Abstract
Post-mating, sexual interactions of opposite sexes differ considerably in different organisms. Post-mating interactions such as re-mating behavior and male harassment can affect the fitness of both sexes. Echinothrips americanus is a new insect pest in Mainland China, and little is known about its post-mating interactions. In this study, we observed re-mating frequency and male harassment frequency and their effects on fitness parameters and offspring sex ratios of E. americanus females. Furthermore, we tested the impact of mating and post-mating interactions on fitness parameters of males. Our results revealed that the re-mating frequency in female adults was extremely low during a 30-day period. However, post-mating interactions between females and males, consisting mainly of male harassment and female resistance, did occur and significantly reduced female longevity and fecundity. Interestingly, increased access to males did not affect the ratio of female offspring. For males, mating dramatically reduced their longevity. However, post-mating interactions with females had no effects on the longevity of mated males. These results enrich our basic knowledge about female and male mating and post-mating behaviors in this species and provide important information about factors that may influence population regulation of this important pest species.
Introduction
During interactions between sexes of an organism, the reproductive interests of males and females may differ and this may result in sexual conflicts [1], [2]. A common sexual conflict in insects involves mating decisions in which males and females may have different preferences, resulting in altered mating rates [2]. It is generally assumed that males benefit by multiple matings which may lead to harassment of females for more mating opportunities [3]. On the other hand, a single or a few matings may provide females with sufficient sperm to reach their reproductive potential [4], [5] and increased mating frequency may have costs to females [6]. Consequently, females often favor a lower mating rate and are resistant or reluctant to re-mate [7].
There is well-documented evidence that repeated mating attempts by males can lead to harassment and female resistance to such harassment can result in substantial costs to females [1]. These costs include physical injuries to the female [8], [9], increased predation [10], reduced female foraging efficiency [11], [12] and energy expenditure [13]. Male harassment can also disturb females during oviposition, reducing their overall fitness [14], [15], longevity [16] and fecundity [17], [18], [19]. Repeated mating attempts by males may also have costs to males [20], although these have not been well studied.
Mating frequency of females varies considerably among different insect species [3]. In some insect species, females mate just once during their lifetime, while numerous insect species mate multiple times, either with different males or with the same male [3],[5],[21]. If a single or a few matings are sufficient for females to fertilize their eggs, there is little need for additional matings and, in some insect species, sexual receptivity is reduced temporarily or permanently in the females after mating [1]. In contrast, in other species, mated females are known to benefit from re-mating and obtaining additional sperm [5] that may reduce any genetic incompatibility between individual males and females [22]. Additionally, males can transfer nuptial gifts to females during mating and these nutrients can enhance a female's fitness [23], [24], [25].
Re-mating frequency of female Thysanoptera varies greatly among different species. In tubuliferan thrips, Hoplothrips pedicularius, Elaphrothrips tuberculatus and H. karnyi, females can mate repeatedly with the same males before oviposition [26], [27], [28]. Multiple mating of females by different males was also found in tubuliferan thrips Dunatothrips aneurae [29]. However, females of some tubuliferan gall-forming thrips mate once and refuse further matings [30]. Refusing additional mating by females has also been reported in some terebrantian thrips [31], [32]. For example, it was reported that after initial mating, Frankliniella occidentalis females refused males for more than 5 days [31].
Echinothrips americanus is a new thrips species in Mainland China [33], and poses a severe threat to ornamental and greenhouse crops. Like many thrips species, E. americanus is arrhenotokous, in which fertilized eggs develop into females and unfertilized eggs develop into males [34]. Thus, studying the progeny sex ratios of mated females can provide insights into sperm utilization and mating strategies in this species. In our previous study, we found that mated E. americanus females had higher fecundity and longevity than virgin females [35]. However, in this species there is no detailed knowledge about post-mating interactions such as re-mating behaviors and mating frequency. Direct observation of re-mating behaviors and mating frequency can provide important information about post-mating interactions between females and males and increase our understanding of the basic reproductive biology of this pest. Such knowledge should prove useful for understanding its population dynamics and in the development of management strategies for this new pest in China.
The objective of the present study was to acquire knowledge about post-mating interactions, including female re-mating behavior and mating frequency, and male harassment frequency of E. americanus. In addition, we studied the effects of these post-mating interactions on reproduction and survival of female E. americanus as well as offspring sex ratios changes in mated females. Furthermore, we tested the impact of reproductive activities on fitness parameters and survivorship of males.
