Graphical abstract
Keywords: Extracellular matrix, Demineralized bone matrix, Hydrogel, Bone graft, Decellularization
Abstract
The extracellular matrix (ECM) of mammalian tissues has been isolated, decellularized and utilized as a scaffold to facilitate the repair and reconstruction of numerous tissues. Recent studies have suggested that superior function and complex tissue formation occurred when ECM scaffolds were derived from site-specific homologous tissues compared with heterologous tissues. The objectives of the present study were to apply a stringent decellularization process to demineralized bone matrix (DBM), prepared from bovine bone, and to characterize the structure and composition of the resulting ECM materials and DBM itself. Additionally, we sought to produce a soluble form of DBM and ECM which could be induced to form a hydrogel. Current clinical delivery of DBM particles for treatment of bone defects requires incorporation of the particles within a carrier liquid. Differences in osteogenic activity, inflammation and nephrotoxicity have been reported with various carrier liquids. The use of hydrogel forms of DBM or ECM may reduce the need for carrier liquids. DBM and ECM hydrogels exhibited sigmoidal gelation kinetics consistent with a nucleation and growth mechanism, with ECM hydrogels characterized by lower storage moduli than the DBM hydrogels. Enhanced proliferation of mouse primary calvarial cells was achieved on ECM hydrogels, compared with collagen type I and DBM hydrogels. These results show that DBM and ECM hydrogels have distinct structural, mechanical and biological properties and have the potential for clinical delivery without the need for carrier liquids.
1. Introduction
The extracellular matrix (ECM) of mammalian tissues can be isolated, decellularized and utilized as a biological scaffold [1]. Biological scaffolds derived from tissues such as the small intestine, urinary bladder or dermis have been shown to facilitate functional restoration of different tissues, including heart and vascular structures [2,3], oesophagus [4] and musculo-skeletal tissues [5,6]. The mechanisms by which constructive remodelling occur are well documented [7,8] and include the recruitment of progenitor cells [9], promotion of cell migration and proliferation [10,11], regional angiogenesis [12] and promotion of a favourable M2 macrophage phenotype at the interface of the host tissue and biological scaffold [13]. Although these tissue-derived biological materials have been successfully used in non-homologous sites, recent studies have demonstrated “tissue specificity”, with the occurrence of additional functions [14] and complex tissue formation [15–17] when biological scaffolds were derived from site-specific homologous tissues.
Musculo-skeletal conditions are the most common cause of severe long-term pain and physical disability worldwide [18], with more than 3 million musculoskeletal procedures performed annually in the USA [19]. Degenerative disease, severe infection, trauma and the excision of tumours can result in large non-healing defects in bone and other integrated tissues [20]. Current treatment options for bone have limited effectiveness. Although autologous bone grafts are considered to be the gold standard with the best clinical outcome, significant limitations include restricted availability of donor tissue and morbidity at the harvest site. Shortcomings of allografts comprise issues of processing, sterilization, disease transmission and potential immunogenic response [21], with high rates of fractures and complications, attributed to their limited ability to revascularize and remodel [22].
Bone graft substitutes, such as demineralized bone matrix (DBM), have been developed to overcome the limitations of both autografts and allografts [23]. Osteoconductive DBM is produced by the acid extraction of the mineral content from allogeneic bone and contains growth factors, non-collagenous proteins and type I collagen. Whilst the osteoinductive effect of DBM has been well documented in animal studies, albeit with variability [24,25], there is a paucity of similar information for human clinical studies [26], despite a robust clinical demand for DBM products. Differences in the preparation and processing methods and donor age all have an impact on DBM properties and clinical performance [27]. The end product of the demineralization process is a DBM powder. To facilitate handling, formulation and reliable delivery clinically these particles are usually incorporated in a carrier. For example, the most common clinical form of DBM is a mouldable putty, which involves formulation with a biocompatible viscous carrier that provides a stable suspension of DBM powder particles [27]. The viscous carriers are generally either water-soluble polymers, such as sodium hyaluronate or carboxymethylcellulose, or anhydrous water-miscible solvents, such as glycerol. Studies designed to test the effectiveness of various carriers on DBM efficacy are limited. One study reported nephrotoxicity [28] amidst speculation regarding glycerol as a carrier. Differences in osteogenic activity have also been observed [24,25,29] which may be related to different carriers, the amount of DBM in the carrier and ability of the carrier to localize the DBM particulates to the bone defect site for a sufficient period of time to promote bone regeneration [29]. Additionally, a recent study characterized an inflammatory response to four commercial bone graft substitutes and found that the three DBM materials produced more inflammation than a synthetic hydroxyapatite compound. It was undetermined whether the DBM material or carrier provoked the inflammatory response [30].
The objectives of the present study were to apply a stringent decellularization process to DBM prepared from bovine bone and to characterize the structure and composition of the DBM and resulting ECM materials. To our knowledge this is the first time that a demineralized ECM material has been produced from bone. Additionally, we sought to produce a soluble form of the DBM and ECM materials which could be induced to polymerize into a gel. The rationale was to provide enhanced clinical utility of these materials without the inclusion of a carrier. The long-term objective of this work was to develop a gel form of DBM/ECM biological material that retains osteoconductivity and osteoinductivity. The present study describes the first steps towards this goal with characterization of the gelation kinetics, rheological properties and in vitro cytocompatibility of the gels.
2. Materials and methods
2.1. Bone preparation
Fresh bovine tibiae were harvested from cattle aged 12–24 months, slaughtered by an EU certified butcher (J. Broomhall Ltd, Eastington, UK). Bones were received in segmented form and were separated into cancellous and cortical groups, with the cancellous group used in this study. Bones were either used as received or stored at −20 °C in order to preserve their osteoinductive potential [31] and were processed using a modification of previously reported methods [32]. Cancellous segments were cleaned of residual tissue and washed with phosphate-buffered saline (PBS) containing 0.1% w/v Gentamicin (Invitrogen, Paisley, UK). Washed segments were frozen in liquid nitrogen and sectioned to produce fragments no greater than 4 × 4 × 4 mm. Fragments were washed in distilled water, immersed in liquid nitrogen and ground in a commercial coffee mill (Krups F203) (Fig. 1A).
Fig. 1.
Production of ECM hydrogel from bone. Bovine tibiae were processed to form (A) fragments and then subjected to mineral, lipid and cell removal procedures to produce (B) decellularized bone (bECM) prior to pepsin digestion and solubilization to form an ECM hydrogel (C).
2.2. Demineralization and decellularization
Cancellous bone granules were demineralized using an adaptation of previously reported methods [33]. In brief, the granules were demineralized under agitation in 0.5 N HCl (25 ml g−1 bone) at room temperature for 24 h. Stirred beakers of bone granules and acid were agitated at 300 r.p.m. to generate a small vortex; particles were suspended in motion in the acid and did not settle during the process.
