar trends across the 4 quartiles with hospitals that have higher ICU admission rates being larger, having a lower number of ICU HF patients, and being designated as teaching.
Table 1.
Hospital cohort characteristics.
| All hospitals (n=341) n(%) |
Top-quartile hospitals (n=86) n(%) |
Other hospitals (n=242) n(%) |
P-value | |
|---|---|---|---|---|
| Number of beds | ||||
| 1–200 | 125 (37) | 48 (56) | 69 (29) | |
| 201 – 400 | 129 (38) | 26 (30) | 98 (40) | <0.0001 |
| 401 – 600 | 60 (17) | 10 (12) | 50 (21) | |
| >600 | 27 (8) | 2 (2) | 25 (10) | |
| ICU HF volume | ||||
| 1 – 50 | 226 (66) | 39 (45) | 174 (72) | |
| 51–200 | 104 (31) | 36 (42) | 68 (28) | |
| 201 – 400 | 8 (2) | 8 (9) | 0 (0) | <0.0001 |
| >400 | 3 (1) | 3 (4) | 0 (0) | |
| Geographic region | ||||
| Midwest | 82 (24) | 27 (31) | 53 (22) | |
| Northeast | 54 (16) | 9 (11) | 43 (18) | 0.2 |
| South | 140 (41) | 32 (37) | 103 (42) | |
| West | 65 (19) | 18 (21) | 43 (18) | |
| Population served | ||||
| Urban | 267 (78) | 63 (73) | 197 (81) | 0.1 |
| Rural | 74 (22) | 23 (27) | 45 (19) | |
| Teaching status | ||||
| Non-teaching | 247 (72) | 71 (83) | 165 (68) | 0.01 |
| Teaching | 94 (28) | 15 (17) | 77 (32) | |
| Telemetry available outside of ICU | ||||
| Yes | 57 (17) | 16 (19) | 41 (17) | 0.6 |
| No | 284 (83) | 70 (81) | 201 (83) |
HF, heart failure; ICU, intensive care unit
ICU Admission Rates
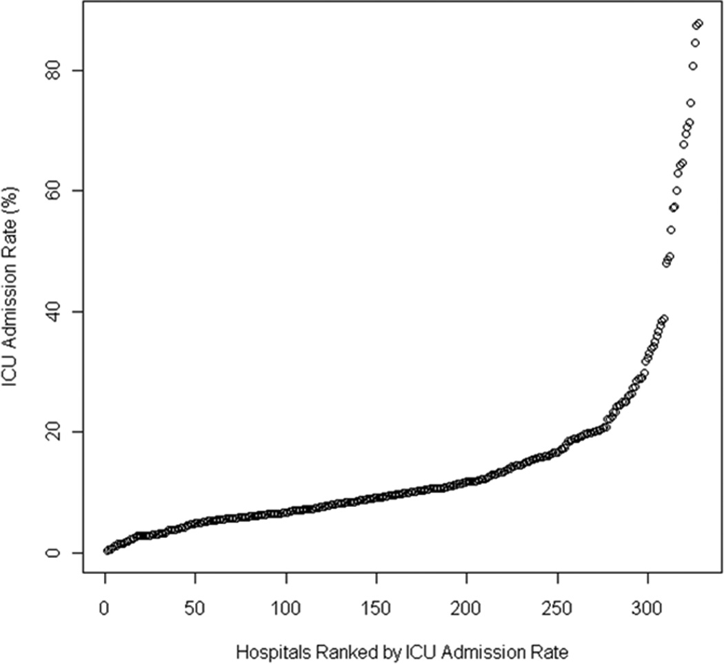
Of the 341 hospitals we analyzed, 328 admitted patients with HF directly to an ICU during the study period. Figure 1 shows the ICU admission rate for each of the 328 hospitals, ranked from lowest rate of admission to highest. The range of ICU admission rates was from 0% to 88% (median 10%, IQR: 6, 16%). Among hospitalizations at hospitals in the top quartile of ICU admissions, 32% of patients on average were admitted directly to the ICU compared with only 8% of patients at hospitals in the other quartiles (p<0.0001). Supplemental Figure 1 demonstrates the number of hospitals with the indicated ICU admission rates.
Figure 1.

Hospital ICU admission rates. (Each data point shown represents a hospital.)
