Abstract
Objective
Increasing prevalence of childhood obesity and associated risks of adult type disease have led to worldwide concern. It remains unclear how genetic predisposition, environmental exposure to obesogenic food, and developmental programming interact to lead to overweight and obese children. The development of a nonhuman primate model of obesity, and particularly juvenile obesity, is an important step to elucidating the factors associated with obesity and evaluating intervention strategies.
Design and Methods
Infant marmosets were followed from birth to 12 months of age. Feeding phenotypes were determined through the use of behavioral observation, solid food intake trials, and liquid feeding trials monitored via lickometer.
Results
Marmosets found to be Obese at 12 months of age (more than 14%body fat) start consuming solid food sooner and initiate more time off of care givers. These individuals developed stable feeding phenotypes that included being more efficient consumers during liquid intake trials, drinking more grams of diet per contact with the licksit.
Conclusions
The weaning process appears to be particularly important in the development of feeding phenotypes and the development of juvenile obesity for the marmosets, and thus this is the time that should be focused upon for intervention testing in both nonhuman primates and children.
Keywords: weaning behavior, meal pattern, feeding phenotype, lickometer
INTRODUCTION
The increasing prevalence of obesity in western societies has led the World Health Organization to declare a global epidemic (1–3). Obesity is associated with increased risks of morbidity and mortality with increased rates of diseases such as Type II diabetes, and cardiovascular disease. In the USA approximately one third of the adult population is considered obese, and the health costs associated with obesity are of great concern. The USA implemented the Healthy People 2010 initiative (4), which hoped to bring the prevalence of obesity down to less than 15% for each state, rather than the 30% or more seen in many states. To date these goals have not been reached, and surveys suggest that the prevalence of clinical obesity is continuing to increase in many regions (5). In fact current estimates suggest that 35% of adults over age 20 are clinically obese, and 17 % of children aged 2–19 years are clinically obese (2).
The underlying causes of this rapid shift in obesity in the US since the 1980’s remain unclear. Of particular concern is the increase in childhood obesity which is associated with increased risks of adult obesity and of early onset of adult disease including type II diabetes, and non-alcohol fatty liver disease (6). Studies have linked childhood obesity to changes in activity, feeding patterns, and perceptions regarding obesity both in parents and caregivers (7–9). The need for interventions to prevent and reduce obesity in children is clear. However, it is unclear what types of interventions should be instituted to try to change the growth trajectories of the children (10). Specifically, should diet type and amount be altered and at what developmental age or stage of growth? In order to be able to evaluate potential intervention strategies it is necessary to determine whether feeding patterns actually differ during development and whether these alterations are associated with increased risk of obesity either during childhood or early adulthood. Human studies are often complicated not only by the broad variability between individuals but also the lack of compliance and accurate reporting of nutritional intake, especially in regards to children (7, 9). Rodents have historically been studied as a model of obesity as a genetically and environmentally efficient animal model. However, rodents offer a limited model for human obesity due to the phylogenetic differences underlying fat cell function and distribution, as well as the circadian patterns underlying food consumption. A model non-human primate species would be ideal to evaluate changes associated with feeding patterns, daily intake, and social cues associated with feeding (11).
Many of the primate models examined to date have focused upon the maternal condition during pregnancy and the impact of developmental programming on adult health and body composition outcome (12–14). Very little data exists to relate early infant feeding behavior or the interactive behavior with parents during development, to the development of obesity. Marmosets are small bodied New World primates of the family Callitrichinae. Marmosets in the wild average 320–340g and in captivity the weights tend to average 350–400g (15). Marmosets mature quickly in comparison to other primates. Weaning begins at approximately 30 days of age, and they are considered completely weaned between 70–80 days. Marmosets begin puberty between 11 and 14 months of age and reach full sexual maturity at 18 months (16).
Obesity and associated metabolic syndrome in adult marmosets have been described by our group and other labs (15, 17, 18). We have found that our colony has been tending towards obesity with an increase in the average weight to 450g, from the more typical captive weight of 350–400g. Obesity in the colony is associated with dyslipidemia, elevated glycated hemoglobin and fasting glucose (15). In a longitudinal study of infant growth and development we have previously reported that infants grow along two trajectories with infants that become Obese (>14% body fat) by the peripubertal period (12 months of age), already having increased adiposity as early as 30 days old (18). The availability of high fat diet and the dams’ obesity were found to have independent effects on the infant’s body mass development and varied across ages. In this study we were particularly interested in determining how infant feeding behavior throughout development was associated with the infant’s propensity for obesity.
METHODS AND PROCEDURES
Subjects
The study population of 32 infant marmosets (Callithrix jacchus) was comprised of 19 litters from 12 dams (Table 1) housed at the Southwest National Primate Research Center (SNPRC), San Antonio TX. All infants were housed with their parents plus older offspring, and basic details on marmoset husbandry and housing have been described previously (19, 20). Animals were fed either the standard diet mix fed to the entire colony, Normal mix, or a modification of that mix that included Normal mix plus the standard diets formulated with increased fat content, High fat mix (Table 2) (18). All dams were between 3 and 6 years of age and had produced at least one successful litter prior to this study. Infants were removed from the family group between 24 and 36 hours after birth and given a behavioral assessment, measured, weighed, marked and returned (19, 21). Body composition was assessed using quantitative magnetic resonance (QMR) imaging at age 30 days, 60 days, 6 months, and 12 months (18); and the percentage of body fat was calculated (BF). Subjects were classified at 6 and 12 months as being either Obese or Normal based upon a body fat percentage (18). Although adiposity is a continuous parameter, research in humans typically presents results in terms of categories, ranging from many categories (e.g. Underweight, Normal weight, Overweight, Obese, Very Obese), to only two categories (Obese versus not Obese). Given our sample size we chose the conservative option of only two categories: Normal (body fat < 14%) or Obese (body fat ≥ 14%), based on our previously published results for body composition (18) and its association with metabolic dysfunction in this species (15). Fasting blood samples were taken at the time of QMR imaging at 6 and 12 months, and serum was stored at −80 until assayed. Samples were assayed at the Wisconsin National Primate Center Assay Core for leptin concentrations (22).