After demineralization the resultant material, referred to as bovine demineralized bone matrix (bDBM), was filter separated under vacuum from the acid and rinsed with distilled water. The lipid in the demineralized powder was then extracted with a 1:1 mixture of chloroform (Fisher Scientific, Loughborough, UK) and methanol (Fisher Scientific) for 1 h and then repeatedly rinsed, firstly in methanol and then distilled water. The bDBM was then snap frozen, lyophilized overnight and stored at −20 °C until required.
An enzymatic decellularization protocol, adapted from previously reported methods [34], was applied. Briefly, lyophilized bDBM was rinsed with distilled water and decellularized in a solution of 0.05% trypsin (Sigma–Aldrich, Poole, UK) and 0.02% ethylenediamine tetraacetic acid (EDTA) (Sigma–Aldrich) at 37 °C and 5% CO2 under continuous agitation for 24 h.
The resultant material, referred to as bovine decellularized matrix (bECM) was rinsed in PBS supplemented with 1% w/v penicillin/streptomycin under continuous agitation for 24 h at 4 °C to remove residual cellular material. The bECM was then snap frozen, lyophilized overnight and stored at −20 °C until required (Fig. 1B).
2.3. Digestion and solubilization
A previously reported pepsin digestion and solubilization technique was employed [35]. Lyophilized bDBM and bECM were separately added to 1 mg ml−1 pepsin in 0.01 N HCl for a final concentration of 10 mg matrix per ml suspension, i.e. 1 g dry matrix was mixed with 100 mg pepsin in 100 ml of 0.01 N HCl. The suspension was mixed on a stirrer plate at room temperature for 96 h, until no visible pieces of matrix remained. The resultant bDBM and bECM digests were aliquoted and stored at −20 °C until required.
2.4. Assessment of cellular content
Representative samples of lyophilized bDBM and bECM were fixed in 10% neutral buffered formalin and embedded in 3% agarose gel prior to paraffin embedding. Sections were cut at 5–7 μm thickness and stained with haemotoxylin and eosin (H&E) to identify the presence of any visible intact nuclei.
Quantification of DNA content was conducted by an adaptation of previously reported methods [36,37]. DNA was extracted from pepsin digests of lyophilized bDBM and bECM (10 mg ml−1 concentration) using 50:48:2 (vol.%) phenol/chloroform/isoamyl alcohol (Sigma–Aldrich, Poole, UK). DNA was precipitated from the aqueous phase at −20 °C by the addition of 0.1 volume of 3 M sodium acetate (pH 5.2) (Sigma–Aldrich, Poole, UK) and 2 volumes of ethanol and was then frozen. The frozen DNA was then centrifuged at 10,000g for 10 min to form a DNA pellet. The pellet was washed with ethanol, dried at room temperature and resuspended in 1 ml of TE buffer.
The concentration of each extracted DNA sample was determined using a Quant-iT™ PicoGreen dsDNA assay kit (Invitrogen, Paisley, UK) following the manufacturer’s protocol. A standard curve was constructed by preparing samples of known DNA concentration from 0 to 1000 ng ml−1. Extracted DNA samples were diluted to ensure their absorbencies fell within the linear region of the standard curve. Samples were read using a Tecan Infinite M200 plate reader (Tecan UK, Reading, UK).
2.5. Assessment of collagen content
The hydroxyproline content of pepsin digests of bDBM and bECM was determined by hydrolysing with concentrated HCl (1 ml of each solution) at 120 °C overnight. Samples were incubated uncapped at 90 °C until dry and then 4 ml of 0.25 M sodium phosphate buffer (pH 6.5) (Sigma–Aldrich, Poole, UK) was added to each sample. Blank pepsin solution was hydrolysed and used as a control and diluent for the assay. 50 μl of each sample was reacted with 50 μl of chloramine T solution (Sigma–Aldrich, Poole, UK) and allowed to oxidize at room temperature for 20 min. The samples were then mixed with 50 μl of p-dimethylaminobenzaldehyde (p-DAB) (Ehrlich’s reagent, Sigma–Aldrich, Poole, UK) and incubated at 60 °C for 30 min. A standard curve was constructed by preparing samples of known hydroxyproline concentrations from 0 to 30 μg ml−1. The colorimetric change at an absorbance of 540 nm was detected using a Tecan Infinite M200 plate reader (Tecan UK, Reading, UK). The total collagen content of the digests was determined using the relationship that hydroxyproline forms 14.3% of total collagen [38].
2.6. Gelation
Rat tail collagen type I, bDBM and bECM gels were formed using a previously described method [39,40]. Briefly, gelation was induced by neutralizing the salt concentration and pH of the pepsin digests or collagen solution at 4 °C followed by warming to 37 °C. Neutralization of the required digest volume occurred by addition of one tenth of the digest volume of 0.1 N NaOH, one ninth of the digest volume of 10× PBS and by then diluting to the desired final ECM concentration with 1× PBS on ice. Gelation of this pre-gel solution occurred after 1 h at 37 °C (Fig. 1C). Concentrations of 3 and 6 mg ml−1 bECM, bDBM and collagen were prepared.
Turbidimetric gelation kinetics of collagen type I (Coll I), bDBM and bECM hydrogels were determined spectrophotometrically as previously described [39]. Pre-gel solutions were kept at 4 °C and transferred to cold 96-well plates (100 μl). The plates were placed in a pre-warmed (37 °C) Tecan Infinite M200 plate reader and the turbidity of each well measured at 405 nm every 3 min for 1.5 h. Absorbance values for each well were recorded; six individual (n = 6) measurements of each hydrogel type and concentration were performed and the results averaged. These readings were then scaled from 0 (at time 0) to 1 (at maximum absorbance) to provide a normalized absorbance (NA) as shown in Eq. (1).
| (1) |
where A is the absorbance at a given time, A0 is the initial absorbance and Amax is the maximum absorbance. The lag time (tlag) was defined as the intercept of the linear region of the gelation curve with 0% absorbance.
2.7. Rheological characteristics
The rheological characteristics of bECM, bDBM and collagen type I hydrogels were determined using a Physica MCR 301 rheometer (Anton Paar, Hertford, UK). Pre-gel solutions at 4 °C were placed between 50 mm parallel plates separated by a 0.2 mm gap. The plates were pre-cooled in a humidified chamber to 4 °C and were then warmed to 37 °C during the first 75 s of each measurement run. Initially a 60 min time course experiment was performed during which the samples were subjected to an oscillatory strain of 1% at a constant angular frequency of 1 rad s−1 with readings taken every 30 s. Immediately following this the samples were subjected to an amplitude sweep covering the range 0.1–200% strain at the same constant angular frequency.
