Abstract
Infection of mosquitoes by humans is not always successful in the setting of patent gametocytemia. This study tested the hypothesis that pro- or anti-inflammatory cytokines are associated with transmission of Plasmodium vivax to Anopheles darlingi mosquitoes in experimental infection. Blood from adults with acute, non-severe P. vivax malaria was fed to laboratory-reared F1 An. darlingi mosquitoes. A panel of cytokines at the time of mosquito infection was assessed in patient sera and levels compared among subjects who did and did not infect mosquitoes. Overall, blood from 43 of 99 (43%) subjects led to mosquito infection as shown by oocyst counts. Levels of IL-10, IL-6, TNF-α, and IFN-γ were significantly elevated in vivax infection and normalized 3 weeks later. The anti-inflammatory cytokine IL-10 was significantly higher in nontransmitters compared with top transmitters but was not in TNF-α and IFN-γ. The IL-10 elevation during acute malaria was associated with P. vivax transmission blocking.
Introduction
Malaria patients are not equally infectious to mosquitoes.1–5 A variety of determinants modulate transmission, including gametocyte quality, vector competence, and human innate and acquired immunity. Although host antibodies6–8 have been shown to affect parasite infectivity for mosquitoes, transmission inefficiency is still observed in malaria hypoendemic regions where presence of antibody is thought to be low.2,9 Previous work in Sri Lanka has suggested that humoral factors associated with the malarial paroxism reduces parasite infectivity for mosquitoes.5,10 In this study, we hypothesized that cell-mediated immunity as assessed by serum cytokines as a biomarker would influence transmission.
Cell-mediated immunity, with surrogate markers including pro-inflammatory cytokines, has been shown to play a role in controlling malaria parasitemia11,12 and symptom severity,13–16 and to likely impact transmission.17–19 Interferon-gamma (IFN-γ), produced by Th1 and natural killer cells, is involved in activation of macrophage and iNOS and is an important signal in fighting intracellular infections. Tumor necrosis factor α (TNF-α), also part of the Th1 response, induces inflammation and cell death. The TNF-α receptor blockade has been suggested to increase Plasmodium chabaudi chabaudi transmission to mosquitoes,17,20 and TNF-α itself has been shown to inactivate gametocytes in the presence of leukocytes.21 The transforming growth factor β (TGF-β) has been studied in its actions within the mosquito, and is thought to regulate mosquito midgut immunity via anopheline nitric oxide synthase, thus impacting transmission.18,19
We hypothesized that immunomodulatory cytokines might affect the ability of Plasmodium vivax gametocytes to infect mosquitoes and that the identification of such factors might be a useful biomarker of transmission. To test this hypothesis, we used a multiplex cytokine panel to determine the relationship between IFN-γ, TNF-α, interleukin-2 (IL-2), IL-4, IL-5, granulocyte/macrophage-colony stimulating factor (GM-CSF), IL-1β, and IL-8 as related to oocyst development in experimental infection using ex vivo-obtained Plasmodium vivax during acute symptomatic infection where gametocytes are clearly patent. Because there are no reference ranges for cytokine values, a ratio of cytokine levels of acute infection and at 3 weeks after drug treatment was used as a benchmark of cytokine response during acute malaria.
Materials and Methods
Study sites.
Subjects were recruited from the Ministry of Health health posts in the region of Iquitos, Peru, the capital of the Loreto Department in the Peruvian Amazon. This city is located at 3°45′ South, 73°15′ West and is surrounded by the Amazon rainforest, the Itaya River to the east, and the Nanay River to the west, both of which feed the Amazon River to the north.
Subject recruitment.
Subjects with fever and diagnosed microscopically with P. vivax malaria were invited to participate in the study. Adults 18 years of age and older able to provide informed consent and adolescents 15 to 17 years of age able to assent with parents' informed consent were enrolled. Pregnant women and patients with severe malaria symptoms requiring immediate medical attention were excluded as were patients with mixed Plasmodium infection, or patients who had already initiated antimalarial therapy. All participation was voluntary and the decision to participate had no effect on treatment, which is provided free of charge by the Peruvian government according to the Peruvian Ministry of Health guidelines.
Ethics.
This study was approved by the Institutional Review Boards/Ethical Committees of the University of California San Diego, La Jolla, CA, Universidad Peruana Cayetano Heredia, Lima, Peru, and Asociación Benéfica Prisma, Lima, Peru. Approval to carry out the study was also obtained from the Loreto Directorate of Health, Iquitos, Peru.
Questionnaire.
Patients answered a questionnaire about their symptoms (length of time with fever, nausea, malaise, etc.), malaria and health history (episodes of vivax, falciparum, mixed infections in the past and time of last infection, and other health issues), medications, and exposures (use of bed net, travel history, and household members with fever/malaria).
Membrane feeding assays.
A sample 13.5 mL of venous blood was drawn into 1.3 mL of anticoagulant citrate-phosphate dextrose. Of this, 6 mL of this blood was used (within 5–10 minutes) in a standard membrane feeding assay (MFA) with F1 generation Anopheles darlingi as previously described.2 Mosquitoes were allowed to feed until engorgement for ∼15–30 minutes. Non-engorged mosquitoes were removed before analysis.
Mosquitoes were dissected on Day 7. Mosquito midguts were dissected in 0.004% merthiolate in phosphate buffered saline. Oocysts were stained a faint pink and then enumerated and recorded per midgut.
Sample preservation.
At the time of blood draw, plasma was separated from blood cells by centrifugation at 400 × g for 6 minutes and then preserved at −70°C. Plasma remained frozen until processed at the University of California San Diego, La Jolla, CA.
Follow-up.
Three weeks after enrollment, subjects were visited for symptom evaluation and a second venipuncture. A sample of 5 mL of blood was collected, centrifuged at 400 × g for 6 minutes, and plasma was removed and stored at −70°C continuously until processing.
Cytokine analysis.
Plasma samples were thawed for the first and only time at the time of processing. One hundred fifty microliters (150 μL) of plasma was centrifuged at 10,000 × g for 10 minutes. Fifty microliters (50 μL) of the centrifuged sample was used in duplicate per patient for analysis using a multiplex bead assay (Human Cytokine 10-Plex Panel, Invitrogen Catalog no. LHC0001, Carlsbad, CA), according to manufacturer's instructions.