Table 1.
Infant marmoset subjects
| Infant ID | Dam ID – Litter ID |
Gender | Diet Type | Weaned Litter Size |
Obesity Status at 12 months |
|---|---|---|---|---|---|
| 1 | A - 1 | Female | HF mix | Twin | Obese |
| 2 | A - 1 | Male | HF mix | Twin | Normal |
| 3 | B - 1 | Female | HF mix | Twin | Obese |
| 4 | B - 1 | Male | HF mix | Twin | Obese |
| 5 | C - 1 | Female | HF mix | Twin | Normal |
| 6 | C - 1 | Female | HF mix | Twin | Normal |
| 7 | D - 1 | Male | HF mix | Twin | Obese |
| 8 | D - 1 | Female | HF mix | Twin | Obese |
| 9 | A - 2 | Female | HF mix | Twin | Obese |
| 10 | A - 2 | Female | HF mix | Twin | Normal |
| 11 | B - 2 | Male | HF mix | Twin | Normal |
| 12* | B - 2 | Male | HF mix | Twin | Normal |
| 13 | E - 1 | Female | Normal | Single | Obese |
| 14 | F - 1 | Male | Normal | Twin | Obese |
| 15 | G - 1 | Female | HF mix | Twin | Normal |
| 16* | G - 1 | Male | HF mix | Twin | Normal |
| 17 | H - 1 | Male | HF mix | Twin | Obese |
| 18 | H - 1 | Female | HF mix | Twin | Obese |
| 19 | I - 1 | Female | Normal | Twin | Normal |
| 20 | I - 1 | Female | Normal | Twin | Normal |
| 21 | F - 2 | Female | Normal | Twin | Obese |
| 22 | F - 2 | Male | Normal | Twin | Obese |
| 23 | J - 1 | Female | Normal | Single | Normal |
| 24 | G - 2 | Male | HF mix | Single | Normal |
| 25 | K - 1 | Female | Normal | Twin | Normal |
| 26 | K - 1 | Female | Normal | Twin | Normal |
| 27 | J - 2 | Female | Normal | Single | Obese |
| 28 | I - 2 | Male | Normal | Single | Normal |
| 29 | K - 2 | Female | Normal | Twin | Obese |
| 30 | K - 2 | Female | Normal | Twin | Obese |
| 31 | L - 1 | Female | Normal | Twin | Normal |
| 32 | L - 1 | Female | Normal | Twin | Normal |
Infants failed to habituate to the lickometer setup and were excluded from all analyses
Table 2.
Composition of diet types fed to the marmosets during the study (% of estimated metabolizable energy)
| Protein % | Fat % | Carbohydrate % | kcal/gram | |
|---|---|---|---|---|
| Normal Mixa | ||||
| Purified Diet | 15.4 | 13.8 | 70.8 | 3.6 |
| Mazuri Diet | 21.3 | 7.8 | 70.9 | 3.4 |
| High Fat Mixb | ||||
| Purified Diet | 15.6 | 39.2 | 45.2 | 4.3 |
| Mazuri Diet | 17.9 | 37 | 45.1 | 4.6 |
The Normal Mix is the diet mix typically fed to the colony at Southwest National Research Primate Center, the animals are offered a mixture of 50% purified diet and 50% commercially prepared Mazuri diet.
The High Fat Mix diet was offered to a subset of the animals on study such that animals were offered a mixture of 25% normal purified 25% high fat purified, 25% normal Mazuri and 25% high fat Mazuri.
Peri-weaning Behavior
Thirty minute live behavior observations using Observer software were done twice a day (one am and one pm) starting at 15 days of age. Observations were reduced to a single observation per day once all infants from the litter had been noted to be eating solid food and continued through age 45 days. Once a day daily observations were randomly balanced between am and pm observations, and interobserver reliability was 97%. As a cooperative breeding mammal marmosets have a number of unique behavioral traits that are particularly important for infant development. Infant marmosets are typically carried 100% of the time by a caregiver for the first 15–30 days of life, often the primary caretaker is the father. Marmosets also actively food share with each other and particularly with young infants. Infants served as the focal animals for the observation with all occurrences of the following behaviors scored: infant carried (duration, by whom), infant harassed (frequency, by whom), infant nursed (duration), and infant eat (duration, food type) (behaviors described in detail in Table 5) (21). The data was broken into two time periods, weeks 3–4 (days 15–28 – period generally preceding the initiation of weaning) and weeks 5–6 (days 29–42 – the period generally proceeding the initiation of weaning) and averaged to produce a composite score for each period for each behavior.
Table 5.
The first day an infant ate solid food significantly correlated with social behavior.
| Social Behavior | Correlation to FD a |
|---|---|
| Mother carry week 3–4 (average percent time of observation that infant was located on the mother) | r = −0.302, p=0.213 |
| Mother carry week 5–6 (average percent time of observation that infant was located on the mother) | r = −0.118, p=0.53 |
| Father carry week 3–4 (average percent time of observation that infant was located on the father) | r = 0.313, p=0.204 |
| Father carry week 5–6 (average percent time of observation that infant was located on the father) | r = 0.601, p= 0.0001 |
| Other carry week 3–4 (average percent time of observation that infant was located on a caregiver other than the mother or the father) | r = 0.184, p=0.345 |
| Other carry week 5–6 (average percent time of observation that infant was located on a caregiver other than the mother or the father) | r = 0.449, p=0.011 |
| Off carriers week 3–4 (average percent time of observation that infant was not located on any caregiver) | r = −0.532, p=0.002 |
| Off carriers week 5–6 (average percent time of observation that infant was not located on any caregiver) | r = −0.656, p=0.0001 |
| Infant initiated transfer week 3–4 (average frequency that an infant transferred between caregivers or off of all caregivers and this movement was initiated by the infant rather than a caregiver retrieving the infant) | r = 0.441, p=0.014 |
| Infant initiated transfer week 5–6 (average frequency that an infant transferred between caregivers or off of all caregivers and this movement was initiated by the infant rather than a caregiver retrieving the infant) | r = 0.395, p=0.028 |
| Harass week 3–4 (average frequency that an infant received harassment by a caregiver including bites, pulls, and rubs that attempted to remove the infant) | r = −0.268, p=0.322 |
| Harass week 5–6 (average frequency that an infant received harassment by a caregiver including bites, pulls, and rubs that attempted to remove the infant) | r =0.243, p=0.412 |
| Retrieved by carrier week 3–4 (average frequency that a caregiver sought and picked up or initiated a transfer of an infant) | r = −0.141, p=0.446 |
| Retrieved by carrier week 5–6 (average frequency that a caregiver sought and picked up or initiated a transfer of an infant) | r = 0.182, p=0.355 |
Social behaviors during the first 45 days of life correlated with the first day an infant was noted to consume solid food. Bold indicates significance at 0.05 α.