2.8. Gel morphology
Surface morphology of the bDBM, bECM and collagen type I hydrogels was examined by scanning electron microscopy (SEM). Gel specimens (400 μl per well) were fixed in 1 ml of 3% glutaraldehyde and then rinsed in PBS, followed by dehydration through a graded series of ethanol (30–100%). Subsequently the hydrogels were critically point dried in a Samdri pvt-3 critical point dryer (Tousimis, Rockville, MD). The samples were then attached to aluminium mounting stubs and sputter coated with platinum using a Polaron SC7640 (Quorum Technologies, Ashford, UK) sputter coater at a voltage of 2.2 kV and plasma current of 15 mA for 90 s. Hydrogels were then examined using a Phillips XL30 FEG SEM (FEI, Eindhoven, The Netherlands) and images were obtained at 8000× and 16,000× magnification.
2.9. In vitro cell proliferation
Mouse primary calvarial cells (mPCs), an osteogenic population of cells comprised predominantly of osteoblasts, were obtained from 1- to 3-day-old mouse calvaria by sequential enzymatic digestion. Briefly, the calvaria were dissected from CD1 neonates and digested using a solution of 1.4 mg ml−1 collagenase type IA and 0.5 mg ml−1 trypsin II S (Sigma–Aldrich, Poole, UK). Cells released in the first two populations (10 min each digestion) were discarded and the population of cells from the next three digestions (20 min each digestion) were plated in tissue culture flasks at a density of 6.6 × 103 cells cm−2. All digestions were performed on rollers set to 30 r.p.m. at 37 °C. Cells were cultured in α-minimal essential medium (Lonza, Slough, UK) containing 10% fetal calf serum (FCS) and 2 mM l-glutamine (Sigma–Aldrich, Poole, UK) and 100 U ml−1 penicillin and 100 μg ml−1 streptomycin (Invitrogen, Paisley, UK).
In vitro cell proliferation on the surface of 3 and 6 mg ml−1 bECM, bDBM and collagen type I hydrogels was characterized using the CellTiter96® Aqueous Non-radioactive MTS colorimetric assay (Promega, Southampton, UK). Briefly, pre-gel solutions kept at 4 °C and transferred to cold 96-well plates (100 μl). Once the hydrogels had formed (1 h at 37 °C) mPCs were added to the surface of the gels and cultured for 48–72 h. Proliferation was assessed following the manufacturer’s instructions; the CellTiter 96® MTS solution is bioreduced by cells to a formazan product, soluble in tissue culture medium. Briefly, 20 μl of CellTiter 96® AQueous One Solution was added to each well, incubated for 3 h and the absorbance of the formazan product at 490 nm measured directly using a Tecan Infinite M200 plate reader. The conversion of MTS to the aqueous soluble formazan product is accomplished by dehydrogenase enzymes found in metabolically active cells. Thus the quantity of formazan product measured as the 490 nm absorbance is directly proportional to the number of living cells in culture. The background absorbance of each distinct hydrogel type and concentration was subtracted from the absorbance of mPCs on the corresponding hydrogel to provide a normalized absorbance. All conditions were assessed in sextuplicate.
2.10. Statistical analysis
All statistical analyses were performed using GraphPad Instat (Graph Pad Software Inc., La Jolla, CA). All values are reported as means ± standard deviation. In vitro cell proliferation values were tested for normality and statistically compared using a Tukey–Kramer multiple comparisons test. Significance for all statistical analyses was defined as p < 0.001.
3. Results
3.1. Preparation of ECM hydrogel from bone
Fresh bovine tibiae were processed into a fragmented form and demineralized using acid extraction to remove the mineral content. Lipid removal was achieved with chloroform/methanol, and an enzymatic decellularization procedure was applied to the demineralized bone matrix (bDBM) to produce decellularized matrix material (bECM) (Fig. 1). The bDBM and bECM materials were digested and solubilized with pepsin and hydrogels were successfully prepared from both bDBM and bECM at concentrations of 3 and 6 mg ml−1. The higher ECM/DBM concentration hydrogels (6 mg ml−1) had a more rigid structure compared with the lower concentration (3 mg ml−1) hydrogels.
3.2. Cellular and collagen content of demineralized and decellularized material
Determination of effective decellularization was based upon established criteria [41,42], specifically: (i) removal of nuclei as observed by imaging and analysis of H&E and/or DAPI stained sections; (ii) samples should possess <50 ng double stranded DNA (dsDNA) per mg initial dry weight. H&E sections clearly showed that decellularization had removed all cell nuclei (Fig. 2B), but some cell nuclei appeared to be present in demineralized sections (Fig. 2A). Quantification of dsDNA content showed that this was considerably lower than the 50 ng threshold in both bDBM and bECM (Fig. 2C).
Fig. 2.

Decellularization was assessed by imaging and analysis of (H&E) stained sections of (A) bDBM and (B) bECM and (C) quantification of dsDNA content per mg dry weight measured with a Quant-iT PicoGreen dsDNA assay kit.
The soluble collagen contents of the bDBM and bECM material were determined to be 0.93 ± 0.06 and 0.92 ± 0.06 mgs of collagen per mg of initial dry weight respectively.
3.3. Turbidimetric gelation kinetics
The turbidimetric gelation kinetics of bDBM and bECM hydrogels were characterized spectrophotometrically and compared with the same concentration (3 and 6 mg ml−1) collagen type I hydrogels. The turbidimetric gelation kinetics for all materials and concentrations showed a sigmoidal shape (Fig. 3) with hydrogel formation occurring after a lag period (tlag). At both concentrations the collagen type I hydrogel had a shorter tlag than the bECM hydrogel, which had a shorter tlag than the bDBM hydrogel (Supplementary Fig. S1). Gelation kinetics appeared to be independent of concentration.
Fig. 3.
Turbidimetric gelation kinetics of bECM and bDBM hydrogels compared with collagen at (A) 3 and (B) 6 mg ml−1 concentrations. Pre-gel solutions were neutralized and added to the wells of a 96-well plate at 37 °C to induce gelation. The absorbance at 405 nm was measured at 3 min intervals and normalized between 0 (the initial absorbance) and 1 (the maximum absorbance). Data represent means ± standard deviation for n = 6.
