Abstract
Peripheral stimulation of the innate immune system with lipopolysaccharide (LPS) causes prolonged depressive-like behavior in aged mice that is dependent on indoleamine 2,3 dioxygenase (IDO) activation. Regular moderate intensity exercise training has been shown to exert neuroprotective effects that might reduce depressive-like behavior in aged mice. The purpose of this study was to test the hypothesis that voluntary wheel running would attenuate LPS-induced depressive-like behavior and brain IDO gene expression in 4-month-old and 22-month-old C57BL/6J mice. Mice were housed with a running wheel (Voluntary Wheel Running, VWR) or no wheel (Standard) for 30 days (young adult mice) or 70 days (aged mice), after which they were intraperitoneally injected with LPS (young adult mice: 0.83 mg/kg; aged mice: 0.33 mg/kg). Young adult VWR mice ran on average 6.9 km/day, while aged VWR mice ran on average 3.4 km/day. Both young adult and aged VWR mice increased their forced exercise tolerance compared to their respective Standard control groups. VWR had no effect on LPS-induced anorexia, weight-loss, increased immobility in the tail suspension test, and decreased sucrose preference in either young adult or aged mice. Four (young adult mice) and twenty-four (aged mice) hours after injection of LPS transcripts for TNF-α, IL-1β, IL-6, and IDO were upregulated in the whole brain independently of VWR. These results indicate that prolonged physical exercise has no effect on the neuroinflammatory response to LPS and its behavioral consequences.
Keywords: pro-inflammatory cytokines, depressive-like behavior, voluntary wheel running, aging, sickness behavior
1. Introduction
Major Depressive Disorders (MDD) are a multi-factorial set of psychiatric disorders with varying symptomatology and presumably, etiologies [1]. Common symptoms include: depressed mood, reduced energy, loss of pleasure (anhedonia), dysregulated sleep and appetite, and feelings of guilt and/or suicide [1,2]. The worldwide prevalence of depressive disorders is ~15% in adults, and upwards of ~ 20% in adults over the age of 65. [2–4]. Further compounding the age-associated risk of MDD, older adults exhibit longer durations of depressive symptoms compared to young adults, and often suffer less dramatic depressive symptoms that go undiagnosed as merely a “consequence” of aging, yet significantly reduce social interactions and quality of life [5–7].
The mechanisms of age-related depression are multi-faceted and not well understood, but several lines of evidence implicate inflammation as a potential driving factor [8]. Aging is associated with chronic low-level inflammation, a condition known as ‘inflammaging’ [9]. Indeed, apparently healthy subjects >65 years old exhibit significantly elevated circulating C-reactive protein (CRP) levels compared to healthy young adults [9,10]. The relationship between chronic inflammation and increased prevalence of depression is highlighted by the strong correlations between symptoms of depression and CRP and IL-6 levels in older adults [9,10]. In addition to inducing a chronic low-level of systemic inflammation, aging sensitizes the brain to subsequent immune stimuli such as infections and inflammatory stimuli [11]. Microglia cells from aged mice are primed in the sense they exhibit exaggerated and prolonged pro-inflammatory cytokine production following stimulation with lipopolysaccharide (LPS). This age-associated priming results in numerous behavioral consequences [11]. For example, peripheral injection of LPS lengthens the duration of sickness behavior (i.e. anorexia, weight loss, lethargy) in aged mice compared to young adult mice, and this is associated with an exaggerated and prolonged up-regulation of brain IL-1β, TNF-α, and IL-6 [12,13].
Aged mice also exhibit greater sensitivity to inflammation-induced depressive-like behavior, which is related to the activity of the tryptophan degrading enzyme indoleamine 2,3 dioxygenase (IDO). IDO is the initial and rate-limiting enzyme of tryptophan catabolism through the kynurenine pathway [8,14]. Activation of IDO is a required step in the development of inflammation-induced depressive-like behavior [15–17]. Aging is associated with prolonged duration of IDO activation in response to inflammatory stimuli, resulting in protracted depressive-like behavior [18]. The same results are obtained in aged mice inoculated with Bacillus Calmette-Guérin [19].
The increased prevalence and burden of MDD is partially due to suboptimal treatment options [20]. The current protocol for treating age-related depression involves antidepressant therapies (e.g. tricyclic antidepressants and serotonin-selective reuptake inhibitors), which are moderately effective, but do not completely address the underlying inflammatory pathophysiology [21,22]. Furthermore, a significant percentage of patients are non-responders to currently available drugs [23]. Thus, there continues to be a major need to identify safe, alternative approaches for treating depression and reducing inappropriate neuroinflammation. Regular, moderate-intensity aerobic exercise may be one approach to alleviate depressive symptom burden in older adults. The mood enhancing benefits of cardiovascular exercise have been well documented in the literature and through the anecdotal testimony of thousands of exercisers. Cross-sectional studies demonstrate an association between a high amount of physical activity and a low amount of depressive symptoms in both middle-aged and aged populations [24]. For example, we found that depressive symptoms were related to low physical activity, low aerobic fitness, high CRP, and adiposity in elderly women [25]. Furthermore, physical exercise might be especially efficient in reducing depressive symptoms among patients with mild to moderate depression, which is important because a large fraction of older adults (10–20%) have clinically significant depressive symptoms that do not meet the criteria for major depression [26]. It is plausible that exercise interventions could be utilized in these individuals, in the absence of pharmacological therapy, to mitigate depressive symptoms. Sjosten and Kivela (2006) conducted a meta-analysis of published randomized clinical trials to determine the strength of an effect of regular exercise on depression in older adults, and concluded exercise was effective in treating depression among those suffering from minor or major depression and reducing depressive symptoms in those with significant depressive symptoms at baseline [24]. In addition to human studies, rodent studies have also demonstrated anti-depressant effects of regular moderate intensity exercise training [27]. Moon et al. found four weeks of voluntary wheel training in young mice significantly reduced basal forced-swim test immobility compared to an untrained cohort, while Duman et al. demonstrated voluntary wheel running increased sucrose consumption in chronically stressed mice [28,29]. There are many unsubstantiated but potential ways in which exercise may improve mood and reduce depressive symptoms, including increased brain derived neurotrophic factor (BDNF), insulin growth factor (IGF), hippocampal neurogenesis, and anti-inflammatory effects [30–34]. We previously reported that voluntary wheel training does not attenuate LPS-induced sickness behavior in aged mice; however, we did not assess depressive-like behavior or IDO activation, and it is possible that voluntary wheel running could affect sickness behavior independently of depressive-like behavior and IDO [13]. Furthermore, no additional studies have examined whether exercise training can attenuate inflammation-induced depressive like behavior in young adult and aged mice using a defined inflammatory stimulus.
Therefore, we sought to examine the influence of voluntary wheel running (VWR) on LPS-induced depressive-like behavior and IDO activation in young adult mice and aged mice. We hypothesized that VWR would induce anti-inflammatory effects and attenuate LPS-induced depressive-like behavior and brain proinflammatory cytokine and IDO gene expression in both young adult and aged mice.
2. Materials and Methods
Due to significant phenotypic differences between young adult and aged mice, such as the training duration necessary to induce metabolic adaptations and their endogenous sensitivity to LPS [12,18,19,35], and the fact that the young adult and aged mice were obtained from two different sources, we conducted two separate and different experiments in the young and aged mice. Therefore, the data from the young adult mice and aged mice cannot be directly compared. Our purpose for this study design was not to examine the aging effect, which is already well documented [12,18,19], but rather to determine whether regular exercise can attenuate LPS-induced depressive like behavior under the optimal experimental conditions for each age category. For this paper, we designate these two experiments as Experiment 1 (young [4 months] adult mice) and Experiment 2 (aged [19 months] mice).
2.1 Animals
All experiments were conducted under the guidelines of the University of Illinois, Urbana- Champaign Institutional Animal Care and Use Committee.