ICU, intensive care unit
ICU-Level Therapy Use
We compared the percentage of ICU days in which patients received critical care interventions between top-quartile hospitals and other hospitals (Table 2). Patients at top-quartile hospitals spent less than half as many ICU days on mechanical ventilation compared with other hospitals (6% versus 15%, p<0.0001). Similarly, vasopressors and/or inotropes, vasodilators and NPPV were administered during a smaller percentage of ICU days at top-quartile hospitals versus other hospitals (9% versus 16% for vasopressors and/or inotropes, p<0.0001, 6% versus 12% for vasodilators, p<0.0001, and 8% versus 19% for NPPV, p<0.0001). Overall, top-quartile hospitals had a lower percentage of ICU days in which any intervention was administered (26% versus 51%, p<0.0001). In addition, we observed similar trends when comparing all 4 quartiles of hospitals, with higher admission quartiles having a lower percentage of ICU days in which patients received critical care interventions (Supplemental Table 3).
Table 2.
Proportion of ICU days receiving ICU-level therapy.
| Usage of therapy (Proportion of bed-days) |
|||
|---|---|---|---|
| Therapy | High ICU admissions (N=31,066) |
Low ICU admissions (N=28,643) |
P-value |
| Mechanical ventilation | 6 | 15 | <0.0001 |
| NPPV | 8 | 19 | <0.0001 |
| Vasopressors and/or inotropes | 9 | 16 | <0.0001 |
| Vasodilators | 6 | 12 | <0.0001 |
| Pulmonary artery catheter | 0.7 | 0.5 | 0.04 |
| None of these interventions* | 74 | 49 | <0.0001 |
No intervention includes mechanical ventilation,
NPPV, vasopressors and/or inotropes, vasodilators, pulmonary artery catheter, dialysis, and intra-aortic balloon pump ICU, intensive care unit; NPPV, non-invasive positive pressure ventilation
Furthermore, the proportion of patients receiving critical care interventions was compared between hospitals in the top quartile of ICU admission and other hospitals (Table 3). The proportion of patients receiving mechanical ventilation (7% versus 14%), NPPV (14% versus 31%), vasopressors and/or inotropes (9% versus 18%), vasodilators (16% versus 25%), IABP (0.2% versus 0.5%), and dialysis (0.01% versus 0.1%) was lower at top-quartile hospitals compared with other hospitals (p<0.0001, p<0.0001, p<0.0001, p<0.0001, p=0.0016, and p=0.0139, respectively). The difference among hospital groups in the proportion of patients receiving pulmonary artery catheters was not statistically significant. We also compared all 4 quartiles of hospitals in terms of the proportion of patients receiving critical care interventions, and observed similar trends (Supplemental Table 4).
Table 3.
Proportion of patients receiving ICU-level therapy.
| Usage of therapy (Proportion of patients receiving therapy) |
|||
|---|---|---|---|
| Therapy | High ICU admissions (N=8,830) |
Low ICU admissions (N=10,339) |
P-value |
| Mechanical ventilation | 7 | 14 | <0.0001 |
| NPPV | 14 | 31 | <0.0001 |
| Dialysis | 0.01 | 0.10 | 0.01 |
| Vasopressors and/or inotropes | 9 | 18 | <0.0001 |
| Vasodilators | 16 | 25 | <0.0001 |
| Intra-aortic balloon pump | 0.2 | 0.5 | 0.0016 |
| Pulmonary artery catheter | 1 | 1 | 0.1 |
ICU, intensive care unit; NPPV, non-invasive positive pressure ventilation
Mortality
The in-hospital mortality rate for patients with HF triaged to the ICU at top-quartile hospitals was 4% compared with 8% at other hospitals (Table 4). The overall RSMR for all patients with HF was not significantly different between top-quartile and other hospitals (3.4% versus 3.5%, p-value 0.2; Table 4). The median length of stay for patients with HF was 4 days at top-quartile as well as at all other hospitals. In addition, we compared all 4 quartiles of hospitals in terms of the in-hospital mortality rate for patients with HF triaged to the ICU and the overall RSMR for all patients with HF. Similarly, quartiles with higher admission rates had lower in-hospital ICU mortality and similar RSMRs for all patients admitted with HF (Supplemental Table 5).
Table 4.