Statistical analysis.
A ratio of cytokine levels at the time of infection to 3 weeks after treatment was compared using paired t tests. Clinical characteristics of transmitters and nontransmitters were compared using independent t tests.
The top 13 transmitting subjects were selected based on their high infectivity for mosquitoes (> 8 oocysts identified per surviving mosquito dissected). Each of these 13 transmitters was matched with a nontransmitter based on similar parasitemia as judged by light microscopy (Table 1). These 13 matched pairs (N = 26) were then compared for differences in clinical characteristics using t tests. The cytokine levels in each of the two groups were evaluated for normal distribution and then compared between groups using the Wilcoxon rank-sum test. Statistical analyses were performed using SPSS 18.0 (SPSS Inc., Chicago, IL) statistical package.
Table 1.
Comparison of clinical aspects of patients who transmitted (transmitters) versus those who did not transmit (nontransmitters) Plasmodium vivax infection to mosquitoes
| % Transmitters | % Nontransmitters | P value | |
|---|---|---|---|
| Total no. subjects | 44 | 55 | |
| Age (years) | |||
| Mean (range) | 33.2 (15–60) | 31.8 (15–64) | 0.573† |
| Sex | |||
| % Male | 55 | 60 | |
| Temp at blood raw | |||
| Mean ± SD | 37.4°C ± 0.8°C | 38.0°C ± 1.0°C | 0.001† |
| Heart rate | |||
| Mean ± SD | 83 ± 13.5 | 89 ± 15 | 0.069† |
| Hematocrit | |||
| Mean ± SD | 40.2 ± 4.0 | 39.8 ± 3.6 | 0.562† |
| Days of symptoms | |||
| Mean (range) | 3.9 (1–7) | 4.9 (2–20) | 0.057† |
| History of malaria (%) | 73 | 78 | |
| Parasitemia | |||
| Mean (range) | 4485 (60–14,477) | 4016 (358–26,190) | 0.497* |
The groups differed significantly for temperature at blood draw.
By independent t test.
Results
Subjects.
Ninety-nine subjects (57 men and 42 women) with acute, symptomatic P. vivax malaria were enrolled in the study. Subjects' mean age was 32 ± 12 (SD) years. All had headache as a symptom and all but one had fever. Most patients (96%) were seen within 7 days of onset of illness. Seventy-six percent of patients gave a history of prior infection with malaria. At the time of membrane feeding, 56% of subjects had fever ≥ 38°C.
MFA.
A total of 7,419 An. darlingi mosquitoes were engorged on infected blood in MFAs, of which 5,610 survived (mean 25 mosquitoes) until dissection on Day 7. Forty-four percent of patient specimens infected mosquitoes.
Infectivity of P. vivax patients for An. darlingi mosquitoes.
Forty-four of 99 (44%) subjects led to infection of mosquitoes (transmitters). Transmitters were compared with the nontransmitters. Groups were similar for age, sex, days of symptoms, and parasitemia, heart rate, respiratory rate, and hematocrit, but were significantly different for temperature, which was on average 0.6°C higher among the nontransmitters (Table 1), as seen previously.2
Transmission association with parasitemia.
Infection per parasitemia range was analyzed (Figure 1). Of the 10 subjects with < 1,000 parasites/mL of blood, only one sample infected 1 of 63 mosquitoes. Thus, parasitemia overall was important to transmission, with parasitemia < 1,000 parasites/mL limiting the likelihood of transmission among subjects with symptomatic parasitemia.
Figure 1.
Infection by parasitemia grouping. When parasitemia is grouped, it is evident that for parasitemia < 1,000 in this group of symptomatic subjects, the likelihood of transmission is low.
Top transmitters.
Given the non-normal distribution of oocyst number and infection prevalence in experimental mosquito infections, phenotypic extremes were focused on for analysis of transmission. Thirteen of the 44 subjects that infected mosquitoes were classified as top transmitters as their blood samples infected at a mean of ≥ 8 oocysts per mosquito. These 13 subjects were matched by parasitemia with 13 nontransmitters. Comparison between these groups shows that in addition to a significant difference in temperature at blood draw (P = 0.003), the groups also had significantly different heart rates (P = 0.003) with nontransmitters with an average 14 beats/minute greater than transmitters (Table 2).
Table 2.
Top transmitters (> 8 oocysts/mosquito) and nontransmitters matched for parasitemia*
| Top 13 transmitters | Matched 13 nontransmitters | P value | |
|---|---|---|---|
| Age in years | |||
| Mean (range) | 39 (15–60) | 34 (15–59) | 0.347† |
| Sex | |||
| % Male | 54 | 54 | |
| Temp at blood draw | |||
| Mean ± SD | 37.3 ± 0.6°C | 38.3 ± 0.8°C | 0.003† |
| Heart rate | |||
| Mean ± SD | 78 ± 10.5 | 92 ± 10.8 | 0.003† |
| Mean resp rate | 19 | 19 | 0.767† |
| Hematocrit | |||
| Mean | 41.8 | 40.4 | 0.509† |
| Days of symptoms | |||
| Mean (range) | 3.6 (1.1) | 5.0 (2.9) | 0.133† |
| Parasitemia | |||
| Mean (range) | 5383 (2048–11,231) | 5268 (2058–9,000) | 0.893† |
The groups differed significantly for temperature at blood draw and average heart rate.
By independent t test.
Table 3.
Levels of IL-10 and IL-6 during Plasmodium vivax infection
| Cytokine | Mean (standard error of the mean) (pcg/mL) | P value by paired t test | P value by Wilcoxon signed-rank test for related samples |
|---|---|---|---|
| IL-10 | |||
| @Time 0 | 2637.3 (568.0) | < 0.001 | < 0.001 |
| @3 weeks | 24.5 (1.5) | ||
| IL-6 | |||
| @Time 0 | 508.6 (109.7) | < 0.001 | < 0.001 |
| @3 weeks | 21.36 (1.9) | ||
Cytokines in P. vivax infection.