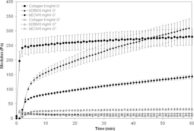
3.4. bDBM, bECM and collagen type I hydrogel rheology
The rheological characteristics of the bDBM and bECM hydrogels were determined using a parallel plate rheometer and compared with the same concentration (3 and 6 mg ml−1) collagen type I hydrogels. In each case the storage (G′) and loss (G″) moduli of the hydrogels increased after the pepsin digests (or pre-gel collagen type I solutions) were neutralized and the temperature was increased from 4 °C to 37 °C. Solid-like behaviour was confirmed as the storage moduli were greater than the loss moduli by a factor of approximately 10 for the bECM and bDBM hydrogels and a factor of approximately 20 for the collagen type I hydrogels (Fig. 4). The bECM, bDBM and collagen type I hydrogels showed an increase in rate of gelation with increasing concentration, with the bECM and bDBM hydrogels having storage moduli of 32.5 ± 3.8 and 58.7 ± 4.3 Pa, respectively, at 3 mg ml−1 (Supplementary Fig. S2) and 143.7 ± 7.6 and 313.0 ± 31.2 Pa at 6 mg ml−1 (Fig. 4).
Fig. 4.
Rheological characterization of bECM, bDBM and collagen type I 6 mg ml−1 hydrogels. The gelation kinetics were determined by monitoring changes in the storage modulus (G′) and loss modulus (G″) after inducing gelation. Data represent means ± standard deviation for n = 6.
Immediately following the time course studies the hydrogels were subjected to an amplitude sweep of 0.1–200% strain at a constant angular frequency. As expected from the collagen content results above, all hydrogels exhibited strain stiffening behaviour (Fig. 5), with the most marked peaks observed for collagen type I. Both the bDBM and bECM hydrogels exhibited strain stiffening at a lower strain rate than collagen type I for both concentrations. For the 6 mg ml−1 hydrogels the maximum modulus was achieved for collagen type I at 64% strain, whereas for bDBM and bECM this occurred at 20.5% strain (Fig. 5). The maximum storage moduli of collagen type I, bDBM and bECM 6 mg ml−1 hydrogels were 892.7 ± 127.1, 604.3 ± 133.7 and 274.3 ± 36.3 Pa, respectively (Fig. 5). For the 3 mg ml−1 hydrogels the maximum moduli occurred at 29.2% strain for bECM, 43.8% strain for bDBM and 93.6% strain for collagen type I. The maximum modulus of the bECM 3 mg ml−1 hydrogel was considerably lower (202.3 ± 14.2 Pa) than those of bDBM and collagen (507.3 ± 76.4 and 522.3 ± 82.5 Pa, respectively) (Supplementary Fig. S3).
Fig. 5.
Amplitude sweep of bECM, bDBM and collagen type I 6 mg ml−1 hydrogels. The storage modulus (G′) and loss modulus (G″) were monitored when hydrogels were subjected to an amplitude sweep of 0.1–200% strain at a constant angular frequency. Data represent means ± standard deviation for n = 6.
3.5. Hydrogel morphology
SEM of the surface of bECM, bDBM and collagen type I hydrogels showed qualitatively that both the bDBM and bECM hydrogels possessed a randomly oriented fibrillar structure, similar to collagen type I (Fig. 6). At both 3 (Fig. 6A, C and E) and 6 mg ml−1 (Fig. 6B, D and F) all three types of hydrogels were nanofibrous with what appeared to be interconnecting pores. The organization of the collagen fibres in the bECM (Fig. 6A and B) and bDBM (Fig. 6C and D) hydrogels appeared visually similar to that of collagen type I (Fig. 6E and F).
Fig. 6.
Scanning electron micrographs of (A) bECM gel 3 mg ml−1, (B) bECM gel 6 mg ml−1, (C) bDBM gel 3 mg ml−1, (D) bDBM gel 6 mg ml−1, (E) collagen type I gel 3 mg ml−1 and (F) collagen type I gel 6 mg ml−1. All images 8000× magnification.
3.6. In vitro cell culture
mPCs were cultured on the surface of 3, 4, 6 and 8 mg ml−1 bECM, bDBM and collagen type I hydrogels. Proliferation of mPCs upon the hydrogels was assessed after 2 and 3 days. Increased proliferation of mPCs occurred between days 2 and 3 on bECM gels. Cell number was significantly greater (p < 0.001) on the bECM gels compared with collagen type I and bDBM hydrogels on day 3. Similar trends were observed at all concentrations, with the results shown in Fig. 7 for 3 mg ml−1 gels. Proliferation of an immortalized cell line on 4 mg ml−1 hydrogels is included as Supplementary Fig. S4.
Fig. 7.
Proliferation of mPCs on Coll 1, bDBM and bECM hydrogels. ∗, significance between D2 and D3 for bECM; †, significance between bECM and collagen type I at the same time point; ‡, significance between bECM and bDBM at the same time point.
4. Discussion
DBM was prepared from bovine bone (bDBM) using an adaptation of well-documented acid extraction and lipid removal processes [33]. The bDBM was then decellularized (bECM) and both materials were solubilized and subsequently induced to form a hydrogel under physiologically relevant conditions (pH, salt concentration and temperature). The bDBM and bECM hydrogels were evaluated for structural, mechanical and in vitro cell response characteristics.
Recognition of the deleterious effects in vivo of residual cellular content upon constructive remodelling [13] has led to a recent definition of minimum criteria for decellularization [42]. The residual DNA content of both the bDBM and bECM materials (Fig. 2C) was determined to be considerably lower than the upper limit of 50 ng dsDNA content recommended for complete decellularization [42]. In addition, H&E staining clearly showed the qualitative absence of nuclei in the bECM sections, whereas some nuclei can be observed in the bDBM sections. This is in keeping with reported observations that DBM may retain a small percentage of cellular debris [27].
The soluble collagen content of the bDBM and bECM materials was determined to be very similar (0.93 ± 0.06 and 0.92 ± 0.06 collagen mg initial dry weight−1, respectively). This was expected, since bDBM (and consequently bECM) material directly derived from bone is known to be a composite of collagens (mostly type I), non-collagenous proteins and growth factors, residual calcium phosphate and retained cellular debris [27]. The collagenous nature of the bDBM and bECM prompted the use of collagen type I as a comparator material in the evaluation of the structural, mechanical and in vitro cell response characteristics.
The in vitro self-assembly of collagen monomers into fibrils has been well studied turbidimetrically [43–45], with the mechanisms of fibre network formation clearly elucidated [46]. Turbidity measurements employed in this work showed that both bDBM and bECM hydrogels exhibited sigmoidal gelation kinetics consistent with a nucleation and growth mechanism. Although the components responsible for gelation are unknown, the high soluble collagen content of the material would suggest that gelation is largely due to the presence of self-assembling collagen molecules. However, the turbidimetric gelation kinetics of both bECM and bDBM hydrogels were slower than collagen type I at the same total protein concentrations. This is most likely due to the presence of glycosaminoglycans (GAGs), different types of collagen (III and IV) and other molecules which can modulate collagen self-assembly. It has previously been demonstrated that collagen type I and interstitial ECM (derived from porcine small intestine submucosa) possess different kinetic parameters of assembly, in particular the length of the lag phase [45]. A decrease in turbidimetric absorbance and change in gelation kinetics of collagen type I when mixed with GAGs has also been observed, although the precise rationale for these changes has not been described [45]. Nonetheless, these findings suggest that the gelation behaviour of the bDBM and bECM hydrogels results from complex interactions between the different components retained in the materials rather than being purely dictated by collagen self-assembly.