Experiment 1 (Young Adult Mice)
Four month-old male C57BL/6J mice (N=40) were obtained from the Jackson Labs (Bar Harbor, Maine), and singly housed in cages with corn-cob bedding in a temperature (23°C) and humidity (45–55%) controlled environment with a 12h dark/light cycle (lights off 0900–2100). Mice were allowed ad libitum access to food and water for the entire duration of the study and were given 2 weeks to acclimate to the housing conditions prior to study commencement. All young adult mice were subjected to the treadmill running test, tail-suspension test, and sucrose preference test post-training intervention.
Experiment 2 (Aged Mice)
Nineteen month-old male C57BL/6 mice (N=40) were obtained from the National Institute of Aging (Bethesda, MD) singly housed in cages with corn-cob bedding in a temperature (23°C) and humidity (45–55%) controlled environment with a 12h dark/light cycle (lights off 0900–2100). Mice were allowed ad libitum access to food and water for the entire duration of the study and were given 2 weeks to acclimate to the housing conditions prior to study commencement. All aged mice were subjected to the treadmill running test, tail-suspension test, and sucrose preference test post-training intervention.
2.2 Voluntary Wheel Training
Experiment 1 (Young Adult Mice)
Following acclimation, mice were randomized to a voluntary wheel running (VWR) or ‘normal’ (Standard) housing condition for a duration of 30 days, which is sufficient time to induce training associated metabolic adaptations (unpublished data). The VWR mice were individually housed in plexiglass cages (36 L × 20 W × 15 H cm) that contained a stainless steel running wheel (diameter 22.86 cm) (Mini-Mitter Repironics, Bend, OR). Wheel revolutions were relayed via telemetry to a computer in the facility. Standard mice were housed in smaller cages (30 L × 19 W × 13 H cm) without any type of environmental enrichment. Following training, all young adult mice were removed from their respective housing conditions cage and singly housed in clean cages (30 L × 19 W × 12 H cm) for a 24h period prior to LPS-treatment in order to washout any acute effects of the last wheel training session as acute exercise has been shown to affect LPS responses [36,37]. The young adult mice remained in these standard cages for the duration of the study.
Experiment 2 (Aged Mice)
Exercise training adaptations occur more slowly in aged mice compared to younger mice due to the lower volume of daily running and metabolic differences [35]. Therefore, aged mice were randomized to VWR or Standard housing condition for a duration of 70 days, which is sufficient time to induce training associated metabolic adaptations in aged mice [13]. All other aspects of the intervention were identical to Experiment 1. Following training, all aged mice were removed from their respective housing conditions cage and singly housed in clean cages (30 L × 19 W × 12 H cm) for a 24h period prior to LPS-treatment in order to washout any acute effects of the last wheel training session as acute exercise has been shown to affect LPS responses [36,37]. The aged mice remained in these standard cages for the duration of the study.
2.3 Treadmill Running Test
Experiment 1 (Young Adult Mice)
To assess VWR-induced training adaptations, we measured forced exercise fatigability on day 26 of the 30-day VWR intervention. Mice ran until exhaustion on a motor-driven treadmill at 5% grade at gradually increasing speeds from 10–26 m/min. Exhaustion was defined as the point at which mice refused to run despite prompting by mild prodding with the hand for a period of 10 s; electric shock was not used in this test.
Experiment 2 (Aged Mice)
To assess VWR-induced training adaptations in aged mice, we measured forced exercise fatigability on day 65 of the 70-day VWR intervention. Mice ran until exhaustion on a motor-driven treadmill at gradually increasing speeds from 6–21m/min. As above, exhaustion was defined as the point at which the mouse refused to run despite prompting by mild prodding with the hand for a period of 10 s; electric shock was not used in this test.
2.4 LPS administration
Given that aged mice exhibit a greater sensitivity to LPS-induced neuroinflammation and behavioral disturbances [12,18,19], we used different LPS doses for Experiments 1 and Experiment 2. Based upon our preliminary data (not shown), both doses represent the minimum effective dose capable of inducing depressive-like behavior in the respective age cohorts of C57bl/6 mice. As rationale, we reasoned that if an exercise effect would be found it would be found at the minimum effective dose of LPS.
Experiment 1 (Young Adult Mice)
After 30 days of VWR training, mice were randomized and injected intraperitoneally (i.p.) with saline or Escherichia coli LPS (lot 3129, serotype 0127:B8, Sigma; dissolved in sterile saline) at a dose of 0.83 mg/kg. To control for any effects of acute wheel exercise on LPS response, we injected mice 11 h after the end of their dark cycle on the final day of training. Thus, injection occurred during the final hour of the proceeding light cycle, a time-period where very little VWR occurs. Following injection, mice were placed back into their respective home cages.
Experiment 2 (Aged Mice)
Following 70 days of VWR training, aged mice were randomized and injected intraperitoneally (i.p.) with saline or Escherichia coli LPS (lot 3129, serotype 0127:B8, Sigma; dissolved in sterile saline) at a dose of 0.33 mg/kg. As above, acute effects of wheel exercise were controlled for by injecting mice with LPS 11h after the end of their dark cycle on the final day of training.
2.5 Measurement of sickness response
To ensure LPS had the intended effect, physiological sickness responses were assessed by changes in body weight and food intake. Decreased food intake and the resulting body mass loss are sensitive measures of sickness in animals, and dependent on pro-inflammatory cytokine expression [38].
Experiment 1 (Young Adult Mice)
Body weight and food intake were measured at 24 h post-injection and calculated as the change from pre-injection baseline.
Experiment 2, (Aged Mice)
Body weight and food intake were measured at 24 h and 48 h post-injection and calculated as the change from pre-injection baseline.
2.6 Measurement of depressive-like behavior Tail
Suspension Test
Given that aged mice exhibit prolonged depressive-like behavior compared to young mice [18], we measured TST immobility at 24 h post-injection in Experiment 1, and at 48 h post-injection in Experiment 2. The tail suspension test (TST), a standardized test of depressive-like behavior in which depression is inferred from increased duration of immobility, was conducted as previously described [15]. Briefly, mice were taken from their home cage and hung from their tail on a hook connected to a strain gauge for a period of 6 minutes (360 sec). A computerized system for processing the force exerted on the gauge (Mouse Tail Suspension Package, MED-TSS-MS; Med Associates, St Albans, VT, USA) collected and analyzed the movements of each individual mouse. An immobility threshold was determined by establishing an activity level that would exclude all movements and only encompass immobility. Time below this threshold indicated the time of immobility.
Sucrose Preference Test
Anhedonia is a key component of depression, and can be measured in mice by their preference to consume a sweetened solution. A sucrose preference test was performed following a 3 day acclimation program during the 24h period following LPS administration. As LPS-induced decreased sucrose preference resolves by 24h in both young adult and aged mice (unpublished data), this was the only time period measured for both Experiment 1 and Experiment 2. Mice were presented with two identical volumetric drinking tubes containing either water or a 1% sucrose solution. Drinking tubes were weighed before and after the 24h period to measure fluid consumption of each respective solution. Drinking tube position (right v. left) was alternated each training period to reduce potential bias from place preference. Sucrose preference was calculated using the following formula: [Sucrose intake / (water intake + sucrose intake)] × 100.
2.7 Tissue Collection
Experiment 1 (Young Adult Mice)
A separate group of mice (N=39) underwent an identical training intervention and LPS treatment as Experiment 1, but instead of behavioral testing, mice were killed by CO2 exposure at 4 h post- injection for tissue collection to examine pro-inflammatory cytokine and IDO gene expression. This time-point was chosen based on previous data indicating it as the peak of pro-inflammatory cytokine and IDO gene expression [39]. Tissues were dissected out after transcardial perfusion with ice-cold PBS saline.
Experiment 2, (Aged Mice)
A separate group of mice (N=38) underwent an identical training intervention and LPS treatment as Experiment 2, but instead of behavioral testing, mice were killed by CO2 exposure at 24 h post- injection for tissue collection to examine pro-inflammatory cytokine and IDO gene expression. This time-point was chosen based on data by Godbout et al. indicating it as the critical time-point of prolonged pro-inflammatory cytokine and IDO gene expression, differentiating the aged and young adult neuroinflammatory response [18].