Ten cytokines were simultaneously analyzed for each of the 99 subject samples at both the time of infection and at ∼3 weeks after starting antimalarial therapy. The 3-week samples were collected from 91 of 99 subjects and cytokine levels from these samples were used as an internal baseline for each subject as there is no existing reference range for these molecules. For those subjects lost to follow-up, the mean 3-week cytokine value from collected samples was used as an estimate for those patients' 3-week control.
The IL-10 and IL-6 showed dramatic elevation in P. vivax infection compared with the 3-week convalescent controls (Figure 2, Table 3). These elevations are similar to what has been shown previously in severe P. falciparum infection.22,23
Figure 2.
IL-10 and IL-6 levels at enrollment and at 3 weeks after treatment (A) IL-10 and (B) IL-6.
The TNF-α and IFN-γ were also elevated in subjects during infection compared with post-treatment, though not uniformly (Figure 3 ), in contrast to what has recently been described in reports of severe vivax malaria.24 The IL-8 levels seemed to be increased substantially in several subjects in the convalescent sample compared with the levels during infection, though this trend did not reach statistical significance using the nonparametric Wilcoxon signed-rank test (Table 4). Except for IL-1β and IL-8, these cytokines tended to be elevated during symptomatic P. vivax infection compared with convalescent state.
Figure 3.
IFN-γ and TNF-α at time 0 (infection with Plasmodium vivax) and at 3 weeks after treatment initiation. (A) IFN-γ and (B) TNF-α.
Table 4.
IFN-γ, TNF-α, IL-2, IL-4, IL-5, GM-CSF, IL-1β, and IL-8, were measured at 0 and 3 weeks*
| Cytokine | Mean (standard error of the mean) | P value by paired t test | P value by Wilcoxon signed-rank test for related samples |
|---|---|---|---|
| IFN-γ | |||
| @Time 0 | 166.4 (13.8) | < 0.001 | < 0.001 |
| @3 weeks | 87.3 (5.8) | ||
| TNF-α | |||
| @Time 0 | 119.1 (6.18) | < 0.001 | < 0.001 |
| @3 weeks | 71.0 (4.4) | ||
| IL-2 | |||
| @Time 0 | 23.4 (2.1) | < 0.001 | < 0.001 |
| @3 weeks | 13.8 (1.1) | ||
| IL-4 | |||
| @Time 0 | 305.6 (14.6) | < 0.001 | < 0.001 |
| @3 weeks | 190.1 (12.6) | ||
| IL-5 | |||
| @Time 0 | 9.1 (0.6) | < 0.001 | < 0.001 |
| @3 weeks | 5.7 (0.4) | ||
| GM-CSF | |||
| @Time 0 | 56.0 (3.9) | < 0.001 | < 0.001 |
| @3 weeks | 30.4 (2.7) | ||
| IL-8 | |||
| @Time 0 | 215.5 (39.7) | < 0.001 | 0.280 |
| @3 weeks | 960.1 (198.8) | ||
| IL-1β | |||
| @Time 0 | 27.4 (3.3) | 0.386 | 0.453 |
| @3 weeks | 24.6 (2.4) | ||
GM-CSF = granulocyte/macrophage-colony stimulating factor.
Cytokine response and parasitemia, fever.
Regression analysis was used to compare parasitemia quantified by light microscopy with cytokine levels. Cytokine levels did not consistently predict parasitemia. Enumeration of parasites by light microscopy is known to be variable because of variations in thick smear samples, the fields counted on each slide, and calculations used to determine parasitemia that may have affected these outcomes.25–27 Regression analysis was also used to evaluate whether cytokine levels (log-transformed) predicted elevated temperature at time of blood draw. Previously described associations between IFN-γ and TNF-α with fever were not observed.15 The IL-10 levels (ratio of acute: post-treatment, log-transformed), however, did predict elevation in temperature, though the correlation was small (R = 0.108, P = 0.001). The IL-6 (ratio of acute: post-treatment, log-transformed) was similarly associated with temperature (R = 0.135, P = < 0.001). The IL-10 and IL-6 ratios were closely correlated (R = 0.65, P = < 0.001).
Cytokines in top transmitters versus matched nontransmitters.
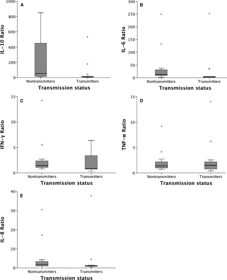
The ratios of cytokine levels at infection to convalescence (fold-change) from top transmitters and matched nontransmitters were compared using the nonparametric Mann-Whitney U test. Nontransmitters tended toward higher elevations from baseline levels of IL-10 and IL-6 than top transmitters, but this reached statistical significance only for IL-10 (P = 0.036). There was no difference in top transmitters and matched nontransmitters in the rations of IFN-γ, TNF-α, or IL-8 (Figure 4). Analyses for all transmitters versus nontransmitters showed a trend toward increased IL-10 in nontransmitters, but did not reach statistical significance (P = 0.089), likely a result of sample size.
Figure 4.
Cytokine elevations in acute vivax infection compared between nontransmitters and top transmitters. (A) IL-10 is elevated significantly more in nontransmitters than transmitters (P = 0.036). (B) IL-6 is more elevated in nontransmitters than transmitters, but does not reach statistical significance (P = 0.064). (C, D, and E) IFN-γ, TNF-α, and IL-8 elevations in vivax infection are similar between transmitters and nontransmitters (P = 0.205, P = 0.762, and P = 0.277, respectively).
