Abstract
Background and Aims
Despite the selective pressure slugs may exert on seedling recruitment there is a lack of information in this context within grassland restoration studies. Selective grazing is influenced by interspecific differences in acceptability. As part of a larger study of how slug–seedling interactions may influence upland hay meadow restoration, an assessment of relative acceptability is made for seedlings of meadow plants to the slug, Deroceras reticulatum.
Methods
Slug feeding damage to seedling monocultures of 23 meadow species and Brassica napus was assessed in microcosms over 14 d. The severity and rate of damage incurred by each plant species was analysed with a generalized additive mixed model. Plant species were then ranked for their relative acceptability.
Key Results
Interspecific variation in relative acceptability suggested seedlings of meadow species form a hierarchy of acceptability to D. reticulatum. The four most acceptable species were Achillea millefolium and the grasses Holcus lanatus, Poa trivialis and Festuca rubra. Trifolium pratense was acceptable to D. reticulatum and was the second highest ranking forb species. The most unacceptable species were mainly forbs associated with the target grassland, and included Geranium sylvaticum, Rumex acetosa, Leontodon hispidus and the grass Anthoxanthum odoratum. A strong positive correlation was found for mean cumulative feeding damage and cumulative seedling mortality at day 14.
Conclusions
Highly unacceptable species to D. reticulatum are unlikely to be selectively grazed by slugs during the seedling recruitment phase, and were predominantly target restoration species. Seedlings of highly acceptable species may be less likely to survive slug herbivory and contribute to seedling recruitment at restoration sites. Selective slug herbivory, influenced by acceptability, may influence community-level processes if seedling recruitment and establishment of key functional species, such as T. pratense is reduced.
Keywords: Acceptability, Deroceras reticulatum, grassland restoration, invertebrate herbivory, palatability, seedling recruitment, slugs, upland hay meadow
INTRODUCTION
Herbivory is a fundamental driver of plant community composition (Grime, 2002). In temperate grassland, vertebrate grazing (livestock, rabbits, horses) can have important beneficial effects on plant diversity due to animals consuming competitive grass species (Tansley and Adamson, 1925; Smith and Rushton, 1994); increasing the heterogeneity of sites (Rossignol et al., 2011); preventing succession to woodland (Grubb, 1976); and providing germination niches for seedlings (Smith et al., 2000). Comparatively less is known about the effects of invertebrate herbivores on plant diversity; however, some invertebrate groups or species have the potential to affect plant populations and communities during the establishment phase (Fenner, 1987; Crawley, 1989; Hanley, 1998). The addition of insecticides may affect plant population dynamics (Crawley, 1989). For example, Brown and Gange (1989a, b, 1992) found that the addition of a soil insecticide to early successional vegetation resulted in increased species- and forb-richness, as a likely consequence of a relaxation in insect herbivory of seeds or seedlings; however, the application of a foliar insecticide resulted in the opposite trend after 1 year due to a reduction in insect herbivory promoting the abundance of grass species. In contrast, other studies have found that arthropods had little effect on seedling recruitment and community development and that the dominant factor regulating recruitment was selective grazing by slugs (Buckland and Grime, 2000; Wilby and Brown, 2001).
Studies reviewed by Hanley (1998) have highlighted slugs as the most important invertebrate herbivore in temperate grassland (e.g. Rees and Brown, 1992; Hulme, 1994, 1996; Hanley et al., 1995a). Gastropod molluscs (terrestrial slugs and snails) prefer seedlings to mature plants (Fenner et al., 1999) and selective grazing during the seedling phase is known to exert a strong selective pressure on community assemblages by causing the differential recruitment of species within a community (Hulme, 1994; Hanley et al., 1995a, 1996; Hanley, 2004) and by altering the competitive balance between species (Cottam, 1986; Hanley and Sykes, 2009). Seedling selection by molluscs may act as an important ‘ecological filter’ and has the potential to influence not only plant distribution and abundance, but also ecosystem functioning (Hanley, 2004). More recently, field studies have revealed persistent effects of slugs on community dynamics over the mid to long term (3–14 years) as a result of selective grazing during the seedling stage (Wilby and Brown, 2001; Buschmann et al., 2005; Allan and Crawley, 2011).
Slug herbivory is influenced by acceptability-related plant traits (Dirzo, 1980; Hanley, 1998), amongst other factors such as seedling density and distribution (Cottam, 1985; Bergelson, 1990). Previous studies have attempted to determine the relative acceptability (or palatability) of a range of plant species to slugs and snails, including Deroceras reticulatum, under controlled microcosm conditions (Grime et al., 1968; Duval, 1971, 1973; Dirzo, 1980; Mølgaard, 1986; Cook et al., 1996; Briner and Frank, 1998; Fenner et al., 1999; Keller et al., 1999; Koztowski and Koztowska, 2004). The major factors influencing acceptability are variation in chemical and physical anti-herbivore defences (Bennett and Wallsgrove, 1994; Hanley et al., 2007) and nutritional quality of plant material (Mattson, 1980). The latter may be a secondary result of plant traits such as growth rate, and inversely correlated with defence (Grime et al., 1996). Molluscs are generally deterred by hard leaf texture (Grime et al., 1968) and secondary metabolites including tannins and phenolics (Mølgaard, 1986), cyanogenic glycosides (Dirzo and Harper, 1982; Horrill and Richards, 1986) and alkaloids (Speiser and Rowell-Rahier, 1991). Silica bodies (phytoliths) in grass leaves may also function as a defence against molluscs (Grime et al., 1968; Dirzo, 1980; Wadham and Wynn-Parry, 1981; Hanley, 2004) as found for insects (Massey et al., 2006; Massey and Hartley, 2009) and voles (Massey and Hartley, 2006; Massey et al., 2007). However, silica concentrations vary between grass species (Massey et al., 2006) and silica is likely to be a less-effective deterrent in seedlings (Hulme, 1996; Fenner et al., 1999). Plant trichomes (glandular and non-glandular) may also serve as a deterrent to molluscs (Stahl, 1888; Westerbergh and Nyberg, 1995). Defensive properties of seedlings may be subject to ontogenetic effects (Barton and Koricheva, 2010); whereby the development of an effective defence is delayed following germination (Horrill and Richards, 1986; Elger et al., 2009) or declines with seedling age (Glen et al., 1990; Woodman and Fernandes, 1991). Thus, seedling age can influence acceptability and, in turn, the likelihood of attack and survival (Hanley, 1995b).
Plant defence hypotheses attempt to explain patterns in plant defence against herbivores (Herms and Mattson, 1992; Hanley, 1998; Stamp, 2003). Among them, the Growth Rate (GR) (or Resource Availability) Hypothesis predicts that inherently slow-growing species that are adapted to resource-limited environments (stress-tolerators), invest more in constitutive defences and suffer lower levels of herbivory than inherently fast-growing species that are adapted to resource-rich, competitive environments (Coley et al., 1985; Stamp, 2003). A recent meta-analysis found the GR Hypothesis to be robust for seedlings (Endara and Coley, 2011). More generally, Kelly and Hanley (2005) demonstrated that seedlings of Trifolium pratense and T. repens exhibited a growth–defence trade-off towards intense herbivory by the snail, Helix aspersa. In addition, some feeding trials using adult leaves suggest that several mollusc species find ruderal species more palatable than stress-tolerant, later-successional species (Grime et al., 1968, 1996; Cates and Orians, 1975).
