Abstract
A new saccharides sensor based on the TTF-anthracene dyad with two boronic acid (2) groups was designed and synthesized. This new saccharides sensor shows selectivity towards D-glucose while its analogue with one boronic acid group (1) was reported to bind D-Fructose selectively. Moreover, reaction of compound 2 with uridine induced even larger fluorescence enhancement under the same condition.
Keywords: Saccharide, nucleoside, sensor, tetrathiafulvalene, boronic acid, fluorescence
1. Introduction
Fluorescent sensors with the ability to recognize various biologically important compounds are very useful for a wide range of application [1-4]. Much attention has been paid to the development of synthetic sensors for biologically important organic compounds such as neurotransmitters [5], amino acids [6], nucleotides [7] and carbohydrates [8-20].
Boronic acid is a good receptor for saccharides since boronic acid is able to react with 1,2- or 1,3-diols to form five- or six-membered rings respectively. Shinkai and co-workers have described a series of saccharides sensors based on the fact that the corresponding photoinduced electron transfer (PET) process can be tuned after the binding of boronic acid with saccharides [8-13]. The Shinkai's saccharides sensors usually contain three components: a fluorophore, an amine group and a boronic acid group. As shown in Scheme 1, the nitrogen-boron interaction modulates the PET process and leads to fluorescence change before and after the interaction of the boronic acid group with saccharides.
We have recently reported that the amine group of Shinkai's saccharide sensors can be replaced by other electron donors, such as tetrathiafulvalene (TTF) [21]. By this way, a new saccharides sensor (1, Scheme 1) based on a tetrathiafulvalene-anthracene dyad with one boronic acid group was designed and synthesized. Compound 1 shows weak fluorescence mainly due to the PET process between excited anthracene and TTF units as reported by us previously [22-25]. After reaction with saccharides, the fluorescence intensity of 1 was enhanced (see scheme 1). Moreover, compound 1 shows selectivity towards fructose. We report herein the synthesis and fluorescent spectral studies of a new saccharides sensor based on TTF-anthracene dyad with two boronic acid groups (2, Scheme 2) because it is reported that the diboronic acid sensor could recognize D-glucose with the formation of a 1:1 complex [26-29]. The result indicates that compound 2 shows selectivity towards glucose at physiological pH. Moreover, even larger fluorescence enhancement was observed after the reaction of 2 with nucleosides such as uridine.
2. Results and Discussion
2.1. Synthesis
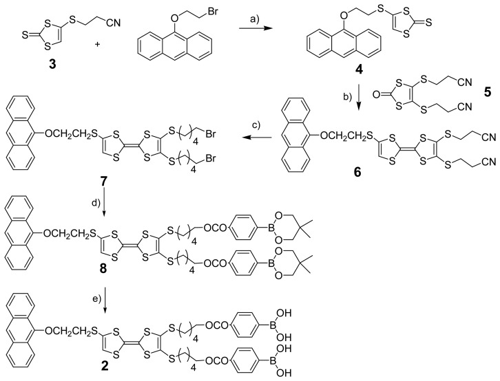
Compound 2 was synthesized through 5 steps starting from compound 3, which was prepared based on the unusual reaction of Zn(dmit)2 anion reported by us recently [30, 31]. Deprotection of 2-cyanoethyl group in 3 with CsOH•H2O and further reaction with 9-(2-bromoethoxyl)anthracene afforded compound 4. Coupling reaction of 4 and 5 in the presence of tri(isopropyl)phosphite led to compound 6, which was transformed into compound 7 by reaction with excess of 1,5-dibromoheptane in the presence of CsOH•H2O. Finally, reaction of 7 with potassium 4-(5,5-dimethyl-1,3,2 –dioxaborinan-2-yl)benzoate afforded compound 8 and sequential hydrolysis of compound 8 led to compound 2 in a total yield of 15.1% after purification with column chromatography.
2.2. Spectral studies
Figure 1(a) shows the fluorescence spectra of 2 in the presence of different amounts of D-glucose. Clearly, the fluorescence intensity of 2 increased after binding with D-glucose. For example, addition of 1500 equiv. of D-glucose to the solution of 2 resulted in ca. 6-fold enhancement of the fluorescence intensity.
Figure 1.
a) The fluorescence spectra of 1 (5.0×10-5 M) in the presence of different concentrations of D-glucose (0-75 mM) at pH 7.3 adjusted by 0.033 M phosphate buffer in THF/H2O (1:1, v/v); λex. = 370. b) The plot of the relative fluorescence intensity I/Io at 420 nm vs. the concentrations of four saccharides in THF/H2O (1:1, v/v); pH = 7.3, λex. = 370 nm.