A complex gelation behaviour of the bDBM and bECM hydrogels was also indicated by rheological assessments. Although the gelation kinetics followed a sigmoidal shape, the storage moduli of both bDBM and bECM continued to increase throughout the experimental period; two phase gelation occurred at both hydrogel concentrations. As reported above, this rheological behaviour is likely due to the presence of other molecules, such as GAGs, which have been shown to directly affect gel mechanical properties [47]. A similar outcome was reported for a hydrogel derived from urinary bladder matrix (UBM) [39].
Although the storage modulus of the 6 mg ml−1 bECM hydrogel (143.7 ± 7.6 Pa) was similar to that recently reported for a hydrogel derived from decellularized dermal ECM [40], the bECM gels had significantly lower storage moduli than the bDBM or collagen type I hydrogels at both concentrations. The decellularization process discussed herein comprised the use of an enzymatic agent (trypsin) combined with a chelating agent (EDTA). Whilst trypsin is effective in the removal of cell nuclei even from dense tissues [42], cleavage of proteins such as collagen and elastin and consequent ECM disruption can occur, and this is correlated with changes in the mechanical properties [48]. This effect is also evident in the strain stiffening behaviour, where the maximum modulus of the bECM hydrogel was significantly lower than that of bDBM or collagen type I at both concentrations. The maximum modulus for bECM also occurred at a lower strain rate, indicating possible disruption of the hydrogel structure.
Biological scaffolds prepared from decellularized tissue have been shown to promote and facilitate constructive tissue remodelling in pre-clinical studies [6,41]. Whilst the mechanisms of this phenomenon are not fully elucidated [40], modulation of the host immune response, recruitment of endogenous stem and progenitor cells and complete scaffold degradation play important roles. Degradation of intact ECM promotes the release of matricryptic molecules that possess bioactive properties, including chemoattractant effects and antimicrobial activity [9]. Additionally, molecules released from in vitro pepsin-degraded and solubilized ECM scaffolds have been shown to affect the timing and nature of recruitment and proliferation of appropriate cell types [10]. In the present work we assessed the mitogenic capacity of the bECM and bDBM hydrogels, using calvarial cells, a relevant cell type for bone. The in vitro pepsin-digested and solubilized bECM hydrogel induced a higher proliferation rate compared with the similarly treated bDBM hydrogel or collagen, with cell numbers significantly greater (p < 0.001) on the bECM hydrogels on day 3. DeQuach et al. [49] recently reported a similar increased proliferative effect of the degradation products of a skeletal muscle ECM hydrogel upon smooth muscle cells and skeletal myoblasts.
Interestingly, the proliferation of mPCs was not only significantly increased compared with collagen but also to the pepsin-digested and solubilized bDBM hydrogel. We postulate that the presence of cellular debris in the bDBM material may interfere with the activity of matricryptic molecules. Recent studies of host remodelling outcomes in response to biological scaffolds with and without cellular components may provide insights into this. Rapid degradation of acellular scaffolds was followed by replacement with site-appropriate functional host tissue, whereas the presence of cellular remnants shifted the macrophage polarization profile to predominantly M1, pro-inflammatory phenotype, and was associated with deposition of dense connective tissue [13]. This poor remodelling outcome observed for cellular content in vivo may also be potentially caused by reduced proliferative capacity in vitro.
Cellular content may also be associated with the presence of the cell surface α-Gal epitope (galactose-α1,3-galactosyl-β1,4-N-acetyl glucosamine) [50]. The α-Gal epitope is naturally produced on glycolipids and glycoproteins in non-primate mammals, including pigs and cows [51]. However, it is absent in humans and instead a natural antibody, the anti-Gal antibody is produced. During transplantation of xenografts from pigs to humans anti-Gal antibody binds to the α-Gal epitope causing graft rejection. The role of α-Gal in modulating immune responses to xenogeneic ECM is more ambiguous. ECM materials derived from porcine small intestine submucosa contain α-Gal epitopes. In studies in both mice [52] and non-human primates [53] the presence of α-Gal did not adversely affect the immune and remodelling response to SIS-ECM implants. More recently decellularized bovine anterior cruciate ligament (ACL) tissues were treated with α-galactosidase to remove α-Gal epitopes [54]. No significant difference was seen between α-galactosidase-treated and decellularized bovine ACLs, which suggests that the decellularization process itself may have removed α-Gal epitopes [54] and that the lower number of remaining α-Gal epitopes is insufficient to cause an adverse host response.
The mechanical environment of the substrate significantly affects in vitro cell behaviour and thus the bECM and bDBM hydrogel structure and mechanical properties may also influence the cell response. A recent study characterized the cell infiltration and contraction of a porcine-derived dermal ECM hydrogel compared with a UBM hydrogel [40]. UBM hydrogels possess a lower storage modulus and larger pore size and are thus more readily infiltrated by fibroblasts at the same ECM concentration. The bECM hydrogels studied in this work possess lower moduli than both the collagen and bDBM hydrogels, and this may have contributed to the in vitro cell response. However, fibroblast proliferation has also been shown to increase with increased collagen hydrogel stiffness [55]. It is thus logical to consider that the cellular responses to bECM, bDBM and collagen hydrogels represent the overall effect of hydrogel structure, mechanical properties, constitutive molecules and the biological activity of degradation products.
The objectives of this study were to apply a stringent decellularization process to DBM, prepared from bovine bone, and to characterize the structure and composition of the bDBM and resulting bECM materials. To our knowledge this is the first time that an acellular matrix material has been produced from demineralized bone. Additionally, we have produced hydrogel forms of bDBM and bECM that possess distinct structural, mechanical and biological characteristics. Rheological characterization demonstrated that the rheological properties varied as a function of hydrogel concentration, thus ensuring that the properties of the hydrogels can be tailored for specific applications. The long-term objective of this work is to develop a gel form of DBM/ECM biological material that retains osteoconductivity and osteoinductivity. We have described the first steps towards this goal through the development of tissue-specific hydrogel scaffolds.
5. Conclusion
Bone graft substitutes, such as DBM, are usually incorporated within a carrier liquid. However, carrier liquids have been implicated in unreliable clinical delivery, including issues relating to inflammation and differences in osteogenic activity. Demineralized and decellularized bone matrices, prepared from bovine bone, can be solubilized and induced to form hydrogels. These bDBM and bECM hydrogels have distinct structural, mechanical and biological properties and have the potential for clinical delivery without the inclusion of a carrier. The biological properties of the bECM material suggest that the constituent molecules released during in vitro scaffold degradation enhance cell proliferation.