2.8 RNA extraction and reverse transcription and Real-Time RT-PCR
Total RNA from whole brain was extracted with Qiagen RNeasy Mini Kits (Valencia, CA). Reverse transcription reactions were completed in an Eppendorf Mastercycler Thermocycler (Hamburg, Germany) using an Applied Biosystem (Foster City, CA) High Capacity reverse transcriptase kit with 2,000 ng total RNA and random primers for each reaction. Quantitative real-time reverse transcription PCR was performed on an Applied Biosystems Prism 7900 using TaqMan gene expression assays for TNF-α (Mm0043258_m1), IL-1β (Mm00434228_m1), IL-6 (Mm00446190_m1), IL-10 (Mm00439616_m1), BDNF (Mm01334042_m1), IDO (Mm00492586_m1) and glyceraldehyde 3-phosphate dehydrogenase (Mm999999_g1) purchased from Applied Biosystems (Foster City, CA). Reactions were performed in duplicate according to the manufacturer’s instructions. Relative quantitative measurement of target gene expression was conducted using the ΔΔCt method with glyceraldehyde 3-phosphate (GAPDH) as the endogenous house-keeping gene and Standard+saline treated mice were used as the referent group. We chose to analyze TNF-α, IL-1β, IL-6, IL-10, and IDO because they are critical mediators of inflammation-induced sickness and depressive-like behavior in mice [40–42]. BDNF is a critical neurogenic and anti-inflammatory growth factor that is highly influenced by exercise [43]. Our group has shown that inflammatory stimuli such as LPS can reduce brain BDNF [44,45].
2.9 Statistical Analysis
Data from Experiment 1 and Experiment 2 were analyzed independently using SPSS v18 (Chicago, IL). All data were normally distributed as determined by the Shapiro-Wilk test. Exercise-induced differences in body weight and fatigability were detected using an independent sample t-test (VWR versus Standard). Exercise-induced differences in behavioral and gene expression responses to LPS were detected using a 2 (VWR vs. Standard) × 2 (Saline vs LPS) ANOVA with repeated measures when necessary. Any reference to “groups” implies the following: (VWR+Saline, VWR+LPS, Standard+Saline, Standard+LPS). Data are expressed as mean ± SEM. The alpha level was set at p ≤ 0.05 and all tests were two-tailed. When appropriate, between-group differences were determined using Fisher’s least significant difference post-hoc multiple pairwise comparisons.
3. Results
3.1 Effects of VWR on body weight and fatigability
Experiment 1 (Young Adult Mice)
There were no statistically significant differences in baseline body weights between exercise conditions (t36=−0.31, p=0.76) (Table 1). Young adult VWR mice ran an average of 6.91 ± 0.25 km per day (Table 1), and there were no differences in daily running distance between young adult VWR+Saline and young adult VWR+LPS groups (t18=1.4, p=0.18). As a result of increased energy expenditure due to VWR, young adult VWR mice gained less body weight compared to young adult Standard mice (time × exercise: F1,36= 15.8, p=0.00) (Table 1). There were no differences in body weight change (t18=−0.06, p=0.96) between VWR+Saline and VWR+LPS mice. To assess VWR-induced improvements in muscle endurance, we subjected all young adult mice to a forced treadmill exercise test to exhaustion. Young adult VWR mice ran the longest before reaching exhaustion, running approximately 50% longer than young adult Standard mice, indicating that the 30-day VWR protocol induced the expected metabolic adaptations responsible for improved endurance performance (intervention: t33=−2.7, p=0.01) (Table 1). There were no differences in forced exercise performance (t18=−0.80, p=0.44) between young adult VWR+Saline and young adult VWR+LPS mice.
Table 1.
Intervention-induced adaptations.
| Distance Run (km/d) |
Pre- intervention body weight (g) |
Post- intervention body weight (g) |
Body weight change (%) |
Forced exercise time- to-fatigue (minutes) |
|
|---|---|---|---|---|---|
| Experiment 1: | |||||
| Young Adult Mice | |||||
| Voluntary Wheel | 6.91 ± 0.25 | 24.72 ± 0.56 | 24.58 ± 0.38 | 0.09 ± 1.9a | 58.5 ± 2.7a |
| Standard | ----- | 24.92 ± 0.23 | 26.45 ± 0.24 | 6.11 ± 0.47 | 47.29 ± 2.86 |
| Experiment 2: | |||||
| Aged Mice | |||||
| Voluntary Wheel | 3.4 ± 0.4 | 33.07 ± 0.42 | 32.22 ± 0.49 | −1.43 ± 1.20b | 75.7 ± 8.50b |
| Standard | ----- | 33.23 ± 0.50 | 33.30 ± 0.29 | 1.35 ± 0.77 | 33.34 ± 2.58 |
Mean ± SEM; n=9–10/group
Significantly (p < 0.05) reduced compared to Young Adult Standard housing conditions.
Significantly (p < 0.05) reduced compared to Aged Standard housing conditions.
Experiment 2 (Aged Mice)
There were no statistically significant differences in baseline body weights between excercise conditions (t33=−0.24, p=0.81) (Table 1). Aged VWR mice ran an average of 3.40 ± 0.40 km per day (Table 1), and there were no differences in daily running distance between aged VWR+Saline and aged VWR+LPS groups (t16=−0.98, p=0.33). Aged VWR mice lost more body weight compared to aged Standard mice (time × exercise: F1,33=15.1, p=0.00) (Table 1), and ran significantly longer before reaching exhaustion, indicating the efficacy of the 70 d VWR protocol (intervention: t33=−4.7, p=0.00) (Table 1). There were no differences in body weight change (t16=0.64, p=0.53) or forced exercise performance (t16=0.92, p=0.37) between aged VWR+Saline and aged VWR+LPS mice.
3.2 Effects of VWR on LPS-induced brain gene expression
Experiment 1 (Young Adult Mice)
We investigated whether VWR could mitigate LPS-induced gene expression changes in the brains of young mice 4 h post-injection (Figure 1a). LPS administration resulted in a significant increase in whole brain TNF-α, IL-1β, IL-6, and IFN-γ mRNA (treatment: F1,32=100.0, p=0.00; F1,32=76.7, p=0.00; F1,32=60.8, p=0.00; F1,32=32.6, p=0.00 for TNF-α, IL-1β, IL-6, and IFN-γ, respectively), which was not attenuated by VWR (intervention × treatment interaction: F1,32=0.54, p=0.47; F1,32=0.69, p=0.41; F1,32=00, p=0.99; F1,32=0.89, p=0.35 for TNF-α, IL-1β, IL-6, and IFN-γ, respectively) (Figure 1a). Similarly, LPS significantly upregulated IDO gene expression (treatment: F1,32=27.3, p=0.00), which was also not altered by VWR (intervention × treatment: F1,32=1.2, p=0.28). VWR, as applied in this study, could not attenuate the LPS-inducted reduction in brain BDNF mRNA expression (intervention × treatment F1,32= 1.98; p = 0.17). There were no intervention main effects (p’s for intervention main effects = 0.50, 0.41, 0.99, 0.28, 0.99, and 0.36 for TNF-α, IL-1β, IL-6, IDO, IFN-γ, and BDNF, respectively). These data support our findings of a lack of effect of VWR on sickness and depressive-like behavior induced by LPS in young adult mice.
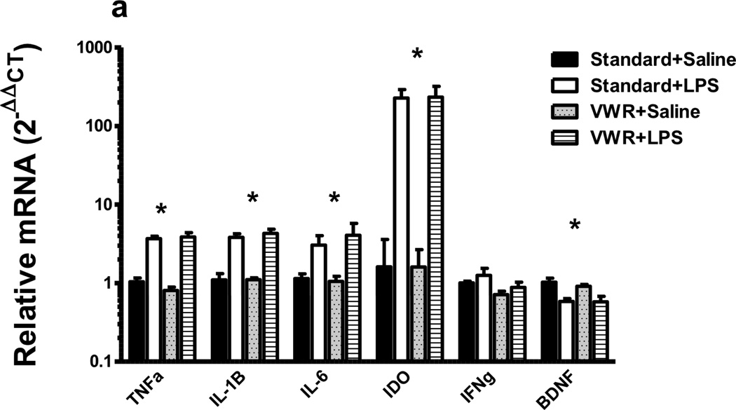
Figure 1. Effects of VWR on LPS-induced changes in sickness behavior, depressive-like behavior, and brain gene expression in young adult mice.