Given that herbivory is the primary mortality factor for most seedlings (Moles and Westoby, 2004) and that numerous field studies report slugs to exert a selective pressure on seedling recruitment (Hulme, 1994, 1996; Hanley et al., 1995a, 1996; Hanley, 2004), it is surprising that the effects of slug herbivory (or invertebrate herbivory in general) on seedling recruitment have not received more attention by restoration ecologists (but see Keller et al., 1999; Hitchmough, 2003; Pywell et al., 2007; Allan and Crawley, 2011). Successful grassland restoration is constrained by several factors that require management intervention. Amongst which, propagule limitation is commonplace as seeds of desirable species are often absent from the seed banks of agriculturally improved sites (Smith et al., 2000, 2002). This is combined with insufficient seed dispersal from species-rich meadows to restoration sites within a fragmented landscape. Restoration management therefore requires locally provenant seed to be transferred to restoration sites from species-rich donor meadows (Smith et al., 1996, 2000, 2002). The seedling recruitment phase is key to initial establishment (Grubb, 1977; Fenner and Thompson, 2005) and represents an important bottle-neck to founding populations transferred as seed from donor meadows (Hufford and Mazer, 2003). The establishment of a wider diversity of forb and grass species is also constrained by high residual soil fertility, low fungal to bacterial ratios, and dominance of competitive grasses such as Lolium perenne. These factors are attributable to intensive farming practices including the addition of inorganic fertilizer, early-cutting for silage production, and seeding with productive grasses. Studies of upland hay meadow restoration have shown that the successful establishment of various early-colonizing, stress-tolerant or stress-tolerant-ruderal species, such as Trifolium pratense and other legumes (fungal-facilitating species) and the hemi-parasite Rhinanthus minor (a grass-selective parasite) are important in the early stages of restoration as they act to reduce these constraints causing niche limitation to early- and later-colonizing species (Smith et al., 2003, 2008; Pywell et al., 2004; Bardgett et al., 2006).
As slug herbivory has the potential to influence the recruitment phase at grassland restoration sites, and plant acceptability is an important functional attribute influencing seedling attack and survival (Hanley, 1998), it is of interest to determine the relative acceptability to slugs of meadow plants at the seedling stage. The aim of this study was to determine the relative acceptability of seedlings of 23 grassland species and a comparative species (Brassica napus) to the field slug D. reticulatum. Here, the term acceptability is used rather than palatability for the same reason as given by Dirzo (1980) in that ‘… the word palatability … carries the implication that taste is the determinant of choice (made by the slug)’. The term acceptability includes the potential for physical and chemical properties of seedlings to influence slug feeding behaviour. Where other studies have used the word palatability this remains unchanged.
MATERIALS AND METHODS
Deroceras reticulatum
Deroceras reticulatum is widespread and abundant in temperate grasslands (South, 1992; Hanley et al., 1996). A survey of slug densities in upland hay meadows found that it was the most common and abundant slug species across a gradient of management intensity (and plant diversity) including sites suitable for restoration (Barlow, 2012). This slug species is a serious pest of newly sown arable crops and grass leys (Runham and Hunter, 1970; Barker, 2002) where it forages predominantly above ground on fresh green plant material (Pallant, 1972) in the seedling stratum (Cook et al., 1996). Foraging activity is greatest in spring and autumn when weather conditions are cool and wet and coincides with seedling germination (South, 1989).
Collection and maintenance of slugs
In total, over 600 D. reticulatum individuals (300–600 mg) were collected from beneath baited hardboard refuge traps from a plot (≈300 m2) of species-poor grassland at Close House Field Station, Newcastle upon Tyne, UK (NZ 126661). Slugs were kept for up to 10 d in ventilated plastic boxes lined with damp paper towels and stored in controlled environmental conditions (12 °C, 12 h dark : 12 h light). Slugs were fed on a mixed diet of lettuce and wheat grain, and boxes were cleaned every 2 d. Slugs were deprived of food 24 h prior to being introduced to microcosms (propagator trays).
Plant material and relative seedling acceptability
Grass and forb species (Table 1) were chosen for their occurrence in species-rich upland hay meadows (defined by the National Vegetation Classification as MG3 Anthoxanthum odoratum–Geranium sylvaticum grassland) and less diverse associates (Rodwell, 1992). Nomenclature follows Stace (2010). Brassica napus ‘Lioness’ (oilseed rape), the only annual species tested, was included for comparative purposes as seedlings are known to be acceptable to slugs. Slugs, in particular D. reticulatum, are a serious pest of oilseed rape crops at the sowing and seedling stages (Glen et al., 1990; Frank, 1998).
Table 1.
Ranked random-effects estimates generated by a generalized additive mixed model for the rate and severity of slug (Deroceras reticulatum)-feeding damage sustained by seedlings of meadow plants and Brassica napus as a function of time (14-d exposure to slugs)
| Species | Random- effect | Combined estimate | Mean damage (proportion; back-transformed) |
|---|---|---|---|
| Achillea millefolium | 0·591 | 1·115 | 0·807 |
| Holcus lanatus | 0·326 | 0·851 | 0·566 |
| Festuca rubra | 0·297 | 0·822 | 0·537 |
| Cynosurus cristatus | 0·254 | 0·778 | 0·494 |
| Poa trivialis | 0·197 | 0·721 | 0·437 |
| Agrostis capillaris | 0·140 | 0·665 | 0·381 |
| Trifolium pratense | 0·121 | 0·646 | 0·362 |
| Brassica napus | 0·108 | 0·633 | 0·350 |
| Plantago lanceolata | 0·100 | 0·625 | 0·342 |
| Prunella vulgaris | 0·070 | 0·594 | 0·314 |
| Cerastium fontanum | 0·024 | 0·549 | 0·273 |
| Bellis perennis | –0·005 | 0·520 | 0·247 |
| Trifolium repens | –0·038 | 0·486 | 0·219 |
| Taraxacum officinale | –0·071 | 0·454 | 0·193 |
| Dactylis glomerata | –0·083 | 0·442 | 0·183 |
| Centaurea nigra | –0·086 | 0·439 | 0·181 |
| Lolium perenne | –0·105 | 0·419 | 0·166 |
| Lotus corniculatus | –0·114 | 0·411 | 0·160 |
| Sanguisorba officinalis | –0·186 | 0·339 | 0·111 |
| Ranunculus acris | –0·190 | 0·335 | 0·108 |
| Anthoxanthum odoratum | –0·289 | 0·236 | 0·055 |
| Leontodon hispidus | –0·344 | 0·181 | 0·033 |
| Rumex acetosa | –0·347 | 0·178 | 0·032 |
| Geranium sylvaticum | –0·373 | 0·152 | 0·023 |
‘Plant species’ was treated as the random effect and reflects the degree to which each species differs from the intercept (Gelman and Hill, 2007). The overall mean level of damage (intercept) sustained by all species as a function of time was 0·525 (back-transformed to 0·251). The overall mean level of damage sustained by each individual species as a function of time is calculated as the combined estimate (random-effect estimate + intercept). Back-transformed estimates are the proportion of overall damage per individual seedling. The speices are listed in order of acceptability, with the most accepatable at the top.
Seed was obtained from the commercial suppliers Emorsgate Seeds (Norfolk, UK) and Herbiseed (Twyford, UK). Preliminary tests were undertaken to establish the germination times and requirements for all species. Species were grouped according to germination times and acceptability tests were performed once for each species between November 2007 and May 2010. The study duration was due to several species failing to germinate in sufficient quantities during initial attempts. Several additional species were not successfully propagated including Rhinanthus minor, seedlings of which did not survive being transplanted after germination.