Results
Female re-mating frequency and male harassment rate
During the 2 h recording periods, all 20 females tested finished their first mating. The average pre-copulation duration was 1349.4±281.2 seconds (range from 99 to 5781 seconds). The average copulation duration was 553.6±30.4 seconds (range from 116 to 728 seconds).
After initial mating until age 30 days, except one re-mating at age 3 days in one female, no re-mating occurred, regardless of pairing with virgin males or mated males. However, whenever paired with females, males repeatedly harassed females, while females always resisted male advances by arching and twisting and sometimes flicking their abdomen, making it impossible for males to copulate. When males succeeded in mounting females or inserting their aedeagus, females became irritated and violently flicked males away in ca 10 to 20 seconds, which was too short to complete insemination, and significantly shorter than the average copulation duration of 553.6±30.4 seconds.
There was no significant difference in male harassment frequency between mated males and virgin males (Table 1). Male harassment frequency significantly decreased with female age (Table 1; Fig. 1). Specifically, male harassment frequency was much higher in the first 10 days, and then decreased dramatically (Fig. 1).
Table 1. Effects of Echinothrips americanus male mating status and female age on male harassment frequency toward females (two-way ANOVA, P<0.05).
| Source | df | F | P |
| Male mating status | 1 | 0.904 | 0.344 |
| Female age | 6 | 11.126 | <0.0001 |
| Interaction | 6 | 0.390 | 0.884 |
| Error | 118 |
Figure 1. Male harassment frequency by mated and virgin male Echinothrips americanus towards females at different ages.
Effects of post-mating interactions on mated female fitness
Mated females without male companions had significantly greater longevity and longer ovipositional periods compared to the other two treatments; however, there was no significant difference in longevity and ovipositional period between females held with one and two males (Table 2). The same results were observed in egg production. Lifetime fecundity of mated females housed with one or two males was significantly reduced compared to females housed alone, while similar levels of egg production were found with one or two males present (Table 2).
Table 2. Longevity, oviposition period, fecundity and total female offspring ratios of mated Echinothrips americanus females paired with different numbers of males.
| Longevity (days) | Oviposition period (days) | Fecundity (eggs/female) | Total female offspring ratio | |
| 1♀×0♂ | 39.9±2.0a | 38.3±2.0a | 181.5±9.4a | 67.9±3.9a |
| 1♀×1♂ | 33.6±2.5b | 31.7±2.5b | 146.2±10.8b | 69.9±3.8a |
| 1♀×2♂ | 31.5±2.1b | 29.7±2.1b | 132.3±10.7b | 76.3±2.8a |
| F; df | 3.770; 2, 84 | 3.977; 2, 84 | 6.040; 2, 84 | 1.039; 2, 76 |
| P | 0.027 | 0.022 | 0.004 | 0.359 |
Means (± SE) within the same column followed by the same letters are not significantly different at P<0.05 level according to one way ANOVA: LSD test. 1♀×0♂: 1 mated female kept alone; 1♀×1♂: 1 female and 1 male kept together until female death; 1♀×2♂: 1 female and 2 males kept together until female death.
Survivorship of mated females was significantly affected by the number of males kept with females (Fig. 2; Log-Rank test: χ2 2 = 6.92; P = 0.031). The survival curves of females housed with one male and those housed with two males were not significantly different (Fig. 2; Pair-wise comparison, Log-Rank test: χ2 1 = 1.28; P = 0.259). Likewise, the survival curves between females without a male and those housed with one male were not significantly different (Fig. 2; Pair-wise comparison, Log-Rank test: χ2 1 = 1.56; P = 0.211). However, there were significant differences in survival between females maintained individually and those housed with two males (Fig. 2; Pair-wise comparison, Log-Rank test: χ2 1 = 8.29; P = 0.004). In addition, females held with one male and those held with two males reached their 50% survival rate at nearly the same time (Day 34 and 33, respectively), 7 days earlier than those maintained individually (Fig. 2). These results suggest that interactions with males accelerated female mortality.
Figure 2. Survivorship of Echinothrips americanus mated females paired with different numbers of males.
1♀×0♂: 1 mated female kept alone (N = 30); 1♀×1♂: 1 female and 1 male kept together until female death (N = 30); 1♀×2♂: 1 female and 2 males kept together until female death (N = 27).