Patient mortality.
| Outcome | Category | N | Mortality rate (%) | P-value |
|---|---|---|---|---|
| In-hospital mortality for heart failure patients triaged to ICU | High ICU admission group | 8,830 | 4% | <0.0001 |
| Low ICU admission group | 10,339 | 8% | ||
| Risk-standardized in-hospital mortality* | High ICU admission group | 86 | 3.4 (3.0, 3.9) | 0.2† |
| Low ICU admission group | 242 | 3.5 (3.0, 4.2) |
Includes entire patient cohort (ICU and non-ICU)
Calculated using a 2-sided Wilcoxon Rank Sum test
ICU, intensive care unit
When comparing larger hospitals (>265 beds) with each other and smaller hospitals (<265 beds) with each other in terms of ICU admission rate, we observed trends similar to those in the primary analysis. Higher ICU admission hospitals had fewer ICU-level interventions, lower ICU mortality, and similar RSMRs compared with lower ICU admission hospitals.
Discussion
In a large study of more than 300 hospitals in the U.S., we observed remarkable variation in the rates at which the hospitals triage patients with HF to the ICU. This variation in the rate of ICU admission was accompanied by variation in the use of ICU-level therapies for acute decompensated HF, such as mechanical ventilation and IV vasopressors and inotropic medications. Patients triaged to the ICU at hospitals that admitted a high percentage of patients with HF to the ICU were less likely to have these treatments compared with those admitted to hospitals with lower rates of ICU admission. This finding suggests that the former may be admitting relatively healthier patients to their ICUs. Consistent with this hypothesis, we found that patients with HF triaged to the ICUs of hospitals with high rates of ICU admission had lower mortality compared with patients with HF in the ICUs of hospitals that less frequently triaged to the ICU. While it is plausible that closer monitoring in the ICU without any HF-related critical care intervention may reduce ICU mortality, our data showed that overall in-hospital RSMRs for all patients admitted with HF did not differ by ICU admission patterns. Thus, hospitals that most frequently triage patients with HF to the ICU may be engaging in a high-cost behavior that does not improve patient outcomes.
We could not directly determine whether an individual patient required ICU admission because our data source lacked acute clinical information such as patient vital signs and the results of diagnostic tests. Moreover, there are no clear standards for ICU admission. We sought, however, to characterize hospital-level patterns of ICU admission rather than determine the appropriateness of individual triage decisions and it is unlikely that patient case mix would account for the wide variation in admission rates among hospitals that we observed. Furthermore, the association of high ICU admission rates with less frequent use of ICU-level therapies suggests that higher admission rates were due to different admission thresholds rather than a more severe patient mix.
The decision to triage to an ICU comes at a high cost to both the patient and the healthcare system. Hospitalization in the ICU has been shown to hold inherent risks for the patient, including increased risk of medication errors, delirium, hospital-acquired infection with multidrug resistant pathogens, and post-traumatic stress disorder.17–22 Furthermore, although ICU beds represent only 5–10% of total hospital capacity, ICU utilization accounts for as much as 20–35% of hospital cost.2 The average daily cost to occupy an ICU bed is approximately $2,573.23–26 This amount does not include the opportunity cost of delaying or denying use of that bed to a patient with critical care needs because it is occupied by a patient who could be safely managed in another setting.
Despite these costs, there may be clinical reasons that such behavior persists among hospitals. We hypothesized that small hospitals may not have telemetry capabilities outside of the ICU and may admit patients with HF to the ICU for telemetry until myocardial infarction can be ruled out. Table 1, however, demonstrates that there is not a statistically significant difference in telemetry capability in beds outside of the ICU among hospitals in the top quartile compared with hospitals in other quartiles.
Another clinical reason that differences in ICU triage exist may be related to the lack of guidelines that specify clinical criteria for ICU triage. The inconsistency in ICU resource utilization among hospitals underscores a need for improved HF triage guidelines for practitioners and adoption of HF risk-stratification models by hospitals.4 Triage decision-making, which the American Heart Association recognizes as having a “crucial bearing on resource utilization,” is not explicitly addressed in the most recent HF management guidelines.27 General critical care guidelines from the Society of Critical Care Medicine suggest that efficient ICU use requires that patients who do not immediately need intensive care treatments should be triaged to an ICU only if there is a high likelihood that they will subsequently need ICU-level therapies.28 Yet our findings add to other studies that have demonstrated that relatively healthy patients with HF may be frequently triaged to an ICU and often never receive critical care therapies associated with HF.6, 7, 29 In response to this trend, several validated risk-assessment models have been developed to aid in ICU triage decision-making, but have yet to be widely adopted by hospitals.29–31 These models have shown significant gains in improving the appropriateness of ICU triage both in the general medical population and specifically for patients with HF. Our data imply that these efforts might lead to significant savings in resources.