Milk was collected from the dams on day 31 postpartum (23). Dams were separated from their infants for 3 hours and then lightly sedated with ketamine, and given 2IU oxytocin prior to manual milk collection. Both mammary glands were completely evacuated and the weight of the sample recorded. The composition of the milk samples including total dry matter, crude protein, sugar and fat content were determined at the Nutrition Laboratory of the Smithsonian National Zoological Park using standard methods previously validated for marmosets (23).
Meal Characterization by Lickometer
In order to examine daily meal patterning and food intake a rodent lickometer was modified for usage with the marmosets (24). A Columbus Instruments DM-8 lick counter recorded the animal’s contact with a licksit via completion of a low voltage circuit. Counts were batched in 10 second intervals that were saved continuously throughout the experimental procedure. Each subject participated in a two day two bottle choice test in which the animal received both a bottle of lower fat liquid diet and a bottle of higher fat liquid diet. The diets provided were liquid versions of the daily diet that is normally provided in a gelled format (24).The position of the bottles was assigned randomly and was reversed on day two in order to control for side bias. Subjects were separated from their family on one side of the group cage by a mesh divider that allowed them to maintain visual and limited tactile contact with their family groups while preventing the sharing of food. The lickometer trial began between 800 and 900, bottles were removed weighed and replaced between 1200 and 1300 in order to ensure there was no leakage from the bottles or settling of the diet, and then the trial was ended between 1600 and 1700. Animals had water ad lib during the lickometer trial, but no access to solid food. Each subject was tested at 3, 6 and 12 months of age.
Daily lickometer files were coded for meals and intermeal interval lengths. An intermeal interval was defined as a series of at least 18 intervals (3 minutes) with no counts registered, these intervals then defined the consecutive meals (24). The data was scored using an automated Java program to code each dataset with consecutive interval number meal, and intermeal intervals. The two days of data collection were averaged for a single average daily intake and these values were used to calculate further variables of interest including length of the first meal of the day, average meal length, and counts per meal. The gram weight change from each bottle was used to calculate variables including average grams per meal and average grams per lick.
Solid food intake
Subjects participated in a two day solid food intake trial at ages six and twelve months. For these trials the subjects were separated to one side of the breeding cage and fed the diet mixture that they typically received (normal or high fat). The cages were designed such that animals on feeding trials continued to have visual, auditory, olfactory and limited tactile contact with the rest of their social group. Food samples were taken from each diet batch and frozen until further analysis. Food samples fed to the subject were weighed prior to feeding. After 24 hours all remaining food was removed and weighed, and fresh food was weighed and fed. After 48 hours all remaining food was removed and weighed and the subject was allowed to return to its normal housing and feeding schedule. Samples were dried and a dry weight consumption was calculated and averaged over the two days.
Statistical analysis
All statistical analyses were done using IBM SPSS 20.0. If feeding behaviors are consistent throughout development for an individual than behaviors measured at 3, 6 and 12 months should be correlated. To evaluate the stability of feeding behaviors throughout development partial correlations controlling for both Dam ID and diet type were calculated between feeding variables at 3, 6 and 12 months (Table 3). If feeding behaviors of an individual during development increase the individual’s propensity for obesity than variability in the feeding behavior should predict later body fat composition. To evaluate whether feeding variables predicted body composition linear regressions between each feeding variable and percent body fat were analyzed. To further characterize the relationship between feeding behaviors, body composition, and the characterization of obesity at 12 months of age univariate ANOVA’s were analyzed between obese and normal individuals and reported in Table 4. If the onset of weaning is driven by the parental behavior than carrying time should decrease prior to weaning and harassment behaviors should increase. To evaluate the relationship between weaning and parental behavior correlations were analyzed for early infant and parental behavior and the first day of solid food consumption (Table 5). Dam ID and diet type were controlled for in all analyses unless otherwise noted. Bonferroni corrections were included in all analyses and an α level of 0.05 defined significance.
Table 3.
Liquid feeding trial variables correlated throughout development.
| Lickometer Variable | Correlation 3 and 6 months a |
Correlation 6 and 12 months b |
|---|---|---|
| Meal Number | r = 0.146, p=0.534 | r = 0.211, p=0.226 |
| Meal Length | r = 0.338, p=0.054 | r = 0.17, p=0.408 |
| Intermeal Interval | r = −0.134, p=0.556 | r = 0.846, p = 0.000 |
| Meal 1 Length | r = 0.102, p=0.527 | r = 0.208, p=0.293 |
| Meal 1 Intermeal Interval | r = −0.147, p=0.479 | r = 0.852, p = 0.000 |
| Lick Count | r = 0.585, p=0.001 | r = 0.307, p=0.118 |
| Gram/lick | r = 0.249, p=0.15 | r = 0.442, p=0.016 |
| Gram/meal | r = 0.586, p=0.001 | r = 0.347, p=0.077 |
| Low fat consumption(g) | r = 0.471, p=0.009 | r = 0.579, p=0.001 |
| High fat consumption (g) | r = 0.281, p=0.237 | r = −0.32, p=0.111 |
| Total consumption (g) | r = 0.752, p=0.000 | r = 0.532, p=0.003 |
In order to evaluate whether feeding parameters remained stable throughout development for an individual lickometer variables measured at 3 months of age were compared to the same variable measured at 6 months of age (i.e.: meal number measured at 3 months was correlated with meal number measured at 6 months). Bold indicates significance at 0.05 α.