Effects of female age and post-mating interactions on the offspring sex ratios
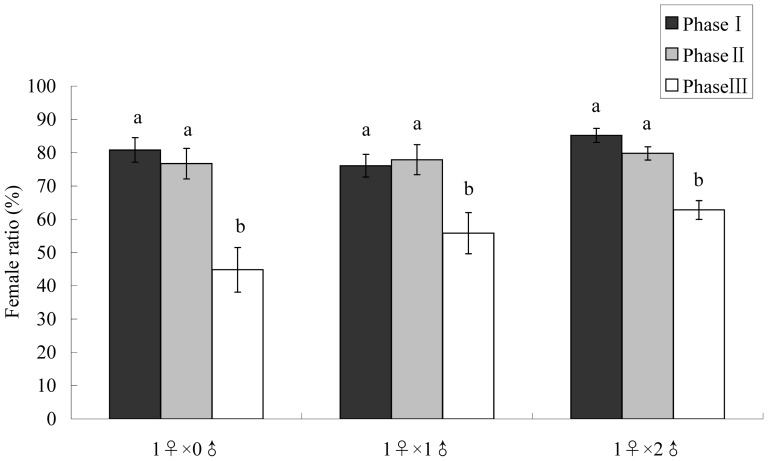
Results showed that female age significantly affected female progeny ratios (Table 3). Specifically, in all three treatments during the first two phases (each phase being a third of its lifespan), there were no significant differences in female ratios; however, during the third phase, fewer female offspring were produced (Table 3; Fig. 3). By contrast, the number of males housed with females had no significant effects on female offspring ratios in each specific phase (Table 3). The same results were observed when comparing total female offspring ratios among treatments (Table 2). In addition, female offspring appeared during the entire lifetime of females in the three treatments, even in the final days of life.
Table 3. Effects of number of males paired with females and female age phases (each phase represents one-third of its lifespan) on female offspring ratios of Echinothrips americanus (two-way ANOVA, P<0.05).
| Source | df | F | P |
| Male numbers | 2 | 2.388 | 0.094 |
| Female age phases | 2 | 19.964 | <0.0001 |
| Interaction | 4 | 1.212 | 0.307 |
| Error | 228 |
Figure 3. Female offspring ratios of Echinothrips americanus females paired with different numbers of males in three phases of their lifespan.
Each phase represents one-third of the lifespan. Means within the same treatment followed by the same letters are not significantly different at P<0.05 level according to two-way ANOVA: LSD test. 1♀×0♂: 1 mated female kept alone (N = 28); 1♀×1♂: 1 female and 1male kept together until female death (N = 27); 1♀×2♂: 1 female and 2 males kept together until female death (N = 24).
Effects of mating and post-mating interactions on male fitness
Virgin males lived almost twice as long as mated males (Table 4; Pair-wise comparison, Log-Rank test: χ2 1 = 7.56; P = 0.006). In addition, the survival distributions of virgin and mated males were significantly different (Fig. 4; Pair-wise comparison, Log-Rank test: χ2 1 = 7.56; P = 0.006). These results suggested that mating behavior was costly for males by reducing their longevity and survivorship. However, for mated males, the presence of females did not significantly affect male longevity and survival (Table 4; Fig. 4; Pair-wise comparison, Log-Rank test: χ2 1 = 0.13; P = 0.715).
Table 4. Longevity of Echinothrips americanus males in 3 different treatments.
| Treatments | N | Average Longevity (Days) |
| 1V♂ | 21 | 48.5±4.3a |
| 1M♂ | 22 | 27.0±4.3b |
| 1M♂×1♀ | 21 | 26.5±3.8b |
Means (± SE) followed by different letters are significantly different (Pair-wise comparison, Log-Rank test, P<0.05). 1V♂: 1 virgin male kept individually; 1M♂: 1 mated male kept individually; 1M♂×1♀: 1 mated male kept with 1 female until male death.
Figure 4. Survivorship of mated Echinothrips americanus males in three different treatments.
1V♂: 1 virgin male kept individually (N = 21); 1M♂: 1 mated male kept individually (N = 22); 1M♂×1♀: 1 mated male kept with 1 female until male death (N = 21).
Discussion
This study tested post-mating interactions of female and male E. americanus and the influences on female offspring sex ratios, fitness and survival of mated females. We also examined whether mating and post-mating interactions had impacts on male longevity and survival. Our results revealed that the re-mating frequency in female adults was extremely low. During a 30-day period, only 1 of 20 females re-mated once. However, post-mating interactions between females and males, consisting mainly of male harassment and female resistance, did occur and significantly reduced female longevity and fecundity. For the sex ratios, we found the number of males housed with females did not affect the female offspring ratio. Furthermore, the proportion of daughters decreased with female age. For males, mating dramatically reduced their longevity. However, post-mating interactions with females had no effects on the longevity of mated males.