In addition, hospital ICU utilization may be driven by economic considerations. Hospitals that frequently triage to the ICU may do so in an effort to recuperate the high fixed cost of maintaining an ICU bed in terms of staffing, equipment and space. If hospitals have ICU capacity beyond patient need for ICU beds and services, they have the opportunity to reduce fixed costs by eliminating or repurposing resources. Studies have shown, however, that hospitals have been slow to address excess fixed costs.32–34 This reluctance has significant implications for healthcare expenditures in the U.S., as more than 85% of hospital costs are fixed.
Despite these drivers of ICU bed use, reports of individual hospitals in the U.S. championing ICU triage reform have shown that ICU utilization can be more rationally guided. Unnecessary ICU admissions can be reduced and the value of care provided increased with the commitment of hospital leadership to changing institutional policies and attitudes through locally derived data.5 For example, an 18-hospital system implemented an ICU quality and efficiency improvement initiative that resulted in a reduction of the proportion of ICU admissions deemed “low-risk” from 42% to 22%. The hospitals identified inefficient triage practices by collecting data using risk scoring models that predict hospital mortality rates and comparing them with triage destinations. The hospitals used these data to assess ICU triage policies and win institution-wide acceptance of the need for better practices and accountability at all levels within the hospital. Their quality management team rewrote hospital triage guidelines and moved from a subjective triage culture based almost totally on the discretion of the ICU director to a collaborative, data-driven approach involving emergency physicians, critical care physicians, nurse managers, and others. Institutional policy changed from a “next available bed” admission strategy, in which patients were admitted to beds based on availability, to one centered on patient needs. New policies received continual reinforcement by nurse and physician champions as well as top administrators. Thus, institution-level reforms to entrenched policy and culture may successfully improve hospital ICU triage practices.
Our study should be interpreted with the following caveats. The hospital risk adjustment was limited to age, sex, race, and comorbidities because our data source lacked acute clinical information. However, risk adjustment for patients with HF based on those characteristics has been validated in other studies.35–37 Because of the lack of acute clinical data, we cannot comment on the appropriateness of ICU triage strategies. In addition, our dataset does not longitudinally track patient outcomes and we could not calculate long-term patient mortality, which could have been altered by ICU triage strategies even though in-hospital mortality was not. Moreover, although our cohort included more than 340 hospitals with diverse characteristics, all of them voluntarily participate in a consortium that gathers and shares data with the aim of improving hospital practices. This suggests that our cohort may be more sensitive to establishing efficient care practices than other hospitals, which may provide an underestimate of ICU triage rates nationally. Furthermore, our dataset does not contain information that would allow us to characterize ICUs to better understand the type of care offered, such as nursing ratios or levels of ICU care. Finally, our dataset does not contain information regarding the provider type or physician reimbursement, which may explain some of the variation in clinical triage patterns.
Identifying opportunities to improve the value of care provided to patients is especially important for hospitals and clinicians operating in an increasingly costly healthcare environment with greater resource constraints.38–40 Our findings demonstrate that a significant number of hospitals in the U.S. triage many more patients with HF to their ICUs relative to other hospitals, without achieving better in-hospital RSMRs. Given the high price of ICU admission, it is plausible that some hospitals may be engaging in a low-value, high-cost behavior.
Supplementary Material
Acknowledgments
Funding Sources. This work was supported by grant DF10-301 from the Patrick and Catherine Weldon Donaghue Medical Research Foundation in West Hartford, Connecticut; grant UL1 RR024139-06S1 from the National Center for Advancing Translational Sciences in Bethesda, Maryland; and grant U01 HL105270-03 (Center for Cardiovascular Outcomes Research at Yale University) from the National Heart, Lung, and Blood Institute in Bethesda, Maryland. Dr. Dharmarajan is supported by a training grant (T32 HL007854-16A1) from the NIH through Columbia University. The content is solely the responsibility of the authors and does not necessarily represent the official views of the Donaghue Foundation or the NIH.
Dr. Krumholz reports that he is the recipient of a research grant from Medtronic, Inc. through Yale University and is chair of a cardiac scientific advisory board for UnitedHealth.
Footnotes
Disclosures. The other authors have no potential conflicts of interest to disclose.