In order to evaluate whether feeding parameters remained stable throughout development for an individual lickometer variables measured at 6 months of age were compared to the same variable measured at 12 months of age (i.e.: meal number measured at 6 months was correlated with meal number measured at 12 months). Bold indicates significance at 0.05 α.
Table 4.
Feeding behaviors throughout development for infants categorized at 12 months as Normal or Obese.
| Age | Variable | 12 month Normal a |
12 month Obese a |
p value b |
|---|---|---|---|---|
| Preweaning | ||||
| Nurse 3–4 wk (% time) | 15.4 ± 2.5 | 18.8 ± 2.0 | 0.097 | |
| Nurse 5–6 wk (% time) | 8.8 ± 2.0 | 9.9 ± 2.3 | 0.63 | |
| First Day Solid | 28 ± 1.0 | 24 ± 1.0 | 0.021 | |
| 3 month | ||||
| Meal Number | 35.8 ± 2.1 | 39.9 ± 2.6 | 0.329 | |
| Meal Length (sec) | 229.6 ± 16.6 | 239.9 ± 22.2 | 0.956 | |
| Lick Count/meal | 88.9 ± 11.3 | 75.1 ± 4.4 | 0.279 | |
| Gram/lick | 0.018 ± 0.004 | 0.014 ± 0.002 | 0.745 | |
| Gram/meal | 1.07 ± 0.07 | 0.99 ± 0.11 | 0.987 | |
| Liquid Low Fat (g) | 22.8 ± 2.2 | 23.1 ± 2.6 | 0.737 | |
| Liquid Total (g) | 37.3 ± 3.1 | 38.5 ± 3.8 | 0.679 | |
| 6 month | ||||
| Meal Number | 36.7 ± 1.7 | 37.9 ± 1.5 | 0.435 | |
| Meal Length | 347.4 ± 39.1 | 264.2 ± 27.3 | 0.055 | |
| Lick Count/meal | 128.7 ± 13.3 | 88.3 ± 7.5 | 0.018 | |
| Gram/lick | 0.011 ± 0.000 | 0.015 ± 0.001 | 0.01 | |
| Gram/meal | 1.37 ± 0.12 | 1.25 ± 0.09 | 0.468 | |
| Liquid Low Fat (g) | 29.1 ± 2.3 | 31.9 ± 2.8 | 0.325 | |
| Liquid Total (g) | 47.7 ± 3.1 | 46.9 ± 4.0 | 0.976 | |
| Solid Low Fat (dry matter g) | 10.6 ± 0.9 | 12.6 ± 1.3 | 0.019 | |
| Solid Total (dry matter g) | 12.9 ± 1.2 | 15.8 ± 1.0 | 0.24 | |
| Total kcal/gram lean mass | 0.288 ± 0.13 | 0.289 ± 0.07 | 0.766 | |
| 12 month | ||||
| Meal Number | 39.1 ± 2.3 | 36.8 ± 2.1 | 0.975 | |
| Meal Length | 347.2 ± 48.5 | 272.1 ± 24.7 | 0.201 | |
| Lick Count/meal | 119.8 ± 19.9 | 98.6 ± 7.8 | 0.04 | |
| Gram/lick | 0.012 ± 0.001 | 0.015 ± 0.002 | 0.01 | |
| Gram/meal | 1.27 ± 0.21 | 1.38 ± 0.14 | 0.74 | |
| Liquid Low Fat (g) | 33.5 ± 3.8 | 34.7 ± 3.9 | 0.511 | |
| Liquid Total (g) | 45.8 ± 4.3 | 49.9 ± 5.2 | 0.34 | |
| Solid Low Fat (dry matter g) | 9.3 ± 1.1 | 13.4 ± 1.3 | 0.021 | |
| Solid Total (dry matter g) | 10.7 ± 1.0 | 15.9 ± 1.1 | 0.003 | |
| Total kcal/gram lean mass | 0.216 ± 0.1 | 0.204 ± 0.05 | 0.588 |
(average ± standard error)
univariate ANOVA comparing animals classified as obese or normal at 12 months of age controlling for Dam and Diet type. Bold indicates significance at 0.05 α.
RESULTS
At 12 months of age 15 of the infants were deemed to be Obese with greater than 14 % of their body mass consisting of fat mass, and the other 15 animals were Normal (Table 1). Two animals failed to habituate to the lickometer feeding trials and were dropped from all further feeding analyses. Milk composition data was available for milk samples from 12 of the litters, thus 20 infants on the study. Milk composition and volume did not differ due to the type of diet the females were consuming, but did differ between the dams, specifically milk volume (F=20.81, p=0.000) and milk fat (F=4.064, p=0.024). Milk volume was also significantly associated with the size of the nursing litter (single infant = 0.21g + 0.09; twins = 0.47g +0.04; F (1, 14) =5.739, p=0.031). However, milk composition did not differ due to the size of the litter or the gender of the infants being nursed, and had no effect on body fat at 6 and 12 months.
The adaptation of the rodent lickometer for use in the marmosets allowed the assessment of feeding behaviors for very young infants throughout their development. We examined the relationship between standard variables typically defined in the rodent literature to describe feeding patterns including meal length, meal number, length of first meal, lengths of intermeal intervals and how they relate to the infants’ body composition. While many of these variables were found to be consistent throughout development for an individual (Table 3), none of them were associated with the infant’s body composition. The only lickometer variable that we found to show a significant relationship with body composition was the number of licks during the lickometer trial. The number of licks during the trials at six months of age were negatively associated with the infants’ BF at both 6 months of age (R2 = 0.216, r=−0.464, p=0.013), and 12 months of age (R2 = 0.346, r=−0.588, p=0.001). The consumption of higher fat liquid diet and the total gram consumption of both diets at 6 months were negatively associated with BF at 6 months (high fat: R2 = 0.276, r=−0.525, p=0.004, total: R2 = 0.184, r=−0.429, p=0.023). In order to investigate this further we calculated the number of grams consumed per lick for each animal during the lickometer trials at 6 months and found that the parameter grams/lick significantly predicted the obesity status of the infants at 12 months (logistic regression: R2 = 0.361, p=0.019) with subjects Obese at 12 months ingesting more grams per lick at 6 months (Figure 1).