Female mating system are highly diversified in insects and female mating receptivity ranges from females that mate once to those who are always sexually accessible to males [3]. In our study, we found that for up to 30 days, 19 of 20 E. americanus females we tested only mated once. After an initial mating, even when males were available and repeatedly attempted to mate with females, females always refused. This refusal of additional matings by females has been found in some other terebrantian thrips [31], [32] and tubuliferan gall-forming thrips [30]. The prevention or reduction of female sexual receptivity to subsequent mating has been reported in many other insect species [1], [36]. This reduction in female receptivity after mating can be due to several factors, including post-copulatory behaviors such as male guarding behavior [37], presence of male ejaculate in the female reproductive tract [38], mating plugs [39] and various re-mating-preventing substances in seminal fluids [40], [41], [42]. In E. americanus, post-mating interactions between females and males were primarily male harassment and female resistance; no male guarding behavior was found. So the prevention of re-mating might be caused by the mechanical or chemical factors mentioned above.
When investigating the female progeny ratios of this haplodiploid thrips, we found no changes in the percentage of female offspring among male absent and male present treatments. This suggests that mated E. americanus females confined alone did not suffer from sperm limitation at the end of their lifetimes. They received all the sperm they needed from one mating at the beginning and the sperm remained viable in the spermatheca for the majority of their lifetimes. Similar results were reported in Rambur's forktail damselfly, Ischnura ramburi, in which there was no sperm limitation in singly mated females [43]. Results from these two species are consistent with the concept that one mating can provide a female with enough sperm to fertilize all of her eggs [4].
Another interesting result was that the proportion of female progeny decreased with female age, although there was sufficient sperm in this species. In some other haplodiploid arthropods, such as wasps and spider mites, even additional matings cannot stop the decline of female progeny production toward the end of their lifetimes [44], [45]. This suggests the decrease in daughter production may be a function of female age [46] rather than sperm insufficiency.
The longevity and fecundity reduction of mated females due to the presence of males has been widely reported in insects including the seed bug, Lygaeus equestris [47] and Callosobruchus seed beetles [14], [18], [48], [49], although co-habitating with males did not always affect longevity and fecundity at the same time [43], [50], [51]. In our case, extremely low re-mating frequency was found during the majority of the female lifetime and the post-mating interactions were mainly male harassment and female resistance. So the fitness cost observed in our study was due to male harassment and female resistance.
Sexual harassment by males is costly to females. During our experiment, males harassed females 4.4±0.3 times per hour. When males succeeded in mounting females or inserting their aedeagus, females became irritated and violently flicked males away. These resistance behaviors can sometimes cause physical injuries to the female [8], [9]; in addition, the interactions between females and males can increase predation by natural enemies [10], reduce female foraging efficiency [11], [12], increase energy expenditure [13] and disturb oviposition.
There was no difference in female longevity and lifetime fecundity between females housed with one and two males. This indicates male harassment frequency was not linearly related to the number of males. This might be caused by male-male competition for mating opportunities. During male-male competition, each male wastes time and energy, which results in a lower harassment rate compared to single male.
Our results demonstrated that the longevity of mated males was significantly shorter than virgin ones. Costs to males in terms of reduced longevity have also been reported in many other insects, including beetles [52], [53], [54], [55], parasitoid wasps [56] and flies [55], [57]. This longevity cost of mating may be caused by courtship, contest competition, mating or sperm production. In our study, since mated males did not have male companions after mating, longevity reduction may be the result of energy costs during mating as well as ejaculate formation. Surprisingly, there was no difference between mated males living alone and those that stayed with females throughout their lives. This suggests that the reduction of male longevity might primarily occur during the process of mating rather than the interaction with females, and post-mating interactions have no effect on male fitness.
In conclusion, extremely low re-mating frequency and sufficient sperm from a single mating indicates that female E. americanus utilize a single mating pattern. Post-mating interactions between females and males are mainly male harassment and female resistance and these interactions exert negative impacts on the fitness of E. americanus females but no effects on the sex ratio of their offspring. For males, mating can dramatically reduce their longevity, while post-mating interactions have no effects on male fitness. These results enrich our basic knowledge about the female mating system in this species and provide useful information for population regulation and potential damage by this important pest species.
