Abstract
The gas sensors fabricated by using conducting polymers such as polyaniline (PAni), polypyrrole (PPy) and poly (3,4-ethylenedioxythiophene) (PEDOT) as the active layers have been reviewed. This review discusses the sensing mechanism and configurations of the sensors. The factors that affect the performances of the gas sensors are also addressed. The disadvantages of the sensors and a brief prospect in this research field are discussed at the end of the review.
Keywords: gas sensor, conducting polymer, sensing principle
1. Introduction
Conducting polymers, such as polypyrrole (PPy), polyaniline (Pani), polythiophene (PTh) and their derivatives, have been used as the active layers of gas sensors since early 1980s [1]. In comparison with most of the commercially available sensors, based usually on metal oxides and operated at high temperatures, the sensors made of conducting polymers have many improved characteristics. They have high sensitivities and short response time; especially, these feathers are ensured at room temperature. Conducting polymers are easy to be synthesized through chemical or electrochemical processes, and their molecular chain structure can be modified conveniently by copolymerization or structural derivations. Furthermore, conducting polymers have good mechanical properties, which allow a facile fabrication of sensors. As a result, more and more attentions have been paid to the sensors fabricated from conducting polymers, and a lot of related articles were published. There are several reviews emphasize different aspects of gas sensors [2-4], and some others discussed sensing performance of certain conducting polymers [5-7], but few of them paid special attention to summarizing gas sensors based on different conducting polymers. This is the main aim of this review.
The conducting polymers mentioned in this review all refer to intrinsic conducting polymers. Their main chains consist of alternative single and double bonds, which leads to broad π-electron conjugation. Scheme 1 presents several typical conducting polymers used as the active layers in gas sensors. However, the conductivity of these pure conducting polymers are rather low (<10-5 S cm-1). In order to achieve highly conductive polymers, doping process is necessary. The concept of doping is the central theme which distinguished conducting polymers from all other polymers [8]. Conducting polymers can be doped by redox reaction or protonation, in which the latter is only applicable to PAni.
Scheme 1.
Several typical conducting polymers.
Scheme 2 demonstrates the oxidation process of PPy. Some electrons are removed from PPy backbones by chemical or electrochemical oxidations, leaving positive charges on them. The resulted cation radicals are called polarons, acting as the charge carriers. Counter ions, X− , are also induced close to the polymer chains to balance the positive charges. Doped conducting polymers are semiconductors or conductors (σ∼100-105 S cm-1). This doping process is reversible, that is, the doped PPy can be turned into its undoped state by chemical or electrochemical reductions.
Scheme 2.
Oxidation doping of PPy.
For PAni, the doping process is different. PAni structure shown in Scheme 1 is in a totally reduced state. Generally, PAni chains consist of two types of structural units: Quiniod and Benzenoid (Scheme 3A). These two units can be transformed into each other by redox. Not all types of doped PAni are conductors; the protonated PAni is electrically conductive only when x:y=l:l (Benzenoid: Quiniod=3:l). The protonic acid doping process is illustrated in Scheme 3B. Doping and undoping play key roles in the sensing mechanism of conducting polymer based sensors.
Scheme 3.
Structure (A) and protonic acid doping process (B) of PAni.
2. Synthesis of conducting polymers and preparation of conducting polymer films
2.1. Synthesis of conducting polymers
Conducting polymers usually can be synthesized by chemical or electrochemical oxidizing the corresponding monomers, and the electrochemical process of synthesizing a typical conducting polymer, polythiophene, is demonstrated in scheme 4 [9]. Chemical oxidation involves mixing monomer and oxidant in solution, and for PAni, proton acid is necessary to ensure producing a linear structured polymer product. The most widely used oxidants are ammonium persulfate, ferrum chloride, hydrogen peroxide, potassium dichromate, cerium sulfate, and so on. Both aqueous and organic media are used. For electrochemical synthesis, several methods can be used: galvanostatic, potentiostatic, cyclic voltammetry and other potentiodynamic methods. For all these techniques, a three-electrode system is the best choice to realize syntheses. This system composes of a working electrode, a counter electrode and a reference electrode. Working electrodes made of various materials have been successfully applied in depositing conducting polymers, such as platinum, stainless steel, gold, indium tin oxide (ITO) glass; in many cases, the polymers deposited on the electrode surface can be peeled off into their self-stand states.
Scheme 4.

Electrosynthesis of Polythiophene in BFEE.
Many conducting polymers such as poly (phenylene vinylene), poly (phenylene ethynylene) and their derivatives are usually synthesized through other chemical routes, rather than oxidation polymerization. That is because their backbones are not only consisted of aromatic rings but also C-C double or triple bonds. These reactions include Wittig reaction [10], Heck reaction[ll] and Gilch polymerization [12] etc. Polythiophene and its derivatives can also be synthesized via coupling reactions [13]. These chemical syntheses are able to produce structural regular conducting polymers, or well-defined copolymers.
2.2. Preparation of conducting polymer films
Active layer is the heart of a sensor. Various techniques have been developed to prepare conducting polymer films, in order to adapt to different sensing materials and different types of sensor configurations. Thus herein we first discuss how to deposit conducting polymer films [14].
Electrochemical deposition
Electrochemical deposition is the most convenient method to deposit conducting polymer films. The thickness of the film can be controlled by the total charge passed through the electrochemical cell during film growing process. Moreover, the film can be deposited on patterned microelectrodes [15]. Of course, the deposition must be carried out on a conducting substrate. However, if the insulating gap between the neighboring electrodes is close enough (-several tens of micrometer), the growing film can cover the insulated gap and connect electrodes [16]. This is important in fabricating chemiresistors (see 3.2.1).
Dip-coating
When dipping a substrate into a chemical polymerization solution, part of the polymer will be deposited onto its surface [17, 18]. This process occurs on different substrates, and the thickness of the film is usually controlled by dipping time. Another similar process involves alternatively immersing a substrate into the monomer and oxidant solutions. The adsorbed monomer will be polymerized on the surface of substrate [19, 20].
Spin-coating
Spin-coating is a simple method for preparing films from soluble conducting polymers. In this process, the conducting polymer solution is spread on a rotating substrate [21, 22]. After evaporation of solvent, a thin film was formed. Repeating above process is feasible, which can control the thickness of the film. Concentration of the solution and rotating rate of the substrate are also play important roles in adjusting the thickness of the formed film. This method can coat conducting polymers on both conducting and insulating substrates.
Langmuir-Blodgett (LB) technique
LB technique is a famous method to produce a thin film of polymer and surfactant. The operation of LB technique has been described in many books and literatures. Two different ways are reported to deposit a conducting polymer film by LB technique: directly depositing polymer and depositing monomer followed by polymerization on the substrate. A LB film is ultrathin (monomolecular layer), and a thick film can be obtained by repeating the procedure of LB deposition.
Layer-by-layer (LBL) self-assembly technique
By alternative immersing the substrate into a polymeric anion solution and a polymeric cation solution, an alternative composite film (layer by layer) consists of the two polymeric electrolytes is fabricated [23, 24]. Doped conducting polymers, such as PAni, bring positive charge on their backbone, which allow it possible to deposit with a polymeric anion. The thickness of the LBL film depends on the number of repeating times.
Thermal evaporation
This technology can be realized by heating conducting polymer under vacuum, and the evaporated conducting polymer deposits on the target substrate. The thickness of the film is determined by the evaporation duration [25].
Vapor deposition polymerization
This technology consists of two steps: prepare an oxidant film and then place the film into monomer vapor [26]. The monomer diffuses into the film and polymerized on it. This technique is useful not only in preparing a pure conducting polymer film, but also in coating composite films of different conducting polymers.
Drop-coating
A polymer solution is drop dried [27, 28], or some drops of the monomer and oxidant solutions are dropped and reacted on a substrate. This technology is rather simple. However, the resulting film is usually not uniform.
Other methods
An electric field induced electrochemical polymerization can fabricate patterned conducting polymer film. The polymerization of pyrrole occurs between an electrode gap (5 μm) when a voltage is applied in the saturated vapor of pyrrole [29]. Colloidal suspension of PAni is controlled to directionally deposited on microelectrodes at controlled voltages [30]. For soluble conducting polymers, inkjet-print also is a convenient method for producing thin films [31]. Some researchers also packed conducting polymer powders into pellets to fabricate the active layers [32, 33].
3. Sensing Principles
Chemical sensors transform the concentrations of analytes to other detectable physical signals, such as currents, absorbance, mass or acoustic variables. After exposing to the vapor of an analyte, the active sensing material of the sensor interacted with the analyte, which causes the physical property changes of the sensing material. The interactions between the analytes and sensing materials are multiform, according to different analytes and different active materials, and they are discussed in the following sections.
3.1. Interactions between gas molecules and conducting polymer films
3.1.1. Chemical reactions between analytes and conducting polymers
As described above, the physical properties of conducting polymers strongly depend on their doping levels. Fortunately, the doping levels of conducting polymers can be easily changed by chemical reactions with many analytes at room temperature, and this provides a simple technique to detect the analytes.
Most of the conducting polymers are doped/undoped by redox reactions; therefore, their doping level can be altered by transferring electrons from or to the analytes. Electron transferring can cause the changes in resistance and work function of the sensing material. The work function of a conducting polymer is defined as the minimal energy needed to remove an electron from bulk to vacuum energy level. This process occurred when PPy, PTh and in some case PAni films exposed in NH3, NO2, I2, H2S and other redox-active gases [34-42]. Electron acceptors, such as NO2 and I2, can remove electrons from the aromatic rings of conducting polymers. When this occurs at a p-type conducting polymer, the doping level as well as the electric conductance of the conducting polymer is enhanced. An opposite process will occur when detecting an electro-donating gas. However, this mechanism has not been understood clearly. Ammonia is an electron-donor; when PPy reacts with ammonia, its electric resistance dwindles down sharply. However, after washing with dry nitrogen or air, the resistance of the sensing layer can be totally or partly recovered. Following reactions are possibly involved in the ammonia sensing process [43, 44]:
Based on this mechanism, all p-type conducting polymers are expected to dedope under ammonia atmosphere. In fact, some different phenomenon was observed in thin polycarbazole film sensor [45]. It was found that a resistance decrease occurred when reacted with ammonia. Further studies are still needed to make the mechanism clear.
Except for the pure redox reactions, partial charge transferring also leads to an alternation in the conductivity of a conducting polymer. According to the results reported by Josowicz et al., the direction of partial electron transfer was determined by the electronegativity of the vapor and the work function of the polymer [46]. Some toxic gas, such as CO, was rather inert to redox at room temperature. However, response of PAni towards CO was also observed [47-50]. A resistance decrease of a PAni film was detected when it exposed to CO gas. Furthermore, Densakulprasert et al. compared the UV-vis spectrums and XRD patterns of the film before and after exposing to CO, no discernable difference were found [48]. Thus, they speculated sensing mechanism as following [48, 50]:

The stable resonance structure of +C≡O− with the positive charge at the carbon atom will withdraw a lone pair electrons at the amine nitrogen: −NH−. The positive charge at the carbon atom is transferred to amine nitrogen, which results in a net increase of positive charge carriers on the polymer backbones and therefore an increase in conductivity. The interaction between chlorinated hydrocarbon and PAni was also studied, and similar phenomena were observed [51].
Another explanation to the response of PAni to CO is also based on the redox reaction. The decrease in resistance was interpreted as reduction of the barrier height between grains [47, 49], and it is a common model in metal oxide sensors [4]. The conductance of sensing film was governed by potential barriers between polymer grains. The oxidation happened at the grain surfaces in the presence of CO gas caused the surface coverage of adsorbed oxygen decrease. Thus, the surface potential, barrier height and the depletion length are reduced, which lead to a decrease in resistance.
In some cases, electron transfer occurs on the component mixed in conducting polymers. Phthalocyanines are good π-electron donors, so when a composite film of phthalocyanine (Pc) and conducting polymer exposed to NO2, electrons will transfer from Pc to NO2, leading to a increase in charge carriers (hole) [22, 52, 53]. In other work, Fe2O3 was found to be the chief active material in Fe2O3/PPy composite film [54].
In some cases, a catalyst incorporated in the conducting polymer film can help in detecting some inert analytes. Athawale et al. prepared nanocomposite of Pd/PAni, and found its electrical resistance responses rapidly and reversibly in the presence of methanol [33]. They assumed that the effective positive charges on the imine nitrogen atoms were reduced by the methanol molecules in the presence of Pd nanoparticles:
Ram et al. gave a different explanation on detecting CO by catalytic oxidation [23]. They believed that CO is able to oxide PAni with the assistance of SnO2. However, there is no experimental proof supporting both of the two mechanisms described above. Torsi et al. reported that the conducting polymers doped with metallic inclusions performed better than pure polymers [55]; a possible catalytic process may occur in these sensors.
Sweger at al. used poly (phenylene ethynylene) for detecting 2,4,6-trinitrotoluene (TNT) [56]. This process involves electron transfer from photoinduced exited stated of electron-donor, poly (phenylene ethynylene) to the electron accepter, TNT. Some other conducting polymers have also been used to detect TNT and other nitroaromatic explosives [57]. These conducting polymers have high fluorescent efficient, and when they react with electron accepter, the electron transfer process mentioned above will lead to a quenching of fluorescent. The detect limit of this method can be very low (several ppb for TNT).
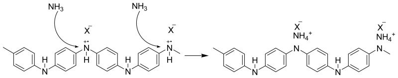
PAni is a special conducting polymer since its doped state can be controlled by acid/base reactions. This is widely used to detect acidic and basic gases. When exposed in ammonia gas, PAni undergo dedoping by deprotonation [58-63]:

The protons on −NH− groups were transferred to NH3 molecules to form ammonium ions while PAni itself turned into its base form. This process is reversible, and in fact, when ammonia atmosphere is removed, the ammonium ion can be decomposed to ammonia gas and proton. After reaction with acidic gases, such as HC1, H2S and CO2 (in present of water) PAni will be doped [25, 64-68]. Water is also able to transfer protons to PAni [69]. Weiller et al. reported that H2 can be adsorb on the positive-charged nitrogen atoms of PAni, and then dissociate into hydrogen atoms. The following formation of new N-H bonds between the hydrogen atoms and nitrogens can reduce the resistance of PAni [70].