Seedling monocultures of 23 meadow species and B. napus were obtained by sowing seeds in propagator trays (355 mm × 215 mm × 50 mm) filled with John Innes No. 2 compost and maintained under glasshouse conditions. Trays of each species were replicated five times (although one tray of Ranunculus acris seedlings was accidentally damaged during the study and was excluded from the statistical analysis). Seedlings were hand-thinned to leave 30 seedlings per tray (arranged in three rows of ten plants). Five D. reticulatum individuals (mixed sizes) were introduced to each tray once seedlings had reached the two true-leaf stage of development (or equivalent biomass for monocot species). Brassica napus seedlings were tested at the cotyledon stage in order to represent a similar biomass as other test species. Slugs were provided with a refuge shelter (upturned saucer) and retained by the use of clear plastic ventilated propagator lids attached to trays with masking tape. The soil surface was watered every 2 d using a hand-held pressurized sprayer. Assessments of feeding damage, seedling mortality and slug mortality were performed at 1, 2, 4, 7, 10 and 14 d following the introduction of slugs. Feeding damage was measured as a visual estimate of the proportion of plant biomass consumed by slugs for each seedling and, therefore, did not include biomass removed but left on the soil surface. To standardize assessments, estimates of biomass consumed were made in intervals of 5 % (tiny amounts consumed were recorded as 1–2 %) and were recorded by one assessor (S. E. Barlow) for all species. No symptoms of phytotoxicty (e.g. necrosis, chlorosis, curled leaves, lack of vigour) were evident throughout the assessment period. Seedling mortality was recorded as the combined number of seedlings that were completely consumed (i.e. 100 % cumulative feeding damage) or felled and did not recover within the 14-d exposure period. Mortality does not account for subsequent survival of grazed seedlings post-day 14.
Initial testing was undertaken in a heated glasshouse (min 14·5 °C; max 22·7 °C). In order to better control environmental variables, remaining testing was undertaken in a controlled temperature room maintained at 15 °C with a time-controlled light-box (12 h light : 12 h dark).
Statistical analyses
Statistical models were used to determine differences in the acceptability of meadow plant species to grazing damage by D. reticulatum. Proportional data describing the degree of damage to each seedling were first arcsine-transformed and then examined visually in order to conceptualize the functional response of each plant species through time following exposure to D. reticulatum (Supplementary Data Fig. S1). The response of each plant species was found to be non-linear. In addition, the underlying response of each species varied in terms of the magnitude and shape of the response curve (Supplementary Data Fig. S1).
The statistical modelling of non-linear responses may be undertaken using generalized additive models. Generalized additive models are non-parametric statistical models that are suited to describing the non-linear relationships between a response variable and one or more explanatory variables by means of a smoothing function (Guisan et al., 2002; Zurr et al., 2009). As such, additive models are ideally suited to examining complex non-linear processes that are typically found in biological systems (Torres et al., 2008; Parra et al., 2011). Furthermore, the development of generalized additive mixed models provides a tool for modelling data generated by hierarchical and longitudinal studies (Faraway, 2006). Such data are characterized by within-subject correlation and the correlation between repeated observations through time. Following the methodology described by Zurr et al. (2009), a generalized additive mixed model was generated to assess the damage incurred by each plant species during a 14-d exposure period to D. reticulatum. The damage to each species was evaluated by calculating the mean level of damage to all seedlings within each replicate as a function of time. In addition, the amount of smoothing required describing the relationship between the response variable and each explanatory variable was allowed to vary between plant species. Such models are known as varying-coefficient models (Hastie and Tibshirani, 1993) and allow the relationship between a response variable and a level of a factor to be examined explicitly. Plant species were included in the model as random-effects to allow for correlation between observations within plant species. The random-effect estimates for each plant species were then ranked to illustrate the severity and rate of slug feeding damage to seedlings and, subsequently, to describe each plant species in terms of relative acceptability. Analysis was undertaken using the package gamm4 (Wood, 2012) within R (version 2·15·0) (R Development Core Team, 2012).
The relationship between mean proportional feeding damage (arcsine-transformed) and the total number of dead seedlings within each replicate at day 14 was subjected to a linear regression analysis performed in R (version 2·15·0) (R Development Core Team, 2012).
RESULTS
Relative seedling acceptability to Deroceras reticulatum
Results of the generalized additive mixed models showed that 50·2 % (r2adj = 0·502) of the variation in slug response (severity and rate of damage) was explained by the species of plant.
The species response curves, generated by the varying-coefficient model, show that the damage incurred by seedlings of each plant species increased non-linearly through time and that the rate of damage varied between plant species (Fig. 1). Species Achillea millefolium, Holcus lanatus, Festuca rubra, Cynosurus cristatus, Poa trivialis, Agrostis capillaris and Trifolium pratense show strong non-linear response curves and incurred high levels of damage over time during the 14-d exposure period to D. reticulatum. These species response curves indicate that the greatest levels of damage were incurred between days 1– and 7. By comparison, weak non-linear response curves, as shown by Geranium sylvaticum, Rumex acetosa, Leontodon hispidus and Anthoxanthum odoratum, reveal that these species suffered the lowest levels of cumulative feeding damage throughout the 14-d exposure period.
Fig. 1.
Generalized additive mixed model smoothed response curves for slug (Deroceras reticulatum) feeding damage to seedlings of meadow plants and Brassica napus as a function of time. The y-axis describes the positive non-linear trend of damage incurred by each species as a function of time. Response curves that are orientated around zero on the y-axis indicate little or no effect of the predictor variable. The x-axis represents the contribution of time (0–14 d) to the overall trend in damage for each plant species. Continuous curves are the cubic regression spline fits. The broken lines correspond to 95 % confidence limits for the smoothing. Species are ordered according to the ranked random-effects (Table 1) and, hence, the severity and rate of damage incurred as a function of time. Species that incurred the least mean damage over 14 d to those that incurred the greatest mean damage in the shortest exposure time are arranged from left to right starting at bottom left and show increasingly non-linear responses accordingly. For species' names in full refer to Table 1.
The grand mean (intercept) for the proportion of damage incurred by all 24 species as a function of time following exposure to D. reticulatum for 14 d was 25·1 % (back-transformed from 0·525). The random-effects estimates reflect the difference in the degree of damage sustained by each plant species in comparison to the grand mean (Gelman and Hill, 2007). The overall level of damage incurred by each species as a function of time was calculated by combining estimates of the random-effects and the grand mean (Table 1). Note that as the study was constrained by the upper limit of 14 d, the overall level of damage incurred by each species is calculated for all time points and not discrete time points (i.e. estimates are not simply mean damage at day 14). The rank-order of random-effects for each plant species in relation to the grand mean suggests that plant species form a hierarchy of relative acceptability to D. reticulatum and range from highly acceptable to highly unacceptable (Fig. 2).
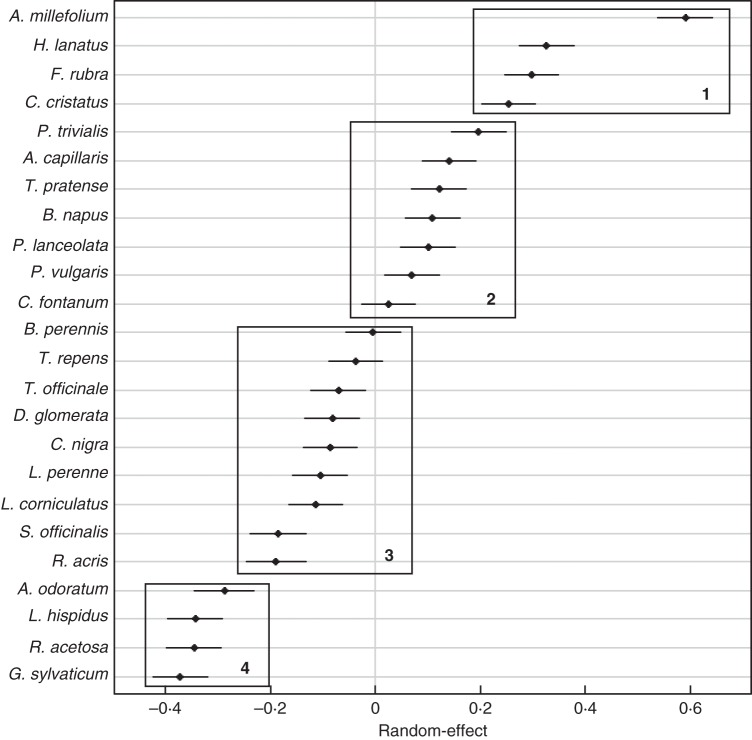
Fig. 2.