LPS administration resulted in significant (*) up-regulation of TNF-α, IL-1β, IL-6, IDO, and IFN-γ, and a significant (*) down-regulation of BDNF at 4h post-injection (a). There were no significant intervention main effects or intervention by treatment interaction effects for any gene measured. LPS administration resulted in significant (*) reductions in food intake (b) and body weight (c), increased 24h TST immobility (d), and reduced 24h sucrose preference (e), but there were no intervention main effects or intervention by treatment interactions. Mean ± sem; n = 9–10/group.
Experiment 2 (Aged Mice)
At 24h post-injection, LPS administration resulted in a significant increase in whole brain TNF-α, IL-1β, and IL-6 mRNA,(treatment: F1,36=36.2, p=0.00; F1,36=46.3, p=0.00; F1,36=9.2, p=0.005 for TNF-α, IL-1β, and IL-6, respectively), none of which were attenuated by VWR (intervention × treatment interaction: F1,36=0.63, p=0.43; F1,36=0.30, p=0.59; F1,32=0.07, p=0.80 for TNF-α, IL-1β, and IL-6, respectively) (Figure 2a). LPS significantly upregulated brain IDO (treatment: F1,36=12.0, p=0.01), which was not affected by VWR (intervention × treatment: F1,36=0.004, p=0.98). LPS did not significantly increase whole brain IFN-γ at 24h post-injection (treatment: F1,36=1.6, p=0.21). Additionally, VWR, as applied in this study, could not attenuate the LPS-induced reduction in brain BDNF mRNA expression (intervention × treatment F1,36= 376; p = 0.54). There were no intervention main effects (p’s for intervention main effects = 0.74, 0.58, 0.68, 0.95, and 0.51 for TNF-α, IL-1β, IL-6, IDO, and BDNF, respectively). Interestingly, however, there was a main effect for IFN-γ, in that VWR training reduced whole brain IFN-γ mRNA expression (intervention: F1,36=4.34, p=0.04). Collectively, these data support our findings of a lack of effect of VWR on sickness and depressive-like behavior induced by LPS in aged mice.
Figure 2. Effects of VWR on LPS-induced changes in sickness behavior, depressive-like behavior, and brain gene expression in aged mice.
LPS administration resulted in significant (*) up-regulation of TNF-α, IL-1β, IL-6, and IDO and a significant (*) down-regulation of BDNF at 4h post-injection. There were no significant intervention main effects or intervention by treatment interaction effects for any gene measured (a). LPS administration resulted in significant (*) reductions in food intake (b) and body weight (c), increased 48h TST immobility (d), and reduced 24h sucrose preference (e), but there were no intervention main effects or intervention by treatment interactions. Mean ± sem; n = 9–10/group.
3.3 Effects of VWR on LPS-induced sickness responses
Experiment 1 (Young Adult Mice)
As expected, LPS injection resulted in a significant reduction in food intake compared to young adult saline-injected mice at 24 h post-injection (time × treatment: F1,32=43.7, p=0.00), but there were no statistically significant differences between groups (time × exercise × treatment: F1,32=0.08, p=0.78) (Figure 1b). There was no difference in food intake between young adult saline-injected VWR and young adult saline-injected Standard mice (time × intervention: F1,32=0.58, p=0.45). As a result of LPS-induced anorexia, all young adult LPS-injected mice lost statistically significant amounts of body weight during the 24 h post-LPS (time × treatment: F1,32=36.8, p=0.00), and there were no significant differences between VWR and Standard housed young adult mice in response to LPS (time × intervention × treatment: F1,32=0.19, p=0.67) (Figure 1c). There was no difference in body weight changes between young adult saline-injected VWR and young adult Standard mice (time × intervention: F1,32=0.44, p=0.51).
Experiment 2 (Aged Mice)
Like young adult LPS-injected mice, aged LPS-injected mice exhibited a significant reduction in food intake at 24 h and 48 h post-injection compared to aged saline-injected mice (time × treatment: F2,60=36.9, p=0.00), but there was no significant effect of VWR training (time × intervention × treatment (F2,60=0.1, p=0.93) (Figure 2b). There was no difference in food intake between aged saline-injected VWR and aged Standard mice (time × exercise: F2,60=0.43, p=0.65), nor was there an exercise main effect (exercise: F1,30=0.5, p=0.49). Aged LPS-injected mice lost significant body weight compared to aged saline-injected mice (time × treatment: F2,60=36.1, p=0.00), and there were no significant differences between aged VWR and aged Standard housed mice in response to LPS (time × exercise × treatment (F2,60=0.03, p=0.97) (Figure 2c). There was no difference in body weight changes between aged saline-injected VWR and aged Standard mice (time × exercise: F2,60=0.1, p=0.93), nor was there an exercise main effect (intervention: F1,30=0.04, p=0.83).
3.4 Effects of VWR on LPS-induced depressive-like behavior
Experiment 1 (Young Adult Mice)
We assessed depressive-like behavior in young adult mice at 24 h post-LPS injection via the tail suspension test and sucrose preference test. LPS significantly increased duration of immobility in the tail suspension test (treatment: F1,32=6.3, p=0.02), but there was no interaction (exercise × treatment interaction: F1,32=0.10, p=0.75) (Figure 1d). There were no differences in baseline sucrose preference between groups (F3,32=0.15, p=0.93). LPS significantly decreased sucrose preference compared to baseline (time × treatment interaction: F1,32=5.97, p=0.02), but exercise did not affect this (time × exercise × treatment interaction: F1,32=0.18, p=0.67) (Figure 1e). There were no exercise main effects (p’s for exercise main effects = 0.86 and 0.83, for TST and SPT, respectively). Taken together, these data indicate VWR training had no effects on LPS-induced depressive-like behavior in young adult mice.
Experiment 2 (Aged Mice)
We assessed depressive-like behavior in aged mice via the decreased sucrose preference that is apparent at 24h post-injection and the increased duration of immobility that is measured in the tail suspension test at 48h post-injection. LPS significantly increased the duration of immobility (treatment: F1,32=19.2, p=0.00), but there was no interaction (exercise × treatment interaction: F1,32=0.00, p=0.96) (Figure 2d). There were no differences in baseline sucrose preference between groups (F3,34=0.83, p=0.49). LPS significantly decreased sucrose preference compared to baseline (time × treatment interaction: F1,32=8.9, p=0.006), but exercise did not affect this (time × exercise × treatment interaction: F1,32=0.28, p=0.60) (Figure 2e). There were no exercise main effects (p’s for exercise main effects = 0.97 and 0.22, for tail suspension test and sucrose preference tests, respectively). Taken together, these data indicate VWR training had no effects on LPS-induced depressive-like behavior in aged mice.
4. Discussion
We investigated whether a voluntary wheel running intervention could attenuate LPS-induced depressive-like behavior in young adult and/or aged mice. Thirty days of voluntary wheel running in young adult mice and seventy days of voluntary wheel running in aged mice induced the expected training adaptations including body weight loss and increased forced treadmill exercise performance. Independent of the intervention type, young adult mice injected with LPS exhibited a significant reduction in food intake, resulting in weight loss at 24 h post injection. Similarly, aged mice injected with LPS exhibited a significant reduction in food intake, resulting in body weight loss at 24h and 48h post-injection, which was also not affected by the voluntary wheel training. These data confirm our previous research demonstrating no beneficial effects of VWR on LPS-induced sickness behavior across multiple LPS doses in aged mice [13]. Contrary to our hypothesis, the measures of depressive-like behavior did not differ according to the exercise condition in either the young adult or aged mice. To further support the lack of an exercise effect on LPS-induced depressive-like behavior, we analyzed brain proinflammatory cytokine and IDO gene expression, and found no significant wheel running effects in either young adult or aged mice. Taken together, these data show clearly that prolonged voluntary exercise in mice has no effect on the neuroinflammatory and behavioral response to LPS and this lack of effect is the same in both young adult and aged mice.