Methods
Population maintenance and insect rearing
The population used in this study was established in late July, 2006 from larvae and adults of E. americanus collected from cultivated Aristolochia ovatifolia S. M. Hwang in a greenhouse at Northwest A&F University, Yangling, Shaanxi Province, China. For mass rearing of the E. americanus population, larvae and adults were kept on potted corn (Zea mays) seedlings and maintained in an incubator at 25±1°C, 60±15% relative humidity (RH), and a photoperiod of 14L:10D. To maintain genetic diversity, wild individuals were added to the colony three to four times per year.
For experiments, E. americanus in each replication of the treatments were incubated in a sealed glass jar (20 mm diam × 40 mm high) and held at 25±1°C, 60±15% RH, and a photoperiod of 14L:10D. Alfalfa (Medicago sativa) leaves were provided as food and an ovipositional substrate and were changed daily.
Female re-mating frequency and male harassment rate
Twenty 2-day-old virgin females were paired with 2-day-old males and observed using a video recorder for 2 h for mating to occur. Pre-copulation duration and copulation duration were determined. Thereafter, at female ages of 3, 5, 10, 15, 20, 25 and 30 days, each mated female was paired with a young (2–7 d old) mated male and virgin male for 2 h, respectively, and behaviors were recorded using a video recorder. After recording, males were removed and females were left alone until the next recording day. Some females died before the experiment was finished and, thus, the number of females tested per time period decreased with time. Between time periods, females were held in tubes under the rearing conditions described above. Male harassment frequency (male harassment incidences per hour) was also determined. We considered a male harassment incident when a male mounted a female's back and twisted his abdomen sideways under the end of the female's abdomen.
Effects of post-mating interactions on mated female fitness
Three treatments were established to test the effects of post-mating interactions on the fitness of mated females: Treatment 1) 1 mated female kept alone (N = 30); Treatment 2) 1 female and 1 male kept together until the female's death (N = 30); Treatment 3) 1 female and 2 males kept together until the female's death (N = 27). To start the experiments, pupae of E. americanus were individually incubated with alfalfa leaves in glass jars. After emergence, each female adult was paired with one or two young (2–7 d old) males according to the arrangement of treatments above. For treatment 1, one male was kept with each female and then removed after mating, while for the other two treatments, males were left with females during the entire lifespan of the females. In case of the male's death before the female's, new young (2–7 d old) males were added to replace the dead ones so that females were accompanied by the same number of males during their lifetimes.
Alfalfa leaves were checked at 24-h intervals using the bottom light of the stereomicroscope to record the number of eggs produced by each female. Leaves with eggs were replaced with fresh leaves and were moved into new jars for the analysis of sex ratios. Longevity, oviposition period and lifetime fecundity were calculated for each female.
Effects of female age and post-mating interactions on the offspring sex ratios
Offspring from the three treatments were used to determine the sex ratios. When the eggs hatched and larvae grew into adults, their sex was determined using a stereomicroscope, and the female ratio of offspring each female produced daily was recorded. Longevity of each female was divided into three equal phases (if the lifespan in number of days was not a multiple of 3, the first two phases were equal number of days while the third phase was one day more or less than the other two phases). The female sex ratios of each phase and lifetime female sex ratios in each treatment were calculated.
Effects of mating and post-mating interactions on male fitness
To test whether mating and post-mating interactions with females affected the lifespan and survival of males, 3 treatments were established: (1) 1V♂: 1 virgin male kept individually, having no access to females (N = 21); (2) 1M♂: 1 mated male kept individually (N = 22); (3) 1M♂×1♀: 1 mated male kept with 1 female until male death (N = 21). Thrips in the treatments were kept in glass jars with alfalfa leaves that were changed daily. For treatment 3, another mated female was paired with males after the female died.
Statistical analysis
All data analyses were performed in SPSS (v16, SPSS Inc, Chicago, IL, USA). Prior to analysis, data were checked for normality using non-parametric Kolmogorov-Smirnov test (P<0.05) and all percentage data were arcsine or square root transformed, as necessary, but untransformed means are presented. The effects of male mating status and female age on male harassment frequency were analyzed by two-way analysis of variance (ANOVA) and least significant difference (LSD) tests (P<0.05). For female experiments, the differences in longevity, oviposition period, lifetime fecundity and total female offspring ratios were compared using one-way analysis of variance (ANOVA) and least significant difference (LSD) tests (P<0.05). Female offspring ratios in different treatments and different phases were analyzed by two-way analysis of variance (ANOVA) and least significant difference (LSD) tests (P<0.05). For survival analysis, Log-Rank test was applied to compare the survival distributions of the female adults.