Acknowledgements
The authors would like to thank Dr Alexander Huber for assistance with the digestion and solubilization, Janet Reing for assistance with the DNA quantification and Dr Hassan Rashidi for provision of the green fluorescent protein labelled mesenchymal stem cells. This research was supported by the EPSRC Doctoral Training Centre in Regenerative Medicine, the EPSRC Centre for Innovative Manufacturing in Regenerative Medicine (Grant ECP038/0512), the Biotechnology and Biological Sciences Research Council (BBSRC), UK through a LoLa grant (BB/G010617/1) and by funding from the European Research Council under the European Community’s Seventh Framework Programme (FP7/2007-2013)/ERC grant agreement 227845.
Appendix A. Supplementary data
Supplementary Fig. 1.
Gelation kinetics of bECM, bDBM and collagen type I hydrogels. Hydrogel formation occurred after a lag period (tlag).
Supplementary Fig. 2.
Rheological characterization of bECM, bDBM and collagen type I 3 mg ml−1 hydrogels. Representative curves of the gelation kinetics were determined by monitoring changes in the storage modulus (G′) and loss modulus (G″) after inducing gelation
Supplementary Fig. 3.
Amplitude sweep of bECM, bDBM and collagen type I 3 mg ml−1 hydrogels. The storage modulus (G′) and loss modulus (G″) were monitored when hydrogels were subjected to an amplitude sweep of 0.1–200% strain at a constant angular frequency. Data represent means ± standard deviation for n = 6.
Supplementary Fig. 4.
Proliferation of green fluorescent protein labelled human mesenchymal stem cells on Coll 1, bDBM and bECM hydrogels. ∗, significance between D2 and D3 for bECM; †, significance between bECM and collagen type I at the same time point; ‡, significance between bECM and bDBM at the same time point.
Appendix B. Figures with essential color discrimination
Certain figures in this article, particularly Figs. 1 and 2, are difficult to interpret in black and white. The full color images can be found in the on-line version, at http://dx.doi.org/10.1016/j.actbio.2013.04.029.
References
- 1.Badylak S.F. The extracellular matrix as a biologic scaffold material. Biomaterials. 2007;28:3587–3593. doi: 10.1016/j.biomaterials.2007.04.043. [DOI] [PubMed] [Google Scholar]
- 2.Badylak S.F., Kochupura P.V., Cohen I.S., Doronin S.V., Saltman A.E., Gilbert T.W. The use of extracellular matrix as an inductive scaffold for the partial replacement of functional myocardium. Cell Transplant. 2006;15:S29–S40. doi: 10.3727/000000006783982368. [DOI] [PubMed] [Google Scholar]
- 3.Quarti A., Nardone S., Colaneri M., Santoro G., Pozzi M. Preliminary experience in the use of an extracellular matrix to repair congenital heart diseases. Interact Cardiovasc Thorac Surg. 2011;13:569–572. doi: 10.1510/icvts.2011.280016. [DOI] [PubMed] [Google Scholar]
- 4.Badylak S.F., Vorp D.A., Spievack A.R., Simmons-Byrd A., Hanke J., Freytes D.O. Esophageal reconstruction with ECM and muscle tissue in a dog model. J Surg Res. 2005;128:87–97. doi: 10.1016/j.jss.2005.03.002. [DOI] [PubMed] [Google Scholar]
- 5.Turner N.J., Yates A.J., Weber D.J., Qureshi I.R., Stolz D.B., Gilbert T.W. Xenogeneic extracellular matrix as an inductive scaffold for regeneration of a functioning musculotendinous junction. Tissue Eng Part A. 2010;16:3309–3317. doi: 10.1089/ten.TEA.2010.0169. [DOI] [PubMed] [Google Scholar]
- 6.Valentin J.E., Turner N.J., Gilbert T.W., Badylak S.F. Functional skeletal muscle formation with a biologic scaffold. Biomaterials. 2010;31:7475–7484. doi: 10.1016/j.biomaterials.2010.06.039. [DOI] [PMC free article] [PubMed] [Google Scholar]
- 7.Badylak S.F. The extracellular matrix as a scaffold for tissue reconstruction. Semin Cell Dev Biol. 2002;13:377–383. doi: 10.1016/s1084952102000940. [DOI] [PubMed] [Google Scholar]
- 8.Wolf M.T., Daly K.A., Reing J.E., Badylak S.F. Biologic scaffold composed of skeletal muscle extracellular matrix. Biomaterials. 2012;33:2916–2925. doi: 10.1016/j.biomaterials.2011.12.055. [DOI] [PMC free article] [PubMed] [Google Scholar]
- 9.Beattie A.J., Gilbert T.W., Guyot J.P., Yates A.J., Badylak S.F. Chemoattraction of progenitor cells by remodeling extracellular matrix scaffolds. Tissue Eng Part A. 2009;15:1119–1125. doi: 10.1089/ten.tea.2008.0162. [DOI] [PMC free article] [PubMed] [Google Scholar]
- 10.Reing J.E., Zhang L., Myers-Irvin J., Cordero K.E., Freytes D.O., Heber-Katz E. Degradation products of extracellular matrix affect cell migration and proliferation. Tissue Eng Part A. 2009;15:605–614. doi: 10.1089/ten.tea.2007.0425. [DOI] [PubMed] [Google Scholar]
- 11.Vorotnikova E., McIntosh D., Dewilde A., Zhang J., Reing J.E., Zhang L. Extracellular matrix-derived products modulate endothelial and progenitor cell migration and proliferation in vitro and stimulate regenerative healing in vivo. Matrix Biol. 2010;29:690–700. doi: 10.1016/j.matbio.2010.08.007. [DOI] [PubMed] [Google Scholar]
- 12.Valentin J.E., Badylak J.S., McCabe G.P., Badylak S.F. Extracellular matrix bioscaffolds for orthopaedic applications. A comparative histologic study. J Bone Joint Surg Am. 2006;88:2673–2686. doi: 10.2106/JBJS.E.01008. [DOI] [PubMed] [Google Scholar]
- 13.Brown B.N., Valentin J.E., Stewart-Akers A.M., McCabe G.P., Badylak S.F. Macrophage phenotype and remodeling outcomes in response to biologic scaffolds with and without a cellular component. Biomaterials. 2009;30:1482–1491. doi: 10.1016/j.biomaterials.2008.11.040. [DOI] [PMC free article] [PubMed] [Google Scholar]