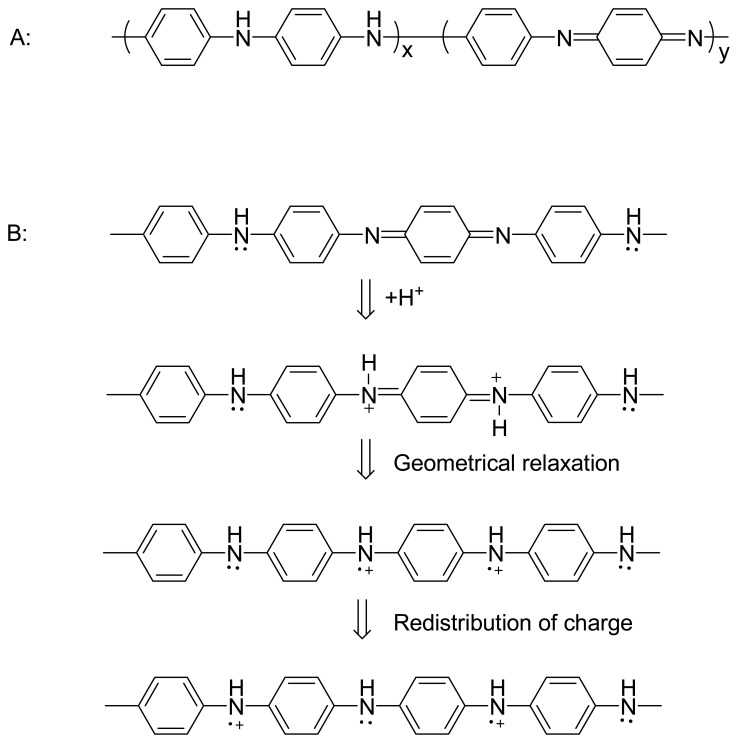
Proton transfer is also present in PPy. Krivan et al. observed a decrease in resistance of PPy film when it was exposed to the vapor of weak acid such as H2S and CH3COOH, indicating a proton transfer from acidic gas to PPy and a increase of doping level of the polymer [71]. Geng et al. gave the same interpretation [72]. Furthermore, NH3 was reported to be able to remove protons from PPy [73, 74]. If the formed ammonium was bind close to the counter anion, the proton transfer process is reversible. However, in fact, a nucleophilic attack on the carbon atom of PPy backbones usually occurs, which may cause an irreversible change in PPy [75].
Not only polymer chains but also the counter ions or the side chains may involved in the acid-base reaction. A decrease in resistance was found when acrylic acid doped PAni reacted with NH3 [76]. The authors explained it as that the removal of protons from the free acrylic acid dopants by ammonia render free conduction sites in the polymer matrix. Mohammad and Jung et al. considered the response of PTh film to ammonia as the result of formation of irreversible ionic pairs between the positively charged electric barrier of NH4+ ions and the doped anions [77, 78]. In another case, HC1 protonates the carboxylate groups on poly(thiophene-3-alkanoic acid), and allows the polymer chains to relax from twisted conformation to a violet π-stacked conformation [79]. The sensors fabricated from PAni with boronate groups showed poor reversibility for detecting ammonia, mainly due to ammonia reacted with boronate to form ion pairs [80].
3.1.2. Weak interactions between analytes and conducting polymers
Many important organic analytes, such as benzene, toluene and some other volatile organic compounds (VOCs) are not reactive at room temperature and under mild conditions. Therefore, it is difficult to detect them by their chemical reactions with conducting polymers. However, they may have weak physical interactions with the sensing polymers, involving absorbing or swelling the polymer matrixes, etc. These interactions do not change the oxidation levels of conducting polymers, but can also influence the properties of the sensing materials and make these gases detectable.
Absorbing of the analyte molecules on the surface of sensing film is widely used in gas sensing. In fact, absorption is the first step in all the sensing techniques, especially in same quartz crystal microbalance sensors. The absorption of organic gases on conducting polymers has been experimentally studied. Bartlett's group presented a basic model for polymer gas sensors which consists of a thin uniform polymer film lying on the top of a pair of coplanar electrodes supported by an insulating substrate [81]. They assumed that the absorption process is described by the Langmuir adsorption isotherm, that is:
| (1) |
where kf and kb are the forward and backward reaction rate, respectively, A is the analyte. Based on the device illustrated in Figure 1, a modified diffusion equation in dimensionless form can be established to describe the adsorption process:
| (2) |
where χ is the dimensionless distance parameter (x/L), ris the dimensionless time parameter (Dt/L2), γ the normalized gas concentration (a/a∞) and a∞ is the external gas concentration. γ and η are dimensionless parameters given by KN and Ka∞, respectively, and thus depend upon material properties such as the equilibrium constant K (kf/kb) and the density of sites N. On the other hand, the gas also obeys a sorption kinetics equation:
| (3) |
where κ is a dimensionless parameter that equals the ratio of forward reaction-rate to diffusion-rate, kfNL2/D. Equa. 2 and 3 may now be solved with suitable boundary conditions to obtain the adsorption and desorption concentration γ(χ, τ), and site occupancy θ(χ, τ) profiles. However, these two nonlinear partial differential equations have not been analytically solved exactly. The authors got approximate analytical solutions in six limiting cases [82, 83], which are pure diffusion (λ< 1, η < 1, κ > η), slow diffusion (λ < 1, η < 1, κ > 1), unsaturated (linear) reaction kinetics (λ< 1, η < 1, κ < η), saturated reaction kinetics (η < 1, κ < η, λ > 1), saturated (nonlinear) reaction kinetics (κ > 1, κ > η, λ > 1, λ2> η) and mix diffusion reaction process (κ > 1, 1 < λ2 < η, η > 1). Considering the electrode width d and the gap width w, conducting response can be obtained numerically by some complicated operation.
Figure 1.
Device configuration used by Bartlett to investigate adsorption of conducting polymer films in chemresistor type sensor.
Bartlett's model is more or less too complex that it is hard to be applied for understanding the sensing performance directly. There are several other theories to interpret the sensing mechanism. Another simple model based on Langmuir isotherm was developed by Hwang and Lin et al.[84-86]. Their study only involved equilibrium state rather than dynamic cases. As shown in Figure 2, the overall resistance of the sensing film can be considered as n resistances of R in parallel and each R is composed of m resistances of r in series. Here R, r, n represent the resistance of a layer, the resistance of a site, the number of conduction paths, respectively, while m is the number of active sites in a monolayer. Thus the resistance R should be:
| (4) |
where r0 is the vacant site resistance and r1 is the occupied site resistance; θ is site coverage of adsorption. According to Langmuir isotherm, θ can be expressed as
| (5) |
where Km is the adsorption equilibrium constant and C0 the concentration of the analyte. Combination of Equa. (4) and (5) gives the expression of sensing response
| (6) |
Figure 2.

Device configurations and the corresponding equivalent circuit used by Hwang and Lin to investigate adsorption of conducting polymer film in chemresistor type sensor.
Eq. 6 has been used to explain the experimental results reported by the Hwang. They also found that the addition of poly(ethylene oxide) into polypyrrole film can change the adsorption equilibrium constant Km, and further change the sensing performance.
Charlesworth et al. investigated the relationship between mass and conductance changes of PPy film, and found that the fractional change in resistance varies linearly with fractional mass uptake below about 5% mass change [87]. They assumed that PPy film behaved like a uniform sheet, thus, the uptake of mass during exposure to vapors is described by Fick's equation for diffusion:
| (7) |
where M(t) is the mass taken up by the film at time t, M(∞) is the equilibrium mass uptake by the film, L is the film thickness, and D is the diffusion coefficient. For rapidly rising portion of the adsorption curves, the equation can be predigested as
| (8) |
Least-squares fitting the factional mass increase against t1/2 gives the value of D, and the value of some alcohols were calculated in their paper. The alcohol moleculars with small size fit better to Equa 8. The further analysis of mass increase data concluded that Brunauer-Emmett-Teller (BET) isotherm is obeyed in this adsorption process. This is different from Bartlett's models.
Bissell and Persaud paid attention to saturated vapor pressure (SVP) of organic gases [88]. They pointed out that the absorption of analyte molecules is a partition process between gas phase and polymer phase. The VOC partition between gaseous and condensed phase has been well described in the field of gas chromatography [89], and the partition coefficient can be described as
| (9) |
where ρ1 and M1 are the density and molecular weight of the polymer, respectively, γ2 is the vapour activity coefficient, p2 is the saturated SVP of the solute vapour, R is the molar gas constant and T is temperature defined in Kelvin. Since fractional change in resistance varies linearly with fractional mass uptake at low mass change, the change in sensor resistance can be expressed as
| (10) |
where ki is a constant. Combining Eqs. 9 and 10, equation 11 was derived;
| (11) |
where b=log(RTρ1/M1ΔR) and is a constant. Considering a homologous series of analyte vapors, Cg is the concentration in each case required to generate fixed amplitude of sensing response. According to Eq. 11, a plot of log(1/Cg) against log(1/p2) will be linear with a gradient of unity if the ratio ki/γ2 is a constant across the series. The authors measured the responses of several types of sensors to difference vapors, including alcohols, esters, alkanes and aromatic compounds, and found that all these sensors displayed linear correlations between the vapor concentrations producing fixed amplitude of sensor response and the analyte saturated vapor pressure, which indicate that VOC partition and signal transduction are typically non-specific processes in these materials.
The equilibrium and kinetics of adsorption were well investigated. To detect the adsorption of analyte and further the concentration of them, the effects of adsorption and desorption on the properties of the sensing film were studied. A simple method to monitor the adsorption-desorption is measuring the mass uptake. By recording the response frequency change of a conducting polymer film coated quartz microbalance, water vapor, hydrocarbon, acetone, organic acids, benzene, toluene, ethylbenzene and xylene (BTEX compounds) can be detected [90-94]. Besides, The mass increase measurement is usually combined with other techniques to give additional information in sensing processes [95-97]. Nigorikawa and Hwang, used PPy and PPy-based composite film respectively, successfully recognized different molecules based on the (ΔR/Δf) value, where ΔR and Δf are the resistance change of the film and response frequency change of the crystal [98, 99]. Analyte adsorption also may enhance the potential barrier at the boundaries between the grains, eventually changing the electric properties of the sensing materials [100]. Athawale et al. reported that adsorption-desorption of chloroform molecule on Cu clusters in a copper/polyaniline composite can alter its resistance, and the change was found to be reversible [101].
In addition to adsorption, another widely observed phenomenon in the process of conducting polymer contacting vapors is swelling. Like other polymers, conducting polymers can swell in many organic solvents, and this has been detected by AFM [102]. This is controlled by the vapor molecular volume, the affinity of the vapor to the sensing polymer and the physical state of the polymer [103, 104]. At ambient temperature, most conducting polymers are in their glassy state, thus some researchers pointed out that a low sorption and swelling level are expected and their contribution to the overall electrical resistance decrease is minor [104]. However, swelling of the polymer film is an important mechanism to interpret sensing behavior of conducting polymer to organic vapors [16, 17, 64, 105-110]. For a pure conducting polymer, inserting analyte molecule into polymer matrix generically increases interchain distance, which affects the electron hopping between different polymer chains. Zotti and Berlin tried to using Mott's theory to describe the interchain electron transfer [95]:
| (12) |
where σ and σ0 is the conductivity before and after exposed to solvent vapor, respectively, εs and εp is the relative permittivity of the solvent and the polymer, X is the molar fraction of absorbed vapor for sensing polymer and B is a constant. They found that the experimental data followed the equation well. According to their results, the electric conductivity change depends on εs and εp: conductivity increases for εs>εp while decreases for εp >εs.
The swelling process of a composite conducting polymer is complicate. One or more components can be swollen to different extents, which results in various changes in overall conductivity. In some cases, the analyte dissolve conducting polymer better than the other component, and it will be swollen first. Spinks synthesized polyaniline/polystyrene (PS) composite films and tested their response to alcohols [104]. Because PAni has a higher solubility in polar alcohols, it swelled much more than PS which in fact increased the effective volume of conducting PAni. This resulted in increasing the conductivity of PAni. In some cases, other components rather than conducting polymers in the composite swelled more. For example, when PPy/PMMA composite film exposed in acetone, PMMA swelled much more than PPy and separated conducting PPy. Thus, the conductivity of the composite film was decreased [106]. Similar results were also obtained in PAni/PVA composite sensor to humidity [17] and PPy/Polyvinyl acetate (PVAc), PPy/PS, PPy/Polyvinyl chloride (PVC) to some toxic gases [111].
Hydrogen bonding and dipole-dipole interactions are also reported to play important roles in sensing process. The infrared spectra of a PPy film after exposing to acetone indicated the formation of hydrogen bonds (H-bonds) between C=0 groups of acetone molecules and N-H groups of pyrrole units [112]. Tan et al. investigated the interaction between methanol and PAni salt and base [113]. They found that the H-bonds in the two types PAnis were different. In PAni base, one methanol molecule forms two H-bonds as a bridge between PAni chains. Twisting caused by these H-bonds localized the polarons and decrease the conductance of PAni. Furthermore, the weak intermolecular force is also used to distinguish enantionmer of chiral gas by PPy with chiral side group [114] .
Experimental results demonstrated that some analyte gases, especially alcohols [32, 115] and ketones [112], can change the crystallinity of conducting polymers. This fact has been confirmed by X-ray diffractions. Small alcohols such as methanol and ethanol interact and diffuse more efficiently in the polymeric matrixes than the alcohols with higher molecular weight do. Moreover, the high dielectric constants of small alcohols make they strongly interact with the nitrogen atoms of polyanilines, leading to an expansion of the compact PAni chains into more stretching conformations. This in turn, is expected to increase the crystallinity of the polymer and decrease its electric resistance. In contras, alcohols molecules with high molecular weights can not diffuse into polymer matrix efficiently like small ones due to their long chain lengths and non-polar nature, they are likely to act as barriers among PAni chains, which results in an increase in resistance [32]. In another work, the authors proved that, acetone can weaken the dispersion force between aromatic pyrrole units and increased the content of the disorder sections in PPy which hinders the electron mobility and hence decreased conductivity of PPy [112].
Another possible interaction between analytes and conducting polymer films is dissolving of the counter ions of conducting polymers in analytes. Counter ions are usually bound along the polymer chains and their mobility is rather low. The analyte diffused into the film can act as a solvent for small counter ions, eventuating in an ionic conduction [113, 116]. Besides, solvent molecular can result in a delocalization of counter ion, which in some case allows easier intra-chain electron transfer and reduces the resistance of the film [17, 117, 118]. However, in some cases, with the help of bias, water vapor can cause the dedoping of conducting polymer in a field-effect transistor [119].
3.2. The configurations and sensing principles of different sensors
For an over view in classification of gas sensors and configuration of different sensors, IUPAC's report [120] and Nylander's review [121] are two important literatures. Here, we will discuss only the widely used sensors based on conducting polymers.
3.2.1. Chemiresistors
Chemiresistors are the most common type of sensors [63, 71, 118, 122-127]. They can be fabricated through a cheap and convenient process [128]. A chemiresistor is a resistor, whose electric resistance is sensitive to the chemical environment. Chemiresistor consists of one or several pairs of electrodes and a layer of conducting polymer in contacting with the electrodes, as illustrated in Figure 3. The electrical resistance change of the sensing material is measured as the output, so a simple ohmmeter is enough to collect the data. Usually, a constant current or potential is applied on the sensor, and the measuring signal is potential or current change, respectively. To improve the performance, interdigitated electrode is widely used [25, 30, 44, 129], and a typical one was shown in Figure 4. This type of sensor is simple but efficient.