A potential explanation for our lack of significant findings could be an insufficient study sample size to detect between group differences. However, we conducted an a priori power analysis (type I and type II errors set at 5% and 80%, respectively) to determine the minimum sample size necessary to observe a significant intervention × treatment interaction for our most variable measure, sucrose preference. Based upon a thorough investigation of the literature examining the effects of exercise training on depressive-like behavior in rodent models, we determined that we would need 10 mice per group to detect a ~40–50% (effect size ~0.65) exercise-induced difference in the sucrose preference test [46]. Therefore, we believe our data reflect a lack of VWR effect rather than insufficient statistical power. An alternative interpretation of our findings could be that our respective LPS doses were too high and masked any subtle benefits of VWR. However, as stated in the methods section, we utilized the minimum effective LPS dose necessary to induce depressive-like behavior in the respective mouse models. We previously examined the effects of VWR training on LPS-induced sickness behavior at a very low LPS dose (0.02 mg/kg), and observed no protective effects of VWR [13], which lends further credence to the lack of effect within our current experiments.
To the best of our knowledge, this is the first study to utilize a defined inflammatory challenge (i.e., LPS) to examine the effects of exercise training on inflammation-induced depressive-like behavior. Several groups have investigated the effects of exercise training on unpredictable chronic mild stress-induced depressive-like behavior and neuroinflammation, and found promising results. Solberg et al. found 6 weeks of voluntary wheel running of mice in conjunction with six weeks of chronic stress increased sucrose preference and decreased FST immobility compared to mice that were exposed to chronic stress but without prior wheel training [47]. These results were similar to Zheng et al., who demonstrated four weeks of wheel training in conjunction with chronic mild stress recovered sucrose preference, which was associated with decreased hippocampal corticosterone (CORT) expression and increased hippocampal brain-derived neurotrophic factor (BDNF) expression [48]. Exactly how BDNF may be mediating depressive-like behavior is unclear, but one possibility is that BDNF may be improving survival of neurons affected by chronic stress. Duman et al. proposed an alternative molecular mechanism; these authors discovered four weeks of wheel training increased prefrontal cortex insulin-like growth factor 1 (IGF-1), and this increase was associated with a protected sucrose preference and immobility in the forced swim test [29]. While this response appears to be inherently different than the BDNF hypothesis, data by Park et al. indicate IGF-1 protects brain BDNF signaling during an inflammatory challenge [44,45]. Therefore, it is plausible that exercise-induced IGF-1 could be mediating its anti-depressant effects via BDNF regulation. These studies support much of the recent work on exercise’s neuroprotective effects, which have focused on BDNF regulation within the hippocampus. BDNF is a neurotrophin that acts predominantly in the hippocampus, cortex, and basal forebrain to promote neurogenesis, neuron survival, and synaptic plasticity. Like LPS, chronic stress reduced BDNF via an IL-1β dependent mechanism causing suppressed hippocampal neurogenesis and neuron survival [49]. Numerous studies have demonstrated exercise training upregulates hippocampal BDNF gene and protein expression, and this is associated with improved behavioral outcomes during inflammatory challenge [29–31,46,50,51]. We observed an LPS-induced reduction in whole brain BDNF, but failed to detect a VWR-induced increase in whole brain BDNF gene expression in both our young adult and aged mice. This suggests the exercise-induced upregulation of BDNF as demonstrated in the literature is not a global event, but rather a spatially dependent phenomenon primarily observed in the hippocampus.
More relevant to our specific aims, a recent study by Liu et al. examined the effects of swim training on depressive-like behavior and IDO activity in rats submitted to chronic mild stress [46]. Following 4 weeks of swim training in combination with chronic stress, swim trained rats exhibited increased sucrose preference and decreased FST immobility compared to chronically stressed rats that did not swim train. Moreover, these behavioral results were associated with reduced prefrontal cortex IFN-γ, TNF-α, and IDO gene expression, indicating the protective effects of exercise training in this chronic stress model may be mediated by inhibiting IDO activation and metabolism. In relation to our results, these data indicate that depressive-like behavior in response to chronic mild stress is amenable to the beneficial effects of VWR, whereas LPS-induced depressive-like behavior is not. Again, it is important to note that we utilized the minimum LPS dosage which induces depressive-like behavior in our models. What is unknown is whether other inflammatory stimuli, perhaps that act more chronically, are equally insensitive to VWR.
A potential explanation for the differential findings between our study and those using chronic mild stress, is that LPS-induced depressive-like behavior is a well-defined acute phenomenon dependent on activation of the IDO pathway [15], while chronic mild stress-induced depression is a chronic paradigm dependent on numerous cellular and molecular mechanisms (e.g., HPA axis dysregulation, aberrant monoamine signaling, and reduced growth factor synthesis) which synergize to induce a depressive-like behavior phenotype [52]. Under basal conditions, IDO is expressed at low levels in microglial cells and astrocytes, with the majority of IDO activity occurring in astrocytes, and the primary end product being kynurenic acid, a neuroprotective NMDA antagonist [8,14,53]. However, following immune activation (e.g., LPS), proinflammatory cytokines TNF-α and IFN-γ induce IDO activation in microglial cells, shifting kynurenine metabolism towards the production of 3-hydroxykynurenine (3-HK) and quinolic acid (QA), which are implicated in inflammation-induced depressive-like behavior [54]. An alternative explanation could be due to temporal differences in administration of exercise and ‘inducer’ of behavioral disturbance. In chronic mild stress studies, exercise was performed chronically during the administration of the stressors, whereas in our study exercise was performed prior to LPS administration. Mice were not allowed wheel access after LPS as it has been shown that they do not run during this acute inflammatory challenge [55]. This hypothesis concurs with the BDNF literature, which indicates exercise-induced BDNF improves neuron survival during stress, rather than protecting against acute inflammatory injury [51].
Regarding the effects of exercise training on age-related neuroimmune alterations, several reports have demonstrated exercise may attenuate microglial priming [30,31,50,56]. Vukovic et al. found VWR training reduced hippocampal microglia MHCII expression and increased neuronal fractalkine (CX3CL1) in young mice [56]. Fractalkine binds to its receptor (CX3CR) on microglia and maintains the cell in a quiescent state. Following immune activation, fractalkine signaling is critical for attenuating the microglia inflammatory response and restoring brain inflammation to baseline levels. Several studies indicate aging reduces basal levels of fractalkine, which may partially explain microglial priming [11,57–59]. Furthermore, following a LPS challenge, microglia from aged mice exhibited a prolonged down-regulation of the fractalkine receptor compared to young mice, which may contribute to the prolonged proinflammatory cytokine response and protracted behavioral disturbances observed in aged mice [58]. Kohman et al. demonstrated similar anti-priming effects of exercise in hippocampal microglia of aged mice [50]. Eight weeks of VWR in aged Balb/c mice reduced microglia proliferation and microglia IGF-1 gene expression [50]. Barrientos et al. further addressed the effects of exercise on microglia priming by isolating primary hippocampal microglia from the wheel trained and sedentary aged rats [21]. Following stimulation with numerous doses of LPS (0–100ng), the microglia from the voluntary wheel running rats exhibited a significantly reduced TNF-α and IL-1β gene expression compared to microglia from rats housed in locked wheels, indicating that exercise training may ‘reverse’ age-induced microglia priming and subsequent neuroinflammation. Interpreting this study in the context of ours is difficult, as ex vivo microglia stimulation occurs under tightly controlled and optimal experimental conditions. The researchers did not report the upper-limit LPS concentration where they observed no differences in microglia priming between wheel running and locked wheel rats. It is quite possible that the minimum effective LPS doses we utilized to induce depressive-like behavior corresponded to a higher ‘stimulus’ than 100ng LPS applied to hippocampal microglia in vitro, thus abolishing any protective effect of exercise. Additionally, similar to the BDNF literature, these studies only examined the effects of exercise on hippocampal microglia priming, the brain region most affected by exercise training. Our lack of observed exercise-induced neuroprotection in whole brain tissue furthers supports our hypothesis that exercise’s protective effects are not a global event, but rather a brain-region dependent phenomenon primarily observed in the hippocampus.