Discussion
In this study using experimental P. vivax infections of An. darlingi in the Peruvian Amazon, we found that several key cytokines in acute symptomatic vivax malaria infection were elevated, in particular IL-10 and IL-6, but also IFN-γ and TNF-α among others, consistent with prior studies on P. falciparum and P. vivax infections.24,28,29 Of the highest significance from the data presented here, IL-10 was found to be associated with P. vivax infectivity for mosquitoes. The finding of an inverse association of IL-10 with the ability of patients with P. vivax malaria to transmit to mosquitoes found in this study is the first time a connection between IL-10 and malaria transmission has been made, and has important implications for understanding the complex dynamics of host-pathogen interactions vis à vis mosquito infections. These results are surprising and counterintuitive because IL-10 is considered an anti-inflammatory cytokine. In accordance with previous work, we had similarly hypothesized that pro-inflammatory cytokines such as IFN-γ and TNF-α would be associated among subjects in whom transmission is reduced or prevented because of damage to gametocytes in the setting of inflammation associated with IFN-γ and TNF-α. Nonetheless, unlike previous studies, we did not detect a relationship between elevated TNF-α and IFN-γ with decreased transmission.30,31
We hypothesized that pro-inflammatory cytokines such as IFN-γ and TNF-α would be elevated among subjects in whom transmission is reduced or prevented because of damage to gametocytes in the setting of inflammation associated with IFN-γ and TNF-α. Unlike previous studies, we did not detect a relationship between elevated TNF-α and IFN-γ with decreased transmission.30,31 Surprisingly, instead, elevation of IL-10, an anti-inflammatory cytokine, was associated with transmission blocking of vivax malaria to An. darlingi in acute infection in this study.
Potential mechanistic role of IL-10.
The IL-10, first described as cytokine synthesis inhibitory factor, is an anti-inflammatory cytokine mostly produced by macrophages, but its source includes all leukocytes. Monocytes and macrophages are its primary target cells, resulting in suppression of pro-inflammatory cytokine production and inhibition of antigen presentation. The IL-10 also targets CD4 cells in which it causes suppression of cytokine synthesis and decreased production of CD4 cells themselves (reviewed in Niikura32).
The IL-10 has been shown to reduce the inflammatory immune reaction mediated by pro-inflammatory cytokines such as IFN-γ and TNF-α, but at the expense of host ability to control the infecting parasite.33–36 Mouse studies have consistently shown IL-10 to be an important cytokine in decreasing inflammation and protecting the host in murine malaria models.37–39 In human malaria, several studies have demonstrated association of low IL-10 levels with more severe disease such as cerebral malaria and severe anemia.37,40,41 Elevated levels of IL-10 have been associated with clinical protection from these severe manifestations of malaria37 at the expense of persistent and/or elevated parasitemia.12,42,43
The unexpected association of transmission blocking with higher IL-10 levels, however, is consistent with the current understanding of gametocytogenesis and malaria transmission. Malaria transmission (infection of mosquitoes from human infection) occurs by sexual reproduction by sexually dimorphic gametocytes taken up in a blood meal by a feeding female Anopheles mosquito. These gametocytes make up only < 10% of the overall parasite population in the circulating blood.44 Gametocytogenesis is variable within and among malaria infections (reviewed by Alano45) and what triggers schizonts to be sexually differentiated remains obscure. Despite gaps in knowledge regarding the mechanisms of P. vivax gametocytogenesis, it is likely that increased gametocytes seen in circulation correlates with increased transmission.46,47 Both gametocytogenesis and transmission seem to occur more in settings of stress to the parasite, reflected by an association with IL-10.
It is important to note that IL-10 did have a small but significant association with fever in this study. This may be a small confounder because previous reports suggest that fever is associated with decreased transmission.48,49 Higher temperature itself may adversely affect gametocyte quality in some way, as a previous study surmised that contents of the serum during fever actually somehow adversely impact gametocyte viability.50 The correlation of IL-10 and degree of fever in this study was small (R = 0.1), hence it is unlikely to confound the association of IL-10 with transmission blockade, though more precise studies might shed light on this phenomenon. A causal relationship between IL-10 and fever is unlikely, as the opposite has been shown that IL-10 has been associated with asymptomatic pregnant patients without fever51; interestingly, higher fever did not correlate with higher TNF-α in our subjects, in contrast to earlier studies.50
We also showed that in symptomatic subjects, the level of parasitemia contributed to the likelihood of successful transmission because among subjects with low parasitemia (< 1,000 parasites/μL), there was negligible transmission. A confounder not addressed in this study is naturally occurring transmission-blocking antibodies, an issue that we have addressed in other studies (McClean C and Vinetz J, manuscript in preparation). The low likelihood of low parasitemia to transmit may be caused by a lack of gametocytes in the blood meals fed to mosquitoes or may have been from host-related immunity, as parasitemia levels have been shown to be associated with gametocytemia levels.44 This trend in infectivity is relevant to enrollment procedures in future transmission studies, however may not hold true in asymptomatic subjects. This distinction is of epidemiological significance because asymptomatic hosts are thought to be an important part of the Plasmodium reservoir that allows persistence of the disease in human populations.52,53 Dynamics of asymptomatic malaria infection and its immune correlates are poorly understood. The IL-10 and associated cytokines will be important to study in asymptomatic versus symptomatic hosts in the setting of transmission.
In this study, the cytokine-mediated factor only partially accounted for transmission success to An. darlingi mosquitoes, and clearly is variable among P. vivax-infected subjects. Our data suggest that IL-10 is associated with suppression of transmission. In addition to cytokines, there are several other important variables at work. Some of these factors include non-human factors such as the mosquito immune system and the impact of the mosquito midgut microbiome on transmission.54 Currently, the development of transmission-blocking vaccines focuses on potential antibodies that interfere with transmission and several candidate antigens are being tested.55–58 We also hypothesize that parasite reproductive behavior is guided by the parasite's nutritional milieu, i.e., the nutritional status of the host.59 These many factors all play a role in the complex, dynamic process of transmission, and warrant further study in the pursuit of developing better tools with which to combat the burden of malaria on infected people and societies.
ACKNOWLEDGMENTS
We acknowledge Alex Tenorio for extensive efforts in fieldwork and Paula Maguina for her research contributions that were essential to assure regulatory compliance, ethics, scientific and logistical aspects of this project. We would like to acknowledge Victor Lopez Sifuentes and Anibal Huayanay of the U.S. Naval Medical Research Unit No. 6 in Iquitos, Peru for their entomological contributions to this project and the permission of Dr. Roxanne Burrus for this collaboration. We acknowledge Viengngeun Bounkeua and Fengwu Li from UCSD for helpful guidance in membrane feeding and parasite development, and Heyman Oo for her contributions in patient enrollment and membrane feeding in Peru. Finally, we thank and acknowledge subjects enrolled from the city of Iquitos and surrounding villages, particularly Santo Tomas, for their participation.