Ranked random-effects plot generated by a generalized additive mixed model for slug (Deroceras reticulatum) feeding damage to seedlings of meadow plants and Brassica napus as a function of time (14-d exposure to slugs). Plant species were used as the random-effects. The rank-order of random-effects estimates can be interpreted (from top to bottom) as a hierarchy of decreasing acceptability to D. reticulatum. Species with a random-effect estimate centred on zero do not differ from the intercept (overall mean damage incurred by all 24 species as a function of time). Random-effects estimates are shown in Table 1. Relative acceptability rankings can be interpreted as: 1 = highly acceptable; 2 = acceptable; 3 = less acceptable; 4 = highly unacceptable to D. reticulatum. For species' names in full refer to Table 1.
Back-transformed estimates reveal that fast, severe damage occurred for A. millefolium and the grasses H. lanatus, F. rubra and C. cristatus; these species sustained severe damage within 1–4 d of exposure to slugs and generated combined estimates >45 % suggesting that they are highly acceptable to D. reticulatum (Table 1). The high estimate for A. millefolium (80·7 %) is a consequence of slugs completely consuming the majority of seedlings within 1–4 d. Seedlings of two further grass species (P. trivialis and A. capillaris) and four forbs including T. pratense, Plantago lanceolata, Prunella vulgaris and Cerastium fontanum incurred high levels of feeding damage within 7-d exposure to slugs and generated combined estimates of 27–44 % (Table 1). Brassica napus also showed this pattern of damage, indicating that these aforementioned species are of similar or greater acceptability as B. napus seedlings to D. reticulatum. Seedlings of nine other species (Sanguisorba officinalis, Ranunculus acris, Lotus corniculatus, Lolium perenne, Centaurea nigra, Dactylis glomerata, Taraxacum officinale, Trifloium repens and Bellis perennis) experienced constant, low-level feeding damage; for these species, slugs continued to consume small amounts of leaf tissue over the 14-d exposure period (combined estimates 10–25 %; Table 1), although cumulative damage began to curtail between days 7 and 14. The four remaining species, A. odoratum, L. hispidus, R. acetosa and G. sylvaticum, sustained minimal levels of feeding damage throughout the 14-d exposure period (combined estimates 2–6 %; Table 1) despite slugs having no other green plant material available, indicating that seedlings of these species are highly unacceptable to D. reticulatum. No dead slugs were recorded throughout the 14-d study period.
Seedling mortality
Overall, 35 % of seedlings were killed by slugs during the 14-d exposure period. Seedling mortality and mean proportional feeding damage (arcsine-transformed) at day 14 were positively correlated (t = 20·004, P < 0·0001, r2adj = 77 %). Of the seedlings killed by slugs, 87 % were completely consumed and 13 % were felled but not consumed.
DISCUSSION
Here we have shown how variation in the acceptability of meadow plants to a common temperate grassland slug, Deroceras reticulatum, may influence slug feeding behaviour and consequently seedling recruitment at upland hay meadow and other semi-natural grassland restoration sites. We found that meadow plants form a hierarchy of acceptability to D. reticulatum. Of the 23 meadow species tested, four were highly acceptable (49–81 % overall damage) and four were highly unacceptable (2–6 % overall damage) to D. reticulatum over 14 d. Such ‘all or nothing’ feeding responses have been described by previous feeding studies using slugs (Duval, 1971, 1973; Dirzo, 1980) and snails (Grime et al., 1968). Furthermore, D. reticulatum feeding responses suggest a potential role of attractive and repellent olfactory cues. For instance, slugs fed intensively on A. millefolium seedlings from initial exposure and caused minimal damage to G. sylvaticum seedlings for 14 d despite the absence of other fresh plant material. Similarly, Hanley et al. (2011) found that the snail Helix aspersa makes olfactory selections (macerated seedlings) of preferred (highly acceptable) species more rapidly than for less-preferred species, although it was not known whether positive or negative olfactory cues were ultimately responsible. Variation in acceptability, as evident in the present study, is determined by plant traits that act as anti-herbivore defences and by plant nutritional chemistry (Grime et al., 1996). Unravelling these factors is a complex task and is not the aim of this study. In discussing the findings, we make comparisons with other mollusc feeding assays, some of which suggest the potential influence of particular chemical and physical defences on the acceptability of the test species of interest here (for further details, see Supplementary Data Table S1). However, it is necessary to consider that most other feeding assays have involved adult leaf material and, hence, those properties that may influence acceptability of adult plants may not be expressed in seedlings. The implications of this study for grassland restoration are discussed below, along with the limitations of our approach.
The positive correlation between acceptability and seedling mortality suggests that species found to be relatively unacceptable to D. reticulatum may be more likely to avoid or survive slug herbivory in the field, although younger, smaller seedlings may be at greater risk (Hulme, 1994; Hanley et al., 1995b, 2007; Elger et al., 2009). In contrast, species highly acceptable to D. reticulatum may be more likely to be selectively grazed and killed by slugs at restoration sites. Several of the desirable species targeted in upland hay meadow restoration (G. sylvaticum, R. acetosa, L. hispidus, S. officinalis, A. odoratum, R. acris, L. corniculatus) were largely unacceptable to D. reticulatum at the seedling stage, suggesting that their seedling recruitment is unlikely to be greatly reduced by slugs. Other bioassay studies indicate that the adult leaves of some of these species are also largely unacceptable to some mollusc species and suggest that particular chemical defences may have a pronounced effect on reducing acceptability to molluscs, namely ranunculin (an instable glucoside) in R. acris (Briner and Frank, 1998); ‘digestibility-reducing’ tannins in G. sylvaticum (Scheidel and Bruelheide, 1999) and other Geranium species (Stahl, 1888; Briner and Frank, 1998; Koztowski and Koztowska, 2004); anthraquinones (a class of phenol) in R. acetosa (Duval, 1971, 1973; Mølgaard, 1986); and volatiles in A. odoratum (Grime et al., 1968). Whilst considering that most of these studies have used adult leaf material and that chemical properties acting in defence are likely to be subject to positive ontogenetic effects (Barton and Koricheva, 2010), it is conceivable that the same chemical properties may also lower the acceptability of seedlings to D. reticulatum (Scheidel and Bruelheide, 1999). The anti-feedant properties of secondary metabolites in seedlings against molluscs are suggested by the results of some laboratory (Horrill and Richards, 1986; Hanley et al., 1995b) and field studies (Hulme, 1994; Hanley et al., 1995a; Hanley, 2004). In this study, it is possible that D. reticulatum may have discriminated against cyanogenic morphs of L. corniculatus seedlings, as shown by Keymer and Ellis (1978) for snails (Helicella itala and Cochlicella acuta). Foliar trichomes may also be a factor in reducing the acceptability of some species (Scheidel and Bruelheide, 1999). Of the 24 species tested, H. lanatus, T. pratense, C. fontanum, C. nigra, R. acris, L. hispidus and G. sylvaticum are markedly hairy as adult plants, but varied considerably in their relative seedling acceptability to D. reticulatum, possibly due to variation in trichome type (glandular or non-glandular) and development with ontogeny (Hanley et al., 1995b, 1996). Further, the response of D. reticulatum to the largely unacceptable species, identified in the generalized additive mixed models, suggests that slugs may have regulated the consumption of potentially toxic concentrations of secondary metabolites by decreasing meal size and the interval between meals, as shown in the study by Torregrossa et al. (2011) for the generalist rodent, Neotoma albigula.