Figure 3.

Configuration of chemresistor.
Figure 4.

Interdigitated electrodes. The dark pattern is conducting electrode and the white part is insulating substrate.
An equivalent circuit diagram is presented in Figure 5 [130, 131]. The change in any parts of the sensor will cause a consequential change of overall resistance of the device. Of course, the most important part is the bulk resistance. For a doped conducting polymer, its conductivity consists of three component:
where σ is overall conductivity, σc the intermolecular conductivity, σh the intramolecular hopping conductivity and σi the ionic conductivity, respectively. According to the description in 3.1, when react with analytes, σc can be altered by changing doping levels of conducting polymers by both redox and acidic/basic doping/dedoping. σh is usually modulated through adjusting intrachain distance of polymer chains. This is achieved by swelling the polymer, changing crystallinity, forming H-bonds and dipolar-dipolar interactions. σI is controlled by mobility of counter ions, which is effected by the interaction between the ions and analytes.
Figure 5.
Equivalent circuit diagram of the device shown in Figure 3.
The contact resistance was studied by Mirsky et al [132, 133]. They designed a four-point interdigital electrode to reduce the contact resistance and enhance the response of a chemiresistor. Other researchers reported that the sensors based on conducting polymer nanofibers have a worse performance than those of ordinary films. They pointed out that a bad contact between nanofibers and electrodes is the main reason [134]. The irreversibility of chemiresistor was increased as the polymer film was peeled off from electrodes because of the increase of contact resistance, and it can be efficiently restrained by using the technique of four-point measurement [87].
Alternating current (AC) also has been used as the signals of chemiresistor sensors [71, 135-137]. When AC current is applied, the capacitance and inductor should be included in equivalent circuit model. Both of these two variables are related to gas interaction with the sensing film. Thus, not only resistance, but also capacitance and inductance can be measured to detecting gases. Furthermore, the value of dissipation factor (resistance/absolute value of reactance) changes with the current frequency, and the peak in the dissipation-frequency curve shifts when the sensor is exposed to different gases. The peak position is unique for different gases and useful in distinguishing them [138, 139].
Chemresistors are the most popular device configuration of gas sensors, and many commercialized devices are based on it. The related technologies, including fabrication and measurements, have been maturely developed. Thin films, fibers and bulk materials can be utilized as the sensing elements of chemresistors and their output signals are resistances. Using conducting polymer as the sensing film brings several advantages in device fabrication and operation. Conducting polymers are easy to be processed into films by many techniques as summarized above; most of these methods are operated in room temperature. The disadvantage of chemresistor is that the resistance of a device is influenced by many ambient factors, and not only determined by the resistance of the conducting polymer sensing film, but also the contact resistance of the electrodes. Moreover, little information other than resistance can be obtained; this is unfavorable in distinguishing different analytes.
3.2.2. Transistor and diode sensors
The well known organic thin-film transistors (OTFTs) have been applied in sensing field just after it was first developed [140]. There are some reviews on OTFTs [141] and their application in sensors [130, 131, 140]. In general, a TFT consists of a semiconductor active layer in contact with two electrodes (“source” and “drain”), and a third electrode (“gate”) which is separated with the active layer by an insulating film. When it works, a source-drain voltage was applied and a source-drain current was measured. The gate is used to modulate the current by a gate potential. The source-drain current is changed when sensing film interacts with analyte. Two types of conducting polymer transistor, classified by whether the current flow through the polymer [128, 131], were used to detect gases, as illustrated in Figure 6. Figure 6A shows the configuration of a thin film transistor (TFT), its active layer is made of conducting polymer, and Figure 6B represents the structure of insulated gate field-effect transistor (IGFET), whose gate electrode is made of conducting polymer and the current flows through the other semiconducting layer, e. g. silicon.
Figure 6.
Configuration of TFT (A) and IGFET (B).
The modulation of source-drain current is interpreted as that an appropriate gate potential can enrich charge carriers in the semiconducting layer close to gate electrode, forming a current channel. The heart of a TFT is the gate capacitor in which silicon forms one plate while the conducting polymer film forms the other [130]. When the two chemically different plates are electronically connected, an electric field is created at their interface. This field is proportional to the difference of work functions of the two plate materials [142], and both source-drain current and turn-on voltage are governed by it. Electron transfer between analyte molecules and sensing polymer layer is able to change the work function of the polymers, which causes response in source-drain current or gate voltage.
For a IGFET devices (Figure 6B), the gate-to-source voltage, VG source-drain current, ID, follow the normal equations valid for IGFET [131]. If VD < VG−VT, in the so-called subthreshold (or linear) region, the current is linearly dependent on the source-drain voltage VD:
in the saturation region, VD > VG− VT, ID is independent of VD but is related to VG−VT.
Where μ is the mobility of minority carrier, C0 is the gate capacitance, W and L are the width and length of the channel, respectively. VT is called turn-on voltage. In IGFET, the conductivity of polymer gate does not influent the source-drain current, so the response in ID or VT are caused by the modulation of work function of the conducting polymer gate. This type of sensors has been used to detect various gases [119, 143-148].
In OTFT, the current is modulated by both work function and the conductivity of polymer, so it is hard to make sure which is the key factor. The current equation and sensing principle are the same as IGFET. This configuration of sensor is also widely used [100, 109, 110, 119, 149].
Diode is a rather simple device, as shown in Figure 7, and can been employed to detect gas analytes. Conducting polymers that are stable in the air are usually p-type semiconductors. When a conducting polymer film contact to a n-type semiconductor, a heterojunction will form at their interface [35, 150, 151]. Alternatively, a so-called Schottky barrier can be formed at the conducting polymer/metal interface [34, 152-154]. The relation between current density and voltage is described by Richardson's equation:
in which the saturation current density J0 is defined as:
where A* is the effective Richardson's constant, φB the effective barrier height, kb the Boltzmann's constant, n the ideality factor, e the electronic charge, and T is the absolute temperature.
Figure 7.
Configuration of diode device.
The effective barrier height φB can be modulated by analyte, through changing doping level of conducting polymer. Thus, after exposing to an analyte, several electric parameters of the diode will change, such as current density (can be measured by gas-induced voltage shift, that is the voltage shift before and after exposing to analyte at a constant current density) and rectification ratio.
In comparison with chemresistors, transistors and diodes provide more parameters for measurements, thus, may give more detailed information about the semiconductor natures of the conducting polymer sensing films. Moreover, the detection limit and sensitivity of the sensors based on transistor are better than those of chemresistors because of the signal amplification of transistor devices. The beneficial of using conducting polymer as the sensing layer is the convenience in fabrication. Besides, easy modification in conducting polymer structures provides facile route to sensing materials with different work functions and selectivities to analytes, which insure high performance of transistor-configured sensors. The disadvantages of these devices are, as other semiconductor devices, their preparation is slightly complicate, and the characterization of a transistor is more difficult than a chemresistor.
3.3.3. Optic devices
UV-vis and NIR spectra can reflect the electron configurations of conducting polymers. During the doping process, the spectral absorbance of conducting polymer film will change and new bands will appear due to the formation of polarons and bipolarons; while the spectrum can return to its original shape after dedoping [155]. Thus, analyte gas contacting conducting polymer film can be detected by recording the UV-vis or NIR spectral changes. An ultra thin film is suitable for fabricating an optic sensor, because the spectrum of a thin film is easy to be recorded by using commercial spectrometers. In fact, the simplest senor is just a glass covered with an ultra thin conducting polymer film. In order to online measure the spectral change with commercial UV-vis or NIR spectrometer, a special vessel is necessary. The responses of the sensors are usually the transmittance or absorbance changes of the sensing films [41, 59, 60, 79, 102, 156, 157].
Long distance detection can be carried out by using an optical fiber to measure the absorbance of the polymer layer. Two typical configurations of optical devices are shown in Figure 8. One is placing the sensing film on the cross-section of the fiber, as illustrated in Figure 8A [158]. The mechanism of this device is the same as that of direct measuring techniques. The other is removing a small fraction of the cladding on the fiber and coating this section with conducting polymer, as shown in Figure 8B [159-161]. Bansal at al. described the details of this type of sensors [161]. The light reflects on the surface of conducting polymers, and the output light brings the absorption property of the conducting polymer cladding. Exposing the modified section of optic fiber will cause the change in output light.
Figure 8.
Configuration of two typical optical sensors using optical fibers.
Measuring the spectra of conducting polymers can help us to directly study their electron configuration. And as we know, colorimetry is a classical technique in analytical chemistry. The sensor is only a piece of glass covered by a thin film of conducting polymer, whose configuration and fabrication procedures are very simple. However, the sensitivity of this kind of sensors is low, and the need of special spectrometers is expensive and not convenient.
Surface-plasmon resonance (SPR) is another method of vapor detection utilizing light. Surface plasma waves are collective oscillations of the free electrons at the boundary of metal and dielectric material; their quanta are known as surface plasmons. Any changes in the properties of the dielectric layer near the interface will influence the excitation of the plasmons [162]. Near the resonance angle, small change of the conditions (incidence angle) may cause the reflected intensity change acutely. A SPR sensor has a typical configuration illustrated in Figure 9 (Kretschmann-type configuration) [163]. On exposing to analytes, the minimum in the reflectance curve will shift, which indicates the existence of the analytes. The sensitivity of this type of sensors is high, but the detecting procedures are complicate.
Figure 9.
Kretschmann-type configuration of surface-plasmon resonance sensor device.
3.3.4. Piezoelectric crystal sensors
Two types of sensors fall into this category; they are quartz crystal microbalance (QCMB) and surface acoustic wave (SAW) sensors. The principle and applications of piezoelectric crystal sensors are well reviewed by Chang et al. [164].
A typical schematic diagram of QCMB is shown in Figure 10. It consists of a conducting polymer coated quartz crystal and a pair of electrodes. The resonant frequency of a quartz crystal changes with its mass load, which was described as following [165]:
where ΔF is the resonant frequency shift, F resonant frequency, Δm the mass change on the surface of device, μ the shear modulus, ρ the density of the quartz crystal, and A is its surface area. Thus, measuring the frequency shift ΔF can determine the adsorption mass and further the concentration of analyte [90, 91, 94, 166-169].
Figure 10.
Configuration of quartz crystal microbalance sensor device.
A standard design for a SAW device is shown in Figure 11 [164]. A transmitter interdigital electrode (interdigital transducers, IDTs) and a receptor interdigital electrode are attached onto a piezoelectric crystal. The polymer film is coated on the gap between these two electrodes. An input radio frequency voltage is applied across the transmitter IDTs, inducing deformations in the piezoelectric substrate. These deformations give rise to an acoustic wave, traversing the gap between two IDTs. When it reaches the receptor IDTs, the mechanics energy was converted back to radio frequency voltage [164, 170]. The adsorption and desorption of gas on the polymer film on the gap will modulate the wave propagation characters. A phase or frequency shift will be recorded between the input and output voltages [170-172].
Figure 11.
Configuration of surface acoustic wave sensor device.
The detect limits of above two types of devices are very low (<1 ppm). Because piezoelectric crystal is rather sensitive to mass uptake, adsorbing a very small amount of analyte can be detected through frequency change. For the same reason, the selectivity of piezoelectric crystal devices is poor. Conducting polymers here act only as active layers, which tune the surface property of crystal and improve both detect limit (by adsorbing more analyte molecules) and selectivity (by introducing special interaction with analytes) of the sensors. In fact, other polymer can also play this role. However, as described above, this technique can be combined with chemresistor (see 3.1.2), to give useful information in distinguishing analytes.
3.2.5. Amperometric sensors
Amperometric method also has been applied for detecting gases. This sensor usually has a divided cell, with conducting polymer/metal/Nafion® as working electrode [173-175]. The supporting electrolyte usually is an inorganic acid to provide H+ ions for ionic conductance in Nafion® film. The configuration of the cell is presented in Figure 12.
Figure 12.
Configuration of a type of electrolytic cell for gas sensing.
The sensing mechanism is the same as other amperometric sensors used in solutions. When an appropriate potential is applied on the electrode, the analyte molecules are anodic oxidized or cathodic reduced, resulting in a current change.
3.3. The Parameters Influence the Performance of the Gas Sensors Based on Conducting Polymers
Many factors are expected to influence or improve the performances of conducting polymer based sensors. Here, we will just list several important factors.
3.3.1. Sensing materials
Much attempt has been devoted to improve the sensitivity, response time and stability of gas sensors by modifying the sensing materials. Nearly all the widely studied conducting polymers such as PPy, PTh and PAni have been used as the active materials in sensors (see Table 1). The methods of adjusting the sensing materials include modifying the polymer molecular structures, changing dopants and incorporating second component into conducting polymers.
Table 1.
Modified conducting polymers for gas sensing
|
| ||
|---|---|---|
| Backbone | Side chain | Reference |
|
| ||
| PPy | S: alkyl | [95], [176], [37] |
| S: alkoxy | [95], [133] | |
| S: hydroxyalkyl | [90] | |
| S: carboxyalkyl | [90] | |
| S: alkyl sulfonic acid | [95] | |
| S: amine | [95] | |
| S: ester group | [95], [177], [114] | |
| S: other | [90] | |
| G: to PVA | [97] | |
| C: with thiophene | [37] | |
|
| ||
| PAni | S: alkoxy | [91], [96], [178] |
| S: sulfonic acid | [179], [61] | |
| S: phenyl | [180] | |
| S: boronate | [80] | |
| G: to SWNT | [61] | |
|
| ||
| PTh | S: alkyl | [166], [181], [168], [110], [53], [105], [182], [127], [109] |
| S: alkoxy | [183], [110], [157], [168], [184], [185], [100] | |
| S: ester group | [166] | |
| S: alkthio | [186] | |
| S: carboxyl alkyl | [79] | |
| C: poly(3-octylthiophene-co-thienylethanol) | [181] | |
| C: with PS | [182] | |
| C: with PMA | [182] | |
| C: with PBA | [182] | |
|
| ||
| PEdot | S: alkoxy | [187] |
| S: ether group | [95] | |
|
| ||
| PA | S: amine | [188] |
|
| ||
| Poly(diethylyl benzene) (PEB) | S: alkoxy | [189] |
|
| ||
S: Sidechain; C: Copolymer; G: Graft
An advantage of using conducting polymer as the active material is that the chain structure of conducting polymer can be easily modified. Table 1 lists the derivatives of different conducting polymers reported in recent literatures.
The introduction of grafts to the backbones of conducting polymers has two effects. Firstly, most of the side chains are able to increase the solubility of conducting polymers. This makes them can be processed into the sensing film by LB technology, spin-coating, ink-printing or other solution-assistant method. Secondly, some functional chains can adjust the properties of conducting polymers, such as space between molecules [182] or dipole moments [168], or bring additional interactions with analytes, which may enhance the response, shorten the response time, or produce new sensitivity to other gases. These interactions have been discussed in 3.1. As listed in Table 1, many sensors employ substituted or copolymerized conducting polymers as the active materials.