While our study clearly demonstrates no effect of voluntary wheel running on LPS-induced depressive-like behavior in young adult and aged mice, we recognize certain limitations. We did not include a ‘locked’ wheel control group for the voluntary wheel intervention. It is plausible that any observed VWR effects could have been due to environmental enrichment rather than adaptations induced by the exercise component of wheel running. However, we have previously reported no differences between VWR, locked wheel, and standard housing interventions on LPS-induced sickness behavior in aged mice [13]. Furthermore, Kobilo et al. elegantly demonstrated the act of running, rather than environmental enrichment, is responsible for neurotrophic effects of voluntary wheel running [60]. A second potential limitation is that we conducted our forced treadmill test to fatigue 5–6d prior to LPS administration and behavioral testing, which, given the differential central nervous system effects induced by forced vs. voluntary running, could have influenced our results. However, Carmichael et al. previously demonstrated that plasma creatine kinase, brain IL-1β, and voluntary wheel running were normalized in adult mice 24h after prolonged uphill treadmill running [61]. Additionally, we observed no reductions in daily voluntary wheel running distances in the 5–6d post-treadmill running tests in both our young adult and aged mice, indicating our treadmill testing protocol induced minimal stress and fatigue in our mice. A final limitation is that our study design did not assess brain cytokine and IDO gene expression across numerous time-points, which would strengthen our conclusion that voluntary wheel running does not affect LPS-induced IDO induction and the subsequent depressive-like behavior. We chose to assess brain gene expression at the selected time-points based on observations that 4h post-injection was the peak of inflammation in young mice, and 24h post-injection was the critical time-point of prolonged pro-inflammatory cytokine and IDO gene expression, differentiating the aged and young adult neuroinflammatory response [12,18]. Because we did not conduct a time-course analysis of brain cytokine and IDO gene expression, we cannot definitively conclude that VWR had no effects of neuroinflammation at the given doses of LPS, and it is possible that subtle inflammatory effects persist in the brain that are not reflected by behavioral outcomes. Similarly, we recognize whole brain analysis does not reveal potential exercise-induced neuroprotective regional differences, and thus can only speculate that exercise’s protective effects occur in a region specific manner. Given that depressive-like behavior was our primary outcome and there were no observed VWR-induced changes in depressive-like behavior, measuring brain cytokine and IDO gene expression at numerous time points and across numerous brain regions did not seem worthwhile in the context of our experiments.
In conclusion, we demonstrate that voluntary wheel exercise training does not affect LPS-induced depressive-like behavior, nor does it influence LPS-induced brain cytokine or IDO gene expression at 4h or 24h post-injection, in young adult and aged mice, respectively. These lack of neuroprotective effects occurred despite using the minimum effective doses and optimal behavioral time-points in our respective mouse models. Collectively, these data indicate the antidepressant and neuroprotective effects of exercise are sensitive to the inflammatory stimulus utilized (i.e., lipopolysaccharide vs. chronic mild stress), and further research is necessary to elucidate the complex effects of exercise training on inflammation-induced depressive-like behavior.
Acknowledgements
Supported by NIH RO1 AG-029573-S1 to K.W. Kelley.
References
- 1.Association AP. Diagnostic and statistical manual of mental disorders. ed 4. Washington, DC: 2000. [Google Scholar]
- 2.Kessler RC, Berglund P, Demler O, Jin R, Merikangas KR, Walters EE. Lifetime prevalence and age-of-onset distributions of dsm-iv disorders in the national comorbidity survey replication. Arch Gen Psychiatry. 2005;62:593–602. doi: 10.1001/archpsyc.62.6.593. [DOI] [PubMed] [Google Scholar]
- 3.Mulsant BH, Ganguli M. Epidemiology and diagnosis of depression in late life. J Clin Psychiatry. 1999;60(Suppl 20):9–15. [PubMed] [Google Scholar]
- 4.Djernes JK. Prevalence and predictors of depression in populations of elderly: A review. Acta psychiatrica Scandinavica. 2006;113:372–387. doi: 10.1111/j.1600-0447.2006.00770.x. [DOI] [PubMed] [Google Scholar]
- 5.VanItallie TB. Subsyndromal depression in the elderly: Underdiagnosed and undertreated. Metabolism. 2005;54:39–44. doi: 10.1016/j.metabol.2005.01.012. [DOI] [PubMed] [Google Scholar]
- 6.Beekman AT, Geerlings SW, Deeg DJ, Smit JH, Schoevers RS, de Beurs E, Braam AW, Penninx BW, van Tilburg W. The natural history of late-life depression: A 6-year prospective study in the community. Arch Gen Psychiatry. 2002;59:605–611. doi: 10.1001/archpsyc.59.7.605. [DOI] [PubMed] [Google Scholar]
- 7.Meeks TW, Vahia IV, Lavretsky H, Kulkarni G, Jeste DV. A tune in "a minor" can "b major": A review of epidemiology, illness course, and public health implications of subthreshold depression in older adults. J Affect Disord. 2011;129:126–142. doi: 10.1016/j.jad.2010.09.015. [DOI] [PMC free article] [PubMed] [Google Scholar]
- 8.Dantzer R, O'Connor JC, Freund GG, Johnson RW, Kelley KW. From inflammation to sickness and depression: When the immune system subjugates the brain. Nat Rev Neurosci. 2008;9:46–56. doi: 10.1038/nrn2297. [DOI] [PMC free article] [PubMed] [Google Scholar]
- 9.Franceschi C. Inflammaging as a major characteristic of old people: Can it be prevented or cured? Nutr Rev. 2007;65:S173–S176. doi: 10.1111/j.1753-4887.2007.tb00358.x. [DOI] [PubMed] [Google Scholar]
- 10.Kiecolt-Glaser JK, Glaser R. Depression and immune function: Central pathways to morbidity and mortality. J Psychosom Res. 2002;53:873–876. doi: 10.1016/s0022-3999(02)00309-4. [DOI] [PubMed] [Google Scholar]
- 11.Norden DM, Godbout JP. Review: Microglia of the aged brain: Primed to be activated and resistant to regulation. Neuropathol Appl Neurobiol. 2013;39:19–34. doi: 10.1111/j.1365-2990.2012.01306.x. [DOI] [PMC free article] [PubMed] [Google Scholar]
- 12.Godbout JP, Chen J, Abraham J, Richwine AF, Berg BM, Kelley KW, Johnson RW. Exaggerated neuroinflammation and sickness behavior in aged mice following activation of the peripheral innate immune system. Faseb J. 2005;19:1329–1331. doi: 10.1096/fj.05-3776fje. [DOI] [PubMed] [Google Scholar]
- 13.Martin SA, Pence BD, Greene RM, Johnson SJ, Dantzer R, Kelley KW, Woods JA. Effects of voluntary wheel running on lps-induced sickness behavior in aged mice. Brain Behav Immun. 2013;29:113–123. doi: 10.1016/j.bbi.2012.12.014. [DOI] [PMC free article] [PubMed] [Google Scholar]