- 14.Sellaro T.L., Ranade A., Faulk D.M., McCabe G.P., Dorko K., Badylak S.F. Maintenance of human hepatocyte function in vitro by liver-derived extracellular matrix gels. Tissue Eng Part A. 2010;16:1075–1082. doi: 10.1089/ten.tea.2008.0587. [DOI] [PMC free article] [PubMed] [Google Scholar]
- 15.Cortiella J., Niles J., Cantu A., Brettler A., Pham A., Vargas G. Influence of acellular natural lung matrix on murine embryonic stem cell differentiation and tissue formation. Tissue Eng Part A. 2010;16:2565–2580. doi: 10.1089/ten.tea.2009.0730. [DOI] [PubMed] [Google Scholar]
- 16.Petersen T.H., Calle E.A., Zhao L., Lee E.J., Gui L., Raredon M.B. Tissue-engineered lungs for in vivo implantation. Science. 2010;329:538–541. doi: 10.1126/science.1189345. [DOI] [PMC free article] [PubMed] [Google Scholar]
- 17.Uygun B.E., Soto-Gutierrez A., Yagi H., Izamis M.-L., Guzzardi M.A., Shulman C. Organ reengineering through development of a transplantable recellularized liver graft using decellularized liver matrix. Nat Med. 2010;16:814–820. doi: 10.1038/nm.2170. [DOI] [PMC free article] [PubMed] [Google Scholar]
- 18.Woolf A.D., Pfleger B. Burden of major musculoskeletal conditions. Bull World Health Organ. 2003;81:646–656. [PMC free article] [PubMed] [Google Scholar]
- 19.Jahangir A.A., Nunley R.M., Mehta S., Sharan A.D. Bone-graft substitutes in orthopaedic surgery. AAOS. 2008;2:1. [Google Scholar]
- 20.Evaluation criteria for musculoskeletal and craniofacial tissue engineering constructs: a conference report. Tissue Eng Part A 2008;14:2089–2104. [DOI] [PMC free article] [PubMed]
- 21.Dinopoulos H., Dimitriou R., Giannoudis P.V. Bone graft substitutes: what are the options? The Surgeon. 2012;10:230–239. doi: 10.1016/j.surge.2012.04.001. [DOI] [PubMed] [Google Scholar]
- 22.Guldberg R.E. Spatiotemporal delivery strategies for promoting musculoskeletal tissue regeneration. J Bone Miner Res. 2009;24:1507–1511. doi: 10.1359/jbmr.090801. [DOI] [PubMed] [Google Scholar]
- 23.Greenwald A.S., Boden S.D., Goldberg V.M., Khan Y., Laurencin C.T., Rosier R.N. Bone-graft substitutes: facts, fictions, and applications. J Bone Joint Surg. 2001;83:S98–S103. doi: 10.2106/00004623-200100022-00007. [DOI] [PubMed] [Google Scholar]
- 24.Peterson B., Whang P.G., Iglesias R., Wang J.C., Lieberman J.R. Osteoinductivity of commercially available demineralized bone matrix preparations in a spine fusion model. J Bone Joint Surg. 2004;86:2243–2250. doi: 10.2106/00004623-200410000-00016. [DOI] [PubMed] [Google Scholar]
- 25.Wang J.C., Alanay A., Mark D., Kanim L.E., Campbell P.A., Dawson E.G. A comparison of commercially available demineralized bone matrix for spinal fusion. Eur Spine J. 2007;16:1233–1240. doi: 10.1007/s00586-006-0282-x. [DOI] [PMC free article] [PubMed] [Google Scholar]
- 26.De Long W.G., Einhorn T.A., Koval K., McKee M., Smith W., Sanders R. Bone grafts and bone graft substitutes in orthopaedic trauma surgery: a critical analysis. J Bone Joint Surg. 2007;89:649–658. doi: 10.2106/JBJS.F.00465. [DOI] [PubMed] [Google Scholar]
- 27.Gruskin E., Doll B.A., Futrell F.W., Schmitz J.P., Hollinger J.O. Demineralized bone matrix in bone repair: history and use. Adv Drug Deliv Rev. 2012;64:1063–1077. doi: 10.1016/j.addr.2012.06.008. [DOI] [PMC free article] [PubMed] [Google Scholar]
- 28.Bostrom M.P., Yang X., Kennan M., Sandhu H., Dicarlo E., Lane J.M. An unexpected outcome during testing of commercially available demineralized bone graft materials: how safe are the nonallograft components? Spine (Phila Pa 1976) 2001;26:1425–1428. doi: 10.1097/00007632-200107010-00007. [DOI] [PubMed] [Google Scholar]
- 29.Acarturk T.O., Hollinger J.O. Commercially available demineralized bone matrix compositions to regenerate calvarial critical-sized bone defects. Plast Reconstr Surg. 2006;118:862–873. doi: 10.1097/01.prs.0000232385.81219.87. [DOI] [PubMed] [Google Scholar]
- 30.Markel D.C., Guthrie S.T., Wu B., Song Z., Wooley P.H. Characterization of the inflammatory response to four commercial bone graft substitutes using a murine biocompatibility model. J Inflamm Res. 2012;5:13–18. doi: 10.2147/JIR.S21411. [DOI] [PMC free article] [PubMed] [Google Scholar]
- 31.Yazdi M., Bernick S., Paule W.J., Nimni M.E. Postmortem degradation of demineralized bone matrix osteoinductive potential. Effect of time and storage temperature. Clin Orthop Relat Res. 1991;262:281–285. [PubMed] [Google Scholar]
- 32.Lomas R.J., Gillan H.L., Matthews J.B., Ingham E., Kearney J.N. An evaluation of the capacity of differently prepared demineralised bone matrices (DBM) and toxic residuals of ethylene oxide (EtOx) to provoke an inflammatory response in vitro. Biomaterials. 2001;22:913–921. doi: 10.1016/s0142-9612(00)00255-6. [DOI] [PubMed] [Google Scholar]
- 33.Pietrzak W.S., Ali S.N., Chitturi D., Jacob M., Woodell-May J.E. BMP depletion occurs during prolonged acid demineralization of bone: characterization and implications for graft preparation. Cell Tissue Bank. 2011;12:81–88. doi: 10.1007/s10561-009-9168-6. [DOI] [PubMed] [Google Scholar]
- 34.Schenke-Layland K., Vasilevski O., Opitz F., König K., Riemann I., Halbhuber K.J. Impact of decellularization of xenogeneic tissue on extracellular matrix integrity for tissue engineering of heart valves. J Struct Biol. 2003;143:201–208. doi: 10.1016/j.jsb.2003.08.002. [DOI] [PubMed] [Google Scholar]
- 35.Hong Y., Huber A., Takanari K., Amoroso N.J., Hashizume R., Badylak S.F. Mechanical properties and in vivo behavior of a biodegradable synthetic polymer microfiber – extracellular matrix hydrogel biohybrid scaffold. Biomaterials. 2011;32:3387–3394. doi: 10.1016/j.biomaterials.2011.01.025. [DOI] [PMC free article] [PubMed] [Google Scholar]