Dopants can influence the physical and chemical properties of conducting polymers. Conducting polymers doped with different ions may give distinct responses to a specific analyte. A representative example of conducting polymer is that PAni doped with small inorganic ions showed a resistance increase to ammonia, while acrylic acid doped PAni exhibited an inverse response [76]. The chemical reaction and weak interaction between dopants and analytes have been discussed above; herein some other examples are listed. It should be noted that, in different sensing systems, the dopants played different roles. The conductivities of conducting polymers are directly determined by the doping levels and the properties of counter ions. For example, the conductivity of ClO4− doped PPy is higher than that of p-toluenesulphonate (TsO−) doped PPy. High conductivity resulted in a low initial resistance R0 and high relative response (ΔR/R0), for initial resistance is the denominator [190]. However, Subramanian et al. reported a opposite trend in PAni based chemiresistor, the relative change in conductance decreased with the increase of original conductance [191]. Potje-Kamloth et al. reported the gas sensing performance of a heterojunction type sensor was strongly influenced by the nature of dopants [35]. In another case, camphosuphonic acid (CSA) doped PAni shows the best response comparing with those doped with diphenyl phosphate (DPPH) and maleic acid (Mac) when detecting water vapor [69]. However, they did not give clear explanation. Hong et al. studied the reversibility of PAni-based chemiresistor, and found that strong acid dopants resulted in better reversibility, while a worse response [62]. Differences in sensing performances between Cl−, SO42− and NO3− doped PPy composites are also studies by Ratcliffe group [176]. Further, de Souza et al. tried to find the relationship between the response and the molecular sizes of dopants [192]. Zhu and Tang examined the critical reduction charge (Qc), which is defined as the charge required for the formation of a continuous partially reduced phase in the PAni film, in two PAni films doped with ClO4− and dodecylbenzene sulphate, respectively. They found the latter PAni yielded a smaller Qc, therefore has a higher response to ammonia gas [193]. Moreover, the doping levels of conducting polymers are also able to influence the sensitivity of chemiresistors [59, 112, 183].
Incorporating second component into conducting polymer film is one of the most important methods to develop new sensors. In comparison with modification of molecular structure of conducting polymers, the advantage of this technique is that it can avoid complicated chemical syntheses. Insulating polymers, carbon nanotubes, metal clusters and metal oxides are usually used to prepare conducting polymer composites. Some recent composite-based sensors are summarized in Table 2.
Table 2.
Conducting polymer composite used in gas sensors
|
| |||
|---|---|---|---|
| Conducting polymer | Second component | Texture | Reference |
|
| |||
| PPy | PS | Blend | [194], [111], [27] |
| High density polyethylene (HDPE) | Blend | [27] | |
| PEO | Blend | [195], [27] | |
| PVA | Blend | [196], [84], [43] | |
| PMMA | Blend | [38], [106], [27] | |
| PMMA | Coated | [74] | |
| Poly(etheretherletone) (PEEK) | Coated | [74] | |
| PVDF | Blend | [197] | |
| PVAc | Blend | [111] | |
| PVC | Blend | [111] | |
| Poly(acrylonitrile-co-butadiene-co-stryrene) (ABS) | Blend | [27] | |
| Polyurethane (PU) | Coated | [19] | |
| C60 | Blend | [198] | |
| SWNT | Coated | [39] | |
| Nafion®/metal | Coated | [175], [199], [200] | |
| Calixarene | Blend | [122] | |
| Various of plasticized polymers | Blend | [194] | |
| Pb-phthalocyanine | Blend | [52], [22] | |
| SnO2 | Blend | [176] | |
| Fe2O3 | Blend | [54], [201], [72] | |
| MoO3 | Layered | [107] | |
| WO3 | Blend | [202] | |
| ZnO2 | Blend | [203] | |
|
| |||
| PAni | PS | Blend | [204], [205], [104], [20] |
| PVA | Blend | [117], [118], [67], [68], [17] | |
| PMMA | Blend | [60], [204], [205] | |
| PVDF | Coated | [206] | |
| Poly(butyl acrylate-co-vinyl acetate) (PBuA-VAc) | Blend | [17] | |
| PP + Carbon black + Thermoplastic PU | Blend | [207] | |
| PS + Carbon black + Thermoplastic PU | |||
| Ethylene vinyl acetate copolymer (EVA)/copolyamide (CoPA) | Blend | [208] | |
| Nylon 6 | Coated | [62] | |
| Polyimide (PI) | Blend | [50] | |
| PEDOT | Coated | [65] | |
| Carbon black | Blend | [209] | |
| SWNT | Coated | [210] | |
| MWNT | Blend | [211] | |
| Cu(II)-exchanged hectorite | Blend | [212] | |
| PtO2 | Blend | [213] | |
| TiO2 | Blend | [23] | |
| SnO2 | Blend | [42] | |
| MoO3 | Layered | [214] | |
| CuCl2 | Blend | [66] | |
| CeO2 | Blend | [215] | |
| In2O3 | Blend | [216] | |
| Zeolite and Cu2+ | Blend | [48] | |
| Nafion®/metal | Coated | [173], [217] | |
| Cu | Blend | [101] | |
| Pd | Blend | [33] | |
|
| |||
| PTh | 4-t-butyl-Cu-phthalocyanine | Blend | [53] |
| MWCN | Blend | [127] | |
| SnO2 | Blend | [42] | |
| Cu | Blend | [55] | |
| Pd | Blend | [55] | |
|
| |||
The functions of incorporating another component into the conducting polymers are manifold. We can classify these sensors according to sensing mechanisms. In some cases, the second components play an important role in sensing process. They may improve the properties of sensing film (i.e. partition coefficient [85]), help in electron or proton transfer [33, 118], or directly interact with analytes by swelling [104] or electron/proton exchange [22]. These effects have been described in 3.1.
In other cases, the second components are induced only to improve the device configuration, e. g.: change the morphology of the film (i.e. act as a porous matrix; as what will be seen in next section, morphology is expected to influence the performance of the sensors) [20, 205], improve the mechanical property [19] or protect sensing film [206]. It should be noted that the content of the additional component (or conducting polymer) will also influence the performance of the sensor [48, 50, 54, 127, 195].
3.3.2. Device Fabrication
In this section, we first focus on the morphology of the sensing “film”. For transistors, optical sensors and piezoelectric crystal sensors, a thin film active layer is most suitable. However, morphology change of sensing layer can strongly influence the performances of chemresistors and diodes. These effects are usually attributed to be the results of changing the ratio of surface area to volume (rA/V) [218]. A film with higher rA/V makes analyte molecules diffuse and interact with the sensing layer more easily, which lead to a higher sensitivity and shorter response time.
To increase the rA/V of a flat film, we can either thin the film or make it porous. Many results demonstrated that sensors with thinner or more porous active films have higher sensitivities [219-221]. However, this trend is not obvious in porous film. Increasing the volume ratio of micropores in the film is able to enhance the response [205]. However, as the porosity of the film is high enough, the response of the film is insensitive to its thickness [220].
On the other hand, as a thin film fabricated by LB technique was used as the sensing layers, the sensitivity of the sensor increased with the number of LB layer [21, 36]. It is possible due to diffusion of analytes is not the key step in the ultrathin LB film, and the sensitivity of the device determined by the amount of the polymer. Nanfibers (wires, tubes) have huge rA/V values, so they are perfect candidates for preparing sensors with high sensitivities and fast responses. We can use ether fabric of nanofibers or a single nanofiber. The first design is easy to realize, but efficient in promoting the sensitivity of chemiresistors [44, 64, 66, 70, 134, 211, 222, 223]. The single nanowire is more difficult to be utilized in sensors [63, 224, 225]. Recently, Chi et al. developed a new technology combined with nanoinprint lithography and lift-off process to fabricate a PPy nano wire between microelectrodes [226, 227]. It is also reported that the sensitivity and response time of single nanowire were influenced by its diameter [63, 226]. Whatever the morphology of active layer is, the response time is always decrease as the thickness of layer decrease [21, 36]. The treatment of electrodes surface treatment sometimes is able to minish the contact resistance, as well as the sensitivity. On a rough Au electrode surface, the electrodeposited PPy adhered is much better than on smooth Au electrode [228]. By chemical modification of the surface, the PAni could be grafted onto Si with good adherence [229]. These technologies are useful in the fabrication of electrochemical sensors.
Pretreatment of sensing film may also affect the performance of the sensors. Soaking PPy in methanol solution can shorten the response time to methanol gas, which could be interpreted as the removal of exceed counter ions [230]. Heating is another way to change the sensitivity of sensors [72, 230].
3.3.3. Working environment
The first factor must be noted here is temperature. Like other semiconductors, the conductance of conducting polymers increases with the increase of temperature. For a chemiresistors, the initial conductance of conducting polymer is changed as the temperature alters [231, 232]. However, the change of initial value is not the key issue. As discussed above, sensing process involves two steps: adsorbing of analyte molecules in sensing film and then the reaction between them. Temperature is able to influence both of the two steps. Adsorption always prefers low temperature; increasing temperature will shift the equilibrium to desorption. When adsorption/desorption is the preponderant step, sensitivity will dwindle down as temperature increases [16, 18, 75, 204, 210, 233]. The performance of the sensors based on redox reactions usually increase with the increase of temperature [55, 129, 213], mainly due to the acceleration of reaction. In some case, two opposite effects described above resulted in a peak value of sensitivity in sensitivity-temperature curve [52].
The sensitivity of a sensor also strongly depends on the ambient humidity. In fact, water vapor itself is an important analyte, and many sensors are sensitive to humidity. Thus, the signal of other gas in humid atmosphere is a corporate response of the analyte and water. Sometimes change of humidity can produce a similar response as analyte does, which may confuse the results [158]. Generally, competitive adsorption between water and the analyte molecules occurs; consequentially water molecules will consume some active sites, so the sensitivity to the analyte is expected to decrease when humidity increases [18, 88, 106]. However, in some cases, humidity is able to increase sensitivity [108, 180, 206]. These results demonstrate that there is some cooperative effect of water vapor and analytes in sensing film. To reduce the influence of humidity, introducing hydrophobic substituted groups on polymer backbone was reported [88].
There are other factors should be considered. Pressure effect is one of them. Fedorko found that when pressure changes, a phase transition will occur in PPy, causing alternation of conductivity [234]. When designing a chemiresistor, the influence of current also should not be neglected. Stronger current flow through conducting polymer will produce heat, which can affect the response as described above [136].
4. Summary and prospect
In conclusion, conducting polymers have been widely used as the sensing layers of gas sensors. The advantages of using conducing polymers as the sensing layers are listed as following:
Room-temperature operations
As discussed above, the interaction between conducting polymer and gas analyte is rather strong at room temperature. Therefore, the sensors based on conducting polymers can give remarkable signals, while those based on inorganic metal oxide nearly have no sensitivity at room temperature. This endows conducting polymer sensors with low energy consumption and simple device configuration.
Facile property adjustment
The backbones of common conducting polymers are built up with aromatic rings, which are easy to attach various grafts through electrophilic substitutions. By introducing different substituents, or copolymerizing with different monomers, it is facile to adjust both the chemical and physical properties of conducting polymers; these adjustments are useful for promoting selectivity of sensors, and convenient in fabricating sensor arrays. From Table 1 we can find that many different derivatives of conducting polymers were synthesized and used in gas sensing.
High sensitivity and short response time
The detect limits are rather low for sensors based on conducting polymers. For redox active or acid-base active analytes, the detect limit is smaller than 1 ppm, and for inert organic analytes, that limit is about several ppm or lower. These data are listed in Table 3.
Table 3.
Detect limits of sensors based on conducting polymers and their composites to several gas analytes
| Analyte | Sensing material | Detect limit | Sensor type | Reference |
|---|---|---|---|---|
| NH3 | PAni/SWNT | 50 ppb | Chemresistor | [210] |
| NO2 | PPy/PET | <20 ppm | Chemresistor | [36] |
| PTh/CuPc | 4.3 ppm | Chemresistor | [53] | |
| PAni/In2O3 | <0.5 ppm | SAW | [216] | |
| HCl | PAni/FeAl | 0.2 ppm | Chemresistor | [235] |
| H2S | PAni/heavy metal salts | <10 ppm | Chemresistor | [66] |
| CO | PAni/FeAl | 10 ppm | Chemresistor | [47] |
| PAni/In2O3 | <60 ppm | SAW | [216] | |
| Water | PAni | < 25 ppm | Chemresistor | [30] |
| Methanol | PAni/Pd | <1 ppm | Chemresistor | [33] |
| Methane halide | Poly(3-methylthiophene)/MWNT | Several ppm | Chemresistor | [127] |
| PAni/Cu | <10 ppm | Chemresistor | [101] | |
| Acetone | PTh copolymer | 200∼ 300 ppm | Chemresistor | [182] |
| Toluene | PTh copolymer | 20 ppm | Chemresistor | [182] |
| Butylamine | Poly(anilineboronic acid) | 10 ppb | Chemresistor | [80] |
The response times of these sensors are usually hundreds of seconds, and especially for some ultra thin film sensors, this time can be as short as about several seconds.
Easy device fabrication
The fabrication of sensors based on conducting polymers is much easier than that based on other sensing materials. Conducting polymers inherit the good mechanics property from polymers, so most mechanical processing techniques are suitable for processing them. Furthermore, by introducing long side chains, the solubility of conducting polymers can be greatly improved, which make they are able to be processed into films from their solutions by casting, layer-by-layer deposition, spin-coating or LB technique. All these techniques are easy to be operated and repeated. This is an important superiority over sensors based on inorganic materials.
Conducting polymers lead us to a new stage of detecting gases. However, they have several disadvantages need to be improved:
Long-time instability and irreversibility
Long-time instability is a main drawback of the sensors based on conducting polymers. It has been mentioned in many literatures, however, few articles have reported the lifetime of the sensors [180]. The performances of this kind of sensors decreased dramatically as they were stored in air for a relatively long time. This phenomenon can be explained as de-doping of conducting polymers. Many conducting polymers such as PPy and PTh, are easy to be dedoped when they are exposed to air. Besides, oxygen may cause degeneration of some conducting polymers. It was reported that PPy doped with big anions can remain conductivity in twenty years [236], and PPy doped with or amphiphilic anion can reduce the influence of water and oxygen [237]. These may be considered when designing sensing materials.
Another problem is the irreversibility of these sensors. The response of sensors gradually fall down in the sensing cycles, or the signal can not return to the original value after exposed to analytes. Some literatures reported these results [65, 224]. It was believed that the irreversibility of PPy in ammonia is caused by nucleophilic attack on carbon backbone [75]. The mechanism of irreversibility is still not clear now.