Figure 1.
The grams of liquid diet per lick during the 6 month liquid feeding trial significantly predicted the obesity status of the individual at 12 months of age (logistic regression; R2 = 0.361, p=0.019)
* represent outlying individuals; significance remains when these individuals are removed from the analysis
Early infant feeding behaviors including the percent time nursing at 3–4 weeks and then 5–6 weeks, frequency of eating solid food at 5–6 weeks, and the age the infants first began to consume solid food were not significantly associated with early infant body composition at either 30 or 60 days. Frequency of solid food consumption in weeks 3–4 significantly predicted body composition at 60 days of age (R2 = 0.210, r=0.458, p=0.049). Additionally, the first day an infant was noted to eat solid food (FD) significantly predicted the infant’s body composition at 12 months (R2 = 0.142, r=0.376, p= 0.04). Obese infants on average began eating solid food earlier (Table 4).
The infants’ consumption of high fat solid food at 6 months of age as measured by dry weight significantly predicted BF at 6 months (R2 = 0.138, r=0.392, p=0.029). Consumption of lower fat diet and total consumption during the 12 month solid food intake trial were also positively associated with BF at 12 months (low R2 = 0.175, r=0.447, p=0.01; total R2 = 0.354, r=0.602, p=0.000). However, when the total kcal consumed per gram of lean body mass was compared between infants that were deemed Obese and Normal at 6 and 12 months, there were no differences in consumption between these infants (Table 4).
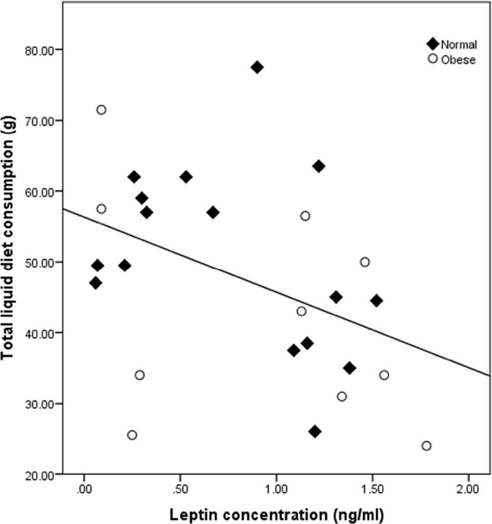
Leptin is thought to regulate satiety and decrease appetite at higher concentrations. For marmosets we found only a single relationship between fasting circulating leptin and the feeding variables that were defined when the body composition of the animal was controlled in partial correlations. Leptin concentrations at 6 months were negatively correlated with liquid consumption at 6 months (low fat: r = −0.476, p=0.016; total: r=−0.403, p=0.046; Figure 2).
Figure 2.
Fasted leptin concentrations at 6 months of age are negatively correlated with the total liquid diet intake (g) at 6 months of age (r = −0.403, p=0.046).
The first day an infant is noted to eat solid food (FD) was a variable that we were particularly interested in exploring. Previous work in marmosets has found that early ingestion of solid food is typically associated with small size in the infants (21), whereas in this study we found that an early first day of solid food significantly predicted likelihood of obesity at 12 months. FD was significantly correlated with a number of social behaviors (Table 5). Although there was no relationship between FD and the amount of time the mothers were carrying the infants, FD was positively correlated with the amount of time the infants were carried by the father during weeks 3–4 (r= 0.37, p=0.034), and weeks 5–6 (r= 0.63, p=0.000) (Figure 3A). FD was also negatively correlated with the amount of time the infants were off of carriers during weeks 5–6 (r=−0.656, p=0.000; Figure 3B).
Figure 3.
The first day the infant was found to eat solid food is (A) positively correlated with the percentage of time that the infant was carried by the father during weeks 5–6 (r = 0.63, p = 0.000), and (B) negatively correlated with the percentage of time that the infant was off of carriers (r = −0.656, p=0.0001).
DISCUSSION
Infant marmosets begin differentiating into Normal or Obese growth trajectories at approximately 30 days of age, the age that weaning begins (18). The growth trajectories of the marmosets and the differentiation into Obese or Normal status at 12 months of age are associated independently with the Dam’s size and the type of diet the infants are exposed to (higher or lower in fat) (18). We were interested in whether the feeding behaviors of the infants were closely associated with their growth and the obesity status at 12 months of age. Examining feeding behaviors throughout the first year of life revealed that infants that develop obesity tend to start the weaning process sooner, have more independent locomotion during the initiation of weaning, have lower lick counts but similar total intake during liquid feeding trials and thus have higher efficiency feeding of a liquid diet. Whereas infants that go on to be Normal are carried by a caretaker more, begin to consume solid foods later, and take smaller bites during the liquid feeding trials. Infants that are Obese do intake significantly more solid diet at 12 months of age, but the infants do not differ in their total kcal intake of solid food when their lean mass is considered, nor do they differ in their preference for high fat diet. Intake of diet does not just support growth; energy is also needed for thermoregulation, immune function and activity. Our measures of intake were not able to determine whether marmoset infant consumption cessation was due to cues from energy consumption, protein consumption or overall intake. Increased concentrations of circulating leptin, which is thought to regulate satiation, were associated with decreased consumption of liquid diet at 6 months of age independent of the individual’s body composition. While leptin appears to play a role in the amount of liquid food that is consumed at 6 months of age, no other feeding behaviors assessed at 6 and 12 months were found to be associated with leptin. Leptin has been found to be associated with both body composition and birth weight in marmosets (25), and further investigation of its role in feeding satiation is suggested. Our data suggests that the most important elements in the development of obesity are how the animals are eating and when they begin transitioning to solid foods.