Footnotes
Financial support: This work was supported by NIH/NIAID grant 1U19AI08968, K24AI068903, and R01AI067727, NIH/Fogarty International Center grant D43TW007120, and the National Institutes of Health Office of the Director, Fogarty International Center, Office of AIDS Research, National Cancer Center, National Eye Institute, National Heart, Blood, and Lung Institute, National Institute of Dental & Craniofacial Research, National Institute On Drug Abuse, National Institute of Mental Health, National Institute of Allergy and Infectious Diseases Health, and NIH Office of Women's Health and Research through the International Clinical Research Scholars and Fellows Program at Vanderbilt University (R24 TW007988), and the American Relief and Recovery Act.
Authors' addresses: Shira R. Abeles, University of California San Diego School of Medicine, La Jolla, CA, E-mail: sabeles@ucsd.edu. Raul Chuquiyauri and Joseph M. Vinetz, University of California San Diego School of Medicine, La Jolla, CA, and Instituto de Medicina Tropical Alexander von Humboldt, Universidad Peruana Cayetano Heredia, San Martin de Porres, Lima, Peru, E-mails: rachuqui@ucsd.edu or raulharo@yahoo.com and jvinetz@ucsd.edu. Carlos Tong, Universidad Peruana Cayetano Heredia Satellite Laboratory, Iquitos, Peru, E-mail: carlostongrios@gmail.com.
References
- 1.Sattabongkot J, Maneechai N, Phunkitchar V, Eikarat N, Khuntirat B, Sirichaisinthop J, Burge R, Coleman RE. Comparison of artificial membrane feeding with direct skin feeding to estimate the infectiousness of Plasmodium vivax gametocyte carriers to mosquitoes. Am J Trop Med Hyg. 2003;69:529–535. [PubMed] [Google Scholar]
- 2.Bharti AR, Chuquiyauri R, Brouwer KC, Stancil J, Lin J, Llanos-Cuentas A, Vinetz JM. Experimental infection of the neotropical malaria vector Anopheles darlingi by human patient-derived Plasmodium vivax in the Peruvian Amazon. Am J Trop Med Hyg. 2006;75:610–616. [PMC free article] [PubMed] [Google Scholar]
- 3.Toure YT, Doumbo O, Toure A, Bagayoko M, Diallo M, Dolo A, Vernick KD, Keister DB, Muratova O, Kaslow DC. Gametocyte infectivity by direct mosquito feeds in an area of seasonal malaria transmission: implications for Bancoumana, Mali as a transmission-blocking vaccine site. Am J Trop Med Hyg. 1998;59:481–486. doi: 10.4269/ajtmh.1998.59.481. [DOI] [PubMed] [Google Scholar]
- 4.Graves PM, Burkot TR, Carter R, Cattani JA, Lagog M, Parker J, Brabin BJ, Gibson FD, Bradley DJ, Alpers MP. Measurement of malarial infectivity of human populations to mosquitoes in the Madang area, Papua, New Guinea. Parasitology. 1988;96:251–263. doi: 10.1017/s003118200005825x. [DOI] [PubMed] [Google Scholar]
- 5.Gamage-Mendis AC, Rajakaruna J, Carter R, Mendis KN. Transmission blocking immunity to human Plasmodium vivax malaria in an endemic population in Kataragama, Sri Lanka. Parasite Immunol. 1992;14:385–396. doi: 10.1111/j.1365-3024.1992.tb00013.x. [DOI] [PubMed] [Google Scholar]
- 6.Roeffen W, Geeraedts F, Eling W, Beckers P, Wizel B, Kumar N, Lensen T, Sauerwein R. Transmission blockade of Plasmodium falciparum malaria by anti-Pfs230-specific antibodies is isotype dependent. Infect Immun. 1995;63:467–471. doi: 10.1128/iai.63.2.467-471.1995. [DOI] [PMC free article] [PubMed] [Google Scholar]
- 7.Drakeley CJ, Bousema JT, Akim NI, Teelen K, Roeffen W, Lensen AH, Bolmer M, Eling W, Sauerwein RW. Transmission-reducing immunity is inversely related to age in Plasmodium falciparum gametocyte carriers. Parasite Immunol. 2006;28:185–190. doi: 10.1111/j.1365-3024.2005.00818.x. [DOI] [PubMed] [Google Scholar]
- 8.Hisaeda H, Stowers AW, Tsuboi T, Collins WE, Sattabongkot JS, Suwanabun N, Torii M, Kaslow DC. Antibodies to malaria vaccine candidates Pvs25 and Pvs28 completely block the ability of Plasmodium vivax to infect mosquitoes. Infect Immun. 2000;68:6618–6623. doi: 10.1128/iai.68.12.6618-6623.2000. [DOI] [PMC free article] [PubMed] [Google Scholar]
- 9.Arevalo-Herrera M, Solarte Y, Rocha L, Alvarez D, Beier JC, Herrera S. Characterization of Plasmodium vivax transmission-blocking activity in low to moderate malaria transmission settings of the Colombian Pacific coast. Am J Trop Med Hyg. 2011;84:71–77. doi: 10.4269/ajtmh.2011.10-0085. [DOI] [PMC free article] [PubMed] [Google Scholar]
- 10.Mendis KN, Naotunne TD, Karunaweera ND, Del Giudice G, Grau GE, Carter R. Anti-parasite effects of cytokines in malaria. Immunol Lett. 1990;25:217–220. doi: 10.1016/0165-2478(90)90118-a. [DOI] [PubMed] [Google Scholar]
- 11.Walther M, Woodruff J, Edele F, Jeffries D, Tongren JE, King E, Andrews L, Bejon P, Gilbert SC, De Souza JB, Sinden R, Hill AV, Riley EM. Innate immune responses to human malaria: heterogeneous cytokine responses to blood-stage Plasmodium falciparum correlate with parasitological and clinical outcomes. J Immunol. 2006;177:5736–5745. doi: 10.4049/jimmunol.177.8.5736. [DOI] [PubMed] [Google Scholar]