The relatively high acceptability of T. pratense seedlings (the second highest ranking forb species) to D. reticulatum may be a limiting factor influencing its seedling recruitment at restoration field sites; however, it is not known to what extent slugs were influenced by cyanogenesis. The relative proportion of cyanogenic and acyanogenic morphs in the population may be a factor influencing the recruitment of T. pratense seedlings at restoration field sites. Trifolium pratense seedlings are reported by other studies to be acceptable to slugs under laboratory conditions (Briner and Frank, 1998, Fenner et al., 1999; Hanley and Sykes, 2009) and within field plots (Hanley, 2004). However, Hulme (1996) found that the survival of T. pratense seedlings was not reduced within mollusc-grazed plots compared with mollusc-exclusion field plots, although survival was reduced by rodents. The successful recruitment of T. pratense seedlings is particularly important during the early stages of upland hay-meadow restoration as established plants (in abundance) are associated with facilitating mycorrhizal populations in the soil, promoting increases in fungal to bacterial ratios and consequent reductions in residual soil (phosphorus) fertility caused by inorganic fertilizer additions (Smith et al., 2003, 2008). The establishment of abundant T. pratense populations at restoration sites is also likely to benefit long-tongued bumblebees as flowers provide highly protein-rich pollen (Goulson et al., 2008; Hanley et al., 2008). Established A. odoratum and R. acris populations are also associated with increasing soil fungal to bacterial ratios (Smith et al., 2008; De Deyn et al., 2012) and, as discussed above, seedlings were found to be relatively unacceptable to D. reticulatum and are unlikely to be selectively grazed by slugs during the seedling recruitment phase. The successful recruitment and establishment of Rhinanthus minor is also critical to the restoration process as mature plants selectively parasitize competitive grass species and facilitate an increase in forb diversity (Pywell et al., 2004; Smith et al., 2008). Slug herbivory is reported to reduce R. minor seedling recruitment under field (van Hulst et al., 1987) and mesocosm (Barlow, 2012) conditions, indicating that the relative seedling acceptability of R. minor to D. reticulatum may be similar to those species ranked highly within this study.
High grass-species richness is characteristic of species-rich meadows (Rodwell, 1992). Our findings suggest that the relatively high acceptability of most grass species (H. lanatus, F. rubra, C. cristatus, P. trivialis and A. capillaris) to D. reticulatum may increase the likelihood of selective grazing at restoration field sites. Likewise, Hulme (1996) found that grass seedlings suffered more severe damage than forb seedlings under field conditions, although most grass species demonstrated higher survival rates. In contrast, Hanley (2004) found that seedlings of A. capillaris, F, rubra, H. lanatus and P. trivialis suffered considerably less slug-feeding damage than neighbouring forbs within mixed-assemblage field plots. Selective grazing of grass seedlings may promote the establishment of neighbouring less-acceptable forbs if slug herbivory reduces the abundance of more competitive grasses in favour of the forb species (Buschmann et al., 2005; Hanley and Sykes, 2009). It is possible that seedlings of these grasses are highly acceptable to D. reticulatum due to the delayed development of silica phytoliths with plant ontogeny. Accordingly, Fenner et al. (1999) report that grass seedlings were more palatable than adult conspecifics when offered as agar discs to D. reticulatum. Leaf texture may also be a factor influencing seedling acceptability; for example, H. lanatus may have been readily eaten by D. reticulatum, despite its hairy leaves, due to its soft leaf texture (Grime et al., 1968; Pallant, 1972). In contrast, slugs did not inflict high levels of damage on the seedlings of the grasses D. glomerata or L. perenne. A high abundance of L. perenne and D. glomerata is characteristic of agriculturally improved (inorganic nitrogen-enriched, species-poor) swards and their competitive dominance is a constraint to diversity. Our results suggest that slugs are unlikely to selectively graze these species; however, felled seedlings contributed to overall mortality, particularly for L. perenne, suggesting that seedling recruitment of these species may be reduced by slugs despite their relative low acceptability. The low acceptability of these grass species may potentially have been influenced by their relatively hard leaf texture (Grime et al., 1968; Dirzo, 1980; Scheidel and Bruelheide, 1999; Hanley et al., 2007) even as seedlings or, perhaps, as a consequence of relatively higher silica concentrations as is evident in adult plants (Massey et al., 2006).
As the purpose of this study was to assess acceptability using seedling monocultures under controlled microcosm conditions, we recognize that extrapolating the findings to field conditions should be done with caution. Other factors may influence selection by molluscs in field conditions (Fenner, 1987; Hanley, 1998) including seedling density and distribution (Root, 1973; Cottam, 1985; Bergelson, 1990; Hanley et al., 1996), the identity of nearest neighbours (Hanley, 2004), and the timing of attack in relation to seedling age and size (Hanley et al., 1995b; Hulme, 1994). Furthermore, acceptability may have little implication for seedling survival as the effect of slug feeding may be disproportionate to the amount of biomass removed (Dirzo and Harper, 1980; Fenner et al., 1999). In this study, felling did contribute to seedling mortality, but consumption was the predominant cause indicating that acceptability may be a good predictor of seedling mortality. The ability of seedlings to tolerate (i.e. recover from) sub-lethal grazing damage also varies between species (Hulme, 1994) and is likely to be influenced by seedling morphology (Hanley et al., 1995a, b), relative growth rate (Kelly and Hanley, 2005) and meristem location (Glen et al., 1991) amongst other factors. Even low levels of slug damage may place a seedling at a competitive disadvantage towards its herbivory-free neighbours due to increased allocation of resources to re-growth. Nevertheless, results of laboratory-based acceptability trials using slugs and insect herbivores have been shown to be an accurate predictor of plant community development from emergence (Burt-Smith et al., 2003; Strauss et al., 2009).
Finally, while the study made no attempt to test plant defence theories (Coley et al., 1985; Stamp, 2003) our results suggest a general pattern that species which were least acceptable to D. reticulatum, and thus suffered minimal feeding damage, are relatively slow-growing, perennial stress-tolerating species typical of mid- to late-successional grassland (Grime, 2002) and appear to be well defended as seedlings, potentially by chemical defences. Likewise, those species that were most acceptable and were readily attacked and killed by slugs are relatively fast-growing and may lack effective physical or chemical defences during early development. However, not all species fit this pattern. In particular, L. perenne and D. glomerata were relatively unacceptable to D. reticulatum but are relatively fast-growing grasses; and T. pratense was readily eaten by D. reticultaum but is a stress-tolerant species characteristic of the target community. These findings are similar to other feeding trials that suggest molluscs find ruderal species more palatable than stress-tolerating, later successional species (Grime et al., 1968, 1996; Cates and Orians, 1975).