References
- 1.Adams KF, Jr, Fonarow GC, Emerman CL, LeJemtel TH, Costanzo MR, Abraham WT, Berkowitz RL, Galvao M, Horton DP. Characteristics and outcomes of patients hospitalized for heart failure in the United States: rationale, design, and preliminary observations from the first 100,000 cases in the Acute Decompensated Heart Failure National Registry (ADHERE) Am Heart J. 2005;149:209–216. doi: 10.1016/j.ahj.2004.08.005. [DOI] [PubMed] [Google Scholar]
- 2.Chalfin DB. Cost-effectiveness analysis in health care. Hosp Cost Manag Account. 1995;7:1–8. [PubMed] [Google Scholar]
- 3.Halpern NA, Bettes L, Greenstein R. Federal and nationwide intensive care units and healthcare costs: 1986–1992. Crit Care Med. 1994;22:2001–2007. [PubMed] [Google Scholar]
- 4.Hunt SA, Abraham WT, Chin MH, Feldman AM, Francis GS, Ganiats TG, Jessup M, Konstam MA, Mancini DM, Michl K, Oates JA, Rahko PS, Silver MA, Stevenson LW, Yancy CW. 2009 focused update incorporated into the ACC/AHA 2005 guidelines for the diagnosis and management of heart failure in adults: a report of the American College of Cardiology Foundation/American Heart Association Task Force on Practice Guidelines developed in collaboration with the International Society for Heart and Lung Transplantation. J Am Coll Cardiol. 2009;53:e1–e90. doi: 10.1016/j.jacc.2008.11.013. [DOI] [PubMed] [Google Scholar]
- 5.Dlugacz YD, Stier L, Lustbader D, Jacobs MC, Hussain E, Greenwood A. Expanding a performance improvement initiative in critical care from hospital to system. Jt Comm J Qual Improv. 2002;28:419–434. doi: 10.1016/s1070-3241(02)28042-6. [DOI] [PubMed] [Google Scholar]
- 6.Junker C, Zimmerman JE, Alzola C, Draper EA, Wagner DP. A multicenter description of intermediate-care patients: comparison with ICU low-risk monitor patients. Chest. 2002;121:1253–1261. doi: 10.1378/chest.121.4.1253. [DOI] [PubMed] [Google Scholar]
- 7.Zimmerman JE, Wagner DP, Knaus WA, Williams JF, Kolakowski D, Draper EA. The use of risk predictions to identify candidates for intermediate care units. Chest. 1995;108:490–499. doi: 10.1378/chest.108.2.490. [DOI] [PubMed] [Google Scholar]
- 8.Premier, Inc. Mission/vision: what Premier does. [Accessed July 10, 2012]; https://premierinc.com/about/mission/index.jsp. [Google Scholar]
- 9.Saczynski JS, Andrade SE, Harrold LR, Tjia J, Cutrona SL, Dodd KS, Goldberg RJ, Gurwitz JH. A systematic review of validated methods for identifying heart failure using administrative data. Pharmacoepidemiol Drug Saf. 2012;21(Suppl 1):129–140. doi: 10.1002/pds.2313. [DOI] [PMC free article] [PubMed] [Google Scholar]
- 10.Keenan PS, Normand SL, Lin Z, Drye EE, Bhat KR, Ross JS, Schuur JD, Stauffer BD, Bernheim SM, Epstein AJ, Wang Y, Herrin J, Chen J, Federer JJ, Mattera JA, Krumholz HM. An administrative claims measure suitable for profiling hospital performance on the basis of 30-day all-cause readmission rates among patients with heart failure. Circ Cardiovasc Qual Outcomes. 2008;1:29–37. doi: 10.1161/CIRCOUTCOMES.108.802686. [DOI] [PubMed] [Google Scholar]
- 11.Krumholz HM, Lin Z, Drye EE, Desai MM, Han LF, Rapp MT, Mattera JA, Normand SL. An administrative claims measure suitable for profiling hospital performance based on 30-day all-cause readmission rates among patients with acute myocardial infarction. Circ Cardiovasc Qual Outcomes. 2011;4:243–252. doi: 10.1161/CIRCOUTCOMES.110.957498. [DOI] [PMC free article] [PubMed] [Google Scholar]
- 12.Lindenauer PK, Normand SL, Drye EE, Lin Z, Goodrich K, Desai MM, Bratzler DW, O'Donnell WJ, Metersky ML, Krumholz HM. Development, validation, and results of a measure of 30-day readmission following hospitalization for pneumonia. J Hosp Med. 2011;6:142–150. doi: 10.1002/jhm.890. [DOI] [PubMed] [Google Scholar]