- 12.Zeyrek FY, Kurcer MA, Zeyrek D, Simsek Z. Parasite density and serum cytokine levels in Plasmodium vivax malaria in Turkey. Parasite Immunol. 2006;28:201–207. doi: 10.1111/j.1365-3024.2006.00822.x. [DOI] [PubMed] [Google Scholar]
- 13.Yeom JS, Park SH, Ryu SH, Park HK, Woo SY, Ha EH, Lee BE, Yoo K, Lee JH, Kim KH, Kim S, Kim YA, Ahn SY, Oh S, Park HJ, Min GS, Seoh JY, Park JW. Serum cytokine profiles in patients with Plasmodium vivax malaria: a comparison between those who presented with and without hepatic dysfunction. Trans R Soc Trop Med Hyg. 2003;97:687–691. doi: 10.1016/s0035-9203(03)80104-9. [DOI] [PubMed] [Google Scholar]
- 14.Park JW, Park SH, Yeom JS, Huh AJ, Cho YK, Ahn JY, Min GS, Song GY, Kim YA, Ahn SY, Woo SY, Lee BE, Ha EH, Han HS, Yoo K, Seoh JY. Serum cytokine profiles in patients with Plasmodium vivax malaria: a comparison between those who presented with and without thrombocytopenia. Ann Trop Med Parasitol. 2003;97:339–344. doi: 10.1179/000349803235002416. [DOI] [PubMed] [Google Scholar]
- 15.Seoh JY, Khan M, Park SH, Park HK, Shin MH, Ha EH, Lee BE, Yoo K, Han HS, Oh S, Wi JH, Hong CK, Oh CH, Kim YA, Park JW. Serum cytokine profiles in patients with Plasmodium vivax malaria: a comparison between those who presented with and without hyperpyrexia. Am J Trop Med Hyg. 2003;68:102–106. [PubMed] [Google Scholar]
- 16.Jain V, Singh PP, Silawat N, Patel R, Saxena A, Bharti PK, Shukla M, Biswas S, Singh N. A preliminary study on pro- and anti-inflammatory cytokine profiles in Plasmodium vivax malaria patients from central zone of India. Acta Trop. 2010;113:263–268. doi: 10.1016/j.actatropica.2009.11.009. [DOI] [PubMed] [Google Scholar]
- 17.Long GH, Chan BH, Allen JE, Read AF, Graham AL. Blockade of TNF receptor 1 reduces disease severity but increases parasite transmission during Plasmodium chabaudi chabaudi infection. Int J Parasitol. 2008;38:1073–1081. doi: 10.1016/j.ijpara.2007.12.001. [DOI] [PubMed] [Google Scholar]
- 18.Luckhart S, Crampton AL, Zamora R, Lieber MJ, Dos Santos PC, Peterson TM, Emmith N, Lim J, Wink DA, Vodovotz Y. Mammalian transforming growth factor beta1 activated after ingestion by Anopheles stephensi modulates mosquito immunity. Infect Immun. 2003;71:3000–3009. doi: 10.1128/IAI.71.6.3000-3009.2003. [DOI] [PMC free article] [PubMed] [Google Scholar]
- 19.Luckhart S, Lieber MJ, Singh N, Zamora R, Vodovotz Y. Low levels of mammalian TGF-beta1 are protective against malaria parasite infection, a paradox clarified in the mosquito host. Exp Parasitol. 2008;118:290–296. doi: 10.1016/j.exppara.2007.08.013. [DOI] [PMC free article] [PubMed] [Google Scholar]
- 20.Long GH, Chan BH, Allen JE, Read AF, Graham AL. Experimental manipulation of immune-mediated disease and its fitness costs for rodent malaria parasites. BMC Evol Biol. 2008;8:128. doi: 10.1186/1471-2148-8-128. [DOI] [PMC free article] [PubMed] [Google Scholar]
- 21.Naotunne TS, Karunaweera ND, Mendis KN, Carter R. Cytokine-mediated inactivation of malarial gametocytes is dependent on the presence of white blood cells and involves reactive nitrogen intermediates. Immunology. 1993;78:555–562. [PMC free article] [PubMed] [Google Scholar]
- 22.Lyke KE, Burges R, Cissoko Y, Sangare L, Dao M, Diarra I, Kone A, Harley R, Plowe CV, Doumbo OK, Sztein MB. Serum levels of the proinflammatory cytokines interleukin-1 beta (IL-1beta), IL-6, IL-8, IL-10, tumor necrosis factor alpha, and IL-12(p70) in Malian children with severe Plasmodium falciparum malaria and matched uncomplicated malaria or healthy controls. Infect Immun. 2004;72:5630–5637. doi: 10.1128/IAI.72.10.5630-5637.2004. [DOI] [PMC free article] [PubMed] [Google Scholar]
- 23.Mirghani HA, Eltahir HG, A-Elgadir TM, Mirghani YA, Elbashir MI, Adam I. Cytokine profiles in children with severe Plasmodium falciparum malaria in an area of unstable malaria transmission in Central Sudan. J Trop Pediatr. 2010;57:392–395. doi: 10.1093/tropej/fmq109. [DOI] [PubMed] [Google Scholar]
- 24.Andrade BB, Reis-Filho A, Souza-Neto SM, Clarencio J, Camargo LM, Barral A, Barral-Netto M. Severe Plasmodium vivax malaria exhibits marked inflammatory imbalance. Malar J. 2010;9:13. doi: 10.1186/1475-2875-9-13. [DOI] [PMC free article] [PubMed] [Google Scholar]
- 25.Kilian AH, Metzger WG, Mutschelknauss EJ, Kabagambe G, Langi P, Korte R, von Sonnenburg F. Reliability of malaria microscopy in epidemiological studies: results of quality control. Trop Med Int Health. 2000;5:3–8. doi: 10.1046/j.1365-3156.2000.00509.x. [DOI] [PubMed] [Google Scholar]
- 26.Bowers KM, Bell D, Chiodini PL, Barnwell J, Incardona S, Yen S, Luchavez J, Watt H. Inter-rater reliability of malaria parasite counts and comparison of methods. Malar J. 2009;8:267. doi: 10.1186/1475-2875-8-267. [DOI] [PMC free article] [PubMed] [Google Scholar]