Conclusions
Returning to our initial purpose for this study, we conclude that interspecific variation in seedling acceptability to D. reticulatum may influence the likelihood of selective grazing by slugs and, consequently, the successful seedling recruitment of meadow plants at grassland restoration sites. Very often grassland restoration sites are seed limited and require seed of target species to be transferred from species-rich donor sites (Smith et al., 2002). Successful seedling recruitment and establishment is of ecosystem-level importance for species that provide a facilitating function, in particular the facilitation of soil fungal communities by stress-tolerating species (including legumes), and the suppression of grass competition by R. minor (Pywell et al., 2004; Smith et al., 2008). Our assessment would be strengthened by the demonstration that laboratory-based acceptability tests may be used to predict slug herbivory damage to seedlings (i.e. attack and survival) under field conditions. Complementary field studies of slug–seedling interactions at restoration sites are necessary to establish the predictive value of the results reported here. Importantly, studies should determine whether slug herbivory affects not only plant performance but also plant population dynamics. This information will be necessary to inform decision-making as to whether slug control or other management intervention (e.g. introducing transplants) is warranted on a site-specific basis to assist the recruitment and establishment of key species, and for developing appropriate management prescriptions. At present, slug herbivory is little considered in grassland restoration management but is likely to be an important factor influencing seedling recruitment at restoration sites; the results of which may have implications for ecosystem functioning.
SUPPLEMENTARY DATA
Supplementary data are available online at www.aob.oxfordjournals.org and consist of the following. Figure S1: slug (Deroceras reticulatum) feeding damage to seedlings of meadow plants as a function of time. Table S1: a comparison with laboratory- and field-based studies of mollusc feeding on plants (adults and seedlings) that were also tested in this study.
ACKNOWLEDGEMENTS
We thank Robert Hodgson and Alan Craig for technical assistance with plant propagation and Dr Mick Hanley and two anonymous referees for valuable comments on earlier drafts of this manuscript. This work was supported by a post-graduate scholarship from The Perry Foundation.
LITERATURE CITED
- Allan E, Crawley MJ. Contrasting effects of insect and molluscan herbivores on plant diversity in a long-term field experiment. Ecology Letters. 2011;14:1246–1253. doi: 10.1111/j.1461-0248.2011.01694.x. [DOI] [PubMed] [Google Scholar]
- Bardgett RD, Smith RS, Shiel RS, et al. Parasitic plants indirectly regulate below-ground properties in grassland ecosystems. Nature. 2006;439:969–972. doi: 10.1038/nature04197. [DOI] [PubMed] [Google Scholar]
- Barker GM. Molluscs as crop pests. Wallingford, UK: CABI Publishing; 2002. [Google Scholar]
- Barlow SE. The effects of invertebrates on the plant communities in upland hay meadows. PhD Thesis, Newcastle University: UK; 2012. [Google Scholar]
- Barton KE, Koricheva J. The ontogeny of plant defense and herbivory: characterizing general patterns using meta-analysis. The American Naturalist. 2010;175:481–493. doi: 10.1086/650722. [DOI] [PubMed] [Google Scholar]
- Bennett RN, Wallsgrove RM. Tansley Review No. 72. Secondary metabolites in plant defence mechanisms. New Phytologist. 1994;127:617–633. doi: 10.1111/j.1469-8137.1994.tb02968.x. [DOI] [PubMed] [Google Scholar]
- Bergelson J. Spatial patterning in plants: opposing effects of herbivory and competition. Journal of Ecology. 1990;78:937–948. [Google Scholar]
- Briner T, Frank T. The palatability of 78 wildflower strip plants to the slug Arion lusitanicus. Annals of Applied Biology. 1998;133:123–133. [Google Scholar]
- Brown VK, Gange AC. Differential effect of above- and below-ground insect herbivory during early plant succession. Oikos. 1989a;54:67–76. [Google Scholar]
- Brown VK, Gange AC. Herbivory by soil-dwelling insects depresses plant species richness. Functional Ecology. 1989b;3:667–671. [Google Scholar]
- Brown VK, Gange AC. Secondary plant succession: how is it modified by insect herbivory? Vegetatio. 1992;101:3–13. [Google Scholar]
- Buckland SM, Grime JP. The effects of trophic structure and soil fertility on the assembly of plant communities: a microcosm experiment. Oikos. 2000;91:336–352. [Google Scholar]
- Burt-Smith GS, Grime JP, Tilman D. Seedling resistance to herbivory as a predictor of relative abundance in a synthesised prairie community. Oikos. 2003;101:345–353. [Google Scholar]
- Buschmann H, Keller M, Porret N, Dietz H, Edwards PJ. The effect of slug grazing on vegetation development and plant species diversity in an experimental grassland. Functional Ecology. 2005;19:291–298. [Google Scholar]
- Cates RG, Orians GH. Successional status and palatability of plants to generalized herbivores. Ecology. 1975;56:410–418. [Google Scholar]
- Coley PD, Bryant JP, Chapin FS. Resource availability and plant antiherbivore defense. Science. 1985;230:895–899. doi: 10.1126/science.230.4728.895. [DOI] [PubMed] [Google Scholar]
- Cook RT, Bailey SER, McCrohan CR. Slug preferences for winter wheat cultivars and common agricultural weeds. Journal of Applied Ecology. 1996;33:866–872. [Google Scholar]
- Cottam DA. Frequency-dependent grazing by slugs and grasshoppers. Journal of Ecology. 1985;73:925–933. [Google Scholar]
- Cottam DA. The effects of slug-grazing on Trifolium repens and Dactylis glomerata in monoculture and mixed sward. Oikos. 1986;47:275–279. [Google Scholar]
- Crawley MJ. Insect herbivores and plant-population dynamics. Annual Review of Entomology. 1989;34:531–564. [Google Scholar]
- De Deyn GB, Quirk H, Bardgett RD. Plant species richness, identity and productivity differentially influence key groups of microbes in grassland soils of contrasting fertility. Biology Letters. 2012;7:75–78. doi: 10.1098/rsbl.2010.0575. [DOI] [PMC free article] [PubMed] [Google Scholar]
- Dirzo R. Experimental studies on slug–plant interactions. I. The acceptability of thirty plant species to the slug Agriolimax caruanae. Journal of Ecology. 1980;68:981–998. [Google Scholar]
- Dirzo R, Harper JL. Experimental studies on slug-plant interactions. II. The effect of grazing by slugs on high density monocultures of Capsella bursa-pastoris and Poa annua. Journal of Ecology. 1980;68:999–1011. [Google Scholar]
- Dirzo R, Harper J. Experimental studies on slug-plant interactions III. Differences in the acceptability of individual plants of Trifolium repens to slugs and snails. Journal of Ecology. 1982;70:101–117. [Google Scholar]
- Duval DM. A note on the acceptability of various weeds as food for Agriolimax reticulatus (Müller) Journal of Conchology. 1971;27:249–251. [Google Scholar]
- Duval DM. A note on the acceptability of various weeds as food for Arion hortensis. Journal of Conchology. 1973;28:37–39. [Google Scholar]
- Elger A, Lemoine DG, Fenner M, Hanley ME. Plant ontogeny and chemical defence: older seedlings are better defended. Oikos. 2009;118:767–773. [Google Scholar]