The fluorescence enhancement was also observed for 2 after reaction with D-galactose, D-mannose, and D-fructose as shown in Figure 1(b) where the plot of the relative fluorescence intensity I/Io at 420 nm vs. the concentration of saccharides (D-glucose, D-galactose, D-mannose, and D-fructose) was displayed. The degree of fluorescence enhancement observed for 2 after the respective reactions with D-galactose, D-mannose, and D-fructose is relatively small compared to that of 2 in the presence of glucose. By plotting Io/(I−Io) against the reciprocal of the concentration of saccharides, the apparent association constants (Ka) between 2 and saccharides were determined assuming the formation of a 1:1 complex (Table 1). The order of the binding constants of 2 with saccharides is as follows: D-glucose > D-mannose > D-fructose > D-galactose (see Table 1). Apparently, compound 2 shows relatively strong binding tendency towards D-glucose.
Table 1.
The association constants (Ka) of 2 with four saccharides and the corresponding maximal fluorescence intensity enhancement (I/I0) at 420 nm.
| Sugar | Ka (M-1) | I/I0 (75 mM) |
|---|---|---|
| D-Glucose | 130±2.8 | 5.89 |
| D-Fructose | 17.3±0.8 | 2.61 |
| D-Galactose | 5.81±0.6 | 1.84 |
| D-Mannose | 22.9±0.5 | 2.96 |
Nucleosides commonly possess a ribose moiety, in which the cis-2,3-diol group should be able to bind boronic acid. Nucleosides also contain base units (e. g. A, T). Thus, when a nucleoside is linked to compound 2 through the binding of the boronic acid group and the cis-2,3-diol group, the TTF unit of 2 will be flanked with three acceptor units: anthracene, base and boronate. As a result, the PET reaction between the excited anthracene and TTF units would be further prohibited compared to that after binding of 2 with saccharides. Accordingly, large fluorescence enhancement is anticipated to occur for 2 after reaction with nucleosides. For instance, the degree of the fluorescence enhancement was found to be larger for 2 after reaction with uridine than that after the reaction of 2 with glucose under the same condition (see Figure 2).
Figure 2.
The plot of the relative fluorescence intensity I/Io at 420 nm vs. the concentrations of uridine and glucose for compound 2 (5.0×10-5 M) at pH 7.3 in THF/H2O (1:1, v/v) with λex = 370 nm.
In summary, a new saccharides sensor based on the TTF-anthracene dyad with two boronic acid groups was designed and synthesized. Fluorescent spectral studies showed that the fluorescence intensity of 2 was enhanced after binding saccharides. The association constants of compound 2 with four saccharides were estimated implying that compound 2 displayed selectivity towards D-glucose. It is interesting to note that compound 1 described previously by us shows selectivity towards D-Fructose [21]. Furthermore, reaction of 2 with uridine induced even larger fluorescence enhancement under the same condition. Further investigations along this vein are in progress.
3. Experimental Section
1H and 13C NMR spectra were recorded on BRUCK 300 MHz and BRUCK 400 MHz instruments. EI-MS and TOF-MS were determined with AEI-MS 50 and BEFLEX III, respectively. Fluorescence spectra were recorded on a JASCO FP6000 spectrofluorometer in a 1-cm quartz cell. Column chromatography was performed by using silica gel (200-300 mesh). Glucose, fructose, galactose, and mannose were purchased from Acros. THF was distilled from Na and benzophenone immediately prior to use.
Synthesis of compound 4 [23]: To a solution of 3 (1.10 g, 5.02 mmol) in anhydrous degassed THF (100 mL) was added a solution of CsOH•H2O (0.86 g, 5.05 mmol) in anhydrous degassed MeOH (5 mL) over a period of 30 min. The mixture was stirred for an additional 30 min, to which a solution of 9-(2-bromoethoxy)-anthracene (1.58 g, 5.25 mmol) in anhydrous degassed THF (10 mL) was added. The solution was stirred overnight. After removing solvents and separation by column chromatography, compound 3 was obtained in 75% yield.
Synthesis of compound 6: To a solution of 4 (1.40 g, 3.60 mmol) in 20 mL P(OiPr)3 was added 5 (2.1 g, 7.2 mmol) in N2 atmosphere. The mixture was stirred at 120 oC for 4 hours. After cool to room temperature, the sovent was removed under reduced pressure and the residue was purified through column chromatography to give compound 5 in 56% yield.