- 13.Krumholz HM, Wang Y, Mattera JA, Han LF, Ingber MJ, Roman S, Normand SL. An administrative claims model suitable for profiling hospital performance based on 30-day mortality rates among patients with an acute myocardial infarction. Circulation. 2006;113:1683–1692. doi: 10.1161/CIRCULATIONAHA.105.611186. [DOI] [PubMed] [Google Scholar]
- 14.Bratzler DW, Normand SL, Wang Y, O'Donnell WJ, Metersky M, Han LF, Rapp MT, Krumholz HM. An administrative claims model for profiling hospital 30-day mortality rates for pneumonia patients. PLoS One. 2011;6:e17401. doi: 10.1371/journal.pone.0017401. [DOI] [PMC free article] [PubMed] [Google Scholar]
- 15.Elixhauser A, Steiner C, Harris DR, Coffey RM. Comorbidity measures for use with administrative data. Med Care. 1998;36:8–27. doi: 10.1097/00005650-199801000-00004. [DOI] [PubMed] [Google Scholar]
- 16.R Development Core Team. R: a language and environment for statistical computing. 2011 [Google Scholar]
- 17.Oeyen SG, Vandijck DM, Benoit DD, Annemans L, Decruyenaere JM. Quality of life after intensive care: a systematic review of the literature. Crit Care Med. 2010;38:2386–2400. doi: 10.1097/CCM.0b013e3181f3dec5. [DOI] [PubMed] [Google Scholar]
- 18.Saint S, Matthay MA. Risk reduction in the intensive care unit. Am J Med. 1998;105:515–523. doi: 10.1016/s0002-9343(98)00322-2. [DOI] [PubMed] [Google Scholar]
- 19.Davydow DS, Gifford JM, Desai SV, Needham DM, Bienvenu OJ. Posttraumatic stress disorder in general intensive care unit survivors: a systematic review. Gen Hosp Psychiatry. 2008;30:421–434. doi: 10.1016/j.genhosppsych.2008.05.006. [DOI] [PMC free article] [PubMed] [Google Scholar]
- 20.Ringdal M, Plos K, Lundberg D, Johansson L, Bergbom I. Outcome after injury: memories, health-related quality of life, anxiety, and symptoms of depression after intensive care. J Trauma. 2009;66:1226–1233. doi: 10.1097/TA.0b013e318181b8e3. [DOI] [PubMed] [Google Scholar]
- 21.Bell CM, Brener SS, Gunraj N, Huo C, Bierman AS, Scales DC, Bajcar J, Zwarenstein M, Urbach DR. Association of ICU or hospital admission with unintentional discontinuation of medications for chronic diseases. JAMA. 2011;306:840–847. doi: 10.1001/jama.2011.1206. [DOI] [PubMed] [Google Scholar]
- 22.Pisani MA, Murphy TE, Van Ness PH, Araujo KL, Inouye SK. Characteristics associated with delirium in older patients in a medical intensive care unit. Arch Intern Med. 2007;167:1629–1634. doi: 10.1001/archinte.167.15.1629. [DOI] [PubMed] [Google Scholar]
- 23.Milbrandt EB, Kersten A, Rahim MT, Dremsizov TT, Clermont G, Cooper LM, Angus DC, Linde-Zwirble WT. Growth of intensive care unit resource use and its estimated cost in Medicare. Crit Care Med. 2008;36:2504–2510. doi: 10.1097/CCM.0b013e318183ef84. [DOI] [PubMed] [Google Scholar]
- 24.Jacobs P, Noseworthy T. Controlling costs in the ICU. Dimens Health Serv. 1990;67:18–20. [PubMed] [Google Scholar]
- 25.Jacobs P, Noseworthy TW. National estimates of intensive care utilization and costs: Canada and the United States. Crit Care Med. 1990;18:1282–1286. doi: 10.1097/00003246-199011000-00020. [DOI] [PubMed] [Google Scholar]
- 26.Noseworthy TW, Konopad E, Shustack A, Johnston R, Grace M. Cost accounting of adult intensive care: methods and human and capital inputs. Crit Care Med. 1996;24:1168–1172. doi: 10.1097/00003246-199607000-00017. [DOI] [PubMed] [Google Scholar]