- 14.Dantzer R, O'Connor JC, Lawson MA, Kelley KW. Inflammation-associated depression: From serotonin to kynurenine. Psychoneuroendocrinology. 2011;36:426–436. doi: 10.1016/j.psyneuen.2010.09.012. [DOI] [PMC free article] [PubMed] [Google Scholar]
- 15.O'Connor JC, Lawson MA, Andre C, Moreau M, Lestage J, Castanon N, Kelley KW, Dantzer R. Lipopolysaccharide-induced depressive-like behavior is mediated by indoleamine 2,3-dioxygenase activation in mice. Mol Psychiatry. 2009;14:511–522. doi: 10.1038/sj.mp.4002148. [DOI] [PMC free article] [PubMed] [Google Scholar]
- 16.O'Connor JC, Lawson MA, Andre C, Briley EM, Szegedi SS, Lestage J, Castanon N, Herkenham M, Dantzer R, Kelley KW. Induction of ido by bacille calmette-guerin is responsible for development of murine depressive-like behavior. J Immunol. 2009;182:3202–3212. doi: 10.4049/jimmunol.0802722. [DOI] [PMC free article] [PubMed] [Google Scholar]
- 17.O'Connor JC, Andre C, Wang Y, Lawson MA, Szegedi SS, Lestage J, Castanon N, Kelley KW, Dantzer R. Interferon-gamma and tumor necrosis factor-alpha mediate the upregulation of indoleamine 2,3-dioxygenase and the induction of depressive-like behavior in mice in response to bacillus calmette-guerin. J Neurosci. 2009;29:4200–4209. doi: 10.1523/JNEUROSCI.5032-08.2009. [DOI] [PMC free article] [PubMed] [Google Scholar]
- 18.Godbout JP, Moreau M, Lestage J, Chen J, Sparkman NL, J OC, Castanon N, Kelley KW, Dantzer R, Johnson RW. Aging exacerbates depressive-like behavior in mice in response to activation of the peripheral innate immune system. Neuropsychopharmacology. 2008;33:2341–2351. doi: 10.1038/sj.npp.1301649. [DOI] [PMC free article] [PubMed] [Google Scholar]
- 19.Kelley KW, O'Connor JC, Lawson MA, Dantzer R, Rodriguez-Zas SL, McCusker RH. Aging leads to prolonged duration of inflammation-induced depression-like behavior caused by bacillus calmette-guerin. Brain Behav Immun. 2013 doi: 10.1016/j.bbi.2013.02.003. [DOI] [PMC free article] [PubMed] [Google Scholar]
- 20.Duman CH. Models of depression. Vitam Horm. 2010;82:1–21. doi: 10.1016/S0083-6729(10)82001-1. [DOI] [PubMed] [Google Scholar]
- 21.Tedeschini E, Levkovitz Y, Iovieno N, Ameral VE, Nelson JC, Papakostas GI. Efficacy of antidepressants for late-life depression: A meta-analysis and meta-regression of placebo-controlled randomized trials. J Clin Psychiatry. 2011;72:1660–1668. doi: 10.4088/JCP.10r06531. [DOI] [PubMed] [Google Scholar]
- 22.Nelson JC, Delucchi K, Schneider LS. Efficacy of second generation antidepressants in late-life depression: A meta-analysis of the evidence. The American journal of geriatric psychiatry : official journal of the American Association for Geriatric Psychiatry. 2008;16:558–567. doi: 10.1097/JGP.0b013e3181693288. [DOI] [PubMed] [Google Scholar]
- 23.Nierenberg AA, Ostacher MJ, Huffman JC, Ametrano RM, Fava M, Perlis RH. A brief review of antidepressant efficacy, effectiveness, indications, and usage for major depressive disorder. J Occup Environ Med. 2008;50:428–436. doi: 10.1097/JOM.0b013e31816b5034. [DOI] [PubMed] [Google Scholar]
- 24.Sjosten N, Kivela SL. The effects of physical exercise on depressive symptoms among the aged: A systematic review. Int J Geriatr Psychiatry. 2006;21:410–418. doi: 10.1002/gps.1494. [DOI] [PubMed] [Google Scholar]
- 25.Valentine RJ, McAuley E, Vieira VJ, Baynard T, Hu L, Evans EM, Woods JA. Sex differences in the relationship between obesity, c-reactive protein, physical activity, depression, sleep quality and fatigue in older adults. Brain Behav Immun. 2009;23:643–648. doi: 10.1016/j.bbi.2008.12.003. [DOI] [PubMed] [Google Scholar]
- 26.Greer TL, Trivedi MH. Exercise in the treatment of depression. Curr Psychiatry Rep. 2009;11:466–472. doi: 10.1007/s11920-009-0071-4. [DOI] [PubMed] [Google Scholar]
- 27.Eyre HA, Papps E, Baune BT. Treating depression and depression-like behavior with physical activity: An immune perspective. Frontiers in psychiatry. 2013;4:3. doi: 10.3389/fpsyt.2013.00003. [DOI] [PMC free article] [PubMed] [Google Scholar]
- 28.Moon HY, Kim SH, Yang YR, Song P, Yu HS, Park HG, Hwang O, Lee-Kwon W, Seo JK, Hwang D, Choi JH, Bucala R, Ryu SH, Kim YS, Suh PG. Macrophage migration inhibitory factor mediates the antidepressant actions of voluntary exercise. Proc Natl Acad Sci U S A. 2012;109:13094–13099. doi: 10.1073/pnas.1205535109. [DOI] [PMC free article] [PubMed] [Google Scholar]
- 29.Duman CH, Schlesinger L, Russell DS, Duman RS. Voluntary exercise produces antidepressant and anxiolytic behavioral effects in mice. Brain research. 2008;1199:148–158. doi: 10.1016/j.brainres.2007.12.047. [DOI] [PMC free article] [PubMed] [Google Scholar]
- 30.Barrientos RM, Frank MG, Crysdale NY, Chapman TR, Ahrendsen JT, Day HE, Campeau S, Watkins LR, Patterson SL, Maier SF. Little exercise, big effects: Reversing aging and infection-induced memory deficits, and underlying processes. J Neurosci. 2011;31:11578–11586. doi: 10.1523/JNEUROSCI.2266-11.2011. [DOI] [PMC free article] [PubMed] [Google Scholar]
- 31.Barrientos RM. Voluntary exercise as an anti-neuroinflammatory therapeutic. Brain Behav Immun. 2011;25:1061–1062. doi: 10.1016/j.bbi.2011.05.004. [DOI] [PubMed] [Google Scholar]
- 32.Duman CH, Schlesinger L, Terwilliger R, Russell DS, Newton SS, Duman RS. Peripheral insulin-like growth factor-i produces antidepressant-like behavior and contributes to the effect of exercise. Behav Brain Res. 2009;198:366–371. doi: 10.1016/j.bbr.2008.11.016. [DOI] [PMC free article] [PubMed] [Google Scholar]
- 33.Russo-Neustadt A, Ha T, Ramirez R, Kesslak JP. Physical activity-antidepressant treatment combination: Impact on brain-derived neurotrophic factor and behavior in an animal model. Behav Brain Res. 2001;120:87–95. doi: 10.1016/s0166-4328(00)00364-8. [DOI] [PubMed] [Google Scholar]
- 34.Ernst C, Olson AK, Pinel JP, Lam RW, Christie BR. Antidepressant effects of exercise: Evidence for an adult-neurogenesis hypothesis? J Psychiatry Neurosci. 2006;31:84–92. [PMC free article] [PubMed] [Google Scholar]
- 35.Derbre F, Gomez-Cabrera MC, Nascimento AL, Sanchis-Gomar F, Martinez-Bello VE, Tresguerres JA, Fuentes T, Gratas-Delamarche A, Monsalve M, Vina J. Age associated low mitochondrial biogenesis may be explained by lack of response of pgc-1alpha to exercise training. Age (Dordr) 2012;34:669–679. doi: 10.1007/s11357-011-9264-y. [DOI] [PMC free article] [PubMed] [Google Scholar]
- 36.Starkie R, Ostrowski SR, Jauffred S, Febbraio M, Pedersen BK. Exercise and il-6 infusion inhibit endotoxin-induced tnf-alpha production in humans. Faseb Journal. 2003;17 doi: 10.1096/fj.02-0670fje. 884-+ [DOI] [PubMed] [Google Scholar]
- 37.Tanaka Y, Kawanishi N, Shiva D, Tsutsumi N, Uchida M, Kitamura H, Kato Y, Yano H. Exhaustive exercise reduces tumor necrosis factor-alpha production in response to lipopolysaccharide in mice. Neuroimmunomodulat. 2010;17:279–286. doi: 10.1159/000290044. [DOI] [PubMed] [Google Scholar]