For male experiments, we used survival analysis (Log-Rank test) to test for differences in lifespan and survivorship among treatments.
Acknowledgments
We thank J. Dong and X. Y. Cao for their assistance during our research, Tim Harvey-Samuel (Oxford University) for valuable suggestions in reviewing earlier versions of this manuscript and H. L. Collins (Cornell University) for help in editing the manuscript.
Funding Statement
The project was supported by the National Science Foundation of China (3127344) and Doctoral Fund of Ministry of Education of China (20090204110003). The funders had no role in study design, data collection and analysis, decision to publish, or preparation of the manuscript.
References
- 1.Arnqvist G, Rowe L (2005) Sexual conflict. Princeton: Princeton University Press.
- 2.Parker GA (1979) Sexual selection and sexual confilict. In: Blum MS, Blum NA, editors. Sexual selection and reproductive competition in insects. New York: Academic Press.
- 3.Thornhill R, Alcock J (1983) The evolution of insect mating systems. Cambridge, Massachusetts, and London: Harvard University Press.
- 4. Walker WF (1980) Sperm utilization strategies in nonsocial insects. American Naturalist 115: 780–799. [Google Scholar]
- 5. Arnqvist G, Nilsson T (2000) The evolution of polyandry: multiple mating and female fitness in insects. Animal Behaviour 60: 145–164. [DOI] [PubMed] [Google Scholar]
- 6. Daly M (1978) Cost of mating. American Naturalist 112: 771–774. [Google Scholar]
- 7. Kokko H, Brooks R, Jennions MD, Morley J (2003) The evolution of mate choice and mating biases. Proceedings of the Royal Society of London Series B: Biological Sciences 270: 653–664. [DOI] [PMC free article] [PubMed] [Google Scholar]
- 8. Blanckenhorn WU, Hosken DJ, Martin OY, Reim C, Teuschl Y, et al. (2002) The costs of copulating in the dung fly Sepsis cynipsea . Behavioral Ecology 13: 353–358. [Google Scholar]
- 9. Muhlhauser C, Blanckenhorn WU (2002) The costs of avoiding matings in the dung fly Sepsis cynipsea . Behavioral Ecology 13: 359–365. [Google Scholar]
- 10. Rowe L, Arnqvist G, Sih A, Krupa J (1994) Sexual conflict and the evolutionary ecology of mating patterns: water striders as a model system. Trends in Ecology & Evolution 9: 289–293. [DOI] [PubMed] [Google Scholar]
- 11. Stone GN (1995) Female foraging responses to sexual harassment in the solitary bee Anthophora plumipes . Animal Behaviour 50: 405–412. [Google Scholar]
- 12. Takahashi Y, Watanabe M (2009) Diurnal changes and frequency dependence in male mating preference for female morphs in the damselfly Ischnura senegalensis (Rambur) (Odonata: Coenagrionidae). Entomological Science 12: 219–226. [Google Scholar]
- 13. Watson PJ, Arnqvist G, Stallmann RR (1998) Sexual conflict and the energetic costs of mating and mate choice in water striders. American Naturalist 151: 46–58. [DOI] [PubMed] [Google Scholar]
- 14. den Hollander M, Gwynne DT (2009) Female fitness consequences of male harassment and copulation in seed beetles, Callosobruchus maculatus . Animal Behaviour 78: 1061–1070. [Google Scholar]
- 15. McLain DK, Pratt AE (1999) The cost of sexual coercion and heterospecific sexual harassment on the fecundity of a host-specific, seed-eating insect (Neacoryphus bicrucis). Behavioral Ecology and Sociobiology 46: 164–170. [Google Scholar]
- 16. Clutton-Brock T, Langley P (1997) Persistent courtship reduces male and female longevity in captive tsetse flies Glossina morsitans morsitans Westwood (Diptera: Glossinidae). Behavioral Ecology 8: 392–395. [Google Scholar]
- 17. Rossi BH, Nonacs P, Pitts-Singer TL (2010) Sexual harassment by males reduces female fecundity in the alfalfa leafcutting bee, Megachile rotundata . Animal Behaviour 79: 165–171. [Google Scholar]
- 18. Gay L, Eady PE, Vasudev R, Hosken DJ, Tregenza T (2009) Costly sexual harassment in a beetle. Physiological Entomology 34: 86–92. [Google Scholar]