- 36.Gilbert T.W., Freund J.M., Badylak S.F. Quantification of DNA in biologic scaffold materials. J Surg Res. 2009;152:135–139. doi: 10.1016/j.jss.2008.02.013. [DOI] [PMC free article] [PubMed] [Google Scholar]
- 37.Keane T.J., Londono R., Turner N.J., Badylak S.F. Consequences of ineffective decellularization of biologic scaffolds on the host response. Biomaterials. 2012;33:1771–1781. doi: 10.1016/j.biomaterials.2011.10.054. [DOI] [PubMed] [Google Scholar]
- 38.Woessner J.F. The determination of hydroxyproline in tissue and protein samples containing small proportions of this imino acid. Arch Biochem Biophys. 1961;93:440–447. doi: 10.1016/0003-9861(61)90291-0. [DOI] [PubMed] [Google Scholar]
- 39.Freytes D.O., Martin J., Velankar S.S., Lee A.S., Badylak S.F. Preparation and rheological characterization of a gel form of the porcine urinary bladder matrix. Biomaterials. 2008;29:1630–1637. doi: 10.1016/j.biomaterials.2007.12.014. [DOI] [PubMed] [Google Scholar]
- 40.Wolf M.T., Daly K.A., Brennan-Pierce E.P., Johnson S.A., Carruthers C.A., D’Amore A. A hydrogel derived from decellularized dermal extracellular matrix. Biomaterials. 2012;33:7028–7038. doi: 10.1016/j.biomaterials.2012.06.051. [DOI] [PMC free article] [PubMed] [Google Scholar]
- 41.Reing J.E., Brown B.N., Daly K.A., Freund J.M., Gilbert T.W., Hsiong S.X. The effects of processing methods upon mechanical and biologic properties of porcine dermal extracellular matrix scaffolds. Biomaterials. 2010;31:8626–8633. doi: 10.1016/j.biomaterials.2010.07.083. [DOI] [PMC free article] [PubMed] [Google Scholar]
- 42.Crapo P.M., Gilbert T.W., Badylak S.F. An overview of tissue and whole organ decellularization processes. Biomaterials. 2011;32:3233–3243. doi: 10.1016/j.biomaterials.2011.01.057. [DOI] [PMC free article] [PubMed] [Google Scholar]
- 43.Wood G.C. The formation of fibrils from collagen solutions. 2. A mechanism of collagen-fibril formation. Biochem J. 1960;75:598–605. doi: 10.1042/bj0750598. [DOI] [PMC free article] [PubMed] [Google Scholar]
- 44.Wood G.C., Keech M.K. The formation of fibrils from collagen solutions. 1. The effect of experimental conditions: kinetic and electron-microscope studies. Biochem J. 1960;75:588–598. doi: 10.1042/bj0750588. [DOI] [PMC free article] [PubMed] [Google Scholar]
- 45.Brightman A.O., Rajwa B.P., Sturgis J.E., McCallister M.E., Robinson J.P., Voytik-Harbin S.L. Time-lapse confocal reflection microscopy of collagen fibrillogenesis and extracellular matrix assembly in vitro. Biopolymers. 2000;54:222–234. doi: 10.1002/1097-0282(200009)54:3<222::AID-BIP80>3.0.CO;2-K. [DOI] [PubMed] [Google Scholar]
- 46.Y.-l. Yang., Kaufman L.J. Rheology and confocal reflectance microscopy as probes of mechanical properties and structure during collagen and collagen/hyaluronan self-assembly. Biophys J. 2009;96:1566–1585. doi: 10.1016/j.bpj.2008.10.063. [DOI] [PMC free article] [PubMed] [Google Scholar]
- 47.Stuart K., Panitch A. Influence of chondroitin sulfate on collagen gel structure and mechanical properties at physiologically relevant levels. Biopolymers. 2008;89:841–851. doi: 10.1002/bip.21024. [DOI] [PubMed] [Google Scholar]
- 48.Yang M., Chen C.Z., Wang X.N., Zhu Y.B., Gu Y.J. Favorable effects of the detergent and enzyme extraction method for preparing decellularized bovine pericardium scaffold for tissue engineered heart valves. J Biomed Mater Res B Appl Biomater. 2009;91:354–361. doi: 10.1002/jbm.b.31409. [DOI] [PubMed] [Google Scholar]
- 49.DeQuach J.A., Lin J.E., Cam C., Hu D., Salvatore M.A., Sheikh F. Injectable skeletal muscle matrix hydrogel promotes neovascularization and muscle cell infiltration in a hindlimb ischemia model. Eur Cell Mater. 2012;23:400–412. doi: 10.22203/ecm.v023a31. [DOI] [PMC free article] [PubMed] [Google Scholar]
- 50.Badylak S.F., Gilbert T.W. Immune response to biologic scaffold materials. Semin Immunol. 2008;20:109–116. doi: 10.1016/j.smim.2007.11.003. [DOI] [PMC free article] [PubMed] [Google Scholar]
- 51.Galili U. The [alpha]-gal epitope and the anti-Gal antibody in xenotransplantation and in cancer immunotherapy. Immunol Cell Biol. 2005;83:674–686. doi: 10.1111/j.1440-1711.2005.01366.x. [DOI] [PubMed] [Google Scholar]
- 52.Raeder R.H., Badylak S.F., Sheehan C., Kallakury B., Metzger D.W. Natural anti-galactose α1,3 galactose antibodies delay, but do not prevent the acceptance of extracellular matrix xenografts. Transpl Immunol. 2002;10:15–24. doi: 10.1016/s0966-3274(01)00044-2. [DOI] [PubMed] [Google Scholar]
- 53.Daly K.A., Stewart-Akers A.M., Hara H., Ezzelarab M., Long C., Cordero K. Effect of the αGal epitope on the response to small intestinal submucosa extracellular matrix in a nonhuman primate model. Tissue Eng Part A. 2009;15:3877–3888. doi: 10.1089/ten.TEA.2009.0089. [DOI] [PubMed] [Google Scholar]
- 54.Yoshida R., Vavken P., Murray M.M. Decellularization of bovine anterior cruciate ligament tissues minimizes immunogenic reactions to alpha-gal epitopes by human peripheral blood mononuclear cells. Knee. 2012;19:672–675. doi: 10.1016/j.knee.2011.08.002. [DOI] [PMC free article] [PubMed] [Google Scholar]
- 55.Hadjipanayi E., Mudera V., Brown R.A. Close dependence of fibroblast proliferation on collagen scaffold matrix stiffness. J Tissue Eng Regen Med. 2009;3:77–84. doi: 10.1002/term.136. [DOI] [PubMed] [Google Scholar]