- 27.O'Meara WP, McKenzie FE, Magill AJ, Forney JR, Permpanich B, Lucas C, Gasser RA, Jr, Wongsrichanalai C. Sources of variability in determining malaria parasite density by microscopy. Am J Trop Med Hyg. 2005;73:593–598. [PMC free article] [PubMed] [Google Scholar]
- 28.Peyron F, Burdin N, Ringwald P, Vuillez JP, Rousset F, Banchereau J. High levels of circulating IL-10 in human malaria. Clin Exp Immunol. 1994;95:300–303. doi: 10.1111/j.1365-2249.1994.tb06527.x. [DOI] [PMC free article] [PubMed] [Google Scholar]
- 29.Awandare GA, Goka B, Boeuf P, Tetteh JK, Kurtzhals JA, Behr C, Akanmori BD. Increased levels of inflammatory mediators in children with severe Plasmodium falciparum malaria with respiratory distress. J Infect Dis. 2006;194:1438–1446. doi: 10.1086/508547. [DOI] [PubMed] [Google Scholar]
- 30.Karunaweera ND, Carter R, Grau GE, Kwiatkowski D, Del Giudice G, Mendis KN. Tumour necrosis factor-dependent parasite-killing effects during paroxysms in non-immune Plasmodium vivax malaria patients. Clin Exp Immunol. 1992;88:499–505. doi: 10.1111/j.1365-2249.1992.tb06478.x. [DOI] [PMC free article] [PubMed] [Google Scholar]
- 31.Naotunne TS, Karunaweera ND, Del Giudice G, Kularatne MU, Grau GE, Carter R, Mendis KN. Cytokines kill malaria parasites during infection crisis: extracellular complementary factors are essential. J Exp Med. 1991;173:523–529. doi: 10.1084/jem.173.3.523. [DOI] [PMC free article] [PubMed] [Google Scholar]
- 32.Niikura M, Inoue S, Kobayashi F. Role of interleukin-10 in malaria: focusing on coinfection with lethal and nonlethal murine malaria parasites. J Biomed Biotechnol. 20112011:383962. doi: 10.1155/2011/383962. [DOI] [PMC free article] [PubMed] [Google Scholar]
- 33.Gazzinelli RT, Oswald IP, James SL, Sher A. IL-10 inhibits parasite killing and nitrogen oxide production by IFN-gamma-activated macrophages. J Immunol. 1992;148:1792–1796. [PubMed] [Google Scholar]
- 34.Silva JS, Morrissey PJ, Grabstein KH, Mohler KM, Anderson D, Reed SG. Interleukin 10 and interferon gamma regulation of experimental Trypanosoma cruzi infection. J Exp Med. 1992;175:169–174. doi: 10.1084/jem.175.1.169. [DOI] [PMC free article] [PubMed] [Google Scholar]
- 35.Kobayashi F, Ishida H, Matsui T, Tsuji M. Effects of in vivo administration of anti-IL-10 or anti-IFN-gamma monoclonal antibody on the host defense mechanism against Plasmodium yoelii yoelii infection. J Vet Med Sci. 2000;62:583–587. doi: 10.1292/jvms.62.583. [DOI] [PubMed] [Google Scholar]
- 36.Angulo I, Fresno M. Cytokines in the pathogenesis of and protection against malaria. Clin Diagn Lab Immunol. 2002;9:1145–1152. doi: 10.1128/CDLI.9.6.1145-1152.2002. [DOI] [PMC free article] [PubMed] [Google Scholar]
- 37.Kossodo S, Monso C, Juillard P, Velu T, Goldman M, Grau GE. Interleukin-10 modulates susceptibility in experimental cerebral malaria. Immunology. 1997;91:536–540. doi: 10.1046/j.1365-2567.1997.00290.x. [DOI] [PMC free article] [PubMed] [Google Scholar]
- 38.Li C, Corraliza I, Langhorne J. A defect in interleukin-10 leads to enhanced malarial disease in Plasmodium chabaudi chabaudi infection in mice. Infect Immun. 1999;67:4435–4442. doi: 10.1128/iai.67.9.4435-4442.1999. [DOI] [PMC free article] [PubMed] [Google Scholar]
- 39.Linke A, Kuhn R, Muller W, Honarvar N, Li C, Langhorne J. Plasmodium chabaudi chabaudi: differential susceptibility of gene-targeted mice deficient in IL-10 to an erythrocytic-stage infection. Exp Parasitol. 1996;84:253–263. doi: 10.1006/expr.1996.0111. [DOI] [PubMed] [Google Scholar]
- 40.Thuma PE, van Dijk J, Bucala R, Debebe Z, Nekhai S, Kuddo T, Nouraie M, Weiss G, Gordeuk VR. Distinct clinical and immunologic profiles in severe malarial anemia and cerebral malaria in Zambia. J Infect Dis. 2011;203:211–219. doi: 10.1093/infdis/jiq041. [DOI] [PMC free article] [PubMed] [Google Scholar]
- 41.Othoro C, Lal AA, Nahlen B, Koech D, Orago AS, Udhayakumar V. A low interleukin-10 tumor necrosis factor-alpha ratio is associated with malaria anemia in children residing in a holoendemic malaria region in western Kenya. J Infect Dis. 1999;179:279–282. doi: 10.1086/314548. [DOI] [PubMed] [Google Scholar]
- 42.Couper KN, Blount DG, Wilson MS, Hafalla JC, Belkaid Y, Kamanaka M, Flavell RA, de Souza JB, Riley EM. IL-10 from CD4CD25Foxp3CD127 adaptive regulatory T cells modulates parasite clearance and pathology during malaria infection. PLoS Pathog. 2008;4:e1000004. doi: 10.1371/journal.ppat.1000004. [DOI] [PMC free article] [PubMed] [Google Scholar]
- 43.Weidanz WP, Batchelder JM, Flaherty P, LaFleur G, Wong C, van der Heyde HC. Plasmodium chabaudi adami: use of the B-cell-deficient mouse to define possible mechanisms modulating parasitemia of chronic malaria. Exp Parasitol. 2005;111:97–104. doi: 10.1016/j.exppara.2005.06.006. [DOI] [PubMed] [Google Scholar]