Low selectivity
Not only the sensors based on conducting polymers, but also the other sensors have to face this problem. A single sensor can not distinguish different analytes, and the response is easy to be influenced by the presence of other gases. Sensors based on conducting polymers usually sensitive to water, so humidity must be considered when detect other gases in air. Nearly all the conducting polymers are sensitive to redox-active gases, such as NH3 and NO2, and for organic vapors. Swelling effect often occurs in conducting polymer layers, which can cause electrical resistance change in chemresistor. These are the disbennifits of sensors based on conducting polymers.
According to the discussion above, further works in this field may mainly include following three aspects. First of all, sensing mechanisms, including the mechanisms of instability and irreversibility the sensors are not fully clear now. Most of the mechanisms mentioned above are presumptions of the authors. The interactions between analyte and conducting polymer need further investigations. Second, Relative lower stability of conducting polymers is the main drawback of these sensors. Both chemical and physical properties of conducting polymer strongly depend on the ambient conditions, such as temperature and humidity. Thus, how to prolong the lifetime of sensors is the crisis in application of conducting polymers, and the main challenge to the researchers in the field. Third, a great deal of effort has been devoted to adjusting the side chain structures of conducting polymers, to promote sensing performance. However, most of these attempts are concentrated in inducing several common side chains. Molecule design has not been widely used in developing new sensing materials. Inducing new functional side chains on conducting polymer backbone is expected to obtain new class of materials with special sensing capability. Conducting polymer nanocomposites, especially nanofibers and nanotubes, are good sensing materials due to their high surface/volume ratio. Although the fabrications of these nanomaterials are more complicate than flat film, they can enhance the performance of gas sensors efficiently. Thus, synthesizing new nanocomposites is still a focus of future works in gas sensing field.
Acknowledgments
This work has been financially supported by National Natural Science Foundation of China (50533030, 90401011, 20604013) and 863 Project (2006AA03Z105).
References and Notes
- 1.Nylabder C., Armgrath M., Lundstrom I. An ammonia detector based on a conducting polymer. Proceedings of the International Meeting on Chemical Sensors; Fukuoka, Japan. 1983. pp. 203–207. [Google Scholar]
- 2.Dubbe A. Fundamentals of solid state ionic micro gas sensors. Sens. Actuators B. 2003;88:138–148. [Google Scholar]
- 3.Zakrzewska K. Mixed oxides as gas sensors. Thin Solid Films. 2001;391:229–238. [Google Scholar]
- 4.Timmer B., Olthuis W., van den Berg A. Ammonia sensors and their applications - a review. Sens. Actuators B. 2005;107:666–677. [Google Scholar]
- 5.Nicolas-Debarnot D., Poncin-Epaillard F. Polyaniline as a new sensitive layer for gas sensors. Anal. Chim. Acta. 2003;475:1–15. [Google Scholar]
- 6.Maksymiuk K. Chemical reactivity of polypyrrole and its relevance to polypyrrole based electrochemical sensors. Electroanalysis. 2006;18:1537–1551. [Google Scholar]
- 7.Ameer Q., Adeloju S.B. Polypyrrole-based electronic noses for environmental and industrial analysis. Sens. Actuators B. 2005;106:541–552. [Google Scholar]
- 8.MacDiarmid A.G. “Synthetic metals”: A novel role for organic polymers (Nobel lecture) Angew. Chem. Int. Edit. 2001;40:2581–2590. doi: 10.1002/1521-3773(20010716)40:14<2581::AID-ANIE2581>3.0.CO;2-2. [DOI] [PubMed] [Google Scholar]
- 9.Shi G.Q., Jin S., Xue G., Li C. A conducting polymer film stronger than aluminum. Science. 1995;267:994–996. doi: 10.1126/science.267.5200.994. [DOI] [PubMed] [Google Scholar]
- 10.Yang Z., Hu B., Karasz F.E. Polymer Electroluminescence Using Ac or Reverse Dc Biasing. Macromolecules. 1995;28:6151–6154. [Google Scholar]
- 11.Jung S.H., Kim H.K., Kim S.H., Kim Y.H., Jeoung S.C., Kim D. Palladium-catalyzed direct synthesis, photophysical properties, and tunable electroluminescence of novel silicon-based alternating copolymers. Macromolecules. 2000;33:9277–9288. [Google Scholar]
- 12.Gilch H.G., Wheelwright W.L. Polymerization of a-halogenated p-xylenes with base. J. Polym. Sci. A. 1966;4:1337–1349. [Google Scholar]
- 13.McCullough R.D. The chemistry of conducting polythiophenes. Adv. Mater. 1998;10:93–116. [Google Scholar]
- 14.The classification of film preparation method is from Ref. 5, and for film preparation of PAni, also see Ref. 5.
- 15.Lu G.W., Qu L.T., Shi G.Q. Electrochemical fabrication of neuron-type networks based on crystalline oligopyrene nanosheets. Electrochim. Acta. 2005;51:340–346. [Google Scholar]
- 16.Reemts J., Parisi J., Schlettwein D. Electrochemical growth of gas-sensitive polyaniline thin films across an insulating gap. Thin Solid Films. 2004;466:320–325. [Google Scholar]
- 17.McGovern S.T., Spinks G.M., Wallace G.G. Micro-humidity sensors based on a processable polyaniline blend. Sens. Actuators B. 2005;107:657–665. [Google Scholar]
- 18.Cho J.H., Yu J.B., Kim J.S., Sohn S.O., Lee D.D., Huh J.S. Sensing behaviors of polypyrrole sensor under humidity condition. Sens. Actuators B. 2005;108:389–392. [Google Scholar]
- 19.Brady S., Lau K.T., Megill W., Wallace G.G., Diamond D. The development and characterisation of conducting polymeric-based sensing devices. Synth. Met. 2005;154:25–28. [Google Scholar]
- 20.Silverstein M.S., Tai H.W., Sergienko A., Lumelsky Y.L., Pavlovsky S. PolyHIPE: IPNs, hybrids, nanoscale porosity, silica monoliths and ICP-based sensors. Polymer. 2005;46:6682–6694. [Google Scholar]
- 21.Prasad G.K., Radhakrishnan T.P., Kumar D.S., Krishna M.G. Ammonia sensing characteristics of thin film based on polyelectrolyte templated polyaniline. Sens. Actuators B. 2005;106:626–631. [Google Scholar]
- 22.Tongpool R., Yoriya S. Kinetics of nitrogen dioxide exposure in lead phthalocyanine sensors. Thin Solid Films. 2005;477:148–152. [Google Scholar]
- 23.Ram M.K., Yavuz O., Lahsangah V., Aldissi M. CO gas sensing from ultrathin nano-composite conducting polymer film. Sens. Actuators B. 2005;106:750–757. [Google Scholar]
- 24.Nohria R., Khillan R.K., Su Y., Dikshit R., Lvov Y., Varahramyan K. Humidity sensor based on ultrathin polyaniline film deposited using layer-by-layer nano-assembly. Sens. Actuators B. 2006;114:218–222. [Google Scholar]
- 25.Agbor N.E., Petty M.C., Monkman A.P. Polyaniline Thin-Films for Gas-Sensing. Sens. Actuators B. 1995;28:173–179. [Google Scholar]
- 26.Stussi E., Cella S., Serra G., Venier G.S. Fabrication of conducting polymer patterns for gas sensing by a dry technique. Mater. Sci. Eng. C-Biomimetic Mater. Sens. Syst. 1996;4:27–33. [Google Scholar]
- 27.Ruangchuay L., Sirivat A., Schwank J. Selective conductivity response of polypyrrole-based sensor on flammable chemicals. React. Funct. Polym. 2004;61:11–22. [Google Scholar]
- 28.Sandberg H.G.O., Backlund T.G., Osterbacka R., Jussila S., Makela T., Stubb H. Applications of an all-polymer solution-processed high-performance, transistor. Synth. Met. 2005;155:662–665. [Google Scholar]
- 29.Su M., Fu L., Wu N.Q., Aslam M., Dravid V.P. Individually addressed large-scale patterning of conducting polymers by localized electric fields. Appl. Phys. Lett. 2004;84:828–830. [Google Scholar]
- 30.Li G.F., Martinez C., Semancik S. Controlled electrophoretic patterning of polyaniline from a colloidal suspension. J. Am. Chem. Soc. 2005;127:4903–4909. doi: 10.1021/ja0441763. [DOI] [PubMed] [Google Scholar]
- 31.Mabrook M.F., Pearson C., Petty M.C. Inkjet-printed polypyrrole thin films for vapour sensing. Sens. Actuators B. 2006;115:547–551. [Google Scholar]
- 32.Athawale A.A., Kulkarni M.V. Polyaniline and its substituted derivatives as sensor for aliphatic alcohols. Sens. Actuators B. 2000;67:173–177. [Google Scholar]
- 33.Athawale A.A., Bhagwat S.V., Katre P.P. Nanocomposite of Pd-polyaniline as a selective methanol sensor. Sens. Actuators B. 2006;114:263–267. [Google Scholar]
- 34.Nguyen V.C., Potje-Kamloth K. Electrical and chemical sensing properties of doped polypyrrole/gold Schottky barrier diodes. Thin Solid Films. 1999;338:142–148. [Google Scholar]
- 35.Van C.N., Potje-Kamloth K. Electrical and NOx gas sensing properties of metallophthalocyanine-doped polypyrrole/silicon heterojunctions. Thin Solid Films. 2001;392:113–121. [Google Scholar]
- 36.Xie D., Jiang Y.D., Pan W., Li D., Wu Z.M., Li Y.R. Fabrication and characterization of polyaniline-based gas sensor by ultra-thin film technology. Sens. Actuators B. 2002;81:158–164. [Google Scholar]
- 37.Mello S.V., Dynarowicz-Latka P., Dhanabalan A., Bianchi R.F., Onmori R., Janssen R.A.J., Oliveira O.N. Langmuir and Langmuir-Blodgett films from the N-hexyl-pyrrole-thiophene (AB) semi-amphiphilic copolymer. Colloid Surf. A-Physicochem. Eng. Asp. 2002;198:45–51. [Google Scholar]
- 38.Bhat N.V., Gadre A.P., Bambole V.A. Investigation of electropolymerized polypyrrole composite film: Characterization and application to gas sensors. J. Appl. Polym. Sci. 2003;88:22–29. [Google Scholar]
- 39.An K.H., Jeong S.Y., Hwang H.R., Lee Y.H. Enhanced sensitivity of a gas sensor incorporating single-walled carbon nanotube-polypyrrole nanocomposites. Adv. Mater. 2004;16:1005–1009. [Google Scholar]
- 40.Li G.F., Josowicz M., Janata J., Semancik S. Effect of thermal excitation on intermolecular charge transfer efficiency in conducting polyaniline. Appl. Phys. Lett. 2004;85:1187–1189. [Google Scholar]
- 41.Elizalde-Torres J., Hu H.L., Garcia-Valenzuela A. NO2-induced optical absorbance changes in semiconductor polyaniline thin films. Sens. Actuators B. 2004;98:218–226. [Google Scholar]
- 42.Ram M.K., Yavuz O., Aldissi M. NO2 gas sensing based on ordered ultrathin films of conducting polymer and its nanocomposite. Synth. Met. 2005;151:77–84. [Google Scholar]
- 43.Bhat N.V., Gadre A.P., Bambole V.A. Structural, mechanical, and electrical properties of electropolymerized polypyrrole composite films. J. Appl. Polym. Sci. 2001;80:2511–2517. [Google Scholar]
- 44.Yoon H., Chang M., Jang J. Sensing behaviors of polypyrrole nanotubes prepared in reverse microemulsions: Effects of transducer size and transduction mechanism. J. Phys. Chem. B. 2006;110:14074–14077. doi: 10.1021/jp061423b. [DOI] [PubMed] [Google Scholar]
- 45.Saxena V., Choudhury S., Gadkari S.C., Gupta S.K., Yakhmi J.V. Room temperature operated ammonia gas sensor using polycarbazole Langmuir-Blodgett film. Sens. Actuators B. 2005;107:277–282. [Google Scholar]
- 46.Blackwood D., Josowicz M. Work function and spectroscopic studies of interactions between conducting polymers and organic vapors. J. Phys. Chem. 1991;95:493–502. [Google Scholar]
- 47.Dixit V., Misra S.C.K., Sharma B.S. Carbon monoxide sensitivity of vacuum deposited polyaniline semiconducting thin films. Sens. Actuators B. 2005;104:90–93. [Google Scholar]
- 48.Densakulprasert N., Wannatong L., Chotpattananont D., Hiamtup P., Sirivat A., Schwank J. Electrical conductivity of polyaniline/zeolite composites and synergetic interaction with CO. Mater. Sci. Eng. B-Solid State Mater. Adv. Technol. 2005;117:276–282. [Google Scholar]
- 49.Misra S.C.K., Mathur P., Srivastava B.K. Vacuum-deposited nanocrystalline polyaniline thin film sensors for detection of carbon monoxide. Sens. Actuators A. 2004;114:30–35. [Google Scholar]
- 50.Watcharaphalakorn S., Ruangchuay L., Chotpattahanont D., Sirivat A., Schwank J. Polyaniline/polyimide blends as gas sensors and electrical conductivity response to CO-N-2 mixtures. Polym. Int. 2005;54:1126–1133. [Google Scholar]
- 51.Anitha G., Subramanian E. Recognition and exposition of intermolecular interaction between CH2H2Cl2 and CHCl3 by conducting polyaniline materials. Sens. Actuators B. 2005;107:605–615. [Google Scholar]
- 52.Tongpool R. Effect of nitrogen dioxide and temperature on the properties of lead phthalocyanine in polypyrrole. Thin Solid Films. 2003;438:14–19. [Google Scholar]
- 53.Chyla A., Lewandowska A., Soloducho J., Gorecka-Drzazga A., Szablewski M. 4-t-butyl-CuPc-PODT molecular composite material for an effective gas sensor. IEEE Trns. Dielectr. Electr. Insul. 2001;8:559–565. [Google Scholar]