The initiation of the weaning phase in infant marmosets appears to be particularly important in determining the trajectory of growth and development, as well as setting phenotypic behaviors of feeding. Milk composition was found to differ between dams, however these differences were not directly explained by the composition of the diet that dams were fed. Previous work in primates suggests that milk composition may differ between individuals due to health status of the dam, and external cues from the infant including the gender of the infant being nursed (26). Regardless, in our study milk composition did not predict propensity to obesity or the time at which the infants began weaning and consuming solid food for the first time. Infants that began eating solid food early were more likely to develop obesity at 6 and 12 months of age. These infants were also more independent, initiating transfers off of carriers, and were carried less overall than infants that delayed the initiation of weaning. Marmosets are cooperative breeders, juveniles remain in the family group and help care for younger infants, and males are engaged in early infant care (27). In fact males become the primary caregiver for the infants soon after birth actively carrying, cleaning, protecting and sharing food with the infants. Harassment of infants is a normal part of transfer from one carrier to another and this behavior increases as the carrier's tolerance of infants declines with the infants age, thus weaning and time off of a carrier is often a result of a balance between the caregivers interest and tolerance and the infant’s desire to be carried and its desire for independent activity. Interestingly carrying time by the dam did not differ for the infants that were found to wean earlier; rather the differences found were in carrying by the fathers. We expect that the majority of the infant’s time on the dam is spent nursing during this phase, and thus exploration by the infants primarily occurs during the time that they are carried by the father. Infants that begin weaning earlier appear to be more developmentally mature; they are not simply being harassed by the less tolerant carriers more than other infants. Although our data collection regime did not quantify the infant’s temperament during the time they were off of carriers, anecdotal notes during the observations suggest that the infants that were initiating time off were often exploring cage items and mouthing food and cage items during these phases. Alternatively infants that are harassed by carriers at high rates often huddle together and do not crawl or toddle around the space. The infants that begin early weaning are not significantly larger at birth, they are not significantly larger at 30 days, either in total weight or body composition, and they are not significantly larger at 60 days; thus we do not believe that this behavior is driven by nutritional status alone. These infants may be more developmentally mature, initiating oral contact with surfaces sooner and developing a phenotypic feeding pattern that differs from those animals that wean later.
Examining weaning behavior and feeding behaviors in children is particularly difficult as we often rely on maternal memory and questionnaire data that may be influenced by the mother’s own obesity status and the social stigmas associated with her obesity and the possibility of her children’s obesity (28, 29). These considerations do not exist when examining nonhuman primate feeding development, and using rodent lickometer technology we were able to identify feeding phenotypes in infants that were consistent throughout development and associated with the development of obesity. We analyzed a number of variables that are standard in the rodent feeding literature including the number of meals in a day, the average length of the meals, the length of the intermeal interval, the number of licks, and focusing specifically on the first meal of the day following an overnight fast. Several variables were found to be consistent for individuals as they aged from 3 months of age to 12 months of age including the intermeal interval and the lick count. Intriguingly obese animals are not simply consuming more food during the trials. In fact the animals that become Obese by 12 months of age are consuming the same amount of diet as the Normal animals although they take fewer licks throughout the day. An analysis of the grams consumed per lick revealed that obese animals are somehow more efficient in the way that they are consuming diet. Obese animals have a different way of contacting the sipper tubes which increases the flow of the diet per bite. The finding that for marmoset infants there is significant relationship between early weaning, the development of a consistent feeding phenotype, and the development of obesity is particularly important when developing translational links to human pediatric obesity. Early weaning onto solid foods is associated with the development of obesity in human infants (30–32). However, the factors that play a role in parental decisions to introduce solid foods are often confounded with whether the infants are receiving breast milk or formula, and these factors are often confounded by maternal weight status, socioeconomic status, education and parental obesity (7, 32, 33). If humans are weaning infants early because they are unable to support the infants’ nutritional needs it is possible that they are programming stable feeding phenotypes that are associated with obese tendencies (34).
While childhood obesity and appetite are associated with heritable traits including the FTO gene, satiety responsiveness, and enjoyment of food (28, 35, 36); the interaction with the parental environment also plays a significant role, and has a large impact on the success of intervention plans (29). Several trends have been identified in human focus groups between perception by the caregivers and childhood obesity. Women, particularly obese and overweight women tend to wean infants earlier to solid food and this behavior is associated with the perception that breast milk is not providing enough nutrition and that the infants are fussy due to hunger rather than other factors (7).
Very little work has focused on defining feeding parameters in human child development in regards to efficiency of eating or bite size. Adiposity in young children aged 1 to 3 years old was highly predicted by faster suckling rate (37, 38). Additionally, obese children tend to eat at a faster rate (35, 36). Studies in which adults are presented with prepared portions of food to simulate bites of varying sizes reveal a conservation of meal size and overall intake that has also been reported in rodents (39) and is similar to what we have shown in the infant marmoset. Varying the rate of delivery of the liquid diet to rats during a lickometer trial alters lick rate, ingestion rate, and initial consumption, but does not alter overall number of meals consumed or the total amount of diet consumed (40). The same has been found for humans, if they are given large bites of food they show higher initial ingestion rates when compared to the smaller bite rations, but the overall caloric consumption was the same regardless of the size of the bite provided (39). This appears to be true of the marmosets, although they are setting their own rate and efficiency of consumption, resulting in similar caloric intake across animals, and a distinct individual phenotype that is associated with the development of obesity.
The results of this study suggest that it is particularly important to focus on the weaning phase of development in order to assess and possibly alter the course of obesity in both young humans and marmosets. Further research is needed in order to evaluate whether the infant’s temperament or nutritional status are driving the initiation of weaning and whether ontogeny of oral muscles are directly associated with the phenotypic feeding differences that are associated with obesity. As a litter bearing primate the marmoset offers a unique model to further evaluate the influence of pre and post natal nutrition on the development of obesity.
WHAT IS ALREADY KNOWN
Prevalence of obesity in human children continues to rise and it is unclear when and how clinicians should implement intervention strategies.
Nonhuman primate models offer a unique opportunity to evaluate pre and postnatal environmental and familial factors that may be associated with the development of obesity.