- 44.Pukrittayakamee S, Imwong M, Singhasivanon P, Stepniewska K, Day NJ, White NJ. Effects of different antimalarial drugs on gametocyte carriage in P. vivax malaria. Am J Trop Med Hyg. 2008;79:378–384. [PubMed] [Google Scholar]
- 45.Alano P, Carter R. Sexual differentiation in malaria parasites. Annu Rev Microbiol. 1990;44:429–449. doi: 10.1146/annurev.mi.44.100190.002241. [DOI] [PubMed] [Google Scholar]
- 46.Tchuinkam T, Mulder B, Dechering K, Stoffels H, Verhave JP, Cot M, Carnevale P, Meuwissen JH, Robert V. Experimental infections of Anopheles gambiae with Plasmodium falciparum of naturally infected gametocyte carriers in Cameroon: factors influencing the infectivity to mosquitoes. Trop Med Parasitol. 1993;44:271–276. [PubMed] [Google Scholar]
- 47.Schneider P, Bousema JT, Gouagna LC, Otieno S, van de Vegte-Bolmer M, Omar SA, Sauerwein RW. Submicroscopic Plasmodium falciparum gametocyte densities frequently result in mosquito infection. Am J Trop Med Hyg. 2007;76:470–474. [PubMed] [Google Scholar]
- 48.Collins WE, Jeffery GM, Roberts JM. A retrospective examination of the effect of fever and microgametocyte count on mosquito infection on humans infected with Plasmodium vivax. Am J Trop Med Hyg. 2004;70:638–641. [PubMed] [Google Scholar]
- 49.Sowunmi A, Fateye BA, Adedeji AA, Fehintola FA, Happi TC. Risk factors for gametocyte carriage in uncomplicated falciparum malaria in children. Parasitology. 2004;129:255–262. doi: 10.1017/s0031182004005669. [DOI] [PubMed] [Google Scholar]
- 50.Karunaweera ND, Grau GE, Gamage P, Carter R, Mendis KN. Dynamics of fever and serum levels of tumor necrosis factor are closely associated during clinical paroxysms in Plasmodium vivax malaria. Proc Natl Acad Sci USA. 1992;89:3200–3203. doi: 10.1073/pnas.89.8.3200. [DOI] [PMC free article] [PubMed] [Google Scholar]
- 51.Wilson NO, Bythwood T, Solomon W, Jolly P, Yatich N, Jiang Y, Shuaib F, Adjei AA, Anderson W, Stiles JK. Elevated levels of IL-10 and G-CSF associated with asymptomatic malaria in pregnant women. Infect Dis Obstet Gynecol. 2010 doi: 10.1155/2010/317430. doi:10.1155/2010/317430. [DOI] [PMC free article] [PubMed] [Google Scholar]
- 52.Alves FP, Durlacher RR, Menezes MJ, Krieger H, Silva LH, Camargo EP. High prevalence of asymptomatic Plasmodium vivax and Plasmodium falciparum infections in native Amazonian populations. Am J Trop Med Hyg. 2002;66:641–648. doi: 10.4269/ajtmh.2002.66.641. [DOI] [PubMed] [Google Scholar]
- 53.Bottius E, Guanzirolli A, Trape JF, Rogier C, Konate L, Druilhe P. Malaria: even more chronic in nature than previously thought; evidence for subpatent parasitaemia detectable by the polymerase chain reaction. Trans R Soc Trop Med Hyg. 1996;90:15–19. doi: 10.1016/s0035-9203(96)90463-0. [DOI] [PubMed] [Google Scholar]
- 54.Cirimotich CM, Dong Y, Clayton AM, Sandiford SL, Souza-Neto JA, Mulenga M, Dimopoulos G. Natural microbe-mediated refractoriness to Plasmodium infection in Anopheles gambiae. Science. 2011;332:855–858. doi: 10.1126/science.1201618. [DOI] [PMC free article] [PubMed] [Google Scholar]
- 55.Hisaeda H, Collins WE, Saul A, Stowers AW. Antibodies to Plasmodium vivax transmission-blocking vaccine candidate antigens Pvs25 and Pvs28 do not show synergism. Vaccine. 2001;20:763–770. doi: 10.1016/s0264-410x(01)00402-9. [DOI] [PubMed] [Google Scholar]
- 56.Doi M, Tanabe K, Tachibana S, Hamai M, Tachibana M, Mita T, Yagi M, Zeyrek FY, Ferreira MU, Ohmae H, Kaneko A, Randrianarivelojosia M, Sattabongkot J, Cao YM, Horii T, Torii M, Tsuboi T. Worldwide sequence conservation of transmission-blocking vaccine candidate Pvs230 in Plasmodium vivax. Vaccine. 2011;29:4308–4315. doi: 10.1016/j.vaccine.2011.04.028. [DOI] [PMC free article] [PubMed] [Google Scholar]
- 57.Malkin EM, Durbin AP, Diemert DJ, Sattabongkot J, Wu Y, Miura K, Long CA, Lambert L, Miles AP, Wang J, Stowers A, Miller LH, Saul A. Phase 1 vaccine trial of Pvs25H: a transmission blocking vaccine for Plasmodium vivax malaria. Vaccine. 2005;23:3131–3138. doi: 10.1016/j.vaccine.2004.12.019. [DOI] [PMC free article] [PubMed] [Google Scholar]
- 58.Sattabongkot J, Tsuboi T, Hisaeda H, Tachibana M, Suwanabun N, Rungruang T, Cao YM, Stowers AW, Sirichaisinthop J, Coleman RE, Torii M. Blocking of transmission to mosquitoes by antibody to Plasmodium vivax malaria vaccine candidates Pvs25 and Pvs28 despite antigenic polymorphism in field isolates. Am J Trop Med Hyg. 2003;69:536–541. [PubMed] [Google Scholar]
- 59.Daily JP, Scanfeld D, Pochet N, Le Roch K, Plouffe D, Kamal M, Sarr O, Mboup S, Ndir O, Wypij D, Levasseur K, Thomas E, Tamayo P, Dong C, Zhou Y, Lander ES, Ndiaye D, Wirth D, Winzeler EA, Mesirov JP, Regev A. Distinct physiological states of Plasmodium falciparum in malaria-infected patients. Nature. 2007;450:1091–1095. doi: 10.1038/nature06311. [DOI] [PubMed] [Google Scholar]