- 19. Gosden TP, Svensson EI (2007) Female sexual polymorphism and fecundity consequences of male mating harassment in the wild. PLoS ONE 2: e580. [DOI] [PMC free article] [PubMed] [Google Scholar]
- 20. Cluttonbrock TH, Parker GA (1995) Sexual coercion in animal societies. Animal Behaviour 49: 1345–1365. [Google Scholar]
- 21. Ridley M (1988) Mating frequency and fecundity in insects. Biological Reviews of the Cambridge Philosophical Society 63: 509–549. [Google Scholar]
- 22. Jennions MD, Petrie M (2000) Why do females mate multiply? A review of the genetic benefits. Biological Reviews 75: 21–64. [DOI] [PubMed] [Google Scholar]
- 23. Eberhard WG, Cordero C (1995) Sexual selection by cryptic female choice on male seminal products - a new bridge between sexual selection and reproductive physiology. Trends in Ecology & Evolution 10: 493–496. [DOI] [PubMed] [Google Scholar]
- 24. Thornhill R (1976) Sexual selection and paternal investment in insects. American Naturalist 110: 153–163. [Google Scholar]
- 25. Wagner WE, Kelley RJ, Tucker KR, Harper CJ (2001) Females receive a life-span benefit from male ejaculates in a field cricket. Evolution 55: 994–1001. [DOI] [PubMed] [Google Scholar]
- 26. Crespi BJ (1986) Territoriality and fighting in a colonial thrips, Hoplothrips pedicularius, and sexual dimorphism in Thysanoptera. Ecological Entomology 11: 119–130. [Google Scholar]
- 27. Crespi BJ (1988) Alternative male mating tactics in a thrips: effects of sex ratio variation and body size. American Midland Naturalist 119: 83–92. [Google Scholar]
- 28. Crespi BJ (1988) Risks and benefits of lethal male fighting in the colonial, polygynous thrips Hoplothrips karnyi (Insecta: Thysanoptera). Behavioral Ecology and Sociobiology 22: 293–301. [Google Scholar]
- 29. Gilbert JDJ, Simpson SJ (2013) Natural history and behaviour of Dunatothrips aneurae Mound (Thysanoptera: Phlaeothripidae), a phyllode-gluing thrips with facultative pleometrosis. Biological Journal of the Linnean Society 109: 802–816. [Google Scholar]
- 30. Varadarasan S, Ananthakrishnan TN (1982) Biological studies on some gall thrips. Proceedings of the Indian National Academy of Sciences B48: 35–43. [Google Scholar]
- 31. Terry I, Schneider M (1993) Copulatory behaviour and mating frequency of the western flower thrips, Frankliniella occidentalis (Insecta: Thysanoptera). Zoology (Journal of Pure and Applied Zoology) 4: 339–354. [Google Scholar]
- 32.Milne M (1997) Host plant relationships and significance of prey in the diet of two phytophagous thrips species, Frankliniella schultzei and Thrips tabaci (Thysanoptera: Thripidae) [Ph.D. thesis]: University of Queensland.
- 33. Mirab-Balou M, Lu H, Chen X-X (2010) First record of Echinothrips americanus Morgan (Thysanoptera, Thripidae) in Mainland China, with notes on distribution and host plants. Acta Zootaxonomica Sinica 35: 674–679. [Google Scholar]
- 34. Oetting RD, Beshear RJ (1993) Biology of the greenhouse pest Echinothrips americanus Morgan (Thysanoptera: Thripidae). Advances in Thysanopterology of Pure and Applied Zoology 4: 307–315. [Google Scholar]
- 35. Li X-W, Zhang X-C, Jiang H-X, Feng J-N (2012) Comparisons of developmental and reproductive biology between parthenogenetic and sexual Echinothrips americanus (Thysanoptera: Thripidae). Environmental Entomology 41: 706–713. [DOI] [PubMed] [Google Scholar]
- 36. Ringo J (1996) Sexual receptivity in insects. Annual Review of Entomology 41: 473–494. [DOI] [PubMed] [Google Scholar]
- 37. Allen GR, Kazmer DJ, Luck RF (1994) Post-copulatory male behaviour, sperm precedence and multiple mating in a solitary parasitoid wasp. Animal Behaviour 48: 635–644. [Google Scholar]
- 38. Smith AF, Schal C (1990) The physiological basis for the termination of pheromone-releasing behavior in the female brown-banded cockroach, Supella longipalpa (F) (Dictyoptera, Blattellidae). Journal of Insect Physiology 36: 369–373. [Google Scholar]