1H NMR (400 MHz, CDCl3): 2.68-2.75 (m, 4H), 3.00-3.18 (m, 4H), 3.36-3.41 (t, 2H), 4.40-4.45 (t, 2H), 6.53-6.54 (s, 1H), 7.45-7.54 (m, 4H), 7.99-8.10 (d, 2H), 8.26-8.27 (s, 1H), 8.32-8.36 (d, 2H); MALDI-TOF: 625.0 (M+)
Synthesis of compound 7: The procedure is similar to the preparation of 4. 1,5-Dibromoheptane was used instead of 9-(2-bromoethoxy)-anthracene. 7 was obtained as yellow oil in 80% yield.
1H NMR (400 MHz, CDCl3): 1.20-1.29 (m, 4H), 1.60-1.70 (m, 4H), 1.82-1.92 (m, 4H), 2.80-2.85 (t, 4H), 3.33-3.43 (m, 6H), 4.39-4.43 (t, 2H), 6.50-6.51 (s, 1H), 7.46-7.52 (m, 4H), 7.99-8.10 (d, 2H), 8.25-8.26 (s, 1H), 8.32-8.35 (d, 2H); MALDI-TOF: 731.8 (M+).
Synthesis of compound 8: To a solution of 7 (0.657 g, 0.8 mmol) in 2 mL dry DMF was added 0.653 g (2.4 mmol) of potassium 4-(5,5-dimethyl-1,3,2-dioxaborinan-2-yl)benzoate. The mixture was stirred at 75oC for 2 hours. After cool to the room temperature, the solution was poured into water and extracted with CH2Cl2 (3×30 mL). The organic phase was washed with water, dried by angydrous Na2SO4, and the solvent was removed under reduced pressure. The residue was purified by column chromatography to give compound 8 in 90% yield.
1H NMR (400 MHz, CDCl3): 1.00-1.05 (s, 12H), 1.20-1.29 (m, 4H), 1.66-1.73 (m, 4H), 1.73-1.80 (m, 4H), 2.80-2.85 (m, 4H), 3.35-3.38 (t, 2H), 3.72-3.80 (s, 8H), 4.20-4.35 (m, 4H), 4.37-4.43 (t, 2H), 6.47-6.48 (s, 1H), 7.44-7.51 (m, 4H), 7.83-7.90 (m, 4H), 7.97-8.06 (m, 6H), 8.23-8.24 (s, 1H), 8.31-8.34 (d, 2H); MALDI-TOF: 1124.2 (M+)
Synthesis of compound 2: Compound 8 (0.204 g, 0.2 mmol) was deprotected by stirring in acetone/2N HCl (1:1, 2 mL), at room temperature for 4 hours. After evaporation of solvent, the mixture was dissolved in CH2Cl2 (20 mL); the solution was then washed with 5% NaHCO3 (2 × 20 mL) and dried over Na2SO4. The crude product was purified on a silica gel column to give 1 in 50% yield.
1H NMR (400 MHz, CDCl3): 1.47-1.52 (m, 4H), 1.52-1.65 (m, 4H), 1.65-1.72 (m, 4H), 2.82-2.87 (m, 4H), 3.46-3.52 (t, 2H), 4.10-4.27 (m, 4H), 4.27-4.34 (t, 2H), 6.47-6.48 (s, 1H), 7.44-7.51 (m, 4H), 7.83-7.90 (m, 4H), 7.97-8.06 (m, 6H), 8.23-8.24 (s, 1H), 8.31-8.34 (d, 2H); HRMS: Anal. calcd. for (C48H55B2Na2O11S7, M+2MeOH+2Na+H)+: 1099.1771. Found 1099.1888.
Scheme 1.
The Shinkai's saccharide sensor and the saccharide sensor containing TTF unit.
Scheme 2.
Synthesis of compound 2: a) CsOH•H2O, THF, 87%; b) P(OiPr)3, 120 °C, 56%; c) 1,5-dibromoheptane, CsOH•H2O, THF, 86%; d) potassium 4-(5,5-dimethyl-1,3,2-dioxaborinan-2-yl)benzoate, DMF, 75 °C, 90%; e) acetone/2N HCl, 50%.
Acknowledgments
The present research was financially supported by NSFC, Chinese Academy of Sciences and State Key Basic Research Program. D.-Q. Zhang thanks the National Science Fund for Distinguished Young Scholars.