- 54.Suri K., Annapoorni S., Sarkar A.K., Tandon R.P. Gas and humidity sensors based on iron oxide-polypyrrole nanocomposites. Sens. Actuators B. 2002;81:277–282. [Google Scholar]
- 55.Torsi L., Pezzuto M., Siciliano P., Rella R., Sabbatini L., Valli L., Zambonin P.G. Conducting polymers doped with metallic inclusions: New materials for gas sensors. Sens. Actuators B. 1998;48:362–367. [Google Scholar]
- 56.Yang J.S., Swager T.M. Fluorescent porous polymer films as TNT chemosensors: Electronic and structural effects. J. Am. Chem. Soc. 1998;120:11864–11873. [Google Scholar]
- 57.Toal S.J., Trogler W.C. Polymer sensors for nitroaromatic explosives detection. J. Mater. Chem. 2006;16:2871–2883. [Google Scholar]
- 58.Jin Z., Su Y.X., Duan Y.X. Development of a polyaniline-based optical ammonia sensor. Sens. Actuators B. 2001;72:75–79. [Google Scholar]
- 59.Nicho M.E., Trejo M., Garcia-Valenzuela A., Saniger J.M., Palacios J., Hu H. Polyaniline composite coatings interrogated by a nulling optical-transmittance bridge for sensing low concentrations of ammonia gas. Sens. Actuators B. 2001;76:18–24. [Google Scholar]
- 60.Hu H., Trejo M., Nicho M.E., Saniger J.M., Garcia-Valenzuela A. Adsorption kinetics of optochemical NH3 gas sensing with semiconductor polyaniline films. Sens. Actuators B. 2002;82:14–23. [Google Scholar]
- 61.Bekyarova E., Davis M., Burch T., Itkis M.E., Zhao B., Sunshine S., Haddon R.C. Chemically functionalized single-walled carbon nanotubes as ammonia sensors. J. Phys. Chem. B. 2004;108:19717–19720. [Google Scholar]
- 62.Hong K.H., Oh K.W., Kang T.J. Polyaniline-nylon 6 composite fabric for ammonia gas sensor. J. Appl. Polym. Sci. 2004;92:37–42. [Google Scholar]
- 63.Liu H.Q., Kameoka J., Czaplewski D.A., Craighead H.G. Polymeric nanowire chemical sensor. Nano. Lett. 2004;4:671–675. [Google Scholar]
- 64.Virji S., Huang J.X., Kaner R.B., Weiller B.H. Polyaniline nanofiber gas sensors: Examination of response mechanisms. Nano Lett. 2004;4:491–496. [Google Scholar]
- 65.Hao Q.L., Wang X., Lu L.D., Yang X.J., Mirsky V.M. Electropolymerized multilayer conducting polymers with response to gaseous hydrogen chloride. Macromol. Rapid. Commun. 2005;26:1099–1103. [Google Scholar]
- 66.Virji S., Fowler J.D., Baker C.O., Huang J.X., Kaner R.B., Weiller B.H. Polyaniline manofiber composites with metal salts: Chemical sensors for hydrogen sulfide. Small. 2005;1:624–627. doi: 10.1002/smll.200400155. [DOI] [PubMed] [Google Scholar]
- 67.Ogura K., Shiigi H. A CO2 sensing composite film consisting of base-type polyaniline and poly(vinyl alcohol) Electrochem. Solid State Lett. 1999;2:478–480. [Google Scholar]
- 68.Ogura K., Shiigi H., Oho T., Tonosaki T. A CO2 sensor with polymer composites operating at ordinary temperature. J. Electrochem. Soc. 2000;147:4351–4355. [Google Scholar]
- 69.Jain S., Chakane S., Samui A.B., Krishnamurthy V.N., Bhoraskar S.V. Humidity sensing with weak acid-doped polyaniline and its composites. Sens. Actuators B. 2003;96:124–129. [Google Scholar]
- 70.Virji S., Kaner R.B., Weiller B.H. Hydrogen sensors based on conductivity changes in polyaniline nanofibers. J. Phys. Chem. B. 2006;110:22266–22270. doi: 10.1021/jp063166g. [DOI] [PubMed] [Google Scholar]
- 71.Krivan E., Visy C., Dobay R., Harsanyi G., Berkesi O. Irregular response of the polypyrrole films to H2S. Electroanalysis. 2000;12:1195–1200. [Google Scholar]
- 72.Geng L., Wang S.R., Zhao Y.Q., Li P., Zhang S.M., Huang W.P., Wu S.H. Study of the primary sensitivity of polypyrrole/r-Fe2O3 to toxic gases. Mater. Chem. Phys. 2006;99:15–19. [Google Scholar]
- 73.Gustafsson G., Lundrom I., Liedberg B., Wu C.R., Inganas O., Wennerstom O. The interaction between ammonia and polypyrrole. Synth. Met. 1989;31:163. [Google Scholar]
- 74.Guernion N., Ewen R.J., Pihlainen K., Ratcliffe N.M., Teare G.C. The fabrication and characterisation of a highly sensitive polypyrrole sensor and its electrical responses to amines of differing basicity at high humidities. Synth. Met. 2002;126:301–310. [Google Scholar]
- 75.Kemp N.T., Kaiser A.B., Trodahl H.J., Chapman B., Buckley R.G., Partridge A.C., Foot P.J.S. Effect of ammonia on the temperature-dependent conductivity and thermopower of polypyrrole. J. Polym. Sci. B. 2006;44:1331–1338. [Google Scholar]
- 76.Chabukswar V.V., Pethkar S., Athawale A.A. Acrylic acid doped polyaniline as an ammonia sensor. Sens. Actuators B. 2001;77:657–663. [Google Scholar]
- 77.Mohammad F. Compensation behaviour of electrically conductive polythiophene and polypyrrole. J. Phys. D: Appl. Phys. 1998;31:951–959. [Google Scholar]
- 78.Jung H.S., Shimanouchi T., Morita S., Kuboi R. Novel fabrication of conductive polymers contained micro-array gas sensitive films using a micromanipulation method. Electroanalysis. 2003;15:1453–1459. [Google Scholar]
- 79.Ewbank P.C., Loewe R.S., Zhai L., Reddinger J., Sauve G., McCullough R.D. Regioregular poly(thiophene-3-alkanoic acid)s: water soluble conducting polymers suitable for chromatic chemosensing in solution and soild state. Tetrahedron. 2004;60:11269–11275. [Google Scholar]
- 80.English J.T., Deore B.A., Freund M.S. Biogenic amine vapour detection using poly(anilineboronic acid) films. Sens. Actuators B. 2006;115:666–671. [Google Scholar]
- 81.Gardner J.W., Bartlett P.N., Pratt K.F.E. Modeling of Gas-Sensitive Conducting Polymer Devices. Iee Proceedings-Circuits Devices and Systems. 1995;142:321–333. [Google Scholar]
- 82.Gardner J.W., Bartlett P.N. Design of conducting polymer gas sensors: modeling and experiment. Synth. Met. 1994;57:2665–2670. [Google Scholar]
- 83.Bartlett P.N., Gardner J.W. Diffusion and binding of molecules to sites within homogeneous thin films. Philosophical Transactions of the Royal Society of London, Series A: Mathematical, Physical and Engineering Sciences. 1996;354:35–57. [Google Scholar]
- 84.Lin C.W., Hwang B.J., Lee C.R. Characteristics and sensing behavior of electrochemically codeposited polypyrrole-poly(vinyl alcohol) thin film exposed to ethanol vapors. J. Appl. Polym. Sci. 1999;73:2079–2087. [Google Scholar]
- 85.Hwang B.J., Yang J.Y., Lin C.W. A microscopic gas-sensing model for ethanol sensors based on conductive polymer composites from polypyrrole and poly(ethylene oxide) J. Electrochem. Soc. 1999;146:1231–1236. [Google Scholar]
- 86.Lin C.W., Liu S.S., Hwang B.J. Study of the actions of BTEX compounds on polypyrrole film as a gas sensor. J. Appl. Polym. Sci. 2001;82:954–961. [Google Scholar]
- 87.Charlesworth J.M., Partridge A.C., N. G. Mechanistic studies on the interactions between poly(pyrrole) and organic vapors. J. Phys. Chem. 1993;97:4518–5423. [Google Scholar]
- 88.Bissell R.A., Persaud K.C., Travers P. The influence of non-specific molecular partitioning of analytes on the electrical responses of conducting organic polymer gas sensors. Phys. Chem. Chem. Phys. 2002;4:3482–3490. [Google Scholar]
- 89.Littlewood A.B. Gas Chromatography. Academic Press; New York: 1970. pp. 44–121. [Google Scholar]
- 90.Deng Z.P., Stone D.C., Thompson M. Characterization of polymer films of pyrrole derivatives for chemical sensing by cyclic voltammetry, X-ray photoelectron spectroscopy and vapour sorption studies. Analyst. 1997;122:1129–1138. doi: 10.1039/a703165c. [DOI] [PubMed] [Google Scholar]
- 91.Chen Z.K., Ng S.C., Li S.F.Y., Zhong L., Xu L.G., Chan H.S.O. The fabrication and evaluation of a vapour sensor based on quartz crystal microbalance coated with poly(o-anisidine) Langmuir-Blodgett layers. Synth. Met. 1997;87:201–204. [Google Scholar]
- 92.Appel G., Mikalo R., Henkel K., Oprea A., Yfantis A., Paloumpa I., Schmeisser D. Polymeric electrodes. Solid-State Electron. 2000;44:855–861. [Google Scholar]
- 93.Rizzo S., Sannicolo F., Benincori T., Schiavon G., Zecchin S., Zotti G. Calix[4]arene-functionalized poly-cyclopenta[2,1-b;3,4-b ′]bithiophenes with good recognition ability and selectivity for small organic molecules for application in QCM-based sensors. J. Mater. Chem. 2004;14:1804–1811. [Google Scholar]
- 94.Mirmohseni A., Rostamizadeh K. Quartz crystal nanobalance in conjunction with principal component analysis for identification of volatile organic compounds. Sensors. 2006;6:324–334. [Google Scholar]
- 95.Vercelli B., Zecchin S., Comisso N., Zotti G., Berlin A., Dalcanale E., Groenendaal L.B. Solvoconductivity of polyconjugated polymers: The roles of polymer oxidation degree and solvent electrical permittivity. Chem. Mater. 2002;14:4768–4774. [Google Scholar]
- 96.Paterno L.G., Mattoso L.H.C. Influence of different dopants on the adsorption, morphology, and properties of self-assembled films of poly(o-ethoxyaniline) J. Appl. Polym. Sci. 2002;83:1309–1316. [Google Scholar]
- 97.Hosseini S.H., Entezami A.A. Chemical and electrochemical synthesis of conducting graft copolymer of vinyl acetate with pyrrole and studies of its gas and vapor sensing. J. Appl. Polym. Sci. 2003;90:40–48. [Google Scholar]
- 98.Nigorikawa K., Kunugi Y., Harima Y., Yamashita K. A Selective Gas Sensor Using a Polypyrrole Thin-Film as a Sensitive Matrix on a Piezoelectric Crystal. J. Electroanal. Chem. 1995;396:563–567. [Google Scholar]
- 99.Hwang B.J., Yang J.Y., Lin C.W. Recognition of alcohol vapor molecules by simultaneous measurements of resistance changes on polypyrrole-based composite thin films and mass changes on a piezoelectric crystal. Sens. Actuators B. 2001;75:67–75. [Google Scholar]
- 100.Torsi L., Tanese M.C., Cioffi N., Gallazzi M.C., Sabbatini L., Zambonin P.G. Alkoxy-substituted polyterthiophene thin-film-transistors as alcohol sensors. Sens. Actuators B. 2004;98:204–207. [Google Scholar]
- 101.Sharma S., Nirkhe C., Pethkar S., Athawale A.A. Chloroform vapour sensor based on copper/polyaniline nanocomposite. Sens. Actuators B. 2002;85:131–136. [Google Scholar]
- 102.Lee Y.S., Joo B.S., Choi N.J., Lim J.O., Huh J.S., Lee D.D. Visible optical sensing of ammonia based on polyaniline film. Sens. Actuators B. 2003;93:148–152. [Google Scholar]
- 103.Segal E., Tchoudakov R., Narkis M., Siegmann A. Thermoplastic polyurethane-carbon black compounds: Structure, electrical conductivity and sensing of liquids. Polym. Eng. Sci. 2002;42:2430–2439. [Google Scholar]
- 104.Segal E., Tchoudakov R., Narkis M., Siegmann A., Wei Y. Polystyrene/polyaniline nanoblends for sensing of aliphatic alcohols. Sens. Actuators B. 2005;104:140–150. [Google Scholar]
- 105.Sakurai Y., Jung H.S., Shimanouchi T., Inoguchi T., Morita S., Kuboi R., Natsukawa K. Novel array-type gas sensors using conducting polymers, and their performance for gas identification. Sens. Actuators B. 2002;83:270–275. [Google Scholar]
- 106.Ruangchuay L., Sirivat A., Schwank J. Polypyrrole/poly(methylmethacrylate) blend as selective sensor for acetone in lacquer. Talanta. 2003;60:25–30. doi: 10.1016/S0039-9140(03)00061-4. [DOI] [PubMed] [Google Scholar]
- 107.Matsubara I., Hosono K., Murayama N., Shin W., Izu N. Synthesis and gas sensing properties of polypyrrole/MoO3-layered nanohybrids. Bull. Chem. Soc. Jpn. 2004;77:1231–1237. [Google Scholar]
- 108.Hosono K., Matsubara I., Murayama N., Shin W., Izu N. The sensitivity of 4-ethylbenzenesulfonic acid-doped plasma polymerized polypyrrole films to volatile organic compounds. Thin Solid Films. 2005;484:396–399. [Google Scholar]
- 109.Chang J.B., Liu V., Subramanian V., Sivula K., Luscombe C., Murphy A., Liu J.S., Frechet J.M.J. Printable polythiophene gas sensor array for low-cost electronic noses. J. Appl. Phys. 2006:100. [Google Scholar]
- 110.Torsi L., Tafuri A., Cioffi N., Gallazzi M.C., Sassella A., Sabbatini L., Zambonin P.G. Regioregular polythiophene field-effect transistors employed as chemical sensors. Sens. Actuators B. 2003;93:257–262. [Google Scholar]
- 111.Hosseini S.H., Entezami A.A. Conducting polymer blends of polypyrrole with polyvinyl acetate, polystyrene, and polyvinyl chloride based toxic gas sensors. J. Appl. Polym. Sci. 2003;90:49–62. [Google Scholar]
- 112.Ruangchuay L., Sirivat A., Schwank J. Electrical conductivity response of polypyrrole to acetone vapor: effect of dopant anions and interaction mechanisms. Synth. Met. 2004;140:15–21. [Google Scholar]
- 113.Tan C.K., Blackwood D.J. Interactions between polyaniline and methanol vapour. Sens. Actuators B. 2000;71:184–191. [Google Scholar]
- 114.Costello B.P.J.D., Ratcliffe N.M., Sivanand P.S. The synthesis of novel 3-substituted pyrrole monomers possessing chiral side groups: a study of their chemical polymerisation and the assessment of their chiral discrimination properties. Synth. Met. 2003;139:43–55. [Google Scholar]