- 39. Lachmann AD (2000) Mating and remating in Coproica vagans (Diptera, Sphaeroceridae). Invertebrate Reproduction & Development 37: 233–240. [Google Scholar]
- 40. Craig GB (1967) Mosquitoes: female monogamy induced by male accessory gland substance. Science 156: 1499–1501. [DOI] [PubMed] [Google Scholar]
- 41. Spencer JL, Bush GL, Keller JE, Miller JR (1992) Modification of female onion fly,Delia antiqua (Meigen), reproductive behavior by male paragonial gland extracts (Diptera: Anthomyiidae). Journal of Insect Behavior 5: 689–697. [Google Scholar]
- 42. Heady SE (1993) Factors affecting female sexual receptivity in the planthopper, Prokelisia dolus . Physiological Entomology 18: 263–270. [Google Scholar]
- 43. Sirot LK, Brockmann HJ (2001) Costs of sexual interactions to females in Rambur's forktail damselfly, Ischnura ramburi (Zygoptera : Coenagrionidae). Animal Behaviour 61: 415–424. [Google Scholar]
- 44. Cheng LI, Howard RW, Campbell JF, Charlton RE, Nechols JR, et al. (2004) Mating behavior of Cephalonomia tarsalis (Ashmead) (Hymenoptera : Bethylidae) and the effect of female mating frequency on offspring production. Journal of Insect Behavior 17: 227–245. [Google Scholar]
- 45. Macke E, Magalhães S, Khanh HD-T, Frantz A, Facon B, et al. (2012) Mating modifies female life history in a haplodiploid spider mite. The American Naturalist 179: E147–E162. [DOI] [PubMed] [Google Scholar]
- 46. Krainacker DA, Carey JR (1990) Effect of age at first mating on primary sex-ratio of the two-spotted spider mite. Experimental & Applied Acarology 9: 169–175. [Google Scholar]
- 47. Shuker DM, Ballantyne GA, Wedell N (2006) Variation in the cost to females of the sexual conflict over mating in the seed bug, Lygaeus equestris . Animal Behaviour 72: 313–321. [Google Scholar]
- 48. Edvardsson M (2007) Female Callosobruchus maculatus mate when they are thirsty: resource-rich ejaculates as mating effort in a beetle. Animal Behaviour 74: 183–188. [Google Scholar]
- 49. Ronn J, Katvala M, Arnqvist G (2006) The costs of mating and egg production in Callosobruchus seed beetles. Animal Behaviour 72: 335–342. [Google Scholar]
- 50. Helinski MEH, Harrington LC (2012) The role of male harassment on female fitness for the dengue vector mosquito Aedes aegypti . Behavioral Ecology and Sociobiology 66: 1131–1140. [DOI] [PMC free article] [PubMed] [Google Scholar]
- 51. Sakurai G, Kasuya E (2008) The costs of harassment in the adzuki bean beetle. Animal Behaviour 75: 1367–1373. [Google Scholar]
- 52. Kotiaho JS, Simmons LW (2003) Longevity cost of reproduction for males but no longevity cost of mating or courtship for females in the male-dimorphic dung beetle Onthophagus binodis . Journal of Insect Physiology 49: 817–822. [DOI] [PubMed] [Google Scholar]
- 53. Paukku S, Kotiaho JS (2005) Cost of reproduction in Callosobruchus maculatus: effects of mating on male longevity and the effect of male mating status on female longevity. Journal of Insect Physiology 51: 1220–1226. [DOI] [PubMed] [Google Scholar]
- 54. Simmons LW, Kotiaho JS (2007) The effects of reproduction on courtship, fertility and longevity within and between alternative male mating tactics of the horned beetle, Onthophagus binodis . Journal of Evolutionary Biology 20: 488–495. [DOI] [PubMed] [Google Scholar]
- 55. Maklakov AA, Bonduriansky R (2009) Sex differences in survival costs of homosexual and heterosexual interactions: evidence from a fly and a beetle. Animal Behaviour 77: 1375–1379. [Google Scholar]
- 56. Burton-Chellew MN, Sykes EM, Patterson S, Shuker DM, West SA (2007) The cost of mating and the relationship between body size and fitness in males of the parasitoid wasp Nasonia vitripennis . Evolutionary Ecology Research 9: 921–934. [Google Scholar]
- 57. Papadopoulos NT, Liedo P, Mueller H-G, Wang J-L, Molleman F, et al. (2010) Cost of reproduction in male medflies: the primacy of sexual courting in extreme longevity reduction. Journal of Insect Physiology 56: 283–287. [DOI] [PMC free article] [PubMed] [Google Scholar]