References and Notes
- 1.Czarnik A. W. Fluorescent Chemosensors for Ion and Molecule Recognition. American Chemical Society; Washington, DC: 1992. [Google Scholar]
- 2.Lakowicz J. R. Topics in Fluorescence Spectroscopy. Kluwer Academic; New York: 2002. [Google Scholar]
- 3.de Silva A.P., Gunaratne H. Q. N., Gunnlaugsson T., Huxley A. J. M., McCoy C. P., Rademacher J. T., Rice T. E. Signaling Recognition Events with Fluorescent Sensors and Switches. Chem. Rev. 1997;97:1515–1566. doi: 10.1021/cr960386p. [DOI] [PubMed] [Google Scholar]
- 4.Pu L. Fluorescence of Organic Molecules in Chiral Recognition. Chem. Rev. 2004;104:1687–1716. doi: 10.1021/cr030052h. [DOI] [PubMed] [Google Scholar]
- 5.Radu D.R., Lai C.-Y., Wiench J. W., Pruski M., Lin V. S.-Y. Gatekeeping Layer Effect: A Poly(lactic acid)-coated Mesoporous Silica Nanosphere-Based Fluorescence Probe for Detection of Amino-Containing Neurotransmitters. J. Am. Chem. Soc. 2004;126:1640–1641. doi: 10.1021/ja038222v. [DOI] [PubMed] [Google Scholar]
- 6.Lin J., Li Z.-B., Zhang H.-C., Pu L. Highly enantioselective fluorescent recognition of α-amino acid derivatives. Tetrahedron Lett. 2004;45:103–106. [Google Scholar]
- 7.Takeuchi M., Taguchi M., Shinmori H., Shinkai S. Molecular Design of Boronic Acid-Based Dye Receptors for Nucleosides. Bull. Chem. Soc. Jpn. 1996;69:2613–2618. [Google Scholar]
- 8.Samankumara Sandanayake K.R. A., James T. D., Shinkai S. Molecular design of sugar recogniton systems by sugar-diboronic acid macrocyclization. Pure Appl. Chem. 1996;68:1207–1212. [Google Scholar]
- 9.Sugasaki A., Sugiyasu K., Takeuchi M., Shinkai S. First Successful Molecular Design of an Artificial Lewis Oligosaccharide Binding System Utilizing Positive Homotropic Allosterism. J. Am. Chem. Soc. 2001;123:10239–10244. doi: 10.1021/ja010806e. [DOI] [PubMed] [Google Scholar]
- 10.James T.D., Samankumara Sandanayake K. R. A., Shinkai S. Chiral discrimination of monosaccharides using a fluorescent molecular sensor. Nature. 1995;374:345–347. [Google Scholar]
- 11.James T. D., Shinmori H., Shinkai S. Novel fluorescence sensor for small saccharides. Chem. Commun. 1997:71–72. [Google Scholar]
- 12.Tsukagoshi K., Shinkai S. Specific complexation with mono- and. disaccharides that can be detected by circular dichroism. J. Org. Chem. 1991;56:4089–4091. [Google Scholar]
- 13.James T. D., Samankumara Sandanayake K.R. A., Shinkai S. Novel Photoinduced Electron Transfer Sensor for Saccharides Based on the Interaction of Boronic acid and Amine. J. Chem. Soc. Chem. Commun. 1994:477–478. [Google Scholar]
- 14.Arimori S., Ushiroda S., Peter L. M., Jenkins A. T.A., James T. D. A modular electrochemical sensor for saccharides. Chem. Commun. 2002:2368–2369. doi: 10.1039/b207643h. [DOI] [PubMed] [Google Scholar]
- 15.Zhao J., Fyles T.M., James T. D. Chiral Binol-Bisboronic Acid as Fluorescence Sensor for Sugar Acid. Angew. Chem. Int. Ed. 2004;43:3461–3464. doi: 10.1002/anie.200454033. [DOI] [PubMed] [Google Scholar]
- 16.Yoon J.A., Czarnik W. A Means of Chemically Communicating the Binding of Polyols in Water Based on Chelation-Enhanced Quenching. J. Am. Chem. Soc. 1992;114:5874–5875. [Google Scholar]
- 17.Zhang Y., Gao X., Hardcastle K., Wang B. Naphthalene-based water-soluble fluorescent. sensors for saccharides at physiological pH. New J. Chem. 2005;29:579–586. [Google Scholar]