- 115.Svetlicic V., Schmidt A.J., Miller L.L. Conductometric sensors based on the hypersensitive response of plasticized polyaniline films to organic vapors. Chem. Mater. 1998;10:3305–3307. [Google Scholar]
- 116.Miller L.L., Bankers J.S., Schmidt A.J., Boyd D.C. Organic vapors, organic polymers and electrical conductivity. J. Phys. Org. Chem. 2000;13:808–815. [Google Scholar]
- 117.Ogura K., Shiigi H., Nakayama M., Ogawa A. Thermal properties of poly(anthranilic acid) (PANA) and humidity-sensitive composites derived from heat-treated PANA and poly(vinyl alcohol) J. Polym. Sci. A. 1999;37:4458–4465. [Google Scholar]
- 118.Ogura K., Saino T., Nakayama M., Shiigi H. The humidity dependence of the electrical conductivity of a soluble polyaniline-poly(vinyl alcohol) composite film. J. Mater. Chem. 1997;7:2363–2366. [Google Scholar]
- 119.Kang H.S., Kang H.S., Lee J.K., Lee J.W., Joo J., Ko J.M., Kim M.S., Lee J.Y. Humidity-dependent characteristics of thin film poly(3,4-ethylenedioxythiophene) field-effect transistor. Synth. Met. 2005;155:176–179. [Google Scholar]
- 120.Adam H., Stanislaw G., Folke I. Chemical sensors definitions and classification. Pure Appl. Chem. 1991;63:1274–1250. [Google Scholar]
- 121.Nylabder C. Chemical and biological sensors. J. Phys. E: Sci. Instrum. 1985;18:736–750. [Google Scholar]
- 122.Lavrik N.V., DeRossi D., Kazantseva Z.I., Nabok A.V., Nesterenko B.A., Piletsky S.A., Kalchenko V.I., Shivaniuk A.N., Markovskiy L.N. Composite polyaniline/calixarene Langmuir-Blodgett films for gas sensing. Nanotechnology. 1996;7:315–319. [Google Scholar]
- 123.Bearzotti A., Foglietti V., Polzonetti G., Iucci G., Furlani A., Russo M.V. Investigations on the response to humidity of an interdigitated electrode structure coated with iodine doped polyphenylacetylene. Mater. Sci. Eng. B-Solid State Mater. Adv. Technol. 1996;40:1–4. [Google Scholar]
- 124.Penza M., Milella E., Alba M.B., Quirini A., Vasanelli L. Selective NH3 gas sensor based on Langmuir-Blodgett polypyrrole film. Sens. Actuators B. 1997;40:205–209. [Google Scholar]
- 125.Dobay R., Harsanyi G., Visy C. Conducting polymer based electrochemical sensors on thick film substrate. Electroanalysis. 1999;11:804–808. [Google Scholar]
- 126.Jin G., Too C.O., Norrish J., Wallace G.G. Directed electrochemical deposition of conducting polymer filament on screen-printed array. Synth. Met. 2003;135:29–30. [Google Scholar]
- 127.Santhanam K.S.V., Sangoi R., Fuller L. A chemical sensor for chloromethanes using a nanocomposite of multiwalled carbon nanotubes with poly(3-methylthiophene) Sens. Actuators B. 2005;106:766–771. [Google Scholar]
- 128.Janata J., Josowicz M. Conducting polymers in electronic chemical sensors. Nat. Mater. 2003;2:19–24. doi: 10.1038/nmat768. [DOI] [PubMed] [Google Scholar]
- 129.Liu D.M., AguilarHernandez J., PotjeKamloth K., Liess H.D. A new carbon monoxide sensor using a polypyrrole film grown on an interdigital-capacitor substrate. Sens. Actuators B. 1997;41:203–206. [Google Scholar]
- 130.Janata J. Electrochemical microsensors. Proc. IEEE. 2003;91:864–869. [Google Scholar]
- 131.Chen H., Josowicz M., Janatax J. Chemical effects in organic electronics. Chem. Mater. 2004;16:4728–4735. [Google Scholar]
- 132.Hao Q.L., Kulikov V., Mirsky V.A. Investigation of contact and bulk resistance of conducting polymers by simultaneous two- and four-point technique. Sens. Actuators B. 2003;94:352–357. [Google Scholar]
- 133.Krondak M., Broncova G., Anikin S., Merz A., Mirsky V.M. Chemosensitive properties of poly-4,4′-dialkoxy-2,2′-bipyrroles. J. Solid State Electrochem. 2006;10:185–191. [Google Scholar]
- 134.Li G.F., Martinez C., Janata J., Smith J.A., Josowicz M., Semancik S. Effect of morphology on the response of polyaniline-based conductometric gas sensors: Nanofibers vs. thin films. Electrochem. Solid State Lett. 2004;7:H44–H47. [Google Scholar]
- 135.Musio F., Ferrara M.C. Low frequency a.c. response of polypyrrole gas sensors. Sens. Actuators B. 1997;41:97–103. [Google Scholar]
- 136.Harris P.D., Arnold W.M., Andrews M.K., Partridge A.C. Resistance characteristics of conducting polymer films used in gas sensors. Sens. Actuators B. 1997;42:177–184. [Google Scholar]
- 137.Musio F., Amrani M.E.H., Persaud K.C. High-Frequency Ac Investigation of Conducting Polymer Gas Sensors. Sens. Actuators B. 1995;23:223–226. [Google Scholar]
- 138.Amrani M.E.H., Persaud K.C., Payne P.A. High-Frequency Measurements of Conducting Polymers - Development of a New Technique for Sensing Volatile Chemicals. Meas. Sci. Technol. 1995;6:1500–1507. [Google Scholar]
- 139.Amrani M.E.H., Payne P.A. Multi-frequency interrogation technique applied to conducting polymer gas and odour sensors. IEE Proc.-Sci. Meas. Technol. 1999;146:95–101. [Google Scholar]
- 140.Mabeck J.T., Malliaras G.G. Chemical and biological sensors based on organic thin-film transistors. Anal. Bioanal. Chem. 2006;384:343–353. doi: 10.1007/s00216-005-3390-2. [DOI] [PubMed] [Google Scholar]
- 141.Dimitrakopoulos C.D., Mascaro D.J. Organic thin-film transistors: A review of recent advances. IBM J. Res. Dev. 2001;45:11–27. [Google Scholar]
- 142.Janata J., Josowicz M. Chemical modulation of work function as a transduction mechanism for chemical sensors. Accounts of Chemical Research. 1998;31:241–248. [Google Scholar]
- 143.Liess M., Chinn D., Petelenz D., Janata J. Properties of insulated gate field-effect transistors with a polyaniline gate electrode. Thin Solid Films. 1996;286:252–255. [Google Scholar]
- 144.Barker P.S., Monkman A.P., Petty M.C., Pride R. A polyaniline/silicon hybrid field effect transistor humidity sensor. Synth. Met. 1997;85:1365–1366. [Google Scholar]
- 145.Barker P.S., Monkman A.P., Petty M.C., Pride R. Electrical characteristics of a polyaniline/silicon hybrid field-effect transistor gas sensor. Iee Proceedings-Circuits Devices and Systems. 1997;144:111–116. [Google Scholar]
- 146.Domansky K., Baldwin D.L., Grate J.W., Hall T.B., Li J., Josowicz M., Janata J. Development and calibration of field-effect transistor-based sensor array for measurement of hydrogen and ammonia gas mixtures in humid air. Anal. Chem. 1998;70:473–481. doi: 10.1021/ac970427x. [DOI] [PubMed] [Google Scholar]
- 147.Meijerink M.G.H., Koudelka-Hep M., de Rooij N.F., Strike D.J., Hendrikse J., Olthuis W., Bergveld P. Gas-dependent field effect transistor with an electrodeposited conducting polymer gate contact. Electrochem. Solid State Lett. 1999;2:138–139. [Google Scholar]
- 148.Covington J.A., Gardner J.W., Briand D., de Rooij N.F. A polymer gate FET sensor array for detecting organic vapours. Sens. Actuators B. 2001;77:155–162. [Google Scholar]
- 149.Bufon C.C.B., Heinzel T. Polypyrrole thin-film field-effect transistor. Appl. Phys. Lett. 2006:89. [Google Scholar]
- 150.Tuyen L.T.T., PotjeKamloth K., Liess H.D. Electrical properties of doped polypyrrole/silicon heterojunction diodes and their response to NOx gas. Thin Solid Films. 1997;292:293–298. [Google Scholar]
- 151.Laranjeira J.M.G., Khoury H.J., de Azevedo W.M., da Silva E.F., de Vasconcelos E.A. Fabrication of high quality silicon-polyaniline heterojunctions. Appl. Surf. Sci. 2002;190:390–394. [Google Scholar]
- 152.Pinto N.J., Gonzalez R., Johnson A.T., MacDiarmid A.G. Electrospun hybrid organic/inorganic semiconductor Schottky nanodiode. Appl. Phys. Lett. 2006:89. [Google Scholar]
- 153.Campos M., Bulhoes L.O.S., Lindino C.A. Gas-sensitive characteristics of metal/semiconductor polymer Schottky device. Sens. Actuators A. 2000;87:67–71. [Google Scholar]
- 154.Van C.N., Potje-Kamloth K. The influence of thickness and preparation temperature of doped polypyrrole films on the electrical and chemical sensing properties of polypyrrole/gold Schottky barrier diodes. J. Phys. D: Appl. Phys. 2000;33:2230–2238. [Google Scholar]
- 155.Brédas J.L., Scott J.C., Yakushi K., Street G.B. Polarons and bipolarons in polypyrrole: Evolution of the band structure and optical spectrum upon doing. Physical Review B. 1984;30:1023. [Google Scholar]
- 156.Inaoka S., Collard D.M. Chemical and electrochemical polymerization of 3-alkylthiophenes on self-assembled monolayers of oligothiophene-substituted alkylsilanes. Langmuir. 1999;15:3752–3758. [Google Scholar]
- 157.Gallazzi M.C., Tassoni L., Bertarelli C., Pioggia G., Di Francesco F., Montoneri E. Poly(alkoxy-bithiophenes) sensors for organic vapours. Sens. Actuators B. 2003;88:178–189. [Google Scholar]
- 158.Christie S., Scorsone E., Persaud K., Kvasnik F. Remote detection of gaseous ammonia using the near infrared transmission properties of polyaniline. Sens. Actuators B. 2003;90:163–169. [Google Scholar]
- 159.Yuan J.M., El-Sherif M.A. Fiber-optic chemical sensor using polyaniline as modified cladding material. IEEE Sens. J. 2003;3:5–12. [Google Scholar]
- 160.Cao W.Q., Duan Y.X. Optical fiber-based evanescent ammonia sensor. Sens. Actuators B. 2005;110:252–259. [Google Scholar]
- 161.Bansal L., El-Sherif M. Intrinsic optical-fiber sensor for nerve agent sensing. IEEE Sens. J. 2005;5:648–655. [Google Scholar]
- 162.Agbor N.E., Cresswell J.P., Petty M.C., Monkman A.P. An optical gas sensor based on polyaniline Langmuir-Blodgett films. Sens. Actuators B. 1997;41:137–141. [Google Scholar]
- 163.Sih B.C., Wolf M.O., Jarvis D., Young J.F. Surface-plasmon resonance sensing of alcohol with electrodeposited polythiophene and gold nanoparticle-oligothiophene films. J. Appl. Phys. 2005:98. [Google Scholar]
- 164.Chang S.M., Muramatsu H., Nakamura C., Miyake J. The principle and applications of piezoelectric crystal sensors. Mater. Sci. Eng. C-Biomimetic Supramol. Syst. 2000;12:111–123. [Google Scholar]
- 165.Sauerbrey G. Verwendung von Schwingquarzen zur Wägung dünner Schichten und zur Mikrowägung. Z. Phys. 1959;155:206–222. [Google Scholar]
- 166.Kim S.R., Choi S.A., Kim J.D., Kim K.J., Lee C., Rhee S.B. Preparation of Polythiophene Lb Films and Their Gas Sensitivities by the Quartz-Crystal Microbalance. Synth. Met. 1995;71:2027–2028. [Google Scholar]
- 167.Syritski V., Reut J., Opik A., Idla K. Environmental QCM sensors coated with polypyrrole. Synth. Met. 1999;102:1326–1327. [Google Scholar]
- 168.Torsi L., Tanese M.C., Cioffi N., Gallazzi M.C., Sabbatini L., Zambonin P.G., Raos G., Meille S.V., Giangregorio M.M. Side-chain role in chemically sensing conducting polymer field-effect transistors. J. Phys. Chem. B. 2003;107:7589–7594. [Google Scholar]
- 169.Henkel K., Oprea A., Paloumpa I., Appel G., Schmeisser D., Kamieth P. Selective polypyrrole electrodes for quartz microbalances: NO2 and gas flux sensitivities. Sens. Actuators B. 2001;76:124–129. [Google Scholar]
- 170.Penza M., Milella E., Anisimkin V.I. Gas sensing properties of Langmuir-Blodgett polypyrrole film investigated by surface acoustic waves. IEEE Trans. Ultrason. Ferroelectr. Freq. Control. 1998;45:1125–1132. doi: 10.1109/58.726434. [DOI] [PubMed] [Google Scholar]
- 171.Penza M., Milella E., Anisimkin V.I. Monitoring of NH3 gas by LB polypyrrole-based SAW sensor. Sens. Actuators B. 1998;47:218–224. [Google Scholar]
- 172.Milella E., Penza M. SAW gas detection using Langmuir-Blodgett polypyrrole films. Thin Solid Films. 1998;329:694–697. [Google Scholar]
- 173.Do J.S., Chang W.B. Amperometric nitrogen dioxide gas sensor: preparation of PAn/Au/SPE and sensing behaviour. Sens. Actuators B. 2001;72:101–107. [Google Scholar]
- 174.Diab N., Schuhmann W. Electropolymerized manganese porphyrin/polypyrrole films as catalytic surfaces for the oxidation of nitric oxide. Electrochim. Acta. 2001;47:265–273. [Google Scholar]
- 175.Liu Y.C., Hwang B.J., Hsu W.C. Characteristics of Pd/Nafion oxygen sensor modified with polypyrrole by chemical vapor deposition. J. Solid State Electrochem. 2002;6:351–356. [Google Scholar]
- 176.Guernion N., Costello B.P.J.D., Ratcliffe N.M. The synthesis of 3-octadecyl- and 3-docosylpyrrole, their polymerisation and incorporation into novel composite gas sensitive resistors. Synth. Met. 2002;128:139–147. [Google Scholar]
- 177.Park Y.H., Kim S.J., Lee J.Y. Preparation and characterization of electroconductive polypyrrole copolymer Langmuir-Blodgett films. Thin Solid Films. 2003;425:233–238. [Google Scholar]