- 38.Dantzer R. Cytokine-induced sickness behavior: Mechanisms and implications. Ann N Y Acad Sci. 2001;933:222–234. doi: 10.1111/j.1749-6632.2001.tb05827.x. [DOI] [PubMed] [Google Scholar]
- 39.Andre C, O'Connor JC, Kelley KW, Lestage J, Dantzer R, Castanon N. Spatio-temporal differences in the profile of murine brain expression of proinflammatory cytokines and indoleamine 2,3-dioxygenase in response to peripheral lipopolysaccharide administration. Journal of neuroimmunology. 2008;200:90–99. doi: 10.1016/j.jneuroim.2008.06.011. [DOI] [PMC free article] [PubMed] [Google Scholar]
- 40.Dantzer R. Cytokine-induced sickness behavior: Mechanisms and implications. Ann N Y Acad Sci. 2001;933:222–234. doi: 10.1111/j.1749-6632.2001.tb05827.x. [DOI] [PubMed] [Google Scholar]
- 41.Dilger RN, Johnson RW. Aging, microglial cell priming, and the discordant central inflammatory response to signals from the peripheral immune system. J Leukoc Biol. 2008;84:932–939. doi: 10.1189/jlb.0208108. [DOI] [PMC free article] [PubMed] [Google Scholar]
- 42.Godbout JP, Chen J, Abraham J, Richwine AF, Berg BM, Kelley KW, Johnson RW. Exaggerated neuroinflammation and sickness behavior in aged mice following activation of the peripheral innate immune system. Faseb J. 2005;19:1329–1331. doi: 10.1096/fj.05-3776fje. [DOI] [PubMed] [Google Scholar]
- 43.Zoladz JA, Pilc A. The effect of physical activity on the brain derived neurotrophic factor: From animal to human studies. J Physiol Pharmacol. 2010;61:533–541. [PubMed] [Google Scholar]
- 44.Park SE, Lawson M, Dantzer R, Kelley KW, McCusker RH. Insulin-like growth factor-i peptides act centrally to decrease depression-like behavior of mice treated intraperitoneally with lipopolysaccharide. J Neuroinflammation. 2011;8:179. doi: 10.1186/1742-2094-8-179. [DOI] [PMC free article] [PubMed] [Google Scholar]
- 45.Park SE, Dantzer R, Kelley KW, McCusker RH. Central administration of insulin-like growth factor-i decreases depressive-like behavior and brain cytokine expression in mice. J Neuroinflammation. 2011;8:12. doi: 10.1186/1742-2094-8-12. [DOI] [PMC free article] [PubMed] [Google Scholar]
- 46.Liu W, Sheng H, Xu Y, Liu Y, Lu J, Ni X. Swimming exercise ameliorates depression-like behavior in chronically stressed rats: Relevant to proinflammatory cytokines and ido activation. Behav Brain Res. 2013;242:110–116. doi: 10.1016/j.bbr.2012.12.041. [DOI] [PubMed] [Google Scholar]
- 47.Solberg LC, Horton TH, Turek FW. Circadian rhythms and depression: Effects of exercise in an animal model. The American journal of physiology. 1999;276:R152–R161. doi: 10.1152/ajpregu.1999.276.1.R152. [DOI] [PubMed] [Google Scholar]
- 48.Zheng H, Liu Y, Li W, Yang B, Chen D, Wang X, Jiang Z, Wang H, Wang Z, Cornelisson G, Halberg F. Beneficial effects of exercise and its molecular mechanisms on depression in rats. Behav Brain Res. 2006;168:47–55. doi: 10.1016/j.bbr.2005.10.007. [DOI] [PMC free article] [PubMed] [Google Scholar]
- 49.Cortese GP, Barrientos RM, Maier SF, Patterson SL. Aging and a peripheral immune challenge interact to reduce mature brain-derived neurotrophic factor and activation of trkb, plcgamma1, and erk in hippocampal synaptoneurosomes. J Neurosci. 2011;31:4274–4279. doi: 10.1523/JNEUROSCI.5818-10.2011. [DOI] [PMC free article] [PubMed] [Google Scholar]
- 50.Kohman RA, DeYoung EK, Bhattacharya TK, Peterson LN, Rhodes JS. Wheel running attenuates microglia proliferation and increases expression of a proneurogenic phenotype in the hippocampus of aged mice. Brain Behav Immun. 2012;26:803–810. doi: 10.1016/j.bbi.2011.10.006. [DOI] [PMC free article] [PubMed] [Google Scholar]
- 51.Yau SY, Lau BW, Zhang ED, Lee JC, Li A, Lee TM, Ching YP, Xu AM, So KF. Effects of voluntary running on plasma levels of neurotrophins, hippocampal cell proliferation and learning and memory in stressed rats. Neuroscience. 2012;222:289–301. doi: 10.1016/j.neuroscience.2012.07.019. [DOI] [PubMed] [Google Scholar]
- 52.Farooq RKIE, Tanti A, Le Guisquet AM, Arlicot N, Minier F, Leman S, Chalon S, Belzung C, Camus V. Is unpredictable chronic mild stress (ucms) a reliable model to study depression-induced neuroinflammation. Behav Brain Res. 2012;231:130–137. doi: 10.1016/j.bbr.2012.03.020. [DOI] [PubMed] [Google Scholar]
- 53.Myint AM. Kynurenines: From the perspective of major psychiatric disorders. Febs J. 2012;279:1375–1385. doi: 10.1111/j.1742-4658.2012.08551.x. [DOI] [PubMed] [Google Scholar]
- 54.Walker AK, Budac DP, Bisulco S, Lee AW, Smith RA, Beenders B, Kelley KW, Dantzer R. Nmda receptor blockade by ketamine abrogates lipopolysaccharide-induced depressive-like behavior in c57bl/6j mice. Neuropsychopharmacology. 2013 doi: 10.1038/npp.2013.71. [DOI] [PMC free article] [PubMed] [Google Scholar]
- 55.Skinner GW, Mitchell D, Harden LM. Avoidance of physical activity is a sensitive indicator of illness. Physiology & behavior. 2009;96:421–427. doi: 10.1016/j.physbeh.2008.11.004. [DOI] [PubMed] [Google Scholar]
- 56.Vukovic J, Colditz MJ, Blackmore DG, Ruitenberg MJ, Bartlett PF. Microglia modulate hippocampal neural precursor activity in response to exercise and aging. J Neurosci. 2012;32:6435–6443. doi: 10.1523/JNEUROSCI.5925-11.2012. [DOI] [PMC free article] [PubMed] [Google Scholar]
- 57.Fenn AM, Smith KM, Lovett-Racke AE, Guerau-de-Arellano M, Whitacre CC, Godbout JP. Increased micro-rna 29b in the aged brain correlates with the reduction of insulin-like growth factor-1 and fractalkine ligand. Neurobiology of aging. 2013 doi: 10.1016/j.neurobiolaging.2013.06.007. [DOI] [PMC free article] [PubMed] [Google Scholar]
- 58.Wynne AM, Henry CJ, Huang Y, Cleland A, Godbout JP. Protracted downregulation of cx3cr1 on microglia of aged mice after lipopolysaccharide challenge. Brain Behav Immun. 2010;24:1190–1201. doi: 10.1016/j.bbi.2010.05.011. [DOI] [PMC free article] [PubMed] [Google Scholar]
- 59.Bachstetter AD, Morganti JM, Jernberg J, Schlunk A, Mitchell SH, Brewster KW, Hudson CE, Cole MJ, Harrison JK, Bickford PC, Gemma C. Fractalkine and cx 3 cr1 regulate hippocampal neurogenesis in adult and aged rats. Neurobiology of aging. 2011;32:2030–2044. doi: 10.1016/j.neurobiolaging.2009.11.022. [DOI] [PMC free article] [PubMed] [Google Scholar]
- 60.Kobilo T, Liu QR, Gandhi K, Mughal M, Shaham Y, van Praag H. Running is the neurogenic and neurotrophic stimulus in environmental enrichment. Learning & memory. 2011;18:605–609. doi: 10.1101/lm.2283011. [DOI] [PMC free article] [PubMed] [Google Scholar]
- 61.Carmichael MD, Davis JM, Murphy EA, Brown AS, Carson JA, Mayer E, Ghaffar A. Recovery of running performance following muscle-damaging exercise: Relationship to brain il- 1beta. Brain Behav Immun. 2005;19:445–452. doi: 10.1016/j.bbi.2005.03.012. [DOI] [PubMed] [Google Scholar]