- 27.Weintraub NL, Collins SP, Pang PS, Levy PD, Anderson AS, Arslanian-Engoren C, Gibler WB, McCord JK, Parshall MB, Francis GS, Gheorghiade M. Acute heart failure syndromes: emergency department presentation, treatment, and disposition: current approaches and future aims: a scientific statement from the American Heart Association. Circulation. 2010;122:1975–1996. doi: 10.1161/CIR.0b013e3181f9a223. [DOI] [PubMed] [Google Scholar]
- 28.Guidelines for intensive care unit admission, discharge, and triage. Task Force of the American College of Critical Care Medicine, Society of Critical Care Medicine. Crit Care Med. 1999;27:633–638. [PubMed] [Google Scholar]
- 29.Zimmerman JE, Kramer AA. A model for identifying patients who may not need intensive care unit admission. J Crit Care. 2010;25:205–213. doi: 10.1016/j.jcrc.2009.06.010. [DOI] [PubMed] [Google Scholar]
- 30.Peterson PN, Rumsfeld JS, Liang L, Albert NM, Hernandez AF, Peterson ED, Fonarow GC, Masoudi FA. A validated risk score for in-hospital mortality in patients with heart failure from the American Heart Association Get With The Guidelines program. Circ Cardiovasc Qual Outcomes. 2010;3:25–32. doi: 10.1161/CIRCOUTCOMES.109.854877. [DOI] [PubMed] [Google Scholar]
- 31.Hsieh M, Auble TE, Yealy DM. Validation of the acute heart failure index. Ann Emerg Med. 2008;51:37–44. doi: 10.1016/j.annemergmed.2007.07.026. [DOI] [PubMed] [Google Scholar]
- 32.Roberts RR, Frutos PW, Ciavarella GG, Gussow LM, Mensah EK, Kampe LM, Straus HE, Joseph G, Rydman RJ. Distribution of variable vs fixed costs of hospital care. JAMA. 1999;281:644–649. doi: 10.1001/jama.281.7.644. [DOI] [PubMed] [Google Scholar]
- 33.Taheri PA, Butz DA. Health care as a fixed-cost industry: implications for delivery. Surg Innov. 2005;12:365–371. doi: 10.1177/155335060501200413. [DOI] [PubMed] [Google Scholar]
- 34.Rauh SS, Wadsworth EB, Weeks WB, Weinstein JN. The savings illusion--why clinical quality improvement fails to deliver bottom-line results. N Engl J Med. 2011;365:e48. doi: 10.1056/NEJMp1111662. [DOI] [PubMed] [Google Scholar]
- 35.Lee DS, Donovan L, Austin PC, Gong Y, Liu PP, Rouleau JL, Tu JV. Comparison of coding of heart failure and comorbidities in administrative and clinical data for use in outcomes research. Med Care. 2005;43:182–188. doi: 10.1097/00005650-200502000-00012. [DOI] [PubMed] [Google Scholar]
- 36.Quan H, Parsons GA, Ghali WA. Validity of information on comorbidity derived from ICD-9-CCM administrative data. Med Care. 2002;40:675–685. doi: 10.1097/00005650-200208000-00007. [DOI] [PubMed] [Google Scholar]
- 37.Li B, Evans D, Faris P, Dean S, Quan H. Risk adjustment performance of Charlson and Elixhauser comorbidities in ICD-9 and ICD-10 administrative databases. BMC Health Serv Res. 2008;8:12. doi: 10.1186/1472-6963-8-12. [DOI] [PMC free article] [PubMed] [Google Scholar]
- 38.Litvak E, Bisognano M. More patients, less payment: increasing hospital efficiency in the aftermath of health reform. Health Aff (Millwood) 2011;30:76–80. doi: 10.1377/hlthaff.2010.1114. [DOI] [PubMed] [Google Scholar]
- 39.Yasaitis L, Fisher ES, Skinner JS, Chandra A. Hospital quality and intensity of spending: is there an association? Health Aff (Millwood) 2009;28:w566–w572. doi: 10.1377/hlthaff.28.4.w566. [DOI] [PMC free article] [PubMed] [Google Scholar]
- 40.Jha AK, Orav EJ, Dobson A, Book RA, Epstein AM. Measuring efficiency: the association of hospital costs and quality of care. Health Aff (Millwood) 2009;28:897–906. doi: 10.1377/hlthaff.28.3.897. [DOI] [PubMed] [Google Scholar]
Associated Data
This section collects any data citations, data availability statements, or supplementary materials included in this article.