Marmoset monkeys develop spontaneous obesity in captivity and differentiate into obese growth trajectories as early as 30 days of age.
WHAT DOES THIS STUDY ADD
Evaluating and quantifying feeding behaviors we found that marmosets that are obese at 12 months of age began the weaning process earlier, and appear to be more developmentally mature and independent.
Obese marmosets develop a unique feeding phenotype which is consistent throughout development and is defined by more efficient consumption of diet.
ACKNOWLEDGEMENTS
We would like to thank Donna Layne-Colon for technical assistance. We would like to thank Yung Lai and Zhiwei Wang at the University of Texas San Antonio Computational Biology Initiative High Performance Computing Center for their development of the software to code the lickometer data. This study was supported by a grant from NIH: R01 DK077639.
Footnotes
DISCLOSURE STATEMENT
The authors declare no conflicts of interest.
REFERENCES
- 1.International Obesity Task Force. Childhood Obesity. 2010 ( www.iotf.org/childhoodobesity.asp)
- 2.World Health Organization. Obesity and overweight fact sheet. 2010 ( www.who.int/mediacentre/factsheets/fs311/en/index.html)
- 3.Rooney K, Ozanne SE. Maternal over-nutrition and offspring obesity predisposition: targets for preventative interventions. Int J Obes. 2011;35:883–890. doi: 10.1038/ijo.2011.96. [DOI] [PubMed] [Google Scholar]
- 4.US Department of Health and Human Services. doi: 10.3109/15360288.2015.1037530. ( www.healthypeople.gov) [DOI] [PubMed]
- 5.Ogden CL, Carroll MD, Kit BK, Flegal KM. NCHS data brief, no 82. Hyattsville, MD: National Center for Health Statistics; 2012. Prevalence of obesity in the United States, 2009–2010. [PubMed] [Google Scholar]
- 6.Monteiro POA, Victora CG. Rapid growth in infancy and childhood and obesity in later life – a systematic review. Obes Rev. 2005;6:143–154. doi: 10.1111/j.1467-789X.2005.00183.x. [DOI] [PubMed] [Google Scholar]
- 7.Redsell SA, Atkinson P, Nathan D, Niroshan Siriwardena A, Swift JA, Glazebrook C. Parents’ beliefs about appropriate infant size, growth and feeding behaviour: implications for the prevention of childhood obesity. BMC Public Health. 2010;10:7–11. doi: 10.1186/1471-2458-10-711. [DOI] [PMC free article] [PubMed] [Google Scholar]
- 8.Anderson SE, Whitaker RC. Household routines and obesity in US preschool-aged children. Pediatrics. 2010;125:420–428. doi: 10.1542/peds.2009-0417. [DOI] [PubMed] [Google Scholar]
- 9.Hughes CC, Sherman SN, Whitaker RC. How low-income mothers with overweight preschool children make sense of obesity. Qual Health Res. 2010;20:465–478. doi: 10.1177/1049732310361246. [DOI] [PubMed] [Google Scholar]
- 10.Whitaker RC. The infancy of obesity prevention. Arch Pediatr Adolesc Med. 2010;164:1167–1168. doi: 10.1001/archpediatrics.2010.218. [DOI] [PMC free article] [PubMed] [Google Scholar]
- 11.Tardif SD, Power M, Ross CN, Rutherford J. Body mass growth in common marmosets: toward a model of pediatric obesity. Am J Phys Anthropol. doi: 10.1002/ajpa.22110. (in press) [DOI] [PMC free article] [PubMed] [Google Scholar]
- 12.Aagaard-Tillery KM, Grove K, Bishop J, Ke X, Fu Q, McKinguth R, Lane RH. Developmental origins of disease and determinants of chromatin structure: maternal diet modifies the primate fetal epigenome. J Mol Endocrinol. 2008;41:91–102. doi: 10.1677/JME-08-0025. [DOI] [PMC free article] [PubMed] [Google Scholar]
- 13.Cox J, Williams S, Grove K, Lane RH, Aagaard-Tillery K. A maternal high-fat diet is accompanied by alterations in the fetal primate metabolome. Am J Obstet Gynecol. 2009;201:208 e1–208 e9. doi: 10.1016/j.ajog.2009.06.041. [DOI] [PMC free article] [PubMed] [Google Scholar]
- 14.Sullivan EL, Smith MS, Grove KL. Perinatal exposure to high-fat diet programs energy balance, metabolism and behavior in adulthood. Neuroendocrinology. 2011;93:1–8. doi: 10.1159/000322038. [DOI] [PMC free article] [PubMed] [Google Scholar]
- 15.Tardif SD, Power ML, Ross CN, Rutherford JN, Layne-Colon DG, Paulik MA. Characterization of obese phenotypes in a small nonhuman primate, the common marmoset (Callithrix jacchus) Obesity. 2009;17:1499–1505. doi: 10.1038/oby.2009.77. [DOI] [PMC free article] [PubMed] [Google Scholar]
- 16.Tardif SD, Smucny DA, Abbott DH, Mansfield K, Schultz-Darken N, Yamamoto ME. Reproduction in captive common marmosets (Callithrix jacchus) Comp Med. 2003;53:364–368. [PubMed] [Google Scholar]
- 17.Wachtman LM, Kramer JA, Miller AD, Hachey AM, Curran EH, Mansfield KG. Differential contribution of dietary fat and monosaccharide to metabolic syndrome in the common marmoset (Callithrix jacchus) Obesity. 2011;19:1145–1156. doi: 10.1038/oby.2010.303. [DOI] [PMC free article] [PubMed] [Google Scholar]
- 18.Power M, Ross CN, Schulkin J, Tardif SD. The development of obesity begins at an early age in captive common marmosets (Callithrix jacchus) Am J Primat. 2012;74:261–269. doi: 10.1002/ajp.21995. [DOI] [PMC free article] [PubMed] [Google Scholar]