- Endara M-J, Coley PD. The resource availability hypothesis revisited: a meta-analysis. Functional Ecology. 2011;25:389–398. [Google Scholar]
- Faraway JJ. Extending the linear model with R: generalized linear, mixed effects and nonparametric regression models. Boca Raton, FL: Chapman & Hall/CRC; 2006. [Google Scholar]
- Fenner M. New Phytologist. 1987;106:35–47. Seedlings. [Google Scholar]
- Fenner M, Thompson K. The ecology of seeds. Cambridge: Cambridge University Press; 2005. [Google Scholar]
- Fenner M, Hanley ME, Lawrence R. Comparison of seedling and adult palatability in annual and perennial plants. Functional Ecology. 1999;13:546–551. [Google Scholar]
- Frank T. Slug damage and numbers of the slug pests, Arion lusitanicus and Deroceras reticulatum, in oilseed rape grown beside wildflower strips. Agriculture, Ecosystems and Environment. 1998;67:67–78. [Google Scholar]
- Gelman A, Hill J. Data analysis using regression and multilevel/hierarchical models. Cambridge: Cambridge University Press; 2007. [Google Scholar]
- Glen DM, Jones H, Fieldsend JK. Damage to oilseed rape seedlings by the field slug Deroceras reticulatum in relation to glucosinolate concentration. Annals of Applied Biology. 1990;117:197–207. [Google Scholar]
- Glen DM, Cuerden R, Butler RC. Impact of the field slug Deroceras reticulatum on establishment of ryegrass and white clover in mixed swards. Annals of Applied Biology. 1991;119:155–162. [Google Scholar]
- Goulson D, Lye GC, Darvill B. Diet breadth, coexistence and rarity in bumblebees. Biodiversity and Conservation. 2008;17:3269–3288. [Google Scholar]
- Grime JP. Plant strategies, vegetation processes, and ecosystem properties. 2nd edn. Chichester: John Wiley & Sons; 2002. [Google Scholar]
- Grime JP, MacPherson-Stewart SF, Dearman RS. An investigation of leaf palatability using the snail Cepaea nemoralis L. Journal of Ecology. 1968;57:45–66. [Google Scholar]
- Grime JP, Cornelissen JHC, Thompson K, Hodgson JG. Evidence of a causal connection between anti-herbivore defence and the decomposition rate of leaves. Oikos. 1996;77:489–494. [Google Scholar]
- Grubb PJ. A theoretical background to the conservation of ecologically distinct groups of annuals and biennials in the chalk grassland ecosystem. Biological Conservation. 1976;10:53–76. [Google Scholar]
- Grubb PJ. Maintenance of species-richness in plant communities: importance of the regeneration niche. Biological Reviews of the Cambridge Philosophical Society. 1977;52:107–145. [Google Scholar]
- Guisan A, Edwards TC, Hastie T. Generalized linear and generalized additive models in studies of species distributions: setting the scene. Ecological Modelling. 2002;157:89–100. [Google Scholar]
- Hanley ME. Seedling herbivory, community composition and plant life history traits. Perspectives in Plant Ecology, Evolution and Systematics. 1998;1:191–205. [Google Scholar]
- Hanley ME. Seedling herbivory and the influence of plant species richness in seedling neighbourhoods. Plant Ecology. 2004;170:35–41. [Google Scholar]
- Hanley ME, Sykes RJ. Impacts of seedling herbivory on plant competition and implications for species coexistence. Annals of Botany. 2009;103:1347–1353. doi: 10.1093/aob/mcp081. [DOI] [PMC free article] [PubMed] [Google Scholar]
- Hanley ME, Fenner M, Edwards PJ. An experimental field-study of the effects of mollusc grazing on seedling recruitment and survival in grassland. Journal of Ecology. 1995a;83:621–627. [Google Scholar]
- Hanley ME, Fenner M, Edwards PJ. The effect of seedling age on the likelihood of herbivory by the slug Deroceras reticulatum. Functional Ecology. 1995b;9:754–759. [Google Scholar]
- Hanley ME, Fenner M, Edwards PJ. The effect of mollusc grazing on seedling recruitment in artificially created grassland gaps. Oecologia. 1996;106:240–246. doi: 10.1007/BF00328604. [DOI] [PubMed] [Google Scholar]
- Hanley ME, Lamont BB, Fairbanks MM, Rafferty CM. Plant structural traits and their role in anti-herbivore defence. Perspectives in Plant Ecology Evolution and Systematics. 2007;8:157–178. [Google Scholar]
- Hanley ME, Franco M, Pichon S, Darvill B, Goulson D. Breeding system, pollinator choice and variation in pollen quality in British herbaceous plants. Functional Ecology. 2008;22:592–598. [Google Scholar]
- Hanley ME, Collins SA, Swann C. Advertising acceptability: is mollusk olfaction important in seedling selection? Plant Ecology. 2011;212:727–731. [Google Scholar]
- Hastie T, Tibshirani R. Varying-coefficient models. Journal of the Royal Statistical Society. 1993;55:757–796. [Google Scholar]
- Herms DA, Mattson WJ. The dilemma of plants: to grow or defend. Quarterly Review of Biology. 1992;67:283–335. [Google Scholar]
- Hitchmough JD. Effects of sward height, gap size, and slug grazing on emergence and establishment of Trollius europaeus (Globeflower) Restoration Ecology. 2003;11:20–28. [Google Scholar]
- Horrill JC, Richards AJ. Differential grazing by the mollusc Arion hortensis Fer. on cyanogenic and acyanogenic seedlings of the white clover. Trifolium repens L. Heredity. 1986;56:277–281. [Google Scholar]
- Hufford KM, Mazer SJ. Plant ecotypes: genetic differentiation in the age of ecological restoration. Trends in Ecology and Evolution. 2003;18:147–155. [Google Scholar]
- Hulme PE. Seedling herbivory in grassland: relative impact of vertebrate and invertebrate herbivores. Journal of Ecology. 1994;82:873–880. [Google Scholar]
- Hulme PE. Herbivores and the performance of grassland plants: a comparison of arthropod, mollusc and rodent herbivory. Journal of Ecology. 1996;84:43–51. [Google Scholar]
- van Hulst R, Shipley B, Theriault A. Why is Rhinanthus minor (Scrophulariaceae) such a good invader? Canadian Journal of Botany. 1987;65:2373–2379. [Google Scholar]
- Keller M, Kollman J, Edwards P. Palatability of weeds from different European origins to the slugs Deroceras reticulatum Müller and Arion lusitanicus Mabille. Acia Oecologica. 1999;20:109–118. [Google Scholar]
- Kelly CK, Hanley ME. Juvenile growth and palatability in co-occurring, congeneric British herbs. American Journal of Botany. 2005;92:1586–1589. doi: 10.3732/ajb.92.9.1586. [DOI] [PubMed] [Google Scholar]
- Keymer R, Ellis WM. Experimental studies on plants of Lotus corniculatus L. from Anglesey polymorphic for cyanogenesis. Heredity. 1978;40:189–206. [Google Scholar]
- Koztowski J, Koztowska M. Food preferences of Deroceras reticulatum, Arion lusitanicus and Arion rufus for various medicinal herbs and oilseed rape. Journal of Plant Protection Research. 2004;44:239–250. [Google Scholar]
- Massey FP, Hartley SE. Experimental demonstration of the anti-herbivore effects of silica in grasses: impacts on foliage digestibility and vole growth rates. Proceedings of the Royal Society B – Biological Sciences. 2006;273:2299–2304. doi: 10.1098/rspb.2006.3586. [DOI] [PMC free article] [PubMed] [Google Scholar]
- Massey FP, Hartley SE. Physical defences wear you down: progressive and irreversible impacts of silica on insect herbivores. Journal of Animal Ecology. 2009;78:281–291. doi: 10.1111/j.1365-2656.2008.01472.x. [DOI] [PubMed] [Google Scholar]