- 178.Valentini L., Bavastrello V., Stura E., Armentano I., Nicolini C., Kenny J.M. Sensors for inorganic vapor detection based on carbon nanotubes and poly(o-anisidine) nanocomposite material. Chem. Phys. Lett. 2004;383:617–622. [Google Scholar]
- 179.Stella R., Barisci J.N., Serra G., Wallace G.G., De Rossi D. Characterisation of olive oil by an electronic nose based on conducting polymer sensors. Sens. Actuators B. 2000;63:1–9. [Google Scholar]
- 180.Kondratowicz B., Narayanaswamy R., Persaud K.C. An investigation into the use of electrochromic polymers in optical fibre gas sensors. Sens. Actuators B. 2001;74:138–144. [Google Scholar]
- 181.Schottland P., Bouguettaya M., Chevrot C. Soluble polythiophene derivatives for NO2 sensing applications. Synth. Met. 1999;102:1325–1325. [Google Scholar]
- 182.Li B., Sauve G., Iovu M.C., Jeffries-El M., Zhang R., Cooper J., Santhanam S., Schultz L., Revelli J.C., Kusne A.G., Kowalewski T., Snyder J.L., Weiss L.E., Fedder G.K., McCullough R.D., Lambeth D.N. Volatile organic compound detection using nanostructured copolymers. Nano Lett. 2006;6:1598–1602. doi: 10.1021/nl060498o. [DOI] [PubMed] [Google Scholar]
- 183.Kawai T., Kojima S., Tanaka F., Yoshino K. Electrical property of poly(3-octyloxythiophene) and its gas sensor application. Japanese Journal of Applied Physics Part 1-Regular Papers Short Notes & Review Papers. 1998;37:6237–6241. [Google Scholar]
- 184.Tanaka F., Kawai T., Kojima S., Yoshino K. Electrical and optical properties of poly(3-alkoxythiophene) and their application for gas sensor. Synth. Met. 1999;102:1358–1359. [Google Scholar]
- 185.Hosseini S.H., Entezami A.A. Chemical and electrochemical synthesis of homopolymer and copolymers of 3-methoxyethoxythiophene with aniline, thiophene and pyrrole for studies of their gas and vapour sensing. Polym. Adv. Technol. 2001;12:524–534. [Google Scholar]
- 186.Rella R., Siciliano P., Toscano G., Valli L., Schenetti L., Mucci A., Iarossi D. Langmuir-Blodgett films of poly[3-(butylthio)thiophene]: optical properties and electrical measurements in controlled atmosphere. Sens. Actuators B. 1999;57:125–129. [Google Scholar]
- 187.Schottland P., Fichet O., Teyssie D., Chevrot C. Langmuir-Blodgett films of an alkoxy derivative of poly(3,4-ethylenedioxythiophene) Synth. Met. 1999;101:7–8. [Google Scholar]
- 188.Quartarone E., Mustarelli P., Magistris A., Russo M.V., Fratoddi I., Furlani A. Investigations by impedance spectroscopy on the behaviour of poly(N,N-dimethylpropargylamine) as humidity sensor. Solid State Ion. 2000;136:667–670. [Google Scholar]
- 189.Bearzotti A., Fratoddi I., Palummo L., Petrocco S., Furlani A., Lo Sterzo C., Russo M.V. Highly ethynylated polymers: synthesis and applications for humidity sensors. Sens. Actuators B. 2001;76:316–321. [Google Scholar]
- 190.Brie M., Turcu R., Neamtu C., Pruneanu S. The effect of initial conductivity and doping anions on gas sensitivity of conducting polypyrrole films to NH3. Sens. Actuators B. 1996;37:119–122. [Google Scholar]
- 191.Anitha G., Subramanian E. Dopant induced specificity in sensor behaviour of conducting polyaniline materials with organic solvents. Sens. Actuators B. 2003;92:49–59. [Google Scholar]
- 192.de Souza J.E.G., dos Santos F.L., Barros-Neto B., dos Santos C.G., de Melo C.P. Polypyrrole thin films gas sensors. Synth. Met. 2001;119:383–384. [Google Scholar]
- 193.Xu K., Zhu L.H., Li J., Tang H.Q. Effects of dopants on percolation behaviors and gas sensing characteristics of polyaniline film. Electrochim. Acta. 2006;52:723–727. [Google Scholar]
- 194.Freund M.S., Lewis N.S. A Chemically Diverse Conducting Polymer-Based Electronic Nose. Proc. Natl. Acad. Sci. U. S. A. 1995;92:2652–2656. doi: 10.1073/pnas.92.7.2652. [DOI] [PMC free article] [PubMed] [Google Scholar]
- 195.Unde S., Ganu J., Radhakrishnan S. Conducting polymer-based chemical sensor: Characteristics and evaluation of polyaniline composite films. Adv. Mater. Opt. Electron. 1996;6:151–157. [Google Scholar]
- 196.Lin C.W., Hwang B.J., Lee C.R. Methanol sensors based on the conductive polymer composites from polypyrrole and poly(vinyl alcohol) Mater. Chem. Phys. 1998;55:139–144. [Google Scholar]
- 197.Bhat N., Geetha P., Pawde S. Preparation and characterization of composites of polypyrrole. Polym. Eng. Sci. 1999;39:1517–1524. [Google Scholar]
- 198.Bouchtalla S., Auret L., Janot J.M., Deronzier A., Moutet J.C., Seta P. [60]Fullerene immobilized in a thin functionalized polypyrrole film. Basic principles for the elaboration of an oxygen sensor. Mater. Sci. Eng. C-Biomimetic Supramol. Syst. 2002;21:125–129. [Google Scholar]
- 199.Liu Y.C., Hwang B.J., Hsu W.C. Improvement in anti-aging of metallized Nafion (R) hydrogen sensors modified by chemical vapor deposition of polypyrrole. Sens. Actuators B. 2002;87:304–308. [Google Scholar]
- 200.Liu Y.C., Hwang B.J., Chen Y.L. Nafion based hydrogen sensors: Pt/Naflon electrodes prepared by Takenata-Torikai method and modified with polypyrrole. Electroanalysis. 2002;14:556–558. [Google Scholar]
- 201.Brezoi D.V., Ion R.M. Phase evolution induced by polypyrrole in iron oxide-polypyrrole nanocomposite. Sens. Actuators B. 2005;109:171–175. [Google Scholar]
- 202.Geng L.N., Huang X.L., Zhao Y.Q., Li P., Wang S.R., Zhang S.M., Wu S.H. H2S sensitivity study of polypyrrole/WO3 materials. Solid-State Electron. 2006;50:723–726. [Google Scholar]
- 203.Geng L.N., Zhao Y.Q., Huang X.L., Wang S.R., Zhang S.M., Huang W.P., Wu S.H. The preparation and gas sensitivity study of polypyrrole/zinc oxide. Synth. Met. 2006;156:1078–1082. [Google Scholar]
- 204.Matsuguchi M., Io J., Sugiyama G., Sakai Y. Effect of NH3 gas on the electrical conductivity of polyaniline blend films. Synth. Met. 2002;128:15–19. [Google Scholar]
- 205.Matsuguchi M., Okamoto A., Sakai Y. Effect of humidity on NH3 gas sensitivity of polyaniline blend films. Sens. Actuators B. 2003;94:46–52. [Google Scholar]
- 206.Kim J.S., Sohn S.O., Huh J.S. Fabrication and sensing behavior of PVF2 coated-polyaniline sensor for volatile organic compounds. Sens. Actuators B. 2005;108:409–413. [Google Scholar]
- 207.Segal E., Tchoudakov R., Mironi-Harpaz I., Narkis M., Siegmann A. Chemical sensing materials based on electrically-conductive immiscible polymer blends. Polym. Int. 2005;54:1065–1075. [Google Scholar]
- 208.Cooper H., Segal E., Srebnik S., Tchoudakov R., Narkis M., Siegmann A. Electrically conductive sensors for liquids based on quaternary ethylene vinyl acetate (EVA)/copolyamide/maleated-EVA/polyaniline blends. J. Appl. Polym. Sci. 2006;101:110–117. [Google Scholar]
- 209.Sotzing G.A., Phend J.N., Grubbs R.H., Lewis N.S. Highly sensitive detection and discrimination of biogenic amines utilizing arrays of polyaniline/carbon black composite vapor detectors. Chem. Mater. 2000;12:593–595. [Google Scholar]
- 210.Zhang T., Nix M.B., Yoo B.Y., Deshusses M.A., Myung N.V. Electrochemically functionalized single-walled carbon nanotube gas sensor. Electroanalysis. 2006;18:1153–1158. [Google Scholar]
- 211.Ma X.F., Li G., Wang M., Cheng Y.N., Bai R., Chen H.Z. Preparation of a nanowire-structured polyaniline composite and gas sensitivity studies. Chem. Eur. J. 2006;12:3254–3260. doi: 10.1002/chem.200500763. [DOI] [PubMed] [Google Scholar]
- 212.Porter T.L., Thompson D., Bradley M., Eastman M.P., Hagerman M.E., Attuso J.L., Votava A.E., Bain E.D. Nanometer-scale structure of hectorite-aniline intercalates. Journal of Vacuum Science & Technology a-Vacuum Surfaces and Films. 1997;15:500–504. [Google Scholar]
- 213.Conn C., Sestak S., Baker A.T., Unsworth J. A polyaniline-based selective hydrogen sensor. Electroanalysis. 1998;10:1137–1141. [Google Scholar]
- 214.Wang J.Z., Matsubara I., Murayama N., Woosuck S., Izu N. The preparation of polyaniline intercalated MoO3 thin film and its sensitivity to volatile organic compounds. Thin Solid Films. 2006;514:329–333. [Google Scholar]
- 215.Parvatikar N., Jain S., Bhoraskar S.V., Prasad M. Spectroscopic and electrical properties of polyaniline/CeO2 composites and their application as humidity sensor. J. Appl. Polym. Sci. 2006;102:5533–5537. [Google Scholar]
- 216.Sadek A.Z., Wlodarski W., Shin K., Kaner R.B., Kalantar-zadeh K. A layered surface acoustic wave gas sensor based on a polyaniline/In2O3 nanofibre composite. Nanotechnology. 2006;17:4488–4492. [Google Scholar]
- 217.Do J.S., Chang W.B. Amperometric nitrogen dioxide gas sensor based on PAn/Au/Nafion((R)) prepared by constant current and cyclic voltammetry methods. Sens. Actuators B. 2004;101:97–106. [Google Scholar]
- 218.Milella E., Musio F., Alba M.B. Polypyrrole LB multilayer sensitive films for odorants. Thin Solid Films. 1996;285:908–910. [Google Scholar]
- 219.Stussi E., Stella R., De Rossi D. Chemoresistive conducting polymer-based odour sensors: influence of thickness changes on their sensing properties. Sens. Actuators B. 1997;43:180–185. [Google Scholar]
- 220.Huang J., Virji S., Weiller B.H., Kaner R.B. Nanostructured polyaniline sensors. Chem. Eur. J. 2004;10:1315–1319. doi: 10.1002/chem.200305211. [DOI] [PubMed] [Google Scholar]
- 221.Xing S.X., Zhao C., Jing S.Y., Wu Y., Wang Z.C. Morphology and gas-sensing behavior of in situ polymerized nanostructured polyaniline films. Eur. Polym. J. 2006;42:2730–2735. [Google Scholar]
- 222.Zhang X.Y., Goux W.J., Manohar S.K. Synthesis of polyaniline nanofibers by “nanofiber seeding”. J. Am. Chem. Soc. 2004;126:4502–4503. doi: 10.1021/ja031867a. [DOI] [PubMed] [Google Scholar]
- 223.Jang J., Chang M., Yoon H. Chemical sensors based on highly conductive poly(3,4-ethylene-dioxythiophene) nanorods. Adv. Mater. 2005;17:1616–1620. [Google Scholar]
- 224.Kim B.K., Kim Y.H., Won K., Chang H.J., Chi Y.M., Kong K.J., Rhyu B.W., Kim J.J., Lee J.O. Electrical properties of polyaniline nanofibre synthesized with biocatalyst. Nanotechnology. 2005;16:1177–1181. [Google Scholar]
- 225.Liu X.L., Ly J., Han S., Zhang D.H., Requicha A., Thompson M.E., Zhou C.W. Synthesis and electronic properties of individual single-walled carbon nanotube/polypyrrole composite nanocables. Adv. Mater. 2005;17:2727–2732. [Google Scholar]
- 226.Dong B., Krutschke M., Zhang X., Chi L.F., Fuchs H. Fabrication of polypyrrole wires between microelectrodes. Small. 2005;1:520–524. doi: 10.1002/smll.200400122. [DOI] [PubMed] [Google Scholar]
- 227.Dong B., Zhong D.Y., Chi L.F., Fuchs H. Patterning of conducting polymers based on a random copolymer strategy: Toward the facile fabrication of nanosensors exclusively based on polymers. Adv. Mater. 2005;17:2736–2741. [Google Scholar]
- 228.Cui X.Y., Martin D.C. Fuzzy gold electrodes for lowering impedance and improving adhesion with electrodeposited conducting polymer films. Sens. Actuators A. 2003;103:384–394. [Google Scholar]
- 229.Chen Y.J., Kang E.T., Neoh K.G., Tan K.L. Oxidative graft polymerization of aniline on modified Si(100) surface. Macromolecules. 2001;34:3133–3141. [Google Scholar]
- 230.Jun H.K., Hoh Y.S., Lee B.S., Lee S.T., Lim J.O., Lee D.D., Huh J.S. Electrical properties of polypyrrole gas sensors fabricated under various pretreatment conditions. Sens. Actuators B. 2003;96:576–581. [Google Scholar]
- 231.Kemp N.T., Flanagan G.U., Kaiser A.B., Trodahl H.J., Chapman B., Partridge A.C., Buckley R.G. Temperature-dependent conductivity of conducting polymers exposed to gases. Synth. Met. 1999;101:434–435. [Google Scholar]
- 232.Krutovertsev S.A., Ivanova O.M., Sorokin S.I. Sensing properties of polyaniline films doped with Dawson heteropoly compounds. J. Anal. Chem. 2001;56:1057–1060. [Google Scholar]
- 233.Kukla A.L., Shirshov Y.M., Piletsky S.A. Ammonia sensors based on sensitive polyaniline films. Sens. Actuators B. 1996;37:135–140. [Google Scholar]
- 234.Fedorko P., Skakalova V. Low pressure effect in the electrical conductivity of doped polypyrrole. Synth. Met. 1998;94:279–283. [Google Scholar]
- 235.Misra S.C.K., Mathur P., Yadav M., Tiwari M.K., Garg S.C., Tripathi P. Preparation and characterization of vacuum deposited semiconducting nanocrystalline polymeric thin film sensors for detection of HCl. Polymer. 2004;45:8623–8628. [Google Scholar]
- 236.Ricks-Laskoski H.L., Buckley L.J. Twenty-year aging study of electrically conductive polypyrrole films. Synth. Met. 2006;156:417–419. [Google Scholar]
- 237.Bay L., Mogensen N., Skaarup S., Sommer-Larsen P., Jorgensen M., West K. Polypyrrole doped with alkyl benzenesulfonates. Macromolecules. 2002;35:9345–9351. [Google Scholar]