- 19.Tardif SD, Bales K. Relations among birth condition, maternal condition, and postnatal growth in captive common marmosets (Callithrix jacchus) Am J Primat. 2004;62:83–94. doi: 10.1002/ajp.20009. [DOI] [PubMed] [Google Scholar]
- 20.Layne DG, Power RA. Husbandry, handling, and nutrition for marmosets. Comp Med. 2003;53:351–359. [PubMed] [Google Scholar]
- 21.Tardif SD, Jaquish C, Layne DG, Bales K, Power M, Power R, Oftedal O. Growth variation in common marmoset monkeys (Callithrix jacchus) fed a purified diet: relation to care-giving and weaning behaviors. Lab Anim. 1998;48:264–269. [PubMed] [Google Scholar]
- 22.Ziegler TE, Colman RJ, Tardif SD, Sosa ME, Wegner FH, Wittwer DJ, Shrestha H. Development of metabolic function biomarkers in the common marmoset Callithrix jacchus. Am J Primat. doi: 10.1002/ajp.22126. (in review) [DOI] [PMC free article] [PubMed] [Google Scholar]
- 23.Tardif SD, Power M, Oftedal OT, Power RA, Layne DG. Lactation, maternal behavior and infant growth in common marmoset monkeys (Callithrix jacchus): effects of maternal size and litter size. Behav Ecol Sociobiol. 2001;51:17–25. [Google Scholar]
- 24.Ross CN, Power M, Tardif SD. Establishing meal patterns by lickometry in the marmoset monkey (Callithrix jacchus): translational applications from the bench to the field and the clinic. Am J Primat. 2012;74:901–914. doi: 10.1002/ajp.22043. [DOI] [PMC free article] [PubMed] [Google Scholar]
- 25.Power ML, Ross CN, Schulkin J, Ziegler TE, Tardif SD. Metabolic consequences of the early onset of obesity in common marmoset monkeys. Obesity. doi: 10.1002/oby.20462. in review. [DOI] [PMC free article] [PubMed] [Google Scholar]
- 26.Hinde K, Milligan L. Primate milk: proximate mechanisms and ultimate perspectives. Evol Anthr. 2011;20:9–23. doi: 10.1002/evan.20289. [DOI] [PubMed] [Google Scholar]
- 27.Price E. The costs of infant carrying in captive cotton top tamarins. Am J Primat. 1992;26:23–33. doi: 10.1002/ajp.1350260106. [DOI] [PubMed] [Google Scholar]
- 28.Carnell S, Wardle J. Appetitive traits and child obesity: measurement, origins and implications for intervention. Proc Nutr Soc. 2008;67:343–355. doi: 10.1017/S0029665108008641. [DOI] [PubMed] [Google Scholar]
- 29.Anzman SL, Rollins BY, Birch LL. Parental influence on children’s early eating environments and obesity risk: implications for prevention. Int J Obes. 2010;34:1116–1124. doi: 10.1038/ijo.2010.43. [DOI] [PubMed] [Google Scholar]
- 30.Hawkins SSC, Law TJC. An ecological systems approach to examining risk factors for early childhood overweight: findings from the UK Millennium Cohort Study. J Epidemiol Community Health. 2009;63:147–155. doi: 10.1136/jech.2008.077917. [DOI] [PMC free article] [PubMed] [Google Scholar]
- 31.Baker JL, Michaelson KF, Rasmussen KM, Sorenson TIA. Maternal prepregnant body mass index, duration of breastfeeding, and timing of complementary food introduction are associated with infant weight gain. Am J Clin Nutr. 2004;80:1579–1588. doi: 10.1093/ajcn/80.6.1579. [DOI] [PubMed] [Google Scholar]
- 32.Robinson S, Fall C. Infant nutrition and later health: a review of current evidence. Nutrients. 2012;4:859–874. doi: 10.3390/nu4080859. [DOI] [PMC free article] [PubMed] [Google Scholar]
- 33.Baughcum A, Burklow K, Deeks C, Powers S, Whitaker R. Maternal feeding practices and childhood obesity: a focus group study of low-income mothers. Arch Pediatr Adolesc Med. 1998;152:1010–1014. doi: 10.1001/archpedi.152.10.1010. [DOI] [PubMed] [Google Scholar]
- 34.Ashcroft J, Semmler C, Carnell S, van Jaarsveld CHM, Wardle J. Continuity and stability of eating behaviour traits in children. Eur J Clin Nutr. 2008;62:985–990. doi: 10.1038/sj.ejcn.1602855. [DOI] [PubMed] [Google Scholar]
- 35.Agras WS, Kraemer HC, Berkowitz RI, Hammer LD. Influences of early feeding style on adiposity at 6 years of age. J Pediatr. 1990;116:805–809. doi: 10.1016/s0022-3476(05)82677-0. [DOI] [PubMed] [Google Scholar]
- 36.Stunkard AJ, Berkowitz RI, Schoeller D, Maislin G, Stallings VA. Predictors of body size in the first 2 y of life: a high risk study of human obesity. Int J Obes. 2004;28:503–513. doi: 10.1038/sj.ijo.0802517. [DOI] [PubMed] [Google Scholar]
- 37.Llewellyn CH, van Jaarsveld CHM, Carnell A, Wardle J. Nature and nurture in infant appetite: analysis of the Gemini twin birth cohort. Am J Clin Nutr. 2010;91:1172–1179. doi: 10.3945/ajcn.2009.28868. [DOI] [PubMed] [Google Scholar]
- 38.Llewellyn CH, van Jaarsveld CH, Boniface D, Carnell S, Wardle J. Eating rate is a heritable phenotype related to weight in children. Am J Clin Nutr. 2008;88:1560–1566. doi: 10.3945/ajcn.2008.26175. [DOI] [PubMed] [Google Scholar]
- 39.Spiegel TA. Rate of intake, bites and chews-the interpretation of lean-obese differences. Neurosci Biobehav Rev. 2000;24:229–237. doi: 10.1016/s0149-7634(99)00076-7. [DOI] [PubMed] [Google Scholar]
- 40.Kaplan JM, Spector AC, Grill HJ. Ingestion as an independent variable in the behavioral analysis of satiation. J Physiol. 1990;258:R662–R671. doi: 10.1152/ajpregu.1990.258.3.R662. [DOI] [PubMed] [Google Scholar]