- Massey FP, Ennos AR, Hartley SE. Silica in grasses as a defence against insect herbivores: contrasting effects on folivores and a phloem feeder. Journal of Animal Ecology. 2006;75:595–603. doi: 10.1111/j.1365-2656.2006.01082.x. [DOI] [PubMed] [Google Scholar]
- Massey FP, Ennos AR, Hartley SE. Herbivore specific induction of silica-based plant defences. Oecologia. 2007;152:677–683. doi: 10.1007/s00442-007-0703-5. [DOI] [PubMed] [Google Scholar]
- Mattson WJ. Herbivory in relation to plant nitrogen content. Annual Review of Ecology and Systematics. 1980;11:119–161. [Google Scholar]
- Moles AT, Westoby M. Seedling survival and seed size: a synthesis of the literature. Journal of Ecology. 2004;92:372–383. [Google Scholar]
- Mølgaard P. Food plant preferences by slugs and snails: a simple method to evaluate the relative palatability of the food plants. Biochemical Systematics and Ecology. 1986;14:113–121. [Google Scholar]
- Pallant D. The food of the grey field slug. Agriolimax reticulatus (Müller), on grassland. Journal of Animal Ecology. 1972;41:761–769. [Google Scholar]
- Parra JL, Rahbeck C, McGuire JA, Graham CH. Contrasting patterns of phylogenetic assemblage structure along the elevational gradient for major hummingbird clades. Journal of Biogeography. 2011;38:2350–2361. [Google Scholar]
- Pywell RF, Bullock JM, Walker KJ, Coulson SJ, Gregory SJ, Stevenson MJ. Facilitating grassland diversification using the hemiparasitic plant Rhinanthus minor. Journal of Applied Ecology. 2004;41:880–887. [Google Scholar]
- Pywell RF, Bullock JM, Tallowin JB, Walker KJ, Warman EA, Masters G. Enhancing diversity of species-poor grasslands: an experimental assessment of multiple constraints. Journal of Applied Ecology. 2007;44:81–94. [Google Scholar]
- R Development Core Team. R: a language and environment for statistical computing. R Foundation for Statistical Computing, Vienna. 2012 http://www.r-project.org/ [Google Scholar]
- Rees M, Brown VK. Interactions between invertebrate herbivores and plant competition. Journal of Ecology. 1992;80:353–360. [Google Scholar]
- Rodwell JS. British plant communities. Vol. 3. Cambridge: Cambridge University Press; 1992. Grassland and montane communities. [Google Scholar]
- Root RB. Organization of a plant–arthropod association in simple and diverse habitats: fauna of collards (Brassica oleracea) Ecological Monographs. 1973;43:95–120. [Google Scholar]
- Rossignol N, Bonis A, Bouzill J. Impact of selective grazing on plant production and quality through floristic contrasts and current-year defoliation in a wet grassland. Plant Ecology. 2011;212:1589–1600. [Google Scholar]
- Runham NW, Hunter PJ. Terrestrial slugs. London: Hutchinson University Library; 1970. [Google Scholar]
- Scheidel U, Bruelheide H. Selective slug grazing on montane meadow plants. Journal of Ecology. 1999;87:828–838. [Google Scholar]
- Smith RS, Rushton SP. The effects of grazing management on the vegetation of mesotrophic (meadow) grassland in northern England. Journal of Applied Ecology. 1994;31:13–24. [Google Scholar]
- Smith RS, Corkhill P, Shiel RS, Millward D. The conservation management of mesotrophic (meadow) grassland in Northern England. 2. Effects of grazing, cutting date, fertilizer and seed application on the vegetation of an agriculturally improved sward. Grass and Forage Science. 1996;51:292–305. [Google Scholar]
- Smith RS, Shiel RS, Millward D, Corkhill P. The interactive effects of management on the productivity and plant community structure of an upland meadow: an 8-year field trial. Journal of Applied Ecology. 2000;37:1029–1043. [Google Scholar]
- Smith RS, Shiel RS, Millward D, Corkhill P, Sanderson RA. Soil seed banks and the effects of meadow management on vegetation change in a 10-year meadow field trial. Journal of Applied Ecology. 2002;39:279–293. [Google Scholar]
- Smith RS, Shiel RS, Bardgett RD, et al. Soil microbial community, fertility, vegetation and diversity as targets in the restoration management of a meadow grassland. Journal of Applied Ecology. 2003;40:51–64. [Google Scholar]
- Smith RS, Shiel RS, Bardgett RD. Long-term change in vegetation and soil microbial communities during the phased restoration of traditional meadow grassland. Journal of Applied Ecology. 2008;45:670–679. [Google Scholar]
- South A. A comparison of the life cycles of the slugs Deroceras reticulatum (Müller) and Arion intermedius Normand on permanent pasture. Journal of Molluscan Studies. 1989;55:9–22. [Google Scholar]
- South A. Terrestrial slugs: biology, ecology and control. London: Chapman & Hall; 1992. [Google Scholar]
- Speiser B, Rowell-Rahier M. Effects of food availability, nutritional value, and alkaloids on food choice in the generalist herbivore Arianta arbustorum (Gastropoda, Helicidae) Oikos. 1991;62:306–318. [Google Scholar]
- Stace CA. New flora of the Bristish Isles. Cambridge: Cambridge University Press; 2010. [Google Scholar]
- Stahl E. Pflanzen und Schnecken: biologische Studie uber die Schutzmittel die Planzen gegen Schneckenfrass. Jenaische Zeitschrift für Naturwissenschaften. 1888;22:557–684. [Google Scholar]
- Stamp N. Out of the quagmire of plant defense hypotheses. The Quarterly Review of Biology. 2003;78:23–55. doi: 10.1086/367580. [DOI] [PubMed] [Google Scholar]
- Strauss SY, Stanton ML, Emery NC. Cryptic seedling herbivory by nocturnal introduced generalists impacts survival, performance of native and exotic plants. Ecology. 2009;90:419–429. doi: 10.1890/07-1533.1. [DOI] [PubMed] [Google Scholar]
- Tansley A, Adamson R. Studies of the vegetation of the English Chalk. III. The chalk grasslands of the Hampshire–Sussex border. Journal of Ecology. 1925;13:177–223. [Google Scholar]
- Torregrossa A, Azzara AV, Dearing MD. Differential regulation of plant secondary compounds by herbivorous rodents. Functional Ecology. 2011;25:1232–1240. [Google Scholar]
- Torres LG, Read AJ, Halpin P. Fine-scale habitat modelling of a top marine predator: do prey data improve predictive capacity? Ecological Applications. 2008;18:1702–1717. doi: 10.1890/07-1455.1. [DOI] [PubMed] [Google Scholar]
- Wadham MD, Wynn-Parry D. The silicon content of Oryza sativa L. and its effect on the grazing behaviour of Agriolimax reticulatus Müller. Annals of Botany. 1981;48:399–402. [Google Scholar]
- Westerbergh A, Nyberg AB. Selective grazing of hairless Silene dioica plants by land gastropods. Oikos. 1995;73:289–298. [Google Scholar]
- Wilby A, Brown VK. Herbivory, litter and soil disturbance as determinants of vegetation dynamics during early old-field succession under set-aside. Oecologia. 2001;127:259–265. doi: 10.1007/s004420000579. [DOI] [PubMed] [Google Scholar]
- Wood SN. gamm4: generalized additive mixed models using mgcv and lme4. R package version 0·1-6. 2012 http://CRAN.R-project.org/package=gamm4 . [Google Scholar]
- Woodman RL, Fernandes GW. Differential mechanical defense: herbivory, evapotranspiration, and leaf-hairs. Oikos. 1991;60:11–19. [Google Scholar]
- Zuur AP, Elena NI, Walker NJ, Saveliev AA, Smith GM. Mixed effects models and extensions in ecology with R: statistics for biology and health. New York, NY: Springer; 2009. [Google Scholar]
Associated Data
This section collects any data citations, data availability statements, or supplementary materials included in this article.