- 18.DiCesare N., Lakowicz J.R. New color chemosensors for mono- saccharides based on Azo dyes. Org. Lett. 2001;3:3891–3893. doi: 10.1021/ol016813p. [DOI] [PMC free article] [PubMed] [Google Scholar]
- 19.Zhao J., Davidson M.G., Mahon M. F., Kociok-Köhn G., James T. D. An Enantioselective Fluorescent Sensor for Sugar Acids. J. Am. Chem. Soc. 2004;126:16179–16186. doi: 10.1021/ja046289s. [DOI] [PubMed] [Google Scholar]
- 20.Ward C.J., patel P., James T. D. Molecular Color Sensors for Monosaccharides. Org. Lett. 2002;4:477–479. doi: 10.1021/ol016923w. [DOI] [PubMed] [Google Scholar]
- 21.Wang Z., Zhang D., Zhu D. A new saccharide sensor based on a tetrathiafulvalene-anthracene dyad with a boronic acid group. J. Org. Chem. 2005;70:5729–5732. doi: 10.1021/jo050682e. [DOI] [PubMed] [Google Scholar]
- 22.Zhang G., Zhang D., Guo X., Zhu D. A new redox-fluorescence switch based on a triad with tetrathiafulvalene and anthracene units. Org. Lett. 2004;6:1209–1212. doi: 10.1021/ol036511i. [DOI] [PubMed] [Google Scholar]
- 23.Zhang G., Zhang D., Yin S., Yang X., Shuai Z., Zhu D. 1,3-Dithiole-2-thione derivatives featuring an anthracene unit: new selective chemodosimeters for Hg(II) ion. Chem. Commu. 2005;16:2161–2163. doi: 10.1039/b417952h. [DOI] [PubMed] [Google Scholar]
- 24.Li X., Zhang G., Ma H., Zhang D., Li J., Zhu D. 4,5-Dimethylthio-4′-[2-(9-anthryloxy)ethylthio]tetrathiafulvalene, a highly selective and sensitive chemiluminescence probe for singlet oxygen. J. Am. Chem. Soc. 2004;126:11543–11548. doi: 10.1021/ja0481530. [DOI] [PubMed] [Google Scholar]
- 25.Zhang G., Li X., Ma H., Zhang D., Li J., Zhu D. A selective and sensitive chemiluminescence reaction of 4,4′(5′)-bis[2-(9-anthryloxy)-ethylthio]tetrathiafulvalene with singlet oxygen. Chem. Commun. 2004;18:2072–2073. doi: 10.1039/b405272b. [DOI] [PubMed] [Google Scholar]
- 26.Eggert H., Frederiksen J., Morin C., Norrild J. C. A New glucose-selective fluorescent bisboronic acid. First report of strong α-furanose complexation in aqueous solution at physiological pH. J. Org. Chem. 1999;64:3846–3852. [Google Scholar]
- 27.Yang W., He H., Drueckhammer D. G. Computer-guided design in molecular recognition: design and synthesis of a glucopyranose receptor. Angew. Chem. Int. Ed. 2001;40:1714–1718. [PubMed] [Google Scholar]
- 28.Eggert E., Frederiksen J., Morin C., Norrild J.C. A New glucose-selective fluorescent bisboronic acid. First. report of strong -furanose complexation in aqueous solution at physiological pH. J. Org. Chem. 1999;64:3846–3852. [Google Scholar]
- 29.Yang W., Yan J., Fang H., Wang B. The First Fluorescent Sensor for D-Glucarate Based on the Cooperative Action of Boronic Acid and Guanidinium Groups. Chem. Commun. 2003:792–793. doi: 10.1039/b300098b. [DOI] [PubMed] [Google Scholar]
- 30.Jia C., Zhang D., Xu W., Zhu D. A New Approach to 4-Alkylthio-1,3-dithiole-2-thione: An Unusual Reaction of a Zinc Complex of 1,3-Dithole-2-thione-4,5-dithiolate. Org. Lett. 2001;3:1941–1944. doi: 10.1021/ol015990n. [DOI] [PubMed] [Google Scholar]
- 31.Jia C., Zhang D., Guo X., Wan S., Xu W., Zhu D. Facile synthesis of 4-(2-cyanoethylthio)-1,3-dithiole-2-thione and new electron donors with two ttf units and compounds with bis(1,3- dithiole-2-thione) groups. Synthesis. 2002;15:2177–2182. [Google Scholar]




